RESOLUCION CRA 287 DE 2004
(mayo 25)
Diario Oficial No. 45.573, de 8 de Junio de 2004
COMISIÓN DE REGULACIÓN DE AGUA POTABLE Y SANEAMIENTO BÁSICO
<NOTA DE VIGENCIA: Resolución derogada por el artículo 36 de la Resolución 825 de 2017>
Por la cual se establece la metodología tarifaria para regular el cálculo de los costos de prestación de los servicios de acueducto y alcantarillado.
La Comisión de Regulación de Agua Potable y Saneamiento Básico,
en ejercicio de sus facultades legales, en especial de las conferidas en la Ley 142 de 1994, en el Decreto 1524 de 1994 y en el Decreto 1905 de 2000, y
CONSIDERANDO:
Que el artículo 365 de la Constitución Política dispone que los servicios públicos son inherentes a la finalidad social del Estado y que es deber del Estado asegurar su prestación eficiente a todos los habitantes del territorio nacional;
Que el artículo 370 del Ordenamiento Constitucional, prevé que corresponde al Presidente de la República señalar, con sujeción a la ley, las políticas generales de administración y control de eficiencia de los servicios públicos domiciliarios y ejercer por medio de la Superintendencia de Servicios Públicos Domiciliarios, el control, la inspección y vigilancia de las entidades que los presten;
Que el artículo 68 de la Ley 142 de 1994 establece que el señalamiento de esas políticas, se podrá delegar en las Comisiones de Regulación;
Que en virtud de lo anterior, el Presidente de la República mediante Decreto 1524 de 1994, delegó las funciones presidenciales de señalar políticas generales de administración y control de eficiencia en los servicios públicos domiciliarios, en las Comisiones de Regulación;
Que el artículo 2o. de la Ley 142 de 1994 señala que el Estado intervendrá en los servicios públicos, en el marco de lo dispuesto en los artículos 334, 336, y 365 a 370 de la Constitución Política para, entre otros, asegurar su prestación eficiente;
Que el artículo 3o. ibídem preceptúa que constituyen instrumentos para la intervención estatal en los servicios públicos, todas las atribuciones y funciones asignadas a las entidades, autoridades y organismos de que trata esta ley, especialmente las relativas, entre otras, a la regulación de la prestación de los servicios públicos, teniendo en cuenta las características de cada región; a la fijación de metas de eficiencia, cobertura y calidad, evaluación de las mismas, y a la definición del régimen tarifario;
Que el artículo 11 ibídem, dispone que para cumplir con la función social de la propiedad, pública o privada, las entidades que presten servicios públicos tienen, entre otras, la obligación de asegurar que el servicio se preste en forma continua y eficiente, y sin abuso de la posición dominante;
Que, de conformidad con el numeral 14.10 del artículo 14 de la Ley 142 de 1994, la libertad regulada, es el régimen de tarifas mediante el cual la Comisión de Regulación respectiva fija los criterios y la metodología con arreglo a los cuale s las personas prestadoras de servicios públicos domiciliarios pueden determinar o modificar los precios máximos para los servicios ofrecidos al usuario o consumidor.;
Que de conformidad con el numeral 14.18 del artículo 14 de la Ley 142 de 1994, la regulación de los servicios públicos domiciliarios es la facultad de dictar normas de carácter general o particular en los términos de la Constitución y de esta ley, para someter la conducta de las personas que prestan los servicios públicos domiciliarios a las reglas, normas, principios y deberes establecidos por la ley y los reglamentos;
Que el artículo 73 ibídem establece que las Comisiones de Regulación tienen la función de regular los monopolios en la prestación de los servicios públicos, cuando la competencia no sea, de hecho, posible; y, en los demás casos, la de promover la competencia entre quienes presten servicios públicos, para que las operaciones de los monopolistas o de los competidores sean económicamente eficientes, no impliquen abuso de la posición dominante, y produzcan servicios de calidad;
Que el régimen tarifario aplicable a los servicios públicos domiciliarios, de conformidad con el numeral 86.4 del artículo 86 ibídem, está compuesto por reglas relativas a procedimientos, metodologías, fórmulas, estructuras, estratos, facturación, opciones, valores y, en general, todos los aspectos que determinan el cobro de las tarifas;
Que el artículo 87 ibídem preceptúa que el régimen tarifario estará orientado por los criterios de eficiencia económica, neutralidad, solidaridad, redistribución, suficiencia financiera, simplicidad y transparencia;
Que, de conformidad con el artículo 88 de la Ley 142 de 1994, al fijar sus tarifas, las personas prestadoras se someten al régimen de regulación, definido por la respectiva Comisión de Regulación;
Que, de conformidad con el numeral 88.1 del artículo 88 ibídem, las personas prestadoras deberán ceñirse a las fórmulas que defina periódicamente la respectiva Comisión para fijar sus tarifas de acuerdo con los estudios de costos. La comisión reguladora podrá establecer topes máximos y mínimos tarifarios, de obligatorio cumplimiento por parte de las empresas; e igualmente podrá definir las metodologías para la fijación de tarifas, si conviene en aplicar el régimen de libertad regulada o vigilada;
Que de conformidad con el artículo 90 de la Ley 142 de 1994, los elementos de las fórmulas tarifarias, sin perjuicio de otras alternativas que puedan definir las Comisiones de Regulación, podrán incluir un cargo por unidad de consumo, un cargo fijo y un cargo por aportes de conexión, cuyo cobro en ningún caso podrá contradecir el principio de la eficiencia, ni trasladar al usuario los costos de una gestión ineficiente o extraer beneficios de posiciones dominantes o de monopolio;
Que el precitado artículo establece que las Comisiones de Regulación podrán diseñar y hacer públicas diversas opciones tarifarias que tomen en cuenta diseños óptimos de tarifas;
Que el artículo 92 ibídem dispone que: "En las fórmulas de tarifas las comisiones de Regulación garantizarán a los usuarios a lo largo del tiempo los beneficios de la reducción promedia de costos en las empresas que prestan el servicio; y, al mismo tiempo, darán incentivos a las empresas para ser más eficientes que el promedio, y para apropiarse los beneficios de la mayor eficiencia";
Que con ese propósito, al definir en las fórmulas los costos y gastos típicos de operación de las personas prestadoras de servicios públicos, las comisiones utilizarán no sólo la información propia de la empresa, sino la de otras personas prestadoras que operen en condiciones similares, pero que sean más efic ientes;
Que también podrán las comisiones, con el mismo fin, corregir en las fórmulas los índices de precios aplicables a los costos y gastos de la empresa con un factor que mida los aumentos de productividad que se esperan en ella y, permitir que la fórmula distribuya entre la empresa y el usuario los beneficios obtenidos con tales aumentos;
Que el artículo 163 ibídem establece que las fórmulas tarifarias, además de tomar en cuenta los costos de expansión y reposición de los sistemas de agua potable y saneamiento básico, incluirán los costos de administración, operación y mantenimiento asociados con el servicio. Además, tendrán en cuenta indicadores de gestión operacional y administrativa, definidos de acuerdo con indicadores de personas prestadoras comparables más eficientes que operen en condiciones similares. Incluirán también un nivel de pérdidas aceptable según la experiencia de otras personas prestadoras eficientes;
Que mediante las Resoluciones CRA 08 y 09 de 1995, se establecieron las metodologías con arreglo a las cuales las entidades prestadoras de servicios públicos de acueducto y alcantarillado con más de ocho mil usuarios, debían fijar sus tarifas;
Que mediante Resolución 15 de 1996, se establecieron los criterios y se adoptó la metodología con arreglo a la cual las empresas de servicios públicos domiciliarios de acueducto y alcantarillado con menos de ocho mil usuarios debían determinar las tarifas de prestación del servicio;
Que la Comisión adoptó en Resolución 03 de 1996, para todos los prestadores de los servicios de acueducto y alcantarillado, en el territorio nacional, el "régimen de libertad regulada";
Que es necesario definir de manera general la forma como se establecerá el criterio de eficiencia en los Costos Medios de Administración (CMA) de los servicios de acueducto y alcantarillado, de conformidad con los resultados que arroje un modelo de frontera eficiente, para ser aplicado a más tardar el 31 de diciembre de 2004;
Que se hace necesario definir de manera general la forma como se establecerá el criterio de eficiencia en los Costos Medios de Operación (CMO) de los servicios de acueducto y alcantarillado, de conformidad con los resultados que arroje un modelo de frontera eficiente, para ser aplicado a más tardar el 31 de diciembre de 2004;
Que en los eventos en que no sea posible establecer el criterio de eficiencia comparativa, se hace necesario reconocer las particularidades de los prestadores mediante componentes de paso directo;
Que, desde el punto de vista regulatorio, vía tarifa, sólo se deben recuperar los costos y gastos típicos en que incurre la empresa para garantizar el servicio;
Que las personas prestadoras de servicios públicos, con el fin de garantizar la calidad y continuidad del servicio, deben asegurar que los activos destinados a satisfacer determinada demanda, sean repuestos o reparados cuando ello sea necesario, por otros similares o de mejores características técnicas y de capacidad;
Que de conformidad con artículo 50 del Capítulo IX del Título I de la Resolución 1096 de 2000 "Reglamento Técnico del Sector de Agua Potable y Saneamiento Básico (RAS)", expedido por el entonces Ministerio de Desarrollo Económico, el diseño de cualquier sistema en el sector de agua potable y saneamiento básico, debe someterse a una evaluación socioeconómica y estar sujeto a un plan de construcción, operación, mantenimiento y expansión de mínimo costo;
Que los procedimientos de mínimo costo y cuellos de botella se deben aplicar teniendo en cuenta metodologías como la presentada en el artículo: "Análisis de Costo Mínimo ", publicado en la Revista ACODAL número 144 de 1990;
Que siguiendo lo establecido en artículo 14 del Capítulo IV del Título I de la misma resolución, las Entidades Territoriales, las personas prestadoras de servicios públicos y otras que promuevan y desarrollen inversiones en el sector, deben identificar claramente los proyectos de infraestructura cuyo desarrollo es prioritario en su jurisdicción, en relación con el sector de agua potable y saneamiento básico, con el propósito de satisfacer necesidades inherentes al sector, racionalizando los recursos e inversiones, de forma que se garantice la sostenibilidad económica de los proyectos;
Que el artículo 2.2.4.3 del Plan General de Contabilidad Pública, expedido por la Contaduría General de la Nación, establece que la vida útil de un activo depreciable debe definirse por parte del ente público, en relación con su servicio esperado. Para el efecto, dicho Plan General establece una guía con los años de vida útil de los diferentes activos;
Que el Plan de Contabilidad para Entes Prestadores de Servicios Públicos Domiciliarios de Acueducto, Alcantarillado, Aseo, Energía, Gas Combustible y Telecomunicaciones, de la Superintendencia de Servicios Públicos Domiciliarios, se elaboró observando las normas y la metodología establecidas en el Plan General de Contabilidad Pública;
Que es necesario establecer regulatoriamente un rango de valores para determinar la vida útil promedio del sistema en condiciones normales de operación, en cuyo cálculo las personas prestadoras puedan considerar características particulares;
Que se hace necesario que la Comisión de Regulación establezca los criterios técnicos y económicos con base en los cuales se valoran los activos de las empresas;
Que se hace necesario que la nueva metodología tarifaria contemple una transición para el empalme entre la tarifas aplicadas al momento de expedición de la presente resolución y los costos resultantes de la aplicación de la nueva metodología tarifaria del actual período tarifario al que inicia a partir de la expedición de la resolución contentiva de la nueva metodología tarifaria, con el objeto de que los incrementos o las disminuciones en las tarifas que deban producirse, se realicen de manera gradual, de forma tal que los usuarios de los servicios de acueducto y alcantarillado no se vean sometidos a un aumento súbito respecto de las tarifas que deban sufragar en el siguiente período tarifario y, en los eventos en que la tendencia sea la disminución de las tarifas, que las empresas dispongan de la posibilidad de aplicar los correctivos necesarios en su estructura de costos para adaptarlos a los criterios de eficiencia establecidos por la Comisión;
Que el artículo 126 de la Ley 142 de 1994, estableció que las fórmulas tarifarias tendrán una vigencia de cinco años y, que vencido dicho período, continuarán rigiendo mientras la comisión no fije unas nuevas;
Que consistente con lo anterior en los antecedentes de la metodología tarifaria de acueducto y alcantarillado, la Comisión de Regulación de Agua Potable y Saneamiento Básico, desde el año 2000, dio inicio a las actuaciones administrativas tendientes a la fijación de nuevas fórmulas tarifarias, dando aplicación al artículo 127 de la disposición en comento;
Que la honorable Corte Constitucional, mediante Sentencia C-150 de 2003, señaló que la participación directa de los usuarios de servicios públicos en el proceso previo a la adopción de regulaciones tiene como propósito desarrollar la democracia participativa, principio rector de la Constitución;
Que en la precitada Sentencia, la Corte Constitucional señala que los derechos de participación de los usuarios deben regirse por los parámetros constitucionales y por las n ormas legales aplicables a todas las decisiones de alcance general, como a las disposiciones regulatorias relativas a las tarifas de los servicios públicos domiciliarios;
Que en concordancia con lo anteriormente expuesto, las bases de la expedición de la nueva metodología fueron publicadas y han sido ampliamente debatidas con los prestadores, los usuarios y demás agentes del sector;
Que, en adición a la publicación y discusión de las bases, esta Comisión expidió la Resolución de Trámite CRA 276 de 2004, por la cual se presenta el proyecto de resolución para la determinación de la metodología tarifaria de los servicios de acueducto y alcantarillado, se inicia el proceso de discusión directa con los usuarios y agentes del sector y, se establece la metodología de realización de los conversatorios;
Que con ocasión del proceso participativo, se recibieron sugerencias, propuestas y comentarios por parte de usuarios, empresas y agentes del sector, las cuales fueron consideradas y estudiadas ampliamente por la Comisión y sirvieron para la toma de la decisión metodológica como consta en el Anexo 4 de la presente resolución;
Que la metodología tarifaria expedida por la Comisión debe permitir garantizar la prestación actual y futura de los servicios de acueducto y alcantarillado, así como su expansión, por lo que es responsabilidad de los prestadores incorporar dentro del marco definido por el regulador las inversiones que sean necesarias para la adecuada prestación del servicio;
Que de conformidad con lo previsto en el artículo 160 de la Ley 142 de 1994, cuando la Comisión de Regulación de Agua Potable y Saneamiento Básico aplique las normas de su competencia, deberá dar prioridad al objetivo de extender y mantener la cobertura de estos servicios, de tal forma que, sin renunciar a los objetivos de obtener mejoras en la eficiencia, competencia y calidad, estos se logren extendiendo y/o manteniendo la cobertura;
Que adicionalmente, al poner en práctica el nuevo esquema tarifario, debe tenerse en cuenta el principio de solidaridad y redistribución de ingresos con el propósito de tomar las medidas para asignar recursos a fondos de solidaridad y redistribución de ingresos y, procurar que los usuarios de estratos altos y los usuarios de los estratos industriales y comerciales, ayuden a los usuarios de estratos bajos a pagar las tarifas de los servicios que cubran sus necesidades básicas;
Que por su parte, establece el artículo 99.4 de la Ley 142 de 1994, que el presidente y los gobernadores podrán suspender a los alcaldes cuando sean negligentes en la aplicación de las normas relativas al pago de los subsidios; o cuando las infrinjan de cualquier otra manera;
Que en virtud de lo anterior, se hace necesario un adecuado funcionamiento de los fondos de solidaridad por parte de los municipios, entre otros, como mecanismo indispensable para mitigar, dentro de los límites legales, los efectos de eventuales incrementos tarifarios para los usuarios de menores ingresos;
Que por lo anteriormente expuesto, la Comisión de Regulación de Agua Potable y Saneamiento Básico,
RESUELVE:
ASPECTOS GENERALES.
ARTÍCULO 1o. AMBITO DE APLICACIÓN. <Resolución derogada por el artículo 36 de la Resolución 825 de 2017> <Artículo modificado por el artículo 116 de la Resolución 688 de 2014. El nuevo texto es el siguiente:> Esta resolución se aplica a las personas prestadoras de los servicios públicos domiciliarios de acueducto y alcantarillado con 5.000 o menos suscriptores en áreas urbanas, y las que atiendan en áreas rurales, con independencia del número de suscriptores.
ARTÍCULO 2o. COMPONENTES DE LAS FÓRMULAS TARIFARIAS. <Resolución derogada por el artículo 36 de la Resolución 825 de 2017> Las fórmulas tarifarias para los ser vicios de acueducto y alcantarillado incluyen un cargo fijo y un cargo por unidad de consumo.
En virtud de lo establecido en el artículo 90 de la Ley 142 de 1994, la Comisión regulará la opción tarifaria de prepago que deberá tener en cuenta, cuando fuere el caso, la reducción de costos que para la persona prestadora represente dicha opción y, creará las condiciones para su aplicación.
ARTÍCULO 3o. DEL CARGO FIJO PARA LA PRESTACIÓN DE LOS SERVICIOS PÚBLICOS DOMICILIARIOS DE ACUEDUCTO Y ALCANTARILLADO. <Resolución derogada por el artículo 36 de la Resolución 825 de 2017> El cargo fijo para cada uno de los servicios se determina con base en los costos medios de administración.
ARTÍCULO 4o. DEL CARGO POR CONSUMO PARA LA PRESTACIÓN DE LOS SERVICIOS PÚBLICOS DOMICILIARIOS DE ACUEDUCTO Y ALCANTARILLADO. <Resolución derogada por el artículo 36 de la Resolución 825 de 2017> El cargo para todos los rangos de consumo se determinará para cada servicio y se dividirá en tres componentes: el Costo Medio de Operación y Mantenimiento (CMO), el Costo Medio de Inversión (CMI) y el costo medio de tasas ambientales (CMT).
CCac = CMOac + CMIac + CMTac
CCal = CMOal + CMIal + CMTal
CCac: Cargo por consumo en Acueducto
CCal: Cargo por consumo en Alcantarillado
CMOac: Costo Medio de Operación y Mantenimiento en Acueducto
CMOal: Costo Medio de Operación y Mantenimiento en Alcantarillado
CMIac: Costo Medio de Inversión en Acueducto
CMIal: Costo Medio de Inversión en Alcantarillado
CMTac: Costo Medio por tasas ambientales en Acueducto
CMTal: Costo Medio por tasas ambientales en Alcantarillado
COSTO MEDIO DE ADMINISTRACIÓN.
ARTÍCULO 5o. DEFINICIÓN DE LOS COSTOS MEDIOS DE ADMINISTRACIÓN PARA LA PRESTACIÓN DE LOS SERVICIOS PÚBLICOS DOMICILIARIOS DE ACUEDUCTO Y ALCANTARILLADO. <Resolución derogada por el artículo 36 de la Resolución 825 de 2017> Los costos medios de administración para cada uno de los servicios objeto de la presente resolución, se definen tal como sigue:
Acueducto:

Alcantarillado:

Donde:
CMAac: Costo Medio de Administración en Acueducto.
CMAal: Costo Medio de Administración en Alcantarillado.
CTAe: Costo Total Eficiente de Administración de Acueducto y Alcantarillado.
Nac: Número Promedio Mensual de Suscriptores Facturados de Acueducto, para los años 2002 y 2003.
Nal: Número Promedio Mensual de Suscriptores Facturados de Alcantarillado de los años 2002 y 2003.
Sac: Proporción del CTAe que el prestador asigna al servicio de acueducto en la cuenta 5 del PUC, en relación con la suma de costos de acueducto y alcantarillado, de conformidad con el artículo 7o. de la presente resolución.
CTAe = CTADEA + (ICTA)
CTADEA = CA - E
CA: Costo promedio mensual de Administración de Acueducto y Alcantarillado al que se aplica DEA (sin impuestos), de conformidad con lo establecido en la presente resolución.
E: Proporción de costos administrativos reconocidos a la entidad prestadora, considerando su puntaje de eficiencia y los márgenes adicionales.
ICTA: Valor mensualizado de Impuestos, contribuciones y tasas clasificados dentro de los costos administrativos de acueducto y alcantarillado, sin incluir tasas ambientales, determinado de acuerdo con lo especificado en el artículo 9o. de la presente resolución.
![]()
PDEA: Puntaje de eficiencia comparativa máximo resultante de la aplicación del modelo adoptado en el artículo 8o. de la presente resolución.
El margen de 0.046 busca reconocer las particularidades no captadas en el modelo, tanto por los costos como por las variables explicativas.
El 1,03 es el factor máximo a aplicar a los costos comparables del PUC (CA), considerando una eficiencia máxima del 100% y una rentabilidad sobre el capital de trabajo del 3%.
PARÁGRAFO. El costo resultante de la aplicación de la metodología será un precio techo para el componente CTADEA. El piso para este mismo componente será el 50% del costo resultante de la aplicación de la metodología. En el evento en que un prestador considere que puede establecer unos costos de administración por debajo del límite del 50%, podrá hacerlo, previa aprobación por parte de la CRA.
ARTÍCULO 6o. <Resolución derogada por el artículo 36 de la Resolución 825 de 2017> Sin perjuicio de eventuales modificaciones o derogatorias a los códigos y descripciones a las referencias de las cuentas del PUC, para efectos de la presente resolución, la referencia a dichas cuentas corresponde al formato base del 2002, vigente para el año 2003, definido por la Superintendencia de Servicios Públicos Domiciliarios.
PARÁGRAFO. Sin perjuicio de las eventuales sanciones por el inadecuado manejo del plan de cuentas, para la aplicación de la metodología, la Comisión de Regulación de Agua y Saneamiento Básico, tomará la información de los estados financieros reportados al SUI bajo la codificación citada en la presente resolución. Sin embargo, en el caso en el que el regulado utilice códigos restringidos por la SSPD o incorpore rubros en códigos que no han sido destinados para dichos valores, este puede solicitar la inclusión o exclusión de rubros, justificando que dicho código equivale a cualquiera de las cuentas aceptadas en la metodología, previa aceptación de las mismas por parte de la Comisión de Regulación de Agua Potable y Saneamiento Básico.
ARTÍCULO 7o. ESPECIFICACIÓN DE LOS GASTOS DE ADMINISTRACIÓN ANUALES (CA). <Resolución derogada por el artículo 36 de la Resolución 825 de 2017> Se tomará como base para el cálculo del costo medio de administración, la información contenida como Gastos de administración (cuenta 51) y Provisiones, agotamiento, depreciaciones y amortizaciones (cuenta 53) en el Plan Unico de Cuentas (PUC), reportado por las personas prestadoras, en las dos vigencias inmediatamente anteriores al año de estimación del Costo Medio de Administración (CMA) a precios del año 2003 (año base).
De la cuenta de gastos de administración (cuenta 51), se excluirán las siguientes cuentas:
- Pensiones de jubilación, Cuotas partes de pensiones, Amortizaciones a cálculos actuariales, Amortizaciones a cuotas partes de bonos pensionales, Cuotas partes de bonos pensionales, Indemnizaciones sustitutivas (510206, 510207, 510208, 510209, 510210, 510211, 510212, 510213 y 510214).
- Sostenimiento de semovientes (511141).
- Impuestos contribuciones y tasas (5120).
De la cuenta de provisiones, depreciaciones y amortizaciones (cuenta 53) se incluirán únicamente las siguientes cuentas:
- Depreciaciones de propiedades, plantas y equipos (5330).
- Amortización de propiedades, plantas y equipos (5340), excluyendo semovientes (534001).
- Amortización de bienes entregados a terceros, empleados sólo para la prestación de servicios administrativos (5344).
- De la cuenta de Amortización de intangibles (5345) se incluirán solamente: Licencias (534507), Software (534508) y Servidumbres (534509).
PARÁGRAFO. Cuando los operadores utilicen cuentas operativas para incorporar los gastos comerciales propios de los servicios de acueducto y alcantarillado, deberán manifestarlo, de tal forma que sean incorporados como parte del costo total administrativo y excluido de los costos operacionales; toda vez que estas cuentas no sean el resultado de una transferencia de la cuenta 5 a la cuenta 6 o de la cuenta 5 a la cuenta 7 del PUC.
ARTÍCULO 8o. MODELO PARA DETERMINAR PDEA. <Resolución derogada por el artículo 36 de la Resolución 825 de 2017> Para determinar el parámetro PDEA de cada prestador se adopta el modelo de eficiencia comparativa con la metodología de Análisis de la Envolvente de Datos (DEA), especificado en el Anexo 1 que forma parte integral de la presente resolución.
PARÁGRAFO 1o. El modelo se estimará separadamente para los siguientes dos grupos de prestadores: (i) prestadores con más de 2.500 y hasta 25.000 suscriptores; (ii) prestadores con más de 25.000 suscriptores.
PARÁGRAFO 2o. Los prestadores que cuenten con diferentes sistemas de acueducto no interconectados podrán desagregar la información para que la metodología sea aplicada de forma independiente.
PARÁGRAFO 3o. Sin perjuicio de lo previsto en el presente artículo, para efectos de información al público, durante la vigencia del período regulatorio, la CRA realizará estimaciones anuales utilizando la metodología DEA.
ARTÍCULO 9o. ESPECIFICACIÓN DEL COMPONENTE DE IMPUESTOS, CONTRIBUCIONES Y TASAS CLASIFICADOS DENTRO DE LOS COSTOS ADMINISTRATIVOS (ICTA). <Resolución derogada por el artículo 36 de la Resolución 825 de 2017> El componente ICTA para el período en el que se aplicará el CMA, corresponderá al valor mensual promedio de los años 2002 y 2003, de la cuenta Impuestos, Contribuciones y Tasas de los Gastos Administrativos del PUC.
Los aumentos o disminuciones en impuestos, tasas y contribuciones que no son captados al momento del cálculo del ICTA del año 2003, dado que son derivados de disposiciones locales o nacionales adoptadas durante el año 2004, podrán ser incorporados como un componente adicional del ICTA, al momento de aplicación de la fórmula. De igual forma, los impuestos, contribuciones y tasas, creados o eliminados durante el período 2003-2004 que no son captados en el ICTA del año 2003, podrán ser incorporados o excluidos. Esta modificación sobre el ICTA promedio de los años 2002 y 2003 se estimará de acuerdo con las disposiciones legales que generen el cambio y, en todo caso, deberá ser soportado ante la CRA con el acto administrativo y/o legal que haya generado el mayor o menor valor del que se habla en este artículo.
PARÁGRAFO. Para efectos del cálculo del ICTA, no se deberán incluir de la cuenta Impuestos, Contribuciones y Tasas de los Gastos Administrativos del PUC (5120), los rubros correspondientes a los siguientes conceptos: Impuestos directos, tasa por utilización de recursos naturales, tasa por contaminación de recursos naturales, multas, san ciones, e intereses de mora.
Así mismo, no se podrán incluir los valores de impuestos o tasas sobre bienes o ingresos no relacionados con la prestación y administración de los servicios de acueducto y alcantarillado. En ningún caso se podrán incluir en el cálculo del ICTA pagos a los municipios como contraprestación por la administración u operación del sistema.
ARTÍCULO 10. DETERMINACIÓN DEL CMA PARA PRESTADORES QUE NO REPORTEN LA INFORMACIÓN SOLICITADA. <Resolución derogada por el artículo 36 de la Resolución 825 de 2017> Sin perjuicio de las sanciones y/o devoluciones por cobros no autorizados a que haya lugar, a los prestadores que no hayan reportado el PUC requerido para el período de cálculo y la información solicitada, se les asignará el menor costo medio resultante del modelo DEA incluyendo el ICTA, menos un 10%, hasta tanto no presenten la información necesaria. En todo caso, la extemporalidad en la presentación de la información no afectará los resultados de quienes sí la presenten.
En caso de que la información sobre el CMA previamente no existiera por entrada en operación de un prestador en el año de presentación de la información o por causa similar, este deberá reportar ante la CRA la información sobre este componente, sustentando debidamente tal situación.
ARTÍCULO 11. DETERMINACIÓN DEL CMA PARA LAS PERSONAS QUE PRESTEN LOS SERVICIOS DE ACUEDUCTO Y ALCANTARILLADO POR SEPARADO. <Resolución derogada por el artículo 36 de la Resolución 825 de 2017> Las personas que presten los servicios de acueducto y alcantarillado por separado, que tengan en común por lo menos el 60% de sus suscriptores, se unirán, para efectos de aplicar la presente metodología, simulando una empresa prestadora de los dos servicios, a través del siguiente tratamiento:
a) Se sumarán los costos administrativos de cada prestador para generar la variable de entrada al modelo CA (costo mensual promedio de administración);
b) A este insumo de costos administrativos se le asociará los productos (variables explicativas del modelo) de cada prestador, definidos en el Anexo 1 de la presente resolución, según corresponda a acueducto, alcantarillado o la suma de ambos, de tal forma que se constituya una unidad completa para incorporar al modelo con los demás prestadores;
c) La división final por servicios de los costos administrativos totales de acueducto y alcantarillado será el porcentaje promedio de la asignación de costos por servicios de los demás prestadores de la muestra;
d) En caso de que uno de los prestadores no reporte la información de los costos, la CRA realizará la actuación particular respectiva.
COSTO MEDIO DE OPERACIÓN.
ARTÍCULO 12. DETERMINACIÓN DEL COSTO MEDIO DE OPERACIÓN. <Resolución derogada por el artículo 36 de la Resolución 825 de 2017> El costo medio de operación para cada servicio estará determinado por dos componentes: uno particular del prestador y uno definido por comparación entre los prestadores, tal como se define a continuación:

