DECRETO 1155 DE 2017
(julio 7)
Diario Oficial No. 50.287 de 7 de julio de 2017
MINISTERIO DE AMBIENTE Y DESARROLLO SOSTENIBLE
Por el cual se modifican los artículos 2.2.9.6.1.9., 2.2.9.6.1.10. y 2.2.9.6.1.12. del Libro 2, Parte 2, Título 9, Capítulo 6, Sección 1, del Decreto número 1076 de 2015, Decreto Único Reglamentario del Sector Ambiente y Desarrollo Sostenible, en lo relacionado con la Tasa por Utilización de Aguas y se dictan otras disposiciones.
EL PRESIDENTE DE LA REPÚBLICA DE COLOMBIA,
en ejercicio de sus facultades constitucionales y legales, en especial de las que le confiere el numeral 11 del artículo 189 de la Constitución Política y en desarrollo de lo dispuesto en el artículo 43 de la Ley 99 de 1993, y
CONSIDERANDO:
Que la Constitución Política de Colombia en sus artículos 79 y 80 establece que es deber del Estado proteger la diversidad e integridad del ambiente, conservar las áreas de especial importancia ecológica y fomentar la educación ambiental, para garantizar el derecho de todas las personas a gozar de un ambiente sano, y planificar el manejo y aprovechamiento de los recursos naturales, para garantizar su desarrollo sostenible, su conservación, restauración o sustitución, debiendo prevenir y controlar los factores de deterioro ambiental, imponer las sanciones legales y exigir la reparación de los daños causados;
Que el artículo 42 de la Ley 99 de 1993 establece que el método en la definición de los costos sobre cuya base hará la fijación del monto tarifario de las tasas retributivas y compensatorias se calculará teniendo en cuenta la diversidad de las regiones, la disponibilidad de los recursos, su capacidad de asimilación, los agentes contaminantes involucrados, las condiciones socioeconómicas de la población afectada y el costo de oportunidad del recurso de que se trate;
Que el artículo 43 de la Ley 99 de 1993 señala que el sistema y método establecido por el artículo 42 de la misma ley para la definición de los costos sobre cuya base se calcularán y fijarán las tasas retributivas y compensatorias, se aplicarán al procedimiento de fijación de la Tasa por Utilización de Aguas;
Que en virtud de lo anterior, se hace necesario incorporar un nuevo coeficiente en el Factor Regional, para diferenciar los fines de uso del recurso hídrico y ajustar el coeficiente de condiciones socioeconómicas del mismo factor;
En mérito de lo expuesto,
DECRETA:
ARTÍCULO 1o. Modifíquese el artículo 2.2.9.6.1.9. del Libro 2, Parte 2, Título 9, Capítulo 6, Sección 1, del Decreto número 1076 de 2015, el cual quedará así:
“Artículo 2.2.9.6.1.9. Factor Regional. El Factor Regional integrará los factores de disponibilidad del recurso hídrico, necesidades de inversión en recuperación de la cuenca hidrográfica y condiciones socioeconómicas de la población; mediante las variables cuantitativas de Índice de Escasez, costos de inversión y el Índice de Necesidades Básicas Insatisfechas, respectivamente. Cada uno de estos factores tendrá asociado un coeficiente, los cuales, a su vez, se ponderarán a través de un coeficiente adimensional que diferencie los fines de uso del recurso hídrico”.
ARTÍCULO 2o. Modifíquese el artículo 2.2.9.6.1.10. del Libro 2, Parte 2, Título 9, Capítulo 6, Sección 1, del Decreto número 1076 de 2015, el cual quedará así:
“Artículo 2.2.9.6.1.10. Cálculo del Factor Regional (FR). El Factor Regional será calculado anualmente por la autoridad ambiental competente para cada cuenca hidrográfica, acuífero o unidad hidrológica de análisis, y corresponderá a un factor adimensional de acuerdo con la siguiente expresión:
FR = [1 + (CK + CE) * CS] * CU
El valor máximo del Factor Regional para aguas superficiales será de siete (7) y para aguas subterráneas de doce (12).
