RESOLUCIÓN CRA 846 DE 2018
(julio 30)
Diario Oficial No. 50.671 de 31 de julio de 2018
COMISIÓN DE REGULACIÓN DE AGUA POTABLE Y SANEAMIENTO BÁSICO
Por la cual se hace público el proyecto de Resolución “por la cual se modifica parcialmente el régimen de calidad y descuentos establecido mediante el TÍTULO IV y se modifica parcialmente las disposiciones finales establecidas en el TÍTULO V de la Resolución CRA 720 de 2015”, se da cumplimiento a lo previsto por el artículo 2.3.6.3.3.9 del Decreto 1077 de 2015 y se inicia el proceso de discusión directa con los usuarios y agentes del sector.
LA COMISIÓN DE REGULACIÓN DE AGUA POTABLE Y SANEAMIENTO BÁSICO (CRA),
en ejercicio de sus facultades legales, en especial de las conferidas por las Leyes 142 de 1994 y 1450 de 2011, los Decretos 1524 de 1994, 2696 de 2004, 2882 y 2883 de 2007 y 1077 de 2015,
CONSIDERANDO:
Que el artículo 2o de la Constitución Política de 1991, consagra como uno de los fines esenciales del Estado facilitar la participación de todos en las decisiones que los afectan.
Que el inciso 3 del artículo 78 ibídem, establece que el Estado garantizará la participación de consumidores y usuarios en el estudio de las disposiciones que les conciernen.
Que la Ley 1437 de 2011 “Por la cual se expide el Código de Procedimiento Administrativo y de lo Contencioso Administrativo” en el artículo 8o, dispone que las entidades públicas deberán mantener a disposición de todas las personas, información completa y actualizada, entre otros aspectos, sobre “(…) los proyectos específicos de regulación y la información en que se fundamenten, con el objeto de recibir opiniones, sugerencias o propuestas alternativas. Para el efecto, deberán señalar el plazo dentro del cual se podrán presentar observaciones, de las cuales se dejará registro público. En todo caso la autoridad adoptará autónomamente la decisión que a su juicio sirva mejor el interés general (…)”.
Que el Capítulo 3, Sección 1 del Título 6 del Decreto 1077 de 2015 señala las reglas mínimas para garantizar la divulgación y participación en las actuaciones de las Comisiones de Regulación.
Que el artículo 2.3.6.3.3.9 del Decreto 1077 de 2015, prevé que las Comisiones de Regulación harán público en su página web, con antelación no inferior a treinta (30) días a la fecha de su expedición, todos los proyectos de resoluciones de carácter general que pretendan adoptar, excepto los relativos a fórmulas tarifarias, los cuales se regirán por lo previsto en el artículo 2.3.6.3.3.11 y siguientes del mismo decreto.
Que el artículo 2.3.6.3.3.10 del decreto indicado, referente al contenido mínimo del documento que haga públicos los proyectos de regulación de carácter general, no tarifarios, señala en su numeral 10.4 que el término para la recepción de las observaciones, reparos o sugerencias no podrá ser menor a diez (10) días hábiles, contados a partir de la fecha en que se haga público el proyecto de regulación y que dicho plazo podrá prorrogarse por solicitud de parte u oficiosamente.
Que para garantizar la participación ciudadana de que trata la Constitución Política y la normatividad vigente, se hace necesario poner a consideración de la ciudadanía en general, el presente proyecto de resolución, para que sea discutido, analizado y socializado, con el fin de que los interesados presenten observaciones, reparos o sugerencias relacionadas con el mismo.
Que de acuerdo con lo establecido en el artículo 7o de la Ley 1340 de 2009 “Por medio de la cual se dictan normas en materia de protección a la competencia”, la Superintendencia de Industria y Comercio podrá rendir concepto previo sobre los proyectos de regulación que puedan incidir sobre la libre competencia en los mercados. En este sentido, el artículo mencionado contempla que: “Para estos efectos las autoridades de regulación informarán a la Superintendencia de Industria y Comercio de los actos administrativos que se pretendan expedir”.
Que teniendo en cuenta el artículo 2.2.2.30.5 del Decreto 1074 de 2015, y habiendo diligenciado el cuestionario que para el efecto adoptó la Superintendencia de Industria y Comercio, se determinó que el presente proyecto de Resolución no tiene incidencia sobre la libre competencia en los mercados.
