RESOLUCION CRA 345 DE 2005
(noviembre 17)
Diario Oficial No. 46.102 de 24 de noviembre de 2005
COMISIÓN DE REGULACIÓN DE AGUA POTABLE Y SANEAMIENTO BÁSICO
<NOTA DE VIGENCIA: Resolución derogada por el artículo 36 de la Resolución 825 de 2017>
Por la cual se aclara la Resolución CRA 287 de 2004.
LA COMISIÓN DE REGULACIÓN DE AGUA POTABLE Y SANEAMIENTO BÁSICO,
en ejercicio de las facultades legales, en especial de las conferidas en la Ley 142 de 1994, en los Decretos 1524 de 1994 y 1905 de 2000, y
CONSIDERANDO:
Que el 25 de mayo de 2004, la Comisión de Regulación de Agua Potable y Saneamiento Básico expidió la Resolución CRA 287, “por la cual se establece la metodología tarifaria para regular el cálculo de los costos de prestación de los servicios de acueducto y alcantarillado”;
Que el Acto Administrativo fue publicado en el Diario Oficial número 45.573 del 8 de junio de 2004;
Que el artículo 209 de la Constitución Política establece que: “La función administrativa está al servicio de los intereses generales y se desarrolla con fundamento en los principios de igualdad, moralidad, eficacia, economía, celeridad, imparcialidad y publicidad”;
Que el inciso 5 del artículo 3o del Código Contencioso Administrativo, que trata de los principios orientadores de las actuaciones administrativas señala: “En virtud del principio de eficacia, se tendrá en cuenta que los procedimientos, deben lograr su finalidad, removiendo de oficio los obstáculos puramente formales (…)”;
Que el inciso 3 del artículo 73 del Código Contencioso Administrativo establece: “Además, siempre podrán revocarse parcialmente los actos administrativos en cuanto sea necesario para corregir simples errores aritméticos, o de hecho que no incidan en el sentido de la decisión”;
Que el Consejo de Estado al pronunciarse sobre la interpretación y determinar el alcance del inciso tercero del artículo anteriormente citado, señaló que: (…) el legislador, dentro de una unidad semántica, utiliza la expresión “actos administrativos”, para referirse a todos los actos administrativos, sin distinción alguna1;
Que con fundamento en lo anterior, y dado el carácter de acto administrativo general de la Resolución CRA 287 de 2004, es procedente realizar aclaraciones que permitan su adecuada aplicación;
Que existe un yerro en la fórmula del artículo 15 de la Resolución CRA 287 de 2004, ya que el símbolo “sumatoria” no es consistente con lo que conceptualmente se quiere expresar en la fórmula, por lo que se hace necesaria la aclaración pertinente;
Que por un error de trascripción en el artículo 17 de la citada resolución, se incluyó la palabra “mensual” para el componente ITO, lo cual no es consistente con los demás sumandos que están expresados en términos anuales, por lo que se debe aclarar que el valor promedio es anual;
Que en el artículo 25 de la Resolución CRA 287 de 2004, equivocadamente se hace referencia al artículo 31 cuando realmente el costo medio de inversión de terrenos se encuentra definido en el artículo 36 de la misma, por lo que es preciso hacer la aclaración en este sentido;
Que el artículo 32 de la Resolución CRA 287 de 2004 establece la forma de calcular el VPIRER, no obstante por un error en el texto del mismo se hace referencia al Costo Medio de Inversión (CMI), por esto debe entenderse que el componente que se calcula es el VPIRER;
Que el artículo 25 de la Resolución 287 de 2004 hace referencia, en la definición del CMIT, al artículo 31, cuando realmente el CMIT se explica en el artículo 36 de la misma resolución;
Que por un error, el parágrafo 2 del artículo 44 ibídem hace referencia al artículo 6o de la Resolución CRA 287 de 2004, cuando en realidad debe referirse al artículo 7o de la misma resolución. Adicionalmente se hace necesario aclarar que el valor de referencia de $8.000 para calcular el CMAref contenido en el artículo 44 de la Resolución CRA 287 de 2004 se encuentra expresado en precios de diciembre de 2003, a efectos de guardar consistencias con las demás fechas señaladas en el mismo artículo;
Que por un error en los artículos 44 y 45 de la citada resolución, se excluyó el total de suscriptores, en el caso del CMA, y el volumen facturado, en el caso del CMO, en las fórmulas, lo cual no es consistente con el texto de la resolución, por lo que es preciso realizar la respectiva aclaración;
Que antes de la expedición de la Resolución 287 de 2004 los componentes de CMO y CMI se expresaban como el Costo Medio de Largo Plazo, CMLP, por lo que en el artículo 45 de la Resolución 287 de 2004 se debe referir al CMLP y no al CMOI, cuando se trate de la metodología tarifaria derogada por la Resolución 287 de 2004;
Que en el numeral 1.1 del Anexo 1 de la Resolución CRA 287, se hace referencia a los costos definidos en el artículo 2o cuando en realidad los costos se definen en el artículo 7o y el componente ICTA en el artículo 9o;
Que en mérito de lo expuesto, la Comisión de Regulación de Agua Potable y Saneamiento Básico,
RESUELVE:
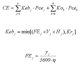
ARTÍCULO 1o. <Resolución derogada por el artículo 36 de la Resolución 825 de 2017> Aclarar que la fórmula del artículo 15 de la Resolución CRA 287 de 2004, debe entenderse de la siguiente forma:
“Artículo 15. Costo de energía. El costo total de energía eléctrica para cada servicio se define de la siguiente manera:

Donde:
| CE: | Costo eficiente de energía consumida en procesos operativos ($/año) diferente a las necesarias para la operación de equipos móviles o portátiles sin posibilidad de conexiones a tomas fijas. | 
| Kebj: | Consumo eficiente de energía utilizada bombeos en el punto j de toma (kWh/año). | 
| Kok: | Consumo de energía utilizada en procesos operativos diferentes al bombeo, en el punto k de toma (kWh/año). | 
| Krj: | Consumo real de energía utilizada en bombeo en el punto de toma j (kWh/año). | 
| Pcej: | Precio eficiente de la energía en el punto de toma j del sistema de bombeo j, correspondiente a la alternativa de mínimo costo, de conformidad con lo establecido en el parágrafo 1o del presente artículo ($/kWh). | 
| Pcek: | Precio eficiente de la energía en el punto de toma k a partir del cual se obtiene la energía consumida en procesos operativos diferentes al bombeo, de conformidad con lo establecido en el parágrafo  del presente artículo ($/kWh). | 
| FEj: | Factor de energía de cada punto de toma j de bombeo (kN/m3). | 
| Vj: | Volumen bombeado durante el año previo a la aplicación del modelo DEA, en cada punto de toma j (m3/año). | 
| Hi: | Altura dinámica total del sistema de bombeo conectado al punto de toma j (m) | 
| n: | Número de puntos de toma a los que se conectan los sistemas de bombeo de la persona prestadora. | 
| m: | Número de puntos de toma para obtener la energía consumida en procesos operativos diferentes al bombeo. | 
|  | Eficiencia mínima de bombeo de 60%. | 
|  | Peso unitario del fluido bombeado, en el punto de toma j del sistema (kN/m3). Máximo 10.5 para agua residual y combinada. | 
PARÁGRAFO 1o. La contratación del suministro de energía se deberá hacer previo cumplimiento del procedimiento regulado de concurrencia de oferentes. En todo caso, el ente de vigilancia y control o el ente regulador, podrán verificar que los precios incluidos correspondan a los precios pactados en la celebración del contrato, o en su defecto, a los del mercado regulado.
PARÁGRAFO 2o. Para efectos de la aplicación del presente artículo, no se reconocerá dentro del componente CE el costo de la energía eléctrica facturada como energía con potencia reactiva, lo que implica que en la variable Pce, solamente se reconocerá la potencia efectiva o activa.
PARÁGRAFO 3o. En el caso de la utilización de otras fuentes energéticas para realizar procesos operativos, que sean diferentes a las necesarias para la operación de vehículos u otros equipos móviles o portátiles que empleen ACPM o Fuel Oil, el prestador deberá soportar tal decisión en su estudio de costos, comparando los costos en que incurriría si su fuente fuese eléctrica en caso de tener acceso a esta, o sustentando la imposibilidad del acceso de energía eléctrica.
ARTÍCULO 2o. <Resolución derogada por el artículo 36 de la Resolución 825 de 2017> Aclarar que la palabra “mensual” a la que hace referencia el primer inciso del artículo 17 de la Resolución CRA 287 de 2004 debe ser entendida como “anual”.
ARTÍCULO 3o. <Resolución derogada por el artículo 36 de la Resolución 825 de 2017> Aclarar que el costo medio de inversión de terrenos al que se refiere el artículo 25 de la Resolución CRA 287 de 2004, es el definido en el artículo 36 de la misma.
ARTÍCULO 4o. <Resolución derogada por el artículo 36 de la Resolución 825 de 2017> Aclarar que el término “CMI” que se encuentra en el inciso 1o del artículo 32 de la Resolución CRA 287 de 2004, debe entenderse como “VPIRER”.
ARTÍCULO 5o. <Resolución derogada por el artículo 36 de la Resolución 825 de 2017> Aclarar que la Remisión, que sobre el CMIT, se hace en el artículo 25 de la Resolución 287 de 2004 se refiere al artículo 36 de la misma resolución.
ARTÍCULO 6o. <Resolución derogada por el artículo 36 de la Resolución 825 de 2017> Aclarar que el CMA calculado a partir del PUC de que trata el parágrafo 2o del artículo 44 de la Resolución CRA 287 de 2004, es el depurado de conformidad con lo señalado en el artículo 7o de la misma resolución.
ARTÍCULO 7o. <Resolución derogada por el artículo 36 de la Resolución 825 de 2017> Aclarar que la fórmula del artículo 44 de la Resolución 287 de 2004, debe entenderse de la siguiente forma:
“Artículo 44. Período de Transición Regulatoria. Para efectos de la aplicación de la presente resolución en su componente CMA, se generará una transición en dos períodos. El primer período comprenderá desde la expedición de la presente resolución hasta la aplicación de los resultados obtenidos con base en el modelo DEA. El segundo período se extenderá desde la aplicación de los resultados obtenidos con base en el modelo DEA máximo hasta el 31 de diciembre de 2005.
“Los Costos de Transición Administrativos para los servicios de Acueducto Alcantarillado para cada mes del primer período se calcularán de la siguiente forma:”

