CIRCULAR EXTERNA 10 DE 2014
(marzo 31)
Diario Oficial No. 49.111 de 2 de abril de 2014
AGENCIA NACIONAL DE CONTRATACIÓN PÚBLICA
COLOMBIA COMPRA EFICIENTE
<NOTA DE VIGENCIA: Circular remplazada por la Circular 16 de 2014>
| Para: | Entidades Estatales |
| Asunto: | Expedición manuales y guías |
La Agencia Nacional de Contratación Pública –Colombia Compra Eficiente– en cumplimiento de su objetivo como ente rector del sistema de compras y contratación pública, expide los siguientes instrumentos, los cuales están a disposición de los partícipes del sistema de compras y contratación pública en http://www.colombiacompra.gov.co/es/manuales
1. Manual de la modalidad de selección de mínima cuantía.
2. Manual para determinar y verificar los requisitos habilitantes en Procesos de Contratación.
3. Guía para la elaboración de estudios de sector
Muy atentamente,
La Directora General,
MARÍA MARGARITA ZULETA GONZÁLEZ.
Referencia Normativa
Numerales 2, 5, 9 y 10 del artículo 3o del Decreto-ley 4170 de 2011.
Manual de la Modalidad de Selección de Mínima Cuantía
M-MSMC-02
Tabla de Contenido
I. ¿Qué es la modalidad de selección de mínima cuantía?
II. ¿Cómo se determina el valor de la mínima cuantía?
III. Documentos del Proceso de la modalidad de mínima cuantía
A. Estudios previos
B. Invitación a participar
C. Acta de cierre del Proceso de Contratación
D. Solicitud para subsanar documentos
E. Informe de evaluación
F. Comunicación de aceptación de la oferta
G. Ejecución
IV. ¿Cuáles son las características de la modalidad de selección de mínima cuantía?
A. El precio es el factor de selección
B. Proceso de Contratación con menores formalidades
C. Garantías
D. Requisitos Habilitantes
E. Plazos del Proceso de Contratación de mínima cuantía
V. Concurrencia de dos modalidades de selección para un objeto contractual
A. Concurrencia de contratación directa y mínima cuantía
B. Concurrencia de selección abreviada por Acuerdo Marco de Precios y mínima cuantía
VI. Adquisición en grandes superficies
Introducción
Colombia Compra Eficiente tiene dentro de sus facultades, elaborar y difundir instrumentos y herramientas que faciliten las compras y la contratación pública y promover las mejores prácticas, la eficiencia, transparencia y competitividad.
En cumplimiento de esta función ha desarrollado el presente Manual de Modalidad de Selección de Mínima Cuantía, cuyo objeto es precisar las características especiales, procedimiento y naturaleza de esta modalidad de selección para hacer más eficiente y efectivo su uso por parte de las Entidades Estatales.
Definiciones
Las expresiones utilizadas en el presente documento con mayúscula inicial deben ser entendidas con el significado que establece el Decreto número 1510 de 2013. Los términos definidos son utilizados en singular y en plural según lo requiera el contexto en el cual son utilizados. Los términos no definidos deben entenderse de acuerdo con su significado natural y obvio.
I. ¿Qué es la modalidad de selección de mínima cuantía?
La modalidad de selección de mínima cuantía es un procedimiento sencillo y rápido para escoger al contratista en la adquisición de los bienes, obras y servicios cuyo valor no exceda el diez por ciento (10%) de la menor cuantía de las Entidades Estatales. Esta modalidad de selección tiene menos formalidades que las demás y tiene características especiales.
La modalidad de selección de mínima cuantía es aplicable a todos los objetos de contratación cuando el presupuesto oficial del contrato sea inferior o igual a la mínima cuantía de la Entidad Estatal, sin importar la naturaleza del contrato.
Las reglas aplicables a la modalidad de selección de mínima cuantía son las consagradas en el numeral 5 del artículo 2o de la Ley 1150 de 2007, que fue modificado por el artículo 94 de la Ley 1474 de 2011, y no es posible agregar requisitos, procedimientos o formalidades adicionales.
II. ¿Cómo se determina el valor de la mínima cuantía?
La mínima cuantía es el valor equivalente al diez por ciento (10%) de la menor cuantía de una Entidad Estatal. El procedimiento para establecer la menor cuantía está descrito en el literal b) del artículo 2 de la Ley 1150 de 2007 que sirve de guía para determinar la menor y la mínima cuantía de una Entidad Estatal.
| Presupuesto anual de la Entidad Estatal (smmlv) | Menor cuantía (smmlv) | Mínima cuantía (smmlv) |
| Igual o mayor a 1.200.000 | 1.000 | 100 |
| Entre 850.000 y 1.200.000 | 850 | 85 |
| Entre 400.000 y 850.000 | 650 | 65 |
| Entre 120.000 y 400.000 | 450 | 45 |
| Menos de 120.000 | 280 | 28 |
Las Entidades Estatales deben adelantar los Procesos de Contratación cuyo presupuesto oficial no exceda el valor de su mínima cuantía por la modalidad de selección de mínima cuantía.
III. Documentos del Proceso de la modalidad de mínima cuantía
Los Documentos del Proceso de la fase de planeación del Proceso de Contratación de mínima cuantía son:
A. Estudios previos
Los estudios previos deben contener:
- La descripción sucinta de la necesidad que la Entidad Estatal pretende satisfacer con la contratación.
- La descripción del objeto a contratar identificado con el cuarto nivel del Clasificador de Bienes y Servicios.
- Las condiciones técnicas exigidas.
- El valor estimado del contrato y su justificación.
- El plazo de ejecución del contrato.
- El certificado de disponibilidad presupuestal que respalda la contratación.
- De haberse previsto, las garantías exigibles al contratista.
- Forma de pago, de haberse previsto un plazo por parte de la Entidad Estatal.
Colombia Compra Eficiente recomienda ver el Manual de Análisis del Sector y el Manual para la Identificación y Cobertura del Riesgo en http://www.colombiacompra.gov.co/es/manuales.
B. Invitación a participar
La invitación a participar debe contener:
- La descripción del objeto a contratar identificado con el cuarto nivel del Clasificador de Bienes y Servicios.
- Las condiciones técnicas exigidas.
- El valor estimado del contrato y su justificación.
- La forma de acreditar la capacidad jurídica.
- La forma de acreditar la experiencia mínima, de haberse exigido.
- La forma de acreditar el cumplimiento de las condiciones técnicas.
- La capacidad financiera mínima y forma de verificar su cumplimiento cuando no se haga pago contra entrega de la obra, bien o servicio.
- El Cronograma.
- El plazo o condiciones del pago a cargo de la Entidad Estatal.
- La indicación del requerimiento de garantías, cuando estas son exigidas.
C. Acta de cierre del Proceso de Contratación
Es el documento elaborado por la Entidad Estatal para dejar constancia de la presentación de las ofertas en el cual debe constar el nombre del oferente y la hora de presentación de la oferta. La Entidad Estatal debe publicar en el SECOP el acta de cierre en la oportunidad establecida para el efecto en el Cronograma del Proceso de Contratación y si en este no se estableció la fecha correspondiente debe publicarse a más tardar el día hábil siguiente a la fecha de presentación de las ofertas.
D. Solicitud para subsanar documentos
La Entidad Estatal puede solicitar a los proponentes subsanar inconsistencias o errores, siempre y cuando la corrección de las inconsistencias o de los errores no represente una reformulación de la oferta.
E. Informe de evaluación
El informe de evaluación debe indicar si el oferente cumplió con los requisitos habilitantes o de otro tipo establecidos en la invitación a participar, el valor de su oferta y la fecha y hora de presentación de la oferta.
F. Comunicación de aceptación de la oferta
La Entidad Estatal debe aceptar la oferta del oferente que haya cumplido con los requisitos establecidos en la invitación y que haya ofrecido el precio más bajo, mediante documento electrónico o físico. En el documento de aceptación, la Entidad Estatal debe indicar el supervisor del contrato.
Si hay empate, la Entidad debe aceptar la oferta presentada primero en el tiempo.
La oferta y la comunicación de aceptación de la misma conforman el contrato y los dos documentos deben ser publicados en el SECOP en la fecha establecida en el Cronograma y si esta no fue establecida se recomienda publicar el día hábil siguiente a la adjudicación. La comunicación de aceptación de la oferta es el acto de adjudicación.
G. Ejecución
La etapa de ejecución inicia con la celebración del contrato[1], y se extiende hasta el cumplimiento del objeto contractual. La Entidad Estatal debe ejercer la supervisión del contrato para establecer si se cumplieron a cabalidad las obligaciones pactadas.
IV. ¿Cuáles son las características de la modalidad de selección de mínima cuantía?
Dado que esta modalidad de selección está diseñada para obras, bienes y servicios de cuantías pequeñas frente al presupuesto de cada Entidad Estatal, la Ley 1150 de 2007 y el Decreto número 1510 de 2013 han previsto unas características especiales para este procedimiento:
A. El precio es el factor de selección
El precio es el factor de selección del proponente. Es decir, la Entidad Estatal debe adjudicar el Proceso de Contratación al oferente que cumpla con todas las condiciones exigidas por la Entidad Estatal en los Documentos del Proceso (estudios previos e invitación a participar), y que ofrezca el menor valor. No hay lugar a puntajes para evaluar las ofertas sobre las características del objeto a contratar, su calidad o condiciones.
La Entidad Estatal debe revisar las ofertas económicas y verificar que la de menor precio cumple con las condiciones de la invitación. Si esta no cumple con las condiciones de la invitación, la Entidad Estatal debe verificar el cumplimento de los requisitos de la invitación de la oferta con el segundo mejor precio, y así sucesivamente.
B. Proceso de Contratación con menores formalidades
En la modalidad de selección de mínima cuantía la Entidad Estatal NO debe tener en cuenta las siguientes formalidades y procedimientos aplicables a las otras modalidades de selección:
- Registro Único de Proponentes. Los oferentes en la selección de mínima cuantía no están obligados a acreditar que están inscritos en el Registro Único de Proponentes (RUP) ni a presentar el certificado correspondiente. Las Entidades Estatales deben verificar directamente los requisitos habilitantes a que haya lugar[2].
- Contenido mínimo de los estudios y documentos previos, aviso de convocatoria y de los pliegos de condiciones. En la modalidad de selección de mínima cuantía no se deben exigir los requisitos previstos de forma general para los estudios y documentos previos, el aviso de convocatoria y los pliegos de condiciones, enumerados en los artículos 20, 21 y 22 del Decreto número 1510 de 2013.
- Incentivos a la industria nacional. Los incentivos a la industria nacional regulados por la Ley 816 de 2003 y por el artículo 151 del Decreto número 1510 de 2013 no son aplicables a la modalidad de selección de mínima cuantía. Es decir no hay lugar a definir fórmulas de puntuación con ocasión del origen de los bienes y servicios.
- Convocatoria limitada a Mipymes. En la modalidad de selección de mínima cuantía no hay lugar a la solicitud de limitar la convocatoria a Mipymes en los términos del artículo 12 de la Ley 1150 de 2007, que fue modificado por el artículo 32 de la Ley 1450 de 2011, y del artículo 152 del Decreto número 1510 de 2013.
- Capacidad Residual para contratos de obra pública. En los Procesos de Contratación de obra pública en la modalidad de selección de mínima cuantía, la Entidad Estatal no debe establecer Capacidad Residual o K de Contratación ni requerirla a los oferentes.
- Formalidades del contrato. En la modalidad de selección de mínima cuantía, el acuerdo de voluntades entre la Entidad Estatal y el contratista lo constituyen: a) la oferta presentada por el proponente; y b) la comunicación de la Entidad Estatal en la cual acepta la oferta.
Por esta razón los Documentos del Proceso deben ser completos en la definición de la necesidad de la Entidad Estatal, el objeto del contrato, la cantidad y calidad de los bienes o servicios, las características técnicas, garantías de funcionamiento y todas las condiciones necesarias para verificar el cumplimiento de los términos exigidos por la Entidad Estatal para que el oferente quede obligado con la presentación de la oferta a satisfacer a cabalidad la necesidad de la Entidad Estatal.
C. Garantías
Las Entidades Estatales no están obligadas a exigir garantías en los Procesos de Contratación de mínima cuantía. Si la Entidad Estatal decide exigir garantías en los procesos de selección de mínima cuantía debe ser una consecuencia del Riesgo del Proceso de Contratación y del sector económico al cual pertenecen los posibles oferentes.
Colombia Compra Eficiente recomienda ver el Manual para la Identificación y Cobertura del Riesgo en www.colombiacompra.gov.co/manuales.
D. Requisitos Habilitantes
En primer término es importante tener en cuenta que en los Procesos de Contratación de mínima cuantía la Entidad Estatal no debe solicitar certificado de RUP. La Entidad Estatal debe verificar directamente la capacidad jurídica, la experiencia y la capacidad financiera.
1. Capacidad jurídica
Las personas jurídicas acreditan su capacidad jurídica con el certificado de existencia y representación legal expedido por la Cámara de Comercio de su domicilio, el cual debe haber sido expedido dentro de los treinta (30) días calendario anteriores a la fecha de presentación o por la entidad que tenga la competencia para expedir dicho certificado.
La Entidad Estatal debe verificar la capacidad jurídica de una persona jurídica revisando los siguientes aspectos:
a) El objeto social de la persona jurídica para efectos de verificar que esté autorizada para cumplir con el objeto del contrato. El objeto social es transcrito en los certificados de existencia y representación legal;
b) La calidad de representante legal de quien suscribe la oferta, lo cual se verifica con la inscripción del representante legal en el certificado de existencia y representación legal;
c) Las facultades del representante legal de la persona jurídica para presentar la oferta y obligar a la persona jurídica a cumplir con el objeto del contrato, lo cual se verifica con la inscripción del representante legal en el certificado de existencia y representación legal;
d) La ausencia de inhabilidades, incompatibilidades o prohibiciones de la persona jurídica para contratar con el Estado. Este requisito lo debe verificar la Entidad Estatal con la presentación de una declaración de la persona jurídica en la cual esta certifique que ni la persona jurídica ni su representante legal están incursos en inhabilidades, incompatibilidades o prohibiciones. Adicionalmente la Entidad Estatal debe consultar los sistemas de información de antecedentes judiciales, de la Procuraduría General de la Nación y de la Contraloría General de la República.
