RESOLUCIÓN 364 DE 2006
(marzo 28)
Diario Oficial No. 46.233 de 6 de abril de 2006
COMISIÓN DE REGULACIÓN DE AGUA POTABLE Y SANEAMIENTO BÁSICO
Por la cual se modifican los artículos, 2.1.1.13, 2.1.1.14 y 2.1.1.6 de la Resolución CRA 151 de 2001 en relación con las excepciones a la micromedición y a los programas de micromedición.
LA COMISIÓN DE REGULACIÓN DE AGUA POTABLE Y SANEAMIENTO BÁSICO,
en ejercicio de las facultades legales, en especial de las conferidas en el Artículo 73 de la Ley 142 de 1994, en los Decretos 1524 de 1994 y 1905 de 2000, y
CONSIDERANDO:
Que el numeral 9.1 del artículo 9o de la Ley 142 de 1994, es derecho de los usuarios “Obtener de las empresas la medición de sus consumos reales mediante instrumentos tecnológicos apropiados, dentro de plazos y términos que para los efectos fije la comisión reguladora, con atención a la capacidad técnica y financiera de las empresas o a las categorías de los municipios establecida por la ley”;
Que según establece el numeral 14.22 del artículo 14 de la Ley 142 de 1994, el servicio público domiciliario de acueducto está conformado por la distribución municipal de agua apta para el consumo humano, incluida su conexión y medición;
Que el artículo 97 de la Ley 142 de 1994 dispone que las personas prestadoras otorgarán plazos para amortizar los cargos de la conexión domiciliaria, incluyendo la acometida y el medidor, los cuales serán obligatorios para los estratos 1, 2 y 3;
Que el mismo artículo contempla que, “en todo caso, los costos de conexión domiciliaria, acometida y medidor de los estratos 1, 2 y 3 podrán ser cubiertos por el municipio, el departamento o la nación a través de aportes presupuestales para financiar los subsidios otorgados a los residentes de estos estratos que se beneficien con el servicio y, de existir un saldo a favor de la persona prestadora del servicio, se aplicarán los plazos establecidos en el inciso anterior, los cuales, para los estratos 1, 2 y 3, por ningún motivo serán inferiores a tres (3) años, salvo por renuncia expresa del usuario”;
Que el artículo 146 de la Ley 142 de 1994 dispuso que la empresa y el suscriptor o usuario tienen derecho a que los consumos se midan; a que se empleen para ello los instrumentos de medida que la técnica haya hecho disponibles; y a que el consumo sea el elemento principal del precio que se cobre al suscriptor o usuario;
Que así mismo, el artículo citado estableció que “en cuanto a los servicios de saneamiento básico y aquellos en que por razones de tipo técnico, de seguridad o de interés social, no exista medición individual, la comisión de regulación respectiva definirá los parámetros adecuados para estimar el consumo”;
Que de conformidad con el artículo 6o de la Ley 373 de 1997, “Todas las entidades que presten el servicio de acueducto y riego, y demás usuarios que determine la Corporación Autónoma Regional o la autoridad ambiental competente, disponen de un plazo de un año contado a partir de la vigencia de la presente ley, para adelantar un programa orientado a instalar medidores de consumo a todos los usuarios, con el fin de cumplir con lo ordenado por el artículo 43 de la Ley 99 de 1993 y el artículo 146 de la Ley 142 de 1994.