Siendo:

Donde:
|  ac: | Variación mensual aplicada al CMA vigente, durante el primer período (T1), para obtener los Costos de Transición Administrativos, para acueducto. | 
|  al: | Variación mensual aplicada al CMA vigente, durante el primer período (T1), para obtener los Costos de Transición Administrativos, para alcantarillado. | 
| CTrAT1i: | Costos de Transición Administrativos del operador en el primer período de la transición regulatoria para el mes i. | 
| CMA vigenteac: | Costo Medio de Administración cobrado antes de la expedición de la presente Resolución, del servicio de acueducto. | 
| CMA vigenteal: | Costo Medio de Administración cobrado antes de la expedición de la presente resolución, del servicio de alcantarillado. | 
| i: | Corresponde al número del mes de la transición en el primer período (1, 2, 3,...) | 
| CMArefac: | Menor valor a escoger entre las siguientes dos opciones: (CAPUC2003 + ICTA2003) / # suscriptores de 2003, para cada servicio de acuerdo con el Sac; y $8.000 distribuido para cada servicio de acuerdo con el Sac ($ / suscriptor / mes), a precios de diciembre de 2003. | 
| CMArefal: | Menor valor a escoger entre las siguientes dos opciones: (CAPUC2003 + ICTA2003) / # suscriptores de 2003, para cada servicio de acuerdo con el porcentaje de 1- Sac; y $8.000 distribuido para cada servicio de acuerdo con el Sac ($ / suscriptor / mes), a precios de diciembre de 2003. | 
| T: | Número de meses comprendidos desde la expedición de la presente resolución hasta el 31 de diciembre de 2005 | 
“En el primer período de la transición el operador podrá ajustar su CMA de acuerdo con lo dispuesto. Alternativamente, si el ajuste del CMA es hacia la baja, podrá ajustarlo inmediatamente”.
“Los Costos de Transición Administrativos para cada mes del segundo período se calcularán de la siguiente forma:”