La Entidad Estatal debe verificar la capacidad jurídica de las personas naturales de la siguiente manera:
a) La mayoría de edad, la cual es acreditada con la cédula de ciudadanía, para los nacionales colombianos, y con la cédula de extranjería o el pasaporte para los extranjeros. La simple presentación de este documento sirve para acreditar la capacidad jurídica;
b) La ausencia de limitaciones a la capacidad jurídica de las personas naturales. Este requisito lo debe verificar la Entidad Estatal con la presentación de una declaración de la persona natural en la cual certifique que tiene plena capacidad y que no está incursa en inhabilidades, incompatibilidades o prohibiciones y adicionalmente la Entidad Estatal debe consultar los sistemas de información de antecedentes judiciales, de la Procuraduría General de la Nación y de la Contraloría General de la República.
2. Experiencia
Las Entidades Estatales no están obligadas a establecer un requisito habilitante de experiencia en los Procesos de Contratación de mínima cuantía. Si la Entidad Estatal decide establecer un requisito habilitante de experiencia, este debe ser una consecuencia del Riesgo del Proceso de Contratación, de las características del sector y del objeto del contrato, y debe referirse a la experiencia del oferente en las actividades objeto del Proceso de Contratación.
Si la Entidad Estatal establece requisitos habilitantes de experiencia, debe solicitar copias de contratos o certificados expedidos por terceros que hayan recibido del oferente los bienes, obras o servicios objeto del Proceso de Contratación.
3. Capacidad financiera
La Entidad Estatal puede exigir una capacidad financiera mínima en los Procesos de Contratación de mínima cuantía cuando paga antes de la entrega a satisfacción de los bienes, obras o servicios.
Colombia Compra Eficiente recomienda ver el Manual para determinar y verificar los Requisitos Habilitantes en los Procesos de Contratación en www.colombiacompra.gov.co/manuales.
E. Plazos del Proceso de Contratación de mínima cuantía
Los términos del Proceso de Contratación de mínima cuantía son más cortos que los establecidos para las demás modalidades de selección. El término para presentar ofertas es de por lo menos un día hábil contado a partir de la publicación de la invitación y naturalmente la invitación debe estar publicada por lo menos durante un día hábil.
Colombia Compra Eficiente recomienda que la publicación de los Documentos del Proceso se haga en el día hábil en el cual se adelanta la actuación respectiva para ser consistente con la extensión de los términos previstos para esta modalidad de selección.
V. Concurrencia de dos modalidades de selección para un objeto contractual
En los siguientes casos existe un conflicto de normas contenidas en el artículo 2o de la Ley 1150 de 2007 dado que concurre la modalidad de selección de mínima cuantía con otras modalidades de selección. En estos casos es necesario acudir a los principios generales establecidos en la Ley 80 de 1993 para decidir cuál modalidad de selección debe utilizarse puesto que el artículo 23 de la Ley 80 de 1993 establece que las actuaciones en el Proceso de Contratación deben desarrollarse con arreglo a los principios de transparencia, economía y responsabilidad, y la ley y la jurisprudencia constitucional frente al conflicto en la aplicación de normas de la misma jerarquía establece que prevalece la disposición de carácter especial sobre la de carácter general[3].
A. Concurrencia de contratación directa y mínima cuantía
Las modalidades de selección de mínima cuantía y de contratación directa concurren cuando: a) el presupuesto del Proceso de Contratación es menor o igual que la mínima cuantía de la Entidad Estatal, y b) existe una causal de contratación directa para el objeto del Proceso de Contratación de conformidad con el numeral 4 del artículo 2o de la Ley 1150 de 2007, como en el caso de la prestación de servicios profesionales y de apoyo a la gestión o para los contratos interadministrativos.
El principio de economía contenido en la Ley 80 de 1993 busca que en la selección del contratista, la Entidad Estatal cumpla y establezca los procedimientos y etapas estrictamente necesarios para asegurar la selección objetiva de la propuesta más favorable[4], con austeridad de tiempo, medios y gastos[5]. En consecuencia, dado que las causales de contratación directa son especiales y expresas frente a otras modalidades de selección y que la contratación directa permite obtener una mayor economía en el trámite del Proceso de Contratación, en caso de concurrencia de la contratación directa y de la de mínima cuantía, la modalidad de selección aplicable es la de contratación directa.
B. Concurrencia de selección abreviada por Acuerdo Marco de Precios y mínima cuantía
Las modalidades de mínima cuantía y selección abreviada por Acuerdo Marco de Precios concurren cuando: a) existe un Acuerdo Marco de Precios vigente para el bien o servicio objeto del Proceso de Contratación y la Entidad Estatal está obligada a adquirir los Bienes y Servicios de Características Técnicas Uniformes al amparo de los Acuerdos Marco de Precios[1] vigentes; y b) el presupuesto del Proceso de Contratación es menor o igual que la mínima cuantía de la Entidad Estatal.
La adquisición al amparo de un Acuerdo Marco de Precios es la norma particular para la adquisición de Bienes y Servicios de Características Técnicas Uniformes; en consecuencia, cuando existe un Acuerdo Marco de Precios para la adquisición de este tipo de bienes y servicios, la Entidad Estatal debe adquirirlos al amparo de este.
Es importante tener en cuenta que el Acuerdo Marco de Precios es el resultado de una licitación pública y a través de este, el Estado busca economías de escala al actuar como un solo comprador. Las Entidades Estatales participan en los Acuerdos Marco de Precios a través de la colocación de órdenes de compra. Para el efecto deben diligenciar un estudio previo resumido en la Tienda Virtual del Estado colombiano y colocar la orden de compra al Proveedor que ofrezca las mejores condiciones según lo determine cada Acuerdo Marco de Precios.
Por lo anterior, Colombia Compra Eficiente considera que frente al conflicto de la aplicación de la modalidad de selección abreviada por la existencia de un Acuerdo Marco de Precios y la modalidad de selección de mínima cuantía, se debe decidir a favor de la adquisición al amparo del Acuerdo Marco de Precios. De esta manera, la Entidad Estatal honra los principios de transparencia, economía y responsabilidad en los términos de los artículos 24, 25 y 26 de la Ley 80 de 1993.
C. Concurrencia de concurso de méritos y mínima cuantía
Las modalidades de selección de concurso de méritos y de mínima cuantía concurren cuando: a) el presupuesto del Proceso de Contratación es menor o igual que la mínima cuantía de la Entidad Estatal, y b) el objeto del Proceso de Contratación es la selección de consultores o proyectos, de conformidad con el numeral 3 del artículo 2o de la Ley 1150 de 2007.
El principio de economía contenido en la Ley 80 de 1993 busca que en la selección del contratista, la Entidad Estatal cumpla y establezca los procedimientos y etapas estrictamente necesarios para asegurar la selección objetiva de la propuesta más favorable, con austeridad de tiempo, medios y gastos. En consecuencia, dado que la selección de mínima cuantía es especial para cualquier objeto y que la selección de mínima cuantía permite obtener una mayor economía en el trámite del Proceso de Contratación, en caso de concurrencia del concurso de méritos y de mínima cuantía, Colombia Compra Eficiente considera que la modalidad de selección aplicable es la de mínima cuantía.
VI. Adquisición en Grandes Superficies
El parágrafo 1o del artículo 2o de la Ley 1150 de 2007, como fue adicionado por la Ley 1474 de 2011, estableció que las Entidades Estatales pueden hacer adquisiciones de mínima cuantía en “gran almacén”, las cuales están reglamentadas por el artículo 86 del Decreto número 1510 de 2013.
Colombia Compra Eficiente recomienda ver la opción de compras en gran almacén en la Tienda Virtual del Estado colombiano en www.colombiacompra.gov.co.
* * *
1 Excepcionalmente la Entidad Estatal puede exigir garantías, caso en el cual la ejecución inicia con la aprobación de estas.
2 Ver recomendaciones para la definición de requisitos habilitantes en la Sección 4.D del presente Manual.
3 Ley 57 de 1887; Sentencia C-005-96 de la Corte Constitucional de enero 18 de 1996, M. P. José Gregorio Hernández Galindo, Sentencia C-576-04 de junio 8 de 2004, M. P. Jaime Araújo Rentería, entre otros fallos.
4 Numeral 1 del artículo 25 de la Ley 80 de 1993 y artículo 5o de la Ley 1150 de 2007.
5 Numeral 4 del artículo 25 de la Ley 80 de 1993.
6 Parágrafo 5o del artículo 2o de la Ley 1150 de 2007 y artículo 46 del Decreto número 1510 de 2013.
MANUAL PARA DETERMINAR Y VERIFICAR LOS REQUISITOS HABILITANTES EN LOS PROCESOS DE CONTRATACIÓN
I. Aspectos Generales
A. ¿Qué son y para qué sirven los requisitos habilitantes en el Proceso de Contratación?
B. ¿Cómo establecer los requisitos habilitantes?
C. Acreditación de los requisitos habilitantes
D. Subsanación de requisitos habilitantes
II. Experiencia
III. Capacidad Jurídica
A. Persona natural
B. Persona jurídica
C. Inhabilidades e incompatibilidades
IV. Capacidad Financiera
A. Indicadores de capacidad financiera
B. Indicadores adicionales de capacidad financiera
V. Capacidad Organizacional
A. Indicadores de capacidad organizacional
B. Indicadores adicionales de capacidad organizacional
VI. Cómo fijar los indicadores de capacidad financiera y de capacidad organizacional
VII. Proponentes plurales
VIII. Cómo verificar los requisitos habilitantes no certificados en el RUP
Anexo 1 - Formato del certificado de acreditación de experiencia para cumplir con los requisitos habilitantes
Anexo 2 - Formato del certificado de acreditación de la capacidad financiera y capacidad organizacional para cumplir con los requisitos habilitantes
Resumen de cuentas de balance general y estado de resultados que sean necesarias para verificar los requisitos habilitantes de capacidad financiera y organizacional
Capacidad Financiera
Capacidad Organizacional
Introducción
Colombia Compra Eficiente tiene dentro de sus funciones, elaborar y difundir instrumentos y herramientas que faciliten las compras y la contratación pública y promover las mejores prácticas, la eficiencia, transparencia y competitividad.
En cumplimiento de esta función, ha desarrollado el presente Manual para determinar y verificar los requisitos habilitantes en los Procesos de Contratación para apoyar a los partícipes del sistema de compras y contratación.
Las expresiones utilizadas en el presente documento con mayúscula inicial deben ser entendidas con el significado que establece el Decreto número 1510 de 2013. Los términos definidos son utilizados en singular y en plural según lo requiera el contexto en el cual son utilizados. Los términos no definidos deben entenderse de acuerdo con su significado natural y obvio.
I. Aspectos Generales
A. ¿Qué son y para qué sirven los requisitos habilitantes en el Proceso de Contratación?
Los requisitos habilitantes miden la aptitud del proponente para participar en un Proceso de Contratación como oferente y están referidos a su capacidad jurídica, financiera, organizacional y su experiencia[1].
El propósito de los requisitos habilitantes es establecer unas condiciones mínimas para los proponentes de tal manera que la Entidad Estatal sólo evalúe las ofertas de aquellos que están en condiciones de cumplir con el objeto del Proceso de Contratación.
El proponente es quien debe presentar los documentos para acreditar los requisitos habilitantes en un Proceso de Contratación. Los requisitos habilitantes siempre se refieren a las condiciones de un oferente y nunca de la oferta.
La Entidad Estatal debe verificar si los oferentes cumplen o no los requisitos habilitantes. El cumplimiento de los requisitos habilitantes en un Proceso de Contratación no otorga puntaje alguno, excepto en el caso de la experiencia de los consultores[2].
Si el Proceso de Contratación requiere que los oferentes cuenten con RUP[3], la Entidad Estatal debe exigir en los Documentos del Proceso como mínimo los indicadores establecidos en este registro[4]. Sin embargo, puede pedir indicadores adicionales, caso en el cual debe verificarlos directamente mediante documentos adicionales (ver sección I.C. de este Manual).
Si en el Proceso de Contratación no es obligatorio que los oferentes cuenten con RUP, la Entidad Estatal de forma autónoma debe definir la forma de acreditar los requisitos habilitantes de experiencia, capacidad jurídica, capacidad financiera y capacidad organizacional. En este caso, la Entidad Estatal debe establecer en los Documentos del Proceso los requisitos habilitantes exigidos y la forma de acreditarlos y verificarlos (ver Sección I.C. de este Manual).
La ley no exige establecer requisitos habilitantes en la modalidad de selección de contratación directa pues la Entidad Estatal escoge directamente a la persona natural o jurídica que debe ejecutar el objeto del Proceso de Contratación. Lo anterior sin perjuicio del deber de la Entidad Estatal de revisar la idoneidad del contratista y verificar su capacidad jurídica para obligarse y cumplir con el objeto del contrato.
La modalidad de selección de mínima cuantía tiene condiciones especiales que se especifican en el Manual de la modalidad de selección de mínima cuantía, disponible en http://www.colombiacompra.gov.co/manuales.
B. ¿Cómo establecer los requisitos habilitantes?
Las Entidades Estatales deben establecer los requisitos habilitantes de forma adecuada y proporcional a la naturaleza y valor del contrato[5]. Es muy importante comprender el alcance de la expresión adecuada y proporcional que busca que haya una relación entre el contrato y la experiencia del proponente y su capacidad jurídica, financiera y organizacional. Es decir, los requisitos habilitantes exigidos deben guardar proporción con el objeto del contrato, su valor, complejidad, plazo, forma de pago y el Riesgo asociado al Proceso de Contratación.
En los Procesos de Contratación que no son complejos es posible establecer requisitos habilitantes de baja exigencia. Por ejemplo, si el Proceso de Contratación es para la construcción de placa huellas es posible que la Entidad Estatal no exija experiencia adicional a la del título de ingeniero civil. Por el contrario, si el Proceso de Contratación es para la construcción de un viaducto, la Entidad Estatal debe exigir experiencia en la construcción de estructuras iguales o similares con una longitud inferior pero proporcional a la del objeto del Proceso de Contratación.
La Entidad Estatal debe establecer los requisitos habilitantes del Proceso de Contratación luego de haber adelantado el análisis para conocer el sector relativo al objeto del Proceso de Contratación (ver la Guía para la Elaboración de Estudios de Sector en http://www.colombiacompra.gov.co/manuales), que incluye el conocimiento de fondo de los posibles oferentes desde el punto de vista comercial y el análisis de Riesgo (ver el Manual para la identificación y cobertura del Riesgo en los Procesos de Contratación en http://www.colombiacompra.gov.co/manuales). Este análisis permite conocer las particularidades correspondientes a cada sector económico, como el tamaño empresarial de los posibles oferentes, su modelo de negocio y si es posible que se presenten proponentes plurales.