Que en mérito de lo expuesto,
RESUELVE:
ARTÍCULO 1o. Hacer público el proyecto de resolución “por la cual se modifica parcialmente el régimen de calidad y descuentos establecido mediante el TÍTULO IV y se modifica parcialmente las disposiciones finales establecidas en el TÍTULO V de la Resolución CRA 720 de 2015”, se da cumplimiento a lo previsto por el artículo 2.3.6.3.3.9 del Decreto 1077 de 2015 y se inicia el proceso de discusión directa con los usuarios y agentes del sector, del siguiente contenido:
La Comisión de Regulación de Agua Potable y Saneamiento Básico (CRA), en ejercicio de sus facultades legales, en especial de las conferidas por la Ley 142 de 1994, los Decretos 1524 de 1994, 2882 y 2883 de 2007, 1077 de 2015, 2412 de 2015, y
CONSIDERANDO:
Marco normativo
Que el artículo 73 de la Ley 142 de 1994 establece las funciones y facultades generales de las Comisiones de Regulación, señalando que estas Unidades Administrativas Especiales: “(...) tienen la función de regular los monopolios en la prestación de los servicios públicos, cuando la competencia no sea, de hecho, posible; y, en los demás casos, la de promover la competencia entre quienes presten servicios públicos, para que las operaciones de los monopolistas o de los competidores sean económicamente eficientes, no impliquen abuso de la posición dominante, y produzcan servicios de calidad. (...)”;
Que el régimen tarifario aplicable a los servicios públicos domiciliarios, de conformidad con el numeral 86.4 del artículo 86 ibídem, está compuesto por reglas relativas a procedimientos, metodologías, fórmulas, estructuras, estratos, facturación, opciones, valores y, en general, todos los aspectos que determinan el cobro de las tarifas;
Que la Resolución CRA 720 de 2015 estableció la metodología tarifaria para el servicio público de aseo aplicable a las personas que atiendan en municipios de más de 5.000 suscriptores en áreas urbanas;
Que la mencionada resolución consagra en el TÍTULO IV el régimen de calidad y descuentos asociado al nivel de cumplimiento de las metas de calidad del servicio público de aseo, definido bajo el concepto de integralidad tarifaria, mientras que en el Título V desarrolla las disposiciones finales relacionadas con el seguimiento de las metas para los indicadores y verificación del cumplimiento de indicadores, entre otras;
Aspectos asociados a la aplicabilidad del régimen
Que en ejercicio de la función regulatoria que corresponde a la Comisión de Regulación de Agua Potable y Saneamiento Básico (CRA), y como resultado del seguimiento que se realiza a la implementación del Marco Tarifario respecto del servicio público de aseo establecido en la Resolución CRA 720 de 2015, la Comisión evidenció algunas dificultades para dar aplicación al régimen de calidad y descuentos de dicho servicio;
Que los aspectos que generan dificultades para la efectiva operatividad del régimen de calidad y descuentos señalado en la Resolución CRA 720 de 2015, corresponden a la gestión asociada a la calidad técnica en la recolección de residuos sólidos no aprovechables, indicador de incumplimiento en reclamaciones comerciales y en compactación del relleno sanitario y, aspectos tales como, el valor de descuento por suscriptor afectado en relación con la identificación de los suscriptores afectados, el plazo para hacer efectivos los descuentos y los costos de referencia para el cálculo de los descuentos;
Que en cuanto a la gestión asociada a la calidad técnica en la recolección de residuos sólidos no aprovechables, esta Comisión considera necesario que los prestadores calculen el descuento acorde con el tiempo de prestación efectivo del servicio público de aseo durante el semestre de evaluación del indicador, atendiendo a la libre competencia;
Que en lo que corresponde a la gestión asociada a la reclamación comercial, se hace necesario realizar modificaciones, respecto de las definiciones de los reclamos comerciales que se tendrán en cuenta para el cálculo del indicador de reclamación comercial;
Que respecto del indicador de incumplimiento en compactación del relleno sanitario, se requiere precisar los usuarios destinatarios del descuento asociado a dicho incumplimiento;
Que el régimen de calidad y descuentos aplica como consecuencia del incumplimiento de la persona prestadora de alguno de los indicadores de calidad del servicio establecidos en la Resolución CRA 720 de 2015 y no se constituye en una metodología ni en una fórmula para calcular las tarifas derivadas de la prestación del servicio público de aseo;