Los componentes del Factor Regional son:
CK: Coeficiente de Inversión: Fracción de los costos totales del plan de ordenación y manejo de la cuenca no cubiertos por la tarifa mínima, de acuerdo con la siguiente fórmula:
![]()
Donde:
CK: Coeficiente de Inversión de la cuenca hidrográfica.
CPMC: Costos totales anuales del plan de ordenación y manejo de la cuenca del año inmediatamente anterior.
CTM: Facturación anual estimada de la Tasa por Utilización de Aguas, aplicando la Tarifa Mínima a los usuarios de la cuenca.
En ausencia del plan de ordenación y manejo de la cuenca, el valor del coeficiente de inversión será igual a 0.
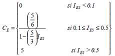
CE: Coeficiente de Escasez. Este coeficiente varía de acuerdo con la escasez del recurso hídrico considerando si la captación se realiza sobre agua superficial o subterránea según las siguientes fórmulas:
Coeficiente de Escasez para aguas superficiales

Donde:
CE: Coeficiente de Escasez para aguas superficiales.
IES: Corresponde al Índice de Escasez para Aguas Superficiales estimado para la cuenca, tramo o unidad hidrológica de análisis.
Coeficiente de Escasez para aguas subterráneas.

Donde:
CE: Coeficiente de Escasez para aguas subterráneas.
IEG: Corresponde al Índice de Escasez para aguas subterráneas estimado para el acuífero o unidad hidrológica de análisis.
CS: Coeficiente de Condiciones Socioeconómicas. Este coeficiente varía según las condiciones socioeconómicas de los usuarios del agua, de acuerdo a la siguiente fórmula:
![]()
Donde:
CS: Coeficiente de Condiciones Socioeconómicas.
NBI: Índice de Necesidades Básicas Insatisfechas, determinado por el Departamento Nacional de Planeación.
El Coeficiente de Condiciones Socioeconómicas (CS) tiene un rango de variación entre cero y uno (0 < CS = 1).
Para abastecimiento doméstico, el índice de Necesidades Básicas Insatisfechas (NBI) corresponde con el determinado por el Departamento Nacional de Planeación para el municipio en donde se ubique el usuario que utiliza el agua.
Para los demás usos, el Índice de Necesidades Básicas Insatisfechas (NBI) depende de los fines de uso del agua, y corresponde con el NBI promedio de los departamentos cuya participación porcentual por grandes ramas de actividad económica dentro del Producto Interno Bruto departamental, a precios corrientes, cumpla la siguiente condición:

Donde:
| PIBi,j: | Producto Interno Bruto de la rama de actividad económica i del departamento j, a precios corrientes, determinado por el Departamento Administrativo Nacional de Estadística. |
| PIBj: | Producto Interno Bruto del departamento j, a precios corrientes, determinado por el Departamento Administrativo Nacional de Estadística. |
| Participación porcentual por grandes ramas de actividad económica dentro del Producto Interno Bruto departamental, a precios corrientes. | |
| Participación porcentual por grandes ramas de actividad económica dentro del Producto Interno Bruto nacional, a precios corrientes. | |
La rama de actividad económica para el cálculo se asigna con base en la Clasificación Industrial Internacional Uniforme de todas las Actividades Económicas Revisión Cuatro (CIIU 4) o equivalente, dependiendo de los fines de uso del agua, de la siguiente manera:
| Fin de uso del agua | Grandes ramas de actividad económica CIIU 4 |
| Riego y silvicultura | Agricultura, ganadería, caza, silvicultura y pesca |
| Abastecimiento de abrevaderos cuando se requiera derivación | Agricultura, ganadería, caza, silvicultura y pesca |
| Uso industrial | Industrias manufactureras |
| Generación térmica o nuclear de electricidad | Suministro de electricidad, gas, vapor y aire acondicionado |
| Explotación minera y tratamiento de minerales | Explotación de minas y canteras |
| Explotación petrolera | Explotación de minas y canteras |
| Inyección para generación geotérmica | Suministro de electricidad, gas, vapor y aire acondicionado |
| Generación hidroeléctrica | Suministro de electricidad, gas, vapor y aire acondicionado |
| Generación cinética directa | Suministro de electricidad, gas, vapor y aire acondicionado |
| Flotación de maderas | Agricultura, ganadería, caza, silvicultura y pesca |
| Transporte de minerales y sustancias tóxicas | Transporte y almacenamiento |
| Acuicultura y pesca | Agricultura, ganadería, caza, silvicultura y pesca |
| Recreación y deportes | Actividades artísticas, de entretenimiento y recreación |
| Usos medicinales | Industrias manufactureras |
Con base en las categorías anteriores, el Ministerio de Ambiente y Desarrollo Sostenible podrá realizar los ajustes necesarios, en caso de que se requieran modificaciones a los fines de uso del agua o a la clasificación de las actividades económicas.
