RESOLUCION 16 DE 1997
(julio 25)
COMISION DE REGULACION DE AGUA POTABLE Y SANEAMIENTO BASICO
<NOTA DE VIGENCIA: Aplicable únicamente al servicio público de aseo, Art. 30 de la Resolución 906 de 2019>
Por la cual se establecen los criterios para la evaluación del cumplimiento del primer Plan de Gestión y Resultados de las entidades que estén prestando servicios públicos domiciliarios de acueducto, alcantarillado y aseo.
LA COMISION DE REGULACION DE AGUA POTABLE Y SANEAMIENTO BASICO
En ejercicio de las facultades que le confiere la Ley 142 de 1994, el Decreto 1524 de 1994 y el Decreto 1738 de 1994, y
CONSIDERANDO:
Que el Artículo 52 de la Ley 142 de 1994 establece que las Comisiones de Regulación definirán los criterios, características, indicadores y modelos de carácter obligatorio que permitan evaluar la gestión y resultados de las entidades prestadoras de los servicios públicos domiciliarios.
Que la Resolución 12 de 1995 de la Comisión de Regulación de Agua Potable y Saneamiento Básico establece que el grado de cumplimiento de los Indicadores de Proceso y de las metas de los Indicadores Cuantitativos incluidos en los Planes de Gestión y Resultados son el instrumento base para ejercer las funciones de control interno, auditorías externa e interna, control fiscal de gestión y evaluación de la gestión financiera, técnica y administrativa de las entidades prestadoras de servicios públicos domiciliarios de acueducto, alcantarillado y aseo.
Que el Artículo 36.6 de la Ley 142 de 1994 prohibe a las instituciones financieras "celebrar contratos con empresas de servicios públicos oficiales para facilitarles recursos, cuando se encuentren incumpliendo los indicadores de gestión a los que deben estar sujetas, mientras no acuerden un plan de recuperación con la comisión encargada de regularlas".
Que el Artículo 79.10 de la Ley 142 de 1994 establece que la Superintendencia de Servicios Públicos Domiciliarios evaluará la gestión financiera, técnica y administrativa de las entidades, de acuerdo con los criterios, características, indicadores y modelos establecidos por las Comisiones, y faculta al Superintendente para acordar programas de gestión para que las entidades prestadoras se ajusten a dichos indicadores e imponer sanciones por el incumplimiento.
Que es necesario establecer los criterios que debe seguir la Superintendencia de Servicios Públicos Domiciliarios para evaluar el cumplimiento de los Planes de Gestión y Resultados elaborados por las entidades prestadoras de los servicios de agua potable y saneamiento básico y delimitar claramente el alcance de los planes de recuperación y programas de gestión que se acuerden.
RESUELVE:
ARTICULO 1o. AMBITO DE APLICACION. <Aplicable únicamente al servicio público de aseo, Art. 30 de la Resolución 906 de 2019> La presente resolución se aplica a todas las entidades prestadoras de los servicios públicos domiciliarios de acueducto, alcantarillado y aseo, al Ministerio de Desarrollo Económico y a la Superintendencia de Servicios Públicos Domiciliarios, teniendo en cuenta lo establecido en el parágrafo del Artículo 4 de la Resolución 12 de 1995 para las entidades que prestan servicios exclusivamente en áreas rurales.
ARTICULO 2o. EVALUACION DE LA GESTION Y RESULTADOS DE LAS ENTIDADES PRESTADORAS DE LOS SERVICIOS DE ACUEDUCTO, ALCANTARILLADO Y ASEO. <Aplicable únicamente al servicio público de aseo, Art. 30 de la Resolución 906 de 2019> La evaluación de la gestión y resultados de las entidades que prestan los servicios públicos de agua potable y saneamiento básico se hará esencialmente con base en la calificación que haga la Superintendencia de Servicios Públicos Domiciliarios del cumplimiento de los Indicadores Cuantitativos y de Proceso contemplados en los Planes de Gestión y Resultados, en adelante PGR, aprobados por el Ministerio de Desarrollo Económico.