Que el artículo 61 de la Resolución CRA 720 de 2015, estableció que el valor de descuento por suscriptor afectado se reconoce cuando la persona prestadora incumpla por lo menos una vez la frecuencia y/o el horario de su microrruta de recolección de residuos sólidos no aprovechables durante el semestre de análisis, sin distinguir el tipo de suscriptor afectado; no obstante lo anterior, la expresión matemática contempla únicamente a los suscriptores no aforados como beneficiarios de tal descuento, razón por la cual se hace necesario incluir una variable que permita tener como destinatario del descuento a los suscriptores aforados;
Que en lo referente al plazo para hacer efectivos los descuentos, se hace necesario establecer el plazo a partir del cual se causan los intereses moratorios por incumplimiento de la persona prestadora;
Que la tarifa del servicio público de aseo es diferente para cada tipo de suscriptor debido a los factores de producción; por lo tanto, se requiere que el costo de referencia para el cálculo de los descuentos tenga en cuenta este aspecto, así como determinar criterios adicionales para la aplicación de los descuentos;
Que dentro de las medidas regulatorias contenidas en la Resolución CRA 720 de 2015, se estableció para la aplicación del régimen de calidad y descuentos, la obligación de verificar previamente y certificar por parte del Auditor Externo de Gestión y Resultados o quien hiciera sus veces, la información y la estimación para el cálculo de los descuentos, para ser reportada al Sistema Único de Información (SUI);
Que de conformidad con lo establecido en el artículo 53 y el “artículo nuevo” de la Ley 142 de 1994, adicionado por el artículo 14 de la Ley 689 de 2001, se señala que las personas prestadoras de los servicios públicos deberán reportar la información al Sistema Único de Información (SUI), en las condiciones, forma y plazo que establezca la Superintendencia de Servicios Públicos Domiciliaros (SSPD), que es la entidad de inspección, vigilancia y control encargada de establecer, administrar, mantener y operar dicho sistema;
Que teniendo en cuenta lo anterior, se hace necesario modificar la Resolución CRA 720 de 2015, a efectos de asegurar la correcta y oportuna aplicación del régimen de calidad y descuentos para el servicio público de aseo;
Que en mérito de lo expuesto,
RESUELVE:
ARTÍCULO 1o. Modificar el artículo 52 de la Resolución CRA 720 de 2015, el cual quedará así:
“Artículo 52. Verificación de los indicadores y aplicación de los descuentos correspondientes. La persona prestadora verificará el cálculo de los indicadores de calidad del APS y los respectivos descuentos por APS, definidos en el presente título.
Lo anterior, sin perjuicio de las acciones de inspección, vigilancia y control de la Superintendencia de Servicios Públicos Domiciliarios”.
ARTÍCULO 2o. Modificar el artículo 53 de la Resolución CRA 720 de 2015, el cual quedará así:
“Artículo 53. Reporte de la información de los indicadores. La persona prestadora deberá reportar mensualmente la información y los cálculos asociados a los indicadores de calidad del APS y los respectivos descuentos por APS, a través del Sistema Único de Información (SUI) de la Superintendencia de Servicios Públicos Domiciliarios, para su ejercicio de inspección, vigilancia y control”.
ARTÍCULO 3o. Modificar el artículo 57 de la Resolución CRA 720 de 2015, el cual quedará así:
“Artículo 57. Indicador de calidad técnica en la recolección de residuos sólidos no aprovechables (ICTR_NAl). Indicador que mide la calidad global del servicio de recolección de residuos sólidos no aprovechables, teniendo en cuenta el incumplimiento las frecuencias y los horarios de recolección de la persona prestadora, el cual se calcula mediante la siguiente expresión:

Donde:
p: Corresponde a cada uno de los seis meses continuos analizados dentro del semestre de análisis y toma valores entre 1 y 6 hasta alcanzar el mes m.
m: Es el número del mes analizado dentro del semestre de estudio, que varía entre 1 y 6.
P: Número de meses en el semestre de análisis que varía entre 1 y 6, en los que se prestó efectivamente el servicio público de aseo.
l: Microrruta de recolección analizada.