Siendo:

Donde:
|  ac: | Variación mensual, durante el segundo período (T2) aplicada al CMAT1n, para obtener los Costos de Transición Administrativos en este período, para el servicio de acueducto. | 
|  al: | Variación mensual, durante el segundo período (T2) aplicada al CMAT1n, para obtener los Costos de Transición Administrativos en este período, para el servicio de alcantarillado. | 
| CTrAT2j: | Costo Medio de Administración del operador en el segundo período de la transición regulatoria (T2) para el mes j. | 
| CMAT1n: | Costo Medio de Administración aplicado en el último mes (n) del primer período de la transición (T1) | 
| j: | Corresponde al número del mes de la transición en el segundo período (1, 2, 3,...) | 
| CMAop: | CMA adoptado por el operador a partir de la aplicación de los resultados del modelo de eficiencia comparativa, o un menor valor si el operador así lo decide, de acuerdo a lo contemplado en la presente resolución. | 
| Ci: | Compensaciones mensuales variables por mayores o menores ingresos generados a partir de la expedición de la presente resolución, cuando C es positivo no podrá ser mayor que el 15% de CMAop. | 
| n: | Ultimo mes del primer período de transición regulatoria. | 
“Mensualmente la empresa deberá contabilizar el cumplimiento de la compensación de los ingresos recibidos o dejados de recibir durante la primera y segunda etapas de la transición y sumarlo al cálculo de su CMA. Se entenderá que se han compensado totalmente los ingresos cuando la empresa obtenga un saldo entre mayores ingresos y menores ingresos igual o menor que cero”.
Para lo anterior se deberá cumplir lo siguiente:

Donde:
| N: | Número de suscriptores del prestador. | 
| T: | Mes de finalización de la transición. | 
| K: | Mes de finalización de las compensaciones. | 
| h: | Número del mes del período durante el cual se realizan los dos períodos de transición. | 
| l: | Número del mes del período durante el cual se realizan las compensaciones. | 
“Si la empresa decide establecer un incremento mensual menor al resultante de la aplicación de esta Resolución, esta circunstancia constituirá una reducción voluntaria del cargo aprobado, de tal forma que el cálculo de la compensación se hará teniendo en cuenta únicamente lo establecido en esta resolución. En todo caso, la medida inmediata para el primer período de transición, deberá ser como mínimo la resultante del cálculo del, si este representa una disminu ción de los costos”.
“Si Ci es positivo, la compensación podrá extenderse por un período de 24 meses, a partir del inicio del segundo período de la transición. En caso de requerirse una extensión adicional de la medida, el prestador deberá solicitar la autorización de la CRA”.
“Si Ci es negativo, la compensación tendrá una fecha máxima de aplicación del 31 de diciembre de 2005”.
“Parágrafo 1o. La transición que se menciona en este artículo se hace sin perjuicio de las transiciones tarifarias señaladas en la ley, a las cuales se ajustará el operador.”
“Parágrafo 2o. El CMA, calculado a partir del PUC, del que se habla en el inciso segundo de este artículo es el depurado en sus cuentas como lo señala el artículo 7o de la presente resolución a precios de diciembre de 2003”.
“Parágrafo 3o. Para el cálculo del Valor Presente (VP) se utilizará el IPC asociado al mes del período tarifario, según la publicación que realice el DANE”.
“Parágrafo 4o. Para efectos de la transición en la facturación, las personas prestadoras la aplicarán a partir de la segunda facturación o dos meses a partir de la expedición de la presente resolución, lo que se dé primero, esto sin perjuicio de las compensaciones que se deban dar sobre los dos primeros meses”.
ARTÍCULO 8o. <Resolución derogada por el artículo 36 de la Resolución 825 de 2017> Aclarar que la fórmula del artículo 45 de la Resolución CRA 287 de 2004, debe ser entendida de la siguiente manera:
“Artículo 45. Período de Transición Regulatoria para el CMI y CMO. Para efectos de la aplicación de la presente resolución en sus componentes CMO y CMI (CMOI), se generará un período de transición hasta el 31 de diciembre de 2005”.
“La transición prevista en el presente artículo, se deberá aplicar dando prioridad al objetivo de extender y mantener la cobertura de los servicios de acueducto y alcantarillado, de tal forma que sin renunciar a los objetivos de obtener mejoras en la eficiencia, competencia y calidad se expanda y/o mantenga la cobertura”.
“Los Costos de Transición del CMO y el CMI sumados (CMOI) para cada mes del período de transición se calculará de la siguiente forma:”