La Comisión de Regulación de Agua Potable y las autoridades ambientales podrán exonerar de esta obligación a las empresas cuyos usuarios no superen en promedio el consumo mínimo o básico por ellas establecido, según sus respectivas competencias legales”;
Que la apropiada implementación de la alternativa contenida en la presente resolución requiere de un período de planeación durante el cual las personas prestadoras del servicio de acueducto ajusten sus programas de micro y macromedición;
Que el artículo 2o de la Constitución Política consagra como uno de los fines esenciales del estado facilitar la participación de todos en las decisiones que los afectan;
Que el inciso 3 del artículo 78 de la Constitución Política establece que el estado garantizará la participación de consumidores y usuarios en el estudio de las disposiciones que les conciernen;
Que la Corte Constitucional, en Sentencia C-150/03, definió cuatro criterios guía para la participación ciudadana frente a las Comisiones de Regulación; a saber:
i) Que los ciudadanos reciban la información correspondiente sobre el contenido proyectado de la futura regulación de manera oportuna;
ii) Que puedan presentar propuestas,
iii) Que las propuestas que presenten sean consideradas por la comisión de regulación competente en cada caso, y
iv) Que la Comisión responda motivadamente las propuestas que se le formulen en relación con la regulación que por su especial trascendencia despertó el interés de los usuarios;
Que el Decreto 2696 de 2004 definió las reglas mínimas para garantizar la divulgación y participación en las actuaciones de las Comisiones de Regulación;
Que dentro del proceso de participación ciudadana, fueron realizadas 7 consultas públicas de carácter regional, iniciadas en la ciudad de Tuluá, el día 14 de octubre; posteriormente, se llevaron a cabo las consultas públicas de Bogotá, D. C., 19 de octubre; Pamplona, 21 de octubre; Armenia, 2 de noviembre; Medellín, 4 de noviembre; Valledupar, 21 de noviembre; y Cartagena de Indias, el día 29 de noviembre de 2005;
Que esta convocatoria realizada por la Comisión no sólo permitió que los habitantes de dichas ciudades participaran en este proceso, sino que convocó, así mismo, a 405 ciudadanos de 48 municipios colombianos;
Que de la misma manera, como resultado del proceso descrito, fueron considerados en el seno de la Comisión, al momento de discutir la presente Resolución, 11 comunicaciones radicadas, de las cuales 9 presentaron observaciones; así como 37 consultas escritas y verbales elevadas por los usuarios en el marco de las consultas públicas, divididas en 3 categorías;
Que todos estos aportes recibidos en el marco de la participación ciudadana fueron conocidos y evaluados por los integrantes de la Comisión;
Que por último, los pronunciamientos y respuestas elaboradas por esta Comisión frente a los aportes recibidos en el marco de la participación ciudadana, se encuentran contenidos y relacionados en este documento de trabajo, que se hará público el día hábil siguiente al de publicación en el Diario Oficial, de la presente resolución;
Que en mérito de lo anterior, la Comisión de Regulación de Agua Potable y Saneamiento Básico,
RESUELVE:
ARTÍCULO 1o. <Consultar vigencia directamente en el artículo que modifica> El artículo 2.1.1.13 de la Resolución CRA 151 de 2001, quedará así:
Artículo 2.1.1.13. Excepción para la instalación de Micromedidores. En las zonas conformadas en su mayoría por usuarios de estratos 1 y 2 y que a la fecha de entrada en vigencia de esta resolución presenten niveles de micromedición inferiores al 50% de los usuarios pertenecientes a las mismas, las personas prestadoras, en lugar de instalar micromedidores a cada usuario, podrán efectuar, para los efectos previstos en la presente resolución, la sectorización física de las redes de distribución respectivas.
Una vez realizada tal sectorización, se instalará macromedidores a la entrada del sector correspondiente y se estimará el volumen de agua a ser distribuido proporcionalmente entre los usuarios del sector correspondiente que no estén micromedidos.
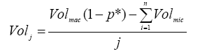
En todo caso, el consumo a distribuir entre los usuarios macromedidos al interior de cada zona exceptuada de micromedición, será establecido de la siguiente forma:

Donde,
| Volj = | Volumen de agua a facturar, en el período de facturación correspondiente, a cada usuario j no micromedido, que hace parte de la zona exceptuada de medición individual. |
| j = | Usuarios no micromedidos dentro de la zona exceptuada de medición individual. |
| Volmac = | Volumen de agua registrada, durante el período de facturación correspondiente, por el macromedidor de la zona exceptuada de micromedición. |
| Volmic = | Volumen total de agua registrada en los micromedidores de los usuarios con medición individual que hacen parte de la zona exceptuada de micromedición. |
| i = | Usuarios desde 1 hasta n que son micromedidos al interior de la zona exceptuada de micromedición |
| p* = | Nivel máximo de pérdidas, tal que |
| p*CRA = | Nivel máximo aceptable de pérdidas, definido por la CRA |
| Promedio mensual del nivel de pérdidas reales del sistema en el año anterior (t-1) al establecimiento de la excepción. |
PARÁGRAFO 1o. De conformidad con el artículo 146 de la Ley 142 de 1994, lo dispuesto en el presente artículo no podrá ser interpretado o aplicado de forma tal que resulte en una restricción al derecho del usuario de solicitar, en cualquier momento, la instalación de micromedidores; ni el derecho de la persona prestadora a instalarlos.