Donde:
CMOac: Costo Medio de Operación en Acueducto.
CMOal: Costo Medio de Operació n en Alcantarillado.
CMOpac: Costo Medio de Operación particular del prestador en Acueducto.
CMOpal: Costo Medio de Operación particular del prestador en Alcantarillado.
CMOcac: Costo Medio de Operación definido por comparación en Acueducto.
CMOcal: Costo Medio de Operación definido por comparación en Alcantarillado.
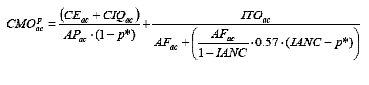
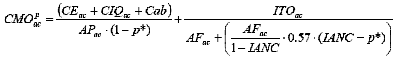
ARTÍCULO 13. COSTO MEDIO DE OPERACIÓN PARTICULAR. <Resolución derogada por el artículo 36 de la Resolución 825 de 2017> El costo particular se determina para cada servicio en función de los insumos directos de químicos para tratamiento, costos de energía utilizada para fines estrictamente operativos, costos operativos del tratamiento de aguas residuales e impuestos y tasas clasificados como costos operativos diferentes de las tasas ambientales. El costo medio de operación particular se define así:
Acueducto:

Alcantarillado:

Donde:
APac: Agua producida en el sistema de acueducto (medida a la salida de la planta) correspondiente al año base.
AVal: Sumatoria de vertimientos facturados por el prestador, asociados al consumo de acueducto y fuentes alternas, correspondiente al año base.
AFac: Agua facturada en el sistema de acueducto del año base.
p*: Nivel máximo aceptable de pérdidas, definido por la CRA.
CEac: Costo total de la energía para el servicio de acueducto del año base.
CEal: Costo de la energía ut ilizada en las redes de recolección y evacuación para el servicio de alcantarillado, del año base.
CIQac: Costo de insumos químicos (subcuenta 753701) asignado al servicio de acueducto, correspondiente al año base.
CTRal: Costos de tratamiento de aguas residuales, correspondiente al año base.
ITOac: Impuestos y tasas operativas para el servicio de acueducto
ITOal: Impuestos y tasas operativas para el servicio de alcantarillado
IANC: Indice de Agua no Contabilizada del operador
0.57: Factor de ajuste por excedente de pérdidas comerciales del operador.
PARÁGRAFO 1o. Los prestadores que tienen contratos de suministro de agua en bloque, para compra, tendrán un sumando adicional en el componente particular de acueducto, así:

Donde:
Cab: Costo del suministro de agua en bloque de los prestadores que tienen contrato de compra, del año base.
PARÁGRAFO 2o. Para efectos de la presente resolución, se entenderá por año base el año inmediatamente anterior al cálculo de los costos contemplados en la presente resolución.
ARTÍCULO 14. COSTO DE LOS INSUMOS QUÍMICOS PARA POTABILIZACIÓN. <Resolución derogada por el artículo 36 de la Resolución 825 de 2017> El operador deberá estimar consumos y precios eficientes de insumos químicos para potabilización, para lo cual incorporará en sus estudios de costos, los análisis de dosificaciones óptimas y el soporte del precio de compra de estos, a través de la suscripción de un contrato de suministro que cumpla con el procedimiento regulado de concurrencia de oferentes.
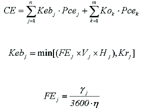
ARTÍCULO 15. COSTO DE ENERGÍA. <Resolución derogada por el artículo 36 de la Resolución 825 de 2017> <Artículo aclarado por el artículo 1 de la Resolución 345 de 2005. El nuevo texto es el siguiente:> El costo total de energía eléctrica para cada servicio se define de la siguiente manera:

Donde:
CE: Costo eficiente de energía consumida en procesos operativos ($/año) diferente a las necesarias para la operación de equipos móviles o portátiles sin posibilidad de conexiones a tomas fijas.
Kebj: Consumo eficiente de energía utilizada bombeos en el punto j de toma (kWh/año).
Kok: Consumo de energía utilizada en procesos operativos diferentes al bombeo, en el punto k de toma (kWh/año).
Krj: Consumo real de energía utilizada en bombeo en el punto de toma j (kWh/año).
Pcej: Precio eficiente de la energía en el punto de toma j del sistema de bombeo j, correspondiente a la alternativa de mínimo costo, de conformidad con lo establecido en el parágrafo 1o del presente artículo ($/kWh).
Pcek: Precio eficiente de la energía en el punto de toma k a partir del cual se obtiene la energía consumida en procesos operativos diferentes al bombeo, de conformidad con lo establecido en el parágrafo 1o del presente artículo ($/kWh).
FEj: Factor de energía de cada punto de toma j de bombeo (kN/m3).
Vj: Volumen bombeado durante el año previo a la aplicación del modelo DEA, en cada punto de toma j (m3/año).
Hi: Altura dinámica total del sistema de bombeo conectado al punto de toma j (m)
n: Número de puntos de toma a los que se conectan los sistemas de bombeo de la persona prestadora.
m: Número de puntos de toma para obtener la energía consumida en procesos operativos diferentes al bombeo.
: Eficiencia mínima de bombeo de 60%.
j: Peso unitario del fluido bombeado, en el punto de toma j del sistema (kN/m3). Máximo 10.5 para agua residual y combinada.
PARÁGRAFO 1o. La contratación del suministro de energía se deberá hacer previo cumplimiento del procedimiento regulado de concurrencia de oferentes. En todo caso, el ente de vigilancia y control o el ente regulador, podrán verificar que los precios incluidos correspondan a los precios pactados en la celebración del contrato, o en su defecto, a los del mercado regulado.
PARÁGRAFO 2o. Para efectos de la aplicación del presente artículo, no se reconocerá dentro del componente CE el costo de la energía eléctrica facturada como energía con potencia reactiva, lo que implica que en la variable Pce, solamente se reconocerá la potencia efectiva o activa.
PARÁGRAFO 3o. En el caso de la utilización de otras fuentes energéticas para realizar procesos operativos, que sean diferentes a las necesarias para la operación de vehículos u otros equipos móviles o portátiles que empleen ACPM o Fuel Oil, el prestador deberá soportar tal decisión en su estudio de costos, comparando los costos en que incurriría si su fuente fuese eléctrica en caso de tener acceso a esta, o sustentando la imposibilidad del acceso de energía eléctrica.
ARTÍCULO 16. COSTO DE OPERACIÓN DE TRATAMIENTO DE AGUAS RESIDUALES (CTR). <Resolución derogada por el artículo 36 de la Resolución 825 de 2017> El costo de operación de sistemas de tratamiento de aguas residuales podrá ser incorporado por el prestador en el estudio tarifario discriminado por componentes con base en el caudal realmente tratado a la fecha del estudio de costos, de la siguiente forma:
a) Costos de Energía;
b) Costos de Insumos químicos;
c) Costos de Servicios Personales;
d) Otros costos de Operación y Mantenimiento.
PARÁGRAFO 1o. El operador deberá estimar consumos y precios eficientes de energía e insumos químicos, para lo cual incorporará en su estudio de costos las alternativas de compra de energía de acuerdo con lo establecido en el artículo anterior, y los estudios de dosificaciones óptimas. En este mismo sentido, el prestador deberá soportar, en su estudio de costos el precio de compra de los insumos químicos a través de la suscripción de un contrato de suministro que cumpla con el procedimiento regulado de concurrencia de oferentes.
PARÁGRAFO 2o. El costo de los servicios personales deberá incorporar los mismos conceptos que se reconocen como base para el cálculo del componente por comparación del CMO. Adicionalmente, el prestador deberá sustentar, en su estudio de costos, la idoneidad del número y calidad de la planta de personal, así como una remuneración de la misma, similar a la de empresas del sector real de complejidad semejante.
PARÁGRAFO 3o. De igual forma deberá soportar los otros costos de operación y mantenimiento de tal manera que sean eficientes de acuerdo con las características propias del sistema de tratamiento de aguas residuales.
PARÁGRAFO 4o. Cada vez que el prestador varíe el caudal realmente tratado en una magnitud mayor o igual al 10% de la capacidad instalada o aumente como mínimo su eficiencia en la remoción de la carga contaminante en cualquiera de sus componentes en un 10%, previa certificación de la autoridad ambiental competente, podrá presentar a la Comisión para su aprobación e incorporación al CMO, los costos operacionales relacionados con dicho aumento, de acuerdo con lo establecido en el presente artículo.
ARTÍCULO 17. ESPECIFICACIÓN DEL COMPONENTE DE IMPUESTOS, Y TASAS CLASIFICADOS DENTRO DE LOS COSTOS OPERATIVOS (ITO). <Resolución derogada por el artículo 36 de la Resolución 825 de 2017>
<Inciso aclarado por el artículo 1 de la Resolución 345 de 2005. El nuevo texto es el siguiente:> El componente ITO para el período en el que se aplicará el CMO, corresponderá al valor promedio "anual" de los años 2002 y 2003, de la cuenta impuestos (7565), que se encuentran dentro de los costos de producción del PUC.
Los aumentos o disminuciones en los impuestos, tasas y contribuciones que no son captados al momento del cálculo del ITO del año 2003, dado que son derivados de disposiciones locales o nacionales adoptadas durante el año 2004, podrán ser incorporados como un componente adicional del ITO, al momento de aplicación de la fórmula. De igual forma, los impuestos, contribuciones y tasas creados o eliminados durante el período 2003-2004 que no son captados en el ITO del año 2003, podrán ser incorporados o excluidos. Esta modificación sobre el ITO de los años 2002 y 2003, se estimará de acuerdo con las disposiciones legales que generen el cambio y en todo caso deberá ser soportado ante la CRA con el acto administrativo y/o legal que haya generado el mayor o menor valor del que se hace referencia en este artículo.
PARÁGRAFO 1o. Para efectos regulatorios del cálculo del ITO, no se incluirán los impuestos directos. Además, se deberán excluir los pagos por Tasas por utilización de recursos naturales o por contaminación de recursos naturales.
PARÁGRAFO 2o. Los prestadores deberán tener disponibles las bases de cálculo con las que determinan el ITO, como soporte para su inclusión en el cálculo del costo medio de operación. Este cálculo podrá ser verificado en cualquier momento por parte de la Superintendencia de Servicios Públicos Domiciliarios, el Auditor de Gestión, o quien haga sus veces y por la Comisión de Regulación de Agua Potable y Saneamiento Básico.
ARTÍCULO 18. COMPONENTE DEL COSTO MEDIO DE OPERACIÓN DEFINIDO POR COMPARACIÓN. <Resolución derogada por el artículo 36 de la Resolución 825 de 2017> El costo medio de operación definido por comparación corresponde a aquel resultante de la aplicación de un modelo de eficiencia comparativa, a partir del cual se reconocen costos eficientes.
Este costo para cada servicio se define así:
Acueducto:
![]()
Alcantarillado:

Donde:
CMOcac: Costo medio de operación máximo en acueducto para el componente sujeto a comparación.
CMOcal: Costo medio de operación máximo en alcantarillado para el componente sujeto a comparación.
CO: Costos operativos descritos en el artículo 19.
Sop: Proporción del CTOe que el prestador asigna al servicio de acueducto en la cuenta 6 del PUC, en relación con la suma de costos de acueducto y alcantarillado.
p*: Nivel máximo aceptable de pérdidas, definido por la CRA.
APac: Promedio del agua producida para abastecer a los suscriptores de acueducto en los años 2002 y 2003.
AVal: Promedio de la sumatoria de vertimientos facturados asociados al consumo de acueducto y fuentes alternas, durante los años 2002 y 2003.
CTODEA: Costos de operación de acueducto y alcantarillado que resultan de la aplicación del modelo de eficiencia comparativa adoptado en el Anexo 2 de la presente resolución.