La Superintendencia de Servicios Públicos Domiciliarios efectuará la calificación con base en la evaluación que realice el auditor externo o quien ejerza el control interno y en su defecto la misma empresa, de acuerdo con el formato incluido en el anexo 1 de la presente resolución.
ARTICULO 3o. OBJETO. <Aplicable únicamente al servicio público de aseo, Art. 30 de la Resolución 906 de 2019> La presente resolución tiene por objeto establecer los criterios con base en los cuales la Superintendencia de Servicios Públicos Domiciliarios efectuará la primera evaluación del cumplimiento de los indicadores cuantitativos y de proceso de los Planes de Gestión y Resultados (PGR) de las entidades prestadoras de los servicios de acueducto, alcantarillado y aseo, es decir, el grado de cumplimiento durante el año 1996 independientemente de la fecha en que haya sido aprobado el PGR por el Ministerio de Desarrollo Económico.
ARTICULO 4o. CALIFICACION DEL CUMPLIMIENTO DE LOS INDICADORES CUANTITATIVOS DE LOS pgr. <Aplicable únicamente al servicio público de aseo, Art. 30 de la Resolución 906 de 2019> La cuantificación del cumplimiento de las metas establecidas por las entidades prestadoras e incluidas en el PGR y aprobadas por el Ministerio de Desarrollo Económico, se determina mediante el siguiente procedimiento:
a. Cálculo del índice de evaluación de cumplimiento individual de cada Indicador Cuantitativo (IECI).
b. Cálculo del índice de evaluación del cumplimiento global del conjunto de las metas de los indicadores cuantitativos (IECC), mediante el promedio de los índices de evaluación del cumplimiento individual.
PARAGRAFO. Para efectos del Artículo 26 de la Resolución 12 de 1995, el Ministerio de Desarrollo Económico informará a la SSPD con base en la información extractada de los PGRs cuales son las entidades prestadoras que tienen más de 70.000 usuarios.
ARTICULO 5o. DETERMINACION DE LOS INDICES DE EVALUACION DE CUMPLIMIENTO INDIVIDUAL (IECI). <Aplicable únicamente al servicio público de aseo, Art. 30 de la Resolución 906 de 2019> Se determinará teniendo en cuenta tanto los valores de los indicadores para Diciembre de 1995 y Diciembre de 1996, como el valor de la meta, según los diferentes indicadores así:
5.1 La Eficiencia del Recaudo (ER). No se califica dado que el índice de Rotación de Cartera evalúa la gestión de cobro en forma equivalente.
5.2 Ejecución de Inversiones. Su calificación será igual al índice de cumplimiento definido como:
IECI = (Inversión Realizada/ Inversión Programada) x 100
5.3 Indicadores de Cobertura, Continuidad del Servicio, Cobertura de Medición, Disposición Final, Rotación de Cartera y Eficiencia Laboral e Indice de Agua no Contabilizada. Los indicadores y el índice mencionado se evaluarán calculando el IECI de la meta de cada uno , teniendo en cuenta los siguientes criterios:
a. Si la meta consistió en mejorar el indicador, se aplicará la siguiente fórmula para la determinación del índice:
IECIi = (D logrado / D meta) x 100
donde:
IECIi = Indice de cumplimiento del indicador (i)
Dlogrado = Vit -Vit-1
Dmeta = Mit - Vit-1
Vit = Valor obtenido para el Indicador (i) en diciembre de 1996.
Vit-1 = Valor del Indicador (i) en diciembre de 1995.
