DECRETO 92 DE 2011
(enero 17)
Diario Oficial No. 47.969 de 31 de enero de 2011
MINISTERIO DE AMBIENTE, VIVIENDA Y DESARROLLO TERRITORIAL
Por el cual se modifica el Decreto 926 de 2010.
EL PRESIDENTE DE LA REPÚBLICA DE COLOMBIA,
en ejercicio de las facultades constitucionales y legales, en especial las que le confieren el artículo 189, numeral 11, de la Constitución Política, el artículo 49 de la Ley 400 de 1997, y
CONSIDERANDO.
Que el artículo 49 de la Ley 400 de 1997, dispone: “Facultase al Gobierno Nacional para que, previo el visto favorable de la Comisión Permanente creada a través de la presente ley, y por medio de Decretos Reglamentarios, proceda a efectuar las actualizaciones en los aspectos técnicos y científicos que demande el desarrollo de la presente Ley y sus reglamentos, y que resulten pertinentes para los propósitos en ella indicados y al alcance de la misma”.
Que surtido el trámite anterior, el Gobierno Nacional expidió el Decreto 926 del 19 de marzo de 2010, por el cual se establecen los requisitos de carácter técnico y científico para construcciones sismo resistentes NSR-10.
Que mediante el Decreto 2525 del 13 de julio de 2010 se modifica el Decreto 926 del 19 de marzo de 2010 y se establece que la fecha de entrada en vigencia del reglamento es el 15 de diciembre de 2010 y se dictan otras disposiciones.
Que la Comisión Asesora Permanente del Régimen de Construcciones Sismo Resistentes creada por medio de la Ley 400 de 1997 y adscrita al Ministerio de Ambiente, Vivienda y Desarrollo Territorial en su reunión del día 30 de noviembre de 2010, según consta en el Acta número 91 de esta Comisión y en los correos electrónicos remitidos por los miembros de la Comisión en el transcurso de los días 10 al 13 de diciembre de 2010, consideró favorable la modificación del Reglamento Colombiano de Construcción Sismo Resistente NSR-10 y recomendó al señor Presidente de la República su suscripción, de acuerdo con las siguientes consideraciones:
1. Que con posterioridad al 19 de marzo de 2010, fecha en la que se expidió el Reglamento Colombiano de Construcción Sismo Resistente NSR-10, se han realizado eventos de divulgación del nuevo reglamento en las ciudades de Bogotá, Cali, Medellín, Pereira, Cartagena, Tunja, Cúcuta, Neiva e Ibagué con la asistencia de más de 2300 profesionales. En estos eventos se pudo evidenciar la existencia de algunas omisiones y errores de carácter técnico en el texto del reglamento NSR-10, así como la existencia de problemas de interpretación de algunos requisitos del reglamento que podrían llevar a una aplicación incorrecta de él.
2. Que es importante tener en cuenta, que tanto los profesionales que llevan a cabo los diseños y construcción de las edificaciones cubiertas por el alcance del Reglamento Colombiano de Construcción Sismo Resistente NSR-10, así como las autoridades municipales y distritales y las curadurías urbanas, competentes para expedir licencias de construcción, deben aplicar el reglamento de una forma única e inequívoca, lo cual se puede lograr de mejor forma realizando algunos ajustes al texto del reglamento.
3. Que las observaciones recibidas de numerosas fuentes dentro de las cuales están los profesionales que realizan los diseños y la construcción de edificaciones, las autoridades que aprueban y expiden las licencias de construcción y expertos en los temas contenidos en el reglamento NSR-10 fueron estudiadas, discutidas y adoptadas, cuando se consideraban acertadas, por parte de la Comisión Asesora Permanente del Régimen de Construcciones Sismo Resistentes, según consta en el Acta número 91 del 30 de noviembre de 2010 y en los correos electrónicos de los miembros de la Comisión remitidos en el transcurso de los días 10 y 13 de diciembre de 2010.
4. Que el Reglamento Colombiano de Construcción Sismo Resistente NSR-10 es un documento técnico de más de 1.900 páginas donde se han encontrado algunas omisiones y errores de carácter técnico en el texto, así como en algunas expresiones y ecuaciones matemáticas que es deseable corregir a la mayor brevedad posible.
5. Que el estudio y aprobación de la propuesta de modificación del Reglamento Colombiano de Construcción Sismo Resistente NSR-10, estuvo a cargo de la Comisión Asesora Permanente del Régimen de Construcciones Sismo Resistentes, creada por medio de la Ley 400 de 1997 y adscrita al Ministerio de Ambiente, Vivienda y Desarrollo Territorial, de acuerdo con lo prescrito en la Ley 400 de 1997, y fue aprobada según consta en el Acta número 91 del 30 de noviembre de 2010 y en los correos electrónicos de los miembros de la Comisión remitidos en el transcurso de os días 10 y 13 de diciembre de 2010.
6. Que la Comisión Asesora Permanente del Régimen de Construcciones Sismo Resistentes, compuesta según lo indica el artículo 40 de la Ley 400 de 1997 por el representante de la Presidencia de la República, el representante del Ministerio de Ambiente, Vivienda y Desarrollo Territorial, el representante del Ministerio de Transporte, el delegado del Representante Legal del Instituto Colombiano de Geología y Minería - Ingeominas, el Presidente de la Asociación Colombiana de Ingeniería Sísmica - AIS, quien actuó como Secretario de la Comisión, el delegado del Presidente de la Sociedad Colombiana de Ingenieros - SCI, el delegado del Presidente de la Sociedad Colombiana de Arquitectos - SCA, el delegado del Presidente de la Asociación Colombiana de Ingeniería Estructural - ACIES y el delegado del Presidente de la Cámara Colombiana de la Construcción - Camacol; consideró unánimemente recomendar al señor Presidente de la República, según lo requiere la Ley 400 de 1997, que adopte el documento de correcciones generales de algunos ordinales, numerales, literales y párrafos, figuras, tablas, notas, ecuaciones, valores, coeficientes y demás aspectos técnicos, de forma que permitirán que los requisitos de la NSR10 se implementen de manera apropiada y que no haya posibilidad de interpretaciones erradas de parte de los usuarios y de las entidades de control, y por lo tanto recomienda al señor Presidente de la República su adopción.
Que en mérito de lo expuesto.
DECRETA:
ARTÍCULO 1o. Modifíquese el Reglamento de Construcciones Sismo Resistentes, NSR- 10, en los ordinales, numerales, literales y párrafos, figuras, tablas, notas, ecuaciones, valores, coeficientes y demás aspectos técnicos, según documento anexo, que hace parte del presente decreto.
ARTÍCULO 2o. El presente decreto rige a partir de su publicación y deroga las normas que le sean contrarias.
Publíquese y cúmplase.
Dado en Bogotá, D. C., a 17 de enero de 2011.
JUAN MANUEL SANTOS CALDERÓN
El Ministro del Interior y de Justicia,
GERMÁN VARGAS LLERAS.
La Ministra de Ambiente, Vivienda y Desarrollo Territorial,
BEATRIZ ELENA URIBE BOTERO.
El Ministro de Transporte,
GERMÁN CARDONA GUTIÉRREZ.
MODIFICACIONES TÉCNICAS Y CIENTÍFICAS AL REGLAMENTO COLOMBIANO DE CONSTRUCCIÓN SISMO RESISTENTE – NSR-10 EXPEDIDO POR MEDIO DEL DECRETO 926 DEL 19 DE MARZO DE 2010.
Se deben hacer las siguientes modificaciones al contenido técnico y científico del Reglamento Colombiano de Construcción Sismo Resistente – NSR-10 anexo al Decreto 926 del 19 de marzo de 2010:
En todo el texto del Reglamento NSR-10 donde dice “…Instituto de Investigaciones en Geociencia, Minería y Química – Ingeominas…” debe cambiarse por: “… Instituto Colombiano de Geología y Minería – INGEOMINAS…”.
En A.1.1.1 debe substituirse el artículo “la” que precede a “…Normas Sismo Resistentes Colombianas…” por el artículo “las”.
Al final de A.1.3.9 deben incluirse los siguientes literales:
A.1.3.9.7 – Sistemas de asilamiento sísmico – Según A.3.8.3 la construcción de una edificación que utilice sistemas de aislamiento sísmico en su base debe someterse a una supervisión técnica permanente, como la describe el Título I del presente Reglamento NSR-10.
a.1.3.9.8 – Disipadores de energía – Según A.3.9.3 la construcción de una edificación que utilice elementos disipadores de energía debe someterse a una supervisión técnica permanente, como la describe el Título I del presente Reglamento NSR-10.
A.1.3.9.9 – Intervención en el sistema estructural – Según A.10.1.6 la construcción de la intervención del sistema estructural de edificaciones existentes debe someterse, en todos los casos, a una supervisión técnica dentro del alcance que se da en el Título I del presente Reglamento NSR-10.
La última frase de A.1.7.2 debe corregirse así:
A.1.7.2 – REFERENCIAS AL SISTEMA MÉTRICO mks – Las unidades que se utilizan en las ecuaciones del Reglamento son las unidades del sistema SI. …
En las Figuras A.2.3-2 y A.2.3-3, el número de la región para San Andrés y Providencia en ambos mapas en vez del número 3 que aparece encerrado en un círculo, , debe ser un número 2 encerrado en un círculo, .
En la última frase de A.2.4.5.6, la referencia a
debe ser a
, así:
… Para valores intermedios de
se permite interpolar linealmente entre valores del mismo tipo de perfil.
En el literal (c) de A.2.9.3.1, debe quedar así:
(c) En el caso de fallas que estén localizadas inmediatamente debajo de la ciudad, deben llevarse a cabo exploraciones por estudios particulares de neotectónica, paleosismicidad y geofísica con el fin de determinar rupturas recientes de las fallas y otros lineamientos. Deben describirse los desplazamientos, asentamientos, doblamientos de estratos, licuación, inundaciones por crecientes o tsunamis (en zonas costeras), expansión lateral, deslizamientos y flujos de lodo en el lugar. Debe incluirse la verificación de niveles de agua freática con el fin de determinar si existen barreras dentro de la tabla de agua que puedan ser asociadas con fallas o afectar la respuesta del suelo durante un sismo.
El literal (i) de A.2.9.3.6, debe quedar así:
(i) En lo posible, comprobación experimental local de los resultados mediante estudios de respuesta de vibración ambiental, con el fin de establecer la concordancia entre los resultados experimentales y los factores de amplificación obtenidos en (g) para el caso de intensidades muy bajas.
En la última frase del primer parágrafo de A.2.9.5 la referencia a A.4.9.3.4 (d), así:
…En caso de no cumplirse con lo indicado en A.2.9.3.4 (d) se deberá señalar cual es el efecto de las falencias que se tengan en el estudio disponible, así como un planteamiento de cómo superarlas en una segunda parte del proceso de armonización que en tal caso deberá realizarse.
Debe agregarse al final de A.2.10.1.1 lo siguiente:
… con excepción de lo dispuesto en A.2.10.1.1.
Debe agregarse el literal A.2.10.1.4 siguiente:
A.2.10.1.4 – Se exceptúan de realizar estudios sísmicos particulares de sitio en perfil de suelo tipo F en los proyectos que presenten las siguientes características, caso en el cual el ingeniero geotecnista debe establecer los valores de los parámetros
y
a utilizar para definir el espectro de diseño por medio de otras metodologías debidamente sustentadas:
(a) Proyectos diseñados de acuerdo con lo dispuesto en el Título E del presente Reglamento
(b) Proyectos que no superen la altura de cinco pisos por encima de la base y que no tengan un área construida por piso mayor a 600 m2, ni un área construida total mayor de 3000 m2 .
El literal (a) de A.3.6.12 debe quedar así:
Cuando el diseño de los elementos verticales que soportan el elemento que se suspende se realiza utilizando el método de esfuerzos de trabajo prescrito en B.2.3, las fuerzas axiales de diseño al nivel de esfuerzos de trabajo se deben multiplicar por 0.7Ù0, pero no menos de 0.7, en vez del coeficiente 0.7 para E prescrito en B.2.3.
En la Tabla A.3-1 después de la fila correspondiente al sistema “i. Muros de mampostería no reforzada” del grupo “2. Muros estructurales” se debe insertar la siguiente fila nueva:
| j. Muros de mampostería reforzada externamente | el mismo | 1.5 | 2.0 | Grupo I | 2 pisos | Grupo I | 12 m | Grupo I | 18 m |
En las celdas de la segunda columna de la Tabla A.3-6 correspondientes a 1aP y 1bP, dentro del texto después de “… incluyendo la torsión accidental…” debe incluirse “evaluada con Ax = 1.0”, quedando estas dos celdas de la Tabla A.3-6, así:
| 1aP | Irregularidad torsional – La irregularidad torsional existe cuando en una edificación con diafragma rígido, la máxima deriva de piso de un extremo de la estructura, calculada incluyendo la torsión accidental evaluada con Ax = 1.0 y medida perpendicularmente a un eje determinado, es más de 1.2 y menor o igual a 1.4 veces la deriva promedio de los dos extremos de la estructura, con respecto al mismo eje de referencia. | 0.9 | A.3.3.6, A.3.4.2, A.3.6.3.1, A.3.6.7.1, A.3.6.8.4, A.5.2.1. |
| 1aP | Irregularidad torsional extrema – La irregularidad torsional extrema existe cuando en una edificación con diafragma rígido, la máxima deriva de piso de un extremo de la estructura, calculada incluyendo la torsión accidental evaluada con Ax = 1.0 y medida perpendicularmente a un eje determinado, es más de 1.4 veces la deriva promedio de los dos extremos de la estructura, con respecto al mismo eje de referencia. | 0.8 | A.3.3.6, A.3.4.2, A.3.6.3.1, A.3.6.7.1. A.3.6.8.4, A.5.2.1. |
En A.4.0 como en A.13.2 la definición de N debe quedar así:
N = número de pisos de la edificación por encima de la base.
El tercer párrafo de A.4.2.1, anterior a la ecuación (A.4.2-2), debe ser:
El valor de T, calculado a partir de las propiedades del sistema de resistencia sísmica, de acuerdo con los principios de la dinámica estructural utilizando un modelo matemático linealmente elástico o mediante la ecuación A.4.2-1, no puede exceder ![]()
, donde
se calcula por medio de la ecuación A.4.2-2 y
se calcula de acuerdo con A.4.2-3.
La última frase de A.4.2.2 debe quedar así:
Alternativamente, para edificaciones de 12 pisos o menos, por encima de la base, con el promedio de las alturas de piso,
, menor o igual a 3 m, cuyo sistema estructural de resistencia sísmica esté compuesto por pórticos resistentes a momentos de concreto reforzado o hacer estructural, el período de vibración aproximado,
, en s, puede determinarse por medio de la ecuación A.4.2-5, donde N es el número de pisos de la edificación por encima de la base.
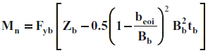
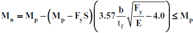
El texto en la última fila de la Tabla A.4-1 debe corregirse así:
Alternativamente, para sistemas de muros estructurales de concreto reforzado o mampostería estructural…
En la última línea del segundo parágrafo de A.6.2.3, la referencia a C.10.11.6.2(b) es incorrecta y debe ser así:
… concreto reforzado, una verificación con un análisis elástico de segundo orden considerando la totalidad de los requisitos enumerados en C.10.10.4 o alternativamente con la consideración en C.10.10.7.4.
En A.6.2.3.1 la referencia a C.10.11 es incorrecta y debe ser a C.10.10 así:
A.6.2.3.4 – Alternativamente, los efectos P-Delta pueden evaluarse siguiendo los requisitos de C.10.10 en estructuras de concreto reforzado.
Las referencias de la columna izquierda de la Tabla A.6.4-1 son incorrectas. La referencia en la segunda línea de la Tabla a A.6.4.2.2 debe ser a A.6.4.1.3 y la de la tercera línea de la Tabla a A.6.4.2.3 debe ser a A.6.4.1.4.
En A.9.4.9.2 el valor de
para elementos dúctiles es
= 3.0 por lo tanto el comienzo de A.9.4.9.2 debe ser así:
A.9.4.9.2 – Dúctiles (
= 3) – Cuando el anclaje se realiza por medio de anclajes profundos…
El literal (f) de A.9.5.2 debe quedar así:
(f) Vidrios – la rotura de vidrios generada por la deformación del marco de la ventana representa un peligro para las personas que estén dentro o fuera de la edificación. Deben tenerse precauciones para dejar holguras suficientes dentro del montaje del vidrio o de la ventanería para evitar su rotura o garantizar que la rotura se produzca se forma segura. La colocación de películas protectoras, vidrios templados y vidrios laminados son otras alternativas para evitar el peligro asociado con la rotura del vidrio. La utilización de vidrios de seguridad es una alternativa para disminuir el riesgo asociado a la rotura del vidrio. Para especificaciones de vidrio y sistemas vidriados, véase el Capítulo K.4.
La última frase de A.10.3.1 debe quedar así:
… Los movimientos sísmicos de diseño de seguridad no son aplicables a edificaciones nuevas y no se pueden utilizar en el diseño de edificaciones nuevas baja bajo ninguna circunstancia.
El literal A.10.9.1 debe quedar así:
A.10.9.1 – ALCANCE – Los requisitos de la presente sección aplican para las siguientes edificaciones:
(a) Las designadas por el Artículo 54 de la Ley 400 de 1997, por el parágrafo 2º del Artículo 54 de la Ley 715 de 2001, y por el Artículo 35 de la Ley 1151 de 2007, y sus correspondientes decretos reglamentarios, como de obligatoria actualización.
(b) Las que deben ser reforzadas por cambio de uso o modificaciones que exigen intervención estructural.
(c) Las que hayan sido dañadas por sismos.
(d) Las que su propietario desee actualizar voluntariamente, conforme al presente Reglamento, y
(e) Las que en la sección A.2.5 del presente Reglamento NSR-10 pertenezcan a los grupos de uso III o IV y en el anterior Reglamento NSR-98 no pertenecían a alguno de ellos, como es el caso de las edificaciones escolares y educativas, y otras. Para realizar la actualización de estas edificaciones se contará con los mismos plazos que la Ley 400 de 1997 concedió en su Artículo 54 de tres (3) años para realizar los estudios de vulnerabilidad y de seis (6) para realizar la actualización o reforzamiento. Por lo tanto, para las edificaciones cubiertas por el presente literal, esto plazos vencerán el día 15 de diciembre de 2013 y el día 15 de diciembre de 2016, respectivamente. Para las edificaciones a que hace referencia el presente literal, diseñadas y construidas con posterioridad al 19 de febrero de 1998, durante la vigencia del Reglamento NSR-98, o que fueron intervenidas durante la vigencia del Reglamento NSR-98, no hay necesidad que su vulnerabilidad sea evaluada no que sean intervenidas.
El literal A.10.9.2.1 debe quedar así:
A.10.9.2.1 – Intervención de edificaciones indispensables y de atención a la comunidad – Grupos de Uso III y IV del Reglamento NSR-10 – El diseño del refuerzo y la rehabilitación sísmica de las edificaciones pertenecientes a los grupos de uso III y IV, tal como los define A.2.5, independientemente de la época de construcción de la edificación, debe cumplir los requisitos establecidos en A.10.4.2.1, con el fin de lograr un nivel de seguridad equivalente al de una edificación nueva, y de acuerdo con los criterios y requisitos del presente Reglamento, de tal manera que la edificación una vez intervenida quede con un índice de sobreesfuerzo y un índice de flexibilidad menores que la unidad. La intervención de los elementos no estructurales puede limitarse a elementos de fachada y columnas cortas o cautivas y a aquellos que se encuentren en mal estado y representen un peligro para la vida ante la ocurrencia de un sismo en el futuro. Al respecto debe consultarse A.9.5.2. Como excepción a lo anterior, si la edificación perteneciente a los grupos de uso III o IV del Reglamento NSR-10 fue diseñada y construida con posterioridad al 19 de febrero de 1998 durante la vigencia del Reglamento NSR-98 o ya fue intervenida durante la vigencia del Reglamento NSR-98 para cumplir con él y si en un caso o en el otro se mantiene el mismo grupo de uso, no requieren obligatoriamente ser intervenidas de nuevo para cumplir los requerimientos del presente Reglamento NSR-10. Para edificaciones incorporadas en los grupos III y IV por el Reglamento NSR-10, no perteneciendo a ellos en el anterior Reglamento NSR-98, y diseñadas y construidas con posterioridad al 19 de febrero de 1998, véase el literal (e) de A.10.9.1.
El literal A.10.9.2.2 debe quedar así:
A.10.9.2.2 – Intervención de edificaciones diseñadas y construidas dentro de la vigencia del Reglamento NSR-98 de la Ley 400 de 1997 – Grupos de Uso I y II del Reglamento NSR-10 – Las estructuras requeridas según A.10.9.1, literales (b), (c), o (d), como de obligatoria evaluación de vulnerabilidad y rehabilitación, diseñadas y construidas con posterioridad al 19 de febrero de 1998, dentro de la vigencia de la Ley 400 de 1997, deben intervenirse cumpliendo los requisitos establecidos en A.10.4.2.1 con el fin de lograr un nivel de seguridad equivalente al de una edificación nueva y tratarse de acuerdo con los criterios y requisitos del presente Reglamento, de tal manera que la edificación una vez intervenida quede con un índice de sobreesfuerzo y un índice de flexibilidad menores que la unidad.
El título de A.10.9.2.3 debe quedar así:
A.10.9.2.3 – Intervención de edificaciones diseñadas y construidas dentro de la vigencia del Decreto 1400 de 1984 –Grupos de Uso I y II del Reglamento NSR-10 –...
El título de A.10.9.2.4 debe quedar así:
A.10.9.2.4 – Intervención de edificaciones diseñadas y construidas antes de la vigencia del Decreto 1400 de 1984 –Grupos de Uso I y II del Reglamento NSR-10 –...
El literal A.10.9.2.5 debe quedar así:
A.10.9.2.5 – Edificaciones declaradas como patrimonio histórico, de conservación arquitectónica o de interés cultural – Cuando se trate de intervenciones estructurales de edificaciones declaradas por la autoridad competente como patrimonio histórico, de conservación arquitectónica o de interés cultural, donde existan restricciones severas para lograr un nivel de seguridad equivalente al que el Reglamento exigiría a una edificación nueva o al que se obtendría al utilizar lo prescrito en A.10.4.2.2 para movimientos sísmicos de seguridad limitada, excepto que se trate de edificaciones pertenecientes al grupo de uso IV o cubiertas por los literales (a), (b), o (c) del grupo de uso III, tal como los define A.2.5, se permitirá un nivel menor de seguridad sísmica siempre y cuando este menor nivel se justifique por parte del ingeniero diseñador y se acepte por parte del propietario, incluyendo dentro de los documentos que se presentan para solicitar la respectiva licencia de construcción, un memorial firmado en conjunto en el cual se incluyan las razones que motivan la reducción, el nivel de seguridad sísmica propuesto, y las medidas que se adoptarán para restringir el acceso al público en general o los procedimientos colaterales que se adoptarán para proveer seguridad apropiada a los ocupantes. Este memorial se debe protocolizar mediante escritura pública en Notaría.
Tanto en A.12.0 como en A.13.2 debe eliminarse en ambas secciones la definición del parámetro S, que no se utiliza, y debe modificarse en ambas secciones la definición de así:
S = coeficiente de sitio dado en A.12.3.
S = coeficiente de sitio para ser empleado en el espectro sísmico del umbral de daño (= 1.25Fv)
En la primera frase de A.12.1.1 al final se encuentra repetido el texto “...con el fin de garantizar que puedan operar durante y después de la ocurrencia de un temblor”, el cual debe suprimirse.
En A-2.0 – NOMENCLATURA, del Apéndice A-2, la definición de
está errada y debe ser así:
= módulo de cortante promedio para los suelos localizados bajo la cimentación para deformaciones unitarias pequeñas.
En el Apéndice A-4 deben corregirse los valores de lo parámetros que definen la amenaza sísmica dados allí para los siguientes municipios, así:
Departamento de Antioquia
| Municipio | Código Municipio | Zona de Amenaza Sísmica | ||||
| … | … | … | … | … | … | … |
| Anzá | 05044 | 0.20 | 0.25 | Alta | 0.14 | 0.08 |
| … | … | … | … | … | … | … |
| Caldas | 05129 | 0.20 | 0.25 | Alta | 0.16 | 0.08 |
| … | … | … | … | … | … | … |
| San Luis | 05660 | 0.15 | 0.20 | Intermedia | 0.12 | 0.06 |
| … | … | … | … | … | … | … |
| Santafé de Antioquia | 05042 | 0.20 | 0.25 | Alta | 0.13 | 0.07 |
| … | … | … | … | … | … | … |
| Titiribí | 05809 | 0.20 | 0.25 | Alta | 0.15 | 0.08 |
| … | … | … | … | … | … | … |
Departamento de Boyacá
| Municipio | Código Municipio | Zona de Amenaza Sísmica | ||||
| ... | … | … | … | … | … | … |
| Garagoa | 15299 | 0.25 | 0.25 | Alta | 0.16 | 0.08 |
| … | … | … | … | … | … | … |
| Maripí | 15442 | 0.15 | 0.15 | Intermedia | 0.13 | 0.07 |
| Miraflores | 15455 | 0.25 | 0.25 | Alta | 0.16 | 0.08 |
| … | … | … | … | … | … | … |
| Oicatá | 15500 | 0.20 | 0.20 | Intermedia | 0.16 | 0.06 |
| … | … | … | … | … | … | … |
| Pachavita | 15511 | 0.20 | 0.25 | Alta | 0.16 | 0.07 |
| Páez | 15514 | 0.30 | 0.30 | Alta | 0.16 | 0.08 |
| … | … | … | … | … | … | … |
| Ráquira | 15600 | 0.15 | 0.20 | Intermedia | 0.09 | 0.05 |
| … | … | … | … | … | … | … |
| Siachoque | 15740 | 0.20 | 0.25 | Alta | 0.16 | 0.08 |
| … | … | … | … | … | … | … |
Departamento de Caquetá
| Municipio | Código Municipio | Zona de Amenaza Sísmica | ||||
| … | … | … | … | … | … | … |
| Cartagena del Chairá | 18150 | 0.05 | 0.05 | Baja | 0.04 | 0.02 |
| … | … | … | … | … | … | … |
Departamento de Casanare
| Municipio | Código Municipio | Zona de Amenaza Sísmica | ||||
| … | … | … | … | … | … | … |
| Nunchía | 85225 | 0.20 | 0.20 | Intermedia | 0.09 | 0.04 |
| … | … | … | … | … | … | … |
| Pore | 85263 | 0.20 | 0.20 | Intermedia | 0.08 | 0.04 |
| … | … | … | … | … | … | … |
| Sácama | 85315 | 0.35 | 0.25 | Alta | 0.16 | 0.08 |
| … | … | … | … | … | … | … |
| Támara | 85400 | 0.35 | 0.20 | Alta | 0.16 | 0.08 |
| … | … | … | … | … | … | … |
Departamento de Cauca
| Municipio | Código Municipio | Zona de Amenaza Sísmica | ||||
| … | … | … | … | … | … | … |
| Piamonte | 19533 | 0.25 | 0.25 | Alta | 0.09 | 0.05 |
| … | … | … | … | … | … | … |
Departamento de Chocó
| Municipio | Código Municipio | Zona de Amenaza Sísmica | ||||
| … | … | … | … | … | … | … |
| Lloró | 27413 | 0.25 | 0.35 | Alta | 0.24 | 0.10 |
| … | … | … | … | … | … | … |
| Río Quito | 27600 | 0.40 | 0.40 | Alta | 0.24 | 0.10 |
| … | … | … | … | … | … | … |
Departamento de Córdoba
| Municipio | Código Municipio | Zona de Amenaza Sísmica | ||||
| Montería | 23001 | 0.10 | 0.15 | Intermedia | 0.07 | 0.04 |
| … | … | … | … | … | … | … |
Departamento de Cundinamarca
| Municipio | Código Municipio | Zona de Amenaza Sísmica | ||||
| … | … | … | … | … | … | … |
| Guachetá | 25317 | 0.15 | 0.20 | Intermedia | 0.08 | 0.05 |
| … | … | … | … | … | … | … |
| La Calera | 25377 | 0.15 | 0.25 | Alta | 0.11 | 0.05 |
| … | … | … | … | … | … | … |
| Paime | 25518 | 0.15 | 0.15 | Intermedia | 0.12 | 0.06 |
| … | … | … | … | … | … | … |
| Ubalá | 25839 | 0.25 | 0.25 | Alta | 0.16 | 0.06 |
| … | … | … | … | … | … | … |
Departamento del Meta
| Municipio | Código Municipio | Zona de Amenaza Sísmica | ||||
| Villavicencio | 50001 | 0.35 | 0.30 | Alta | 0.20 | 0.07 |
| … | … | … | … | … | … | … |
Departamento del Norte de Santander
| Municipio | Código Municipio | Zona de Amenaza Sísmica | ||||
| Cúcuta | 54001 | 0.35 | 0.30 | Alta | 0.25 | 0.10 |
| Abrego | 54003 | 0.25 | 0.20 | Alta | 0.07 | 0.04 |
| … | … | … | … | … | … | … |
El literal B.2.3.2.2 debe quedar así:
B.2.3.2.2 – Verificación de las derivas por el método de esfuerzos de trabajo para el sismo de umbral de daño – Para evaluar las derivas obtenidas de las deflexiones horizontales causadas por el sismo de umbral de daño en edificaciones indispensables de los grupos de uso III y IV, deben utilizarse los requisitos del capítulo A.12, los cuales exigen que las derivas se verifiquen para las fuerzas sísmicas
.
El literal B.2.4.2 debe quedar en su totalidad así:
B.2.4.2 – COMBINACIONES BÁSICAS – El diseño de las estructuras, sus componentes y cimentaciones debe hacerse de tal forma que sus resistencias de diseño igualen o excedan los efectos producidos por las cargas mayoradas en las siguientes combinaciones:
| 1.4D | (B.2.4-1) |
| 1.2D+1.6L+0.5(Lr ó G ó Le) | (B2.4-2) |
| 1.2D+1.6(Lr ó G ó Le)+(1.0L ó 0.5W) | (B.2.4-3) |
| 1.2D+1.0W+1.0L+0.5(Lr ó G ó Le) | (B.2.4-4) |
| 1.2D+1.0E+1.0L | (B.2.4-5) |
| 0.9D+1.0W | (B.2.4-6) |
| 0.9D+1.0E | (B.2.4-7) |
B.2.4.2.1 – Carga viva Se permite reducir a 0.5 el factor de carga de carga viva L en las ecuaciones (B.2.4-3) a (B.2.4-5), excepto para estacionamientos, áreas ocupadas como lugares de reunión pública y en todas las áreas donde
sea superior a 4.8 kN/ m2.
B.2.4.2.2 – Efectos sísmicos
Las fuerzas sísmicas reducidas de diseño, E, utilizadas en las combinaciones B.2.4-5 y B.2.4-7 corresponden al efecto, expresado en términos de fuerza,
, de los movimientos sísmicos de diseño prescritos en el Título A, divididos por R(E=
/R). Cuando se trata de diseñar los miembros, el valor del coeficiente de carga que afecta las fuerzas sísmicas E, es 1.0, dado que estas están prescritas al nivel de resistencia. Para la verificación de las derivas obtenidas de las deflexiones horizontales causadas por el sismo de diseño, deben utilizarse los requisitos del Capítulo A.6, los cuales exigen que las derivas se verifiquen para las fuerzas sísmicas
, sin haber sido divididas por R.
B.2.4.2.3 – Efectos de impacto
Si en el diseño se toma en cuenta la resistencia a los efectos de impacto, éstos deben incluirse en L.
B.2.4.2.4 – Efectos auto deformantes Cuando sea aplicable, los efectos estructurales de T deben considerarse en combinación con otras cargas. El factor de carga para T debe establecerse considerando la incertidumbre asociada con la magnitud esperada de T, la probabilidad de que el máximo efecto ocurra simultáneamente con otras cargas aplicadas, y las consecuencias potencialmente adversas en caso de que el efecto T sea mayor que el supuesto. El factor de carga de T no puede ser menor que la unidad (1.0).
B.2.4.2.5 – Cargas de fluidos
Cuando F esté presente, debe incluirse con el mismo factor de carga de D en las ecuaciones (B.2.4-1) a (B.2.4-5) y en la ecuación (B.2.4-7).
B.2.4.2.6 – Empuje lateral del suelo
Cuando H esté presente, se debe incluir en las combinaciones de carga los factores de carga que se ajusten a lo indicado en (a), (b), o (c):
(a) cuando H actúe solo o incremente el efecto de otras cargas, debe incluirse con un factor de carga de 1.6,
(b) cuando el efecto de H es permanente y contrarresta el efecto de otras cargas, debe incluirse con un factor de carga de 0.9,
(c) cuando el efecto de H no es permanente, pero cuando está presente contrarresta el efecto de otras cargas, no se debe incluir H.
La Tabla B.4.2.1-2 debe quedar así:
Tabla B.4.2.1-2
Cargas vivas mínimas en cubiertas, azoteas y terrazas
| Tipo de cubierta | Carga uniforme (kN/ m2) m2 de área en planta | Carga uniforme (kgf/ m2) m2 de área en planta |
| (A) Cubiertas, azoteas y terrazas planas con acceso totalmente limitado al personal de mantenimiento y a través de un acceso (puerta, reja, o trampa) que permanezca siempre cerrada con llave, u otro elemento de seguridad equivalente, que esté bajo custodia y responsabilidad del propietario del inmueble o de su administrador. Esta limitación debe quedar consignada en el reglamento de copropiedad cuando se trata de copropiedades. Cualquier modificación a este tipo de acceso requiere licencia de construcción y constituirá un cambio de uso con las implicaciones correspondientes. | 1.80 | 180 |
| (B) Cubiertas, azoteas y terrazas a las cuales haya acceso al público o los usuarios de la edificación sin restricción (véanse las Notas 2 y 3) | la misma del resto de la edificación (Nota-1) | la misma del resto de la edificación (Nota-1) |
| (C) Cubiertas, azoteas y terrazas con acceso únicamente desde un bien privado según la licencia de construcción y el reglamento de copropiedad (véanse las Notas 2 y 3) | La misma correspondiente en la Tabla B.4.2.1-1 del espacio desde el cual se les da acceso (Nota-4) | La misma correspondiente en la Tabla B.4.2.1-1 del espacio desde el cual se les da acceso (Nota-4) |
| (D) Cubiertas, azoteas y terrazas autorizadas en la licencia de construcción y el reglamento de copropiedad como elementos comunales recreativos, o como jardines comunales de cubierta, o para reuniones públicas o privadas (véanse las Notas 2 y 3) | 5.00 | 500 |
| (E) Cubiertas inclinadas con más de 15° de pendiente en estructura metálica o de madera con imposibilidad física de verse sometidas a cargas superiores a la aquí estipulada | 0.35 | 35 |
| (F) Cubiertas inclinadas con pendiente de 15° o menos en estructura metálica o de madera con imposibilidad física de verse sometidas a cargas superiores a la aquí estipulada y sin posibilidad alguna de acceso a personas diferentes del personal de mantenimiento | 0.50 | 50 |
Nota-1 – La carga viva de la cubierta del caso (B) no debe ser menor que el máximo valor de las cargas vivas usadas en el resto de la edificación, y cuando ésta tenga uso mixto, tal carga debe ser la mayor de las cargas vivas correspondientes a los diferentes usos. Esta carga viva no puede ser menor que la correspondiente de la Tabla B.4.2.1-1.
Nota-2 – Los elementos de jardinería, tales como materas, tierra para plantar elementos vegetales, elementos decorativos en mampostería y otros materiales, enchapes, baldosas y acabados de piso y las correspondientes impermeabilizaciones y sus pendientados, toldos (permanentes o móviles) y otros elementos similares no están comprendidos dentro de la carga viva especificada y deben tenerse en cuenta independientemente en el cómputo de las cargas muertas.
Nota-3 – En el caso que como parte de la cubierta se dispongan balcones interiores o exteriores, estos deben diseñarse para la carga viva correspondiente, la cual no puede ser menor que la especificada para balcones en la Tabla B.4.2.1-1.
Nota-4 – Si el acceso es a través de un corredor o una escalera, el diseño del corredor o la escalera, o ambos, debe realizarse para la carga correspondiente de la Tabla B.4.2.1-1. La cubierta, azotea o terraza se debe diseñar, como mínimo, para la misma carga viva del espacio que se encuentra hacia el interior inmediatamente después del corredor o la escalera de acceso.
En B.4.5.2 hay un error en la tercera ecuación la cual figura como r = 1.0 + 0.10 (in4) y debe ser así:
r = 1.0 + 0.10 (i- n + 4)
En B.4.8.3.2 La pendiente de 15º debe cambiarse por 15%.
El primer parágrafo de B.6.1 debe quedar así:
A continuación se presentan métodos para calcular las fuerzas de viento con que debe diseñarse el sistema principal de resistencia de fuerzas de viento (SPRFV) de las edificaciones, sus componentes y elementos de revestimiento. El presente Capítulo B.6 no es aplicable a estructuras que se salgan del alcance de la Ley 400 de 1997 o del alcance del Reglamento NSR-10.
En B.6.2 se deben modificar las siguientes definiciones, para que queden como se indica a continuación:
Revestimiento resistente a impactos - Un cerramiento diseñado para proteger los materiales para vidriados, que ha sido ensayado y probado de acuerdo con ASTM E1886 y ASTM E1996 u otros métodos de ensayo aprobados que soporten el impacto de los misiles llevados por el viento que probablemente se generarán en regiones de escombros llevados por el viento durante los vientos de diseño.
Velocidad básica de viento, V – Como se especifica en la sección B.6.5.4, es la velocidad de una ráfaga de 3 segundos medida 10 m por encima del suelo en la Exposición C (véase sección B.6.5.6.3).
En B.6.2 se deben incluir las siguientes definiciones:
Regiones de escombros arrastrados por el viento - Las áreas dentro de regiones propensas a huracanes localizadas en:
* Dentro de 1.6 km de la línea media del nivel mayor de la marea donde la velocidad básica del viento es igual o mayor de 180 km/h (50 m/s),
* En áreas donde la velocidad básica del viento es igual o mayor de 200 km/h (50 m/s)
Regiones propensas a huracanes – Áreas vulnerables a los huracanes y las costas donde la velocidad del viento básica es mayor a 145 km/h (40 m/s).
Vidriado resistente a impactos – Vidriado que ha sido ensayado y probado de acuerdo con ASTM E1886 y ASTM E1996 u otros métodos de ensayo aprobados para soportar el impacto de los misiles llevados por el viento que probablemente se generarán en regiones de escombros arrastrados por el viento durante los vientos de diseño.
El literal (c) de B.6.4.1.1 debe quedar así:
(c) El edificio sea cerrado como se define en la sección B.6.2 y cumpla las provisiones de regiones de escombros arrastrados por el viento de acuerdo con la sección B.6.5.9.3.
El literal (b) de B.6.4.1.2 debe quedar así:
(b) El edificio es cerrado como se define en la sección B.6.2 y cumpla las provisiones de regiones de escombros arrastrados por el viento de acuerdo con la sección B.6.5.9.3.
En B.6.4.2.2 la referencia a la fig. B.4-2 de la definición de
debe ser a la fig. B.6.4-3. En la definición de
falta agreagar <sic> al fina “Véase fig. 6.4-3.”
El literal (c) de B.6.5.3 debe quedar así:
(c) Se determinará para cada dirección de viento una o varias categorías de exposición y un coeficiente para la presión por velocidad
o
, según corresponda, de acuerdo con la sección B.6.5.6.
En B.6.5.6.2 las definiciones de Rugosidad del Terreno C y D deben corregirse así:
Rugosidad de Terreno C - Terreno abierto con pocas obstrucciones y con alturas inferiores a 9.0 m. Esta categoría incluye campos planos abiertos, praderas y todas las superficies acuáticas en zonas propensas a huracanes.
Rugosidad de Terreno D - Áreas planas y no obstruidas y superficies acuáticas por fuera de en regiones propensas a huracanes. Esta categoría incluye pantanos, salinas y superficies de hielo.
El literal B.6.5.8.3, la segunda definición de la variable
después de la ecuación B.6.5-11b, debe quedar así:
tomando ![]()
El primer párrafo del literal B.6.5.9.3 debe quedar así:
B.6.5.9.3 – Escombros arrastrados por el viento - Los vidrios de edificios localizados en regiones de escombros arrastrados por el viento, deberán protegerse con una cobertura resistente a impacto o ser vidrios resistentes a impactos de acuerdo con los requerimientos especificados en las normas ASTM E1886 y ASTM E 1996 u otros métodos de ensayo aprobados y criterios de desempeño.
En el literal (a) de B.6.5.9.3 donde dice “... a 450 al interior del edificio...”, debe ser “... a 450 m al alrededor del edificio...”.
Se debe agregar el literal B.6.6.5, el cual debe quedar así:
B.6.6.5 – ESCOMBROS ARRASTRADOS POR EL VIENTO – Vidrieras en edificaciones en regiones de escombros arrastrados por el viento deben ser protegidas de acuerdo con la sección B.6.5.9.3.
En la figura B.6.5-3 en la gráfica longitudinal, la pared marcada como B debe ser C y en el diagrama localizado en el centro con el título “Cubiertas de pendiente única”, se debe incluir el símbolo que indica que la medida de la altura h corresponde al centro de la luz de la cubierta, como se indica a continuación:

En la misma figura la tabla de Coeficientes de presión en muros,
, debe quedar así:
| Superficie | LB | Usar con | |
| Muro barlovento | Todos los valores | 0.8 | |
| Muro en sotavento | 0-1 | -0.5 | |
| 2 | -0.3 | ||
| -0.2 | |||
| Muros laterales | Todos los valores | 0.7 | |
En la tabla de Coeficientes de presión en cubiertas,
, para usar con
, donde dice “
60#” debe ser “
60°” y en las celdas debajo de esta, donde dice “0.01” y “
” en la celda inmediatamente debajo, las dos celdas se deben unir para que diga “0.01
”, esto ocurre tres veces en la misma columna de la tabla y en los tres casos deb <sic> hacer la misma corrección.
La Figura B.6.5-4 debe quedar como se indica a continuación:

Notas:
1. se deberán considerar dos casos de carga:
Caso A:
Valores de
entre A y B y entre B y C deberán determinarse por interpolación lineal a lo largo de los arcos del domo paralelos a la dirección del viento.
Caso B:
El valor de
deberá ser el valor constante de A para
grados, y será determinado por interpolación lineal a partir de 25 grados para B y desde B a C.
2. Los valores de
son los que se deberán utilizar con
donde
es la altura de la clave del domo.
3. Los signos positivos y negativos significan presiones o succiones actuando sobre las superficies, respectivamente.
4. El valor
es constante en la superficie del domo para los arcos de los círculos perpendiculares a la dirección de viento; por ejemplo, el arco que pasa a través de B-B-B y todos los arcos paralelos a B-B-B.
5. Para valores intermedios de
deberá interpolarse linealmente.
6.
grados en el arranque del domo,
grados en el punto superior del centro del domo (clave); f será medido desde el arranque hasta la clave
7. El cortante horizontal total no debe ser menor que el calculado al despreciar las fuerzas del viento sobre la superficie cubierta.
8. Para valores
utilizar la figura B.6.5-3.
En la Figura B.6.5-5 deben hacerse las siguientes correcciones:
Incluir en la parte central superior en blanco lo siguiente:
(Nota: Esta figura no incluye ningún gráfico)
Las Notas 3 y 4 deben quedar así:
3. Para viento en dirección paralela a la cumbrera, use los coeficientes de presión de la figura B.6.5-3 con el viento en dirección paralela a la cumbrera.
4. Para los componentes y revestimientos: (1) En el perímetro de la cubierta, use los coeficientes de presión externa dados en las figuras B.6.5-8 con el ángulo
medido desde la base de la pendiente y (2) para las áreas de cubierta restantes, use los coeficientes de presión externa de esta Tabla multiplicados por 0.87.
En la nota 7 de la Figura B.6.5-7, debe quitarse la M que aparece debajo del 7., donde dice “use” debe decir “usar”, y donde dice “localice” debe ser “localizar”.
En la nota 5 de la Figura B.6.5-8B donde dice “... los valores positivos de
en la zona 2 y 4 deberán...” debe ser ““... los valores positivos de
en la zona 2 y 3 deberán...”.
En la Figura B.6 5 8B, el gráfico debe substituirse por el siguiente gráfico:

En la nota 5 de la Figura B.6.5 12 donde dice “...los valores de
de la figura B.6.5-8.” debe ser ““... los valores de
de la figura B.6.5-8B.”.
El título de la Figura B.6.5-14, dice “
” y debe ser “
”. Además en la Nota 6 de la misma Figura B.6.5-14 donde dice “Los coeficientes son para cubiertas con
” debe ser “Los coeficientes son para cubiertas con
”.
En la Figura B.6 5 14, el gráfico de la izquierda debe substituirse por el siguiente gráfico:

En la Figura B.6.5 15A se debe reemplazar la tabla de valores por la siguiente tabla:
| Ángulo de la Cubierta | Caso de Carga | Dirección del Viento = 0º | Dirección del Viento = 180º | ||||||
| Flujo de Viento Libre | Flujo de Viento Obstruido | Flujo de Viento Libre | Flujo de Viento Obstruido | ||||||
| CNW | CNL | CNW | CNL | CNW | CNL | CNW | CNL | ||
| 0º | A | 1.2 | 0.3 | 0.5 | -1.2 | 1.2 | 0.3 | -0.5 | -1.2 |
| B | -1.1 | -0.1 | -1.1 | -0.6 | -1.1 | -0.1 | -1.1 | -0.6 | |
| 7.5º | A | -0.6 | -1.0 | -1 | -1.5 | 0.9 | 1.5 | -0.2 | -1.2 |
| B | -1.4 | 0.0 | -1.7 | -0.8 | 1.6 | 0.3 | 0.8 | -0.3 | |
| 15º | A | -0.9 | -1.3 | -1.1 | -1.5 | 1.3 | 1.6 | 0.4 | -1.1 |
| B | -1.9 | 0.0 | -2.1 | -0.6 | 1.8 | 0.6 | 1.2 | -0.3 | |
| 22.5º | A | -1.5 | -1.6 | -1.5 | -1.7 | 1.7 | 1.8 | 0.5 | -1.0 |
| B | -2.4 | -0.3 | -2.3 | -0.9 | 2.2 | 0.7 | 1.3 | 0.0 | |
| 30º | A | -1.8 | -1.8 | -1.5 | -1.8 | 2.1 | 2.1 | 0.6 | -1.0 |
| B | -2.5 | -0.5 | -2.3 | -1.1 | 2.6 | 1.0 | 1.6 | 0.1 | |
| 37.5º | A | -1.8 | -1.8 | -1.5 | -1.8 | 2.1 | 2.2 | 0.7 | -0.9 |
| B | -2.4 | -0.6 | -2.2 | -1.1 | 2.7 | 1.1 | 1.9 | 0.3 | |
| 45º | A | -1.6 | -1.8 | -1.3 | -1.8 | 2.2 | 2.5 | 0.8 | -0.9 |
| B | -2.3 | -0.7 | -1.9 | -1.2 | 2.6 | 1.4 | 2.1 | 0.4 | |
En la Figura B.6.5-16A se debe reemplazar el gráfico por el siguiente gráfico:

En la Figura B.6.5-16A se debe reemplazar la tabla de valores por la siguiente tabla:
| Ángulo de Cubierta | Área Efectiva de Viento | CN | |||||||||||
| Flujo de Viento Libre | Flujo de Viento Obstruido | ||||||||||||
| Zona 3 | Zona 2 | Zona 1 | Zona 3 | Zona 2 | Zona 1 | ||||||||
| 0º | 2.4 | -3.3 | 1.8 | -1.7 | 1.2 | -1.1 | 1 | -3.6 | 0.8 | -1.8 | 0.5 | -1.2 | |
| a2, | 1.8 | -1.7 | 1.8 | -1.7 | 1.2 | -1.1 | 0.8 | -1.8 | 0.8 | -1.8 | 0.5 | -1.2 | |
| 4.0 a2 | 1.2 | -1.1 | 1.2 | -1.1 | 1.2 | -1.1 | 0.5 | -1.2 | 0.5 | -1.2 | 0.5 | -1.2 | |
| 7.5º | 3.2 | -4.2 | 2.4 | -2.1 | 1.6 | -1.4 | 1.6 | -5.1 | 1.2 | -2.6 | 0.8 | -1.7 | |
| a2, | 2.4 | -2.1 | 2.4 | -2.1 | 1.6 | -1.4 | 1.2 | -2.6 | 1.2 | -2.6 | 0.8 | -1.7 | |
| 4.0 a2 | 1.6 | -1.4 | 1.6 | -1.4 | 1.6 | -1.4 | 0.8 | -1.7 | 0.8 | -1.7 | 0.8 | -1.7 | |
| 15º | 3.6 | 3.8 | 2.7 | -2.9 | 1.8 | -1.9 | 2.4 | -4.2 | 1.8 | -3.2 | 1.2 | -2.1 | |
| a2, | 2.7 | 2.9 | 2.7 | -2.9 | 1.8 | -1.9 | -1.8 | -3.2 | 1.8 | -3.2 | 1.2 | -2.1 | |
| 4.0 a2 | 1.8 | -1.9 | 1.8 | -1.9 | 1.8 | -1.9 | 1.2 | -2.1 | 1.2 | -2.1 | 1.2 | -2.1 | |
| 30º | 5.2 | -5 | 3.9 | -3.8 | 2.6 | -2.5 | 3.2 | -4.6 | 2.4 | -3.5 | 1.6 | -2.3 | |
| a2, | 3.9 | -3.8 | 3.9 | -3.8 | 2.6 | -2.5 | 2.4 | -3.5 | 2.4 | -3.5 | 1.6 | -2.3 | |
| 4.0 a2 | 2.6 | 2.5 | 2.6 | 2.5 | 2.6 | 2.5 | 1.6 | 2.3 | 1.6 | 2.3 | 1.6 | 2.3 | |
| 45º | 5.2 | 4.6 | 3.9 | 3.5 | 2.6 | 2.3 | 4.2 | 3.8 | 3.2 | 2.9 | 2.1 | 1.9 | |
| a2, | 3.9 | 3.5 | 3.9 | 3.5 | 2.6 | 2.3 | 3.2 | 2.9 | 3.2 | 2.9 | 2.1 | 1.9 | |
| 4.0 a2 | 2.6 | 2.3 | 2.6 | 2.3 | 2.6 | 2.3 | 2.1 | 1.9 | 2.1 | 1.9 | 2.1 | 1.9 | |
En la Figura B.6.5-16C se debe reemplazar la tabla de valores por la siguiente tabla:
| Ángulo de Cubierta | Área Efectiva de Viento | CN | |||||||||||
| Flujo de Viento Libre | Flujo de Viento Obstruido | ||||||||||||
| Zona 3 | Zona 2 | Zona 1 | Zona 3 | Zona 2 | Zona 1 | ||||||||
| 0º | 2.4 | 3.3 | 1.8 | 1.7 | 1.2 | 1.1 | 1 | 3.6 | 0.8 | 1.8 | 0.5 | 1.2 | |
| a2, | 1.8 | 1.7 | 1.8 | 1.7 | 1.2 | 1.1 | 0.8 | 1.8 | 0.8 | 1.8 | 0.5 | 1.2 | |
| 4.0 a2 | 1.2 | 1.1 | 1.2 | 1.1 | 1.2 | 1.1 | 0.5 | 1.2 | 0.5 | 1.2 | 0.5 | 1.2 | |
| 7.5º | 2.4 | 3.3 | 1.8 | 1.7 | 1.2 | 1.1 | 1 | 4.8 | 0.8 | 2.4 | 0.5 | 1.6 | |
| a2, | 1.8 | 1.7 | 1.8 | 1.7 | 1.2 | 1.1 | 0.8 | 2.4 | 0.8 | 2.4 | 0.5 | 1.6 | |
| 4.0 a2 | 1.2 | 1.1 | 1.2 | 1.1 | 1.2 | 1.1 | 0.5 | 1.6 | 0.5 | 1.6 | 0.5 | 1.6 | |
| 15º | 2.2 | 2.2 | 1.7 | 1.7 | 1.1 | 1.1 | 1 | 2.4 | 0.8 | 1.8 | 0.5 | 1.2 | |
| a2, | 1.7 | 1.7 | 1.7 | 1.7 | 1.1 | 1.1 | 0.8 | 1.8 | 0.8 | 1.8 | 0.5 | 1.2 | |
| 4.0 a2 | 1.1 | 1.1 | 1.1 | 1.1 | 1.1 | 1.1 | 0.5 | 1.2 | 0.5 | 1.2 | 0.5 | 1.2 | |
| 30º | 1.8 | 2.6 | 1.4 | 2 | 0.9 | 1.3 | 1 | 2.8 | 0.8 | 2.1 | 0.5 | 1.4 | |
| a2, | 1.4 | 2 | 1.4 | 2 | 0.9 | 1.3 | 0.8 | 2.1 | 0.8 | 2.1 | 0.5 | 1.4 | |
| 4.0 a2 | 0.9 | 1.3 | 0.9 | 1.3 | 0.9 | 1.3 | 0.5 | 1.4 | 0.5 | 1.4 | 0.5 | 1.4 | |
| 45º | 1.6 | 2.2 | 1.2 | 1.7 | 0.8 | 1.1 | 1 | 2.4 | 0.8 | 1.8 | 0.5 | 1.2 | |
| a2, | 1.2 | 1.7 | 1.2 | 1.7 | 0.8 | 1.1 | 0.8 | 1.8 | 0.8 | 1.8 | 0.5 | 1.2 | |
| 4.0 a2 | 0.8 | 1.1 | 0.8 | 1.1 | 0.8 | 1.1 | 0.5 | 1.2 | 0.5 | 1.2 | 0.5 | 1.2 | |
En la Tabla B.6.5-3 en la primera línea de valores numéricos, en su primera columna dice “0 45” y debe ser “0 4.5”.
En el literal C.1.1.5 debe quitarse la referencia a tanques y estanques, dado que este tema está cubierto en el Capítulo C.23, y debe modificarse a C.22.1.3 la referencia que se da al final de la sección, así:
C.1.1.5 - Para estructuras especiales tales como arcos, tolvas y silos, tanques, estanques, estructuras resistentes a explosiones y chimeneas, las disposiciones del Título C regirán cuando sean aplicables. Véase también C.22.1.3.
En la última frase de C.1.1.8 la referencia a 3000 m2 debe ser a 3000 m2, así:
...El uso de este documento se limita a edificaciones de hasta cinco pisos y menos de 3000 m2 de área como se indica en él y deben cumplirse todas las salvedades que se dan en él respecto al uso de procedimientos simplificados de diseño.
En C.1.1.9.2 las referencias a los Capítulos 1 al 6 del Título C deben ser a los Capítulos C.1 al C.6 del Título C.
En C.1.1.10.2 la referencia al Capítulo 21 debe ser al Capítulo C.21.
En C.1.2.1 el título de la sección debe quedar así:
C.1.2 – Planos y especificaciones (Documentos contractuales)
Además se debe modificar el literal (e) como se indica y agregar el siguiente literal (i).
(e) Dimensiones y localización de todos los elementos estructurales y refuerzo y anclajes.
(i) Tipo, dimensiones, y localización de los anclajes; requisitos para su instalación; y calificación de los instaladores de anclajes post instalados tal como lo indica C-D.9.
En C.1.3.4 las referencia a 1.3.2 y 1.3.3 deben ser a C.1.3.2 y C.1.3.3.
En C.2.1 se deben agregar las siguientes variables a la notación:
= factor de amplificación para tener en cuenta la sobre resistencia del sistema de resistencia sísmica determinado de acuerdo con lo establecido en el reglamento general de construcción legalmente adoptado, Capítulo C.21
En el mismo C.2.1 se debe modificar la notación de las siguientes variables:
= ancho del alma, espesor del muro, o diámetro de la sección circular, mm, Capítulos C.10-C.12, C.21, C.22, Apéndice C-B
= altura total de un muro medida desde la base hasta la parte superior o altura libre del segmento de muro o machón considerados, mm, Capítulos C.11, 21
H = cargas debidas al empuje lateral del suelo, del agua en el suelo, u otros materiales, o momentos y fuerzas internas correspondientes, N, Capítulo C.9, Apéndice C-C
= longitud del muro completo o longitud del segmento de muro o machón considerados en dirección de la fuerza de cortante, mm, Capítulos C.11, C.14, C.21
En C.2.2 dejen modificarse las siguientes definiciones:
En la definición de “Materiales cementantes” la referencia al Capítulo 3, debe ser al Capítulo C.3.
En la definición de “Alambre”, el texto que dice “...las normas NTC 1907 (ASTM A496) y NTC 4002 (ASTM A82) utilizado...” debe substituirse por “... la norma NTC 5806 (ASTM 1064/1064M) utilizado...”.
En la definición de “Refuerzo electrosoldado de alambre”, el texto que dice “... que cumplen con NTC 4002 (ASTM A82) o NTC 1907 (ASTM A496), respectivamente, fabricados en forma de hojas o rollos de acuerdo con NTC 1925 (ASTM A185) o NTC 2310 (ASTM A497M), respectivamente.” debe substituirse por “... que cumplen con NTC 5806 (ASTM 1064/1064M).”.
En la definición de “Resistencia a la tracción por hendimiento”, la referencia a “NTC 1907” debe substituirse por “NTC 722”.
En las siguientes definiciones se cambia el texto indicado:
Barras corrugadas con cabeza (Headed deformed bars) – Barras de refuerzo corrugadas con cabezas que satisfacen C.3.5.9 unidas a uno o a ambos extremos
Refuerzo electrosoldado de alambre (Welded wire reinforcement) – Elementos de refuerzo de acero al carbón compuestos por alambres lisos o corrugados, fabricados en forma de hojas o rollos de acuerdo con ASTM A1064M, o elementos de refuerzo consistentes en alambres lisos o corrugados de acero inoxidable fabricados en forma de hojas o rollos de acuerdo con ASTM A1022.
Debe incluirse las siguientes definiciones nuevas:
Machón de muro (Wall pier) - Segmento vertical de un muro estructural, limitado en sus costados por aberturas o por una abertura y un borde, con una relación de su longitud horizontal a su espesor
menor o igual a 6.0 y una relación de su altura libre a su longitud horizontal
mayor o igual a 2.0.
Segmento vertical de muro (Vertical wall segment) – Segmento vertical de un muro estructural, limitado en sus costados por aberturas o por una abertura y un borde. Los machones de muro se consideran segmentos verticales de muro.
Deben hacerse las siguientes modificaciones en el literal C.3.5.3, dejando los literales que no se mencionan como están
C.3.5.3.2 - Las barras corrugadas deben cumplir con una de las normas NTC o ASTM enumeradas en C.3.5.3.1, excepto que para barras con
menor de 420 MPa, la resistencia a la fluencia debe tomarse como el esfuerzo correspondiente a una deformación unitaria de 0.5 por ciento y para barras con un
de al menos 420 MPa, la resistencia a la fluencia debe tomarse como el esfuerzo correspondiente a una deformación unitaria de 0.35 por ciento. Véase C.9.4.
C.3.5.3.5 - El alambre corrugado para refuerzo del concreto debe cumplir con NTC 5806 (ASTM A1064/1064M), excepto que el alambre no debe ser menor que el tamaño MD25 ni mayor que el tamaño MD200, a menos que lo permita C.3.5.3.7. Para el alambre con
mayor de 420 MPa, la resistencia a la fluencia debe ser el esfuerzo correspondiente a una deformación unitaria de 0.35 por ciento.
C.3.5.3.6 - El alambre del refuerzo electrosoldado liso debe cumplir con NTC 5806 (ASTM A1064/1064M), excepto que para alambre con
mayor que 420 MPa, la resistencia a la fluencia debe ser el esfuerzo correspondiente a una deformación unitaria de 0.35 por ciento. Las intersecciones soldadas no deben estar espaciadas en más de 300 mm en el sentido del esfuerzo calculado, excepto para refuerzo de alambre electrosoldado utilizado como estribos de acuerdo con C.12.13.2.
C.3.5.3.7 - El refuerzo electrosoldado de alambre corrugado deben cumplir con NTC 5806 (ASTM A1064/1064M), excepto que para alambres con
mayor que 420 MPa, la resistencia a la fluencia debe ser el esfuerzo correspondiente a una deformación unitaria de 0.35 por ciento. Las intersecciones soldadas no deben estar espaciadas a más de 400 mm, en el sentido del esfuerzo calculado, excepto para refuerzos de alambre electrosoldado utilizados como estribos de acuerdo con C.12.13.2. El alambre corrugado con diámetro mayor que MD200 se permite cuando se utiliza en refuerzo electrosoldado que cumpla con NTC 5806 (ASTM A1064/1064M), pero debe tratarse como alambre liso para efectos de desarrollo y diseño de empalmes.
C.3.5.3.8 - Las barras de refuerzo recubiertas de zinc (galvanizadas) deben cumplir con NTC 4013 (ASTM A767M). Las barras de refuerzo con recubrimiento epóxico deben cumplir con NTC 4004 (ASTM A775M) o con ASTM A934M. Las barras que se vayan a recubrir de zinc (galvanizar) o a recubrir con epóxico o a recubrir simultáneamente con los dos, deben cumplir con una de las normas citadas en C.3.5.3.1.
En C.3.5.3.6 la referencia a “NTC 1925 (ASTM A185M)” debe substituirse por “NTC 5806 (ASTM A1064/1064M)”.
En C.3.5.3.7 las dos referencias a “NTC 2310 (ASTM A497M)” deben substituirse por “NTC 5806 (ASTM A1064/1064M)”.
En C.3.5.3.10 las dos referencias a “NTC 1022 (ASTM A497M)” deben substituirse por “NTC 5806 (ASTM A1064/1064M)”.
En C.3.5.4.2 las dos referencias a “NTC 4002 (ASTM A82M)” deben substituirse por “NTC 5806 (ASTM A1064/1064M)”.
En C.3.8 las referencias a las normas NTC 1907, 1925, 2310 y 4002 deben suprimirse y se debe incluir una nueva referencia a la norma NTC 5806 - Alambre de acero liso y grafilado y mallas electrosoldadas para refuerzo de concreto (ASTM A1064/1064M). En la misma sección se debe incluir la referencia a la norma NTC 5653 - Método para la determinación de la gravedad especifica, absorción y vacíos en el concreto endurecido (ASTM C642).
Además en C.3.8 el texto de la norma NTC 4526 debe quedar así: “NTC 4526 - Tubería estructural de acero al carbono formada en frío, con y sin costura, redonda y de otras formas (ASTM A500)”.
En C.3.8 deben actualizarse, o incluirse si no figuran, las siguientes normas de la ASTM
| A970/A970 1 M 09 | Standard Specification for Headed Steel Bars for Concrete Reinforcement including Annex A1 Requirements for Class HA Head Dimensions |
| A1055/A1055M-08a 1 | Standard Specification for Zinc and Epoxy Dual Coated Steel Reinforcing Bars |
| A1064 A1064M 09 | Standard Specification for Steel Wire and Welded Wire Reinforcement, Plain and Deformed, for Concrete |
| C1077 10 | Standard Practice for Laboratories Testing Concrete and Concrete Aggregates for Use in Construction and Criteria for Laboratory Evaluation |
| C1580 09 | Standard Test Method for Water-Soluble Sulfate in Soil |
| D516 07 | Standard Test Method for Sulfate Ion in Water |
| D4130 08 | Standard Test Method for Sulfate Ion in Brackish Water, Seawater, and Brine |
El literal C.3.8.6 debe quedar así:
C.3.8.6 - Se declara que la norma NTC 4040 (Structural Welding Code - Steel (AWS D 1.1 D.1.1M 2006) del American Welding Society) es parte de este Reglamento NSR-10 como si estuviera completamente reproducido aquí.
Se debe adicionar el siguiente literal C.3.8.9.
C.3.8.9 - Se declara que “Qualification of Post Installed Adhesive Anchors in Concrete (ACI 355.1 11)” es parte de este Reglamento como si estuviera completamente reproducido aquí, para los propósitos que se citan en el Apéndice C-D.
Se debe agregar las siguientes notas a la Tabla C.4.2.1.
*El porcentaje en masa de sulfato en el suelo debe determinarse por medio de la norma ASTMC1580.
± La concentración de sulfatos disueltos en agua en partes por millón debe determinarse por medio de la norma ASTM D516 o la norma ASTM D4130.
En C.5.3.1.1 y C.5.3.1.2 donde se indica “12 meses” en el texto de ambos literales, debe substituirse por “24 meses”.
El texto del literal C.5.3.3 debe quedar así:
La documentación que justifique que la dosificación propuesta para el concreto produzca una resistencia promedio a la compresión igual o mayor que la resistencia promedio a la compresión requerida,
, (véase C.5.3.2), debe consistir en uno o más registros de ensayos de resistencia en obra o en mezclas de prueba. Los registros de ensayos de resistencia en obra o las mezclas de prueba no pueden tener más de 24 meses de edad y deben cumplir con C.5.3.3.1 y C.5.3.3.2, respectivamente.
El literal C.5.6.1 debe quedar así:
C.5.6.1 - El concreto debe ensayarse de acuerdo con los requisitos de C.5.6.2 a C.5.6.5. El laboratorio que realice los ensayos de aceptación debe cumplir con la norma ASTM C1077. Los ensayos de concreto fresco realizados en la obra, la preparación de probetas que requieran de un curado bajo condiciones de obra, la preparación de probetas que se vayan a ensayar en laboratorio y el registro de temperaturas del concreto fresco mientras se preparan las probetas de resistencia debe ser realizado por técnicos calificados en ensayos de campo. Todos los ensayos de laboratorio deben ser realizados por técnicos de laboratorio calificados. Los informes de los ensayos de aceptación se deben distribuir al profesional facultado para diseñar, al supervisor técnico, al contratista, al productor del concreto, y, cuando lo requiera, al propietario, y a la autoridad competente.
En C.5.6.5.5 la referencia a 5.6.5.4 debe ser a C.5.6.5.4.
El literal C.7.7.6 debe quedar así:
En ambientes corrosivos u otras condiciones severas de exposición, debe aumentarse el recubrimiento de concreto cuando lo considere necesario el profesional facultado para diseñar y así lo especifique. Se deben cumplir los requisitos aplicables para el concreto, basados en las categorías de exposición del Capítulo C.4, o bien, debe disponerse de otro tipo de protección.
El literal (a) de C.7.10.4.5 debe quedar así:
C.7.10.4.5 - El refuerzo en espiral debe empalmarse, si se requiere, por alguno de los siguientes métodos:
(a) Empalme por traslapo no menor que 300 mm ni menor al largo indicado en (1) a (5) a continuación:
(1) barra o alambre corrugado sin recubrimiento, o barra corrugada con recubrimiento de zinc (galvanizada)..................................................................48![]()
(2) barra o alambre liso sin recubrimiento, o barra lisa con recubrimiento de zinc (galvanizada)....................................................................................................72
(3) barras o alambres corrugados recubiertos con epóxico, o barra corrugada con recubrimiento dual de zinc y epóxico................................................................72 ![]()
(4) barras o alambres lisos sin recubrimiento, o barra lisa con recubrimiento de zinc (galvanizada), con un gancho estándar de estribo según C.7.1.3 en sus extremos empalmados por traslapo. Los ganchos deben estar embebidos en el núcleo confinado por la espiral. ........................................................................48![]()
(5) barras o alambres corrugados recubiertos con epóxico, o barra corrugada con recubrimiento dual de zinc y epóxico, con un gancho estándar de estribo según C.7.1.3 en sus extremos empalmados por traslapo. Los ganchos deben estar embebidos en el núcleo confinado por la espiral. .............................................48![]()
En C.7.10.5 deben hacerse los siguientes cambios:
C.7.10.5.3 - Los estribos rectilíneos deben disponerse de tal forma que cada barra longitudinal de esquina y barra alterna tenga apoyo lateral proporcionado por la esquina de un estribo con un ángulo interior no mayor de 135º, y ninguna barra longitudinal debe estar separada a más de 150 mm libres de una barra apoyada lateralmente. Cuando las barras longitudinales estén localizadas alrededor del perímetro de un círculo, se permite el uso de un estribo circular completo.
C.7.10.5.4 - Cuando las barras longitudinales estén localizadas alrededor del perímetro de un círculo, se permite el uso de un estribo circular completo. Los extremos del estribo circular deben traslaparse al menos 150 mm y terminar con ganchos estándar que abracen una barra longitudinal de la columna. El traslapo en los extremos de estribos circulares adyacentes se debe escalonar a lo largo del perímetro encerrado por las barras longitudinales.
Se renumeran las secciones C.7.10.5.4 como C.7.10.5.5, la C.7.10.5.5 como C.7.10, 5.6 y la C.7.10. 5.6. como C.7.10.5.7.
Los siguientes literales de C.7.12.3 deben modificarse como se indica:
C.7.12.3.2 - En construcción monolítica vaciada en sitio de vigas y losa postensada el área bruta de una viga y la zona aferente de la losa debe incluir el alma de la viga y la porción de losa hasta la mitad de la distancia a las almas de las vigas adyacentes. Se permite incluir la fuerza efectiva del preesfuerzo de los tendones de las vigas en el cálculo de la fuerza total de preesfuerzo que actúa sobre el área bruta de la sección de concreto.
Incluir nuevos literales C.7.12.3.3 y C.7.12.3.4:
C.7.12.3.3 - Cuando la losa está apoyada sobre muros o no es monolítica con las vigas, el área bruta de concreto corresponde a la sección aferente de losa al tendón o grupo de tendones.
C.7.12.3.4 - En todos los casos, se requiere como mínimo un tendón localizado en la losa entre las caras de las almas de las vigas o de los muros. La separación entre tendones en la losa y la distancia entre las caras de las vigas o los muros y el tendón más cercano no debe exceder 1.80 m.
El literal C.7.12.3.3 se renumera como C.7.12.3.5 y queda ahora así:
C.7.12.3.5 - Donde el espaciamiento entre los tendones de la losa excede 1.4 m se debe colocar refuerzo no preesforzado adicional de retracción y temperatura, de acuerdo con C.7.12.2, entre las caras de las vigas o muros, paralelo al refuerzo de retracción y temperatura de la losa y tendones de temperatura. Este refuerzo adicional de retracción y temperatura debe extenderse a partir de los bordes de la losa por una distancia mayor o igual a la separación entre tendones, excepto que C.7.12.2.3 no aplica en este caso.
En C.8.13.1 el segundo párrafo que figura allí erradamente con la misma designación de C.8.13.1, debe ser C.8.13.1.1, quedando así:
C.8.13.1.1 - Los nervios principales y los nervios transversales o riostras, de losas nervadas en una dirección, no pueden tenerse en cuenta para efectos de rigidez ante fuerzas horizontales del sistema de resistencia sísmica. El elemento, paralelo a la viguetería, que enlaza las columnas, debe cumplir los requisitos para vigas dados en el Capítulo C.21 y su rigidez puede tenerse en cuenta en el análisis ante cargas horizontales.
El literal C.9.2 en su totalidad queda ahora así:
C.9.2 - Resistencia requerida
Nota Importante: Las combinaciones de carga dadas en C.9.2.1 contienen factores de carga menores que los que prescribía el Reglamento NSR-98, pero al mismo tiempo en esta nueva versión del Reglamento (NSR-10) se han prescrito valores de los coeficientes de reducción de resistencia,
, menores que los que contenía el Reglamento NSR 98, siendo los nuevos valores concordantes con la probabilidad de falla estructural que limita el Reglamento. Por lo tanto es incorrecto, e inseguro, utilizar las nuevas ecuaciones de combinación de carga de C.9.2.1 con los valores de los coeficientes de reducción de resistencia,
, que contenía la NSR-98.
C.9.2.1 - La resistencia requerida U debe ser por lo menos igual al efecto de las cargas mayoradas en las ecuaciones (C.9-1) a (C.9-7). Debe investigarse el efecto de una o más cargas que no actúan simultáneamente.
| U = 1.4D | (C.9-1) |
| U = 1.2+1.6L+0.5(Lr ó G ó Le) | (C.9-2) |
| U = 1.2D+1.6(Lr ó G ó Le)+(1.0L ó 0.5W) | (C.9-3) |
| U = 1.2D+1.0W+1.0L+0.5(Lr ó G ó Le) | (C.9-4) |
| U = 1.2D+1.0E+1.0L | (C.9-5) |
| U = 0.9D+1.0W | (C.9-6) |
| U = 0.9D+1.0E | (C.9-7) |
C.9.2.2 – Carga viva
Se permite reducir a 0.5 el factor de carga de carga viva L en las ecuaciones (C.9-3) a (C.9-5), excepto para estacionamientos, áreas ocupadas como lugares de reunión pública y en todas las áreas donde L sea superior a 4.8 kN/ m2.
C.9.2.3 - Efectos sísmicos
Las fuerzas sísmicas reducidas de diseño, E, utilizadas en las combinaciones (C.9-5) y (C.9-7) corresponden al efecto, expresado en términos de fuerza,
, de los movimientos sísmicos de diseño prescritos en el Título A, divididos por
. Cuando se trata de diseñar los miembros, el valor del coeficiente de carga que afecta las fuerzas sísmicas E, es 1.0, dado que estas están prescritas al nivel de resistencia. Para la verificación de las derivas obtenidas de las deflexiones horizontales causadas por el sismo de diseño, deben utilizarse los requisitos del Capítulo A.6, los cuales exigen que las derivas se verifiquen para las fuerzas sísmicas
, sin haber sido divididas por R.
C.9.2.4 - Efectos de impacto
Si en el diseño se toma en cuenta la resistencia a los efectos de impacto, éstos deben incluirse en L.
C.9.2.5 - Efectos auto deformantes
Cuando sea aplicable, los efectos estructurales de T deben considerarse en combinación con otras cargas. El factor de carga para T debe establecerse considerando la incertidumbre asociada con la magnitud esperada de T, la probabilidad de que el máximo efecto ocurra simultáneamente con otras cargas aplicadas, y las consecuencias potencialmente adversas en caso de que el efecto T sea mayor que el supuesto. El factor de carga de T no puede ser menor que la unidad (1.0).
C.9.2.6- Cargas de fluidos Cuando F esté presente, debe incluirse con el mismo factor de carga de D en las ecuaciones (C.9-1) a (C.9-5) y en la ecuación (C.9-7).
C.9.2.7 – Empuje lateral del suelo
Cuando H esté presente, se debe incluir en las combinaciones de carga de C.9.2.1, con factores de carga que se ajusten a lo indicado en (a), (b), o (c):
(d) cuando H actúe solo o incremente el efecto de otras cargas, debe incluirse con un factor de carga de 1.6,
(e) cuando el efecto de H es permanente y contrarresta el efecto de otras cargas, debe incluirse con un factor de carga de 0.9,
(f) cuando el efecto de H no es permanente, pero cuando está presente contrarresta el efecto de otras cargas, no se debe incluir H.
C.9.2.8 - Cargas de inundación y hielo
Si una estructura se encuentra ubicada en una zona de inundación, o está sometida a fuerzas por cargas de hielo atmosférico (granizo), deben usarse las cargas por inundación o por hielo y a las combinaciones de carga adecuadas de ASCE/SEI 7.
C.9.2.8 - Carga de gateo del acero de preesforzado
Para el diseño de zonas de anclaje de postensado debe usarse un factor 1.2 para la fuerza de preesfuerzo máxima aplicada por el gato.
El literal C.9.5.3.2 debe corregirse para que los valores de 125 mm y 100 mm queden apropiadamente alineados a la derecha, así:
C.9.5.3.2 - El espesor mínimo de las losas sin vigas interiores que se extiendan entre los apoyos y que tienen una relación entre lados no mayor que 2, debe cumplir con lo requerido en la Tabla C.9.5(c) y no debe ser inferior que los siguientes valores:
(a) Losas sin ábacos como se definen en C.13.2.5..................................125 mm
(b) Losas con ábacos como se definen en C.13.2.5.................................100 mm
En el literal C.10.7 se deben hacer las siguientes modificaciones:
C.10.7 - Vigas de gran altura
C.10.7.1 - Las vigas de gran altura son elementos cargados en una cara y apoyados en la cara opuesta de manera que se pueden desarrollar puntales de compresión entre las cargas y los soportes, y tienen:
(a) luz libre,
, igual o menor a cuatro veces la altura total del elemento,
, o
(b) regiones con cargas concentradas dentro de una distancia
de la cara del apoyo.
Las vigas de gran altura deben ser diseñadas considerando la distribución no lineal de las deformaciones unitarias o bien el Apéndice C-A (Véase también C.11.7.1 y C.12.10.6).
C.10.7.2 - Las vigas de gran altura deben cumplir los requisitos de C.11.7.
C.10.7.3 - El área mínima de refuerzo a tracción,
, debe cumplir con las disposiciones de C.10.5.
El literal C.10.7.4 se debe eliminar.
El literal C.10.13.8.3 debe quedar así:
C.10.13.8.3 - Los estribos transversales deben tener un diámetro no menor que 0.02 veces la mayor dimensión lateral del elemento compuesto, excepto que los estribos no deben ser menores a No. 3 (3/8”) ó 10M (10 mm) y no necesitan ser mayores de No. 5 (5/8”) ó 16M (16 mm). Puede emplearse refuerzo electrosoldado de alambre de un área equivalente.
En el literal (c) de C.11.4.6.1 la referencia a 8.13 debe ser a C.8.13.
El literal C.11.7 debe quedar así:
C.11.7 - Vigas altas
C.11.7.1 - Las disposiciones de C.11.7 deben ser aplicadas a elementos con
que no exceda
o a las regiones de la viga cargadas con cargas concentradas dentro de una distancia
del apoyo y que estén cargados en una de sus caras y apoyada en su cara opuesta, de manera tal que puedan desarrollarse puntales de compresión entre las caras y los apoyos. Véase también C.12.10.6.
C.11.7.2 - Las vigas altas deben ser diseñadas teniendo en cuenta la distribución no lineal de las deformaciones o bien el Apéndice C-A. En todo caso, debe colocarse refuerzo mínimo distribuido de acuerdo con C.11.7.4.
C.11.7.3 - Las vigas altas deben diseñarse de tal manera que
sea menor o igual a
.
C.11.7.4 - El refuerzo total distribuido en las dos caras laterales de vigas altas no debe ser menos que el requerido por C.11.7.4.1 y C.11.7.4.2.
C.11.7.4.1 - El área de refuerzo para cortante perpendicular al eje longitudinal de la viga,
, no debe ser menor de 0.025bws, y s no debe exceder el menor de
ó 300 mm.
C.11.7.4.2 - El área de refuerzo para cortante paralelo al eje longitudinal de la viga,
, no debe ser menos de 0.025bws2 y s2 no debe exceder el menor de
ó 300 mm.
Se debe eliminar el literal C.11.7.6.
En C.11.11.3.1 la referencia a la ecuación (11-2) debe ser a la ecuación (C.11-2).
En C.12.2.3 la expresión matemática incluida en el segundo parágrafo debe quedar así:
... en donde el término
no debe tomarse mayor a 2.5 y...
El literal (b) de C.12.2.4 debe quedar así:
(b) Barras o alambres con recubrimiento epóxico y barras con recubrimiento dual de zinc y epóxico, con menos de
de recubrimiento, o separación libre menor de 6db
. Para todas las otras barras o alambres con recubrimiento epóxico y barras con recubrimiento dual de zinc y epóxico,
. Refuerzo sin recubrimiento y refuerzo recubierto con zinc (galvanizado),
.
En C.12.3.3 la referencia a 12.3.2 debe ser a C.12.3.2.
En el literal (b) de C.12.3.3 la referencia a “... estribos No. 13...” debe ser a “... estribos Nº 4 (1/2”) ó 12M (12 mm)...”.
En el literal (a) de C.12.5.3 la referencia a “... barras No. 36...” debe ser a “... barras Nº 11 (1-3/8”), 32M (32 mm)...”.
En el literal (b) de C.12.5.3 la referencia a “... barras No. 36...” debe ser a “... barras Nº 11 (1-3/8”), 32M (32 mm)...”.
El literal C.12.6.2 debe quedar así:
C.12.6.2 - Para las barras corrugadas con cabeza que cumplen con C.3.5.9, la longitud de desarrollo a tracción
, debe ser de
, donde el valor
usado para calcular
no debe exceder de 40 MPa, y el factor
debe tomarse como 1.2 para refuerzos recubiertos con epóxico y 1.0 para otros casos. La longitud
no debe ser menor del mayor entre
y 150 mm.
El literal C.12.6.4 debe quedar así:
C.12.6.4 - Se permite cualquier fijación o dispositivo mecánico capaz de desarrollar el
de las barras corrugadas, siempre que los resultados de los ensayos que demuestran que esa fijación o dispositivo es adecuado, estén aprobados por la autoridad competente. Se permite el desarrollo de las barras corrugadas consistente en una combinación de anclaje mecánico más longitud de embebido de las barras corrugadas entre la sección crítica y la fijación o dispositivo mecánico.
En C.12.10.5.3 la referencia a “… barras Nº 36…” debe ser a “… barras Nº 11 (1-3/8”), 32M (32 mm)…”.
En C.12.13.2.1 la referencia a “... barras Nº 16...” debe ser a “... barras Nº 5 (5/8”) ó 16M (16 mm)...”.
En C.12.13.4 debe substituirse
por
.
En C.12.14.2.1 la referencia a “...barras mayores de Nº 36...” debe ser a “...barras mayores de Nº 11 (1-3/8”), 32M (32 mm)...”.
En C.12.14.3.3 la referencia a “...Structural Welding Code–Reinforcing Steel (ANSI/AWS D1.4).” debe ser a “... la norma NTC 4040 (Norma ANSI/AWS D1.4 de la Sociedad Americana de Soldadura).”.
En C.12.16.2 la referencia a “... barras No. 36...” debe ser a “... barras Nº 11 (1-3/8”), 32M (32 mm)...”.
En C.12.19.1 la referencia a 12.8 debe ser a C.12.8.
El literal C.13.3.8.6 debe quedar así:
C.13.3.8.6 - En losas con cabezas de cortante y en la construcción de losas izadas (lift-slab) donde no es práctico pasar las barras inferiores a través de la columna como lo indica C.13.3.8.5, al menos dos barras o alambres inferiores adheridos, en cada dirección, deben pasar a través de las cabezas de cortante o collares de izado tan cerca de la columna como sea posible y deben ser continuos o empalmarse con empalmes por traslapo Clase B o con empalmes mecánicos o soldados que cumplan C.12.14.3. En columnas exteriores, el refuerzo debe anclarse en las cabezas de cortante o collares de izado.
En C.13.6.1.7 la referencia a 8.4 debe ser a C.8.4.
La sección C.15.8.2.3 debe quedar así:
C.15.8.2.3 - En las zapatas, se permite el empalme por traslapo de las barras longitudinales de diámetro Nº 14 (1-3/4”) ó 45M (45 mm) y Nº 18 (2-1/4”) ó 55M (55 mm), sólo en compresión, con pasadores (dowels) para proporcionar el refuerzo requerido para satisfacer lo estipulado en C.15.8.1. Los pasadores (dowels) no deben ser mayores que barras Nº 11 (1-3/8”) ó 32M (32 mm) y deben extenderse dentro del elemento soportado por una distancia no menor que el mayor de
, de barras Nº 14 (1-3/4”) ó 45M (45 mm) y Nº 18 (2-1/4”) ó 55M (55 mm), y la longitud de empalme por traslapo para compresión de los pasadores (dowels), la que sea mayor, y dentro de la zapata por una distancia no menor que
de los pasadores.
En C.16.2.4 la referencia a 1.2 debe ser a C.1.2.
En C.16.4.1 la referencia a 7.12 debe ser a C.7.12.
En C.16.4.2 las referencia a los Capítulos 10 ó 14 debe ser a los Capítulos C.10 ó C.14.
En C.17.5.2 la referencia a 17.5 debe ser a C.17.5.
En el literal (c) de C.18.4.1 los límites
y
deben ser
y
.
El literal C.18.5.1 debe quedar así:
C.18.5.1 - Los esfuerzos de tracción en el acero de preesforzado no deben exceder:
(a) Debido a la fuerza del gato de preesforzado......................................... 0.94
pero no mayor que el mínimo entre 0.80
y el máximo valor recomendado por el fabricante del acero de preesforzado o de los dispositivos de anclaje.
(b) Tendones de postensado, en anclajes y acoples, inmediatamente después de transferencia..................................................................................................0.70![]()
En C.18.9.2.1 la referencia a la ecuación (18-6) debe ser a (C.18-6).
En el literal (b) de C.18.11.2.2 la referencia a “...estribos laterales deben ser por lo menos Nº 10...” debe ser a “...estribos laterales deben ser por lo menos Nº 3 (3/8”), ó 10M (10 mm)...”.
En C.18.18.2.3 la referencia a “...requisitos de ASTM C144...” debe ser a “... los requisitos de la norma NTC 2240 (ASTM C144)...”.
El literal C.21.1.4.1 debe quedar así:
C.21.1.4.1 - Se deben aplicar los requisitos de C.21.1.4 a los pórticos especiales resistentes a momento, muros estructurales especiales, y todos los componentes de muros estructurales especiales incluyendo vigas de acople y machones de muro.
Se introduce un nuevo literal C.21.1.4.4:
C.21.1.4.4 - En estructuras asignadas a Capacidad Especial de Disipación de Energía (DES) los machones de muro deben diseñarse de acuerdo con C.21.9 o C.21.13.
El literal C.21.1.5.1 debe quedar así:
C.21.1.5.1 - Se deben aplicar los requisitos de C.21.1.5 a los pórticos especiales resistentes a momento, muros estructurales especiales y todos los componentes de muros estructurales especiales incluyendo vigas de acople y machones de muro.
El literal C.21.1.5.2 debe quedar así:
C.21.1.5.2 - Todo el refuerzo corrugado (C.3.5.3.1) que resista fuerzas axiales y de flexión inducidas por sismo debe cumplir con las disposiciones de NTC 2289 (ASTM A706M), Grado 420 MPa y especialmente (a) y (b):
(a) La resistencia real a la fluencia basada en ensayos realizados por la fábrica no sea mayor que
en más de 125 MPa;
(b) La relación entre la resistencia real de tracción y la resistencia real de fluencia no sea menor de 1.25.
El literal C.21.3.3 debe quedar así:
C.21.3.3 - Resistencia al cortante
C.21.3.3.1 - El ![]()
de vigas que resisten efectos sísmicos, E, no debe ser menor que el menor de (a) y (b):
(a) La suma del cortante debido a flexión en curvatura inversa asociado con el desarrollo de los momentos nominales de la viga en cada extremo restringido de la luz libre y el cortante calculado para cargas gravitacionales mayoradas.
(b) El cortante máximo obtenido de las combinaciones de carga de diseño que incluyan E, considerando E como el doble del prescrito por el reglamento general legalmente adoptado para diseño sísmico vigente.
C.21.3.3.2 - El ![]()
de columnas que resisten efectos sísmicos, E, no debe ser menor que el menor de (a) y (b):
(a) La suma del cortante debido a flexión en curvatura inversa asociado con el desarrollo de los momentos nominales de la columna en cada extremo restringido de la longitud libre. La resistencia a flexión de la columna debe calcularse para la fuerza axial mayorada, consistente con la dirección de las fuerzas laterales consideradas, que resulte en el mayor valor de la resistencia a flexión.
(b) El cortante máximo obtenido de las combinaciones de carga de diseño que incluyan E, con E incrementado por medio de
.
El literal C.21.3.6.1 debe quedar así:
C.21.3.6.1 - Las columnas de pórticos resistentes a momentos con capacidad moderada de disipación de energía (DMO), sistema estructural 2.a de la Tabla A.3-3 del Capítulo A.3, deben satisfacer C.21.3.6.2 ó C.21.3.6.3.
En C.21.5.2.2 falta un “no” en la última frase, después de la última coma. C.21.5.2.2 quedará así:
C.21.5.2.2 - La resistencia a momento positivo en la cara del nudo no debe ser menor que la mitad de la resistencia a momento negativo proporcionada en esa misma cara. La resistencia a momento negativo o positivo, en cualquier sección a lo largo de la longitud del elemento, no debe ser menor a un cuarto de la resistencia máxima a momento proporcionada en la cara de cualquiera de los nudos.
El literal C.21.5.3.2 debe quedar así:
C.21.5.3.2 – El primer estribo cerrado de confinamiento debe estar situado a no más de 50 mm de la cara del elemento de apoyo. El espaciamiento de los estribos cerrados de confinamiento no debe exceder el menor de (a), (b), y (c):
(a) d/4;
(b) Seis veces el diámetro de las barras longitudinales principales más pequeñas, excluyendo el refuerzo superficial requerido por C.10.6.7 y.
(c) 150 mm.
El literal C.21.5.3.3 debe quedar así:
C.21.5.3.3 - Cuando se requieran estribos cerrados de confinamiento, las barras longitudinales principales para flexión más cercanas a las caras de tracción y compresión deben tener soporte lateral conforme a C.7.10.5.3 ó C.7.10.5.4. El espaciamiento entre barras longitudinales con soporte lateral no debe exceder 350 mm. No hay necesidad de dar soporte lateral al refuerzo superficial requerido por C.10.6.7.
El literal C.21.6.3.2 debe quedar como se indica y el existente se renumera como C.21.6.3.3 así:
C.21.6.3.2 - En columnas con estribos de confinamiento circulares, el mínimo número de barras longitudinales es 6.
C.21.6.3.3 - Los empalmes mecánicos deben cumplir C.21.1.6 y los empalmes...
El literal (b) de C.21.6.4.6 debe quedar así:
(b) El refuerzo transversal, debe extenderse por lo menos
, dentro del elemento discontinuo, donde
se determina para la barra longitudinal mayor de la columna de acuerdo con C.21.7.5. Si el extremo inferior de la columna termina en un muro, el refuerzo transversal requerido debe extenderse dentro del muro por lo menos
de la mayor barra longitudinal de la columna en el punto en que termina. Si la columna termina en una zapata o una losa de cimentación, el refuerzo transversal requerido debe extenderse por lo menos 300 mm en la zapata o losa de cimentación.
El literal C.21.7.4.1 debe quedar así:
C.21.7.4.1 - Para concreto de peso normal
en el nudo no debe ser mayor que los valores especificadas a continuación:
Para nudos confinados por vigas en las cuatro caras.............................
Para nudos confinados por vigas en tres caras o en dos caras opuestas……………………………………………………………………….![]()
Para otros casos......................................................................................
Se considera que una viga proporciona confinamiento al nudo si cubre al menos las tres cuartas partes de la cara del nudo. Se permite considerar como adecuadas para confinar la cara del nudo a las extensiones de las vigas que sobresalen al menos una altura total h hacia afuera de la cara del nudo. Las extensiones de las vigas deben cumplir con C.21.5.1.3, C.21.5.2.1, C.21.5.3.2, C.21.5.3.3 y C.21.5.3.6.
El literal C.21.9.1 debe quedar así:
C.21.9.1 - Alcance Los requisitos de C.21.9 se aplican a muros estructurales especiales de concreto reforzado y todos los componentes de muros especiales incluyendo vigas de acople y machones de muro que forman parte del sistema de resistencia ante fuerzas sísmicas. Los muros estructurales especiales construidos con concreto prefabricado deben cumplir, además con C.21.10.
El literal C.21.9.4.4 debe quedar así:
C.21.9.4.4 - Para todos los segmentos verticales de muro que resistan una fuerza lateral común, el
combinado no debe tomarse mayor que
, donde
es el área bruta combinada de todos los segmentos de muro. Para cualquiera de los segmentos de muro individuales,
no debe suponerse mayor que
donde
representa el área de la sección transversal de concreto del segmento vertical de muro considerado.
El literal (e) de C.21.9.6.4 debe quedar así:
(e) El refuerzo horizontal en el alma del muro debe extenderse hasta al menos 150 mm del borde del muro. El refuerzo debe anclarse para desarrollar
dentro del núcleo confinado del elemento de borde usando ganchos estándar o cabezas. Cuando el elemento de borde confinado tiene una dimensión suficiente para desarrollar el refuerzo horizontal del alma del muro y el valor de
del refuerzo horizontal del alma del muro no es mayor que el valor de
del refuerzo transversal del elemento de borde paralelo al refuerzo del alma, se permite terminar el refuerzo del alma sin un gancho estándar o una cabeza.
Los literales C.21.9.8 y C.21.9.9 se renumeran respectivamente como C.21.9.9 y C.21.9.10, y se introduce un nuevo C.21.9.8 así:
C.21.9.8 - Machones de muro
C.21.9.8.1 - Los machones de muro deben cumplir los requisitos de columnas de pórticos especiales a momento dados en C.21.6.3, C.21.6.4, y C.21.6.5, interpretando las caras de los nudos como la parte inferior y superior de la altura libre del machón de muro. Alternativamente, los machones de muro que cumplan
deben cumplir (a) hasta (f) siguientes:
(a) La fuerza cortante de diseño debe determinarse de acuerdo con C.21.6.5.1 con las caras de los nudos tomadas como la parte superior y la parte inferior de la altura libre del machón de muro. El Capítulo A.3 del Reglamento NSR-10 incluye requisitos para tener en cuenta la sobre resistencia del sistema de resistencia sísmica, la fuerza de diseño no debe exceder
veces el corte mayorado obtenido del análisis de la estructura para los efectos de las fuerzas sísmicas.
(b) Tanto
como el refuerzo de cortante distribuido deben cumplir con C.21.9.4.
(c) El refuerzo transversal debe estar compuesto por estribos de confinamiento excepto que se permite el uso de refuerzo horizontal de una sola rama paralelo a
cuando el muro tenga solo una capa de refuerzo distribuido. El refuerzo horizontal de una sola rama debe tener ganchos de 180 grados en cada extremo que abracen el refuerzo longitudinal del borde del machón.
(d) La separación vertical del refuerzo transversal no debe exceder 150 mm.
(e) El refuerzo transversal debe extenderse como mínimo 300 mm por encima y por debajo de la luz libre del machón de muro.
(f) Se deben colocar elementos de borde especiales si son requeridos por C.21.9.6.3.
C.21.9.8.2 - En aquellos casos en que los machones de muro queden localizados en los bordes del muro debe colocarse refuerzo horizontal en los segmentos adyacentes de muro por encima y por debajo del machón de muro con el fin de que transfiera la fuerza cortante de diseño del machón de muro a los segmentos de muro adyacente.
Debe adicionarse la sección C.21.12.1.3 siguiente, la cual fue omitida:
C.21.12.1.3 - Además de los requisitos dados en C.21.12 deben cumplirse para pilotes y cajones de cimentación los requisitos de C.15.11.
El literal C.21.13.2 debe quedar así:
C.21.13.2 - Los elementos estructurales que se supone no contribuyen a la resistencia lateral, excepto losas en dos direcciones sin vigas y machones de muro, deben detallarse de acuerdo con lo indicado en C.21.13.3 y C.21.13.4 dependiendo de la magnitud de los momentos inducidos en estos elementos cuando son sometidos al desplazamiento de diseño u. Si los efectos de u no son explícitamente verificados, se pueden aplicar los requisitos de C.21.13.4. Para losas de dos direcciones sin vigas, las conexiones losa-columna deben cumplir con las disposiciones de C.21.13.6. Los machones de muro deben cumplir los requisitos de C.21.13.7.
Se introduce un nuevo literal C.21.13.7:
C.21.13.7 - Los machones de muro que no se designan como parte del sistema de resistencia de fuerzas sísmicas deben cumplir los requisitos de C.21.9.8. En el Capítulo A.3 del Reglamento NSR-10 se incluyen requisitos para la sobre resistencia del sistema de resistencia de fuerzas sísmicas, lo cual permite determinar la fuerza cortante de diseño como
veces el cortante inducido bajo los desplazamientos de diseño, u.
La sección C-C.9.2 debe quedar así:
C-C.9.2 - Resistencia requerida
C-C.9.2.1 - La resistencia requerida U, que debe resistir la carga muerta D y la carga viva L, no debe ser menos que:
U = 1.4D+1.7L (C-C.9-1)
C-C.9.2.2 - Para estructuras que también resisten W, carga por viento, o E, los efectos de carga por sismo, U no debe ser menos que el mayor valor obtenido de las ecuaciones (C-C.9-1), (C-C.9-2) y (C-C.9-3):
U = 0.75(1.4D+1.7L)+(1.0W ó 1.0E) (C-C.9-2)
y
U = 0.9D+(1.0W ó 1.0E) (C-C.9-3)
En C-D.5.2.9 la referencia al Capítulo C.21 debe ser al Capítulo C.12.
En la tabla de conversiones del Apéndice C-F, deben corregirse las siguientes líneas:
| Sistema SI esfuerzos en MPa | Sistema mks esfuerzos en kgf/cm2 | Sistema Ingles esfuerzos en libras por pulgada cuadrada (psi) | |
| 1 MPa | 10 kgf/ cm2 | 145 psi | |
| Sección C.11.11.2.2 | |||
| (C.21-2) | 100mm | 10cm | 4in. |
En D.1.3.1 al final de la última frase de esta sección se debe hacer la siguiente modificación:
“… bajo estricta supervisión técnica de un profesional idóneo, Ingeniero Civil, o Arquitecto o Constructor en Ingeniería y Arquitectura debidamente matriculado, o un representante competente bajo su responsabilidad.”
En D.2.3 las referencias a las normas NTC 1925, 2310 y 4002 deben suprimirse y se debe incluir una nueva referencia a la norma NTC 5806 - Alambre de acero liso y grafilado y mallas electrosoldadas para refuerzo de concreto (ASTM A1064/1064M).
De igual forma en D.2.3 las referencias a las normas ASTM A82, A185 y A497M deben suprimirse y se debe incluir una nueva referencia a la norma “ASTM A1064/1064M - Standard Specification for Steel Wire and Welded Wire Reinforcement, Plain and Deformed, for Concrete (NTC 5806)”.
El literal D.4.9.1 debe quedar así:
D.4.9.1 - Las juntas de construcción entre edificaciones estructuralmente independientes deben realizarse permitiendo los desplazamientos laterales sin interferencias por golpeteo entre las mismas. En edificaciones colindantes se deben cumplir los requisitos de A.6.5. Las juntas de construcción deben estar libres de escombros y demás materiales que limiten la libertad a los desplazamientos horizontales. El acabado de las fachadas se debe suspender en las juntas de construcción utilizando elementos flexibles para prevenir la humedad.
Los literales (a) y (b) de D.7.2.1.1 debe quedar así:
(a) El espaciamiento horizontal entre refuerzos verticales deberá ser el menor de un tercio de la longitud del muro, un tercio de la altura del muro o de 1200 mm.
(b) El refuerzo horizontal requerido para resistir la fuerza cortante en la dirección paralela al plano del muro deberá ser espaciado uniformemente a una distancia vertical no mayor de un tercio de la longitud del muro, un tercio de la altura del muro ni 1200 mm y deberá estar embebido en mortero de relleno.
El literal E.1.3.4.3 debe quedar así:
E.1.3.4.3 - Juntas sísmicas
E.1.3.4.3.1 - De acuerdo con lo dispuesto en A.6.5.2.3(c) y en la Tabla A.6.5-1 las edificaciones con uno o dos pisos aéreos en la colindancia no requieren separación sísmica; se sugieren las juntas sísmicas en los siguientes casos:
(a) Cuando la relación de la longitud con respecto al ancho, en planta, excede 3:1.
(b) Cuando el terreno tiene pendientes superiores al 30%. La junta sísmica debe colocarse de manera que separe cada una de las viviendas sin que hayan muros medianeros entre dos viviendas contiguas.
(c) Cuando en conjuntos de casas seriadas medianeras, coexisten las casas de bahareque con otras de diferentes materiales, como mampostería, concreto reforzado, acero, etc.
(d) Casas construidas independientemente.
E.1.3.4.3.2 - Se sugiere una junta sísmica con una dimensión mínima de j veces la altura de la edificación, medida hasta el caballete de la cubierta. El valor de j debe establecerse con base en la Tabla E.1.3-1
Tabla E.1.3-1
Espacio mínimo de separación sugerido
| Estructura | j (m/m) | |
| Mampostería | Bahareque | |
| Edificación con aberturas de más del 25% de las fachadas | 0.015 | 0.020 |
| Edificación con aberturas de menos del 25% de las fachadas | 0.010 | 0.015 |
E.1.3.4.3.3 – Las edificaciones separadas por la junta sísmica sugerida pueden compartir cimentaciones, pero deben separarse desde el nivel del sobrecimiento de manera que actúen independientemente.
El Apéndice E-B del Título E se omitió por error. Se presenta a continuación y debe ser incluido al final del Título E.
APÉNDICE E-B
ILUSTRACIÓN DE UNIONES
E-B.1 –ALCANCE
E-B.1. – Se presentan algunas ilustraciones para complementar los numerales E.8.3 a E.8.5