Estas particularidades deben ser tenidas en cuenta para evitar direccionar los requisitos habilitantes hacia un tipo de proponente.
La promoción de la competencia es uno de los objetivos del sistema de compras y contratación pública, por lo cual es muy importante tener en cuenta que los requisitos habilitantes no son ni pueden ser una forma de restringir la participación en los Procesos de Contratación. El sistema de compras y contratación pública debe promover la participación de más proponentes y el crecimiento de la industria nacional de bienes y servicios y por eso los requisitos habilitantes deben ser adecuados y proporcionales.
Para determinar si los requisitos habilitantes son adecuados y proporcionales, Colombia Compra Eficiente recomienda a la Entidad Estatal hacerse las siguientes preguntas durante la elaboración de los Documentos del Proceso:
- ¿La experiencia exigida es apropiada considerando el valor y la complejidad del contrato?
- ¿La capacidad financiera exigida para el Proceso de Contratación es acorde con las condiciones financieras del mercado de los bienes y servicios a los que se refiere el Proceso de Contratación?
- ¿Los requisitos habilitantes permiten la participación de la mayoría de los actores del mercado que ofrecen los bienes y servicios a los que se refiere el Proceso de Contratación?
- ¿Quien cumple con los requisitos habilitantes está en posibilidad de cumplir con el objeto del contrato dentro del cronograma y el presupuesto previstos en el Proceso de Contratación?
C. Acreditación de los requisitos habilitantes
El Registro Único de Proponentes es el instrumento a través del cual los proponentes acreditan su capacidad jurídica, financiera, organizacional y su experiencia. El certificado del RUP es la prueba de tales condiciones, por lo que las Entidades Estatales no pueden solicitar a los oferentes documentación adicional para verificar la información contenida en el mismo.
El RUP no es exigible en algunos Procesos de Contratación, como en la contratación directa, la mínima cuantía, la prestación de servicios de salud, enajenación de bienes del Estado, la adquisición de productos de origen o destinación agropecuaria ofrecidos en bolsas de productos, los contratos de concesión y los contratos que celebren las empresas industriales y comerciales del Estado y las sociedades de economía mixta, que tengan por objeto el desarrollo de sus actividades industriales y comerciales[6]. La no exigencia del RUP no quiere decir que la Entidad Estatal no establezca requisitos habilitantes (ver sección I.A anterior).
Las personas naturales o jurídicas extranjeras sin domicilio o sucursal en Colombia, no están obligadas a estar inscritas en el RUP, por lo cual las Entidades Estatales deben verificar directamente el cumplimiento de los requisitos habilitantes. Para el efecto, Colombia Compra Eficiente sugiere incluir en los pliegos de condiciones modelos de certificados con los cuales los proponentes acrediten los requisitos habilitantes (ver Sección VIII de este Manual).
Las Entidades Estatales pueden solicitar indicadores de capacidad financiera y capacidad organizacional adicionales a los incluidos en el RUP siempre y cuando dichos requisitos adicionales sean apropiados frente a los Riesgos, el estudio del sector, el valor y el objeto del Proceso de Contratación. En ese caso, la Entidad Estatal debe solicitar la documentación para verificar directamente el cumplimiento de los requisitos.
D. Subsanación de requisitos habilitantes
En caso de identificar inconsistencias o errores en los documentos con los cuales los proponentes acrediten el cumplimiento de los requisitos habilitantes, la Entidad Estatal debe solicitarles aclarar, completar o corregir dichos documentos en un plazo razonable y adecuado. La Entidad Estatal debe hacer esta solicitud en igualdad de condiciones para todos los proponentes, en cualquier momento hasta la adjudicación o hasta la subasta en los Procesos de Contratación que la prevén.
La Entidad Estatal debe evaluar las ofertas de los proponentes que hayan acreditado que cumplen con los requisitos habilitantes. En consecuencia, la Entidad Estatal debe rechazar las ofertas de quienes no aclaren, completen o corrijan la información para acreditar los requisitos habilitantes en el plazo establecido para el efecto.
No hay lugar a aclarar, completar o corregir la información para acreditar los requisitos habilitantes cuando: (i) el proponente pretenda demostrar circunstancias ocurridas con posterioridad a la fecha de presentación de las ofertas; (ii) el proponente pretenda sanear su falta de capacidad en el momento de la presentación de la oferta, y (iii) cuando la aclaración, complemento o corrección no se refiera directamente al proponente y busque mejorar la oferta.
Las Entidades Estatales no pueden señalar en los pliegos de condiciones cuáles documentos o el tipo de información que son subsanables.
II. Experiencia
La experiencia es el conocimiento del proponente derivado de su participación previa en actividades iguales o similares a las previstas en el objeto del contrato.
Los proponentes deben registrar en el RUP los contratos que hayan celebrado para prestar los bienes y servicios que pretenden ofrecer a las Entidades Estatales, identificando los bienes, obras y servicios con el Clasificador de Bienes y Servicios en el tercer nivel y expresar el valor del contrato respectivo en smmlv. El registro debe contener la experiencia adquirida de forma directa o a través de la participación del proponente en sociedades, consorcios o uniones temporales. Esta experiencia se obtiene con contratantes públicos, privados, nacionales o extranjeros. No hay límite frente al número de contratos o a la fecha en la cual estos fueron celebrados.
Cuando el proponente no puede obtener el certificado o quiere certificar la experiencia derivada de contratos suscritos con personas naturales o jurídicas que dejaron de existir, puede presentar ante la Cámara de Comercio copia del contrato correspondiente[7].
La experiencia requerida en un Proceso de Contratación debe ser adecuada y proporcional a la naturaleza del contrato y su valor. La experiencia es adecuada cuando es afín al tipo de actividades previstas en el objeto del contrato a celebrar. Por ejemplo, si el Proceso de Contratación es para un servicio de aseo general, el proponente debe tener experiencia en el servicio de aseo, sin que sea relevante el lugar en el cual ha prestado el servicio o quién ha sido el contratante.
La experiencia es proporcional cuando tiene relación con el alcance, la cuantía y complejidad del contrato a celebrar. Por ejemplo, en un Proceso de Contratación de obra pública con un presupuesto oficial de 100 smmlv, la experiencia exigida es proporcional si la Entidad Estatal exige que los proponentes hayan participado en Procesos de Contratación de 50 smmlv del mismo tipo de obra.
La experiencia no se agota con el paso del tiempo y por el contrario los proponentes adquieren mayor experiencia con el paso del tiempo en la medida en que continúen con sus actividades.
La experiencia del oferente plural (unión temporal, consorcio y promesa de sociedad futura) corresponde a la suma de la experiencia que acredite cada uno de los integrantes del proponente plural.
Por otra parte, cuando un proponente adquiere experiencia en un contrato como integrante de un contratista plural, la experiencia derivada de ese contrato corresponde a la ponderación del valor del contrato por el porcentaje de participación.
III. Capacidad Jurídica
La capacidad jurídica es la facultad de una persona para celebrar contratos con una Entidad Estatal, es decir (i) obligarse a cumplir el objeto del contrato; y (ii) no estar incursa en inhabilidades o incompatibilidades que impidan la celebración del contrato.
A. Persona natural
Las personas naturales mayores de dieciocho (18) años son capaces jurídicamente a menos que estén expresamente inhabilitadas por decisión judicial o administrativa, como la interdicción judicial, y que no estén incursas en inhabilidades, incompatibilidades o prohibiciones para contratar derivadas de la ley.
B. Persona jurídica
La capacidad jurídica de las personas jurídicas está relacionada con: (i) la posibilidad de adelantar actividades en el marco de su objeto social; (ii) las facultades de su representante legal y la autorización del órgano social competente cuando esto es necesario de acuerdo con sus estatutos sociales; y (iii) la ausencia de inhabilidades, incompatibilidades o prohibiciones para contratar, derivadas de la ley.
Es importante tener en cuenta que hay actividades reguladas que requieren además de la autorización de la autoridad competente, como es el caso de la prestación de servicios de vigilancia que requiere autorización de la Superintendencia de Vigilancia y Seguridad Privada, o la venta de combustible que requiere de los permisos y autorizaciones establecidos por el Ministerio de Minas y Energía.
C. Inhabilidades e incompatibilidades
Las inhabilidades e incompatibilidades están establecidas para asegurar los intereses públicos y proteger la transparencia, objetividad e imparcialidad en las relaciones entre el Estado y los particulares.
El régimen de inhabilidades e incompatibilidades es de aplicación restrictiva, por lo cual cuando existen varias interpretaciones posibles sobre una inhabilidad o incompatibilidad, debe preferirse la que menos limita los derechos de las personas.
Todas las Entidades Estatales sometidas o no a la Ley 80 de 1993 y a la Ley 1150 de 2007 están obligadas a respetar el régimen de inhabilidades e incompatibilidades para contratar con el Estado.
Las inhabilidades son una limitación a la capacidad de contratar con Entidades Estatales y están expresamente señaladas en la ley, que establece que no son hábiles para participar en Procesos de Contratación[8] quienes están en las siguientes situaciones:
a) Las personas que se hallen inhabilitadas para contratar por la Constitución y las leyes;
b) Quienes participaron en las licitaciones o celebraron los contratos de que trata el literal anterior estando inhabilitados. Esta inhabilidad se extenderá por el término de 5 años a partir de la participación en la licitación;
c) Quienes dieron lugar a la declaratoria de caducidad. Esta inhabilidad se extenderá por el término de 5 años contados a partir de la fecha de declaratoria del acto de caducidad;
d) Quienes han sido condenados por sentencia judicial a la pena accesoria de interdicción de derechos y funciones públicas y quienes hayan sido sancionados disciplinariamente con destitución. Esta inhabilidad se extenderá por el término de 5 años contados a partir de la ejecutoria de la sentencia que impuso la pena;
e) Quienes sin justa causa se abstengan de suscribir el contrato estatal adjudicado. Esta inhabilidad se extenderá por el término de 5 años a partir de la fecha en que expiró el plazo para la firma;
f) Los servidores públicos;
g) Quienes sean cónyuges o compañeros permanentes[9] y quienes se encuentren dentro del segundo grado de consanguinidad o segundo de afinidad con cualquier otra persona que formalmente haya presentado propuesta para una misma licitación o concurso;
h) Las sociedades distintas de las anónimas abiertas, en las cuales el representante legal o cualquiera de sus socios tenga parentesco en segundo grado de consanguinidad o segundo de afinidad con el representante legal o con cualquiera de los socios de una sociedad que formalmente haya presentado propuesta, para una misma licitación o concurso.
i) Los socios de sociedades de personas a las cuales se haya declarado la caducidad, así como las sociedades de personas de las que aquellos formen parte con posterioridad a dicha declaratoria. Esta inhabilidad se extenderá por el término de 5 años contados a partir de la fecha de declaratoria del acto de caducidad;
j) Las personas naturales que hayan sido declaradas responsables judicialmente por la comisión de delitos contra la Administración Pública cuya pena sea privativa de la libertad, o soborno transnacional, con excepción de delitos culposos. Esta inhabilidad se extenderá a las sociedades de que sean socias tales personas, sus matrices y subordinadas, con excepción de las sociedades anónimas abiertas y se extiende por un término de 20 años;
k) Las personas que hayan financiado campañas políticas a la Presidencia de la República, a las gobernaciones o a las alcaldías con aportes superiores al 2,5% de las sumas máximas a invertir por los candidatos en las campañas electorales en cada circunscripción electoral, respecto de las Entidades Estatales, incluyendo las descentralizadas del respectivo nivel administrativo, para el cual fue elegido el candidato y respecto de los contratos distintos al de prestación de servicios profesionales. Esta inhabilidad es por el periodo para el cual el candidato fue elegido y opera también para las personas que se encuentren dentro del segundo grado de consanguinidad, segundo de afinidad, o primero civil de la persona que ha financiado la campaña política. Esta inhabilidad comprende también a las sociedades existentes o que llegaren a constituirse distintas de las anónimas abiertas, en las cuales el representante legal o cualquiera de sus socios hayan financiado directamente o por interpuesta persona campañas políticas a la Presidencia de la República, a las gobernaciones y las alcaldías;
l) Quienes fueron servidores públicos en cargos de nivel directivo y las sociedades a las cuales están vinculados durante un término de 2 años contados a partir del retiro del cargo cuando el objeto que desarrollan tiene relación con el sector al cual prestaron sus servicios. Esta inhabilidad se extiende a las personas que están dentro del primer grado de consanguinidad, primero de afinidad, o primero civil de quien fue servidor público;
m) El interventor que incumpla el deber de entregar información a la Entidad Estatal relacionada con el incumplimiento del contrato, con hechos o circunstancias que puedan constituir actos de corrupción tipificados como conductas punibles, o que puedan poner o pongan en riesgo el cumplimiento del contrato. Esta inhabilidad se extenderá por un término de cinco (5) años, contados a partir de la ejecutoria del acto administrativo que así lo declare, previa la actuación administrativa correspondiente;
n) El contratista que incurra en una de las siguientes conductas: (i) haber sido objeto de imposición de 5 multas o más durante la ejecución de uno o varios contratos, durante una misma vigencia fiscal con una o varias Entidades Estatales; (ii) haber sido objeto de declaratorias de incumplimiento contractual en por lo menos 2 contratos durante una misma vigencia fiscal, con una o varias Entidades Estatales; (iii) haber sido objeto de imposición de 2 multas y 1 incumplimiento durante una misma vigencia fiscal, con una o varias Entidades Estatales. La inhabilidad será por 3 años, contados a partir de la inscripción de la última multa o incumplimiento en el RUP, de acuerdo con la información remitida por las Entidades Estatales.