Mit = Meta establecida para el Indicador (i) en diciembre de 1996.
b. Si la meta consistió en mantener el valor del indicador, se aplicará la siguiente fórmula para la determinación del índice:
IECIi = 100 + (Dlogrado / Mit) x K
donde:
El valor de K será igual a dos mil (2.000) si lo eficiente es aumentar el valor del indicador y será igual a menos dos mil (-2.000) si lo eficiente es disminuir el valor del indicador.
c. Si de la aplicación de las fórmulas establecidas anteriormente se obtiene un valor de (IECIi): (i) mayor o igual a doscientos (200) puntos, se considerará que el resultado fue de 200 puntos; (ii) menor o igual a menos cien (-100) puntos, se considerará que el resultado fue de menos cien (-100) puntos y; (iii) entre menos cien (-100) y doscientos (200) puntos, se deja el resultado que arroje la fórmula.
PARAGRAFO. <Parágrafo adicionado por el artículo 2 de la Resolución 037 de 1998. El nuevo texto es el siguiente:> La evaluación del cumplimiento de los indicadores del primer Plan de Gestión y Resultados de las entidades prestadoras de los servicios públicos domiciliarios de acueducto, alcantarillado y aseo que iniciaron operaciones en 1996 se realizará aplicando la siguiente fórmula:
- Si lo eficiente es aumentar el valor del indicador:
IECIi = (Vit / Mit) x 100
- Si lo eficiente es disminuir el valor del indicador:
IECIi = (Mit / Vit) x 100
donde:
Vit = Valor obtenido para el indicador (i) en diciembre de 1996.
Mit = Meta establecida para el indicador (i) en diciembre de 1996".
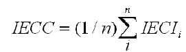
ARTICULO 6o. EVALUACION CONJUNTA DEL CUMPLIMIENTO DE LAS METAS CUANTITATIVAS (IECC). <Aplicable únicamente al servicio público de aseo, Art. 30 de la Resolución 906 de 2019> La calificación de cumplimiento de cada uno de los indicadores, permite obtener el IECC del PGR mediante el promedio de las calificaciones de cada IECIi, así:

donde:
IECC = Indice de evaluación de cumplimiento de las metas cuantitativas (sobre 100 puntos)
IECIi = Calificación de cada indicador (sobre 100 puntos)
n = Número de indicadores calificados
ARTICULO 7o. CALIFICACION DEL CUMPLIMIENTO DE LAS METAS DE LOS INDICADORES DE PROCESO. <Aplicable únicamente al servicio público de aseo, Art. 30 de la Resolución 906 de 2019> Las entidades prestadoras de servicios deberán cumplir con una evaluación individual de los indicadores y otra de conjunto.
7.1 Evaluación individual del cumplimiento de los indicadores de proceso. Las entidades prestadoras de servicios deben cumplir con los siguiente indicadores:
a. Realizar la evaluación de la viabilidad empresarial.
b. Cuantificar el costo económico del servicio.
c. Separar la contabilidad del servicio, cuando este se preste conjuntamente con otros servicios, o directamente por el municipio.
d. Para cada uno de estos indicadores la entidad obtendrá un índice (IECIi) de calificación de cien (100) puntos, si cumplió totalmente con la actividad contenida en el indicador, y cero (0) puntos en caso contrario.