Figura E-B.1 Conexión cimiento – columna de guadua con separador en pletina

Figura E-B.2 Conexión cimiento – columna de guadua con separador tubular

Figura E-B.3 Conexiones para columnas de más de una guadua

Figura E-B.4 unión entre muros en el mismo plano con pie derechos de madera aserrada

Figura E-B.5 Unión entre muros en el mismo plano con pie derechos de guadua

Figura E-B.6 Unión de muros en planos perpendiculares – esquina

Figura E-B.7 Unión de muros en planos perpendiculares en forma de “T”

Figura E-B.8 Unión de muros en planos perpendiculares en forma de cruz
El tercer parágrafo de F.2.1.1 debe quedar así:
Cuando se presenten condiciones que no estén cubiertas por este Capítulo, se permitirá que los diseños se basen en pruebas o análisis basados en criterios alternos, bajo la responsabilidad del diseñador, y cumpliendo lo requerido por la Ley 400 de 1997 para estas situaciones.
En el literal F.2.1.2 la definición de “Acero estructural” debe quedar así:
Acero estructural - Elementos de acero según se definen en la sección 2.1 del Código de Prácticas Estándar para Estructuras de Acero, Norma Técnica Colombiana ICONTEC.
En el literal F.2.1.4 la siguiente referencia bajo “Instituto Colombiano de Normas Técnicas (ICONTEC)” debe modificarse como se indica:
* Código de Prácticas Estándar para Estructuras de Acero, Norma Técnica Colombiana ICONTEC
En el mismo literal F.2.1.4 se debe incluir la siguiente referencia bajo “ASTM International (ASTM):
*A769/A769M -05 “Perfiles estructurales electrosoldados de acero al carbono y de alta resistencia”
En el primer parágrafo de F.2.1.6 debe quedar así:
F.2.1.6 - PLANOS Y ESPECIFICACIONES DEL DISEÑO ESTRUCTURAL - Los planos y especificaciones de diseño deben ajustarse a los requisitos del Código de Prácticas Estándar para Estructuras de Acero, Norma Técnica Colombiana ICONTEC, excepto por las desviaciones señaladas expresamente en dichos planos y especificaciones de diseño.
En el primer parágrafo de F.2.2.3.6 después de la referencia a F.2.3 debe substituirse la palabra “siembre” por “siempre”.
En el segundo parágrafo de F.2.2.3.6 debe quedar así:
La resistencia requerida a carga axial en viga-columnas a las cuales se les quiera realizar redistribución de momentos no debe exceder a
,
En el primer parágrafo de F.2.2.4.1.1 debe quedar así:
F.2.2.4.1.1 - Elementos no atiesados - Para elementos no atiesados, o sea aquellos con un borde libre paralelo a la dirección de la fuerza de compresión, el ancho se toma como sigue:
En la primera columna a la izquierda de la Tabla F.2.2.4-1a de los Casos 5, 6 y 7 la celda se encuentra en blanco y debe contener el texto vertical de “Elementos Atiesados”. De igual forma en la misma columna en los Casos 8 y 9 donde dice “Elementos Atiesad” debe ser “Elementos Atiesados”.
En la primera columna a la izquierda de la Tabla F.2.2.4-1b en los casos 10 a 14 debe decir en el texto vertical “Elementos no Atiesados” y en los casos 15 y 16 “Elementos Atiesados”. En la celda de la cuarta columna del Caso 19 donde dice
debe ser
. En las notas al final de la Tabla en el literal (a) donde dice (véanse los casos 2 y 4) debe ser (véanse los casos 2 y 11).
El título de F.2.3.2 debe quedar así, dejando el resto igual:
F.2.3.2 - CÁLCULO DE LAS RESISTENCIAS REQUERIDAS - Para el método de diseño por análisis directo, las resistencias requeridas de los componentes...
En el numeral (2) de F.2.3.2.1 la referencia que se hace a F.2.2.1 debe ser a F.2.3.2.3.
Deben hacerse las dos siguientes correcciones en el segundo parágrafo de F.2.3.2.2:
Las imperfecciones que se consideran en este numeral son aquellas relativas a la localización de los puntos de intersección de miembros. ... ... definidos en el Código de Prácticas Estándar para Estructuras de Acero (ICONTEC).
El final del segundo parágrafo de F.2.3.2.2.1 debe quedar así:
... se especifica en el Código de Prácticas Estándar para Estructuras de Acero (ICONTEC), o en las magnitudes reales de las imperfecciones cuando sean conocidas.).
El primer parágrafo del numeral (2) de F.2.3.2.2.2 debe quedar así:
(2) En cualquier nivel, la carga ficticia,
, se distribuirá de la misma manera que las cargas de gravedad en dicho nivel. Las cargas ficticias se aplicarán en la dirección en que produzcan el máximo efecto desestabilizador.
El primer parágrafo del numeral (3) de F.2.3.2.2.2 debe quedar así:
(3) El coeficiente usado en la expresión de la carga ficticia, fórmula F.2.3.2-1, igual a 0.002, se basa en la suposición de que existe un desplome inicial de 1/500 en cada nivel. Cuando de manera justificada se pueda suponer un desplome más pequeño, el coeficiente de carga ficticia se puede ajustar proporcionalmente.
El segundo parágrafo del numeral (3) de F.2.3.2.2.2 debe quedar así:
El valor de 1/500 corresponde al máximo desplome de una columna permitido por el Código de Prácticas Estándar para Estructuras de Acero, ICONTEC. En algunos casos pueden controlar otras tolerancias especificadas, como las relativas a la posición de las columnas en planta, y pueden requerirse tolerancias más estrechas en la verticalidad de las columnas.
El numeral (4) de F.2.3.2.2.2 debe quedar así:
(4) En estructuras donde la relación entre la máxima deriva del análisis de segundo orden y la máxima deriva del análisis de primer orden (ambas obtenidas usando cargas mayoradas, con las rigideces ajustadas según se especifica en el numeral F.2.3.2.3) es igual o menor que 1.7 para todos los pisos, se permite aplicar las cargas ficticias,
, para las combinaciones de cargas gravitacionales únicamente, y no aplicarlas en combinación con otras cargas laterales.
En el literal (b) del numeral (2) de F.2.3.2.3 debe corregirse la ecuación (F.2.3.2-2b) y donde se definen las variables, así:
(F.2.3.2-2b)
donde:
= resistencia requerida a compresión axial, N
=
, resistencia a la fluencia del miembro, N
En el numeral (3) de F.2.3.2.3 debe suprimirse el texto que dice![]()
El literal F.2.3.2 figura repetido. La segunda ocurrencia debe corregirse como de F.2.3.3 y el título debe quedar así:
F.2.3.3 - CÁLCULO DE LAS RESISTENCIAS DE DISEÑO - Para el método de diseño por análisis directo, las resistencias de diseño de los...
En la Tabla F.2.4.3-1 deben hacerse los siguientes cambios:
* En la fila de la Tabla correspondiente al Caso 4, en la tercera columna, en la primera línea de la celda, donde dice “
U = 1.0”, debe ser “
U = 1.0”.
* En la celda de la fila de la Tabla correspondiente al Caso 5, en la cuarta columna, debe colocarse la siguiente figura:

La última frase de F.2.4.6.2 debe quedar así:
... El ancho entre el borde del agujero y el borde de la platina, medido perpendicularmente a la dirección de la carga aplicada, debe ser mayor que 2/3 del ancho del cuerpo de la barra de ojo, pero para efectos de cálculo se tomará como máximo igual a los 3/4 de dicho ancho del cuerpo de la barra de ojo.
En F.2.5 donde se indica “Para casos no incluidos en este numeral, se aplican los siguientes numerales:” la enumeración que sigue debe corregirse así:
* F.2.8.1 a F.2.8.2: Miembros solicitados por compresión axial y flexión combinadas.
* F.2.8.3: Miembros solicitados por compresión axial y torsión.
*F.2.10.4.4: Resistencia de diseño a compresión de elementos de conexión
* F.2.9.2: Miembros de sección compuesta cargados axialmente
En F.2.5.4 en la definición de términos después de la ecuación (F.2.5.4-11), donde se define
la palabra “rdio” debe substituirse por “radio”.
En F.2.5.5 la nomenclatura de las subsecciones que se designan como (i) e (ii) debe substituirse por (a) y (b), respectivamente.
En el numeral (1) de F.2.5.6.2 la referencia a F.2.2.41 debe ser a F.2.2.4.1.
El primer párrafo del literal (b) de F.2.5.7.2 debe quedar así:
(b) Para elementos de secciones cuadradas o rectangulares con elementos esbeltos de espesor uniforme donde...
En F.2.5.7 en el texto donde se define el término
después de la ecuación (F.2.5.7-3) la relación
debe ser
.
En F.2.5.7.2 la ecuación (F.2.5.7-16) debe quedar así:
(F.2.5.7-16)
donde:
= área total de la sección transversal del miembro, ![]()
= sumatoria de las áreas efectivas de los elementos de la sección transversal, calculadas con base en los anchos efectivos reducidos,
, ![]()
En el literal (b) de F.2.5.7.2 donde dice “... para aletas de secciones...” debe ser “... para paredes de secciones...” y después de la ecuación (F.2.5.7-18) donde se definen las variables deben hacerse las siguientes correcciones:
donde:
![]()
En lugar de calcular
, lo cual requiere un proceso iterativo, se puede de manera conservadora tomar f igual a
.
En F.2.6 en la enumeración después del texto “Para casos no incluidos en este numeral, se aplican los siguientes numerales:” deben corregirse:
F.2.8.1, F.2.8.2 - Miembros solicitados por flexión...
F.2.8.3 - Miembros solicitados por flexión y torsión
La ecuación (F.2.6.2-5) contenida en el literal F.2.6.2.2 debe quedar así:
(F.2.6.2-5)
En F.2.6.4.2 en la línea anterior a la ecuación (F.2.6.4-7) donde dice “...estado límite de fluencia en la aleta a compresión...” debe ser “... estado límite de plastificación de la sección...”
La ecuación (F.2.6.6-4) contenida en el literal F.2.6.6.2 debe quedar como se indica a continuación y además se debe corregir la definición de la variable
:
(F.2.6.6-4)
y
, límite de esbeltez para aletas no compactas, Tabla F.2.2.4-1b
La ecuación (F.2.6.7-2) contenida en el literal F.2.6.7.2 se debe corregir así:
(F.2.6.7-2)
La ecuación (F.2.6.9-3) debe quedar así:
Mn
my , cuando el alma está en comprensión (F.2.6.9-3)
En la última línea de F.2.6.9.3 donde dice “...y tomando el numeral F.2.6.10-1 como límite superior.” debe ser “... y tomando la ecuación F.2.6.10-1 como límite superior.”.
En el primer párrafo de F.2.6.13.5 la referencia a F.2.2.3.7 debe ser a F.2.2.3.6. En el literal (a) de F.2.6.13.5 donde dice “... de simetría simple o doble, con la aleta a compresión...” debe ser “... de simetría doble, o de simetría simple con la aleta a compresión...”. En el último párrafo de F.2.6.13.5 donde dice “... circular o rectangular ni para una viga...” debe ser “...circular o cuadrada ni para una viga...”.
En F.2.7.3.3 la ecuación (F.2.7.3-4) debe quedar así:
(F.2.7.3-4)
y
= mínimo momento de inercia requerido en el rigidizador transversal para desarrollar la resistencia al pandeo por cortante en el alma más la resistencia asociada a la acción del campo tensionado,
,
.
= la mayor entre las resistencias a cortante en los paneles del alma adyacentes al rigidizador, N
= la menor entre las resistencias de diseño a cortante en los paneles del alma adyacentes al rigidizador, con
calculada según el numeral F.2.7.2.1, N.
= la menor entre las resistencias de diseño a cortante en los paneles del alma adyacentes al rigidizador, con
calculada según el numeral F.2.7.3.2, N.
En F.2.8.1.3 donde se definen las variables después de la ecuación (F.2.8.1-2) donde dice “
” debe ser “
”. Además, la expresión (
) en el penúltimo parágrafo debe ser (
).
En F.2.8.2, la ecuación F.2.8.2-1 debe quedar así:
1.0 (F.2.8.2-1)
En F.2.8.3.1, la definición de términos de la ecuación F.2.8.3-5 debe quedar así;
h = ancho plano del lado mayor, según se define en el numeral F.2.2.4.1,2 (d), mm
t = espesor de diseño de la pared, según se define en el numeral F.2.2.4.2, mm
En el literal (c) de F.2.9.1.1, donde dice “... en el numeral F.2.9.2.1.1(2)” debe decir “... en el numeral F.2.9.2.1.1(b)”.
El encabezamiento de F.2.9.2.1, donde dice “Columnas compuestas tipo perfil revestido” debe decir: “Miembros compuestos tipo perfil revestido”
El encabezamiento de F.2.9.2.1.1, donde dice “Para que un miembro califique como columna compuesta tipo perfil revestido” debe decir: “Para que un miembro califique como miembro compuestos tipo perfil revestido”
El tercer párrafo (segundo de la lista) del literal (a) Generalidades de F.2.9.3.2.3, debe quedar así:
* La losa de concreto se conectará a la viga de acero por medio de conectores tipo espigo con cabeza o tipo perno, soldados, de diámetro menor o igual que 19 mm (AWS D1.1). Los espigos o pernos pueden soldarse ya sea a través de la lámina o directamente a la viga de acero. Los espigos o pernos, una vez instalados, deberán extenderse por lo menos 38 mm por encima del nivel superior del tablero metálico, y deberán quedar con un recubrimiento en concreto de 13 mm como mínimo por encima de su extremo superior.
El quinto parágrafo debe quedar así:
* El tablero metálico estará anclado a todos los miembros de soporte a espacios no superiores a 460 mm. Tal anclaje será proporcionado mediante conectores tipo espigo con cabeza o pernos, una combinación de conectores tipo espigo cono cabeza o pernos y arandelas con soldaduras de tapón, u otro sistema especificado por el diseñador.
El tercer párrafo (segundo de la lista) del literal (c) Generalidades de F.2.9.3.2.3, debe quedar así:
Cuando el peralte nominal del tablero metálico sea de 38 mm o mayor, el ancho promedio del capitel o nervadura soportado por la viga,
, no deberá ser menor que 50 mm por el primer espigo o perno, más 4 diámetros de espigo o perno, por cada espigo o perno adicional en la hilera transversal.
En el texto del literal (b) de F.2.9.3.2.4.2, debe quedar así:
(b) Resistencia al corte de los conectores tipo espigo con cabeza, tipo perno, o tipo canal
La ecuación (F.2.9.3-3b) contenida en el literal F.2.9.3.4.2 debe quedar así:
(F.2.9.3-3b)
En F.2.9.4.1, los literales (b) y (c) deben decir:
(b) La resistencia de diseño a cortante de la sección de concreto reforzado (concreto más acero de refuerzo) tomada aisladamente, según se especifica en el Título C de este Reglamento, usando un coeficiente de reducción de resistencia,
, igual a 0.75.
(c) La resistencia nominal a cortante de la sección de acero según se especifica en el numeral F.2.7 más la resistencia nominal del acero de refuerzo calculada según se especifica en el Título C de este Reglamento, multiplicadas por un coeficiente de reducción de resistencia,
, igual a 0.75.
El literal F.2.9.4.2 debe quedar así:
F.2.9.4.2 - Vigas Compuestas con Losa sobre Tablero Metálico - La resistencia de diseño a cortante de vigas compuestas con conectores de acero tipo espigo con cabeza, tipo perno o tipo canal se determinará con base en las propiedades de la sección de acero tomada aisladamente, de acuerdo con el numeral F.2.7.
En el segundo parágrafo de literal F.2.9.6.1 la variable que figura como
debe ser
.
En el literal F.2.9.6.2.1 y en el lado izquierdo de la ecuación F.2.9.6-1 la variable que figura como
debe ser
. Además en este mismo literal, en el lado derecho de la ecuación F.2.9.6-1 y en la definición de términos, la variable que figura como
debe ser
.
En el literal F.2.9.6.2.2 y en el lado izquierdo de la ecuación F.2.9.6-2 la variable que figura como
debe ser
. Además en este mismo literal, en el lado derecho de la ecuación F.2.9.6-2 la variable que figura como
debe ser
.
En el primer parágrafo del literal F.2.9.6.2.3 la variable que figura como
debe ser
.
En el primer parágrafo de F.2.9.6.3.2, y en la definición del término
se debe suprimir el texto “, tipo perno”.
En el primer parágrafo de F.2.9.6.3, al final, la palabra “perno” debe substituirse por “pero”.
El primer parágrafo de F.2.9.8.1, debe quedar así:
F.2.9.8.1 - Requisitos Generales - El diámetro de los espigos o pernos no será mayor que 2.5 veces el espesor de la aleta de la viga a la cual se sueldan, a menos que estén situados sobre el alma.
El primer parágrafo de F.2.9.8.2, debe quedar así:
F.2.9.8.2 - Conectores de acero en vigas compuestas - La longitud de los conectores tipo espigo con cabeza o tipo perno, medida desde su base hasta el extremo superior de la cabeza después de instalados, no será inferior a cuatro diámetros del espigo o perno.
En F.2.9.8.2.1 donde se definen las variables, la definición de
debe ser
, en la definición de
, se debe quitar el segundo “para”, y la definición de
debe quedar así:
= 0.6 para conectores de acero tipo espigo con cabeza soldados en una losa compuesta con el tablero metálico orientado perpendicularmente a la viga y
< 50mm.
En F.2.9.8.2.4 en el tercer parágrafo, donde dice “...según el numeral F.2.9.8.2.1 o el numeral F.2.9.8.2.2. El número...”, debe decir: “...según el numeral F.2.9.8.2.1, el numeral F.2.9.8.2.2 o el numeral F.2.9.8.2.3. El número...”.
En F.2.9.8.2.5 en el tercer parágrafo, donde dice “...El mínimo espaciamiento centro a centro entre conectores tipo espigo será...”, debe decir: “...El mínimo espaciamiento centro a centro entre conectores tipo espigo o tipo perno será...”.
En el quinto parágrafo de F.2.9.8.3, donde dice “...Adicionalmente, el espaciamiento y las tolerancias dimensionales que se suministran en estas provisiones previenen la ocurrencia de los estados límites de efecto de palanca en el concreto para conectores solicitados por cortante y de rotura del concreto...”, debe decir: “...Adicionalmente, el espaciamiento y los límites dimensionales que se suministran en estas provisiones previenen la ocurrencia de los estados límites de desprendimiento del concreto por cabeceo del conector para conectores solicitados por cortante y de arrancamiento del concreto..”.
En el literal (a) de F.2.9.8.3.1 la referencia que se da al final a la ecuación F.2.9.8-3 debe ser a la ecuación F.2.9.8-4.
En el literal (a) de F.2.9.8.3.2 la referencia que se da al final a la ecuación F.2.9.8-4 debe ser a la ecuación F.2.9.8-5.
En el literal F.2.9.8.3.3 y en el lado izquierdo de la ecuación F.2.9.8-6 y en la definición de términos las variables que figuran como
y
debe ser
y
respectivamente.
En el literal F.2.10 en el listado de casos no incluidos en este numeral, donde dice el “Numeral F.2.16 Diseño por Fatiga” debe substituirse por “Numeral F.2.17 Diseño por Fatiga”.
En el literal F.2.10.1.5, donde dice el “... según se define en los numerales F.2.1.3.1.3 y F.2.1.3.1.4, usando...” debe substituirse por “... según se define en los numerales F.2.1.5.1.3 y F.2.1.5.1.4, usando...”.
En el cuarto parágrafo del literal F.2.10.1.6, donde dice el “...Para secciones pesadas según se define en los numerales F.2.1.3.1.3 y F.2.1.3.1.4, las superficies...” debe substituirse por “...Para secciones pesadas según se define en los numerales F.2.1.5.1.3 y F.2.1.5.1.4, las superficies...”.
En la nota 3) de la Figura F.2.10.1-1 la referencia a F.2.1.3.1.3 y F.2.1.3.1.4 debe ser a F.2.1.5.1.3 y F.2.1.5.1.4.
En F.2.10.1.8 la referencia que F.2.1.3.3 debe ser a F.2.1.5.3.
En el literal (a) de F.2.10.2.4 donde dice “... Para un grupo de soldaduras, todas en una línea o todas paralelas...”, debe decir “... Para un grupo de soldaduras con el mismo tamaño de filete, todas en una línea o todas paralelas...” y al final de la definición de la variable
debe agregarse “..., grados”. Además la ecuación F.2.10.2-8 debe quedar así:
(F.2.10.2-8)
La celda correspondiente a la quinta columna y la cuarta fila después del título “SOLDADURAS ACANALADAS DE PENETRACIÓN PARCIAL INCLUYENDO SOLDADURAS EN MEDIA-V CONVEXA Y EN V CONVEXA” de la Tabla F.2.10.2-5, donde dice “Véase F.2.10.4”, debe ser “Véase F.2.10.2.4”.
En la Tabla F.2.10.2-5, En la última columna de la sección bajo el encabezamiento SOLDADURAS ACANALADAS DE PENETRACIÓN PARCIAL INCLUYENDO SOLDADURAS EN MEDIA-V CONVEXA Y EN V CONVEXA, el texto “Se permite el uso de metal de aporte con un nivel de resistencia menor o igual que el del metal de aporte compatible” debe abarcar todos los casos. Eliminar la línea horizontal de separación y la repetición del texto.
En la primera fila de la sección bajo el encabezamiento SOLDADURAS DE TAPÓN Y DE RANURA de la Tabla F.2.10.2-5, donde dice “Gobernada por F.2.10.4” debe decir “Controlada por F.2.10.4”
En el literal F.2.10.2.6 donde dice “Se debe usar un metal de aporte con una tenacidad de 27 J a 4ºC según...” debe decir “Se debe usar un metal de aporte con una tenacidad mínima de 27 J a 4ºC según...”.
En el literal F.2.10.3 donde dice “No existen requisitos específicos para valores mínimos o máximos de la tensión en pernos a instalarse con ajuste justo. Se permite...” debe decir “No existen requisitos específicos para valores mínimos o máximos de la tensión en pernos a instalarse con apriete ajustado. Se permite...”.
En la Tabla F.2.10.3-2 donde dice “... los requisitos del numeral F.2.1.3.4...” debe decir “... los requisitos del numeral F.2.1.5.4...”.
En el literal F.2.10.3.6 donde dice “... La resistencia de diseño a tensión o cortante,
, para pernos...” debe decir “...La resistencia de diseño a tensión o cortante, f, para pernos..”.
El título del literal F.2.10.5.3 debe quedar así “F.2.10.5.2 – Platinas de relleno con pernos –”.
En el literal (b) de F.2.10.7, los ordinales aparecen como (ii) y (iii), deben ser (i) y (ii).
En el primer parágrafo de F.2.10.10.4, donde dice “...entre la aleta a tensión y la aleta a compresión, que recibe la carga.”, debe decir “...entre la aleta a tensión y la aleta a compresión.”.
En el ordinal (ii) del literal (b) de F.2.10.10.4, el límite que aparece como
debe ser
.
En el último parágrafo de F.2.10.10.4, donde dice “...En el numeral F.2.19 se dan criterios...”, debe decir “...En el numeral F.2.20 se dan criterios”.
La celda correspondiente a la segunda fila de la segunda columna de la Tabla F.2.11.1-1 debe quedar así:
Flexión en la Platina
| En el plano -- | Fuera del plano |
En la figura de la fila 4, donde dice
debe ser V.
En la figura de la fila 5, donde dice
debe ser R.
La ecuación (F.2.11.1-5) debe quedar así: 1-0.3U(1+U)
En la Tabla F.2.11.1-1A donde dice “...para conexiones con tapa a compresión...” debe ser “...para conexiones sobre tapa de extremo a compresión....”.
Donde dice , debe ser: .
La celda correspondiente a la segunda fila de la segunda columna de la Tabla F.2.11.1-2 debe quedar así:
Estado límite: fluencia a cortante (punzonamiento) en el PTE, cuando ![]()
(F.2.11.1-8)
![]()
En el encabezamiento de la segunda figura, donde dice “Conexiones en T, en Y y en cruz, bajo carga axial en la platina.”, debe decir “Conexiones en T, en Y y en cruz con platina longitudinal, bajo carga axial en la platina.”.
En la Tabla F.2.11.1-2A donde dice
, debe ser:
.
En los literales (a), (b), y (c) de F.2.11.2, donde dice (
), debe ser (
).
En F.2.11.2, en los sitios donde dice “... una conexión en k”, debe ser “... una conexión en K”.
En la Tabla F.2.11.2-1A, donde dice “Relación de esbeltez de la pared de la cuerda”, debe ser “Relación de esbeltez de la pared del miembro principal”.
En la ecuación F.2.11.2-15, eliminar
del final de la ecuación.
En la Tabla F.2.11.2-2, para el caso de conexiones en K con separación, donde dice “No se requiere esta verificación para ramales en PTE cuadrado.” debe ser “No se requiere esta verificación para miembros principales en PTE cuadrado.”.
En la Tabla F.2.11.2-2, para el caso de conexiones en K con traslapo, en la figura acotar el espesor t en la sección transversal del miembro principal.
En la Tabla F.2.11.2-2, en la sección FUNCIONES, la definición de
debe quedar así:
para una conexión a una superficie a tensión en el miembro principal
En el lado izquierdo de la ecuación F.2.11.2-22, donde dice Pn,ramalquetraslapa debe ser Pn,ramal traslapado
La ecuación F.2.11.2-24, debe quedar así:

En la Tabla F.2.11.2-2A, la definición de Relación de separación debe quedar así:
Relación de separación:![]()
En el literal F.2.11.3, donde dice “... estando el miembro o los ramales solicitados por momentos flectores” debe quedar así: “...estando el ramal o los ramales solicitados por momentos flectores”.
En el literal F.2.11.3.1, se debe eliminar la línea donde se define
.
En las Tablas F.2.11.3-1 y F.2.11.3-2 la ecuación (F.2.11.1-6) debe quedar así:

En la Tabla F.2.11.3-2 en la figura, para el caso “Ramal(es) solicitado(s) por flexión fuera del plano, para conexiones en T y en cruz”, la variable
debe ser
.
La ecuación F.2.11.3-12 debe quedar así:

En las ecuaciones F.2.11.4-1, F.2.11.4-4, F.2.11.4-5, F.2.11.4-8, F.2.11.4-9, F.2.11.4-10, y F.2.11.4-11 la variable que figura como
tanto en las ecuaciones como en las definiciones de variables, debe substituirse por la letra
con el mismo subíndice así;
o
para mayor claridad.
En la Tabla F.2.11.4-1, ecuación (F.2.11.2-13) donde dice
debe ser
.
En la Tabla F.2.11.4-1, la ecuación (F.2.11.2-13) debe quedar así:
, ramal que traslapa =