ICTR_NAl: Indicador de calidad técnica en la recolección de residuos sólidos no aprovechables de la microrruta de recolección l.
0,5: Factor de ponderación de cada uno de los indicadores relacionados con el servicio de recolección de residuos sólidos no aprovechables.
Indicador de frecuencia de recolección de residuos no aprovechables para la microrruta de recolección l, de conformidad con lo dispuesto en el artículo 55 de la presente resolución.
IHR_NAl: Indicador del horario de recolección de residuos no aprovechables para la microrruta de recolección l. El valor de este indicador para cada microrruta de recolección será igual al valor del indicador de la macrorruta a la cual pertenece (IHR_NAl), que fue calculado de conformidad con lo dispuesto en el artículo 56 de la presente resolución”.
ARTÍCULO 4o. Modificar el artículo 58 de la Resolución CRA 720 de 2015, a su vez aclarado por el artículo 2o de la Resolución CRA 751 de 2016; el cual quedará así:
“Artículo 58. Indicador de incumplimiento de reclamos comerciales por facturación (IC_IRCF). El indicador de incumplimiento de las metas de reclamos comerciales por facturación se define como:
![]()
Donde:
m: Es el número del mes analizado dentro del semestre en estudio que varía entre 1 y 6.
IC_IRCF: Es el índice de incumplimiento de reclamos comerciales por facturación, teniendo como referencia la meta establecida para el mes m dentro del semestre de análisis. El indicador que se debe tener en cuenta al finalizar el semestre de análisis para el establecimiento de los descuentos respectivos, corresponde al calculado con el IRCF6 de cada semestre analizado.
M_IRCF: Es el índice de reclamos comerciales establecido como meta para el mes m del semestre de análisis, el cual se calcula de la siguiente forma:

Donde:
M_IRCFj: Es la meta de reclamos comerciales por facturación establecida a 31 de diciembre de cada año analizado j, la cual está expresada en número de reclamos comerciales por facturación resueltos a favor del suscriptor en segunda instancia y en firme la decisión, por cada mil (1.000) suscriptores por año. A los cinco (5) años de aplicación del presente marco tarifario, la persona prestadora deberá alcanzar el estándar de servicio de máximo cuatro (4) reclamos comerciales por facturación resueltos a favor del suscriptor en segunda instancia y en firme la decisión, por cada mil (1.000) suscriptores al año, que equivale a (2) reclamos por cada mil (1.000) suscriptores al semestre, para lo cual deberá definir metas anuales con el fin de alcanzarlo, las cuales deberán ser reportadas al SUI.
nm: Número de meses en el año calendario que varía entre 1 y 12, en los que se prestó efectivamente el servicio público de aseo.
IRCFm: Es el índice de reclamos comerciales por facturación para el mes m dado en número de reclamos comerciales por facturación resueltos a favor del suscriptor en segunda instancia y en firme la decisión, por cada mil (1.000) suscriptores por m meses (al finalizar el semestre, dicho indicador se expresaría en número de reclamos comerciales por facturación resueltos a favor del suscriptor en segunda instancia y en firme la decisión, por cada mil (1.000) suscriptores por semestre). Este índice se determina mediante la siguiente expresión:
![]()
Donde:
p: Corresponde a cada uno de los seis meses continuos analizados dentro del semestre de análisis y toma valores entre 1 y 6 hasta alcanzar el mes m.
RCp: Total de reclamos comerciales por exactitud en la facturación, resueltos a favor del suscriptor en segunda instancia y en firme la decisión, durante el mes p perteneciente al semestre de análisis y radicados ante la Superintendencia de Servicios Públicos Domiciliarios en un periodo de tres semestres anteriores al semestre de aplicación, el cual debe ser suministrado por cada persona prestadora y discriminado por cada APS.
Únicamente se tendrán en cuenta las reclamaciones comerciales por facturación que surjan en virtud de la aplicación de la presente resolución.
mf: Factor de periodicidad en la facturación que equivale al número de meses dentro del ciclo de facturación.
NPp: Promedio durante el período analizado del número total de suscriptores que posee la persona prestadora del servicio público de aseo en el APS analizada. Al finalizar el semestre de análisis, este parámetro deberá corresponder al promedio del total de suscriptores durante dicho semestre dentro del APS analizada.