CU: Coeficiente de Uso. Este coeficiente varía según los fines de uso del recurso hídrico, de la siguiente manera:
CU= 0.0775 para uso doméstico, agrícola, pecuario, acuícola y generación de energía.
CU= 0.2 para los demás usos.
Para los usos diferentes al doméstico, agrícola, pecuario, acuícola y generación de energía, el Coeficiente de Uso (CU) se incrementará anualmente en 0.08 unidades, a partir del primero de enero de 2018, hasta alcanzar un valor de 1.
ARTÍCULO 3o. Modifíquese el artículo 2.2.9.6.1.12. del Libro 2, Parte 2, Título 9, Capítulo 6, Sección 1, del Decreto número 1076 de 2015, el cual quedará así:
“Artículo 2.2.9.6.1.12. Cálculo del monto a pagar. El valor a pagar por cada usuario estará compuesto por el producto de la tarifa de la Tasa por Utilización de Aguas (TUA), expresada en pesos por metro cúbico ($/m3), y el volumen captado (V), expresado en metros cúbicos (m3), corregido por el Factor de Costo de Oportunidad, de acuerdo con la siguiente fórmula:
VP = TUA * V * FOP
Donde:
VP: Es el valor a pagar por el usuario sujeto pasivo de la tasa, en el período de cobro que determine la autoridad ambiental, expresado en pesos ($).
TUA: Es la tarifa de la Tasa por Utilización de Aguas, expresada en pesos por metro cúbico ($/m3).
V: Es el volumen de agua base para el cobro. Corresponde al volumen de agua captada por el usuario sujeto pasivo de la tasa que presenta reporte de mediciones para el período de cobro determinado por la autoridad ambiental, expresado en metros cúbicos (m3).
FOP: Factor de Costo de Oportunidad, adimensional.
PARÁGRAFO. En los casos en que el sujeto pasivo no presente los reportes sobre los volúmenes de agua captada, el cobro se realizará por el caudal concesionado y la autoridad ambiental para efectos de aplicar la fórmula contenida en el presente artículo en lo referente al volumen de agua, deberá aplicar la siguiente expresión:
![]()
Donde:
V: Volumen de agua base para el cobro. Corresponde al volumen concesionado en el período de cobro y expresado en metros cúbicos.
Q: Caudal concesionado expresado en litros por segundo (l/seg).
T: Número de días del período de cobro.
86.4: Factor de conversión de l/seg a m3/día”.
ARTÍCULO 4o. VIGENCIA Y DEROGATORIAS. El presente decreto entra en vigencia a partir de su publicación y deroga todas las disposiciones que le sean contrarias.
Publíquese y cúmplase.
Dado en Bogotá, D. C., a 7 de julio de 2017.
JUAN MANUEL SANTOS CALDERÓN
El Ministro de Ambiente y Desarrollo Sostenible,
LUIS GILBERTO MURILLO URRUTIA.