Por otra parte, el artículo 8 de la Ley 80 de 1993 señala que no podrán participar en licitaciones o concursos ni celebrar contratos estatales con la Entidad Estatal respectiva[10]:
a) Quienes fueron miembros de la junta o consejo directivo o servidores públicos de la Entidad Estatal contratante. Esta incompatibilidad sólo comprende a quienes desempeñaron funciones en los niveles directivo, asesor o ejecutivo y se extiende por el término de un (1) año, contado a partir de la fecha del retiro;
b) Las personas que tengan vínculos de parentesco, hasta el segundo grado de consanguinidad, segundo de afinidad o primero civil con los servidores públicos de los niveles directivo, asesor, ejecutivo o con los miembros de la junta o consejo directivo, o con las personas que ejerzan el control interno o fiscal de la entidad contratante;
c) El cónyuge, compañero o compañera permanente[11] del servidor público en los niveles directivo, asesor, ejecutivo, o de un miembro de la junta o consejo directivo, o de quien ejerza funciones de control interno o de control fiscal;
d) Las corporaciones, asociaciones, fundaciones y las sociedades anónimas que no tengan el carácter de abiertas, así como las sociedades de responsabilidad limitada y las demás sociedades de personas en las que el servidor público en los niveles directivo, asesor o ejecutivo, o el miembro de la junta o consejo directivo, o el cónyuge, compañero o compañera permanente o los parientes hasta el segundo grado de consanguinidad, afinidad o civil de cualquiera de ellos, tenga participación o desempeñen cargos de dirección o manejo. Esta causal de incompatibilidad no aplica cuando por disposición legal o estatutaria el servidor público en los niveles referidos debe desempeñar en ellas cargos de dirección o manejo;
e) Los miembros de las juntas o consejos directivos. Esta incompatibilidad sólo se predica respecto de la entidad a la cual prestan sus servicios y de las del sector administrativo al que la misma esté adscrita o vinculada;
f) Directa o indirectamente las personas que hayan ejercido cargos en el nivel directivo en Entidades Estatales y las sociedades en las cuales estos hagan parte o estén vinculados a cualquier título, durante los dos (2) años siguientes al retiro del ejercicio del cargo público, cuando el objeto que desarrollen tenga relación con el sector al cual prestaron sus servicios.
Esta incompatibilidad también opera para las personas que se encuentren dentro del primer grado de consanguinidad, primero de afinidad, o primero civil del ex empleado público.
En las causales de inhabilidad por parentesco o por matrimonio, los vínculos desaparecen por muerte o por disolución del matrimonio o de la unión marital de hecho.
IV. Capacidad Financiera
Los indicadores de capacidad financiera buscan establecer unas mínimas condiciones que reflejan la salud financiera de los proponentes a través de su liquidez y endeudamiento. Estas condiciones muestran la aptitud del proponente para cumplir oportuna y cabalmente el objeto del contrato.
La capacidad financiera requerida en un Proceso de Contratación debe ser adecuada y proporcional a la naturaleza y al valor del contrato. En consecuencia, la Entidad Estatal debe establecer los requisitos de capacidad financiera con base en su conocimiento del sector relativo al objeto del Proceso de Contratación y de los posibles oferentes (ver la Guía para la Elaboración de Estudios de Sector en http://www.colombiacompra.gov.co/manuales).
En atención a la naturaleza del contrato a suscribir y de su valor, plazo y forma de pago, la Entidad Estatal debe hacer uso de los indicadores que considere adecuados respecto al objeto del Proceso de Contratación.
Las Entidades Estatales no deben limitarse a determinar y aplicar de forma mecánica fórmulas financieras para determinar los indicadores. Deben conocer cada indicador, sus fórmulas de cálculo y su interpretación.
A. Indicadores de capacidad financiera
Los indicadores de capacidad financiera contenidos en el artículo 10 del Decreto número 1510 de 2013 y que en consecuencia, deben estar contenidos en el RUP a partir de 2014 son:
- Índice de Liquidez = Activo Corriente / Pasivo Corriente, el cual determina la capacidad que tiene un proponente para cumplir con sus obligaciones de corto plazo. A mayor índice de liquidez, menor es la probabilidad de que el proponente incumpla sus obligaciones de corto plazo.
- Índice de Endeudamiento = Pasivo Total / Activo Total, el cual determina el grado de endeudamiento en la estructura de financiación (pasivos y patrimonio) del proponente. A mayor índice de endeudamiento, mayor es la probabilidad del proponente de no poder cumplir con sus pasivos.
- Razón de Cobertura de Intereses = Utilidad Operacional / Gastos de Intereses, el cual refleja la capacidad del proponente de cumplir con sus obligaciones financieras. A mayor cobertura de intereses, menor es la probabilidad de que el proponente incumpla sus obligaciones financieras.
La Entidad Estatal debe determinar cada requisito habilitante teniendo en cuenta lo que mide el indicador. Si el indicador representa una mayor probabilidad de Riesgo a medida que su valor es mayor, la Entidad Estatal debe fijar como requisito un valor máximo y si el indicador representa una menor probabilidad de Riesgo a medida que su valor sea mayor, la Entidad Estatal debe fijar un mínimo. Por ejemplo, a mayor índice de endeudamiento, mayor es la probabilidad de que el contratista incumpla sus obligaciones, por lo que la Entidad Estatal debe fijar un valor máximo para este índice, el cual debe ser adecuado y proporcional para el Proceso de Contratación.
La siguiente tabla muestra la interpretación de cada uno de los indicadores de capacidad financiera que debe contener el RUP y su relación con la probabilidad de Riesgo:
| Indicador | Si el indicador es mayor, la probabilidad de Riesgo es | Límite[12] |
| Índice de liquidez | Menor | Mínimo |
| Índice de endeudamiento | Mayor | Máximo |
| Razón de cobertura de intereses | Menor | Mínimo |
B. Indicadores adicionales de capacidad financiera
Las Entidades Estatales pueden establecer indicadores adicionales a los establecidos en el numeral 3 del artículo 10 del Decreto número 1510 de 2013, solo en aquellos casos en que sea necesario por las características del objeto a contratar, la naturaleza o complejidad del Proceso de Contratación.
Es importante tener en cuenta que los indicadores pueden ser índices como en el caso del índice de liquidez (activo corriente dividido por el pasivo corriente) o valores absolutos como el capital de trabajo y el patrimonio.[12]
La siguiente tabla presenta algunos indicadores adicionales de capacidad financiera:
| Indicador | Fórmula | Observaciones |
| Capital de trabajo | Activo corriente - Pasivo corriente | Este indicador representa la liquidez operativa del proponente, es decir el remanente del proponente luego de liquidar sus activos corrientes (convertirlos en efectivo) y pagar el pasivo de corto plazo. Un capital de trabajo positivo contribuye con el desarrollo eficiente de la actividad económica del proponente. Es recomendable su uso cuando la Entidad Estatal requiere analizar el nivel de liquidez en términos absolutos. |
| Razón de efectivo | EfectivoPasivo corriente | El efectivo es el activo con mayor grado de liquidez que tiene un proponente. La razón de efectivo considera la relación entre la disposición inmediata de recursos y las obligaciones de corto plazo. Es recomendable su uso cuando la liquidez es un factor primordial para lograr con éxito el objeto del Proceso de Contratación. |
| Indicador | Fórmula | Observaciones |
| Prueba ácida | Activo corriente - InventariosPasivo corriente | Mide la liquidez del proponente de manera más estricta que el índice de liquidez pues no tiene en cuenta su inventario. El inventario es excluido teniendo en cuenta que es la cuenta menos líquida del activo corriente y no debe ser usada para pagar las obligaciones de corto plazo. |
| Concentración de endeudamiento a corto plazo | Pasivo corrientePasivo total | Mide la proporción de la deuda del proponente a corto plazo (menor a 1 año) sobre la totalidad de su deuda. Es recomendable incluir este indicador cuando existe un Riesgo asociado al no pago de la deuda de corto plazo, por lo cual un alto nivel de endeudamiento de corto plazo puede afectar la habilidad del proponente para cumplir con el objeto del contrato. |
| Concentración de endeudamiento a largo plazo | Pasivo no corrientePasivo total | Mide la proporción de la deuda del proponente a largo plazo (mayor a 1 año) sobre la totalidad de su deuda. Es recomendable incluir este indicador cuando: (i) existe un Riesgo asociado al no pago de la deuda de largo plazo, por lo cual un alto nivel de endeudamiento de largo plazo puede afectar la habilidad del proponente para cumplir con el objeto del contrato; y (ii) el término del contrato es mayor a 1 año. |
| Patrimonio | Activo total - Pasivo total | Mide la cantidad de recursos propios del proponente. Es recomendable su uso cuando la Entidad Estatal requiere analizar la cantidad de recursos propios en términos absolutos, cuando el presupuesto del Proceso de Contratación es alto, y la Entidad Estatal debe asegurar la continuidad del proponente en el tiempo. |
V. Capacidad Organizacional
La capacidad organizacional es la aptitud de un proponente para cumplir oportuna y cabalmente el objeto del contrato en función de su organización interna. El Decreto número 1510 de 2013 definió los indicadores de rentabilidad para medir la capacidad organizacional de un proponente teniendo en cuenta que está bien organizado cuando es rentable.
A. Indicadores de capacidad organizacional
Los indicadores de capacidad organizacional contenidos en el artículo 10 del Decreto número 1510 de 2013, y que en consecuencia deben estar contenidos en el RUP a partir de 2014 son:
- Rentabilidad sobre patrimonio: Utilidad Operacional / Patrimonio, el cual determina la rentabilidad del patrimonio del proponente, es decir, la capacidad de generación de utilidad operacional por cada peso invertido en el patrimonio. A mayor rentabilidad sobre el patrimonio, mayor es la rentabilidad de los accionistas y mejor la capacidad organizacional del proponente.
- Rentabilidad sobre activos: Utilidad Operacional / Activo Total, el cual determina la rentabilidad de los activos del proponente, es decir, la capacidad de generación de utilidad operacional por cada peso invertido en el activo. A mayor rentabilidad sobre activos, mayor es la rentabilidad del negocio y mejor la capacidad organizacional del proponente. Este indicador debe ser siempre menor o igual que el de rentabilidad sobre patrimonio.
La determinación de cada requisito habilitante debe estar enmarcada en el análisis y el concepto de lo que mide el indicador. Si el indicador representa una mayor probabilidad de Riesgo a medida que su valor es mayor, la Entidad Estatal debe fijar un valor máximo para el requisito habilitante. Si el indicador representa una menor probabilidad de Riesgo a medida que su valor es mayor, la Entidad Estatal debe fijar un mínimo.
La siguiente tabla muestra la interpretación de cada uno de los indicadores de capacidad organizacional que debe contener el RUP y su relación con el Riesgo:
| Indicador | Si el indicador es mayor, la probabilidad de Riesgo es | Límite[13] |
| Rentabilidad del patrimonio | Menor | Mínimo |
| Rentabilidad del activo | Menor | Mínimo |
B. Indicadores adicionales de capacidad organizacional [13]
Las Entidades Estatales pueden establecer indicadores de capacidad organizacional adicionales a los establecidos en el numeral 4 del artículo 10 del Decreto número 1510 de 2013, solo en aquellos casos en que por las características del objeto a contratar, la naturaleza o complejidad del Proceso de Contratación, se requiera.
La tabla a continuación presenta algunos indicadores adicionales de capacidad organizacional que las Entidades Estatales pueden incluir para medir el rendimiento de las inversiones y la eficiencia en el uso de los activos. Colombia Compra Eficiente sugiere a las Entidades Estatales hacer un análisis financiero completo antes de usar los siguientes indicadores para asegurar que sean relevantes en el Proceso de Contratación.
| Indicador | Fórmula |
| Margen bruto | |
| Margen operacional | |
| Margen neto | |
| Retorno sobre capital invertido | |
| Rotación de activos totales | |
| Rotación de activos fijos | |
| Rotación de inventarios |
VI. Cómo fijar los indicadores de capacidad financiera y de capacidad organizacional
La Entidad Estatal debe establecer el límite para los indicadores de capacidad financiera y capacidad organizacional como resultado del análisis de los criterios establecidos en la sección I.B. y evitar hacerlo de manera mecánica pues cada Proceso de Contratación tiene una naturaleza distinta y está asociado a Riesgos particulares.
La Entidad Estatal debe determinar los indicadores de capacidad financiera y capacidad organizacional, y la relación de dependencia entre cada indicador y la ejecución del contrato. Entre más fuerte sea esta relación, más riguroso debe ser el análisis de los datos para establecer los límites de los requisitos habilitantes y los indicadores previstos deben ser más exigentes.
En el caso de que no exista una relación de dependencia fuerte entre cada indicador y la ejecución del contrato, la Entidad Estatal debe tener precaución para no excluir posibles proponentes que aunque, para un indicador específico tengan un peor desempeño que el promedio de su sector, estén en capacidad de participar en el Proceso de Contratación y cumplir con el objeto del contrato. Para ello, la Entidad Estatal puede fijar límites más flexibles dados por el comportamiento del sector económico estudiando por ejemplo, los valores máximos y mínimos del indicador para las empresas objeto de análisis.
La Guía para la Elaboración de Estudios de Sector (http://www.colombiacompra.gov.co/manuales) señala cómo efectuar cálculos que permiten comprender las estadísticas del sector estudiado con el fin de tener herramientas que ayuden a definir el límite de los indicadores.
La Entidad Estatal debe establecer el límite apropiado de los indicadores teniendo en cuenta el tamaño de la muestra (número de datos de la muestra), pues de este depende la calidad del análisis de la información. A mayor tamaño de la muestra, mayor es la confianza en las conclusiones del análisis porque la muestra comprende una mejor representación del comportamiento del sector. Cuando la muestra comprende pocos datos, cabe la posibilidad de que los datos recogidos parezcan datos típicos[14], cuando realmente no lo son. No obstante, incluso en muestras de mayor tamaño, pueden existir datos atípicos[15], los cuales pueden distorsionar el estudio de la muestra.
Colombia Compra Eficiente recomienda a la Entidad Estatal analizar los datos contenidos en la muestra mediante herramientas gráficas y estadísticas. Graficar los datos permite ver su comportamiento general e identificar sus características principales. Después, es importante calcular medidas estadísticas básicas para entender el comportamiento del indicador en el sector económico analizado. La Guía para la Elaboración de Estudios de Sector (http://www.colombiacompra.gov.co/manuales) contiene metodologías sugeridas para realizar estos análisis gráficos y estadísticos.
Una vez la Entidad Estatal establezca el valor que resulte del análisis gráfico y estadístico, debe validar el límite de acuerdo con lo mencionado en la sección I.B de este Manual.
Debido a que hay indicadores que resultan de realizar divisiones entre valores, la Entidad Estatal debe establecer explícitamente en los Documentos del Proceso una regla para determinar cómo evaluará el indicador cuando el denominador es cero, pues en este caso no es posible realizar esta operación matemática. Por ejemplo en el caso del indicador de cobertura de intereses, puede haber empresas que no presentan obligaciones financieras y por ende no incurren en gastos financieros, es decir, el denominador es cero (0) y no sería posible calcular el indicador. En este caso, la regla puede ser que el proponente que no tiene obligaciones financieras resulta habilitado.