El IC_IRCF está expresado sobre una base de cálculo semestral, no obstante, la información correspondiente al RCp y al IRCFm deberán ser reportados al SUI con una periodicidad mensual por cada persona prestadora y cada APS”.
ARTÍCULO 5o. Modificar el artículo 59 de la Resolución CRA 720 de 2015, el cual quedará así:
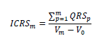
“Artículo 59. Indicador de incumplimiento en la compactación del relleno sanitario (IC_CRS). Indicador que permite en la compactación del relleno sanitario, el cual se calcula mediante la siguiente expresión:
![]()
Donde:
m: Es el número del mes analizado dentro del semestre en estudio que varía entre 1 y 6.
IC_CRS: Es el índice de incumplimiento en la compactación del relleno sanitario, teniendo como referencia la meta establecida para el mes dentro del semestre de análisis. El indicador que se debe tener en cuenta al finalizar el semestre de análisis para el establecimiento de los descuentos respectivos, corresponde al calculado con el ICRS6 de cada semestre analizado.
MCRS: Es la meta para el mes del semestre de análisis, que corresponderá a la densidad de diseño del relleno sanitario (toneladas/m3).
ICRSm: Es el índice de compactación del relleno sanitario, para el mes dentro del semestre de análisis, dado en toneladas/m3, el cual se determina mediante la siguiente expresión:

Donde:
p: Corresponde a cada uno de los seis meses continuos analizados dentro del semestre de análisis y toma valores entre 1 y 6 hasta alcanzar el mes m.
QRSp: Total de toneladas de residuos recibidas en el sitio de disposición final, durante el mes p, obtenida como la sumatoria de las toneladas de residuos recibidas de todas las personas prestadoras del servicio de recolección y transporte durante el período de análisis (toneladas).
Vm: Volumen total ocupado por residuos en las celdas activas durante lo transcurrido del semestre de análisis, medido con topografía al final del mes de análisis m (m3).
V0: Volumen total ocupado por residuos en las celdas activas durante lo transcurrido del semestre de análisis, medido con topografía al final del semestre anterior al semestre de análisis (m3).
Los operadores de los rellenos sanitarios están en la obligación de suministrar mensualmente a las personas prestadoras del servicio de recolección y transporte y a la Superintendencia de Servicios Públicos Domiciliarios en las condiciones y medios que esta establezca, los parámetros QRSp, Vm y V0.
El descuento por concepto de este indicador será asumido por la persona prestadora de disposición final, de conformidad con lo establecido en el parágrafo del artículo 62 de la presente resolución.
PARÁGRAFO 1. Cuando la persona prestadora de recolección y transporte dispone residuos en más de un sitio de disposición final, el índice de incumplimiento deberá ser calculado por cada persona prestadora de disposición final k y reportado a la persona prestadora de recolección y transporte. Para efectos del establecimiento de los descuentos, el índice semestral de incumplimiento a aplicar en estos casos por parte de la persona prestadora de recolección y transporte, deberá calcularse de acuerdo con la siguiente fórmula:

Donde:
ICP_CRS: Es el índice semestral de incumplimiento ponderado en la compactación de los rellenos sanitarios, teniendo como referencia las toneladas transportadas a cada uno de los sitios en donde se haga disposición final para el semestre de análisis.
IC_CRS6k: Es el índice semestral de incumplimiento en la compactación del relleno sanitario, teniendo como referencia el indicador ICRS6 y la meta establecida para el semestre de análisis del respectivo relleno sanitario.
QRS6: Total de toneladas de residuos transportadas por la persona prestadora del servicio de recolección y transporte al sitio de disposición final k, durante el semestre de análisis (toneladas).
k: Número de sitios de disposición final en donde la persona prestadora del servicio de recolección y transporte dispone los residuos durante el semestre de análisis, donde k = {1, 2, 3, 4, …, n}.
PARÁGRAFO 2. La topografía para medir los volúmenes ocupados por mes en cada relleno sanitario, debe desarrollarse entre el último día del mes analizado y el primer día del mes siguiente”.