En la ecuación (F.2.11.2-20) donde dice
debe ser ![]()
En la Tabla F.2.11.4-1, en la figura para el caso “Conexiones en K con traslapo solicitadas por carga axial en el ramal”, marcar como A-A la sección anotada
En la Tabla F.2.11.4-1, debajo del texto “Nótese que el sentido de las fuerzas mostradas puede invertirse; las marcas “i” y “j” determinan la identificación del elemento.” agregar el texto: “Sección A-A para conexiones en K con traslapo”.
En la Tabla F.2.11.4-1, al final de la última casilla de la segunda columna, agregar:
no se tomará mayor que 2t.
En la ecuación (F.2.11.4-9) en el lado derecho de la ecuación, donde dice 2(Bb-1.2tb) se debe quitar el 2 y dejar solo la parte entre paréntesis así: (Bb- 1.2tb).
El literal F.2.13.2.7 debe quedar así:
F.2.13.2.7 - Tolerancias Dimensionales - Las tolerancias dimensionales estarán de acuerdo con el Código de Practicas Estándar para Estructuras de Acero, Norma Técnica Colombiana ICONTEC.
En el numeral (1) del literal F.2.13.2.8 donde se hace referencia en el texto entre paréntesis que dice “(excepto según lo especificado en los subpárrafos 2 y 3 de este numeral)” debe quedar ahora en las dos ocurrencias de este texto así: “(excepto lo especificado en los literales (b) y (c) siguientes)”.
El primer parágrafo de F.2.13.3.1 debe quedar así:
F.2.13.3.1 - Requisitos Generales - La preparación de la superficie y la pintura de taller estarán de acuerdo con las provisiones del Código de Practicas Estándar para Estructuras de Acero, Norma Técnica Colombiana ICONTEC.
El literal F.2.13.4.1 debe quedar así:
F.2.13.4.1 - Alineación de las Bases de las Columnas - Las bases de las columnas deberán quedar bien niveladas y a la elevación correcta y en pleno contacto con las superficies de concreto o mampostería según se especifica en el Código de Practicas Estándar para Estructuras de Acero, Norma Técnica Colombiana ICONTEC.
El inicio del literal F.2.13.4.2 debe quedar así:
F.2.13.4.2 - Estabilidad y Conexiones - La estructura de acero de los edificios deberá erigirse a plomo y con los alineamientos requeridos dentro de los límites definidos por el Código de Practicas Estándar para Estructuras de Acero, Norma Técnica Colombiana ICONTEC. ...
La sección F.2.14 debe quedar así:
F.2.14 - CONTROL DE CALIDAD Y SUPERVISIÓN TÉCNICA
Este numeral presenta los requisitos mínimos para el control de calidad, la supervisión técnica y la inspección mediante ensayos no destructivos para las estructuras de acero y los elementos de acero de miembros de construcción compuesta para edificios y otras estructuras.
Se incluyen las siguientes secciones:
F.2.14.1 – Alcance
F.2.14.2 - Programa de Control de Calidad del Fabricante y el Montador
F.2.14.3 - Documentos del Fabricante y el Montador
F.2.14.4 - Personal a cargo de la Inspección y los Ensayos No Destructivos
F.2.14.5 - Requisitos Mínimos para la Inspección de Edificios de Acero Estructural
F.2.14.6 - Requisitos Mínimos para la Inspección de Construcción Compuesta
F.2.14.7 - Fabricantes y Montadores Certificados
F.2.14.7 - Materiales y Mano de Obra No Conformes
No se incluyen en este numeral el control de calidad ni la supervisión técnica para el refuerzo, los materiales ni el vaciado del concreto para miembros de construcción compuesta. Tampoco se incluyen el control de calidad ni la supervisión técnica para la preparación de superficies ni para los recubrimientos.
El primer párrafo del literal F.2.14 debe quedar así:
F.2.14.1 - ALCANCE - Dentro del alcance del numeral F.2.14, el control de calidad estará a cargo del fabricante y el montador, mientras que la supervisión técnica estará a cargo de otros cuando así sea requerido. Los ensayos no destructivos serán ejecutados por la firma responsable de la supervisión técnica, excepto lo permitido en el numeral F.2.14.7.
El literal (a) de F.2.14.4.1 debe quedar así:
(a) Según se define en la norma AWS B5.1, Estándar para la Calificación de Inspectores de Soldadura como CWI o superior, o
El literal (a) de F.2.14.4.2 debe quedar así:
(a) Según se define en la norma AWS B5.1, Estándar para la Calificación de Inspectores de Soldadura como CWI o superior, o
En F.2.21.2.2 donde dice “... en el numeral F.2.3.2.1(2), esto es...” debe ser “... en el numeral F.2.3.2.3(2), esto es...”.
La última palabra del primer parágrafo de F.2.21.2.3 donde dice “apliacables” debe ser “aplicables”. En el literal (b) de F.2.21.2.3 donde dice “... el esfuerzo crítico de pandeo elástico, K,...” debe ser “... el esfuerzo crítico de pandeo elástico,
,...”
La primera frase del literal F.2.21.3.2 debe quedar así:
F.2.21.3.2 - Resistencias Requeridas - La resistencias requeridas de los componentes se obtendrán de un análisis de primer orden, con los requisitos adicionales (a) y (b) que se presentan a continuación. ...
La ecuación (F.2.22.2-2) contenida en el literal F.2.22.2.1 debe quedar así:
(F.2.22.2-2)
La ecuación (F.2.22.2-5) contenida en el literal F.2.22.2.2 debe quedar así:
(F.2.22.2-5)
En F.3.1.4 la referencia a la norma “NTC 1986 (ASTM A500 Grados B o C)”, debe substituirse por “NTC 4526 (ASTM A500 Grados B o C)”
El literal F.3.2.1.2.1 debe quedar así:
F.3.2.1.2.1 - Capacidad de disipación de energía mínima (DMI) - La que ofrecen los elementos de acero estructural cuando se diseñan de acuerdo con los requisitos de los Capítulos F.1 y F.2 de estas normas así como los numerales F.3.5.1 para pórticos resistentes a momentos y F.3.6.1 para pórticos arriostrados concéntricamente.
El literal F.3.2.1.2.2 debe quedar así:
F.3.2.1.2.2 - Capacidad de disipación de energía moderada (DMO) - La que ofrecen los elementos de acero estructural cuando se diseñan de acuerdo con los requisitos de los Capítulos F.1 y F.2 y además se cumplen los requisitos de F.3.5.2 para pórticos resistentes a momentos.
El literal F.3.2.1.2.3 debe quedar así:
F.3.2.1.2.3 - Capacidad especial de disipación de energía (DES) - La que ofrecen los elementos de acero estructural cuando se diseñan de acuerdo con los requisitos de los Capítulos F.1 y F.2 y además se cumplen los requisitos de F.3.5.3 para pórticos resistentes a momentos F.3.5.4 para pórticos con cerchas dúctiles, F.3.6.2 para pórticos arriostrados concéntricos, F.3.6.3 para pórticos arriostrados excéntricos, F.3.6.4 para pórticos con riostras de pandeo restringido y F.3.6.5 para estructuras con muros de cortante con placa de acero.
En los literales F.3.2.3 y F.3.4.1 donde dice “... PRM, PAC o MC de acuerdo...” debe quedar “... PRM, PA o MC de acuerdo...”.
En título de la sección F.3.4 debe quedar así:
F.3.4 - REQUISITOS GENERALES DE DISEÑO DE MIEMBROS Y CONEXIONES
En el ordinal (ii) del literal (a) de F.3.4.1.2.1 las dos referencias a F.2.19, deben ser corregidas a F.2.20.
El inicio del numeral (2) de F.3.4.1.4.1 debe quedar así:
(2) La resistencia a tensión utilizando...
En el literal (c) del ordinal (ii) del numeral (2) de F.3.4.1.4.2 la referencia a F.3.4.1.4.2 (1) (ii), (iii), o (iv), debe ser a F.3.4.1.4.2 (2) (ii), (iii), o (iv).
En el literal (c) del ordinal (v) del numeral (2) de F.3.4.1.4.2 la referencia a ACI 318 21.6.5.1 debe ser a C.21.6.5.1.
El segundo parágrafo principal de F.3.4.2.5.2 debe quedar así:
Adicionalmente, los empalmes soldados de columnas que estén sujetos a una tensión determinada con la combinación de carga que incluye la carga sísmica amplificada, deben satisfacer los siguientes tres requisitos:
En el segundo parágrafo de F.3.4.2.5.3 donde dice “... en la sección F.3.4.2.5.2(a) y (b).” debe ser: “... en los primeros literales (a) y (b) de los que figuran en F.3.4.2.5.2.”
En el literal (b) de del numeral (6) de F.3.4.2.7 la referencia a ACI 21.7 debe ser a C.21.7.
El literal F.3.5.1.6.1 debe quedar así:
F.3.5.1.6.1 - Soldaduras de demanda crítica - Las soldaduras acanaladas de penetración completa de las aletas de las vigas a las columnas son soldaduras de demanda crítica y deben satisfacer los requisitos de la sección F.3.1.4.4.1.
La primera frase del literal F.3.5.2.6.1 debe quedar así, dejando el resto igual:
F.3.5.2.6.1 - Soldaduras de demanda crítica - Las siguientes soldaduras deben considerarse de demanda crítica y satisfacer los requisitos del numeral F.3.1.4.4.1: ...
El literal F.3.5.2.6.6 debe quedar así:
F.3.5.2.6.6 - Placas de continuidad - Se deben suministrar placas de continuidad de acuerdo con lo especificado en el numeral F.3.5.3.6.6.
La primera frase del literal F.3.5.3.6.1 debe quedar así, dejando el resto igual:
F.3.5.3.6.1 - Soldaduras de demanda crítica - Las siguientes soldaduras deben considerarse de demanda crítica y satisfacer los requisitos del numeral F.3.1.4.4.1: ...
La primera frase del literal F.3.5.4.6.1 debe quedar así, dejando el resto igual:
F.3.5.4.6.1 - Soldaduras de demanda crítica - Las siguientes soldaduras son de demanda crítica y deben satisfacer los requisitos del numeral F.3.1.4.4.1. ...
El literal F.3.5.6.5.1 debe quedar así:
F.3.5.6.5.1 - Requisitos básicos - Los miembros de columnas deben satisfacer los requisitos de la sección F.3.4.1.1 para miembros de ductilidad alta de la sección F.3.4.1.1.
La primera frase del literal F.3.6.2.6.1 debe quedar así, dejando el resto igual:
F.3.6.2.6.1 - Soldaduras de demanda crítica - Las siguientes soldaduras se consideran de demanda crítica y deben satisfacer los requisitos de la sección F.3.1.4.4.1. ...
En el numeral (1) de F.3.6.2.6.2 la referencia a F.2.2.3.6.1 debe ser a F.2.2.3.5.1.
En el numeral (3) de F.3.6.3.5.2 donde dice “Si Pu/Py >1.5, ...” debe ser “Si Pu/Py > 0.15, ...”.
La primera frase del literal F.3.6.3.6.1 debe quedar así, dejando el resto igual:
F.3.6.3.6.1 – Soldaduras de demanda crítica - Las siguientes soldaduras son de demanda crítica y deben satisfacer los requisitos de la sección F.3.1.4.4.1:
En el numeral (1) de F.3.6.3.6.2 la referencia a F.2.2.3.6.1 debe ser a F.2.2.3.5.1.
En el literal F.3.6.4.3 el primer párrafo debe quedar así:
F.3.6.4.3 - Análisis - Las riostras de pandeo restringido no deben considerarse como un sistema de resistencia de fuerzas gravitacionales.
La primera frase del literal F.3.6.4.6.1 debe quedar así, dejando el resto igual:
F.3.6.4.6.1 - Soldaduras de demanda crítica - Las siguientes soldaduras son de demanda crítica y deben satisfacer los requisitos de la sección F.3.1.4.4.1:...
La primera frase del literal F.3.6.5.6.1 debe quedar así, dejando el resto igual:
F.3.6.5.6.1 - Soldaduras de demanda crítica - Las siguientes soldaduras son de demanda crítica y deben satisfacer los requisitos de la sección F.3.1.4.4.1:...
La primera frase del literal F.3.7.3.6.1 debe quedar así, dejando el resto igual:
F.3.7.3.6.1 - Soldaduras de demanda crítica - Las siguientes soldaduras deben considerarse de demanda crítica y satisfacer los requisitos del numeral F.3.1.4.4.1: ...
La primera frase del literal F.3.7.4.6.1 debe quedar así, dejando el resto igual:
F.3.7.4.6.1 - Soldaduras de demanda crítica - Las siguientes soldaduras deben considerarse de demanda crítica y satisfacer los requisitos del numeral F.3.1.4.4.1:
En el literal F.3.8.2.3 la referencia a F.3.5.2.3 debe ser a F.3.6.2.3.
En el literal F.3.8.2.4 la referencia a F.3.5.2.4 debe ser a F.3.6.2.4.
La primera frase del literal F.3.8.2.6.1 debe quedar así, dejando el resto igual:
F.3.8.2.6.1 - Soldaduras de demanda crítica - Las siguientes soldaduras se consideran de demanda crítica y deben satisfacer los requisitos de la sección F.3.1.4.4.1: ...
La primera frase del literal F.3.8.5.6.1 debe quedar así, dejando el resto igual:
F.3.8.5.6.1 - Soldaduras de demanda crítica - Las siguientes soldaduras son de demanda crítica y deben satisfacer los requisitos de la sección F.3.1.4.4.1: ...
La primera frase del literal F.3.8.6.6.1 debe quedar así, dejando el resto igual:
F.3.8.6.6.1 - Soldaduras de demanda crítica - Las siguientes soldaduras son de demanda crítica y deben satisfacer los requisitos de la sección F.3.1.4.4.1: ...
En el texto de F.3.10.1.2.1 la referencia que se hace a F.3.10.1.3 debe ser a F.3.11.1.3 y la que se hace a F.3.10.1.4 debe ser a F.3.11.1.4.
El literal F.3.11.1.2.2, debe quedar así:
F.3.11.1.2.2 - Autorización de la precalificación - Podrán utilizarse, como guía, las conexiones precalificadas del estándar ANSI/AISC 358 “Prequalified Connections for Special and Intermediate Steel Moment Frames for Seismic Applications” más reciente.
En el texto de F.3.11.1.3 la referencia que se hace a F.3.10.2 debe ser a F.3.11.2 y la que se hace a F.3.10.2.5.2 debe ser a F.3.11.2.4.2.
El tercer parágrafo de F.3.11.2.4.2, debe quedar así:
Se permite la extrapolación por fuera de los límites de esta sección, siempre y cuando así lo considere el ingeniero estructural según su criterio, soportado por la debida documentación.
En el primer parágrafo de F.5.1.1 la frase después de “...extruídos o laminados. ...” debe quedar así: “... extruídos o laminados. Si se usan piezas coladas o forjadas en caliente, éstas deben ser fabricadas y diseñadas de acuerdo con normas apropiadas reconocidas mundialmente y en consulta con el fabricante específico. ...”.
Después del último parágrafo de F.5.1.1 se debe agregar el siguiente parágrafo:
Para aquellos usos de las estructuras de aluminio que no se relacionen con edificaciones o no estén cubiertos por el alcance de la Ley 400 de 1997 o del presente Reglamento NSR-10 el presente Capítulo F.5 constituye tan solo una recomendación idónea, pero carece de fuerza legal en su utilización y aplicación.
El literal (f) de F.5.2.2.1 debe decir:
(f) Aleaciones no incluidas en las tablas - Se podrán utilizar aleaciones no incluidas en las tablas F.5.2.2-1 y F.5.2.2-2 siempre y cuando su uso en estructuras esté validado en normas expedidas por entidades de reconocida autoridad mundial.
El literal (g) de G.4.3.9.5 debe modificarse así:
(g) Se deberán instalar dos o más filas longitudinales de clavos cuando la altura, (d), de la columna sea mayor de 3 veces el espesor (t) del elemento más delgado.
El encabezamiento de la quinta columna de la Tabla G.4.3-5 debe decir “5” en vez de “4”.
En la nomenclatura de G.4.3.9.4.2 deben corregirse así los siguientes parámetros:
e1 = Ke1
u1, longitud efectiva de pandeo alrededor del eje 1 en mm
e2 = Ke2
u2, longitud efectiva de pandeo alrededor del eje 2 en mm
El título de G.4.6.2.1 debe modificarse así:
G.4.6.2.1 – Por duración de la carga (CD)…
En la tabla del Apéndice G-E donde en la columna de código se indica NTC 143, la referencia debe substituirse por GTC 143, e igualmente donde se indica NTC 145, la referencia debe substituirse por GTC 145.
La Tabla I.4.3-1 debe quedar así:
Tabla I.4.3-1
Grado se <sic>Supervisión Técnica Recomendado
| Material estructural | Área Construida | Control de calidad realizado por el constructor | A Supervisión Técnica Itinerante | B Supervisión Técnica Continua |
| Concreto, estructural, estructura metálica y madera | Menos de 3000 | Grupos de Uso I y II | Grupos de Uso III y IV | |
| entre 3000 | Grupos de Uso I y II | Grupos de Uso III y IV | ||
| Más de 6000 | Grupos de Uso I, II, III y IV | |||
| Mampostería | Menos de 3000 | Grupos de Uso I y II | Grupos de Uso III y IV | |
| entre 3000 | Grupos de Uso I, II, III y IV | |||
| Más de 6000 | Grupos de Uso I, II, III y IV | |||
| Aislamiento sísmico | Independiente del área | Grupos de Uso I, II, III y IV | ||
| Disipadores de energía | Independiente del área | Grupos de Uso I, II, III y IV | ||
| Intervención en el sistema estructural | Menos de 3000 | Grupos de Uso I y II | Grupos de Uso III y IV | |
| entre 3000 | Grupos de Uso I, II, III y IV | |||
| Más de 6000 | Grupos de Uso I, II, III y IV | |||
Notas:
1. Están exentas de Supervisión Técnica de la construcción, según el Artículo 18 de la Ley 400 de 1997, las edificaciones con menos de 3000 m² de área construida.
2. Las estructuras de edificaciones de los grupos de uso III y IV, independientemente de su área, según el Artículo 20 de la Ley 400 de 1997, deben someterse a Supervisión Técnica de la construcción.
3. El diseñador estructural, o el ingeniero geotecnista, Según el Parágrafo 2° del Artículo 18 de la Ley 400 de 1997, pueden exigir Supervisión Técnica de la construcción, independientemente del área, según la complejidad, procedimientos constructivos o materiales empleados.
4. Las estructuras diseñadas y construidas de acuerdo con el Título E del Reglamento, según el Parágrafo 1° del Artículo 18 de la Ley 400 de 1997, están exentas de Supervisión Técnica, siempre y cuando se trate de menos de 15 unidades de vivienda.
5. Cuando el proyecto se desarrolle por etapas, el área a considerar será la consignada en la licencia de construcción.
6. Se recomienda Supervisión Técnica Itinerante para estructuras de mampostería mayores a 1000 m2.
7. Véase A.3.8.3
8. Véase A.3.9.3.
9. Véase A.10.1.6.
El inicio del literal I.4.3.2 debe quedar así:
I.4.3.2 - ESPECIFICACIONES TÉCNICAS - Lo indicado en la presente sección se recomienda para los dos los grados de supervisión técnica. ...
En el inicio del literal I.4.3.2.1 debe hacerse la siguiente corrección:
I.4.3.2.1 - En tanto la Comisión Asesora Permanente del Régimen de Construcciones Sismo Resistentes adopte unas nuevas especificaciones técnicas, puede utilizarse...
La última frase de J.1.1.2 debe corregirse así:
… Según esto se utiliza la clasificación que se presenta en el Capitulo K.2. de este Reglamento, cuya Tabla K.2.1-1 se repite aquí para efectos ilustrativos. Para las explicaciones y detalles referentes a la clasificación de edificaciones referirse al Capítulo K.2.
El título de J.2.2 debe quedar así:
J.2.2 - REDES ELÉCTRICAS, DE GAS, Y OTROS FLUIDOS COMBUSTIBLES, INFLAMABLES Y COMBURENTES
Debe agregarse al final de J.2.2.2.1 lo siguiente:
… Al igual dichas zonas deberán dar cumplimiento al Reglamento Técnico de Iluminación y Alumbrado Público – RETILAP.
En el literal J.2.3.1.1 se debe adicionar una coma entre “encerrada” y “con”, así:
… de mayor área encerrada, con frente directamente a una vía…
El literal J.2.3.1.2 debe quedar así:
J.2.3.1.2 - Sobre el Nivel del Terreno - El acceso debe proporcionarse directamente desde el exterior a cada planta localizada por debajo de una altura de 15 m (Véase la definición edificios de gran altura). Para los niveles localizados por encima de 15 m de altura se deben tener accesos directos a un medio de evacuación protegido, el cual debe permitir el acceso a todos los niveles de la edificación (Véase K.3.1.3 para la definición de Medios de evacuación). En todo caso, para las plantas localizadas por debajo de 15 m, los accesos deben proporcionar una abertura de por lo menos 1.2 m de altura por 0.8 m de ancho y cuyo reborde o antepecho no sobrepase una altura de 0.9 m por encima del nivel de cada piso interior. La distancia máxima entre los ejes verticales de dos vanos consecutivos no debe exceder 25 m, medidos sobre la fachada. No deben instalarse elementos que impidan o dificulten el acceso al interior del edificio a través de dichos vanos.
El título de J.2.4 debe quedar así:
J.2.4 - PREVENCIÓN DE LA PROPAGACIÓN DEL FUEGO HACIA EL EXTERIOR
El texto final de J.2.4.1 debe quedar así:
… aberturas por un escudo horizontal o vertical que se proyecte por lo menos 0.6 m desde la pared, a lo largo de toda la longitud de la abertura. Se excluye de esta exigencia a las edificaciones que cuenten con un sistema automático de extinción de incendios.
Debe agregarse al final de J.2.4.2 lo siguiente:
… Además, en todo edificio, cuando las losas de piso que tengan características de resistencia al fuego se unan a una fachada que no las tenga, deberá incluirse una franja/parapeto vertical de 1 m de altura que se instalará entre la losa y la fachada, con resistencia al fuego de por lo menos una hora o la mitad de la resistencia al fuego de la losa. La altura exigida para la franja/parapeto incluye la altura de la losa.
En el primer parágrafo del literal J.2.4.4, las dos referencias a la Tabla J.2.4.1 deben corregirse a la Tabla J.2.4-1.
El título de la Tabla J.2.4-1 debe quedar así:
Tabla J.2.4-1
Área construida del nivel de acceso y caudal mínimo requerido por cada hidrante que debe instalarse
El inicio del literal J.2.4.7 debe quedar así:
J.2.4.7 - Todo edificio de gran altura (Véase la definición en K.3.1.3) deberá contar con la instalación de una red contra incendio…
Debe modificarse la última frase del literal J.2.4.7 así:
… las especificadas por las Normas Técnicas NTC 1669 y como referencia la norma NFPA 14.
El título de J.2.5 debe quedar así:
J.2.5 - PREVENCIÓN DE LA PROPAGACIÓN DEL FUEGO HACIA EL INTERIOR
Debe modificarse al final J.2.5.1.2 lo siguiente:
… fuego consistentes en rociadores automáticos y extinguidores manuales.
Debe agregarse al final de J.2.5.1.5 lo siguiente:
… mínimo una resistencia al fuego igual o superior a la del muro pero nunca menor a una (1) hora y con las características de apertura y cierre consignadas en J.2.5.1.9.
Debe modificarse al final J.2.5.1.6 lo siguiente:
… esté hecha y soportada con materiales incombustibles.
El literal J.2.5.1.7 debe quedar así:
J.2.5.1.7 – Los muros que conforman los medios de evacuación protegidos deben cumplir con las especificaciones para muros cortafuegos contenidas en J.2.5.1.1.
El literal J.2.5.1.8 debe quedar así:
J.2.5.1.8 - Véase K.3.8.2.8.
El literal (c) de J.2.5.1.10 debe quedar así:
(c) Los buzones o tolvas, y sus ductos, para descarga de basuras, deberán fabricarse con materiales que tengan resistencia a la acción del fuego de mínimo de una (1) hora. Además, dispondrán de ventilación adecuada en su parte superior, y de un sistema que permita la descarga de agua desde su extremo superior, que puedan utilizarse en casos de atascamiento de basuras o de conato de incendio, y que puedan activarse desde un lugar de fácil acceso ubicado en el primer piso. En ningún caso los ductos mencionados anteriormente pueden estar ubicados al interior de una escalera que sea parte de un medio de evacuación.
El literal J.2.5.2.7 debe quedar así:
J.2.5.2.7 - Los muros de cerramiento de escaleras protegidas y ascensores, buitrones, ductos para basuras y corredores de evacuación protegidos, deben ser diseñados y construidos sin interrupciones entre placas. Estos muros deberán cumplir con las especificaciones para muros cortafuegos contenidas en J.2.5.1.1. Las aberturas en los muros a que hace referencia este artículo deberán tener puertas con una resistencia al fuego no inferior a una hora. Estas puertas deberán, en condiciones normales, permanecer cerradas.
Se deben modificar en J.3.2.1 las siguientes definiciones:
Material no combustible incombustible - Material que, en la forma en que es usado y bajo las condiciones previstas, no se encenderá ni se quemará, ni mantendrá la combustión, ni liberará vapores inflamables cuando este expuesto al calor o al fuego.
Protección activa - Tipo de protección contra el fuego consistente en la instalación de mecanismos automáticos de detección y de extinción de fuego. Algunos de ellos son: detectores de humo con alarmas sonoras, sistemas de extinción con productos químicos y rociadores automáticos de agua entre otros.
Protección pasiva - Conjunto de materiales o sistemas constructivos que, correctamente diseñados e instalados, tienen por misión evitar la aparición de un incendio, evitar su propagación, proteger otros elementos constructivos y favorecer la extinción.
Resistencia al fuego - Período de tiempo en que un edificio o los componentes de este mantienen su función estructural o dan la posibilidad de confinar el fuego medido como el tiempo que un sistema constructivo dado resiste la acción de un fuego tipo manteniendo las características de soporte de cargas (elementos estructurales) integridad física (elementos sectorizadores) y aislamiento térmico en la cara no expuesta (elementos sectorizadores).
Se deben agregar en J.3.2.1 las siguientes definiciones:
Barrera contra humo - Ensamblaje horizontal o vertical (muro, viga, losa, columna, etc.), cuyos materiales están diseñados para restringir la propagación del humo y en la cual las aberturas existentes están protegidas.
Material Combustible – Material que, en la forma en que es usado y bajo las condiciones previstas, se encenderá y quemará; material que no cumple con la definición de incombustible.
El título de J.3.3.1 debe quedar así:
J.3.3.1 - CATEGORÍAS DE RIESGO DE LAS EDIFICACIONES
El literal J.3.3.1.1 debe quedar así y se debe suprimir el resto de este literal:
J.3.3.1.1 – Categoría I – Esta categoría comprende las edificaciones con mayor riesgo de pérdidas de vidas humanas o con alta amenaza de combustión.
El literal J.3.3.1.2 debe quedar así y se debe suprimir el resto de este literal:
J.3.3.1.2 – Categoría II - Esta categoría comprende edificaciones de riesgo intermedio.
El literal J.3.3.1.3 debe quedar así y se debe suprimir el resto de este literal:
J.3.3.1.3 – Categoría III - Esta categoría comprende las edificaciones con baja capacidad de combustión.
En el literal J.3.3.2 las referencias a las Tablas J.3.3.-1 y J.3.3.-2 debe quedar como J.3.3-1 y J.3.3-2, respectivamente.
El literal J.3.3.3.6 debe quedar así:
J.3.3.3.6 - Edificaciones clasificadas en el grupo de ocupación F (Fabril e industrial), que no contengan materiales explosivos o inflamables, que no tengan más de dos (2) pisos y cuya área construida no exceda 1000 m2 por piso.
El literal J.3.3.3.8 debe quedar así:
J.3.3.3.8 - Edificaciones con estructuras de material incombustible y que tienen una densidad de carga combustible de 500 MJ/m2 o menos, siempre y cuando el edificio no sea clasificado de gran altura.
La Tabla J.3.4-3 debe quedar así:
Tabla J.3.4-3
Resistencia requerida al fuego normalizado NTC 1480 (ISO 834), en horas, de elementos de una edificación.
| Elementos de la construcción | Categoría según la clasificación dada en J.3.3.1 | ||
| I | II | III | |
| Muros Cortafuego | 3 | 2 | 1 |
| Muros de cerramiento de escaleras protegidas, ascensores, buitrones, ductos para basuras y corredores protegidos | 2 | 2 | 1 |
| Muros divisorios entre unidades | 1 | 1 | 1 |
| Muros interiores no portantes | ½ | ¼ | - |
| Columnas, vigas, viguetas, losas y muros portantes de cualquier material, y estructuras metálicas en celosía | 3 | 2 | 1 |
| Cubiertas | 1 | 1 | ½ |
| Escaleras interiores no encerradas con muros | 2 | 1 | 1 |
El literal J.3.4.3.1 debe quedar así:
J.3.4.3.1 - En caso necesario, para garantizar la resistencia requerida al fuego, podrán utilizarse recubrimientos resistentes adicionales, avalados por entidades de reconocida autoridad a nivel mundial y siguiendo estrictamente las instrucciones del fabricante.
Debe modificarse al final de J.3.4.3.3 lo siguiente:
… pero serán de materiales incombustibles, tal como se definen en J.3.2.
Debe modificarse al final de J.3.4.3.4 lo siguiente:
… con excepción de los ingresos a las escaleras exteriores no protegidas, en las cuales no se exige interponer elemento alguno entre la escalera y el edificio.
El segundo parágrafo de J.3.5 debe quedar así:
Si se opta por la determinación analítica ésta se hará siguiendo un procedimiento racional de cálculo que incluya el potencial combustible, el área de piso, la superficie total expuesta, el área de ventilación, la altura de los muros, sus propiedades conductoras y demás factores pertinentes a juicio del diseñador.
El literal J.3.5.1 debe quedar así:
J.3.5.1 - ELEMENTOS RESTRINGIDOS - Todo elemento estructural o no estructural debe considerarse sin restricción a la expansión térmica y los requisitos dados en J.3.5.2 a J.3.5.5 se basan en el cumplimiento de esta premisa. Cuando el diseñador de los elementos estructurales o el diseñador de los elementos no estructurales, según sea el caso, demuestre en su memoria de cálculos que los elementos diseñados pueden considerarse restringidos a expansión térmica, caso en el cual es posible aplicar consideraciones de dimensiones, tamaños mínimos y recubrimientos menos exigentes que los prescritos en J.3.5, siempre y cuando provengan de documentos y normas de reconocida autoridad a nivel mundial. Para que un elemento no estructural se considere como barrera corta fuego, debe garantizar la resistencia requerida en J.3.4.3, las dilataciones con respecto a la estructura, deben rellenarse con sellos o materiales resistentes al fuego.
El primer párrafo del literal J.3.5.2 debe quedar así:
J.3.5.2 - ELEMENTOS DE CONCRETO - Esta sección contiene los requisitos necesarios para proveer a los elementos de concreto estructural de una edificación con las resistencias al fuego normalizado especificadas en el numeral J.3.4.3. Deben tenerse en cuenta las siguientes limitaciones:
(a) Los requisitos que se presentan son aplicables a concreto fabricado con cualquier agregado de peso normal de los permitidos por el Título C del Reglamento.
(b) Es posible aplicar consideraciones de dimensiones, tamaños mínimos y recubrimientos menos exigentes que los prescritos en esta sección, siempre y cuando provengan de documentos y normas de reconocida autoridad a nivel mundial, lo cual debe documentarse y especificarse adecuadamente por parte del diseñador. Esto incluye el uso de concretos cuyos agregados se definan petrográficamente y que sean de los permitidos por el Título C del Reglamento NSR-10.
(c) Solo en los casos en que se utilicen concretos livianos que cumplan las limitaciones que indica el Reglamento NSR-10 (véase la definición de concreto liviano en C.2) se pueden utilizar requisitos menos exigentes que los contenidos acá, siempre y cuando provengan de documentos y normas de reconocida autoridad a nivel mundial que hagan referencia a concreto liviano que cumpla con todos los requisitos como los establece el Reglamento ACI 318 o el Reglamento NSR-10. (Advertencia – ACI 318 y NSR-10 solo permiten el uso de un tipo muy particular de agregado liviano fabricado industrialmente que cumple la norma NTC 4045 (ASTM C330) y sobre los cuales hay amplias investigaciones experimentales especialmente en lo referente a su resistencia a los esfuerzos cortantes. Los concretos aligerados con otro tipo de materiales requieren aprobación previa por parte de la Comisión Asesora Permanente para el Régimen de Construcciones Sismo Resistentes. Los concretos aligerados con poliestireno o poliuretano expandido o con productos vegetales como cascarilla de arroz, no están cubiertos por el Reglamento NSR-10, no pueden emplearse en usos estructurales y su empleo representa un riesgo inaceptable desde el punto de vista de prevención del fuego en las edificaciones.)
El literal J.3.5.2.1 debe quedar así:
J.3.5.2.1 - Columnas de concreto estructural - Las columnas de concreto estructural deben cumplir los siguientes requisitos para efectos de su resistencia al fuego:
(a) La dimensión mínima para columnas en estructuras con capacidad especial de disipación de energía DES dada en C.21.6.1.1 de 300 mm, es adecuada para resistencia al fuego requerida de tres (3) horas.
(b) La dimensión mínima para columnas en estructuras con capacidad moderada de disipación de energía DMO dada en C.21.3.5.1 de 250 mm, es adecuada para resistencia al fuego requerida hasta de dos (2) horas. Este tamaño de columna no se permite en zonas de amenaza sísmica alta.
(c) Una dimensión mínima de 200 mm es adecuada para resistencia al fuego requerida hasta de una (1) hora. El Título C no establece una dimensión mínima para columnas con capacidad mínima de disipación de energía DMI. Este tamaño de columna no se permite en zonas de amenaza sísmica alta e intermedia.
(d) Los requisitos de recubrimiento para concreto construido en sitio dados en C.7.7.1 de 40 mm para estribos, espirales y armadura principal, son adecuados para resistencia al fuego requerida hasta de tres (3) horas.
(Nota: se suprime la Tabla J.3.5-1)
El literal J.3.5.2.2 debe quedar así:
J.3.5.2.2 - Muros estructurales - Los muros estructurales de concreto deben cumplir los siguientes requisitos para efectos de su resistencia al fuego:
(a) El ancho mínimo en muros estructurales no debe ser menor de 150 mm para resistencia al fuego requerida de tres (3) horas.
(b) El ancho mínimo en muros estructurales no debe ser menor de 100 mm para resistencia al fuego requerida de dos (2) horas.
(c) El ancho mínimo en muros estructurales no debe ser menor de 80 mm para resistencia al fuego requerida de una (1) hora.
(d) Los requisitos de recubrimiento para concreto construido en sitio dados en C.7.7.1 de 20 mm para refuerzo con barras No. 11 (1-3/8” ó 36M (36 mm), solo es adecuado para resistencia al fuego requerida hasta de una (1) hora.
(e) Para resistencia al fuego requerida de dos (2) horas o más, el recubrimiento para concreto construido en sitio debe ser al menos 25 mm.
(Nota: se suprime la Tabla J.3.5-2)
El literal J.3.5.2.3 debe quedar así:
J.3.5.2.3 - Losas macizas y viguetas de concreto estructural - Las losas macizas, incluyendo las de cubierta y el ancho del alma de viguetas de concreto estructural deben cumplir los siguientes requisitos para efectos de su resistencia al fuego:
(a) El espesor mínimo en losas macizas y el ancho mínimo del alma de viguetas no debe ser menor de 150 mm para resistencia al fuego requerida de tres (3) horas.
(b) El espesor mínimo en losas macizas y el ancho mínimo del alma de viguetas no debe ser menor de 125 mm para resistencia al fuego requerida de dos (2) horas.
(c) El espesor mínimo en losas macizas y el ancho mínimo del alma de viguetas no debe ser menor de 80 mm para resistencia al fuego requerida de una (1) hora.
(d) Los requisitos de recubrimiento para concreto construido en sitio dados en C.7.7.1 de 20 mm para refuerzo con barras No. 11 (1-3/8”) ó 36M (36 mm), solo es adecuado para resistencia al fuego requerida hasta de una (1) hora.
(e) Para resistencia al fuego requerida de dos (2) horas o más, el recubrimiento para concreto construido en sitio debe ser al menos 25 mm.
(Nota: se suprimen las Tablas J.3.5-3 a J.3.5-6)
Se debe incluir un nuevo literal J.3.5.2.4 cuyo texto es:
J.3.5.2.4 - Vigas de concreto estructural - Las vigas de concreto estructural deben cumplir los siguientes requisitos para efectos de su resistencia al fuego:
(a) El ancho mínimo del alma de vigas en estructuras con capacidad especial de disipación de energía DES dada en C.21.5.1.3 de 250 mm, es adecuado para resistencia al fuego requerida de tres (3) horas.
(b) El ancho mínimo del alma de vigas en estructuras con capacidad moderada de disipación de energía DMO dada en C.21.3.4.1 de 200 mm, es adecuada para resistencia al fuego requerida de dos (2) horas. Este ancho del alma de vigas no se permite en zonas de amenaza sísmica alta.
(c) El ancho mínimo del alma de vigas no debe ser menor de 120 mm para resistencia al fuego requerida de una (1) hora. Este ancho del alma de vigas no se permite en zonas de amenaza sísmica alta e intermedia.
(e) Los requisitos de recubrimiento para concreto construido en sitio <sic> dados en C.7.7.1 de 40 mm para estribos y armadura principal, son adecuados para resistencia al fuego requerida hasta de dos (2) horas.
(f) Para tres (3) horas de resistencia al fuego requerida se debe emplear un recubrimiento de 60 mm.
El primer párrafo del literal J.3.5.3 debe quedar así:
J.3.5.3 - ELEMENTOS DE MAMPOSTERÍA ESTRUCTURAL Y NO ESTRUCTURAL - Para proveer muros de mampostería estructural y no estructural con las resistencias al fuego normalizado especificadas en el numeral J.3.4.3, debe estimarse la resistencia al fuego de la mampostería especificada en la Tabla J.3.5-1 o en la Tabla J.3.5-2 en función de su espesor mínimo equivalente.
La Tabla J.3.5-7 se debe renumerar como Tabla J.3.5-1 y debe quedar así:
Tabla J.3.5-1
Espesor mínimo equivalente,
, de muros de mampostería de arcilla, en mm, en función de la resistencia al fuego en horas.
| Tipo de unidad | Resistencia al fuego en horas | ||
| 1 | 2 | 3 | |
| Maciza | 70 | 100 | 120 |
| Con perforaciones vacías | 60 | 90 | 110 |
| Con perforaciones rellenas | 80 | 110 | 140 |
La Tabla J.3.5-8 se debe renumerar como Tabla J.3.5-2 y debe quedar así:
Tabla J.3.5-2
Espesor mínimo equivalente,
, de muros de mampostería de concreto, en mm, en función de la resistencia al fuego en horas.
| Tipo de agregado | Resistencia al fuego en horas | ||
| 1 | 2 | 3 | |
| Pómez o escoria expandida | 50 | 80 | 100 |
| Arcilla, lutita o pizarra expandidas | 70 | 90 | 110 |
| Caliza, ceniza, o escoria enfriada en aire | 70 | 100 | 130 |
| Grava silícea o calcárea | 70 | 110 | 130 |
El primer párrafo de J.3.5.3.1 debe quedar así:
J.3.5.3.1 - El espesor mínimo equivalente se calcula con base en la ecuación J.3.5-1. Se permite sumarle al espesor mínimo equivalente el grosor del pañete o revoque cuando exista en una o en las dos caras.
El literal J.4.1.1 debe quedar como se muestra y se debe suprimir el resto del texto de este literal:
J.4.1.1 - En este Capítulo se establecen los requerimientos de instalaciones de protección activa contra incendio con las que deben contar las edificaciones.
El literal J.4.2 debe quedar así en su totalidad y se suprime la Tabla J.4.2-1:
J.4.2 - SISTEMAS Y EQUIPOS PARA DETECCIÓN Y ALARMA DE INCENDIOS
Las edificaciones deben contar con sistemas de alarma de incendio, que se puedan activar de forma manual, por medio de detectores, o por medio del sistema de extinción automática, de acuerdo con el grupo de ocupación en que se clasifiquen. Estos sistemas deben contar con programas de mantenimiento periódicos para garantizar su adecuado funcionamiento.