Ejemplo:
La Entidad Estatal cuenta con información financiera de 15 potenciales oferentes. La siguiente tabla presenta el índice de endeudamiento de cada uno de ellos:
Índice de endeudamiento (%)
68
55
47
50
92
56
60
49
29
26
80
53
98
52
61
Para tener una idea del comportamiento del índice de endeudamiento de la muestra del sector, la Entidad Estatal procede a construir el gráfico tallo-hoja para ver la concentración de los datos:
1. Definición del tallo y hoja: Para este ejemplo, el tallo corresponde al primer dígito del índice de endeudamiento. La hoja corresponde al segundo dígito del número.
2. Orden de los valores: Los tallos deben ser ordenados verticalmente en orden creciente y se enumeran las hojas correspondientes a cada tallo en sentido horizontal de menor a mayor.
| Tallo | Hojas |
| 0 | |
| 1 | |
| 2 | 69 |
| 3 | |
| 4 | 79 |
| 5 | 02356 |
| 6 | 018 |
| 7 | |
| 8 | 0 |
| 9 | 28 |
| 0 | 10 |
El gráfico anterior permite a la Entidad Estatal observar la concentración de los datos delimitando los valores más y menos frecuentes. Los menos frecuentes son los ubicados en los extremos del gráfico y corresponden a aquellos proveedores que tienen un bajo o alto índice de endeudamiento (20%-29% y 90%-99%). Los más frecuentes se evidencian en el pico del gráfico y corresponden a los proveedores que tienen un índice de endeudamiento entre el 50% y 59%. Este último representa el rango donde se encuentra la mayoría de los datos. Es importante recalcar que si la muestra no tiene un número aceptable de proponentes, la Entidad Estatal no puede reconocer si un dato corresponde a un valor atípico o a un valor que se comporta como el promedio. El anterior gráfico permite concluir que la mayoría de los posibles oferentes tienen un índice de endeudamiento entre el 40% y 60%. Adicionalmente, hay posibles oferentes con índices de endeudamiento altos y bajos tanto en el extremo superior como en el extremo inferior.
El cálculo estadístico brinda una fuente adicional para analizar el comportamiento del indicador de endeudamiento en el sector. La siguiente tabla presenta las medidas calculadas para el presente ejercicio[16]:
| Promedio | 58% |
| Desviación estándar | 19% |
| Mediana | 53% |
Es posible concluir que la desviación de los datos es bastante alta en comparación al promedio debido a la distorsión que generan los datos extremos.
La distorsión generada por los datos extremos puede llegar a afectar el análisis del índice de endeudamiento de la muestra. Para corregir lo anterior es conveniente el uso de la media podada[17] para suavizar el impacto de los datos atípicos. En el ejemplo, la Entidad Estatal define un lo cual implica podar 20% de los datos (10% en cada extremo). Para calcular el número de observaciones que es necesario eliminar de la muestra, la Entidad Estatal debe multiplicar por el tamaño de la muestra lo cual resulta en 1,5 observaciones (15 observaciones x 10%). Como es necesario determinar un número entero de datos, la Entidad Estatal define redondear hacia arriba (1,5 ? 2).
Con base en lo anterior, el tamaño de la muestra para el cálculo de la media podada es de 11 datos, donde los 2 datos con índices de endeudamiento más bajos y los 2 datos con índices de endeudamiento más altos fueron descartados. A continuación el gráfico tallo-hoja construido a partir de la nueva muestra:
| 3 | |
| 4 | 79 |
| 5 | 02356 |
| 6 | 018 |
| 7 | |
| 8 | 0 |
Respecto a la nueva muestra, las medidas calculadas son:
| Media Podada | 57% |
| Desviación Estándar | 10% |
La anterior información permite concluir que la media podada sirve para disminuir la dispersión (desviación estándar) de la muestra. En el primer escenario, la desviación estándar era de 19%. En la actual muestra la desviación estándar disminuyó a 10%. Por otra parte, la gran mayoría de las empresas de la muestra tienen índices de endeudamiento que se encuentran a menos de una desviación estándar de la media, es decir entre 47% y 67%.
La Entidad Estatal debe definir un índice de endeudamiento máximo, para lo cual debe encontrar un límite que sea acorde con el análisis del sector económico y la naturaleza del Proceso de Contratación incluyendo los Riesgos, la complejidad y valor del contrato.
El análisis estadístico del sector permite concluir que un índice de endeudamiento adecuado es de 70% teniendo en cuenta que (i) 67% es el límite superior de la media podada más la desviación estándar, y (ii) la muestra por su tamaño no representa la población total de proveedores.
Este valor permite tener un referente exclusivamente sectorial para validar el límite a incluir en el Proceso de Contratación. No obstante, si en el análisis de la naturaleza del contrato, la Entidad Estatal determina que el índice de endeudamiento no es un factor que incide significativamente en el cumplimiento oportuno de las obligaciones derivadas del contrato, puede flexibilizar aún más el índice de endeudamiento, es decir fijar un límite mayor. Por ejemplo, la Entidad Estatal puede sumar nuevamente la desviación estándar y en este caso podría establecer un índice de endeudamiento dos desviaciones estándar por encima de la media podada establecida, es decir de aproximadamente 80%. Por otro lado, si la muestra corresponde a una buena aproximación del comportamiento del sector, puede escoger el índice de endeudamiento máximo dentro de la muestra en estudio.
VII. Proponentes plurales
En un Proceso de Contratación se pueden presentar oferentes plurales por medio de uniones temporales, consorcios y promesas de sociedad futura. La Entidad Estatal debe determinar en los Documentos del Proceso, el procedimiento para calcular los indicadores de los oferentes plurales a partir de la información de cada integrante del oferente plural.
La Entidad Estatal es autónoma para establecer la forma como las uniones temporales, consorcios y promesas de sociedad futura acreditan el cumplimiento de los requisitos habilitantes.
La siguiente es la fórmula aplicable para los indicadores que son valores absolutos, como el capital de trabajo:

Donde n es el número de integrantes del oferente plural (unión temporal, consorcio o promesa de sociedad futura).
Para los indicadores que provienen de la división de cuentas de los estados financieros, Colombia Compra Eficiente sugiere las siguientes opciones:
1. Ponderación de los componentes de los indicadores
En esta opción cada uno de los integrantes del oferente aporta al valor total de cada componente del indicador, de acuerdo con su participación en la figura del oferente plural (unión temporal, consorcio o promesa de sociedad futura).
La siguiente es la fórmula aplicable para los indicadores que son índices en la opción 1:
![]()
Donde n es el número de integrantes del oferente plural (unión temporal, consorcio o promesa de sociedad futura).
Esta opción incentiva que el integrante del proponente plural con los mejores indicadores tenga una mayor participación en dicho proponente plural.
2. Suma de los componentes de los indicadores
En esta opción cada uno de los integrantes del oferente aporta al valor total de cada componente del indicador.

Donde n es el número de integrantes del oferente plural (unión temporal, consorcio o promesa de sociedad futura).
En esta opción el indicador es el mismo independientemente de la participación de los integrantes del oferente plural.
Los siguientes son dos ejemplos que ilustran el cálculo de los indicadores de capacidad financiera de un oferente plural siguiendo las recomendaciones anteriormente expuestas:
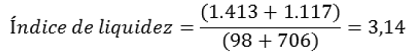
En un Proceso de Contratación se presenta un oferente plural conformado por dos miembros, A y B, quienes tienen una participación del 60% y 40% respectivamente. Para acreditar la capacidad financiera, la Entidad Estatal definió, además de los indicadores contenidos en el numeral 3 del artículo 10 del Decreto número 1510 de 2013, el indicador de capital de trabajo. La siguiente tabla presenta la información financiera de cada uno de los miembros del oferente plural y el cálculo individual de los indicadores. Los valores de las cuentas de los estados financieros y el indicador de capital de trabajo están expresados en millones de pesos colombianos:
| Cuentas | A | B |
| Activo corriente | 1.413 | 1.117 |
| Pasivo corriente | 98 | 706 |
| Activo total | 1.413 | 1.244 |
| Pasivo total | 855 | 1.021 |
| Utilidad operacional | 178 | 33 |
| Gastos de intereses | 59 | 4,4 |
| Índice de liquidez | 14,3 | 1,58 |
| Capital de trabajo | 1.315 | 411 |
| Índice de endeudamiento | 61% | 82% |
| Razón de cobertura de intereses | 3 | 7,4 |
El cálculo de los indicadores para el oferente plural de acuerdo con cada una de las opciones explicadas anteriormente es la siguiente:
Opción 1


![]()
Opción 2



![]()
VIII. Cómo verificar los requisitos habilitantes no certificados en el RUP
Colombia Compra Eficiente recomienda a las Entidades Estatales establecer en los Documentos del Proceso la forma en la cual: (i) los proponentes deben acreditar los indicadores exigidos que no están incluidos en el RUP; y (ii) los proponentes extranjeros no obligados a estar registrados en el RUP deben acreditar que cumplen con los requisitos habilitantes, bien sean proponentes individuales o integrantes de una unión temporal, consorcio o promesa de sociedad futura.
El proponente debe acreditar la experiencia exigida en los Documentos del Proceso para lo cual Colombia Compra Eficiente sugiere utilizar certificados en los cuales el representante legal del proponente acredite la experiencia, enumerando e identificando los contratos que le dieron la experiencia y el correo electrónico y el número de teléfono en el cual la Entidad Estatal puede verificar la veracidad de la experiencia contenida en el certificado. Para el efecto Colombia Compra Eficiente sugiere utilizar el certificado presentado en el Anexo 1 de este Manual. La Entidad Estatal también puede utilizar este formato para solicitar otro tipo de información que sea relevante para el Proceso de Contratación. Por ejemplo, en el caso de los Procesos de Contratación de sistemas de información, puede pedir para cada contrato una indicación de si el sistema de información está vigente o no. Cuando el proponente no puede obtener el certificado o quiere certificar la experiencia derivada de contratos suscritos con personas naturales o jurídicas que dejaron de existir, puede presentar ante la Entidad Estatal copia del contrato correspondiente.
La capacidad jurídica de las personas jurídicas colombianas que no están inscritas en el RUP se acredita mediante el certificado de existencia y representación legal y de ser necesario, mediante los estatutos sociales y eventualmente con poderes. Las Cámaras de Comercio del domicilio principal expiden el certificado de existencia y representación legal cuando se trata de sociedades comerciales, sucursales de sociedades extrajeras establecidas en Colombia, organizaciones civiles, corporaciones, fundaciones, juntas de acción comunal y demás entidades privadas sin ánimo de lucro.
De otra parte, la capacidad jurídica de las personas jurídicas extranjeras sin sucursal en Colombia se acredita mediante los documentos previstos por la legislación del país de origen, los cuales deben aportarse al Proceso de Contratación.
Para acreditar la capacidad financiera y la capacidad organizacional, Colombia Compra Eficiente sugiere utilizar certificados suscritos por el representante legal y el revisor fiscal o auditor del proponente, y si el proponente no está obligado a tener revisor fiscal, por su contador, y estar acompañado de los estados financieros auditados de corte anual más reciente. Para el efecto Colombia Compra Eficiente sugiere el certificado contenido en el Anexo 2 de este Manual.
Finalmente, Colombia Compra Eficiente recomienda incluir en los Documentos del Proceso la siguiente información relevante para la presentación de ofertas por parte de proponentes extranjeros:
Idioma - Los documentos con los cuales el proponente acredite sus requisitos habilitantes que hayan sido escritos originalmente en una lengua distinta al castellano, deben ser traducidos al castellano y ser presentados en su lengua original junto con la traducción al castellano. El proponente puede presentar una traducción simple al castellano. Si el proponente resulta adjudicatario para firmar el contrato debe presentar la traducción oficial al castellano de los documentos presentados en idioma extranjero. La traducción oficial debe ser el mismo texto presentado para acreditar los requisitos habilitantes.
Legalización de documentos - Los documentos presentados por los proponentes no requieren legalización alguna salvo los documentos otorgados en el exterior y los poderes generales o especiales que deben ser otorgados ante Notario Público.
Los proponentes deben poder entregar con su oferta los documentos otorgados en el exterior sin que sea necesaria su legalización de acuerdo con la Convención de la Apostilla. Para firmar el Contrato, el oferente que resulte adjudicatario debe presentar los documentos otorgados en el extranjero, legalizados de conformidad con la Convención de la Apostilla[18] o legalizados ante cónsul colombiano.
Fecha de corte de los estados financieros - Los oferentes extranjeros deben presentar sus estados financieros a la fecha de corte establecida en los países de origen o en sus estatutos sociales.
Moneda - Los oferentes deben presentar sus estados financieros en la moneda legal del país en el cual fueron emitidos y adicionalmente en pesos colombianos. El proponente y la Entidad Estatal para efectos de acreditar y verificar los requisitos habilitantes tendrán en cuenta la tasa representativa del mercado vigente en la fecha en la cual los estados financieros fueron expedidos. Para el efecto, el proponente y la Entidad Estatal tendrán en cuenta las tasas de cambio certificadas por la Superintendencia Financiera.
* * *
1 Numeral 1 del artículo 5o de la Ley 1150 de 2007.
2 Numeral 4 del artículo 5o de la Ley 1150 de 2007.
3 Segundo inciso del artículo 6o de la Ley 1150 de 2007.
4 Artículo 10 del Decreto número 1510 de 2013.
5 Numeral 1 del artículo 5o de la Ley 1150 de 2007.
6 Artículo 6o de la Ley 1150 de 2007.
7 Literal b) del numeral 1 y literal e) del numeral 2 del artículo 9o del Decreto número 1510 de 2013.
8 Artículo 8o de la Ley 80 de 1993. Disposiciones especiales como los artículos 3o, 5o y 90 de la Ley 1474 de 2011 y el Código Disciplinario Único contemplan otras causales de inhabilidad.
9 Comprende a los integrantes de las parejas del mismo sexo de acuerdo con la Sentencia C-029 de 28 de enero de 2009.
10 Otras disposiciones especiales como el inciso 3o del literal c) del numeral 4 del artículo 2o de la Ley 1150 de 2007 y el Código Disciplinario Único contemplan otras causales de incompatibilidad.