Siendo:

Donde:
|  : | Variación mensual aplicada, durante el período de transición, al CMLP vigente antes de la aplicación de la transición establecida en el presente artículo, para el servicio de acueducto. | 
|  | Variación mensual aplicada, durante el período de transición, al CMLP vigente antes de la aplicación de la transición establecida en el presente artículo, para el servicio de alcantarillado. | 
|  : | Costos de transición de los costos de operación y de inversión. | 
| CMLP vigente: | Costo Medio de Largo Plazo vigente antes de la expedición de la presente resolución. | 
| i: | Corresponde al número del mes de la transición (1, 2, 3,...) | 
| CMOIop: | Costo Medio de operación y de inversión adoptado por el operador de acuerdo con la metodología tarifaria. | 
| Ci: | Compensaciones mensuales variables por mayores o menores ingresos generados a partir de aplicación del CMI y del CMO de conformidad con lo establecido en la presente resolución. Cuando el C es positivo no podrá ser mayor que el 15% de CMOIop. | 
| T: | Número de meses comprendidos entre la presentación del estudio de costos por parte del operador y el 31 de diciembre de 2005. | 
“Mensualmente la empresa deberá contabilizar el cumplimiento de la compensación de los ingresos recibidos o dejados de recibir durante el período de transición y sumarlo al cálculo de su CMOI. Se entenderá que se han compensado totalmente los ingresos cuando la empresa obtenga un saldo entre mayores ingresos y menores ingresos igual a cero”.
“Para lo anterior se deberá cumplir lo siguiente:”

Donde:
| VFh: | Volumen facturado ( m3) | 
| T: | Mes de finalización de la transición | 
| K: | Mes de finalización de las compensaciones. | 
| h: | Número del mes del período durante el cual se realiza la transición. | 
| l: | Número del mes del período durante el cual se realiza la compensación. | 
“Si la empresa decide establecer un incremento mensual menor al resultante de la aplicación de esta Resolución, esta circunstancia constituirá una reducción voluntaria del cargo aprobado, de tal forma que el cálculo de la compensación se hará teniendo en cuenta únicamente lo establecido en esta resolución”.
“Si Ci es positivo, la compensación podrá extenderse por un período de 24 meses, a partir del inicio del período de la transición. En caso de requerirse una extensión adicional de la medida, el prestador deberá solicitar la autorización de la CRA”.
“Si Ci es negativo, la compensación tendrá como máximo un período de aplicación igual a 12 meses a partir del inicio del período de transición para estos componentes”.
“Parágrafo 1o. La transición que se menciona en este artículo se hace sin perjuicio de las transiciones tarifarias señaladas en la ley, a las cuales se ajustará el operador”.
“Parágrafo 2o. Para el cálculo del valor presente (VP) se utilizará el IPC asociado al mes del período tarifario, según la publicación que realice el DANE”.
ARTÍCULO 9o. <Resolución derogada por el artículo 36 de la Resolución 825 de 2017> Aclarar que los costos a los que se refiere el numeral 1.1 del Anexo 1 de la Resolución CRA 287 de 2004, son los definidos en el artículo 9o de la misma.
ARTÍCULO 10. VIGENCIA. <Resolución derogada por el artículo 36 de la Resolución 825 de 2017> La presente resolución rige a partir de la fecha de su publicación en el Diario Oficial.
Publíquese y cúmplase.
Dada en Bogotá, D. C., a 17 de noviembre de 2005.
La Presidenta,
LEYLA ROJAS MOLANO.
El Director Ejecutivo,
MAURICIO MILLÁN DREWS.
 
														 
															