DatosDATOS
BúsquedaBUSCAR
ÍndiceÍNDICE
MemoriaDESCARGAS
DesarrollosDESARROLLOS
ModificacionesMODIFICACIONES
ConcordanciasCONCORDANCIAS
NotificacionesNOTIFICACIONES
Actos de trámiteACTOS DE TRÁMITE
AbogacíaABOGACÍA
VideosVIDEOS

RESOLUCIÓN 1 DE 1996

(enero 15)

<Fuente: Archivo interno entidad emisora>

COMISIÓN DE REGULACIÓN DE AGUA POTABLE Y SANEAMIENTO BÁSICO

“Por la cual se aprueba una solicitud para utilizar el costo marginal de largo plazo como costo de referencia para el cálculo de las tarifas en el rango de consumo suntuario”.

LA COMISIÓN DE REGULACIÓN DE AGUA POTABLE Y SANEAMIENTO BÁSICO

En ejercicio de las facultades que le confiere el artículo 73 la Ley 142 de 1994, el Decreto 1524 de 1994 y del artículo 15 del Decreto 1738 de 1994

CONSIDERANDO:

Que las resoluciones No. 08, 09, 13, 14, 15, 16 y 17 de 1995 de la Comisión de Regulación de Agua Potable y Saneamiento Básico establecen la metodología para determinar las tarifas de prestación del servicio de acueducto y alcantarillado.

Que en el artículo 5o. de la Resolución 14 de 1995 emitida por esta Comisión se establece que las empresas podrán utilizar el costo marginal de largo plazo como costo de referencia para el cálculo del consumo suntuario previa presentación y aprobación de la Comisión de Regulación de Agua Potable y Saneamiento Básico.

Que la Empresa de Acueducto y Alcantarillado de Bogotá solicitó mediante oficio 4200-95 006727 del 12 de diciembre de 1995 autorizar la utilización del costo marginal de largo plazo como referencia para el cálculo de las tarifas en el rango de consumo suntuario.

Que es necesario estimular el uso eficiente del recurso agua y en particular el consumo racional de agua potable, así como disminuir el riesgo de racionamiento en el suministro de agua en el Distrito Capital.

RESUELVE:

ARTÍCULO 1o. DEFINICIONES: Para los fines de esta resolución se adopta la siguiente definición:

Costo Marginal de largo plazo: Se asimila al costo incremental promedio de largo plazo el cual se define como el incremento en el costo total de largo plazo resultado de un aumento en una unidad adicional en la producción.

ARTÍCULO 2o. ÁMBITO DE APLICACIÓN: La presente resolución se aplica a la Empresa de Acueducto y Alcantarillado de Bogotá para efectos de la fijación de sus Grifas en el rango de consumo suntuario de los servicios públicos domiciliarios de acueducto y alcantarillado.

ARTÍCULO 3o. AUTORIZACIÓN: Apruébese la solicitud presentada por la Empresa de Acueducto y Alcantarillado de Bogotá en el sentido de utilizar como costo de referencia para el cálculo del consumo suntuario del servicio de acueducto, el costo marginal de largo plazo siempre y cuando cumpla con las condiciones que se establecen en el artículo siguiente.

ARTÍCULO 4o. CONDICIONES: Para dar aplicación de la autorización del artículo anterior, la empresa deberá cumplir las siguientes condiciones:

a. Que en el rango de consumo básico del servicio de acueducto para los estratos 1 y 2, en el año de 1996, la tarifa se incremente solamente en 1.32% mensual, correspondiente a la tasa de actualización definida por la Comisión de Regulación de Agua Potable y Saneamiento Básico.

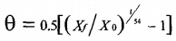
b. Que en el rango de consumo básico del servicio de acueducto para el estrato 3, en el año de 1996, la tarifa se calcule con base en una tasa de crecimiento igual al 50% de la tasa real de crecimiento mensual uniforme calculada por la empresa para todo el periodo de transición, para lo cual se aplicará la siguiente ecuación:

Tasa de crecimiento real mensual de la tarifa para 1996
Tarifa real del estrato 3 al final del período de transición.
Tarifa a diciembre de 1995 para el estrato 3

La tarifa nominal para cada mes de 1996 se calculará aplicando a la tarifa real, la tasa de actualización del 1.32% mensual definida por la Comisión de Regulación de Agua Potable y Saneamiento Básico.

ARTÍCULO 5o. INFORMACIÓN A LA COMISIÓN DE REGULACIÓN DE AGUA POTABLE Y SANEAMIENTO BÁSICO. Una vez la Empresa de Acueducto y Alcantarillado de Bogotá haga uso de la autorización a la que se refiere la presente Resolución, informará a la Comisión de Regulación de Agua Potable y Saneamiento Básico dentro de los cinco días (5) hábiles siguientes a la fecha de su aprobación.

ARTÍCULO 6o. VIGENCIA: La presente resolución rige a partir de la fecha de su publicación en la gaceta del Ministerio de Desarrollo Económico.

PUBLIQUESE Y CUMPLASE

Dada en Santafé de Bogotá D.C., a los

RODRIGO MARÍN BERNAL

Presidente

DIEGO FERNÁNDEZ GIRALDO

Coordinador General

×