11 Comprende a los integrantes de las parejas del mismo sexo de acuerdo con la Sentencia C-029 de 28 de enero de 2009.
12 La Entidad Estatal debe establecer como requisito que el índice del proponente sea menor o igual que el límite máximo, o mayor o igual que el mínimo establecido para cada uno.
13 Ibídem.
14 Un dato típico es aquel que es numéricamente cercano a la mayoría de los datos de la muestra.
15 Un dato atípico es aquel numéricamente distante de la mayoría de los datos de la muestra.
16 Ver el Anexo 1 de la Guía para la Elaboración de Estudios de Sector.
17 Ver el Anexo 1 de la Guía para la Elaboración de Estudios de Sector.
18 Ley 455 de 1998.
Anexo 1 - Formato del certificado de acreditación de experiencia para cumplir con los requisitos habilitantes
[Llenar con el código que identifica el Proceso de Contratación]
| Oferente |
Formato de certificado de contratos
| Nombre del cliente | ||||||
| Nombre del contratista (oferente o miembro del oferente) | ||||||
| ¿El contratista es un proponente plural? | Porcentaje de participación | |||||
| Fecha Inicio | Fecha terminación | Duración en meses | ||||
| Monto contratado (incluido adiciones) | ||||||
| Objeto del contrato | ||||||
| Persona de contacto para verificación | ||||||
| Teléfono | Celular | |||||
| Dirección | ||||||
| Firma del cliente | ||||||
| Nombre | ||||||
| Cargo | ||||||
El Oferente acepta que [Llenar con el nombre de la Entidad Estatal] contacte al cliente para verificar la información contenida en el certificado.
Anexo 2 - Formato del certificado de acreditación de la capacidad financiera y capacidad organizacional para cumplir con los requisitos habilitantes
[Llenar con el código que identifica el Proceso de Contratación]
| Oferente |
Resumen de cuentas de balance general y estado de resultados que sean necesarias para verificar los requisitos habilitantes de capacidad financiera y organizacional
| Cuenta | Oferente Singular | Oferente Plural | ||
| Oferente (Valor en pesos colombianos) | Participante N°1 (Valor en pesos colombianos) | Participante N°2 (Valor en pesos colombianos) | Participante N°3 (Valor en pesos colombianos) | |
| Activo Corriente | ||||
| Activo Total | ||||
| Pasivo Corriente | ||||
| Pasivo Total | ||||
| Utilidad Operacional | ||||
| Gastos de intereses | ||||
| Fecha de corte de los estados financieros | ||||
* Si el oferente es plural y tiene más de tres participantes debe insertar las columnas adicionales en la tabla anterior.
Capacidad Financiera
| Oferente individual | Oferente Plural | ||||
| Porcentaje de participación | 100% | (Indicar % participación) | (Indicar % participación) | (Indicar % p articipación) | 100% |
| Indicador | Índice del Oferente | Índice del Participante N°1 | Índice del Participante N°2 | Índice del Participante N°3 | Índice del Oferente plural |
| Índice de Liquidez | |||||
| Índice de Endeudamiento | |||||
| Razón de Cobertura de Intereses | |||||
* Si el oferente es plural y tiene más de tres participantes debe insertar las columnas adicionales en la tabla anterior.
Capacidad Organizacional
| Oferente individual | Oferente Plural | ||||
| Porcentaje de participación | 100% | (Indicar % participación) | (Indicar % participación) | (Indicar % participación) | 100% |
| Indicador | Índice del Oferente | Índice del Participante N°1 | Índice del Participante N°2 | Índice del Participante N°3 | Índice del Oferente plural |
| Rentabilidad sobre activos | |||||
| Rentabilidad sobre el patrimonio | |||||
* Si el oferente es plural y tiene más de tres participantes debe insertar las columnas adicionales en la tabla anterior.
Adjunto al presente certificado están los estados financieros auditados más recientes, con sus notas. Declaramos bajo la gravedad de juramento, comprometiendo nuestra responsabilidad personal y la responsabilidad institucional de las personas jurídicas que representamos que la información consignada en los estados financieros y en el presente formato es cierta.
| Firma Representante legal del Oferente | Firma Revisor Fiscal | Firma Contador |
| Nombre: | Nombre: | |
| Documento de Identidad: | Documento de Identidad: | |
Tarjeta Profesional:
* Indique si actúa como revisor fiscal o contador
Nota: Si se trata de proponentes plurales, el revisor fiscal o contador de cada uno de los miembros del proponente plural debe firmar e incluir sus datos en el presente formato.
Guía para la Elaboración de Estudios de Sector
I. Introducción
II. Estructura del Análisis Económico de Sector
A. Aspectos generales
B. Estudio de la oferta
C. Estudio de la demanda
III. Técnicas de análisis de información
IV. Estudios del sector en los procesos de contratación de mínima cuantía y contratación directa
A. Contratación directa
B. Mínima cuantía
Anexo 1 - Conceptos Estadísticos
I. Tamaño de la muestra
II. Análisis estadístico
A. Promedio o media aritmética
B. Mediana
C. Media podada
D. Desviación estándar muestral
III. Análisis gráfico
A. Gráfico de tallos y hojas
B. Histograma
V. Fuentes de Información
VI. Procedimiento para buscar información sobre procesos de contratación en el SECOP
I. Introducción
La función de compras debe estar orientada a satisfacer las necesidades de la entidad estatal y a obtener el mayor valor por el dinero público. En consecuencia, la entidad estatal debe entender claramente y conocer: a) cuál es su necesidad y cómo puede satisfacerla; b) cómo y quiénes pueden proveer los bienes, obras y servicios que necesita, y c) el contexto en el cual los posibles proveedores desarrollan su actividad.
El artículo 15 del Decreto número 1510 de 2013 establece el deber de las entidades estatales de analizar el sector, es decir, el mercado relativo al objeto del proceso de contratación, desde la perspectiva legal, comercial, financiera, organizacional, técnica y de análisis de riesgo. El resultado del análisis debe plasmarse en los estudios y documentos previos del proceso de contratación. La importancia de realizar este análisis ha sido recalcada en las recomendaciones que la Organización de Cooperación y de Desarrollo Económicos (OCDE) le ha formulado al Gobierno nacional, las cuales constituyen buenas prácticas en materia de promoción de la competencia en la contratación pública[1].
La presente guía busca ayudar a la entidad estatal a cumplir este mandato al ofrecer herramientas para entender el mercado del bien, obra o servicio que la entidad estatal pretende adquirir para diseñar el proceso de contratación con la información necesaria para alcanzar los objetivos de eficacia, eficiencia, economía, promoción de la competencia y manejo del riesgo. Este documento contiene algunas recomendaciones generales de Colombia Compra Eficiente, y no debe ser utilizado de manera mecánica. La profundidad del estudio del sector depende de la complejidad del proceso de contratación.
Las expresiones utilizadas en el presente documento con mayúscula inicial deben ser entendidas de acuerdo con la definición contenida en el Decreto número 1510 de 2013 y se emplean en singular o plural según sea exigido en el contexto. Los términos no definidos deben entenderse de acuerdo con su significado natural y obvio.
II. Estructura del Análisis Económico de Sector
La Entidad Estatal luego de conocer su necesidad y de identificar los bienes, obras o servicios que la satisfacen está en capacidad de definir el sector o mercado al cual pertenecen tales bienes, obras o servicios y hacer el análisis correspondiente. El análisis del sector ofrece herramientas para establecer el contexto del Proceso de Contratación, identificar algunos de los Riesgos, determinar los requisitos habilitantes y la forma de evaluar las ofertas.
El alcance del estudio de sector debe ser proporcionado al valor del Proceso de Contratación, la naturaleza del objeto a contratar, el tipo de contrato y a los Riesgos identificados para el Proceso de Contratación.
El análisis del sector debe cubrir tres áreas:
A. Aspectos generales.
B. Estudio de la oferta.
C. Estudio de la demanda.
A. Aspectos generales
La Entidad Estatal debe revisar los aspectos generales del mercado del bien, obra o servicio que sean relevantes en el Proceso de Contratación. Para el efecto, Colombia Compra Eficiente recomienda analizar, entre otros, los siguientes contextos[2], los cuales pueden tener un alcance local, regional, nacional o internacional, dependiendo del Proceso de Contratación.
1. Económico: Análisis de datos de: (i) productos incluidos dentro del sector; (ii) agentes que componen el sector; (iii) gremios y asociaciones que participan en el sector; (iv) cifras totales de ventas; (v) perspectivas de crecimiento, inversión y ventas; (vi) variables económicas que afectan el sector como inflación, variación del smmlv y la tasa de cambio; (vii) cadena de producción y distribución; (viii) materias primas necesarias para la producción y la variación de sus precios; y (ix) dinámica de importaciones, exportaciones y contrabando, en caso de que aplique.
2. Técnico: Las condiciones técnicas y tecnológicas del objeto del Proceso de Contratación, incluyendo el estado de la innovación y desarrollo técnico que permite crear nuevos productos y oportunidades de mercado y las nuevas tendencias como: (i) cambios tecnológicos, (ii) amplitud de la oferta de características de los productos; (iii) especificaciones de calidad; (iv) condiciones especiales para la entrega (cadenas de frío, sistemas de vigilancia, etc.) y (v) tiempos de entrega.
3. Regulatorio: La Entidad Estatal debe identificar la regulación aplicable al objeto del Proceso de Contratación, tanto la que influye en el mercado del bien, obra o servicio, como la que regula la actividad de los proveedores y compradores de manera particular, incluyendo regulaciones de mercado, de precios, ambientales, tributarias y de cualquier otro tipo, así como las modificaciones recientes a tales regulaciones y el impacto en su aplicación. También debe estudiar si en el sector hay Normas Técnicas Colombianas, acuerdos o normas internacionales aplicables y autoridades regulatorias o de vigilancia.
4. Otros: La Entidad Estatal debe establecer otros contextos como ambiental, social, político u otro si es conveniente y relevante para conocer el sector.
B. Estudio de la oferta
En el estudio de la oferta, la Entidad Estatal debe contestar, entre otras, las siguientes preguntas:
1. ¿Quién vende? La Entidad Estatal debe identificar los proveedores en el mercado del bien, obra o servicio, así como sus principales características como tamaño empresarial, ubicación, esquemas de producción y comportamiento financiero. Esta identificación permite determinar posibles Riesgos de colusión[3] y también establecer el poder de negociación de los proveedores, el cual está relacionado con el número de competidores presentes en el mercado y las participaciones de cada uno en el mercado. Mientras menos proveedores hay, mayor es el poder de negociación de cada uno de ellos. Esto puede traducirse en precios más altos o condiciones menos favorables para la Entidad Estatal.
Para identificar los posibles proveedores es recomendable utilizar bases de datos e información del Sistema de Información y Reporte Empresarial (Sirem)[4]; las bases de datos de las Cámaras de Comercio y de los gremios; y cualquier otro sistema de información empresarial o sectorial disponible en el mercado. Estas bases de datos permiten conocer la información financiera del sector y de algunos de sus miembros en particular, para que la Entidad Estatal pueda establecer los requisitos habilitantes y demás condiciones del Proceso de Contratación, teniendo en cuenta las condiciones generales del sector.
2. ¿Cuál es la dinámica de producción, distribución y entrega de bienes, obras o servicios? La Entidad al determinar los partícipes en la producción, comercialización y distribución de los bienes puede mejorar la eficiencia y la economía de las adquisiciones, disminuyendo en algunos casos el número de intermediarios.
La Entidad Estatal debe conocer el proceso de producción, distribución y entrega de los bienes, obras o servicios, los costos asociados a tales procesos, cuáles son las formas de distribución y entrega de bienes o suministro del servicio.
Igualmente, la Entidad Estatal debe entender la dinámica del mercado en lo que corresponde a la cadena de producción o distribución o suministro del bien, obra o servicio, así como identificar cuál y cómo es el proceso del bien, obra o servicio hasta llegar al usuario final, el papel que juegan los potenciales oferentes en esa cadena y el ciclo de vida del bien, obra o servicio. Por ejemplo, el proveedor que necesita la Entidad Estatal puede ser proveedor de materias primas, fabricante, importador, ensamblador, distribuidor mayorista, distribuidor minorista, intermediario, transportador, etc.
El análisis debe incluir los precios, su comportamiento histórico y las perspectivas de cambios sobre estos. Algunas variables que pueden incidir en los precios son la variación del IPC[5], variación de la tasa de cambio y el cambio en los precios de materias primas.
La información necesaria para realizar este análisis puede encontrarse en distintas fuentes, tales como las mencionadas en el apartado anterior. Asimismo, la comunicación previa, abierta, directa y reglada con los posibles proveedores es fundamental para contextualizar el análisis del sector económico y para comprender la información financiera que ofrecen los sistemas de información. Si la información requerida no está disponible en los sistemas de información, los mismos proveedores pueden ser la fuente de estos datos.
Colombia Compra Eficiente recomienda a la Entidad Estatal diseñar e implementar escenarios y procedimientos de solicitud de información a los potenciales oferentes[6]. Esta recomendación se orienta a que la Entidad Estatal defina qué información, cuándo, por qué medio y a quién la solicitará. Esta definición debe incluir el procedimiento para hacerlo como formatos de solicitud de cotización o de información que permitan una participación uniforme del mayor número posible de interesados. Es recomendable dejar constancia de las fechas de las reuniones, los asistentes y los temas tratados con proveedores y gremios.
La Entidad Estatal no tiene que buscar la información financiera de todos los proponentes que ofrecen el bien, obra o servicio. Basta con un subconjunto de estos, es decir una muestra que sea representativa y permita visualizar las características del sector.
Colombia Compra Eficiente sugiere analizar la logística asociada al objeto del contrato. Es decir, la coordinación y planeación de diferentes actividades para que un bien, obra o servicio llegue a un usuario final en el tiempo y de forma adecuada. Esto incluye las actividades de las áreas de compras, producción, transporte, almacenamiento, distribución y disposición final. A continuación, se listan algunos conceptos importantes de la logística que pueden ser incluidos en el estudio del sector:
- Producción: Colombia Compra Eficiente recomienda a la Entidad Estatal conocer los métodos de producción de los potenciales proveedores. Por un lado, muchos proveedores manejan su producción únicamente bajo pedido, es decir, tienen poca flexibilidad en caso de alguna adición a un pedido planeado. Esta situación implica que si la Entidad Estatal está comprando un producto que requiere suministro constante, debe realizar pedidos con un margen de inventario de respaldo. Por el contrario, en caso de que el proveedor maneje una producción constante o un inventario de producto terminado disponible para suministrar en todo momento, la Entidad Estatal debe conocer el costo de adquirir productos por fuera de un pedido planeado pues probablemente estos van a ser más altos. Adicionalmente, es importante determinar si existen oportunidades de obtener descuentos por volumen o de agregar demanda con otras Entidades Estatales para obtener mejores condiciones.