ARTÍCULO 6o. Modificar el artículo 60 de la Resolución CRA 720 de 2015, el cual quedará así:
“Artículo 60. Valor de descuento por suscriptor afectado. El valor de descuento por suscriptor afectado en los indicadores de calidad contemplados para la formulación de los descuentos y tiene la siguiente forma:
![]()
Donde:
V_indicador: Es el valor de descuento asociado al indicador analizado.
Frein: Es el factor de reincidencia en el incumplimiento. Este factor tomará los siguientes valores dependiendo de la reincidencia en el incumplimiento por parte de la persona prestadora en evaluaciones semestrales consecutivas:
| Número de semestres consecutivos de incumplimiento | Factor de reincidencia |
| 1 | 0,20 |
| 2 | 0,60 |
| 3 o superior | 1,00 |
indicador: Valor del indicador asociado al descuento analizado que varía entre 0 y 1.
Dmax_indicador: Factor de descuento máximo asociado al descuento que se esté analizando. Este factor se obtiene con la siguiente expresión:
![]()
Donde:
Frem: Factor de remuneración asociado al costo que se esté analizando. Cdesc: Costo asociado al descuento que se esté analizando.
BD_indicador: Base de descuento asociada al indicador de calidad que se esté analizando y debe determinarse de manera específica dependiendo del suscriptor afectado.
En todo caso, para el primer semestre de incumplimiento se aplicará un factor de reincidencia de 0,20.
En la siguiente tabla se presenta la nomenclatura y los valores que adquieren los parámetros de cálculo de la fórmula general del valor de descuento, dependiendo del descuento que se esté analizando y su correspondiente indicador de calidad.

Donde:
u: Tipo de suscriptor.
z: APS analizada.
l: Microrruta de recolección analizada.
p: Corresponde a cada uno de los seis meses continuos analizados dentro del semestre de análisis y toma valores entre 1 y 6.
i: Suscriptor afectado i.
CRT: Costo de Recolección y Transporte de residuos sólidos definido en el artículo 24 de la presente resolución.
CCS: Costo de Comercialización por suscriptor definido en el artículo 14 de la presente resolución.
CDF: Costo de Disposición Final por tonelada definido en el artículo 28 de la presente resolución.
(TRNAu,z)l,p: Toneladas de Residuos No Aprovechables por APS, presentadas para su recolección por parte del suscriptor que pertenece a la microrruta de recolección l, en el mes, de acuerdo con lo establecido en el artículo 41 de la presente resolución.
(TAFNAi,z)l,p: Toneladas de Residuos No Aprovechables aforadas por suscriptor i en el APS z, de la persona prestadora de recolección que pertenece a la microrruta de recolección l, en el mes p, de acuerdo con lo establecido en el artículo 41 de la presente resolución.
(TDRSi)p: Toneladas de residuos no aprovechables asociadas al suscriptor afectado y producidas durante el mes p, que se emplearán para establecer los descuentos correspondientes. Con base en los parámetros definidos en el artículo 39 de la presente resolución y dependiendo de si el usuario tiene o no aforo, el valor de TDRS para cada suscriptor afectador i por mes p, se calculará de la siguiente forma:
Si el usuario no tiene aforo:
![]()
Si el usuario tiene aforo:
![]()
ARTÍCULO 7o. Modificar el artículo 61 de la Resolución CRA 720 de 2015, el cual quedará así:
“Artículo 61. Identificación de los suscriptores afectados para el reconocimiento de los descuentos correspondientes. En el caso de los descuentos asociados al ICTR_NAl, los suscriptores afectados a los que se les debe reconocer los descuentos corresponden a aquellos a quienes la persona prestadora incumplió en por lo menos una (1) vez la frecuencia y/o el horario de su microrruta de recolección de residuos sólidos no aprovechables durante el semestre de análisis.
Los suscriptores afectados a los cuales se les debe reconocer los descuentos asociados al indicador IC_IRCF, siempre y cuando durante el semestre de análisis la persona prestadora haya incumplido la meta establecida para dicho período, corresponden a aquellos que presentaron reclamaciones comerciales por facturación, resueltos en segunda instancia y en firme la decisión, perteneciente al semestre de análisis y radicados ante la Superintendencia de Servicios Públicos Domiciliarios en un periodo de tres semestres anteriores al semestre de aplicación, dentro del APS analizada.