J.4.2.1 - GRUPO DE OCUPACIÓN A (ALMACENAMIENTO) - Las edificaciones que se clasifiquen en el grupo de ocupación A (Almacenamiento) deben estar protegida por un sistema detección y alarma de incendio diseñado tomando como referencia la norma NFPA 72.
J.4.2.2 – GRUPO DE OCUPACIÓN C (COMERCIAL)
J.4.2.2.1 – Grupo C1 Servicios – Las edificaciones que se clasifiquen en el grupo de ocupación C1 (Comercial) deben estar protegidas por un sistema detección y alarma de incendio diseñado tomando como referencia la norma NFPA 72.
Se debe contar con un sistema de alarma de iniciación manual si se cumple alguna de las siguientes condiciones:
(a) La carga de ocupantes es 500 o más personas.
(b) Se tienen cargas de ocupación mayores a 100 personas por encima o por debajo del nivel de descarga de la salida.
J.4.2.2.2 - Grupo C2 Bienes - Las edificaciones que se clasifiquen en el grupo de ocupación C2 (Bienes) deben estar protegidas por un sistema de alarma de incendio que pueda ser iniciado de forma manual o mediante detectores, diseñado tomando como referencia la norma NFPA 72:
Se debe contar con un sistema de alarma de incendio de iniciación manual para activación del sistema de notificación a los ocupantes de llegar a cumplirse uno de los siguientes casos:
(a) La carga de ocupantes de todos los pisos es superior a 500 personas.
(b) Se tienen cargas de ocupación mayores a 100 personas por encima o por debajo del nivel de descarga de salida.
Los centros comerciales cubiertos con área construida superior a 5000 m2 deben contar con un sistema de evacuación de emergencia Voz/Sirena el cual debe ser accesible a los bomberos.
J.4.2.3 - GRUPO DE OCUPACIÓN F (FABRIL E INDUSTRIAL)
Las edificaciones que se clasifiquen en el grupo de ocupación F (Fabril e Industrial) deben estar protegidas por un sistema detección y alarma de incendio diseñado tomando como referencia la norma NFPA 72: Se requerirá un sistema manual de alarma que active el sistema de notificación de los ocupantes, cuando se cumpla alguna de las siguientes condiciones:
(a) La edificación es de dos o más pisos de altura.
(b) Se tiene una carga de ocupación de 500 personas o más por encima o por debajo del nivel más bajo de la descarga de salida.
J.4.2.4 - GRUPO DE OCUPACIÓN I (INSTITUCIONAL)
Las edificaciones que se clasifiquen en el grupo de ocupación (I Institucional) deben estar protegidas por un sistema detección y alarma de incendio diseñado tomando como referencia la norma NFPA 72, así:
J.4.2.4.1 - Grupo I-1 Reclusión –Las edificaciones clasificadas dentro del grupo I-1 deben estar provistas de un sistema de iniciación manual y un sistema automático de detección de incendio instalado para alertar al personal de seguridad.
Los dispositivos de iniciación manual en las zonas de detenidos pueden disponer de una cerradura con llave. El sistema automático de detección de incendio se instalará en las celdas y en los espacios destinados a actividades en grupo y otros espacios comunes normalmente accesibles a los reclusos. Los dispositivos deben ser acondicionados para impedir su manipulación.
J.4.2.4.2 - Grupo I-1 Salud - Se debe instalar un sistema de detección automática de incendios en cada habitación, en cada espacio que quede en la trayectoria de evacuación de las habitaciones y en cada piso de la unidad de acuerdo con la norma NFPA 72.
El sistema de detección en corredores no se requiere cuando las habitaciones de pacientes estén equipadas con detectores de incendio y posean una visualización directa al corredor y puedan generar una alarma en el cuarto de enfermeras.
J.4.2.4.3 – Grupo I-3 Educación - Se debe contar con un sistema de iniciación manual que permita la activación del sistema de notificación de alarma. Cuando se cuente con sistemas de rociadores automáticos o detectores de incendio estos deben conectarse al sistema de alarma contra incendios. Se deben cumplir los siguientes requisitos:
(a) Los dispositivos de iniciación manual no son necesarios si la carga de ocupación es menor a 50 personas.
(b) Los dispositivos de iniciación manual no son necesarios si se cumple con todas las condiciones siguientes:
* Los pasillos interiores están protegidos por los detectores de incendio.
* Los auditorios, cafeterías, gimnasios y áreas similares están protegidos por detectores de calor u otros dispositivos de detección.
* Los talleres y laboratorios están protegidos por detectores de calor o de otros dispositivos de detección apropiados.
* Se tiene la capacidad de activar la señal de evacuación desde un punto localizado cerca del centro de la edificación.
J.4.2.4.4 – Grupo I-4 Seguridad Publica - Aplicar J.4.2.2.1
J.4.2.4.5 – Grupo I-5 Servicio Publico - Aplicar J.4.2.2.1
J.4.2.5 - GRUPO DE OCUPACIÓN L (LUGARES DE REUNIÓN)
Las edificaciones que se clasifiquen en el grupo de ocupación L (Lugares de reunión) cuando tengan una carga de ocupación mayor de 50 personas deben estar protegidas por un sistema de alarma de incendio, manual o automático, diseñado tomando como referencia la norma NFPA 72.
J.4.2.6 - GRUPO DE OCUPACIÓN M (MIXTO Y OTROS)
Las edificaciones que se clasifiquen en el grupo de ocupación M (Mixto y otros) deben estar protegidas por un sistema de alarmas diseñado para el más crítico de los usos, tomando como referencia la norma NFPA 72.
J.4.2.7 - GRUPO DE OCUPACIÓN P (Alta Peligrosidad)
Las edificaciones que se clasifiquen en el grupo de ocupación Alta Peligrosidad deben estar protegidas por un sistema de alarmas contra incendio diseñado tomando como referencia la norma NFPA 72.
Se dispondrá de un sistema de iniciación manual y un sistema de detección de incendio automático que podrá activar el sistema de notificación.
J.4.2.8 - GRUPO DE OCUPACIÓN R (Residencial)
Las edificaciones pertenecientes al grupo de ocupación R (Residencial) deben estar protegidas por un sistema de detección y alarma de incendio diseñado tomando como referencia la norma NFPA 72 y de acuerdo con los siguientes requisitos:
J.4.2.8.1 - Grupo R-1 (Residencial unifamiliar) - Las unidades de vivienda deben estar protegidas mediante un sistema de alarma y detección de incendio, conformado por detectores con base sonora, en cada nivel. Para viviendas de más de 100 m2 de área construida, en caso de tener más de un detector el sistema debe estar interconectado de forma tal que la activación de un detector active a los demás. Para su diseño se podrá tomar como referencia la norma NFPA 72.
J.4.2.8.2 - Grupo R-2 (Residencial multifamiliar) - Las edificaciones clasificadas en el grupo de ocupación Residencial Multifamiliar (R-2) deben estar protegidas por un sistema de alarmas de incendio diseñado tomando como referencia la norma NFPA 72 y cumpliendo con los siguientes requisitos:
(a) Como mínimo se contará con un sistema de iniciación manual que active el sistema de notificación a los ocupantes cuando haya unidades de vivienda clasificada en este grupo localizadas a más de cuatro pisos por encima del nivel de descarga o a más de un piso por debajo del nivel de descarga, de acuerdo con lo indicado en i y ii, pero sin perjuicio de lo exigido en (b):
i. El reglamento de copropiedad debe contener las indicaciones apropiadas acerca de los procedimientos a seguir por parte de los habitantes de la edificación ante la activación manual de la alarma.
ii. Se permiten limitaciones al acceso del sistema de activación manual en situaciones donde pueda ocurrir su activación irresponsable por parte de menores, donde puedan ser afectadas por vándalos, o donde haya presunción de circunstancias que puedan afectar su efectividad. El reglamento de copropiedad debe incluir previsiones respecto a las modificaciones que de forma autónoma pueda adoptar la copropiedad para implementar estas limitaciones cuya aprobación debe quedar debidamente documentada y solo podrán llevarse a cabo si implícita o taxativamente se incluye la exención de la responsabilidad de quienes intervinieron originalmente en el diseño, aprobación, construcción y procedimientos de mantenimiento del sistema. Toda modificación al sistema, sin su respectiva aprobación por la asamblea de copropietarios y trámite ante las autoridades competentes, desliga las responsabilidades de quienes intervinieron en su diseño, aprobación, construcción, y supervisión técnica bajo el amparo de la licencia de construcción que inicialmente concedió el permiso para su construcción.
iii. Se instalará una estación manual cerca a la salida correspondiente de cada piso.
iv. En caso de disponer de sistema automático de detección de humo o sistema de rociadores automático supervisado se podrá ubicar una única estación manual en el acceso del edificio.
(b) Es obligatorio disponer un sistema automático de detección de incendio si la edificación es de gran altura o contiene más de 24 unidades que dependan del mismo medio de evacuación y de acuerdo con lo siguiente:
i. El reglamento de copropiedad debe contener las indicaciones apropiadas acerca de los procedimientos especiales propios de la edificación a seguir por parte de los habitantes de la edificación ante la activación de la alarma.
ii. Se debe colocar dentro del medio de evacuación al menos un sensor de incendio por cada 30 m de recorrido en la trayectoria de evacuación de las unidades.
iii. El sistema de detección automático no es necesario en edificios que no tienen pasillos interiores, que sirvan a las unidades y cuenten con un sistema de rociadores automáticos, siempre y cuando cada una de las unidades cuente con una puerta de salida directa al exterior.
(c) Las unidades de vivienda sin importar la altura del edificio deberán estar protegidas mediante un sistema de alarma y detección de incendio conformado por al menos un detector con base sonora. No hay necesidad que este detector esté interconectado con la alarma general de incendio.
J.4.2.8.3 - Grupo R-3 (Residencial Hoteles) - Las edificaciones clasificadas en el grupo de ocupación Residencial Hoteles (R-3) deben estar protegidas por un sistema detección y alarma de incendio diseñado tomando como referencia la norma NFPA 72.
Las edificaciones deben estar provistas de un sistema de iniciación manual y un sistema automático de detección de incendio instalado para alertar al personal.
El sistema de iniciación manual no es necesario en los edificios de uno y dos pisos de altura donde todas las unidades estén separadas entre sí, de áreas públicas y áreas comunes por particiones con una resistencia al fuego no menor a una hora y cada unidad individual tenga una salida directa a una vía pública, corredor de salida o patio.
Las estaciones manuales no serán necesarias en todo el edificio cuando el edificio cumple con las siguientes condiciones:
(a) El edificio se encuentra completamente equipado con un sistema de rociadores automáticos monitoreados.
(b) Se cuenta con un sistema automático de detección de incendio que activa el sistema de evacuación de emergencia; el sistema se instalará en todos los pasillos interiores que sirvan a las habitaciones.
Se deberán instalar detectores de incendio con base sonora en cada habitación, en cada cuarto que quede en la trayectoria de evacuación de las habitaciones y en cada piso de la unidad de acuerdo con la norma NFPA 72.
El sistema de detección de incendio no se requiere en edificios que no tienen pasillos interiores que sirvan a habitaciones y donde cada unidad tiene una salida o acceso al exterior. Las áreas públicas y comunes, deben disponer de dispositivos visibles de anunciación.
J.4.2.9 - AIRE ACONDICIONADO - En los edificios que cuenten con sistema central de aire acondicionado, se deberá disponer de detectores de humo en los ductos principales, que actúen desconectando automáticamente el sistema. Adicionalmente se dispondrá de un tablero de desconexión del sistema central de aire acondicionado ubicado adyacente al tablero general eléctrico y para el uso exclusivo del cuerpo de bomberos.
La última oración del primer parágrafo de J.4.3 debe quedar así:
… Los sistemas hidráulicos deben tener inspección, prueba y mantenimiento, las cuales se realizan de acuerdo con la norma NFPA 25.
Debe modificarse al final del segundo párrafo de J.4.3 por lo siguiente:
… el diseño y la instalación del sistema; como referencia para la instalación y diseño de los sistemas de extinción se pueden tomar las normas indicadas en la Tabla J.4.3-1.
La última oración del primer parágrafo de J.4.3.1.1 debe quedar así:
…de incendios en edificios, NTC 2301 y como referencia la Norma para Instalación de Sistemas de Rociadores, NFPA 13, así:
El literal (a) de J.4.3.1.1 debe quedar así:
(a) En la totalidad de edificios con más de tres pisos o más de 9 m de altura clasificados en el subgrupo de ocupación A-1 (Almacenamiento de riesgo moderado).
El literal (b) de J.4.3.1.1 debe quedar así:
(b) … cortafuegos y mayores de 1000
, clasificados en el subgrupo de ocupación A-1...
El literal (d) de J.4.3.1.1 debe quedar así:
(d) Sin importar el número de pisos y en la totalidad de edificios con área total de construcción mayor de 2200
, incluidas las áreas de mezanines, clasificados en el subgrupo de ocupación A-1 (Almacenamiento de riesgo moderado).
Se debe agregar un nuevo literal (g) en J.4.3.1.1 al final así:
(g) En la totalidad de edificios de gran altura, clasificados en el subgrupo de ocupación de almacenamiento (A).
Se debe modificar J.4.3.1.2 al final así:
… en edificaciones, NTC 1669, y como referencia el Código para Instalación de Sistemas de Tuberías Verticales y Mangueras, NFPA 14.
Se debe modificar J.4.3.1.3 al final así:
… Extintores de fuego portátiles, NTC 2885 y como referencia la Norma de Extintores de fuego Portátiles, NFPA 10.
Se debe modificar J.4.3.2.1 al final así:
… de incendios en edificios, NTC 2301 y como referencia la Norma para Instalación de Sistemas de rociadores, NFPA 13, así:
El literal (a) de J.4.3.2.1 debe modificarse así: (a) En la totalidad de edificios con más de tres pisos o más de 9 m de altura, clasificados en el subgrupo de ocupación de bienes (C-2).
El literal (b) de J.4.3.2.1 debe modificarse así:
(b) …con área total construida mayor de 1100
, incluidas las áreas de mezanines, clasificados en el subgrupo de ocupación de bienes (C-2).
El literal (d) de J.4.3.2.1 debe modificarse así:
(d) En la totalidad de edificios de gran altura, clasificados en el subgrupo de ocupación de servicios (C-1).
Se debe modificar J.4.3.2.2 al final así:
… en edificaciones, NTC 1669, y como referencia el Código para Instalación de Sistemas de Tuberías Verticales y Mangueras, NFPA 14.
Se debe modificar J.4.3.2.3 al final así:
… Extintores de fuego portátiles, NTC 2885 y como referencia la Norma de Extintores de fuego Portátiles, NFPA 10.
Se debe modificar J.4.3.3.1 al final así:
… de incendios en edificios, NTC 2301 y como referencia la Norma para Instalación de Sistemas de Rociadores, NFPA 13, así:
Los literales (a), (b), (c) y (e) de J.4.3.3.1 deben quedar así:
(a) En la totalidad de edificios con más de tres pisos o más de 9 m de altura, clasificados en el subgrupo de ocupación de riesgo moderado (F-1).
(b) … muros cortafuego y mayores de 1000
, clasificados en el subgrupo de ocupación de riesgo moderado (F-1).
(c) … construcción mayor de 2200
, incluidas las áreas de mezanines, clasificados en el subgrupo de ocupación de riesgo bajo (F-2).
(e) En la totalidad de edificios de gran altura, clasificados en el subgrupo de ocupación Fabril (F).
Se debe modificar J.4.3.3.2 al final así:
… en edificaciones, NTC 1669, y como referencia el Código para Instalación de Sistemas de Tuberías Verticales y Mangueras, NFPA 14.
Se debe modificar J.4.3.3.3 al final así:
… Extintores de fuego portátiles, NTC 2885 y como referencia la Norma de Extintores de fuego Portátiles, NFPA 10.
Se debe modificar J.4.3.4.1 al final así:
… de incendios en edificios, NTC 2301 y como referencia la Norma para Instalación de Sistemas de Rociadores, NFPA 13, así:
El literal (d) de J.4.3.4.1 debe quedar así:
(d) En la totalidad de edificios con más de cuatro pisos, o más de 12 m de altura, clasificados en el subgrupo de ocupación institucional de educación (I-3).
Debe incluirse un nuevo literal (g) al final de J.4.3.4.1 así:
(g) En la totalidad de edificios de gran altura, clasificados en el subgrupo de ocupación Institucional (I).
Se debe modificar J.4.3.4.2 al final así:
… en edificaciones, NTC 1669, y como referencia el Código para Instalación de Sistemas de Tuberías Verticales y Mangueras, NFPA 14, así:
El literal (a) de J.4.3.4.2 debe quedar así:
(a) En edificios de más de tres pisos o más de 9 m de altura sobre el nivel de la calle.
El literal (d) de J.4.3.4.2 debe quedar así:
(d) … incendios en edificios, NTC 2301 y como referencia la Norma para Instalación de Sistemas de Rociadores, NFPA 13
Se debe modificar J.4.3.4.3 al final así:
… Extintores de fuego portátiles, NTC 2885 y como referencia la Norma de Extintores de fuego Portátiles, NFPA 10.
Se debe modificar J.4.3.5.1 al final así:
… de incendios en edificios, NTC 2301 y como referencia la Norma para Instalación de Sistemas de Rociadores, NFPA 13, así:
Al final de J.4.3.5.1 debe incluirse el siguiente literal (e) así:
(e) En la totalidad de edificios de gran altura, clasificados en el subgrupo de ocupación Lugares de Reunión (L).
Se debe modificar J.4.3.5.2 al final así:
… en edificaciones, NTC 1669, y como referencia el Código para Instalación de Sistemas de Tuberías Verticales y Mangueras, NFPA 14, así:
El literal (a) de J.4.3.5.2 debe quedar así:
(a) En edificios de más de cuatro pisos o más de 12 m de altura, sobre el nivel de la calle.
El final del literal (e) de J.4.3.5.2 debe quedar así:
(e)…de incendios en edificios, NTC 2301 y como referencia la Norma para Instalación de Sistemas de Rociadores, NFPA 13.
Se debe modificar J.4.3.5.3 al final así:
… Extintores de fuego portátiles, NTC 2885 y como referencia la Norma de Extintores de fuego Portátiles, NFPA 10.
Se debe modificar J.4.3.6.1 al final así:
… de incendios en edificios, NTC 2301 y como referencia la Norma para Instalación de Sistemas de Rociadores, NFPA 13, de acuerdo con las exigencias de extinción para cada ocupación contenidas en los numerales J.4.3.1 a J.4.3.5.
Se debe modificar J.4.3.6.2 al final así:
… de incendios en edificaciones, NTC 1669, y como referencia el Código para Instalación de Sistemas de Tuberías Verticales y Mangueras, NFPA 14, de acuerdo con las exigencias de extinción para cada ocupación contenidas en los numerales J.4.3.1 a J.4.3.5.
Se debe modificar J.4.3.6.3 al final así:
…Extintores de fuego portátiles, NTC 2885 y como referencia la Norma de Extintores de fuego Portátiles, NFPA 10, de acuerdo con las exigencias de extinción para cada ocupación contenidas en los numerales J.4.3.1 a J.4.3.5.
Se debe modificar J.4.3.7.1 al final así:
…de incendios en edificios, NTC 2301, y como referencia la Norma para Instalación de Sistemas de Rociadores, NFPA 13, del Código de Construcción y Seguridad y Código Internacional de construcción, NFPA 5000, así:
Se debe modificar J.4.3.7.2 al final así:
… de incendios en edificaciones, NTC 1669 y como referencia el Código para Instalación de Sistemas de Tuberías Verticales y Mangueras, NFPA 14, del Código de Construcción y Seguridad y Código Internacional de construcción, NFPA 5000.
Se debe modificar J.4.3.7.3 al final así:
… Extintores de fuego portátiles, NTC 2885 y como referencia la Norma de Extintores de fuego Portátiles, NFPA 10, del Código de Construcción y Seguridad y Código Internacional de construcción, NFPA 5000.
Se debe modificar J.4.3.8.1 al final así:
…de incendios en edificios, NTC 2301 y como referencia la Norma para Instalación de Sistemas de Rociadores, NFPA 13, así:
El literal (a) de J.4.3.8.1 debe quedar así:
(a) En la totalidad de edificios de gran altura clasificados en el subgrupo de ocupación Residencial Multifamiliar (R-2), en las zonas comunes.
El literal (b) de J.4.3.8.1 debe quedar así:
(b) En todos los pisos para uso de estacionamiento ubicados bajo edificios clasificados en el subgrupo de ocupación Residencial Multifamiliar (R-2).
Se debe modificar J.4.3.8.2 al final así:
… de incendios en edificaciones, NTC 1669, y como referencia el Código para Instalación de Sistemas de Tuberías Verticales y Mangueras, NFPA 14, así:
El literal (a) de J.4.3.8.2 debe quedar así:
(a) En la totalidad de edificaciones clasificadas en el subgrupo de ocupación Residencial Multifamiliar (R-2) que tengan más de 15 m de altura.
El literal (b) de J.4.3.8.2 debe quedar así:
(b) En todos los pisos para uso de estacionamiento ubicados bajo edificios clasificados en el subgrupo de ocupación Residencial Multifamiliar (R-2).
Se debe modificar J.4.3.8.3 al final así:
… Extintores de fuego portátiles, NTC 2885 y como referencia la Norma de Extintores de fuego Portátiles, NFPA 10.
Se debe modificar J.4.3.9.1 al final así:
…de incendios en edificios, NTC 2301 y como referencia la Norma para Instalación de Sistemas de Rociadores, NFPA 13, así:
El literal (a) de J.4.3.9.1 debe quedar así:
(a) En la totalidad de edificaciones clasificadas en el subgrupo de ocupación Residencial Hoteles (R-3) de más de tres pisos de altura.
El literal (b) de J.4.3.9.1 debe quedar así:
(b) En todos los pisos para uso de estacionamiento ubicados bajo edificios clasificados en el subgrupo de ocupación Residencial Hoteles (R-3)
Se debe modificar J.4.3.9.2 al final así:
… de incendios en edificaciones, NTC 1669, y como referencia el Código para Instalación de Sistemas de Tuberías Verticales y Mangueras, NFPA 14, así:
El literal (a) de J.4.3.9.2 debe quedar así:
(a) En la totalidad de edificaciones clasificadas en el subgrupo de ocupación Residencial Hoteles (R-3) de mas de 9 metros de altura.
El literal (b) de J.4.3.9.2 debe quedar así:
(b) En todos los pisos para uso de estacionamiento ubicados bajo edificios clasificados en el subgrupo de ocupación Residencial Hoteles (R-3).
Se debe modificar J.4.3.9.3 al final así:
… Extintores de fuego portátiles, NTC 2885 y como referencia la Norma de Extintores de fuego Portátiles, NFPA 10.
La Tabla K.2.3-2 debe quedar así:
Tabla K.2.3-2
Subgrupo de ocupación comercial de bienes y productos (C-2)
Tiendas
Mercados
Supermercados
Centros comerciales
Farmacias
Centros de distribución
La Tabla K.2.4-1 debe quedar así:
Tabla K.2.4-1
Grupo de ocupación especiales (E)
Parques de Diversión
Cementerios
Autocinemas
Unidades Móviles
Helipuertos
Alojamientos y Tratamiento de Animales
La Tabla K.2.6-1 debe quedar así:
Tabla K.2.6-1
Subgrupo de ocupación institucional de reclusión (I-1)
La Tabla K.2.6-2 debe quedar así:
Tabla K.2.6-2
Subgrupo de ocupación institucional de salud o incapacidad (I-2)
| Hospitales | Ancianatos |
| Sanatorios | Manicomios |
| Clínicas | Hospicios |
| Centros de salud | Otros similares |
| Centros para discapacitados | |
| Puestos de primeros auxilios | |
| Orfanatos | |
La Tabla K.2.6-5 debe quedar así:
Tabla K.2.6-5
Subgrupo de ocupación institucional de servicio público (I-5)
Centros de comunicación
Juzgados
Otros similares
La Tabla K.2.7-1 debe quedar así:
Tabla K.2.7-1
Subgrupo de ocupación lugares de reunión deportivos (L-1)
| Estadios | Plazas de toros |
| Gimnasios | Hipódromos |
| Autódromos | Boleras |
| Velódromos | Coliseos |
| Piscinas colectivas | Pistas |
| Carpas y espacios abiertos | Polígonos |
| Otros similares | |
La Tabla K.2.7-3 debe quedar así:
Tabla K.2.7-3
Subgrupo de ocupación lugares de reunión sociales y recreativos (L-3)
| Clubes sociales | Centro de recreación |
| Clubes nocturnos | Restaurantes y Tabernas |
| Salones de baile | Vestíbulos y salones de reunión de hoteles |
| Salones de juego (cartas, ajedrez, billares, casinos, etc.) | Bibliotecas, salas de lectura, galerías de arte, museos |
| Discotecas | Otros similares |
En K.3.1.3 se debe modificar la siguiente definición:
Medios de evacuación - Vías libres y continuas que partiendo desde cualquier punto de una edificación conducen a un lugar seguro o una vía pública. Cada medio de evacuación consta de partes separadas y distintas: salida, acceso a la salida y descarga de salida.
En K.3.1.3 deben agregar las siguientes definiciones:
Edificio de gran altura - Edificio con una planta habitable que está a más de 15 metros (medidos verticalmente) por encima del nivel de la calle.
Medio Protegido - Aquel que permite la evacuación garantizando una adecuada protección contra el fuego y el humo mediante barreras cortafuego.
Unidad de Vivienda - Una o más habitaciones dispuestas para propósito de administración doméstica completa independiente, con espacio para comer, vivir y dormir.
En K.3.2.2.2 debe modificarse el final del segundo parágrafo así:
… de ocupación prevista en la Tabla K.3.3-1, número al cual tendrá que limitarse, entonces, la respectiva carga de ocupación del edificio.
El literal K.3.2.3.4 se reubica en K.3.5.1.3 con esta nueva nomenclatura.
El literal K.3.2.5 debe quedar así:
K.3.2.5 – ALARMAS – Véase J.4.2.2.
El final de K.3.2.6.1 debe quedar así:
…localizarse las escaleras de evacuación (protegidas) de manera que sean accesibles al cuerpo de bomberos desde la calle y que estas tengan acceso en todos los pisos de la edificación.
El literal K.3.2.6.2 debe quedar así:
K.3.2.6.2 - Conductos de descarga - No se permite que los conductos de descarga, de escape o expulsión de aire, o los respiraderos de los sistemas de aire acondicionado descarguen hacia las escaleras interiores o exteriores (protegidas y no protegidas) de una edificación o a los fosos de ascensores. Tampoco es admisible que se utilicen corredores que sirven de acceso a las salidas como descarga de retorno de espacios de aire acondicionado, a menos que el sistema cuente con detectores de humo aprobados para la desconexión automática de los ventiladores de suministro y descargue y el cierre automático de las rejillas de suministro.
El literal K.3.2.7 debe quedar así:
K.3.2.7 - SISTEMAS DE INGRESO Y EGRESO PARA DISCAPACITADOS - Toda obra se deberá proyectar y construir de tal forma que facilite el ingreso y egreso de las personas con movilidad reducida, sea ésta temporal o permanente. Así mismo, se debe procurar evitar toda clase de barreras física en el diseño y ejecución de las vías en la construcción o restauración de edificios de propiedad pública o privada. Las normas que se deberán tener en cuenta son: Las Normas Técnicas, NTC 4349, Accesibilidad de las Personas al Medio Físico. Edificios, Ascensores,. NTC 4143 Accesibilidad de las Personas al Medio Físico. Edificios, Rampas Fijas, NTC 4145 Accesibilidad de la Personas al Medio Físico. Edificios, escaleras, y NTC 4140 Accesibilidad de las Personas al Medio Físico. Edificios, pasillos, corredores.
Además en K.3.2.7 se eliminan los siguientes literales: K.3.2.7.1, K.3.2.7.2, K.3.2.7.3, K.3.2.7.4, y K.3.2.7.5.
El literal K.3.2.8 debe quedar así:
K.3.2.8 - SEÑALIZACIÓN DE SALIDAS PARA DISCAPACITADOS - La señalización de los medios de egreso e ingreso para discapacitados debe diseñarse de acuerdo con las Normas Técnicas, NTC 4349, Accesibilidad de las Personas al Medio Físico. Edificios, Ascensores, NTC 4143 Accesibilidad de las Personas al Medio Físico. Edificios, Rampas Fijas, NTC 4145 Accesibilidad de la Personas al Medio Físico. Edificios, escaleras, y NTC 4140 Accesibilidad de las Personas al Medio Físico. Edificios, pasillos, corredores.
El inicio de K.3.3.1.4 debe quedar así:
… la carga de ocupación debe determinarse separadamente por espacios según su uso y el índice de ocupación respectivo de acuerdo con la Tabla K.3.3.1. Las áreas de uso accesorias como pasillos y corredores…
La Tabla K.3.3-1 debe quedar así:
Tabla K.3.3-1
Índice de ocupación
| Nomenclatura | Grupos de Ocupación | Área neta de piso en metros cuadrados por ocupante |
| A | ALMACENAMIENTO | 28 |
| C | COMERCIAL | |
| C-1 | Servicios | 10 |
| C-2 | Bienes y Productos | |
| Piso a Nivel de la Calle e Inferiores | 3 | |
| Otros pisos | 6 | |
| E | ESPECIAL | Según ocupación |
| F | FABRIL E INDUSTRIAL | 9 |
| I | INSTITUCIONAL | |
| I-1 | Reclusión | 11 |
| I-2 | Salud o Incapacidad | |
| Dormitorios | 11 | |
| Cuidados Ambulatorios | 9 | |
| Áreas de Tratamiento con Pacientes Internos | 22 | |
| I-3 | Educación | |
| Salones de Clase | 2 | |
| Laboratorios, Talleres y áreas vocacionales | 4.6 | |
| I-4 | Seguridad Pública | 2.8 |
| I-5 | Servicio Público | 0.3 |
| L | LUGARES DE REUNIÓN | |
| Uso concentrado (Sin asientos) | 0.5 | |
| Uso concentrado (Asientos no fijos) | 0.7 | |
| Uso menos concentrado (Mesas y asientos) | 1.4 | |
| Uso con asientos fijos | Según número de asientos | |
| Asientos tipo grada | 450 mm lineales por persona | |
| Casinos y áreas similares | 1 | |
| Salas de Lectura | 4.6 | |
| Zonas de Estantería de Libros | 9.3 | |
| Piscinas (lamina de agua) | 4.6 | |
| Piscinas (Deck) | 1.4 | |
| Escenarios | 1.4 | |
| Salas de ejercicios con equipos | 4.6 | |
| Salas de ejercicios sin equipos | 1.4 | |
| Zonas de reclamo de equipaje | 1.8 | |
| Zonas de manejo de equipaje | 28 | |
| Zonas de espera | 1.4 | |
| Juzgados (Sin asientos fijos) | 3.7 | |
| Cocinas | 9.3 | |
| M | MIXTO | Según la ocupación de cada área de acuerdo al uso específico |
| P | ALTA PELIGROSIDAD | 9 |
| R | RESIDENCIAL | 18 |
| T | TEMPORAL Y MISCELÁNEO | Según ocupación |
El inicio de K.3.3.3.1 debe quedar así:
… provistos de un sistema automático de rociadores para extinción de incendios, los valores para el ancho por persona, dados en la Tabla K.3.3-2, pueden reducirse en un 50%.
El literal K.3.3.3.3 debe quedar así:
K.3.3.3.3 - La capacidad requerida de un corredor debe ser la carga de ocupación que utiliza el corredor para acceder a una salida dividida por el número de salidas requeridas a las que el corredor conduce.
El literal K.3.3.3.4 debe quedar así:
K.3.3.3.4 - Donde una salida atiende más de un piso, para calcular la capacidad requerida de la salida para cada piso, se deberá usar únicamente la carga de ocupantes de ese piso considerado individualmente, siempre que la capacidad requerida de la salida no disminuya en la dirección del recorrido de salida.
Debe modificarse el final de K.3.3.4.2 así:
… deben tener el ancho adecuado para acomodar el número de personas que requieran cada una de las salidas.
En la Tabla K.3.3-2 debe modificarse el texto del título común a las dos columnas de la derecha de la tabla por el siguiente texto: “Ancho por persona, mm”.
El literal K.3.4.1.1 debe quedar así:
K.3.4.1.1 - En toda edificación o área de ésta, cuya ocupación, tamaño y disposición sea tal que la seguridad de sus ocupantes se vea comprometida por el bloqueo de alguno de los medios de evacuación en caso de incendio u otra emergencia, éstos deben ubicarse tan alejados entre sí de tal manera que se minimice la posibilidad de que ambos medios se bloqueen simultáneamente. Las salidas deben estar separadas entre sí a una distancia no inferior a la mitad de la diagonal del edificio o área a evacuar. En caso de contar con un sistema de rociadores la distancia se puede reducir a un tercio de la diagonal del edificio o el área a evacuar. (Referencia NFPA 101).
El literal K.3.4.2 debe quedar así:
K.3.4.2 - NUMERO DE SALIDAS - El número mínimo de salidas desde cualquier piso o parte del mismo, según su carga de ocupación está dado en la Tabla K.3.4-1.
El literal K.3.5.1.1 debe quedar así:
K.3.5.1.1 - El acceso a las salidas incluye el salón o espacio en el cual esté localizado un ocupante, así como los pasillos, rampas, corredores y puertas que deben atravesarse en el recorrido hacia la respectiva salida.
El literal K.3.5.1.3 debe quedar así:
K.3.5.1.3 - En ningún caso debe permitirse que el acceso a una salida se haga a través de cocinas, cuartos de almacenamiento, dormitorios, salones de trabajo u otros espacios que pueden estar bajo llave, y a través de espacios que ofrezcan alto riesgo tales como subestaciones, calderas y cuartos técnicos, excepto cuando la salida sirva únicamente a un dormitorio o a otra habitación que deba permanecer cerrada, o a habitaciones adyacentes que formen partes de la misma unidad de vivienda y sean del Subgrupo de Ocupación (R-1).
Debe incluirse el siguiente nuevo literal K.3.5.1.4:
K.3.5.1.4 - Cuando se requiera más de una salida en cada piso, cada una debe localizarse para que tenga acceso desde cualquier punto de un corredor, y limitarse los trayectos ciegos en los pasillos a una longitud máxima de 6 m. En caso de contar con un sistema de rociadores automáticos esta distancia se puede incrementar a 15 m.
Debe incluirse una nueva sección K.3.5.2 así:
K.3.5.2 - DESCARGA DE LA SALIDA
K.3.5.2.1 - Todas las salidas deben descargar directamente a la calle o a un espacio seguro (patios, espacios abiertos, callejones, etc.) siempre y cuando estos tengan las dimensiones adecuadas para proveer un acceso seguro hasta una vía pública, con excepción del grupo de ocupación (I-1).
K.3.5.2.2 – En caso de necesitarse más de 2 salidas de emergencia, no más del 50% de las salidas requeridas puede evacuar a través de un área en el nivel de la descarga (por ejemplo el vestíbulo de acceso), siempre y cuando el nivel de descarga esté protegido por un sistema de rociadores automáticos y la salida a la calle sea fácilmente identificable y esté libre de obstrucciones.
Debe modificarse el final de K.3.6.1 así:
... Cuando el recorrido incluya escaleras no protegidas, se debe incluir el recorrido vertical a través de estas, y esta distancia debe medirse en el plano diagonal del borde de las huellas
El literal K.3.6.5 debe quedar así:
K.3.6.5 - DISTANCIA - La distancia máxima de recorrido desde el punto más alejado hasta el centro de cualquier salida de emergencia, no debe sobrepasar los límites especificados en la Tabla K.3.6-1.
Se debe eliminar todo el texto del literal K.3.7.1 – CORREDORES.
El literal K.3.7.2 en su totalidad debe renumerarse como K.3.7.1 y debe quedar así:
K.3.7.1- SALIDAS - Cuando una salida requiera protección de las otras partes de la edificación, el elemento de separación debe construirse de acuerdo con los requisitos de éste.
K.3.7.1.1 - Las salidas deben proporcionar protección contra el fuego y el humo (según Tabla J.3.4-3) a lo largo de todo su recorrido, por medio de separaciones levantadas con materiales no combustibles.
K.3.7.1.2 - Todas las aberturas de las salidas deben protegerse con marcos y puertas de materiales de combustión lenta o incombustible que cumpla con los requerimientos de resistencia al fuego de la Tabla J.3.4-3.
El literal K.3.8.1.2 se elimina.
El literal K.3.8.2.1 debe quedar así:
K.3.8.2.1 - Dimensiones - Cada puerta individual debe tener a lo ancho una luz mínima efectiva de 800 mm, salvo las destinadas a dormitorios en usos R1, R2 o R3, en que esa luz se puede disminuir hasta 700 mm. Cuando la puerta se subdivida en dos o más aberturas separadas, el ancho mínimo de cada una de éstas no debe ser menor de 700 mm. En cuanto a la altura, las puertas no deben tener menos de 2.05 m. Se excluyen las puertas de particiones sanitarias. Las puertas de acceso a medios de evacuación deben estar de acuerdo con los numerales K.3.3.2, K.3.3.3 y K.3.3.4.
El literal K.3.8.2.5 debe quedar así:
K.3.8.2.5 - Giro de puertas - Las puertas de salida de espacios o habitaciones de edificaciones de carga de ocupación superior a 50 personas o clasificados de Alta Peligrosidad y de corredores desde espacios que requieren más de una puerta, éstas deben girar en la dirección de evacuación. No se permite utilizar puertas de vaivén cuando la carga de ocupación del área donde se hallen sea superior a 50 personas. En el caso de puertas de acceso a escaleras protegidas o que hagan parte de particiones corta fuego o corta humo, las puertas deberán disponer de dispositivos auto cerrantes con el fin de que estas siempre permanezcan cerradas.
El final de K.3.8.2.6 debe quedar así:
... La fuerza requerida para abrir completamente una puerta debe ser inferior a 133 N.
Inmediatamente después de K.3.8.2.7 debe incluirse el nuevo literal K.3.8.2.8 siguiente:
K.3.8.2.8 – Resistencia al Fuego - Las puertas de acceso o egreso a las salidas de emergencia protegidas, deberán ser de apertura manual fácil mediante barras antipánico, de cierre automático y tener una resistencia a la acción del fuego no inferior a la especificada en la Tabla J.3.4-3. Las puertas pueden diseñarse de acuerdo con la Norma NFPA 80, Norma para puertas y ventanas a prueba de incendios.
El literal K.3.8.3.2 debe quedar así:
K.3.8.3.2 - Capacidad - La capacidad de escaleras que hagan parte de un medio de evacuación, debe calcularse de acuerdo con los literales K.3.3.2, K.3.3.3 y K.3.3.4.
El literal K.3.8.3.3 debe quedar así:
K.3.8.3.3 - Ancho mínimo - Las escaleras con carga de ocupación superior a 50 personas, deben tener ancho mínimo de 1.20 m; cuando la carga total de ocupación de una edificación sea inferior a 50 personas, dicho ancho mínimo puede reducirse a 0.90 m. Las escaleras en el interior de las viviendas deberán tener un ancho mínimo de 0.90 m. Las escaleras de uso público deberán tener un ancho mínimo de 1.20 m. Si la separación de los pasamanos a la pared supera 50 mm, el ancho de la escalera debe incrementarse en igual magnitud.
En edificaciones residenciales unifamiliares sin límite de pisos, o en escaleras privadas interiores de apartamentos, el ancho mínimo permisible es de 0.75 m.
El literal (c) de K.3.8.3.4 debe quedar así:
(c) La altura de la contrahuella y el ancho de la huella deben dimensionarse en tal forma que la suma de 2 contrahuellas y una huella, sin incluir proyecciones, sea 640 mm.
El final del literal (d) de K.3.8.3.4 debe quedar así:
(d) Puede permitirse el uso de tramos curvos entre 2 niveles o descansos, solo si los peldaños tienen un mínimo de 280 mm de huella, medidos sobre una línea situada a 300 mm del borde interior del tramo, y que el radio más pequeño no sea menor a dos veces el ancho de la escalera.
El primer párrafo de K.3.8.3.5 debe quedar así:
K.3.8.3.5 - Descansos - Todo descanso debe tener una dimensión mínima, medida en la dirección del movimiento, igual al ancho de la escalera.
El primer párrafo de K.3.8.3.7 debe quedar así:
K.3.8.3.7 - Altura libre mínima - Toda escalera debe disponer de una altura libre mínima de 2.05 m, medida verticalmente desde…
Inmediatamente después de K.3.8.3.10 se debe incluir este nuevo literal K.3.8.3.11:
K.3.8.3.11 - Escaleras protegidas - Las escaleras interiores que sean consideradas como salidas deben estar debidamente cerradas y protegidas al fuego y al humo de acuerdo con las exigencias del Título J en cuanto resistencia al fuego y características constructivas.
El final de K.3.8.4.1 debe quedar así:
… que el uso determine. Para las escaleras exteriores utilizadas como salidas de emergencia se debe garantizar el asilamiento al fuego y al humo de la escalera exterior de acuerdo con las exigencias del Título J en cuanto resistencia al fuego y características constructivas, se pueden usar como referencia las especificaciones utilizadas en la norma NFPA 101 para la separación y protección de escaleras exteriores.
El literal K.3.8.5 debe quedar así:
K.3.8.5 - ESCALERAS MECÁNICAS Y CAMINOS MÓVILES - Las escaleras mecánicas y los caminos móviles no deberán formar parte de los medios de evacuación necesarios para una edificación. Adicionalmente, deben cumplir los requisitos establecidos en K.3.8.5.1 a K.3.8.5.3.
El literal K.3.8.5.2 debe quedar así:
K.3.8.5.2 - En estaciones de transporte que tengan escaleras mecánicas hacia niveles por debajo del terreno, el ancho de las escaleras mecánicas no puede ser inferior a 0.6 m.
El literal K.3.8.5.3 se elimina.
El literal K.3.8.6 debe quedar así:
K.3.8.6 - RAMPAS - Las rampas utilizadas como medio de evacuación, deben cumplir los requisitos especificados para rutas y medios de evacuación y la norma NTC 4143 Accesibilidad de las Personas al Medio Físico. Edificios, Rampas Fijas, además de los especificados a continuación.
El literal K.3.8.6.4 debe quedar así:
K.3.8.6.4 - Ancho - El ancho mínimo de una rampa de un medio de salida no debe ser menor que 1.10 m. El ancho libre de una rampa y el ancho libre entre pasamanos, si son provistos, deben ser de 0.9 m, como mínimo, con las siguientes excepciones:
El literal (a) de K.3.8.6.4 debe quedar así:
(a) Para acceso y utilización de sistemas mecánicos o hidráulicos y sanitarios, o equipos eléctricos, puede ser de 0.6 m.
El literal (b) de K.3.8.6.4 debe quedar así:
(b) Dentro de una unidad de vivienda o para una capacidad de ocupantes requerida menor a 50 personas puede ser de 0.9 m.
Debe modificarse el final del literal K.3.8.6.5 así:
… rampa del medio de salida no debe ser menor a 2.05 m.
Debe modificarse el final del literal K.3.8.6.5 así:
… rampa del medio de salida no debe ser menor a 2.05 m.
Debe modificarse el final del literal K.3.8.7.1 así:
… construidos con materiales incombustibles y con resistencia al fuego según lo especificado en literal J.3.4.3.
El literal K.3.8.7.2 debe quedar así:
K.3.8.7.2 - Deben descargar sus ocupantes en el exterior del edificio o en un pasaje de salida que conduzca a él.
El primer parágrafo de K.3.8.7 debe quedar así:
K.3.8.7 - SALIDAS PROTEGIDAS - Las salidas protegidas deben cumplir las disposiciones siguientes:
El literal K.3.8.7.4 debe quedar así:
K.3.8.7.4 - Muros - Los muros de cerramiento de las escaleras pertenecientes a salidas protegidas deben construirse con material incombustible cumpliendo con J.3.4.3.
El literal K.3.9.2.4 debe quedar así:
K.3.9.2.4 - El sistema de iluminación de emergencia puede disminuir pasadas 1.5 horas, pero de manera que su nivel no sea menor de 6 lux, en promedio, y 0.65 lux en cualquier punto, medidos en el nivel del piso.
El inicio del literal K.3.9.2.5 debe quedar así:
K.3.9.2.5 - Para el diseño del sistema de iluminación de emergencia se podrán tener como referencia las especificaciones de la norma NFPA 110…
El literal K.3.9.2.1 que aparece con nomenclatura repetida después de K.3.9.2.6 debe renumerarse como K.3.9.2.7 y su texto debe permanecer igual.
El literal K.3.10.1 debe quedar así:
K.3.10.1 - Toda señal requerida en la ubicación de medios de evacuación, debe dimensionarse y diseñarse con colores verde sobre blanco, tal como se especifica en la norma NTC 1461 Higiene y seguridad. Colores y señales de seguridad y NTC 1931 Protección Contra Incendio. Señales de Seguridad, en tal forma que sea claramente visible. La localización de estas señales debe ser tal que puedan ser vistas desde cualquier punto del recorrido y que guíen hacia la salida más cercana. La ubicación de las señales en accesos a la salida debe estar dispuesta de tal forma que no se encuentren puntos a más de 30 metros de una señal.
El final del literal K.3.11.1 debe quedar así:
… debe haber, por lo menos dos medios de evacuación de acuerdo con K.3.4.1.1.
El literal K.3.11.2 debe quedar así:
K.3.11.2 - CAPACIDAD DE LOS MEDIOS DE EVACUACIÓN - Los medios de evacuación deben estar dimensionados de acuerdo con los índices de ancho de salida de la Tabla K.3.3-2., siendo las dimensiones mínimas para los componentes de los medios de evacuación las siguientes:
El literal K.3.11.2.1 debe quedar así:
K.3.11.2.1 - Puertas - Mínimo 0.8 m.
El literal K.3.11.2.2 debe quedar así:
K.3.11.2.2 - Escaleras - Mínimo 1.2 m.
El literal K.3.11.2.3 debe quedar así:
K.3.11.2.3 - Rampas - Según K.3.8.6.4.
El literal K.3.12.1 debe quedar así:
K.3.12.1 - CAPACIDAD DE LOS MEDIOS DE EVACUACIÓN - Los medios de evacuación deben estar dimensionados de acuerdo con los índices de ancho de salida de la Tabla K.3.3-2., siendo las dimensiones mínimas para los componentes de los medios de evacuación las siguientes:
K.3.12.1.1 - Puertas - Mínimo 0.8 m.
K.3.12.1.2 - Escaleras - Mínimo 1.2 m.
K.3.12.1.3 - Rampas - Según K.3.8.6.4.
Los literales K.3.12.1.4 y K.3.12.1.5 se eliminan.
El final del literal K.3.12.2.1 debe quedar así:
…que conduzca directamente a una salida de emergencia o al exterior de la edificación.
El literal K.3.13.1 debe quedar así:
K.3.13.1 - CAPACIDAD DE LOS MEDIOS DE EVACUACIÓN - Los medios de evacuación deben estar dimensionados de acuerdo con los índices de ancho de salida de la Tabla K.3.3-2., siendo las dimensiones mínimas para los componentes de los medios de evacuación las siguientes:
K.3.13.1.1 - Puertas - Mínimo 0.8 m.
K.3.13.1.2 – Escaleras - Mínimo 1.2 m.
K.3.13.1.3 - Rampas - Según K.3.8.6.4.
K.3.13.1.4 - Salidas horizontales - Según la Tabla K.3.3-2, pero no más del 50% de la capacidad requerida de salida.
El final del literal K.3.13.2 debe quedar así:
… áreas de piso no divididas y distancias de recorrido superiores a 60 m, la movilización a las salidas debe…
El literal (a) de K.3.14.1.2 debe quedar así:
(a) Entre cualquier puerta de una habitación considerada como acceso de salida y una salida: 45 m.
El literal (b) de K.3.14.1.2 debe quedar así:
(b)Entre cualquier punto de una habitación y una salida: 60 m.
El literal (c) de K.3.14.1.2 debe quedar así:
(c) Entre cualquier punto de una habitación utilizada para el cuidado de enfermos y una puerta de dicha habitación para el acceso de una salida: 30 m.
El literal K.3.14.2.1 debe quedar así:
K.3.14.2.1 - Capacidad de los medios de evacuación - Los medios de evacuación deben estar dimensionados de acuerdo con los índices de ancho de salida de la Tabla K.3.3-2., siendo las dimensiones mínimas para los componentes de los medios de evacuación las siguientes:
* Puertas – Mínimo 0.8 m.
* Escaleras– Mínimo 1.2 m.
*Rampas – Según K.3.8.6.4
El literal K.3.14.3.1 debe quedar así:
K.3.14.3.1 - Capacidad de los medios de evacuación - Los medios de evacuación deben estar dimensionados de acuerdo con los índices de ancho de salida de la Tabla K.3.3-2., siendo las dimensiones mínimas para los componentes de los medios de evacuación las siguientes:
* Puertas – Mínimo 0.8 m.
* Escaleras– Mínimo 1.2 m.
* Rampas– Según K.3.8.6.4.
El literal K.3.14.3.2 debe quedar así:
K.3.14.3.2 - Ancho mínimo de corredores - Abarcará el ancho de salida que determine el número de ocupantes del área en cuestión según lo estipulado en la Tabla K.3.3-2, y no debe hallarse obstruido por equipos movibles. Las puertas que abren hacia el interior de un corredor de salida, deben tener un retroceso que prevenga interferencias con el tránsito del corredor.
El texto del literal K.3.14.3.3 se elimina y se substituye por el texto, incluyendo el título, del literal K.3.14.3.4. El literal K.3.14.3.4 desaparece.
Debe modificarse el final de K.3.15.1.1 así:
... Ningún medio de evacuación puede medir menos de 1.2 m.
Debe modificarse el texto de K.3.15.1.3 así:
…con promedio de 60 personas por minuto, por cada 0.6 m de ancho de salida. Estas salidas deben conducir directamente…
Debe modificarse en K.3.15.2.1 así:
K.3.15.2.1 - Todo pasillo debe tener un ancho mínimo de 0.9 m cuando sirva a más de 60 asientos sobre un lado y no menos de 1.20 m cuando sirva a asientos sobre ambos lados. Estos anchos mínimos deben medirse en el punto más alejado de cualquier salida, pasillo cruzado o salón de entrada. El ancho mínimo debe incrementarse en 35 mm por cada 1.5 m de longitud hacia la salida, pasillo cruzado o salón de entrada.
Debe modificarse en K.3.15.3.1 así:
K.3.15.3.1 - Una fila de asientos no puede tener más de 100 sillas, si tiene acceso a través de ambos de sus extremos, o no más de 50 sillas, si el acceso se hace sólo desde uno de sus extremos. El número de asientos permitidos se determina según la Tabla K.3.15-1.
La Tabla K.3.15-1 debe quedar así:
Tabla K.3.15-1
Distancias horizontales libres entre filas de asientos
| Máximo número de sillas entre corredores | Distancia horizontal libre entre filas, mm |
| 14 | 300 |
| 18 | 350 |
| 24 | 400 |
| 30 | 450 |
| 36 | 500 |
| 42 | 550 |
| 48 a 100 | 600 |
Al final de K.3.15.4.2 debe substituirse la referencia a K.3-6 por K.3.8.6.
El literal K.3.16.1.1 debe quedar así:
K.3.16.1.1 - Esta distancia de recorrido puede aumentarse a 45 m en estructuras dotadas con equipos automáticos de detección y extinción de incendios.
El literal K.3.17.2 debe quedar así:
K.3.17.2 - La capacidad de las salidas no debe ser inferior a la requerida de acuerdo con los índices de ancho de salida de la Tabla K.3.3-2, siendo las dimensiones mínimas para los componentes de los medios de evacuación las siguientes:
* Puertas – Mínimo 0.8 m.
* Escaleras– Mínimo 1.2 m.
* Rampas – Según K.3.8.6.4.
El literal K.3.18.2.1 debe quedar así:
K.3.18.2.1 - Número de salidas - Se acepta que haya solo una salida por piso en edificaciones multifamiliares, siempre que cumplan con las especificaciones siguientes: que el edificio no se clasifique como edificio de gran altura, que la salida este protegida de acuerdo con la Tabla J.3.4-3, que el área por piso no exceda de 400 m2 de área habitable y que no se exceda una distancia máxima de travesía de 15 m desde la puerta de acceso de cualquier unidad de vivienda hasta la salida ubicada en el mismo nivel de la vivienda.
El literal K.3.18.2.2 debe quedar así:
K.3.18.2.2 - Toda unidad de vivienda en edificaciones residenciales localizada a menos de 15 m de altura de acuerdo con la definición de edificios de gran altura debe tener al menos una ventana libre para su apertura o una puerta exterior dispuesta para evacuación o rescate.
Debe modificarse el final de K.3.18.2.3 así:
…una escalera exterior protegida o a una escalera interior protegida que no forme parte del apartamento servido.
El literal K.3.18.2.4 debe quedar así:
K.3.18.2.4 - La distancia de recorrido desde el punto más remoto de una unidad de vivienda a la salida más próxima no debe exceder las distancias establecidas en la Tabla K.3.6-1.
El literal (a) de K.3.18.2.5 debe quedar así:
(a) En edificaciones multifamiliares, es indispensable que las puertas de acceso al edificio y de acceso a las salidas de emergencia abran en la misma dirección de evacuación.
El literal (b) de K.3.18.2.5 debe quedar así:
(b) Las puertas de entrada y salida a las salidas de emergencia deben estar provistas de cerraduras antipánico y de un sistema de iluminación adecuado.
El literal K.3.18.3.1 debe quedar así:
K.3.18.3.1 - Capacidad de los medios de evacuación - Requerida de acuerdo con los índices de ancho de salida de la Tabla K.3.3-2., siendo las dimensiones mínimas para los componentes de los medios de evacuación las siguientes:
* Puertas – Mínimo 0.8 m.
* Escaleras– Mínimo 1.2 m.
* Rampas – Según K.3.8.6.4.
El tercer parágrafo de K.3.18.3.2 debe quedar así:
Puede tenerse una salida por piso en edificaciones de menos de cuatro pisos de altura, siempre que la distancia máxima de recorrido sea de 24 m, la salida esté protegida de acuerdo con la Tabla J.3.4-3 y que se cuente con un sistema automático de rociadores para la extinción de incendios.
El literal K.3.18.3.3 debe quedar así:
K.3.18.3.3 - Distancia de recorrido - La distancia de recorrido del extremo de una alcoba a su acceso al corredor de salida no debe ser superior a 15 m y del acceso de la habitación a la salida se debe ajustar a lo exigido en la Tabla K.3.6-1.
En K.4.1.2 deben corregirse las siguientes definiciones:
Materiales para vidriado de seguridad (Safety glazing materials) - Estos son productos orgánicos o inorgánicos, construidos o tratados de tal manera que reduzcan la posibilidad de lesión a las personas como resultado de contacto con ellos, sea o no que se rompan. El Vidrio monolítico recocido de cualquier espesor no es considerado como material para vidriado de seguridad. Los Materiales para vidriado de seguridad deben cumplir los requisitos de la especificación ANSI Z97.1. Ver Vidrio de Seguridad.
Vidriado o vidriera (Glazing) - 1) Término genérico usado para describir un material que cubre un vano como vidrio, láminas, etc. 2) El proceso de instalar un material que cubre un vano en una abertura preparada para ventanas, puertas, paneles, particiones, etc.
Vidrio con recubrimiento orgánico (Organic-coated glass) - Ensamble que consiste de una lámina de vidrio con una o ambas superficies cubiertas con 1) Una película o lámina orgánica adhesiva o; 2) Un recubrimiento aplicado. Cuando un vidrio con recubrimiento orgánico se quiebra numerosas grietas aparecen, pero los fragmentos de vidrio tienden a adherirse al material orgánico aplicado.
Vidrio de seguridad (Safety glass) - Vidrio plano (incluso curvado) de tal forma fabricado, tratado, procesado o combinado con otros materiales que al romperse por contacto humano, la probabilidad y/o gravedad del corte y las heridas por esquirlas producidas por tal contacto es reducida. Ver Materiales para Vidriado de Seguridad. Vidrio que cumple los requisitos de la especificación ANSI Z97.1.
Vidriolaminado (Laminated glass) - Un ensamble que consiste de al menos una lámina de vidrio adherida a al menos otra lámina de vidrio o material plástico de vidriado, con una entrecapa orgánica. NOTA: Cuando el Vidrio laminado se rompe aparecen numerosas grietas pero los fragmentos de vidrio tienden a adherirse a la entrecapa. Vidrio que cumple los requisitos de la especificación NTC 5783 Vidrio - Vidrio Plano Laminado (ASTM C1172).
Vidrio plano (Flat Glass) - Término general que comprende vidrio estirado, vidrio flotado y diversas formas de vidrio fabricado con rodillos de laminación y que cumple los requisitos de las especificaciones de las normas NTC 1909.
Vidrio templado (Fully tempered glass) - Vidrio plano que ha sido tratado térmicamente hasta obtener una compresión alta en la superficie o el borde y que cumple los requisitos de la especificación NTC 5756. Cuando se rompe en cualquier punto, la pieza entera se fragmenta en pequeños pedazos que tienen bordes relativamente romos en comparación con los bordes de las piezas rotas de vidrio recocido.
Vidrio termoendurecido (Heat-strengthened glass) - Vidrio plano que ha sido tratado térmicamente hasta lograr una compresión moderada en la superficie o en el borde, y que cumple los requisitos de la especificación NTC 5756.
En el literal K.4.2.1 se deben eliminar las dos referencias a K.4.4 y debe quedar así:
K.4.2.1 - Los elementos no estructurales de vidrio deben cumplir con las especificaciones del Capítulo A.9, y además con K.4.2.2, K.4.2.3 y K.4.3. Los elementos estructurales de vidrio deben cumplir con las especificaciones del Capítulo A.8, y además con K.4.2.3 y K.4.3.
El tercer parágrafo de K.4.2.3 debe quedar así:
Adicionalmente, para el dimensionamiento de espesores de láminas y selección de tipos de vidrio, se deben considerar otros parámetros como esfuerzos térmicos, rotura espontánea de vidrios templados, efectos de escombros llevados por el viento, efectos sísmicos, flujo de calor, marcas en el borde, atenuación de ruido, consecuencias potenciales después de la rotura, comportamiento de fragmentos de vidrio después de la rotura, resistencia al impacto humano accidental y otros. (Véanse los numerales K.4.2.4.3 y K.4.3). Los requisitos por cargas de viento pueden eventualmente superar los requisitos de impacto humano del numeral K.4.3.
En K.4.2.3.1 se debe eliminar la referencia a K.4.4. K.4.2.3.1 debe quedar así:
K.4.2.3.1 - Espesores de las láminas de material plástico para vidriado - Para la determinación de espesores de las láminas de material plástico para vidriado se deben seguir las especificaciones del fabricante. Los materiales plásticos para vidriado deben cumplir con las especificaciones de seguridad y construcción indicadas en K.4.3.
El último parágrafo del literal K.4.2.4.3 debe quedar así:
En el proceso de diseño y selección deben considerarse todos los requisitos de diseño estructural para vidrio especificados en K.4.2, así como los requisitos de seguridad de K.4.3. Si después de considerar dichos aspectos el vidrio se sigue encontrando apto se sugiere tener en cuenta las siguientes consideraciones:
Los siguientes literales del literal K.4.2.4.3.1 debe quedar así:
b) Magnitud del borde cubierto del vidrio.
f) Rótulos aplicados en la superficie del vidrio mayores al 1% del área del vidrio
g) Vidrio reflectivo aplicado en las superficies 2 y 3.
i) Elementos gruesos en el exterior del marco.
l) Áreas de los bordes del vidrio mayores de 10 m2.
m) Marcos sin puente de rotura térmica.
q) Relación largo/ancho mayor de 5.
v) Altitud sobre 1500 m.
El inicio de K.4.2.4.3.2 debe quedar así:
Se sugiere estimar o calcular el nivel...
El final de la última frase de K.4.2.4.3.3 debe quedar así:
... es recomendable que no sea superior al 8 por 1000.
Las Tablas K.4.2-2 a K.4.2-5 deben quedar así además en las notas de todas estas tablas donde se menciona el mapa de amenaza eólica debe substituirse la referencia de la figura a B.6.4.1, en vez de B.6.5.1, la cual es incorrecta.
Tabla K.4.2-2
Áreas máximas, en
, de acuerdo con el espesor, en mm, de vidrios recocidos colocados verticalmente, con relación largo/ancho menor o igual a dos (2) y soportados en los cuatro lados
| Región | Presión producida por el viento kN/ | Área del vidrio en | |||||||||
| 1 | 2 | 3 | 4 | 5 | 3mm | 4mm | 5mm | 6mm | 8mm | 10mm | |
| * | * | * | * | * | 0.50 | 4.40 | 6.60 | 9.00 | 12.18 | 19.76 | |
| * | * | * | * | * | 0.75 | 2.85 | 4.27 | 5.76 | 7.72 | 11.52 | 14.58 |
| * | * | * | * | * | 1.00 | 2.00 | 3.03 | 3.92 | 4.99 | 7.22 | 9.59 |
| * | * | * | * | 1.25 | 1.55 | 2.18 | 2.76 | 3.59 | 5.31 | 6.85 | |
| * | * | * | * | 1.50 | 1.18 | 1.62 | 2.06 | 2.76 | 4.06 | 5.45 | |
| * | * | * | 2.00 | 0.73 | 1.08 | 1.38 | 1.84 | 2.88 | 3.92 | ||
| * | * | * | 3.00 | 0.43 | 0.63 | 0.86 | 1.16 | 1.84 | 2.65 | ||
| * | * | 4.00 | 0.30 | 0.47 | 0.62 | 0.87 | 1.42 | 1.97 | |||
| * | 5.00 | 0.23 | 0.38 | 0.50 | 0.70 | 1.09 | 1.50 | ||||
| 7.00 | 0.17 | 0.26 | 0.35 | 0.50 | 0.81 | 1.10 | |||||
Tabla K.4.2-3
Áreas máximas en
por espesor para vidrios termoendurecidos Colocados verticalmente, con relación largo/ancho menor o igual a dos (2) y soportados en los cuatro lados
| Región | Presión producida por el viento kN/ | Área del vidrio en | |||||||||
| 1 | 2 | 3 | 4 | 5 | 3mm | 4mm | 5mm | 6mm | 8mm | 10mm | |
| * | * | * | * | * | 1.00 | 4.40 | 6.60 | 9.00 | 12.18 | 19.76 | |
| * | * | * | * | 1.50 | 2.85 | 4.27 | 5.76 | 7.72 | 11.52 | 14.58 | |
| * | * | * | 2.00 | 2.00 | 3.03 | 3.92 | 4.99 | 7.22 | 9.59 | ||
| * | * | * | 3.00 | 1.18 | 1.62 | 2.06 | 2.76 | 4.06 | 5.45 | ||
| * | * | 4.00 | 0.73 | 1.08 | 1.38 | 1.84 | 2.88 | 3.92 | |||
| 6.00 | 0.43 | 0.63 | 0.86 | 1.16 | 1.84 | 2.65 | |||||
Tabla K.4.2-4
Áreas máximas en
por espesor para vidrios templados colocados verticalmente, con relación largo/ancho menor o igual a dos (2) y soportados en los cuatro lados
| Región | Presión producida por el viento kN/ | Área del vidrio en | |||||||||
| 1 | 2 | 3 | 4 | 5 | 3mm | 4mm | 5mm | 6mm | 8mm | 10mm | |
| * | * | * | 2.00 | 4.40 | 6.60 | 9.00 | 12.18 | 19.76 | |||
| * | * | * | 3.00 | 2.85 | 4.27 | 5.76 | 7.72 | 11.52 | 14.58 | ||
| * | * | 4.00 | 2.00 | 3.03 | 3.92 | 4.99 | 7.22 | 9.59 | |||
| * | 5.00 | 1.55 | 2.18 | 2.76 | 3.59 | 5.31 | 6.85 | ||||
| 6.00 | 1.18 | 1.62 | 2.06 | 2.76 | 4.06 | 5.45 | |||||
Tabla K.4.2-5
Áreas máximas en m2 por espesor para vidrios recocidos laminados con PVB colocados verticalmente, con relación largo/ancho menor o igual a dos (2) y soportados en los cuatro lados
| Región | Presión producida por el viento kN/ | Área del vidrio en | |||||||||
| 1 | 2 | 3 | 4 | 5 | 3mm | 4mm | 5mm | 6mm | 8mm | 10mm | |
| * | * | * | * | * | 0.50 | 8.64 | 11.56 | ||||
| * | * | * | * | * | 0.75 | 5.45 | 7.57 | 12.33 | |||
| * | * | * | * | * | 1.00 | 3.84 | 5.31 | 8.08 | 10.26 | ||
| * | * | * | * | 1.25 | 2.42 | 3.92 | 6.02 | 7.76 | 9.50 | ||
| * | * | * | * | 1.50 | 2.31 | 3.13 | 4.65 | 6.06 | 7.61 | 13.36 | |
| * | * | * | 2.00 | 1.57 | 2.08 | 3.25 | 4.21 | 5.38 | 8.90 | ||
| * | * | * | 3.00 | 0.91 | 1.28 | 2.00 | 2.65 | 3.38 | 5.71 | ||
| * | * | 4.00 | 0.63 | 0.90 | 1.30 | 1.84 | 2.41 | 4.15 | |||
| * | 5.00 | 0.52 | 0.64 | 0.90 | 1.41 | 1.88 | 3.23 | ||||
| 7.00 | 0.32 | 0.48 | 0.71 | 0.96 | 1.27 | 2.16 | |||||
En K.4.2.5.2.1 debe suprimirse la referencia a K.4.4.5 la cual se incluyó por error. La sección debe quedar así:
K.4.2.5.2.1 - Excepción. Las unidades para tragaluces o claraboyas se deben diseñar de acuerdo con la sección K.4.2.5.5.
En el final de K.4.2.5.5 las referencias deben quedar así:
... debe ceñirse a las especificaciones dadas en K.4.2.5.5.1 y K.4.2.5.5.2.
El comienzo de K.4.2.6 debe quedar así:
En las Tablas K.4.2-2 a K.4.2-5 las cuales han sido elaboradas...
El texto de K.4.3.2 debe quedar así:
K.4.3.2 - Se exige el uso exclusivo de vidrios de seguridad laminados, templados o recubiertos, en los espacios señalados en el numeral K.4.3.9.
El texto de K.4.3.3 debe quedar así:
K.4.3.3 - No deben emplearse vidrios que presenten fallas, defectos o ambas imperfecciones que puedan afectar las propiedades físicas indispensables para la función que desempeñan. Se debe cumplir con las normas NTC 1909, NTC 1804, NTC 5724 y/o NTC 5756 según el caso.
El texto de K.4.3.9 debe quedar así:
K.4.3.9 – Requerimientos de seguridad ante el impacto humano – En esta sección se dan los requisitos mínimos para los vidriados en lugares donde el impacto humano es factible. Solo los vidriados que están dentro de los 2000 mm medidos hacia arriba desde el piso tienen la probabilidad de estar normalmente expuestos a impacto humano, por tal razón esta sección hace referencia únicamente de los vidriados de esta zona.
Los niveles de riesgo se califican de acuerdo con la Figura K.4.3-1. Esta figura se debe utilizar con los requisitos específicos de los respectivos numerales de la presente sección K.4.3.9.
Los siguientes literales de K.4.3.9.1.4 deben quedar así:
(a) La altura del panel de vidrio no supera los 1000 mm en ninguna de sus partes,
(b) El ancho del panel de vidrio no supera los 500 mm en ninguna de sus partes (incluye paneles individuales con vidrio a tope.
(d) El panel de vidrio ha sido entregado con al menos un perfil firmemente asegurado para proteger cada una de las caras del vidrio. Al menos uno de los perfiles deberá ser colocado con su borde superior a no menos de 500 mm y su borde inferior a no más de 1000 mm sobre el nivel del piso. El ancho de la cara del perfil no deberá ser menor a 40 mm
Los siguientes literales de K.4.3.9.2.1 debe quedar así:
(d) Puertas de duchas, cabinas de baños y cerramientos de tinas o jacuzzi - El vidriado se hará en conformidad con K.4.3.9.6.
(f) Puertas enrollables, puertas inclinadas y puertas plegadizas. El vidrio debe ser de seguridad, según la tabla K.4.3-1, o con vidrio recocido según la columna 2 de la tabla K.4.3-2.
(g) Paneles de vitrinas movibles - Los paneles de vidrio completamente enmarcados de tamaño grande y de tipo movible, usados dentro de salas de exhibición de automóviles y similares, que normalmente no son usados como puertas de entrada o salida y solo son utilizados ocasionalmente con el propósito de acceder a la exhibición, deberán estar de acuerdo con la Tabla K.4.3-2, columna 3, y cumplir con el numeral K.4.3.9.1.
Los literales (a) y (b) de K.4.3.9.3.2.2 deben quedar así:
(a) La altura del panel de vidrio no es superior a 1000 mm en ninguna de sus partes.
(b) El ancho del panel de vidrio no es superior a 500 mm en ninguna de sus partes.
Los literales (a) y (b) de K.4.3.9.4.1 deben quedar así:
(a) La altura del panel de vidrio no es superior a 1000 mm en ninguna de sus partes.
(b) El ancho del panel de vidrio no es superior a 500 mm en ninguna de sus partes (incluye los paneles individuales para vidrio a tope).
En K.4.3.9.6.2 cambiar la palabra una por uno:
En cuartos de baño, los paneles o puertas de vidrio, con uno o dos bordes opuestos sin enmarcar, deben ser en vidrio templado de seguridad no menor de 5 mm de espesor.
En K.4.3.9.9.2 la referencia a la tabla 4.3-8 debe ser a la Tabla K.4.3-8.
El literal K.4.3.9.13 debe quedar así:
K.4.3.9.13 – Vidrieras con vidrios a tope por dos lados - Vidrio a tope enmarcado por dos lados, en puertas, paneles laterales, vidrieras a baja altura o en asientos de ventana, cuartos de baño, vitrinas, vanos de escaleras, o que protejan diferencias de nivel, deben ser con vidrio de seguridad, conforme con lo requerimientos de la columna 2 de la Tabla K.4.3-2. Todas las demás ventanas sin enmarcar, que abran o cierren, cumplirán con los requerimientos de carga de viento según K.4.2.6.
La octava línea de la Tabla K.4.3-1 debe quedar así:
| 10 | 8.0 | |
La segunda línea de la Tabla K.4.3-2 debe quedar así:
| 3 | 0.05 | 0.1 | 0.3 |
Al final del texto del título de la Tabla K.4.3-3 debe incluirse un llamado (*) y se debe además incluir una nota en la parte inferior de la Tabla que substituye la nota existente, la cual dice:
(*) La rigidez de los elementos enmarcados se debe verificar con las deflexiones máximas permitidas de acuerdo con K.4.2.7. Solo aplica para muros cortina o fachadas flotantes.
Las notas de la Tabla K.4.3-4 deben quedar así:
Un mínimo de 10 mm para paneles laterales (refiérase a K.4.3.9.3.1.3)
Material vidriado de seguridad
Basado en espesor del vidrio total únicamente (no se incluye la capa intermedia, la cual debe ser sumada)
Notas:
1) Alturas superiores a 3.0 m requieren diseño específico
2) Se requiere cubrimiento adecuado de bordes para asegurar el vidrio contra cargas.
3) El diseño del vidrio de seguridad se basa en una presión máxima de 0.45 kPa
En la Tabla K.4.3-5 debe insertarse una nueva línea inmediatamente antes de la línea número 17 la cual debe decir:
2
2.6 Templado () 8 1 2 1500
Además, la última línea de la Tabla K.4.3-5 del rango “>2 _ 2.6” dado en la primera columna, debe quedar así:
2
2.6 Laminado () 12 2 3 1000
Las notas de la Tabla K.4.3.5 deben quedar así:
Notas:
1) Alturas superiores a 3.0 m requieren diseño específico
2) Se requiere cubrimiento adecuado de bordes para asegurar el vidrio contra cargas.
3) El diseño del vidrio de seguridad se basa en una presión máxima de 0.45 kPa
La Tabla K.4.3-6 debe quedar así:
Tabla K.4.3-6
Vidrio a tope
| Altura máxima | Radio Máximo | Tipo y espesor mínimo de vidrio para presiones de viento | ||||
| Vidriado interno 0.45 kPa | Área de vidriado expuesta al viento | |||||
| 0.51 a 0.65 kPa | 0.66 a 0.85 kPa | 0.86 a 1.2 kPa | 1.21 a 1.55 kPa | |||
| Hasta 1.3m | 2 m | 5 mm T, 6 mm A | 5 m T, 6 mm A, L | 6 mm A, L, T | 8 mm A, L, T | 10 mm A, L, T |
| 3 m | 6 mm A, L, T | 6 mm A, L, T | 8 mm A, L, T | 10 mm A, L, T | 12 mm A, L, T | |
| 4 m | 6 mm A, L, T | 8 mm A, L, T | 10 mm A, L, T | 12 mm A, L, T | 12 mm A, L, T | |
| Hasta 1.3 m | Más de 4 m | 6 mm A | 8 mm L | 8 mm A | 10 mm A | 12 mm A |
| 8 mm L | 8 mm L | 8 mm L | 10 mm L | 12 mm L | ||
| 5 mm T | 5 mm T | 6 mm T | 8 mm L | 8 mm T | ||
| 1.31 m a 2 m | 2 m | 5 mm T, a mm A, L | 5 mm T, a mm A, L | 6 mm A, L | 8 mm A, L, T | 10 mm A, L, T |
| 3 m | 6 mm A, L, T | 6 mm L, T | 8 mm A, L, T | 10 mm A, L, T | 15 mm A, 12 mm T | |
| 4 m | 8 mm A, L, T | 8 mm A, L, T | 10 mm A, L, T | 12 mm A, L, T | 15 mm A, 12 mm T | |
| 1.31 m a 2 m | Mas de 4 m | 10 mm A | 10 mm A | 12 mm A | 15 mm A | 15 mm A |
| 10 mm L | 12 mm L | 12 mm L | SD | SD | ||
| 8 mm T | 8 mm T | 8 mm T | 10 mm T | 12 mm T | ||
| De 2.1 m a 2.6 m | 2 m 3 m 4 m | 6 mm A, L, T | 6 mm A, L, T | 6 mm L, T | 8 mm A, L, T | 10 mm A, L, T |
| 6 mm A, L, T | 6 mm A, L, T | 8 mm A, L, T | 10 mm A, L, T | 15 mm A, L, T | ||
| 8 mm A, L, T | 8 mm A, L, T | 10 mm A, L, T | 12 mm A, L, T | 15 mm T | ||
| De 2.1 m a 2.6 | Más de 4 m | 12 mm A | 15 mm A | 15 mm A | 19 mm A | SD |
| 8 mm T | 10 mm T | 12 mm T | 12 mm T | 15 mm T | ||
| 12 mm L | SD | SD | SD | SD | ||
| Más de 2.6 m | Cualquier radio | SD | SD | SD | SD | SD |
CLAVE
A = Vidrio Recocido
L = Vidrio Laminado de Seguridad
T = Vidrio Templado de Seguridad
SD = Se Requiere Diseño Específico
NOTA - El tamaño máximo del vidrio puede ser restringido por el área máxima permitida de acuerdo con las secciones K.4.3.9.4, K.4.3.9.5 y K.4.3.9.8.
El texto de la Tabla K.4.3-7 debe quedar así:
| Tipo A | Tipo B | Tipo C | |
| Unidades familiares | Vidrio de seguridad según la Tabla K.4.3-1 o vidrio recocido según la columna 1 de la Tabla K.4.3-2 | Vidrio de seguridad según la Tabla K.4.3-1 o vidrio recocido según la columna 2 de la Tabla K.4.3-2 con 5 mm de espesor mínimo (+) | Selecciones el espesor del vidrio con referencia a las cargas de viento. Lo contenido en la Tabla K.4.3-3 de esta sección son los requisitos mínimos (++) |
| Todos las demás edificaciones (§) | Material vidriado de seguridad según la Tabla K.4.3-1 o vidrio recocido según la columna 1 de la Tabla K.4.3-2 | Material vidriado de seguridad según la Tabla K.4.3-1 o vidrio recocido según la columna 3 Tabla K.4.3-2 con 5 mm de espesor mínimo | Seleccione el espesor del vidrio con referencia a las cargas de viento. Los requisitos de la Tabla K.4.3-3 de esta sección corresponden a los requisitos mínimos (++) |
El literal (b) de K.4.3.9.6.1 debe quedar así:
(b) Toda vidriera localizada a menos de 1500 mm medidos desde el nivel del piso o de sitios donde las personas pueden estar de pie en cuartos de baño y cubículos que contengan jacuzzi o spas, excepto que haya frente al vidriado una unidad de tocador o una banca de mínimo 760 mm de altura y de mínimo 300 mm de fondo.
El título de K.4.3.9.8.1 debe quedar así:
K.4.3.9.8.1 - Divisiones internas con marco (enmarcadas)
El título de K.4.3.9.8.2 debe quedar así:
K.4.3.9.8.2 - Divisiones internas sin enmarcar con vidrio a tope
Al final de K.4.3.9.9.3 debe se debe agregar “... con las presiones dadas en la Tabla K.4.3-8.”.
La Tabla K.4.3-8 debe quedar así:
Tabla K.4.3-8
Barandas y pasamanos sin marco o parcialmente enmarcados
| Vidrio de seguridad laminado | Vidrio de seguridad templado (mm) | |||||||||
| Presión horizontal (kPa) | Longitud no soportada máxima de vidrio (m) | Longitud no soportada máxima de vidrio (m) | Presión horizontal (kPa) | |||||||
| 6 mm | 8 mm | 10 mm | 12 mm | 6 mm | 8 mm | 10 mm | 12 mm | |||
| Edificaciones residenciales y piscinas | 1.20 | 0.88 | 1.16 | 1.44 | 1.71 | 1.24 | 1.65 | 2.08 | 2.50 | 0.75 |
| Otras edificaciones y áreas públicas de edificaciones residenciales | 1.60 | 0.76 | 1.00 | 1.24 | 1.48 | 1.13 | 1.50 | 1.89 | 2.28 | 1.00 |
| Teatros, salas de cine, salones de reunión, asambleas, estadios, etc. | 2.40 | 0.62 | 0.82 | 1.01 | 1.21 | 1.00 | 1.31 | 1.65 | 2.00 | 1.50 |
El título de K.4.3.9.10 debe quedar así:
K.4.3.9.10 – Vanos de escaleras y terrazas
El literal K.4.3.9.13 debe quedar así:
K.4.3.9.13 – Vidrieras con vidrio a tope por dos lados – Vidrio a tope enmarcado por dos lados, en puertas, paneles laterales, vidrieras a baja altura o en asientos de ventana, cuartos de baño, vitrinas, vanos de escaleras, o que protejan diferencias de nivel, deben ser con vidrio de seguridad, para cumplir con lo requerimientos de la columna 2 de la Tabla K.4.3-3. Todas las demás ventanas con dos bordes sin enmarcar, que abran o cierren, cumplirán con los requerimientos de carga de viento según K.4.2.6.
La sección K.4.3.11 debe suprimirse. Se incluyó por error y pertenecía al Reglamento NSR-98.
La sección K.4.3.12 debe suprimirse. Se incluyó por error y pertenecía al Reglamento NSR-98.
La sección K.4.3.14 debe suprimirse. Se incluyó por error y pertenecía al Reglamento NSR-98.
La sección K.4.3.14 debe quedar ahora así:
K.4.3.11 – NORMAS TÉCNICAS COLOMBIANAS
NTC 1909 – Vidrio. Vidrio Plano Flotado. Vidrio Plano Impreso (grabado). Vidrio Plano Armado (alambrado). (ASTM C 1036).
NTC 1804 – Vidrio. Vidrio plano estirado.
NTC 5724 –Vidrio Plano. Vidrio con Recubrimiento Pirolítico y con Deposición al vacío o Magnetrónico. (ASTM C1376)
NTC 5756 – Vidrio Plano Tratado con calor. Categoría Termoendurecido (HS), Categoría Templado (FT) con y sin Recubrimiento. (ASTM C1048)
NTC 5579 – Terminología normalizada de vidrio y productos de vidrio. (ASTM C162)
NTC 5783 –Vidrio. Vidrio Plano Laminado. (ASTM C1172)
La sección K.4.3.15 debe quedar así:
K.4.3.12 – OTRAS NORMAS TÉCNICAS
AAMA 501.1 – Standard test method for metal curtain walls for water penetration using dynamic pressure
AAMA 501.6 – Recommended Dynamic test method for determining the seismic drift causing glass fallout from a wall system
AAMA/WDMA/CSA 101/I.S.2/A440 – Standard specification for windows, doors, and unit skylights.
ANSI Z97.1 – American National Standard for Safety Glazing Materials Used in Buildings – Safety Performance Specifications and Methods of Test.
ASTM C1048 – Standard Specification for Heat-Treated Flat Glass–Kind HS, Kind FT Coated and Uncoated Glass.
ASTM C1172 – Standard Specification for Laminated Architectural Flat Glass.
ASTM C1376 – Standard Specification for Pyrolytic and Vacuum Deposition Coatings on Flat Glass.
ASTM C1464 – Standard Specification for Bent Glass.
ASTM C1503 – Standard Specification for Silvered Flat Glass Mirror.
ASTM E283 – Standard Test Method for Determining Rate of Air Leakage Through Exterior Windows, Curtain Walls, and Doors Under Specified Pressure Differences Across the Specimen.
ASTM E330 – Test Method for Structural Performance of Exterior Windows, Doors, Skylights and Curtain Walls by Uniform Static Air Pressure Difference.
ASTM E331 – Standard Test Method for Water Penetration of Exterior Windows, Skylights, Doors, and Curtain Walls by Uniform Static Air Pressure Difference.
ASTM E547 – Standard Test Method for Water Penetration of Exterior Windows, Skylights, Doors, and Curtain Walls by Cyclic Static Air Pressure Difference.
ASTM E783 – Standard Test Method for Field Measurement of Air Leakage through Installed Exterior Windows and Doors.
ASTM E935 – Standard Test Methods for Performance of Permanent Metal Railing Systems and Rails for Buildings.
ASTM E1105 Standard Test Method for Field Determination of Water Penetration of Installed Exterior Windows, Skylights, Doors, and Curtain Walls, by Uniform or Cyclic Static Air Pressure Difference.
ASTM E1300 – Standard Practice for Determining Load Resistance of Glass in Buildings.
ASTM E2025 – Standard Test Method for Evaluating Fenestration Components and Assemblies for Resistance to Impact Energies.
ASTM E2353 – Standard Test Methods for Performance of Glass in Permanent Glass Railing Systems, Guards, and Balustrades.
ASTM F1233 – Standard Test Method for Security Glazing Materials And Systems.
ASTM F1915 – Standard Test Methods for Glazing for Detention Facilities.
ASTM STP 1434 – The Use of Glass in Buildings.
ASTM E2190 – Standard Specification for Insulating GlassUnit Performance and Evaluation.
ASTM C1349 – Standard Specification for Architectural Flat Glass Clad Polycarbonate
ASTM C1422 – Standard Specification for Chemically Strengthened Flat Glass
NZS 4223 – New Zealand Standards.
UL 410 – Slip Resistance of Floor Surface Materials
FINAL DEL DOCUMENTO DE MODIFICACIONES TÉCNICAS Y CIENTÍFICAS AL REGLAMENTO COLOMBIANO DE CONSTRUCCIÓN SISMO RESISTENTE - NSR-10