- Distribución: La Entidad Estatal debe conocer cómo funciona el transporte y cuáles son los tiempos de entrega que manejan los potenciales proveedores. Conocer el costo de transportar y entregar un producto es decisivo a la hora de determinar la frecuencia prudente de los pedidos o la posibilidad de contratar el servicio de transporte de forma independiente. Adicionalmente, el tiempo de entrega puede brindar información sobre la posibilidad de realizar pedidos de último momento o de urgencia y si es el caso conocer los sobrecostos que puede traer consigo esta situación. En caso de que los tiempos de entrega no sean flexibles, dependiendo del producto, la Entidad Estatal puede contar con inventarios mayores para prevenir el riesgo de desabastecimiento que podría ser crítico en bienes que requieren suministro constante, como la papelería. Por otro lado, existen dos posibilidades en cuanto a la distribución de un bien: (i) la Entidad Estatal contrata a un proveedor que tenga la capacidad de suministrar y distribuir el producto en todos los lugares requeridos y maneja los pedidos e inventario de cada lugar; o (ii) la Entidad Estatal cuenta con uno o varios centros de almacenamiento donde el proveedor entrega el pedido y la Entidad Estatal se encarga de distribuir el producto a cada seccional, utilizando transporte propio o contratando el servicio con otro proveedor. El estudio del sector debe permitir responder las siguientes preguntas que sirven de guía para determinar el esquema de distribución:
i) ¿Los proveedores tienen la capacidad de distribuir el producto en todos los lugares requeridos?;
ii) ¿Cuál es la diferencia de costos entre contratar el transporte y distribución al mismo proveedor del producto o contratar el transporte de forma independiente?
iii) ¿Cuáles son los tiempos de entrega a los diferentes lugares donde se debe suministrar el producto?;
iv) ¿El producto permite ser almacenado o necesita de condiciones especiales para conservar sus propiedades?;
v) ¿El ahorro de comprar en bloque y almacenar (en caso de que la Entidad Estatal cuente con un centro de almacenamiento) es mayor que los costos de distribuir a varios lugares?
- Inventario: Es la cantidad de materia prima, producto en proceso o producto terminado que hay en determinado momento. La compra o el suministro de bienes requiere de un estudio de la forma como almacenan y manejan sus inventarios los posibles oferentes para efectos del análisis del Riesgo de desabastecimiento y para determinar si la Entidad Estatal requiere tener un inventario propio mínimo. Para el efecto, la Entidad Estatal debe tener en cuenta: (i) la precisión de su estimación de la demanda propia del bien y la demanda de terceros; (ii) la existencia de inventarios en las instalaciones del proveedor y el tiempo para su entrega a la Entidad Estatal; (iii) los efectos del Riesgo de desabastecimiento; (iv) el costo y los Riesgos asociados a mantener el inventario; y (v) la disponibilidad de un espacio adecuado para el inventario al servicio de la Entidad Estatal y el valor asociado a este.
C. Estudio de la demanda
La Entidad Estatal debe recopilar en el estudio de la demanda la información que le permita responder las siguientes preguntas:
1. ¿Cómo ha adquirido la Entidad Estatal en el pasado este bien, obra o servicio? La Entidad Estatal debe analizar el comportamiento de sus adquisiciones anteriores del bien, obra o servicio, teniendo en cuenta:
- Modalidad de selección del contratista.
- Objeto del contrato.
- Cantidad del bien, obra o servicio.
- Autorizaciones, permisos y licencias requeridas para su ejecución, y cuando el contrato incluye diseño y construcción, los documentos técnicos para el desarrollo del proyecto.
- Valor de los contratos y forma de pago.
- Número de contratos suscritos para el efecto y vigencias de los mismos.
- Presupuesto con cargo al cual han sido ejecutados los contratos (inversión o funcionamiento) y si ha habido lugar a vigencias futuras.
- Oferentes que han participado en los procesos de selección y contratistas.
- Comportamiento de los contratistas e imposición de sanciones.
- Condiciones de pago establecidas en los contratos.
- Cronogramas.
- Tiempos y lugares de entrega acordados.
- Garantías exigidas y siniestros.
2. ¿Cómo adquieren las Entidades Estatales y las empresas privadas este bien, obra o servicio? En el estudio de demanda Colombia Compra Eficiente sugiere identificar y analizar los Procesos de Contratación de Entidades Estatales que han adquirido en el pasado el bien, obra o servicio para extraer las mejores prácticas e información pertinente para el Proceso de Contratación. Para el efecto, el Sistema Electrónico de Contratación Pública (Secop) ofrece la posibilidad de consultar Procesos de Contratación de otras Entidades Estatales en los cuales la Entidad Estatal puede observar entre otros aspectos, las especificaciones técnicas, requisitos habilitantes, método de evaluación de ofertas y las modalidades de contratación utilizadas[7].
Esta información se puede observar en los pliegos de condiciones, adendas, observaciones a los pliegos, actas de evaluación, contratos y demás Documentos del Proceso. No obstante, para la consulta y empleo de la información, la Entidad Estatal no debe copiar mecánicamente la información de otros Procesos de Contratación y debe tener en cuenta que hay una buena práctica cuando en el Proceso de Contratación hubo competencia de ofertas, el contratista cumplió con el objeto del contrato oportunamente y en los términos acordados y la ciudadanía recibió el bien, obra o servicio.
La información histórica de la demanda es importante para definir ciertos puntos respecto al conocimiento particular de la necesidad a contratar, proveedor y precio de adquisición. Para el efecto la Entidad Estatal debe: (a) tener claro las cantidades que requiere comprar, en caso de ser un monto, o saber si las aproximaciones históricas muestran que ha tenido que hacer adiciones para suplir la demanda o si por el contrario la demanda ha sido sobrestimada; y (b) saber cómo ha escogido a los proveedores en caso que el bien, obra o servicio haya sido contratado anteriormente. La Entidad Estatal debe indagar sobre el desempeño de estos proveedores y preguntarse si existen varios proveedores que puedan satisfacer la necesidad y atender la demanda en el lugar donde es requerida. Por último, la Entidad Estatal debe conocer si el precio que ha pagado por el bien, obra o servicio en diferentes momentos ha sido constante teniendo en cuenta la inflación, variación de la tasa de cambio o los precios de las materias primas. El análisis de esta información histórica proporciona a la Entidad Estatal herramientas para tomar mejores decisiones de compra.
Igualmente, Colombia Compra Eficiente recomienda a la Entidad Estatal revisar cómo contratan las empresas del sector privado los mismos bienes, obras y servicios en condiciones de volumen, cantidad y calidad comparables.
III. Técnicas de análisis de información
La información recogida en el estudio de la oferta y la demanda debe servir a la Entidad Estatal para estructurar correctamente el Proceso de Contratación. Una fuente importante de consulta es la misma información que la Entidad Estatal ha obtenido en sus Procesos de Contratación. Por ejemplo, si la Entidad Estatal en el análisis de la demanda cuenta con información histórica de las compras realizadas, puede estimar la cantidad adecuada que debe adquirir según la frecuencia de uso y los requerimientos mínimos de inventario. Para esto es importante introducir lineamientos para que la información histórica sea analizada y tenida en cuenta en el momento de decidir qué y cuánto comprar, cuándo hacer los pedidos, entre otros aspectos.
En la medida en que sea posible contar con suficientes datos, Colombia Compra Eficiente recomienda efectuar un análisis numérico y/o gráfico para entender el comportamiento de los mismos. Para esto es necesario entender algunos conceptos básicos que permiten caracterizar un conjunto de datos. Por ejemplo, para estudiar la información financiera del sector, la Entidad Estatal puede utilizar algunos conceptos y herramientas estadísticas definidos en el Anexo 1 del presente documento. Estas herramientas se pueden utilizar entre otros aspectos para determinar indicadores de requisitos habilitantes, como lo muestra el Manual para determinar y verificar los requisitos habilitantes (ver http://www.colombiacompra.gov.co/manuales).
En relación con la información histórica, Colombia Compra Eficiente recomienda utilizar gráficos de comportamiento de datos en el tiempo, por ejemplo comportamiento de cantidad o precio para analizar si los datos tienen comportamientos de tendencia positiva o negativa, es decir si crecen o decrecen en el tiempo, o si presentan un comportamiento que se repite en un periodo de tiempo, o sea si presentan estacionalidad.
Cuando una Entidad Estatal ha elaborado un análisis económico de sector, puede emplear la información en otros Procesos de Contratación del mismo sector similares en su objeto, cuantía, Riesgos y condiciones.
IV. Estudios del sector en los Procesos de Contratación de mínima cuantía y contratación directa
El análisis del sector hace parte de la planeación del Proceso de Contratación y materializa los principios de planeación, de responsabilidad y de transparencia consagrados en la Ley 80 de 1993.
El estudio del sector es necesario en los Procesos de Contratación. La modalidad de selección del Proceso de Contratación no es relevante para determinar la procedencia o no del análisis del sector. Colombia Compra Eficiente establece algunas recomendaciones para realizar estudios de sector en Procesos de Contratación para las modalidades de contratación directa y mínima cuantía.
A. Contratación directa
En la contratación directa, el análisis del sector debe tener en cuenta el objeto del Proceso de Contratación, particularmente las condiciones del contrato, como los plazos y formas de entrega y de pago. El análisis del sector debe permitir a la Entidad Estatal sustentar su decisión de hacer una contratación directa, la elección del proveedor y la forma en que se pacta el contrato desde el punto de vista de la eficiencia, eficacia y economía.
La Entidad Estatal debe consignar en los Documentos del Proceso, bien sea en los estudios previos o en la información de soporte de los mismos, los aspectos de que trata el artículo 15 del Decreto número 1510 de 2013. En un contrato de prestación de servicios profesionales, el análisis del sector depende del objeto del contrato y de las condiciones de idoneidad y experiencia que llevan a contratar a la persona natural o jurídica que está en condiciones de desarrollar dicho objeto. Por ejemplo, si se trata de la contratación de un abogado para llevar un proceso judicial, la Entidad Estatal debe hacer una reflexión sobre la necesidad de contratar el servicio y las condiciones de los Procesos de Contratación que ha adelantado en el pasado para contratar ese tipo de servicios, teniendo en cuenta plazos, valor y forma de pago.
Siguiendo el ejemplo, en un Proceso de Contratación para la representación judicial de una Entidad Estatal, no será necesario que la Entidad Estatal haga un estudio de la oferta y la demanda del sector de la prestación de servicios legales con particularidades sobre tipos, precios, calidades y cantidades de la oferta y la demanda. Lo que requiere hacer es una reflexión teniendo en cuenta los siguientes aspectos:
1. ¿La Entidad Estatal requiere una firma de abogados o una persona natural con tarjeta profesional? Esta reflexión debe cubrir aspectos legales y organizacionales.
2. ¿Cuál es la experiencia que requiere quien presta el servicio de acuerdo con la complejidad del caso? Esta reflexión debe cubrir aspectos comerciales, técnicos y de análisis de Riesgo.
3. ¿La Entidad Estatal ha contratado recientemente los servicios profesionales requeridos? ¿Cuál fue el valor del contrato y sus condiciones? ¿La necesidad de la Entidad Estatal fue satisfecha con los Procesos de Contratación anteriores? Esta reflexión debe cubrir aspectos legales, comerciales, financieros, organizacionales, técnicos y de análisis de Riesgo.
4. El tipo de remuneración recomendada para la prestación de servicios objeto del Proceso de Contratación y el motivo por el cual la Entidad Estatal escoge ese tipo de remuneración desde la economía, la eficiencia y la eficacia del Proceso de Contratación. Es decir, si la remuneración es: (i) un valor mensual fijo; (ii) un valor por hora trabajada y el prestador del servicio factura el número de horas trabajadas; (iii) un valor por la hora trabajada y un tope en el número de horas mensuales o totales; (iv) cuota litis; o (v) una combinación de las anteriores.
B. Mínima cuantía
En los Procesos de Contratación de mínima cuantía el alcance del estudio de sector debe ser proporcionado al valor del Proceso de Contratación, la naturaleza del objeto a contratar, el tipo de contrato y a los Riesgos identificados para el Proceso de Contratación.
En esta modalidad de selección no es necesario hacer un estudio extensivo de las condiciones generales de los potenciales oferentes, definir su participación en el PIB industrial o estudiar la estructura de los estados financieros de los posibles proveedores y de la industria. En estos casos, es necesario revisar las condiciones particulares de otros Procesos de Contratación similares, acopiar información suficiente de precios, calidad, condiciones y plazos de entrega con otros clientes del proveedor públicos o privados, solicitar información a los proveedores, verificar la idoneidad de los mismos y plasmar tal información en los Documentos del Proceso, siempre con el propósito de que la decisión de negocio sea adecuada y garantice la satisfacción de la necesidad de la Entidad Estatal, cumpliendo los objetivos de eficiencia, eficacia y economía y buscando promover la competencia.
Si a pesar de tratarse de un Proceso de Contratación de mínima cuantía, el objeto a contratar es muy importante para la Entidad Estatal (por ejemplo, software crítico para la actividad misional) o si los Riesgos exigen un tratamiento especial como en el caso que se ofrezcan comúnmente en el mercado plazos largos de entrega del bien, obra o servicio, el análisis de sector debe ser más complejo y agregar mayor información general y detallada de los potenciales proveedores y el sector.
Anexo 1 - Conceptos Estadísticos
Los siguientes conceptos son útiles para analizar un conjunto de datos o muestras numéricas[8].
I. Tamaño de la muestra
El número de datos que compone la muestra incide significativamente en la calidad del análisis de la información. Regularmente, entre mayor información puede recoger la Entidad Estatal, mayor es la confianza en las conclusiones del análisis pues la muestra comprende una mejor representación del comportamiento de la variable objeto de estudio, por ejemplo la liquidez o el endeudamiento de un sector. Cuando la muestra comprende pocos datos, las conclusiones del comportamiento de la variable son deficientes pues el sector no está suficientemente representado y cabe la posibilidad que los datos disponibles se muestren como datos típicos, cuando realmente no lo son.