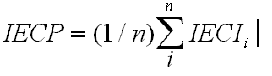
7.2 Evaluación conjunta del cumplimiento de los indicadores de proceso (IECP).- La calificación de cumplimiento de cada uno de los indicadores de proceso, permite obtener el IECP del PGR mediante el promedio de las calificaciones de cada IECIi, así:

donde:
IECP = Indice de evaluación de cumplimiento de los indicadores de proceso (sobre 100 puntos)
IECIi = Calificación de cada indicador (sobre 100 puntos)
n = Número de indicadores calificados
ARTICULO 8o. EVALUACION DEL CUMPLIMIENTO GLOBAL DE LAS METAS (IECG). <Aplicable únicamente al servicio público de aseo, Art. 30 de la Resolución 906 de 2019> La calificación de cumplimiento de cada uno de los indicadores, permite obtener el IECG del PGR mediante el promedio de los índices de evaluación conjunta de los indicadores cuantitativos y de proceso, así :
IECG=0.25xIECP+0.75xIECC
donde:
IECG = Indice global de evaluación de cumplimiento (sobre 100 puntos)
IECC = Indice de evaluación conjunta de los indicadores cuantitativos (sobre 100 puntos)
IECP = Indice de evaluación conjunta de los indicadores de proceso (sobre 100 puntos)
0.25 = Ponderador de los indicadores de proceso
0.75 = Ponderador de los indicadores cuantitativos
ARTICULO 9o. APROBACION DEL CUMPLIMIENTO DE LOS PLANES DE GESTION Y RESULTADOS DE LAS EMPRESAS. <Aplicable únicamente al servicio público de aseo, Art. 30 de la Resolución 906 de 2019> La SSPD determinará el cumplimiento o incumplimiento de los indicadores del PGR para las entidades prestadoras de servicios clasificadas en el Grupo I de acuerdo con la Resolución 12 de 1995, se realizará un promedio aritmético y la desviación estándar con los IECG de cada una de las entidades prestadoras de los PGR aprobados. El parámetro de cumplimiento o incumplimiento se determinará como el valor de la media menos la desviación estándar, se entenderá que las entidades con un IECG mayor o igual al parámetro mencionado cumplieron con el PGR, y que no cumplieron en caso contrario.
Para las entidades prestadoras de servicios de los Grupos II y III, se entenderá que cumplieron con los indicadores del PGR, las entidades que llevaron a efecto al menos uno de los indicadores de proceso.
ARTICULO 10o. CUMPLIMIENTO NORMAS SANITARIAS Y AMBIENTALES. <Aplicable únicamente al servicio público de aseo, Art. 30 de la Resolución 906 de 2019> Las entidades prestadoras deben comprobar ante la Superintendencia de Servicios Públicos el cumplimiento de la normatividad sanitaria y ambiental vigente, con una certificación expedida por las autoridades de salud y ambientales competentes, con respecto a:
a. La calidad del agua para consumo humano.
b. La calidad de los vertimientos líquidos.
c. El manejo y disposición final de residuos sólidos.
ARTICULO 11. IMPEDIMENTO PARA CONTRATAR CON INSTITUCIONES FINANCIERAS. <Aplicable únicamente al servicio público de aseo, Art. 30 de la Resolución 906 de 2019> Para los efectos del Artículo 36.6 de la Ley 142 de 1994 se entenderá que incumplen los indicadores de gestión de cada servicio, aquellos que obtengan un IECG inferior a cincuenta (50) puntos.
ARTICULO 12. VIGENCIA. La presente resolución rige a partir de la fecha de su publicación en la gaceta del Ministerio de Desarrollo Económico.
PUBLIQUESE Y CUMPLASE
Dada en Santa Fe de Bogotá, D.C. a los
ORLANDO CABRALES M.
Presidente
FABIO GIRALDO ISAZA
Coordinador General
FORMATOS PARA EL ENVIO A LA SSPD DE INFORMACIÓN CORRESPONDIENTE AL CUMPLIMIENTO DE LOS INDICADORES DE LOS PGR.
<Aplicable únicamente al servicio público de aseo, Art. 30 de la Resolución 906 de 2019>
FORMATO No. 1.
INFORMACIÓN DEL SERVICIO DE ACUEDUCTO.