PARAGRAFO 2o. El catastro de usuarios micromedidos y no micromedidos, dentro de la zona exceptuada de micromedicion se deberá actualizar como mínimo una vez al año, para efectos de establecer el valor de los parámetros i y j contenidos en la anterior fórmula.
PARÁGRAFO 3o. Sin perjuicio de las obligaciones establecidas en el artículo 148 de la Ley 142 de 1994 y en virtud de lo establecido en el numeral 9.4 del artículo 9o de la Ley 142 de 1994, los suscriptores o usuarios tendrán derecho a obtener informacion clara, veraz y oportuna sobre las lecturas del macromedidor.
ARTÍCULO 2o. <Consultar vigencia directamente en el artículo que modifica> El artículo 2.1.1.14 de la Resolución CRA 151 de 2001, quedará así:
Artículo 2.1.1.14. Condiciones económicas para la micromedición. La persona prestadora del servicio de acueducto podrá exceptuar de la instalación de micromedidores a los usuarios de estrato 1 y 2 cuya factura de acueducto y alcantarillado correspondiente al consumo básico mensual, establecido por la CRA, para el estrato 1, supere el 5% del salario mínimo mensual legal vigente y, para el estrato 2, el 7% del salario mínimo mensual legal vigente.
El consumo de los usuarios exceptuados en aplicación del presente artículo será establecido con base en los consumos promedio de suscriptores o usuarios micromedidos del mismo estrato, o con base en aforos individuales.
PARÁGRAFO. De conformidad con el artículo 146 de la Ley 142 de 1994, lo dispuesto en el presente artículo no podrá ser interpretado o aplicado de forma tal que resulte en una restricción al derecho del usuario de solicitar, en cualquier momento, la instalación de micromedidores; ni el derecho de la persona prestadora a instalarlos”.
ARTÍCULO 3o. <Consultar vigencia directamente en el artículo que modifica> El Artículo 2.1.1.6 de la Resolución CRA 151 de 2001, quedará así:
Artículo 2.1.1.6. Exoneración de la obligación de adelantar un programa de micromedición. En atención a lo dispuesto en el artículo 6o de la Ley 373 de 1997, la Comisión de Regulación de Agua Potable y Saneamiento Básico podrá exonerar a las empresas prestadoras del servicio público de acueducto de la obligación de adelantar un programa orientado a instalar medidores de consumo a todos sus usuarios, cuando el consumo promedio de éstos no sea superior al nivel de consumo básico establecido por la Comisión. Para el efecto, la empresa interesada deberá elevar solicitud debidamente razonada ante la Comisión.
PARÁGRAFO. De conformidad con el artículo 146 de la Ley 142 de 1994, lo dispuesto en el presente artículo no podrá ser interpretado o aplicado de forma tal que resulte en una restricción al derecho del usuario de solicitar, en cualquier momento, la instalación de micromedidores; ni el derecho de la persona prestadora a instalarlos.
ARTÍCULO 4o. PLAZO MÁXIMO DE IMPLEMENTACION. Establécese un plazo máximo de un (1) año, contado a partir de la entrada en vigencia de la presente resolución, durante el cual las personas prestadoras del servicio de acueducto y alcantarillado darán aplicación a las excepciones incluidas en la presente resolución, cuando las mismas sean aplicables.
ARTÍCULO 5o. TRÁNSITO A LAS NUEVAS DISPOSICIONES. Durante el término establecido en el artículo anterior y, para los prestadores que no den aplicación a las previsiones de los artículos 1o, 2o y 3o de la presente resolución antes de su vencimiento, subsistirán los deberes establecidos en los artículos modificados por la presente resolución, antes de la modificación.
ARTÍCULO 6o. VIGENCIAS Y DEROGATORIAS. La presente resolución rige a partir de su publicación en el Diario Oficial, y subroga las disposiciones contenidas en los artículos 2.1.1.13; 2.1.1.14 y 2.1.1.6 de la Resolución CRA 151 de 2001, sin perjuicio de la previsión sobre tránsito a las nuevas disposiciones establecido en el artículo anterior.
Publíquese y cúmplase.
Dada en Bogotá, D. C., a 28 de marzo de 2006.
La Presidenta
LEYLA ROJAS MOLANO.
El Director Ejecutivo,
MAURICIO MILLÁN DREWS.