Ejemplo: En un Proceso de Contratación determinado, una Entidad Estatal obtiene información sobre 3 potenciales proveedores, los cuales tienen un índice de endeudamiento de 60%, 42% y 44% respectivamente. Esta información permite pensar que un rango de endeudamiento típico de este tipo de proveedores es entre 40% y 50%. La Entidad Estatal continúa con la búsqueda de datos, y consigue información acerca de otros 15 proveedores. Esto le permite determinar que el nivel de endeudamiento promedio para estos proveedores es cercano a 60% y que los datos iniciales de 42% y 44% corresponden a datos atípicos[9].
Teniendo en cuenta lo anterior, el presente anexo recomienda que la construcción de la muestra tome en cuenta la mayor cantidad de datos disponible con el fin de hacer un análisis riguroso para lo cual la Entidad Estatal debe acudir a los sistemas de información y también a la comunicación con los posibles proveedores.
II. Análisis estadístico
Para entender el comportamiento de los datos que componen la muestra, existen medidas de tendencia central y dispersión que permiten hacer inferencias[10] sobre su comportamiento:
A. Promedio o media aritmética
Es la medida de tendencia central más frecuentemente usada. Para calcular la media aritmética o promedio de un conjunto de observaciones, deben sumarse todos los valores y dividir el resultado por el número total de observaciones. Esta medida es muy sensible a los datos atípicos pues tan solo uno de los datos puede afectar significativamente el cálculo de la misma. Por ejemplo, si la Entidad Estatal cuenta con información del índice de liquidez de 4 proveedores, 1,4; 2,2; 1,9; y 6 respectivamente, el promedio de liquidez de estos 4 proveedores es 2,9. Esto es debido a que existe un proveedor con un alto nivel de liquidez quien en este caso representa un desempeño atípico con respecto a su sector y quien afectará el indicador del promedio. En este caso no basta con estudiar el promedio pues como se puede observar el promedio no representa el comportamiento de la mayoría de los proveedores.
B. Mediana
Es una medida estadística que representa el valor que ocupa la posición central en una muestra. Para calcularlo los datos deben ordenarse de menor a mayor e identificar el dato que ocupa la posición central. Si el tamaño de la muestra es par, la mediana es el promedio de los dos valores centrales. Si el tamaño de la muestra es impar, la mediana corresponde al valor ubicado en la mitad de la muestra. A diferencia de la media, la mediana no es afectada por la presencia de datos atípicos. Sin embargo, al ser una medida de ubicación o posición, se recomienda que sea una variable complementaria, la cual puede brindar información útil si es comparada con la media.
C. Media podada
Es un estadístico que utiliza el promedio pero quitando de la muestra un cierto porcentaje de datos extremos. Para su cálculo, los datos se deben ordenar de menor a mayor y excluir los datos n x
más pequeños y n x
más grandes, donde n es el tamaño de la muestra y
es la proporción de datos que se quiere depurar. El último paso consiste en calcular el promedio de los datos restantes, el cual representará la media podada.
Para definir
, la Entidad Estatal que está realizando el procedimiento debe definir el valor dependiendo del tamaño de la muestra y de la distorsión que se evidencia en los datos. Al seleccionar
=0 se obtiene la media y al seleccionar
=0,5=50% se obtiene la mediana, es decir,
debe estar entre estos dos valores. Cuando se realiza este procedimiento es bastante común la utilización de un
=0,1=10% en donde se excluyen 20% de los datos. Para analizar la distorsión de los datos se recomienda graficar, como se explicará más adelante, o hacer el análisis respectivo de la media y mediana.
La media podada es una buena aproximación cuando se observan datos atípicos. Los datos atípicos de indicadores pueden representar bien sea un muy buen comportamiento o un muy mal comportamiento del indicador respecto a la mayoría de los datos. Sin embargo, al momento de depurar los datos la Entidad Estatal debe tener la precaución de depurar los datos que representen el indicador de proveedores que a pesar de mostrar un comportamiento atípico respecto al resto, estarían en capacidad de ejecutar el contrato.
En la Sección VI del Manual para determinar y verificar los requisitos habilitantes (ver http://www.colombiacompra.gov.co/manuales) puede ver un ejemplo del cálculo de la media podada.
D. Desviación estándar muestral
La desviación estándar muestral es una medida de dispersión que mide la distancia promedio de los datos de una muestra respecto a su media. A mayor desviación, mayor la dispersión de los datos de la muestra con respecto a su media o promedio.
![]()
Se define la varianza de una muestra de observaciones X1, X2, ..., Xn, cuyo promedio es y n es igual al tamaño de la muestra, como:
![]()
Por ejemplo, con los mismos datos utilizados en el ejemplo en el concepto de promedio sobre el índice de liquidez de 4 proveedores, esta es la desviación estándar muestral.
![]()
Donde n es igual a 4 y el promedio de la muestra es igual a 2,9.
![]()
Colombia Compra Eficiente recomienda utilizar medidas de dispersión como la desviación estándar en conjunto con la media o media podada para caracterizar las variables financieras, para definir los indicadores numéricos de capacidad financiera y organizacional si el conocimiento del comportamiento de los datos lo permite. En Microsoft Excel hay funcionalidades que permiten calcular fácilmente todas estas medidas estadísticas.
III. Análisis gráfico
El objetivo del análisis gráfico es analizar el comportamiento general de los datos e identificar sus características principales. Quien hace el análisis debe acudir al análisis gráfico antes de realizar otros tipos de análisis pues la ayuda visual permite sacar conclusiones respecto al comportamiento de los datos con los que se cuenta. Colombia Compra Eficiente presenta a continuación algunos tipos de gráficos que las Entidades Estatales pueden utilizar en el análisis:
A. Gráfico de tallos y hojas
Esta técnica permite observar la forma o distribución de un conjunto de datos numéricos y es recomendable utilizarla cuando la Entidad Estatal no cuenta con una gran cantidad de datos. Es útil para analizar índices, como en el caso de los requisitos habilitantes de capacidad financiera y organizacional. El gráfico de tallos y hojas se construye separando los dígitos de cada valor de la muestra en dos grupos los cuales se denominan tallo y hoja. El procedimiento común para la construcción de este tipo de gráficos es el siguiente:
1. Separar cada uno de los valores de la muestra en:
Tallo: Depende del analista definir cada componente, el tallo se puede componer del primer dígito o de los primeros dos dígitos dependiendo de la magnitud de los datos.
Hoja: Depende del analista definir cada componente, la hoja se puede componer del segundo dígito o del primer decimal si es el caso.
2. Enumerar los tallos verticalmente en orden creciente y trazar una línea vertical a la derecha de estos valores.
3. Agregar a cada tallo las hojas correspondientes en sentido horizontal de menor a mayor. En este punto, el analista debe decidir lo que hará con el dígito siguiente a la hoja, si lo trunca o lo redondea. Es recomendable truncar puesto que en la mayoría de casos este nivel de especificidad no agrega valor al momento de observar el comportamiento de los datos. Los tallos que no están acompañados con hojas, es decir la hoja es un cero, también deben tenerse en cuenta y estar incluidos en el gráfico.
El análisis del gráfico permite conocer (i) la distribución de los datos de la muestra, (ii) su grado de simetría, (iii) los rangos máximos y mínimos, (iv) en qué rangos se concentran la mayoría de los datos, es decir dónde hay mayor frecuencia observando la altura de los tallos, (v) la cantidad y magnitud de valores que se apartan del comportamiento común de la muestra (datos atípicos), entre otras características.
En la Sección VI del Manual para determinar y verificar los requisitos habilitantes (ver http://www.colombiacompra.gov.co/manuales) puede ver un ejemplo de este gráfico.
B. Histograma
Es una representación gráfica de la muestra en forma de barras, en donde la altura de cada una de estas representa la frecuencia de datos. El análisis del gráfico permite inferir el comportamiento de la muestra. Las conclusiones son similares a las expuestas en el anterior gráfico. A continuación un ejemplo a partir de los siguientes datos de nivel de endeudamiento.
Nivel de endeudamiento
26%
29%
47%
49%
50%
52%
53%
55%
56%
60%
61%
68%
80%
92%
98%

La herramienta Microsoft Excel es de gran utilidad para el desarrollo del análisis estadístico y gráfico, teniendo en cuenta que esta tiene las funcionalidades de los conceptos tratados anteriormente. Mediante la siguiente ruta en Excel, puede graficar histogramas: Archivo/ Opciones/ Complementos/ Herramientas para Análisis/ Ir / Se selecciona la opción/ En la opción Datos va a aparecer una nueva ventana que se llama “Análisis de datos” y allí puede seleccionar la opción Histograma.
V. Fuentes de Información
A continuación una lista de fuentes de información que son útiles para llevar a cabo los estudios del sector:
| Tema | Fuentes sugeridas |
| Contexto económico | - DANE: www.dane.gov.co - ANIF: www.anif.gov.co - ANDI (Encuesta de opinión industrial): www.andi.gov.co - Banco de la República: www.banrep.gov.co - Cámaras de Comercio - Superintendencia de Industria y Comercio: www.sic.gov.co - Fedesarrollo: www.fedesarrollo.org.co - Confecámaras: www.confecamaras.org.co - Departamento Nacional de Planeación (DNP): www.dnp.gov.co - Asobancaria (economía y finanzas): www.asobancaria.com |
| Contexto técnico | - Ministerio de las Tecnologías de Información y las Comunicaciones: www.mintic.gov.co - Información general: www.losavancestecnologicos.com - Revista ComputerWorld (tecnología): www.computerworld.com |
| Contexto regulatorio | - Presidencia de la República: www.presidencia.gov.co - Superintendencias - Ministerios - Archivo General de la Nación: www.archivogeneral.gov.co - Síntesis: www.colombiacompra.gov.co |
| Contexto ambiental | - Ministerio del Medio Ambiente: www.minambiente.gov.co - Ministerio de Minas y Energía: www.minminas.gov.co - Instituto Colombiano Agropecuario (ICA): www.ica.gov.co |
| Estudio de la oferta | - SECOP: www.colombiacompra.gov.co - SIREM (información financiera; para el uso de esta herramienta, revise el manual del usuario): www.supersociedades.gov.co - Ministerio de Comercio, Industria y Turismo (Directorio de asociaciones y agremiaciones): www.mincit.gov.co - Superintendencias - Sectoriales |
| Estudio de la demanda | - SECOP: www.colombiacompra.gov.co - Páginas web de las Entidades Estatales - Encargados de compras de otras Entidades Estatales - Guía para la codificación de bienes y servicios de acuerdo con el Código Estándar de Productos y Servicios de Naciones Unidas (UNSPSC) - Colombia Compra Eficiente: www.colombiacompra.gov.co/manuales |
IV. Procedimiento para buscar información sobre procesos de contratación en el SECOP
Paso 1: Entre a la página de Colombia Compra Eficiente www.colombiacompra.gov.co y haga clic en el botón verde de Proveedores.

Paso 2: Aparecen las opciones de búsqueda de los contratos suscritos. Haga clic en Búsqueda de procesos de contratación.

Si tiene el número del proceso, haga clic en buscador por número de proceso. El número de proceso es un consecutivo que utiliza el SECOP para identificar los Procesos de Contratación. Este se compone de tres partes. Los primeros dos dígitos, corresponden al año en el cual la Entidad Estatal creó en el SECOP el Proceso de Contratación; los siguientes dos dígitos corresponden a la modalidad de selección utilizada; y por último, el último número se refiere al consecutivo generado automáticamente por el Sistema. Este número puede consultarse para cada Proceso de Contratación en la barra de dirección del explorador de Internet de su preferencia. Este tiene la siguiente estructura XX-XX-XXXXXXX.
Paso 3: Complete la información solicitada en los recuadros. Debe seleccionar al menos dos criterios de búsqueda para proceder. Haga clic en el botón Buscar.

Paso 4: El sistema presenta los diferentes contratos que tienen que ver con el producto o servicio que está buscando. Haga clic en el número del proceso de su interés (busque principalmente los Procesos de Contratación cuyo estado sea celebrado).

Paso 5: En la parte superior aparecerá la información del Proceso de Contratación que quiere conocer. En la parte inferior se desplegaran todos los documentos que acompañaron el proceso. Puede encontrar los siguientes Documentos del Proceso:
- Aviso de convocatoria.
- Estudio de mercado.
- Estudios previos.
- Fichas técnicas.
- Pliego de condiciones.
- Adendas.
- Observaciones.
- Documentos de verificación (jurídica, financiera, técnica).

* * *
1 Ver http://www.oecd.org/daf/competition/fightingbidrigginginpublicprocurement.htm.
2 Información extraída de: http://www.business.govt.nz/procurement/pdf-library/agencies/GUIDEMasteringProcurement.pdf, http://www.scotland.gov.uk/Topics/Government/Procurement/buyer-information/spdlowlevel/routetwotoolkit/developstrategyroutetwo/profilingthecommodity/supplymarketanalysis, https://acquisition.gov/sevensteps/library/afmarket-research.pdf, http://faculty.babson.edu/gwin/indstudy/.
3 Acuerdo ilícito entre oferentes para elevar los precios o disminuir la calidad de bienes, obras o servicios que la Entidad Estatal pretende adquirir mediante un proceso competitivo. Superintendencia de Industria y Comercio de Colombia. Guía Práctica - Combatir la colusión en las licitaciones. Disponible en: http://www.sic.gov.co/recursos_user/documentos/articulos/2010/Guia_Contratacion.pdf.
4 Este sistema contiene la información suministrada por las sociedades del sector real que están sometidas a la inspección, vigilancia y control de la Superintendencia de Sociedades.
5 Índice de Precios al Consumidor que se utiliza para medir la inflación y es proporcionado por el DANE. Ver http://www.dane.gov.co/index.php/indices-de-precios-y-costos/indice-de-precios-al-consumidor-ipc.
6 Solicitud de información (Request for Information –RFI–).
7 Ver el Anexo 1 del presente documento.
8 Orellana, L. (2001, marzo). Estadística descriptiva. [En línea]. Disponible en: http://www.dm.uba.ar/materias/estadistica_Q/2011/1/modulo%20descriptiva.pdf
9 Un dato atípico es aquel numéricamente distante de la mayoría de los datos de la muestra.
10 A partir de una población estadística utilizar el método inductivo para llegar a conclusiones sobre el comportamiento del universo al cual pertenece la población estadística.