Por su parte, los beneficiarios de los descuentos asociados al índice de incumplimiento IC_CRS, son todos los suscriptores atendidos por la persona prestadora de la actividad de recolección y transporte. Se generarán descuentos por este concepto siempre y cuando si durante el semestre analizado alguno de los sitios de disposición final empleados por la persona prestadora incumple la meta de compactación establecida para ese período”.
ARTÍCULO 8o. Modificar el artículo 63 de la Resolución CRA 720 de 2015, el cual quedará así:
“Artículo 63. Plazo para hacer efectivos los descuentos. La persona prestadora cuenta con un plazo máximo de seis (6) meses para hacer efectivo el descuento total en la factura de los suscriptores afectados. Este plazo empezará a contar una vez finalice el semestre objeto de evaluación.
PARÁGRAFO 1. En todo caso la persona prestadora al momento de hacer efectivos los descuentos, reconocerá a cada suscriptor afectado el descuento total pendiente con sus respectivos intereses corrientes, los cuales se causarán de manera periódica a la tasa mensual que corresponda al momento de hacer efectivo el descuento, de conformidad con el periodo de facturación de la persona prestadora. La tasa aplicable corresponde al promedio de las tasas activas del mercado, que hace referencia al interés bancario corriente efectivo anual, para la modalidad de crédito de consumo y ordinario, certificado por la Superintendencia Financiera de Colombia o quien haga sus veces. El método de causación corresponderá al aplicado por las entidades financieras sobre las operaciones de sus productos financieros.
Una vez vencido el plazo para hacer efectivos los descuentos sin que la persona prestadora los haya efectuado, se causará a favor de cada suscriptor, el interés moratorio previsto en el artículo 884 del Código de Comercio modificado por el artículo 111 de la Ley 510 de 1999.
PARÁGRAFO 2. Todos los descuentos que se causaron con anterioridad al plazo que la Superintendencia de Servicios Públicos Domiciliarios establezca y habilite para el reporte de la información al Sistema Único de Información (SUI), deberán ser aplicados a más tardar el 31 de diciembre de 2018 con sus respectivos intereses corrientes, los cuales se causarán de manera periódica a la tasa mensual que corresponda al momento de hacer efectivo el descuento, de conformidad con el periodo de facturación de la persona prestadora. La tasa aplicable corresponde al promedio de las tasas activas del mercado, que hace referencia al interés bancario corriente efectivo anual, para la modalidad de crédito de consumo y ordinario, certificado por la Superintendencia Financiera de Colombia o quien haga sus veces. El método de causación corresponderá al aplicado por las entidades financieras sobre las operaciones de sus productos financieros.
Una vez cumplido este plazo, sin que la persona prestadora los haya efectuado, se causará a favor de cada suscriptor el interés moratorio previsto en el artículo 884 del Código de Comercio modificado por el artículo 111 de la Ley 510 de 1999”.
ARTÍCULO 9o. Modificar el artículo 64 de la Resolución CRA 720 de 2015, el cual quedará así:
“Artículo 64. Valor de los indicadores por no reporte de información. El no reporte de los indicadores y descuentos asociados en el Sistema Único de Información (SUI) por parte de la persona prestadora, se entenderán como incumplidos. En este caso se aplicará a todos los suscriptores de la persona prestadora en el APS analizada, el descuento correspondiente al semestre consecutivo de incumplimiento, según lo dispuesto en el artículo 60 de la presente resolución, para lo cual el y el corresponderán a 1.
Lo anterior sin perjuicio de las acciones a que haya lugar por parte de la Superintendencia de Servicios Públicos Domiciliarios”.
ARTÍCULO 10. Modificar el artículo 65 de la Resolución CRA 720 de 2015, el cual quedará así:
“Artículo 65. Costos de referencia para el cálculo de los descuentos. Para efectos del cálculo de los descuentos de que trata el presente Título, el costo de referencia será la tarifa para cada suscriptor tipo u y suscriptor aforado tipo i del Área de Prestación del Servicio para el semestre de análisis, antes de aplicar los porcentajes de subsidios y contribuciones.
PARÁGRAFO. En el evento que se presenten variaciones de la tarifa para cada suscriptor tipo u y suscriptor aforado tipo i durante el semestre de análisis, para el cálculo de los descuentos se utilizará el promedio de las tarifas, ponderado por los días de vigencia de cada una de ellas durante el período analizado”.