PDEA: Puntaje de eficiencia comparativa máximo resultante de la aplicación del modelo adoptado en el artículo 20 de la presente resolución.
El margen de 0.088 busca reconocer las particularidades no captadas en el modelo, tanto por los costos como por las variables explicativas.
El 1,03 es el factor máximo a aplicar a los costos comparables del PUC (CO), considerando una eficiencia máxima del 100% y una rentabilidad sobre el capital de trabajo del 3%.
PARÁGRAFO. El costo resultante de la aplicación de la metodología será un precio techo para el componente CTODEA. El piso para este mismo componente será el 50% del costo resultante de la aplicación de la metodología. En el evento en que un prestador considere que puede establecer unos costos de operación comparables por debajo del límite del 50%, podrá hacerlo con previa aprobación por parte de la CRA.
ARTÍCULO 19. ESPECIFICACIÓN DE LOS COSTOS OPERACIONALES COMPARABLES (CO). <Resolución derogada por el artículo 36 de la Resolución 825 de 2017> Se tomará como base para el cálculo del costo medio de operación definido por comparación, la información contenida en costos de producción como Servicios Personales (cuenta 7505), Generales (7510), Depreciaciones (7515), Arrendamientos (7517), Consumo de insumos directos (7537), Ordenes y contratos de mantenimiento y reparaciones (7540), Servicios públicos (7545) y Otros costos de operación y mantenimiento (7550), Seguros (7560) y las Ordenes y contratos por otros servicios (7570) en el Plan Unico de Cuentas (PUC), reportado por las personas prestadoras, en las dos vigencias inmediatamente anteriores al año de estimación del Costo Medio de Operación (CMO) a precios del año 2003 (año base).
De las cuentas anteriores se excluirán las siguientes subcuentas:
- Pensiones de jubilación, cuotas partes de pensiones, amortizaciones a cálculos actuariales, amortizaciones a cuotas partes de bonos pensionales, cuotas partes de bonos pensionales, indemnizaciones sustitutivas (750526, 750527, 750528, 750561, 750562, 750563, 750564, 750565, 750566, 750569).
- Multas (751029).
- Depreciaciones de edificaciones (751501), Depreciaciones de plantas, Ductos y túneles (751502), Depreciaciones redes, Líneas y cables (751503), Depreciación equipos centros de control (751508).
- Productos químicos (753701), Gas combustible (753702), Carbón mineral (753703), Energía (753704) y ACPM, fuel oil (753705) que no correspondan a fuentes energéticas para operación de vehículos y otros equipos móviles o portátiles.
- Toma de lecturas (757004), Entrega de facturas (757005).
PARÁGRAFO 1o. Cuando los costos reales en que incurre el prestador por concepto de los componentes particulares ( CMOpca y CMOpalc) no puedan ser identificados en el Plan Unico de Cuentas de la Superintendencia de Servicios Públicos Domiciliarios (PUC), la Comisión de Regulación de Agua Potable solicitará dicha información al prestador con antelación a las respectivas corridas del modelo y procederá a desagregar los costos obtenidos en particulares y comparables.
PARÁGRAFO 2o. Cuando se operen plantas de tratamiento de aguas residuales, el operador deberá presentar en forma detallada, los costos asociados a la misma, para descontarlos de las cuentas del PUC mencionadas en el presente artículo.
ARTÍCULO 20. MODELO PARA DETERMINAR CTODEA. <Resolución derogada por el artículo 36 de la Resolución 825 de 2017> Para determinar el CTODEA de cada prestador, se adopta el modelo de eficiencia comparativa con la metodología de Análisis de Envolvente de Datos (DEA), especificado en el Anexo 2 de la presente resolución.
PARÁGRAFO 1o. El modelo se estimará de forma independiente para los siguientes dos grupos de prestadores: (i) prestadores con más de 2.500 suscriptores y hasta 25.000 suscriptores; (ii) prestadores con más de 25.000 suscriptores.
Los prestadores que cuenten con diferentes sistemas de acueducto no interconectados entre municipios deberán desagregar la información para que la metodología sea aplicada de forma independiente.
<Plazo modificado por el artículo 1 de la Resolución 318 de 2005. Ver Notas de Vigencia. El texto original es el siguiente:> Para efectos de la presente resolución, el factor de eficiencia se aplicará a más tardar el 31 de diciembre del año 2004, con base en lo s costos contenidos en los PUC de los años 2002 y 2003, reportados a la Superintendencia de Servicios Públicos y en información solicitada por la CRA a los operadores, la cual deberá ser entregada a más tardar dentro de los tres meses siguientes a la publicación de la presente resolución.
PARÁGRAFO 2o. Sin perjuicio de lo previsto en el presente artículo, para efectos de información al público, durante la vigencia del período regulatorio, la CRA realizará estimaciones anuales utilizando la metodología DEA.
ARTÍCULO 21. DETERMINACIÓN DE LOS COSTOS OPERATIVOS PARA PRESTADORES QUE NO REPORTEN LA INFORMACIÓN SOLICITADA. <Resolución derogada por el artículo 36 de la Resolución 825 de 2017> Sin perjuicio de las sanciones y/o devoluciones por cobros no autorizados a que haya lugar, a los prestadores que no hayan reportado el PUC requerido para el período de cálculo y la información solicitada, se les asignará el menor costo medio resultante del modelo DEA incluyendo el ITO, de la muestra, menos un 10%, hasta tanto no presenten la información necesaria. En todo caso, la extemporalidad en la presentación de la información no afectará los resultados de quienes sí la presenten.
En caso de que la información sobre el CMO previamente no existiera por entrada en operación o por entrada de nuevos operadores en el año de presentación de la información o por causa similar, el operador deberá reportar ante la CRA la información sobre este componente, sustentando debidamente tal situación.
ARTÍCULO 22. DETERMINACIÓN DEL CMO PARA LAS PERSONAS QUE PRESTEN LOS SERVICIOS DE ACUEDUCTO Y ALCANTARILLADO POR SEPARADO. <Resolución derogada por el artículo 36 de la Resolución 825 de 2017> Las personas que presten los servicios de acueducto y alcantarillado por separado, que tengan en común por lo menos el 60% de sus suscriptores, se unirán, para efectos de aplicar la presente metodología, simulando una empresa prestadora de los dos servicios, a través del siguiente tratamiento:
a) Se sumarán los costos operativos de cada prestador para generar la variable de entrada al modelo CTO (costos totales operativos);
b) A este insumo de costos operativos se le asociará los productos (variables explicativas del modelo) de cada prestador, definidos en el Anexo 2 de la presente resolución, según corresponda a acueducto o alcantarillado, o a la suma de ambos, de tal forma que se constituya una unidad completa para incorporar al modelo con los demás prestadores;
c) La división final por servicios de los costos operativos totales de acueducto y alcantarillado será el porcentaje promedio de la asignación de costos por servicios de los demás prestadores de la muestra;
d) En caso de que uno de los prestadores no reporte la información de los costos, la CRA realizará la actuación particular respectiva.
ARTÍCULO 23. DETERMINACIÓN DEL CMO POR COMPARACIÓN PARA LAS PERSONAS PRESTADORAS QUE TENGAN CONTRATO DE SUMINISTRO DE AGUA EN BLOQUE. <Resolución derogada por el artículo 36 de la Resolución 825 de 2017> Para efectos de la presente resolución, las personas prestadoras que compren agua en bloque, serán incorporadas a la muestra del modelo de eficiencia comparativa, a partir del siguiente tratamiento:
a) Los costos totales operativos de entrada al modelo incluirán los costos presentados en el artículo 19 de la presente resolución y los costos de la compra de suministro de agua en bloque;
b) Dentro de las variables explicativas definidas en el Anexo 2 de la presente resolución, se asignarán a las variables de calidad el agua y número efectivo de plantas, el valor máximo y el valor mínimo respectivamente, de tal forma que no afecte el score de las demás unidades comparadas. En caso de que el prestador potabilice parte del agua que suministra, la variable explicativa de calidad del agua de la fuente, descrita en el Anexo 2, será el promedio ponderado por volumen asignando la calidad máxima posible para el agua de la fuente, al volumen comprado en el contrato de suministro de agua en bloque. Cuando el prestador que compra agua en bloque, tiene en su sistema plantas de potabilización, estas determinarán la variable explicativa de número efectivo de plantas, de lo contrario, se asignará una planta como variable explicativa;
c) Una vez se obtenga el score de los prestadores de los que trata el presente artículo, este será aplicado sobre la totalidad de los costos comparables y posteriormente el valor de la compra de suministro de agua en bloque será incorporado como un costo particular del sistema. En todo caso, el máximo valor de la suma anterior, será el que hubiera resultado de aplicar un puntaje de eficiencia del 100% a la totalidad de los costos comparables del prestador.
COSTO MEDIO DE INVERSIÓN.
ARTÍCULO 24. INVERSIONES NO AFECTAS A LA PRESTACIÓN DEL SERVICIO. <Resolución derogada por el artículo 36 de la Resolución 825 de 2017> Para efectos del presente Capítulo, se entenderá por inversiones no afectas a la prestación del servicio, aquellas no involucradas con los procesos operativos del sistema o aquellas que explícitamente se excluyan dentro de los artículos subsiguientes.
ARTÍCULO 25. COSTO MEDIO DE INVERSIÓN. <Resolución derogada por el artículo 36 de la Resolución 825 de 2017> El Costo Medio de Inversión se calculará independientemente para cada servicio, de la siguiente manera:

Donde:
CMI: Costo medio de inversión de largo plazo
VPIRERj: Valor presente de inversiones en expansión, reposición y rehabilitación del sistema para la prestación del servicio, de la actividad j.
VAj: Valoración de los activos del sistema a la fecha de la actividad j.
VPDj: Valor presente de la demanda proyectada para cada actividad j.
CMIT: Costo medio de inversión de terrenos, definido en el artículo 31* <entiéndase 36> de la presente resolución.
j: Cada actividad de los servicios de acueducto y alcantarillado que se define en el parágrafo a continuación.
PARÁGRAFO. Todas las personas prestadoras deberán desagregar su CMI por actividades en los términos de los numerales 14.22 y 14.23 del artículo 14 de la Ley 142 de 1994, para los servicios de acueducto y alcantarillado, respectivamente. Una vez desagregados, deberán dividir en cada caso por el valor presente de la demanda de la actividad respectiva.
ARTÍCULO 26. CRITERIOS PARA LA DEFINICIÓN DEL VPIRER. <Resolución derogada por el artículo 36 de la Resolución 825 de 2017> El Valor Presente del Plan de Inversiones en Reposición, Expansión y Rehabilitación del Sistema de Acueducto o Alcantarillado (VPIRER), incluirá únicamente las inversiones planeadas para los activos relacionados con la prestación del servicio especificados en el artículo 27 de la presente resolución, obedeciendo a metodologías de costo mínimo y cuellos de botella, tales como el que se referencia en los considerandos de la presente resolución y con arreglo a los siguientes criterios:
a) Las personas prestadoras deberán proyectar inversiones que, sujetas a sus metas de cobertura, vulnerabilidad y de reducción de pérdidas, sean consecuentes con el principio de priorización de ejecuciones, con diseños de mínimo costo y sin sobredimensionamiento;
b) Como soporte, se deberá presentar cada proyecto incluido en el plan, con nombre, monto y metas de calidad del agua, continuidad, reducción de pérdidas, presión, cobertura, porcentajes de remoción de cargas contaminantes y todas aquellas metas asociadas a la prestación de los servicios;
c) Los gastos administrativos de los proyectos se considerarán dentro del VPIRER y harán parte del valor del mismo;
d) El horizonte de proyección de la demanda será elegido por la persona prestadora en función de la vida útil promedio de sus activos de acuerdo con el artículo 29 de la presente resolución;
e) La tasa de descuento para calcular el valor presente del plan de inversiones será la que defina la Comisión;
f) Las inversiones proyectadas deberán hacerse de conformidad con el artículo 23 del Capítulo VI "Alcance y Determinación de Actividades Complementarias" de la Resolución 1096 del 2000, "Reglamento del Sector de Agua Potable y Saneamiento Básico" (RAS), o las que la modifiquen, sustituyan o adicionen.
PARÁGRAFO 1o. Las personas prestadoras deberán proyectar sus inversiones de acuerdo con la priorización establecida en el Capítulo V del Título I de la Resolución 1096 de 2000 "Reglamento Técnico del Sector de Agua Potable y Saneamiento Básico (RAS)", o las que la modifiquen, sustituyan o adicionen.
PARÁGRAFO 2o. Para efectos de la presente resolución, se entenderá por sobredimensionamiento, aquellos excesos de capacidad por fuera de los criterios básicos y requisitos mínimos que deben reunir los diferentes procesos involucrados en la conceptualización y el diseño de los sistemas que se desarrollen para la República de Colombia con el fin de garantizar su seguridad, durabilidad, funcionalidad, calidad, eficiencia, sostenibilidad y redundancia dentro de un nivel de complejidad determinado, de conformidad con la Resolución 1096 de 2000 "Reglamento Técnico del Sector de Agua Potable y Saneamiento Básico (RAS)" o la que la modifique, sustituya o adicione.
PARÁGRAFO 3o. Para efectos de lo contemplado en la presente resolución, la rehabilitación se entenderá como la ejecución de obras para el mejoramiento de la operación de los sistemas o activos que se requiera para la correcta prestación del servicio, con las características de continuidad, presión y calidad, previstas en el artículo 4o. del Decreto 475 de 1998 o en las normas que lo modifiquen, sustituyan o adicionen. Así mismo, la rehabilitación considera cambios en los activos y no necesariamente su reposición total.
ARTÍCULO 27. <Resolución derogada por el artículo 36 de la Resolución 825 de 2017> Los activos que se pueden incluir en el cálculo del Costo Medio de Inversión de Largo Plazo (CMI) y los rangos para la estimación de la vida útil de los mismos, son los siguientes:



PARÁGRAFO 1o. Se permitirá la recuperación de las inversiones ambientales, tales como la recuperación de cuencas y reforestación, exclusivamente en los casos que determine la ley.
PARÁGRAFO 2o. Las inversiones que deba realizar la persona prestadora para lograr reducciones en el Indice de Agua no Contabilizada, solamente podrán incluirse en los casos en que estén dirigidas a la reducción de pérdidas técnicas. No obstante lo anterior, dichas inversiones deberán ser justificadas dentro del plan de inversiones, aplicando a tal efecto los criterios definidos en el artículo 26 de la presente resolución y adicionalmente, deberán coincidir con las políticas de reducción de pérdidas del prestador.
PARÁGRAFO 3o. En caso que la persona prestadora solicite incluir activos diferentes a los señalados en el presente artículo, deberá presentar la respectiva justificación a la Comisión de Regulación de Agua Potable y Saneamiento Básico, quien decidirá sobre su aceptación. Si estas inversiones buscan disminuir la vulnerabilidad del sistema, la persona prestadora deberá presentar el estudio de vulnerabilidad correspondiente, para aceptación por parte de la Comisión.
ARTÍCULO 28. <Resolución derogada por el artículo 36 de la Resolución 825 de 2017> No se podrán incluir dentro del cálculo del Costo Medio de Inversión de Largo Plazo (CMI), los activos relacionados con las actividades no operativas, entendidas estas, como todas aquellas que no tengan relación directa con la prestación de los servicios públicos de acueducto y alcantarillado, tales como colegios para hijos de los empleados, ambientes de recreación, aulas de clases, casinos, clubes o cafeterías, centros recreacionales, zonas múltiples, aulas para capacitación del personal, ciclorrutas, etc.
PARÁGRAFO. En los proyectos multipropósito, las personas prestadoras a las que se aplica la presente resolución, solamente podrán incluir en el cálculo del Costo Medio de Inversión de Largo Plazo (CMI), los activos que tengan relación directa con la prestación de los servicios de acueducto y alcantarillado y/o la parte proporcional de la inversión de aquellos activos que sean de uso común.
Los costos en que incurra la persona prestadora para la ejecución de los proyectos de inversión nuevos que utilicen esta modalidad y que se transfieran a los servicios de acueducto y alcantarillado, en ningún caso podrán exceder regulatoriamente los costos de la alternativa de mínimo costo del proyecto no multipropósito.
ARTÍCULO 29. <Resolución derogada por el artículo 36 de la Resolución 825 de 2017> El horizonte de proyección del consumo utilizado para el cálculo del Valor Presente de la Demanda (VPD), debe corresponder al promedio ponderado de la vida útil de los componentes del sistema, determinada por la siguiente fórmula:

donde:
HVPD: Horizonte de proyección de la demanda.
Ai: Valor histórico del activo existente i, construido, incorporado en la ba se de activos y en operación, hasta un año antes de la expedición de la presente resolución, e indexado con el IPC hasta ese mismo momento.
Ui: Vida útil teórica del activo i, de acuerdo al artículo 27 de la presente resolución.
i: Número del activo.
VTAsistema: Valor histórico del sistema existente construido hasta un año antes de la expedición de la presente resolución, excluyendo los terrenos, e indexado con el IPC hasta ese mismo momento.
![]()
PARÁGRAFO 1o. Las personas prestadoras deben determinar la vida útil de los activos incluidos en el cálculo del Costo Medio de Inversión de Largo Plazo (CMI), dentro de los rangos previstos en el artículo 27 de la presente resolución. En caso que la persona prestadora considere que el activo tiene una vida útil no contemplada dentro de los rangos mencionados, deberá presentar la respectiva justificación ante la Comisión de Regulación de Agua Potable y Saneamiento Básico, quien aceptará o no dicha modificación.
PARÁGRAFO 2o. La vida útil de los activos considerada para efectos del cálculo del Costo Medio de Inversión de Largo Plazo (CMI), debe coincidir con la determinada para efectos contables, atendiendo las previsiones del artículo 2.2.4.3.3 del Plan General de Contabilidad Pública, o aquel que lo sustituya, modifique o adicione.
PARÁGRAFO 3o. La metodología y las bases para el cálculo del valor de los activos deben coincidir con las utilizadas para efectos de la aplicación del artículo 35 de la presente resolución. Si se toma la información contable para el cálculo del VA, esta misma información, sin demérito o depreciación se debe utilizar para el valor histórico (A).
ARTÍCULO 30. CRITERIOS PARA LA ESTIMACIÓN DEL VALOR PRESENTE DE LA DEMANDA (VPD). <Resolución derogada por el artículo 36 de la Resolución 825 de 2017> El valor presente de la demanda corresponderá al descuento del flujo de la producción proyectada en el horizonte definido en el artículo anterior, ajustada por el parámetro p* definido por la CRA. La proyección se basará en la estimación de crecimiento de los usuarios por sector, la cual debe concordar con los aumentos en cobertura y capacidad del sistema, según la planeación de inversiones, y la evolución en los consumos medios de cada servicio o grupo de usuarios.
Para el análisis de evolución de los consumos medios, la persona prestadora considerará su comportamiento histórico y las variables que los afectan, entre ellas, la elasticidad precio de la demanda y los cambios frente a la continuidad y a la presión.
La fórmula para determinación del VPD, es la siguiente:

donde:
VPD: Valor presente de la demanda.
VPFz: Valor presente del consumo facturado en el año z de proyección de demanda.
IANCz: Indice de agua no contabilizada del operador en el año z de proyección de demanda.
p*: Nivel máximo aceptable de pérdidas definido por la CRA.
HVPD: Horizonte de proyección de la demanda.
z: Año de proyección de la demanda (desde el año base hasta el HVPD).
ARTÍCULO 31. CÁLCULO DEL VPIRER PARA LAS PERSONAS PRESTADORAS DE LOS SERVICIOS DE ACUEDUCTO Y ALCANTARILLADO CON MÁS DE 25.000 SUSCRIPTORES. <Resolución derogada por el artículo 36 de la Resolución 825 de 2017> El VPIRER será el valor presente de todas las inversiones relacionadas directamente con la reposición, expansión y rehabilitación del sistema de acueducto o alcantarillado, según los requerimientos de operación durante un horizonte de planeación de 10 años.
ARTÍCULO 32. CÁLCULO DEL VPIRER PARA LAS PERSONAS PRESTADORAS DE LOS SERVICIOS DE ACUEDUCTO Y ALCANTARILLADO CON MENOS DE 25.000 SUSCRIPTORES Y MÁS DE 8.000 SUSCRIPTORES. <Resolución derogada por el artículo 36 de la Resolución 825 de 2017> El CMI* <debe entenderse VPIRER> podrá calcularse igual que para las personas prestadoras con más de 25.000 suscriptores o en su defecto, como se establece a continuación:
a) Se deberá definir en primer lugar un componente de inversión en expansión. Esto es, calcular el valor presente del plan de inversiones de mínimo costo (VPI), debidamente justificado con estudios de factibilidad, con un horizonte de planeación entre 5 y 10 años. Este cálculo deberá incluir los proyectos requeridos para aumentar la capacidad de producción del sistema, con el fin de atender la demanda incremental y maximizar la utilización de la capacidad actual;
b) En segundo lugar, se deberá definir un componente de reposición y rehabilitación que se calculará como el valor presente de los diez primeros valores anuales iguales, resultantes de tomar el VRA incluido en el estudio de costos vigente antes de la expedición de la presente resolución, y dividirlo uniformemente durante 40 años (número de años de la proyección).
PARÁGRAFO. Las personas prestadoras con más de 25.000 suscriptores que no presenten plan de reposición, expansión y rehabilitación se les aplicará el presente artículo hasta tanto definan sus planes de inversión.
ARTÍCULO 33. CÁLCULO DEL CMI PARA LAS PERSONAS PRESTADORAS DE LOS SERVICIOS DE ACUEDUCTO CON MENOS DE 8.000 SUSCRIPTORES. <Resolución derogada por el artículo 36 de la Resolución 825 de 2017> Las personas prestadoras con menos de 8.000 suscriptores, podrán aplicar la estimación del artículo 31 ó del artículo 32 de la presente resolución, o calcular su CMI de conformidad con la siguiente tabla:

* Los valores correspondientes al Costo Medio de Inversión contenidos en la tabla anterior se encuentran a pesos de diciembre de 2003. Por lo tanto, cuando se requiera aplicar estos valores en un estudio con un año base diferente, se deben actualizar utilizando la tasa de inflación para cada año, mientras no exista un índice de precios del sector.
ARTÍCULO 34. CÁLCULO DEL CMI PARA LAS PERSONAS PRESTADORAS DE LOS SERVICIOS DE ALCANTARILLADO CON MENOS DE 8.000 SUSCRIPTORES. <Resolución derogada por el artículo 36 de la Resolución 825 de 2017> Las personas prestadoras del servicio de alcantarillado con menos de 8.000 suscriptores, podrán aplicar la estimación del artículo 31 o del artículo 32 de la presente resolución, o calcular el 40% de los valores de CMI contenidos en la tabla del artículo anterior.
ARTÍCULO 35. CRITERIOS PARA LA DEFINICIÓN DEL VA. <Resolución derogada por el artículo 36 de la Resolución 825 de 2017> El valor de los activos (VA) podrá determinarse por medio del valor en libros, o a través de la depreciación financiera que considere el equilibrio económico de la inversión.
El valor en libros de los activos fijos operativos (VA) se tomará, para fines regulatorios, de conformidad con la valoración histórica afectada por la depreciación acumulada o demérito y por los ajustes por inflación, más las valorizaciones en el momento del cálculo. Lo anterior verificando que los activos correspondan a la prestación de cada uno de los servicios.
Para la valoración a través de la depreciación financiera, el operador considerará la depreciación por efecto de las capitalizaciones de la inversión, considerando la tasa de descuento adoptada por el operador en el período tarifario inmediatamente anterior y la vida útil del activo.
Los activos aportados por terceros no deben incluirse en el cálculo de valor de activos en libros (VA).
El tratamiento de los activos aportados bajo condición será el definido por la Comisión, conforme a lo establecido en el artículo 87.9 de la Ley 142 de 1994. En todo caso el prestador deberá identificar dentro de los activos que opera, el valor de los activos aportados bajo condición, bajo los criterios descritos en el presente artículo.
No se podrán incluir en el VA aquellos activos de carácter ambiental y/o no afectos a la prestación del servicio, a excepción de aquellas inversiones descritas en el parágrafo 1o. del artículo 27 de la presente resolución, valoradas a partir de su costo histórico indexado hasta el año base del estudio. De igual forma, no se considerarán dentro del VA los terrenos comprados para inversiones ambientales, las valorizaciones de estos terrenos y otras valorizaciones sobre las inversiones ambientales.
PARÁGRAFO 1o. Las bases del cálculo del VA deben estar disponibles para ser revisadas por el auditor de gestión, o quien haga sus veces, por la Superintendencia de Servicios Públicos Domiciliarios y por la Comisión de Regulación de Agua Potable y Saneamiento Básico.
PARÁGRAFO 2o. Si la persona prestadora, considera que no es posible determinar el valor de sus activos basado en la información contable, o en la depreciación financiera, o que su suficiencia financiera se ve comprometida con estas medidas, podrá presentar debidamente justificada a la Comisión, su propia valoración de activos para que la Comisión disponga acerca de su aceptación.
En todo caso, la valoración que se realice de los activos del sistema, debe considerar una apr oximación a su valor histórico, indexado al año base y el demérito de los mismos.
PARÁGRAFO 3o. En aquellos eventos en que el prestador del servicio no ostente la calidad de propietario de la totalidad de los activos del sistema, con el fin de recuperar los costos en que efectivamente incurra para la prestación del servicio, podrá incluir dentro del VA el valor de dichos activos teniendo en cuenta para el efecto, el deterioro de los mismos.
El prestador no podrá incluir el arriendo por concepto de utilización de estos activos en ningún componente tarifario.
PARÁGRAFO 4o. En todo caso, las inversiones permitidas en el VA, de conformidad con los parágrafos anteriores, ejecutadas antes de la expedición de la presente Resolución y que no son captadas en la contabilidad del año base, podrán incluirse a partir de una aproximación de sus valores históricos, teniendo en cuenta su demérito, e indexados al año base.
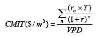
ARTÍCULO 36. VALOR DE LOS TERRENOS REQUERIDOS PARA LA PRESTACIÓN DE LOS SERVICIOS DE ACUEDUCTO Y ALCANTARILLADO. <Resolución derogada por el artículo 36 de la Resolución 825 de 2017> El valor de los terrenos (T) necesarios para garantizar la prestación actual o futura de los servicios de acueducto y alcantarillado, que se aceptará en el cálculo de los costos de dichos servicios, será el valor de adquisición del activo ajustado por las variaciones en la inflación desde la fecha de compra, sin incluir su valorización. El valor presente del flujo anual de la rentabilidad de esta inversión dividido por el valor presente de la demanda, deberá incluirse como un costo adicional al Costo Medio de Inversión de Largo Plazo.
El Costo Medio de Inversión por este concepto estará dado por la siguiente fórmula:

Donde:
r: Tasa de descuento o tasa de remuneración de acuerdo con lo definido por la CRA.
T: Valor de adquisición del activo ajustado por las variaciones en la inflación desde la fecha de compra.
n: Año de proyección de la demanda (desde el año base hasta el HVPD).
PARÁGRAFO 1o. El valor de terrenos (T), no deberá considerar el valor de adquisición de aquellos activos que estén por fuera de lo contemplado en el parágrafo 1o. del artículo 27 de la presente resolución.
TASAS AMBIENTALES.
ARTÍCULO 37. COSTO MEDIO GENERADO POR TASAS AMBIENTALES (CMT). <Resolución derogada por el artículo 36 de la Resolución 825 de 2017> La referencia para determinar el componente de tasas ambientales para el servicio de acueducto será la normatividad ambiental, en relación con las tasas de uso de agua.
Para el servicio de alcantarillado la referencia será la normatividad relacionada con las tasas retributivas por la utilización directa del agua como receptor de vertimientos puntuales.
El costo medio de la tasa de uso se calculará de la siguiente forma:
CMTac = TU/(1-P*)
Donde:
TU: Es la tasa por uso del agua en $/m3, establecida por la autoridad ambiental.
p*: Nivel máximo aceptable de pérdidas definido por la CRA.
El costo medio de la tasa retributiva se determinará por separado para los suscriptores con caracterización de los vertimientos y para aquellos sin caracterización de vertimientos, de la siguiente forma:
a) Costo medio de la tasa retributiva para los suscriptores sin caracterización de vertimientos:
MPsc
CMTalsc = ----------------------
AVsc
Donde:
MPsc: Monto total a pagar establecido conforme al Decreto 3100 de 2003 ó el que lo modifique, adicione o sustituya, para los suscriptores sin caracterización, correspondiente al año vigente al cálculo tarifario.
![]()
AVsc: Sumatoria volúmenes vertidos, facturados por el prestador, asociados al consumo de acueducto y fuentes alternas de suscriptores sin caracterización.
Ci: Carga contaminante de la sustancia i estimada para los usuarios sin caracterización.
Tmi: Tarifa mínima del parámetro i al momento de la presentación del estudio.
Fri: Factor regional del parámetro i. Para el cálculo del costo medio siempre será 1, que es el valor aplicable si la persona prestadora cumple las metas;
b) Costo medio de la tasa retributiva para cada suscriptor con caracterización de vertimientos:
MPcj
CMTalcj = ---------------------------
AVcj
AVcj: Sumatoria de vertimientos facturados por el prestador, para el suscriptor j con caracterización.
MPcj: Mo nto total a pagar establecido conforme al Decreto 3100 de 2003 o el que lo modifique, adicione o sustituya, para el suscriptor j con caracterización, correspondiente a la última actualización base de la declaración de la tasa.
MPcj =
Cij *Tmi *Fri
Cij: Carga contaminante de la sustancia i estimada para el usuario j con caracterización.
Tmi: Tarifa mínima del parámetro i al momento de la presentación del estudio.
Fri: Factor regional del parámetro i. Para el cálculo del costo medio siempre será 1, que es el valor aplicable si la persona prestadora cumple las metas.
PARÁGRAFO 1o. A aquellos usuarios a los cuales se les realice la caracterización en un momento posterior a la expedición de la presente resolución, les aplicará el costo medio de tasas ambientales resultante del cálculo del CMTalcj, para usuarios con caracterización.
PARÁGRAFO 2o. Los valores unitarios y totales cobrados al usuario por concepto de las tasas ambientales para acueducto y alcantarillado deberán hacerse explícitos en la factura final.
CRITERIOS Y METODOLOGÍAS DE COSTOS Y TARIFAS PARA LAS PERSONAS PRESTADORAS DE LOS SERVICIOS PÚBLICOS DOMICILIARIOS DE ACUEDUCTO Y ALCANTARILLADO CON MENOS DE 2.500 SUSCRIPTORES.
ARTÍCULO 38. COSTOS MEDIOS DE ADMINISTRACIÓN (CMA). <Resolución derogada por el artículo 36 de la Resolución 825 de 2017> Los prestadores con menos de 2.500 suscriptores podrán optar por una de las siguientes alternativas:
a) Aplicar las disposiciones consignadas en el Capítulo II de la presente resolución asignando un valor de 1 al PDEA;
b) Aplicar la siguiente fórmula para ambos servicios, asignando a cada uno de ellos, la proporción de los costos que generan:
Gastos de administración
CMA = ------------------------------------
#suscriptores facturados
Donde:
Gastos de Administración. Incluye los gastos administrativos, los gastos asociados a la comercialización, y a los demás servicios permanentes para garantizar que el usuario pueda disponer del servicio sin solución de continuidad, corregidos por parámetros de eficiencia definidos por la Comisión de Regulación de Agua Potable y Saneamiento Básico. Comprende gastos tales como:
- Personal administrativo (sueldos, horas extras y prestaciones).
- Personal (sueldos, horas extras y prestaciones) y demás costos imputables al desempeño de las siguientes funciones:
· Medición.
· Facturación.
· Reclamos.
· Seguros e impuestos.
· Contribuciones a la Comisión y a la Superintendencia.
· Gastos generales.
ARTÍCULO 39. COSTOS MEDIOS DE OPERACIÓN (CMO). <Resolución derogada por el artículo 36 de la Resolución 825 de 2017> Los prestadores con menos de 2.500 suscriptores podrán optar por una de las siguientes alternativas:
a) Aplicar las disposiciones consignadas en el Capítulo III de la presente resolución, asignando un valor de 1 al PDEA;
b) Aplicar la siguiente fórmula:
Costos de Operación
CMOac = --------------------------------------
m3 producidos(1-p*)

Donde:
Costos de Operación. Se incluyen todos los gastos de operación en que incurre la persona prestadora en los diferentes procesos en el año base, corregidos con parámetros de eficiencia definidos por la Comisión. Comprende gastos tales como:
- Personal de operación y mantenimiento (sueldos, horas extras y prestaciones).
- Energía.
- Químicos.
- Talleres para mantenimiento eléctrico y mecánico.
- Equipos, herramientas menores, equipos de oficina (muebles, computadores, máquinas), los cuales se valoran a precios de hoy y se calcula la anualidad correspondiente.
- Almacén de repuestos (no incluye inventarios).
- Contratos de operación y mantenimiento con terceros.
- Valor del suministro de agua en bloque.
- Otros costos relacionados con procesos operativos.
PARÁGRAFO. Se excluyen los gastos operacionales que se recuperan directamente del usuario o se cobran por una vía diferente a la tarifa, así como los activos incluidos en el componente de inversión.
ARTÍCULO 40. COSTOS MEDIOS DE TASAS AMBIENTALES (CMT). <Resolución derogada por el artículo 36 de la Resolución 825 de 2017> Los prestadores con menos de 2.500 suscriptores aplicarán lo dispuesto en el Capítulo V de la presente resolución, para la estimación de los costos medios de tasas ambientales.
ARTÍCULO 41. COSTOS MEDIOS DE INVERSIÓN (CMI). <Resolución derogada por el artículo 36 de la Resolución 825 de 2017> Para obtener este costo, las personas mencionadas podrán optar por una de las siguientes alternativa s:
a) Aplicar las disposiciones consignadas en el artículo 33 de la presente resolución;
b) No calcular costo medio de inversión. Aquellos prestadores con menos de 2.500 usuarios que no tengan un plan de inversiones o plan maestro debidamente cuantificado podrán incluir en los costos de operación un valor que cubra sus necesidades anuales de inversión en infraestructura y no calcular costo medio de inversión.
ARTÍCULO 42. CÁLCULO DEL COSTO MEDIO DE LARGO PLAZO. <Resolución derogada por el artículo 36 de la Resolución 825 de 2017> El Costo Medio de Largo Plazo será la suma del Costo Medio Operacional y el Costo Medio de Inversión de Largo Plazo:
CMLP = CMO + CMI + CMT
ARTÍCULO 43. TARIFA POR USO DEL SERVICIO DE ALCANTARILLADO PARA PERSONAS PRESTADORAS CON MENOS DE 2.500 SUSCRIPTORES. <Resolución derogada por el artículo 36 de la Resolución 825 de 2017> Alternativamente para el servicio de alcantarillado, el prestador podrá cobrar el 40% del valor de la factura del servicio de acueducto.
PARÁGRAFO. Para sistemas no convencionales se podrá utilizar un porcentaje menor, el cual será determinado por el prestador del servicio. En aquellos sistemas que incluyan sistemas de tratamiento se podrán establecer porcentajes mayores.
TRANSICIÓN REGULATORIA.
ARTÍCULO 44. PERÍODO DE TRANSICIÓN REGULATORIA. <Resolución derogada por el artículo 36 de la Resolución 825 de 2017> <Artículo aclarado por el artículo 7 de la Resolución 345 de 2005. El nuevo texto es el siguiente:> Para efectos de la aplicación de la presente resolución en su componente CMA, se generará una transición en dos períodos. El primer período comprenderá desde la expedición de la presente resolución hasta la aplicación de los resultados obtenidos con base en el modelo DEA. El segundo período se extenderá desde la aplicación de los resultados obtenidos con base en el modelo DEA máximo hasta el 31 de diciembre de 2005.
Los Costos de Transición Administrativos para los servicios de Acueducto Alcantarillado para cada mes del primer período se calcularán de la siguiente forma:
![]()
Siendo:

Donde:
ac: Variación mensual aplicada al CMA vigente, durante el primer período (T1), para obtener los Costos de Transición Administrativos, para acueducto.
al: Variación mensual aplicada al CMA vigente, durante el primer período (T1), para obtener los Costos de Transición Administrativos, para alcantarillado.
CTrAT1i: Costos de Transición Administrativos del operador en el primer período de la transición regulatoria para el mes i.
CMA vigenteac: Costo Medio de Administración cobrado antes de la expedición de la presente Resolución, del servicio de acueducto.
CMA vigenteal: Costo Medio de Administración cobrado antes de la expedición de la presente resolución, del servicio de alcantarillado.
i: Corresponde al número del mes de la transición en el primer período (1, 2, 3,...)
CMArefac: Menor valor a escoger entre las siguientes dos opciones: (CAPUC2003 + ICTA2003) / # suscriptores de 2003, para cada servicio de acuerdo con el Sac; y $8.000 distribuido para cada servicio de acuerdo con el Sac ($ / suscriptor / mes), a precios de diciembre de 2003.
CMArefal: Menor valor a escoger entre las siguientes dos opciones: (CAPUC2003 + ICTA2003) / # suscriptores de 2003, para cada servicio de acuerdo con el porcentaje de 1- Sac; y $8.000 distribuido para cada servicio de acuerdo con el Sac ($ / suscriptor / mes), a precios de diciembre de 2003.
T: Número de meses comprendidos desde la expedición de la presente reso- lución hasta el 31 de diciembre de 2005
En el primer período de la transición el operador podrá ajustar su CMA de acuerdo con lo dispuesto. Alternativamente, si el ajuste del CMA es hacia la baja, podrá ajustarlo inmediatamente.
Los Costos de Transición Administrativos para cada mes del segundo período se calcularán de la siguiente forma:
![]()
Siendo:

Donde:
ac: Variación mensual, durante el segundo período (T2) aplicada al CMAT1n, para obtener los Costos de Transición Administrativos en este período, para el servicio de acueducto.
al: Variación mensual, durante el segundo período (T2) aplicada al CMAT1n, para obtener los Costos de Transición Administrativos en este período, para el servicio de alcantarillado.
CTrAT2j: Costo Medio de Administración del operador en el segundo período de la transición regulatoria (T2) para el mes j.
CMAT1n: Costo Medio de Administración aplicado en el último mes (n) del primer período de la transición (T1)
j: Corresponde al número del mes de la transición en el segundo período (1, 2, 3,...)
CMAop: CMA adoptado por el operador a partir de la aplicación de los resultados del modelo de eficiencia comparativa, o un menor valor si el operador así lo decide, de acuerdo a lo contemplado en la presente resolución.
Ci: Compensaciones mensuales variables por mayores o menores ingresos generados a partir de la expedición de la presente resolución, cuando C es positivo no podrá ser mayor que el 15% de CMAop.
n: Ultimo mes del primer período de transición regulatoria.
Mensualmente la empresa deberá contabilizar el cumplimiento de la compensación de los ingresos recibidos o dejados de recibir durante la primera y segunda etapas de la transición y sumarlo al cálculo de su CMA. Se entenderá que se han compensado totalmente los ingresos cuando la empresa obtenga un saldo entre mayores ingresos y menores ingresos igual o menor que cero.
Para lo anterior se deberá cumplir lo siguiente:

Donde:
N: Número de suscriptores del prestador.
T: Mes de finalización de la transición.
K: Mes de finalización de las compensaciones.
h: Número del mes del período durante el cual se realizan los dos períodos de transición.
l: Número del mes del período durante el cual se realizan las compensaciones.
Si la empresa decide establecer un incremento mensual menor al resultante de la aplicación de esta Resolución, esta circunstancia constituirá una reducción voluntaria del cargo aprobado, de tal forma que el cálculo de la compensación se hará teniendo en cuenta únicamente lo establecido en esta resolución. En todo caso, la medida inmediata para el primer período de transición, deberá ser como mínimo la resultante del cálculo del, si este representa una disminu ción de los costos.
Si Ci es positivo, la compensación podrá extenderse por un período de 24 meses, a partir del inicio del segundo período de la transición. En caso de requerirse una extensión adicional de la medida, el prestador deberá solicitar la autorización de la CRA.
Si Ci es negativo, la compensación tendrá una fecha máxima de aplicación del 31 de diciembre de 2005.
Parágrafo 1o. La transición que se menciona en este artículo se hace sin perjuicio de las transiciones tarifarias señaladas en la ley, a las cuales se ajustará el operador.”
Parágrafo 2o. El CMA, calculado a partir del PUC, del que se habla en el inciso segundo de este artículo es el depurado en sus cuentas como lo señala el artículo 7o de la presente resolución a precios de diciembre de 2003”.
Parágrafo 3o. Para el cálculo del Valor Presente (VP) se utilizará el IPC asociado al mes del período tarifario, según la publicación que realice el DANE”.
Parágrafo 4o. Para efectos de la transición en la facturación, las personas prestadoras la aplicarán a partir de la segunda facturación o dos meses a partir de la expedición de la presente resolución, lo que se dé primero, esto sin perjuicio de las compensaciones que se deban dar sobre los dos primeros meses.
ARTÍCULO 45. PERÍODO DE TRANSICIÓN REGULATORIA PARA EL CMI Y CMO. <Resolución derogada por el artículo 36 de la Resolución 825 de 2017> <Artículo aclarado por el artículo 8 de la Resolución 345 de 2005. El nuevo texto es el siguiente:> Para efectos de la aplicación de la presente resolución en sus componentes CMO y CMI (CMOI), se generará un período de transición hasta el 31 de diciembre de 2005.
La transición prevista en el presente artículo, se deberá aplicar dando prioridad al objetivo de extender y mantener la cobertura de los servicios de acueducto y alcantarillado, de tal forma que sin renunciar a los objetivos de obtener mejoras en la eficiencia, competencia y calidad se expanda y/o mantenga la cobertura.
Los Costos de Transición del CMO y el CMI sumados (CMOI) para cada mes del período de transición se calculará de la siguiente forma:
![]()
Siendo:

Donde:
: Variación mensual aplicada, durante el período de transición, al CMLP vigente antes de la aplicación de la transición establecida en el presente artículo, para el servicio de acueducto.
: Variación mensual aplicada, durante el período de transición, al CMLP vigente antes de la aplicación de la transición establecida en el presente artículo, para el servicio de alcantarillado.
: Costos de transición de los costos de operación y de inversión.
CMLP vigente: Costo Medio de Largo Plazo vigente antes de la expedición de la presente resolución.
i: Corresponde al número del mes de la transición (1, 2, 3,...)
CMOIop: Costo Medio de operación y de inversión adoptado por el operador de acuerdo con la metodología tarifaria.
Ci: Compensaciones mensuales variables por mayores o menores ingresos generados a partir de aplicación del CMI y del CMO de conformidad con lo establecido en la presente resolución. Cuando el C es positivo no podrá ser mayor que el 15% de CMOIop.
T: Número de meses comprendidos entre la presentación del estudio de costos por parte del operador y el 31 de diciembre de 2005.
Mensualmente la empresa deberá contabilizar el cumplimiento de la compensación de los ingresos recibidos o dejados de recibir durante el período de transición y sumarlo al cálculo de su CMOI. Se entenderá que se han compensado totalmente los ingresos cuando la empresa obtenga un saldo entre mayores ingresos y menores ingresos igual a cero.
Para lo anterior se deberá cumplir lo siguiente:

Donde:
VFh: Volumen facturado ( m3)
T: Mes de finalización de la transición
K: Mes de finalización de las compensaciones.
h: Número del mes del período durante el cual se realiza la transición.
l: Número del mes del período durante el cual se realiza la compensación.
Si la empresa decide establecer un incremento mensual menor al resultante de la aplicación de esta Resolución, esta circunstancia constituirá una reducción voluntaria del cargo aprobado, de tal forma que el cálculo de la compensación se hará teniendo en cuenta únicamente lo establecido en esta resolución.
Si Ci es positivo, la compensación podrá extenderse por un período de 24 meses, a partir del inicio del período de la transición. En caso de requerirse una extensión adicional de la medida, el prestador deberá solicitar la autorización de la CRA.
Si Ci es negativo, la compensación tendrá como máximo un período de aplicación igual a 12 meses a partir del inicio del período de transición para estos componentes.
PARÁGRAFO 1o. La transición que se menciona en este artículo se hace sin perjuicio de las transiciones tarifarias señaladas en la ley, a las cuales se ajustará el operador.
PARÁGRAFO 2o. Para el cálculo del valor presente (VP) se utilizará el IPC asociado al mes del período tarifario, según la publicación que realice el DANE.
DISPOSICIONES FINALES.
ARTÍCULO 46. INDEXACIONES. <Resolución derogada por el artículo 36 de la Resolución 825 de 2017> Una vez estimados los costos de prestación del servicio del año base, serán indexados con el IPC hasta el momento de su aplicación. De este momento en adelante, podrán ser indexados de conformidad con lo previsto en el artículo 125 de la Ley 142 de 1994.
ARTÍCULO 47. REVISIÓN DE INFORMACIÓN Y PLAZOS. <Resolución derogada por el artículo 36 de la Resolución 825 de 2017> <Artículo modificado por el artículo 2 de la Resolución 318 de 2005. El nuevo texto es el siguiente:> Revisión de información y plazos. Las personas prestadoras de los servicios públicos de acueducto y alcantarillado deberán elaborar sus estudios de costos en un plazo que se extiende hasta el día 16 de mayo de 2005.
Una vez realizados los estudios de costos, serán remitidos a la Superintendencia de Servicios Públicos Domiciliarios y a la Comisión de Regulación de Agua Potable y Saneamiento Básico, para que a más tardar el 1o de junio de 2005, sean aplicados por todas las personas prestadoras de los servicios de acueducto y alcantarillado con más de 2.500 suscriptores. Dichos costos serán actualizados de acuerdo con los parámetros de indexación establecidos por la CRA, conforme a lo dispuesto en el artículo 125 de la Ley 142 de 1994.
ARTÍCULO 48. <Resolución derogada por el artículo 36 de la Resolución 825 de 2017> En los casos de personas prestadoras intervenidas para su administración por parte de la Superintendencia de Servicios Públicos, esta podrá solicitar a la CRA, la modificación de los costos de referencia y/o de las fórmulas tarifarias, mediante los procedimientos establecidos o que establezca el regulador para el efecto.
ARTÍCULO 49. VIGENCIA. <Resolución derogada por el artículo 36 de la Resolución 825 de 2017> La presente resolución rige a partir de la fecha de su publicación en el Diario Oficial y deroga las disposiciones que le sean contrarias.
Dada en Bogotá, D. C., a 25 de mayo de 2004.
Publíquese y cúmplase.
El Presidente, Juan Pablo Bonilla Arboleda.
El Director Ejecutivo,
Carlos Eduardo Hernández C.
METODOLOGIA DEA PARA EL CALCULO DE COSTOS ADMINISTRATIVOS.
La metodología para determinar el Puntaje de eficiencia comparativa PDEA será el Análisis de la Envolvente de Datos (DEA: Data Envelopment Analysis). Para la ejecución del modelo, la CRA utilizará los promedios de las variables de los años 2002 y 2003.
1. IDENTIFICACIÓN DE LAS VARIABLES DEL MODELO.
Como insumo controlable por las personas prestadoras se define los costos de administración menos los costos netos de impuestos, contribuciones y tasas definidos en el artículo Segundo de la presente Resolución (ICTA).
Las variables que entran al modelo como productos recogen información tanto de cantidad del producto "administración de los servicios de acueducto y alcantarillado", como de "calidad". La combinación de estas variables permiten reconocer las particularidades de los prestadores:
- Producto 1: Número de suscriptores de acueducto (no controlable).
- Producto 2: Número de suscriptores de alcantarillado (no controlable).
Estas dos variables reflejan información sobre la cantidad y complejidad de los procesos administrativos. La relación a partir de la cual se incluyen estas variables es que a medida que el número de suscriptores aumenta los prestadores incurren en mayores costos administrativos totales. A pesar de que puede existir alguna discrecionalidad de las personas prestadoras frente al nivel de estas variables, especialmente en aquellos casos en que la cobertura de los servicios es relativamente baja, en el modelo se considerarán "no controlables".
- Producto 3: Número de Suscriptores con Micromedición (controlable).
Los suscriptores con micromedición pueden generar mayores costos administrativos para el prestador, que aquellos usuarios sin micromedición. Lo anterior, en la medida en que estos últimos no requieren algunos procesos de comercialización tal como la lectura y sus procesos subsiguientes.
- Producto 4: Número de suscriptores de estratos 1 y 2 (no controlable).
Esta variable refleja la estructuración del mercado de acuerdo con los grupos de suscriptores que pueden presentar características particulares como el número de quejas y reclamos, mayor demanda administrativa por atención en conexiones y reconexiones, mayor riesgo de cartera y atención para incentivar el pago, dificultad de acceso a la lectura de consumos, entre otras. Sobre este entendido, la relación de este producto con el insumo es directamente proporcional.
- Producto 5: Número de quejas y reclamos por facturación resueltas a favor del usuario (controlable).
Esta es una variable de calidad del servicio administrativo, calculada por usuario micromedido. Se encuentra incluida en el modelo de manera inversa en relación con el insumo, lo que significa que en presencia de una mejor gestión en la facturación, reflejada como un menor número de quejas resueltas a favor del usuario, el modelo reconoce mayores costos administrativos. Para esta variable se introduce el concepto de incorporación de recursos contra las decisiones de la empresa. Lo anterior se desarrolla sumando las quejas y reclamos resueltas en primera instancia a favor del usuario por parte de la empresa y las quejas y reclamos resueltas a favor del usuario a partir del recurso de reposición y subsidiariamente el de apelación o, simplemente con el recurso de reposición. A estas dos últimas, se les da un peso tres veces mayor que a las quejas y reclamos resueltas a favor del usuario sin recurso de reposición y/o apelación.
Adicionalmente, la magnitud de la variable está acotada por su límite inferior, de tal forma que exista una relación máxima entre la calidad brindada por el prestador y los costos reconocidos en el modelo. En este sentido, el modelo considera el hecho de que un prestador incurre en mayores costos que otro al realizar mayores esfuerzos en su gestión administrativa teniendo como consecuencia un menor número de quejas resueltas a favor del usuario. De acuerdo con lo anterior, el acotamiento inferior se calcula a partir de la media menos 0.5 la desviación estándar de la muestra.
- Producto 6: Densidad (no controlable)
Se define como suscriptores por kilómetro de red de distribución. El planteamiento para introducir esta variable se basa en que en los procesos de facturación pueden generarse economías de escala en las zonas más densas.
- Producto 7: Número de suscriptores industriales y comerciales atendidos (no controlable).
El supuesto para introducir esta variable es que este grupo de usuario implica un menor esfuerzo de recaudo y atención.
Conceptualmente, los costos administrativos son el insumo (input) dentro del modelo. Sin embargo, como se definen unos productos controlables y otros no controlables por las personas prestadoras, es necesario realizar una "inversión" equivalente del modelo. Lo anterior debido a que el software utilizado define todos los productos como controlables cuando la orientación es hacia el insumo, pero permite diferenciar entre insumos controlables y no controlables.
Es así como para efectos de la estimación, el inverso de los productos pasan a ser insumos (inputs) controlables y no controlables, y el inverso del costo total administrativo pasa a ser el producto (output). En consecuencia, el problema de minimización del insumo CA se convierte en el problema de maximización de producto 1/CA.
Los insumos para efectos de la estimación, de acuerdo con la relación presentada entre los productos y el CA, serán:
· 1/número de suscriptores de acueducto.
· 1/número de suscriptores de alcantarillado.
· 1/número de suscriptores de estratos 1 y 2.
· 1/número de suscriptores micromedidos.
· Número de quejas y reclamos en facturación resueltos a favor del usuario.
· Densidad.
· Número de suscriptores industriales y comerciales.
El modelo básico es CCR, que permite orientar la aproximación a la frontera a través de la minimización del input o maximización del output bajo retornos constantes a escala.
3. HOMOGENEIZACIÓN DE LAS MUESTRAS.
Debido a que el análisis de la envolvente de datos permite estimar eficiencias relativas entre unidades que tienen características similares, se toman dos medidas generales para identificar unidades no comparables en el modelo. La primera consiste en dar un límite a la magnitud de ciertas variables que están directamente relacionadas con los costos de administración y operación de los sistemas y que por su naturaleza pueden generar distorsiones importantes. La segunda medida consiste en analizar directamente los puntos extremos en los mismos a partir de un análisis de datos atípicos.
Para determinar el score de estos prestadores, se corre un modelo para cada uno, en el que se incluye todo el conjunto de empresas comparables y el prestador al que se le busca determinar un score por separado. El score resultante únicamente aplica para este último.
Los operadores que presten sus servicios en más de un municipio se tomarán, para efectos del modelo, como uno solo, siempre y cuando exista interconexión entre los municipios que reciben los servicios.
3.1. PARÁMETROS MÍNIMOS PARA LA INCLUSIÓN DE UNIDADES AL MODELO.
Las unidades o prestadores que estén por fuera del límite mínimo expuesto a continuación, no entran en el modelo para definir las eficiencias de los demás prestadores.
Continuidad: 80%
Nivel de micromedición: 70%
Eficiencia en el recaudo: 60%
Rezago entre usuarios de acueducto y alcantarillado: 50%
3.2. IDENTIFICACIÓN DE DATOS ATÍPICOS.
Se considerarán como unidades con datos atípicos, aquellas con costos medios administrativos por fuera del límite inferior del intervalo de confianza construido con una significancia de 0.05 y tres veces la desviación estándar.
METODOLOGIA DEA PARA EL CALCULO DEL COMPONENTE DE COSTOS OPERATIVOS DEFINIDOS POR COMPARACION.
La metodología para determinar los costos comparados de operación es el DEA (Data Envelopment Analysis), por sus siglas en inglés. Para la ejecución del modelo, la CRA utilizará los promedios de las variables de los años 2002 y 2003.
1. IDENTIFICACIÓN DE LAS VARIABLES DEL MODELO.
Como insumo controlable por las personas prestadoras se define los costos totales de operación (CTO) observados en la cuenta 7 del PUC de las personas prestadoras, depurados con los criterios que se mencionarán más adelante y aislando los costos de insumos de potabilización, energía consumida en procesos operativos, impuestos y tasas ambientales; así como los costos de otros servicios en caso de no presentar contabilidad separada.
Las variables que entran al modelo como productos recogen información tanto de cantidad del producto "producción de volumen de agua potable", como de la "calidad" del producto por ejemplo: "calidad del agua cruda" cobertura. La combinación de estas variables permite robustecer el modelo como se observará en la descripción de los resultados:
- Producto 1: m3 producidos de acueducto (m3 producidos). (no controlable)
- Producto 2: m3 Vertidos al sistema de alcantarillado, facturados por el prestador.
(m3 vertidos). (no controlable)
Estas dos variables reflejan información sobre la cantidad y complejidad de los procesos operativos. El planteamiento se basa en que una mayor producción genera mayores costos operativos totales. A pesar de que puede existir alguna discrecionalidad de las personas prestadoras frente al nivel de estas variables como productos, sobre todo en aquellos casos en que la cobertura de los servicios es relativamente baja, en el modelo se considerarán "no controlables".
- Producto 3: % de m3 bombeados de acueducto y alcantarillado, sobre la producción total (m3 bombeados). (no controlable)
Los sistemas que tiene una porción del caudal producido, abastecido con bombeo, pueden tener mayores costos operativos dado que requieren más procesos de mantenimiento y operación de los equipos y los accesorios de la impulsión, comparativamente con un sistema que trabaja por gravedad. En este caso, el caudal bombeado incluye tanto el caudal bombeado en primera impulsión como el caudal bombeado en las reimpulsiones o booster.
- Producto 4: Número efectivo de plantas (Plantas efectivas). (no controlable).
Se espera que existan economías de escala en el tamaño de la planta en cuanto a costos operativos se refiere y por lo tanto, la relación de esta variable con los costos operativos es directamente proporcional. No obstante lo anterior, el número de plantas se pondera por el grado de utilización de cada una de ellas con el fin de considerar la operación efectiva de las mismas, así:

Donde:
Pe: Número efectivo de plantas
Pf: Número de plantas en funcionamiento
Quj: Capacidad utilizada de la planta j en funcionamiento
Qij: Capacidad instalada en la planta j en funcionamiento
- Producto 5: Tamaño de redes (Redtotal) (no controlable).
La longitud de red total es una variable que refleja la complejidad y el tamaño de la infraestructura a mantener y reparar por lo tanto es una variable explicativa de mayores costos operativos, así como los diámetros de cada una.
La variable se calcula a partir de la siguiente ecuación:
![]()
Donde:
Redtotal: Variable de tamaño de las redes de acueducto y alcantarillado:
Ld: Longitud de la red con el diámetro d.
Ad: Area transversal de la red con diámetro d.
- Producto 6: Calidad promedio del agua cruda (Calidadfuente) (no controlable)
La calidad del agua es una variable que explica la complejidad en los procesos de potabilización, tales como personal especializado, laboratorios, frecuencia de pruebas, etc. Esta se evalúa en un rango de 1 a 4, siendo 4 el valor que representa la mejor calidad del agua. Por lo anterior, la variable entra al modelo con una relación inversa, es decir, el modelo reconoce mayores costos a aquellos prestadores con un indicador de calidad del agua cruda menor.
Conceptualmente, los costos operativos son el insumo (input) dentro del modelo. Sin embargo, como se definen unos productos controlables y otros no controlables por las personas prestadoras, es necesario realizar una "inversión" equivalente del modelo. Lo anterior debido a que el software utilizado define todos los productos como controlables cuando la orientación es hacia el insumo, pero permite diferenciar entre insumos controlables y no controlables.
Es así como para efectos de la estimación, el inverso de los productos pasan a ser insumos (inputs) controlables y no controlables, y el inverso del costo total administrativo pasa a ser el producto (output). En consecuencia, el problema de minimización del insumo CTO se convierte en el problema de maximización de producto 1/CTO.
Los nuevos insumos, de acuerdo con la relación presentada entre los productos y el CTO, son:
4. 1/ m3 producidos de acueducto
5. 1/ m3 vertidos a la red de alcantarillado
6. 1/ de m3 bombeados de acueducto y alcantarillado
7. 1/ plantas efectivos
8. 1/ Red total
9. Indicador de calidad del agua cruda
El modelo básico es CCR, que permite orientar la aproximación a la frontera a través de la minimización del input o maximización del output bajo retornos constantes a escala.
Al aplicar el porcentaje de eficiencia resultante del DEA a los costos de operación comparados, reportados por las personas prestadoras en el PUC (costos operativos reales), se obtienen los "costos operativos comparados de eficiencia" de las personas prestadoras.
3. HOMOGENEIZACIÓN DE LAS MUESTRAS.
Debido a que el análisis de la envolvente de datos permite estimar eficiencias relativas entre unidades que tienen características similares, se toman dos medidas generales para identificar unidades no comparables en el modelo. La primera consiste en dar un límite a la magnitud de ciertas variables que están directamente relacionadas con los costos de operación y operación de los sistemas y que por su naturaleza pueden generar distorsiones importantes. La segunda medida consiste en analizar directamente los puntos extremos en los mismos a partir de un análisis de datos atípicos.
Para determinar el score de estos prestadores, se corre un modelo para cada uno, en el que se incluye todo el conjunto de unidades (prestadores) comparables y el prestador al que se le busca determinar un score por separado. El score resultante únicamente aplica para este último.
Los operadores que presten sus servicios en más de un municipio se tomarán, para efectos del modelo, como uno solo, siempre y cuando exista interconexión entre los municipios que reciben los servicios.
3.1. PARÁMETROS MÍNIMOS PARA LA INCLUSIÓN DE UNIDADES AL MODELO.
Las unidades o prestadores que estén por fuera del límite mínimo expuesto a continuación, no entran en el modelo para definir las eficiencias de los demás prestadores.
Continuidad: 80%
Nivel de micromedición: 70%
Eficiencia en el recaudo: 60%
Rezago de alcantarillado con respecto a acueducto (suscriptoresalc / suscriptoresacu): 50%
3.2. IDENTIFICACIÓN DE DATOS ATÍPICOS.
Se considerarán como unidades con datos atípicos, aquellas con costos medios operativos por fuera del límite inferior del intervalo de confianza construido con una significancia de 0.05 y tres veces la desviación estándar.
FORMATO PUC 2002, VIGENTE PARA EL 2003.
<El cuadro correspondiente a este anexo debe ser consultado en el texto original PDF en documentos anexos>
PARTICIPACION CIUDADANA.
1 INTRODUCCION
2 FUNDAMENTO JURIDICO
3 METODOLOGIA APLICADA
3.1 LOS CONVERSATORIOS
3.2 LOS OFICIOS ENVIADOS POR LOS INTERESADOS (RADICACIONES)
3.3 EL CHAT
3.4 CIFRAS
4 RESUMEN CONVERSATORIOS
4.1 Leticia
4.2 Villavicencio
4.3 Pereira
4.4 Cartagena de Indias
4.5 Santa Marta
4.6 Medellín
4.7 San José de Cúcuta
4.8 Bogotá, D. C.
4.9 Neiva
4.10 Santiago de Cali
4.11 Barranquilla
5 CONSECUTIVOS
5.1 Ejes Temáticos
6 RADICACIONES
7 PREGUNTAS Y PROPUESTAS CONSIDERADAS EN LA DEFINICION DEL NUEVO MODELO TARIFARIO
8 RESPUESTAS FINALES
8.1 CAPACIDAD DE PAGO
8.2 PARTICIPACION CIUDADANA:
8.2.1 Creando espacios democráticos de participación
8.2.2 Implementando la participación real de la ciudadanía
8.3 FONDOS DE SOLIDARIDAD Y REDISTRIBUCION DE INGRESOS
8.4 ESTRATIFICACION SOCIOECONOMICA
8.4.1 Régimen de Estratificación.
8.5 DE LOS CONTRATOS CELEBRADOS CON LOS OPERADORES PARA QUE HAGAN LA FINANCIACION, OPERACION Y MANTENIMIENTO DE LOS SERVICIOS DE ACUEDUCTO Y ALCANTARILLADO.
8.5.1 La voluntad, como elemento generador de obligaciones en un contrato
8.5.2 Estabilidad regulatoria
8.5.3 Regulación y libertad de tarifas
8.6 VARIACION EN EL MONTO DE LAS TARIFAS
8.7 Actualización.
8.8 Gradualidad
8.8.1 Subsidios
8.8.2 Desmonte de los subsidios
8.9 CARGO FIJO-VARIABILIZACION
8.10 CONCEPTO CMA
8.11 CONCEPTO COSTO MARGINAL Vs. COSTO MEDIO
8.12 CONCEPTO CMI
8.13 CONCEPTO CMO
8.14 DEA: ASPECTOS GENERALES.
8.15 EXCLUSION DE LA PORCION CORRIENTE DEL PASIVO PENSIONAL DE LA FORMULA TARIFARIA
8.16 PARAMETRO DE EFICIENCIA SOBRE EL AGUA NO CONTABILIZADA EN LOS SISTEMAS
8.17 TASAS AMBIENTALES: PARTE GENERAL
<Este Anexo debe ser consultado en el texto original PDF en documentos anexos>