<Derogado>
| Indicadores Cuantitativos Acueducto | Unidad | Valor | Valor Meta | Valor Logro | IECC |
| Dic-95 | Dic-96 | Dic-96 | % | ||
| Cobertura | % | ||||
| Continuidad | % | ||||
| Rotación de Cartera | días | ||||
| Ejecución de Inversiones | $ | ||||
| Cobertura de Medición | % | ||||
| Indice de Agua no Contabilizada | % | ||||
| Indice de Eficiencia Laboral | $/m3 | ||||
| Indicadores de Proceso Acueducto | Cumplió Cabalmente | IECP | |||
| SI | NO | % | |||
| Realizar el estudio de viabilidad empresarial | |||||
| Cuantificar el costo económico del servicio | |||||
| Separar la contabilidad del servicio | |||||
| IECC Acueducto | |||||
| IECP Acueducto | |||||
| IECG Acueducto | |||||
NOMBRE DE LA ENTIDAD PRESTADORA :___________________________________________
NOMBRE Y FIRMA REPRESENTANTE LEGAL:________________________________________
RESPONSABLE DE LA ELABORACIÓN DEL CUADRO
NOMBRE:_______________________________________________________________________
CARGO:________________________________________________________________________
TELEFONO:_____________________________________________________________________
FORMATO No. 2
INFORMACIÓN DEL SERVICIO DE ALCANTARILLADO.
<Derogado>
| Indicadores Cuantitativos Alcantarillado | Unidad | Valor | Valor Meta | Valor Logro | IECC |
| Dic-95 | Dic-96 | Dic-96 | % | ||
| Cobertura | % | ||||
| Rotación de Cartera | días | ||||
| Ejecución de Inversiones | $ | ||||
| Indice de Eficiencia Laboral | $/m3 | ||||
| Indicadores de Proceso Alcantarillado | Cumplió Cabalmente | IECP | |||
| SI | NO | % | |||
| Realizar el estudio de viabilidad empresarial | |||||
| Cuantificar el costo económico del servicio | |||||
| Separar la contabilidad del servicio | |||||
| IECC Alcantarillado | |||||
| IECP Alcantarillado | |||||
| IECG Alcantarillado | |||||
NOMBRE DE LA ENTIDAD PRESTADORA :___________________________________________
NOMBRE Y FIRMA REPRESENTANTE LEGAL:________________________________________
RESPONSABLE DE LA ELABORACIÓN DEL CUADRO:
NOMBRE:_______________________________________________________________________
CARGO:________________________________________________________________________
TELEFONO:_____________________________________________________________________
FORMATO No. 3
INFORMACIÓN DEL SERVICIO DE ASEO.
| Indicadores Cuantitativos Aseo | Unidad | Valor | Valor Meta | Valor Logro | IECC |
| Dic-95 | Dic-96 | Dic-96 | % | ||
| Cobertura | % | ||||
| Continuidad | % | ||||
| Disposición de Residuos Sólidos (Aseo) | % | ||||
| Rotación de Cartera | días | ||||
| Ejecución de Inversiones | $ | ||||
| Indice de Eficiencia Laboral (Recolección) | $/ton | ||||
| Indicadores de Proceso Aseo | Cumplió Cabalmente | IECP | |||
| SI | NO | % | |||
| Realizar el estudio de viabilidad empresarial | |||||
| Cuantificar el costo económico del servicio | |||||
| Separar la contabilidad del servicio | |||||
| IECC Aseo | |||||
| IECP Aseo | |||||
| IECG Aseo | |||||
NOMBRE DE LA ENTIDAD PRESTADORA :___________________________________________
NOMBRE Y FIRMA REPRESENTANTE LEGAL:________________________________________
RESPONSABLE DE LA ELABORACIÓN DEL CUADRO:
NOMBRE:_______________________________________________________________________
CARGO:________________________________________________________________________
TELEFONO:_____________________________________________________________________
INSTRUCCIONES PARA DILIGENCIAR LOS FORMATOS 1, 2 y 3.
- La evaluación se realizará en forma individual para cada uno de los servicios.
- Los indicadores que sean de carácter general para la entidad, se incluirán en el formato de cada servicio.
- Las metas que se hayan aprobado en un mismo valor en forma conjunta para varios servicios, se presentaran en forma individual para cada servicio.