ARTÍCULO 11. Modificar el artículo 69 de la Resolución CRA 720 de 2015, el cual quedará así:
“Artículo 69. Seguimiento de las metas para los indicadores. El seguimiento al cumplimiento de las metas propuestas para cada uno de los indicadores de servicio y de calidad relacionados en el ANEXO III que hace parte integral de la presente resolución, se hará de acuerdo con la periodicidad que se establezca en el esquema de reporte de información definido por la Superintendencia de Servicios Públicos Domiciliarios y deberá realizarse bajo los siguientes aspectos:
Autocontrol: La persona prestadora deberá realizar un control mensual al cumplimiento de las metas en los indicadores.
Reporte de resultados: La persona prestadora deberá reportar los resultados, producto de su autocontrol, en el formato que se establezca en el esquema de reporte de información definido por la Superintendencia de Servicios Públicos Domiciliarios.
Publicación de los resultados reportados: La Superintendencia de Servicios Públicos Domiciliarios y la Comisión de Regulación de Agua y Saneamiento Básico harán públicos en sus páginas web los resultados del seguimiento a las metas para los indicadores de eficiencia y de servicio, con una periodicidad anual.
Para las metas cuyo resultado eficiente debe aumentar el indicador de cumplimiento será:
![]()
Cuando el resultado eficiente es disminuir el indicador se calculará:
![]()
PARÁGRAFO. Los indicadores que no puedan ser calculados por falta de reporte de información por parte de la persona prestadora, se entenderán como incumplidos, sin perjuicio de las acciones a que haya lugar por parte de la Superintendencia de Servicios Públicos Domiciliarios”.
ARTÍCULO 12. Modificar el artículo 70 de la Resolución CRA 720 de 2015, el cual quedará así:
“Artículo 70. Verificación de cumplimiento de los indicadores. De conformidad con lo establecido en el artículo 79 de la Ley 142 de 1994, corresponde a la Superintendencia de Servicios Públicos Domiciliarios efectuar las labores de inspección, vigilancia y control de los indicadores del servicio público de aseo”.
ARTÍCULO 13. VIGENCIA. La presente resolución rige a partir de la fecha de su publicación en el Diario Oficial.
Dada en Bogotá D.C. a 30 de julio de 2018.
Publíquese y cúmplase.
El Presidente,
Jorge Andrés Carrillo Cardoso
El Director Ejecutivo,
Germán Eduardo Osorio Cifuentes
ARTÍCULO 2o. Iniciar el proceso de discusión directa con los usuarios, prestadores, gremios y demás agentes del sector e interesados. Para el efecto, establézcase un término de diez (10) días hábiles, contados a partir de la fecha de publicación de la presente resolución en el Diario Oficial, para recibir las observaciones, reparos y/o sugerencias.
ARTÍCULO 3o. Invitar a las personas prestadoras del servicio público de aseo, suscriptores y/o usuarios, a la Superintendencia de Servicios Públicos Domiciliarios, y a todos los interesados en general, para que remitan observaciones, reparos y sugerencias a la propuesta consagrada en el artículo primero de la presente resolución, así como al documento de trabajo, que también se harán públicos en la página web www.cra.gov.co.
ARTÍCULO 4o. Recibir las observaciones, reparos y/o sugerencias, en las instalaciones de la Comisión de Regulación de Agua Potable y Saneamiento Básico (CRA), ubicada en la Carrera 12 N° 97-80, Piso 2°, Edificio 97 Punto Empresarial, de Bogotá, D. C., teléfono 487 38 20, en la línea nacional gratuita 01 8000 517 565, en el correo electrónico participacion@cra.gov.co o en el fax 489 76 50.
La Subdirección de Regulación de la Comisión de Regulación de Agua Potable y Saneamiento Básico, recibirá las observaciones, reparos y/o sugerencias y atenderá las solicitudes de información sobre el proyecto.
ARTÍCULO 5o. VIGENCIA. La presente resolución rige a partir de la fecha de su publicación en el Diario Oficial.
Dada en Bogotá, D. C., a 30 de julio de 2018.
El Presidente,
Jorge Andrés Carrillo Cardoso.
El Director Ejecutivo,
Germán Eduardo Osorio Cifuentes.