RESOLUCIÓN CRA 634 DE 2013
(marzo 21)
Diario Oficial No. 48.762 de 15 de abril de 2013
COMISIÓN DE REGULACIÓN DE AGUA POTABLE Y SANEAMIENTO BÁSICO
Por la cual se presenta el proyecto de resolución “por la cual se adiciona la Resolución CRA número 632 de 2013, en el sentido de incluir en la misma el Título V referido a la Definición de Descuentos Asociados a la Calidad del Servicio, tal cual como fue ordenado en el artículo 23 de la citada resolución”, se da cumplimiento a lo previsto por el numeral 11.4 del artículo 11 del Decreto 2696 de 2004, y se continúa el proceso de discusión directa con los usuarios y agentes del sector.
LA COMISIÓN DE REGULACIÓN DE AGUA POTABLE Y SANEAMIENTO BÁSICO,
en ejercicio de sus facultades legales, en especial de las conferidas por las Leyes 142 de 1994 y 1450 de 2011, los Decretos 1524 de 1994 y 2696 de 2004, 2882 y 2883 de 2007, y
CONSIDERANDO:
Que el artículo 2o de la Constitución Política de Colombia consagra como uno de los fines esenciales del Estado facilitar la participación de todos en las decisiones que los afectan;
Que el inciso 3o del artículo 78 de la Constitución Política de Colombia establece que el Estado garantizará la participación de consumidores y usuarios en el estudio de las disposiciones que les conciernen;
Que la Corte Constitucional mediante Sentencia C-150 de 2003, definió cuatro criterios guía para la participación ciudadana frente a las Comisiones de Regulación; a saber: (i) que los ciudadanos reciban la información correspondiente sobre el contenido proyectado de la futura regulación de manera oportuna; (ii) que puedan presentar propuestas; (iii) que las propuestas que presenten sean consideradas por la Comisión de Regulación competente en cada caso; y (iv) que la Comisión responda motivadamente las propuestas que se le formulen en relación con la regulación que por su especial trascendencia despertó el interés de los usuarios;
Que el Decreto 2696 de 2004 definió las reglas mínimas para garantizar la divulgación y participación en las actuaciones de las Comisiones de Regulación;
Que respecto de los proyectos regulatorios de carácter tarifario en el numeral 11.1 del artículo 11 del Decreto 2696 de 2004, se estableció que antes de 12 meses de la fecha prevista para que termine la vigencia de las fórmulas tarifarias, se deberá poner en conocimiento de los prestadores y de los usuarios, las bases sobre las cuales se efectuará el estudio para determinar las fórmulas del período siguiente;
Que la Comisión de Regulación de Agua Potable y Saneamiento Básico (CRA), en cumplimiento de lo establecido en el numeral 11.1 del artículo 11 del Decreto 2696 de 2004, divulgó y puso en conocimiento a los prestadores y los usuarios, el documento: “Bases para la revisión quinquenal de la fórmula tarifaria para los servicios de acueducto y alcantarillado”, aprobado en sesión de comisión el 12 de junio de 2008 y desarrollaron actividades complementarias para garantizar la participación ciudadana, dentro de las cuales se encuentran 16 eventos de participación ciudadana además de presentaciones en eventos relevantes en el sector;
Que de conformidad con lo estipulado en el numeral 11.3 del artículo 11 del Decreto 2696 de 2004, dichos estudios constituyen elementos de juicio para la Comisión y en consecuencia no la comprometen;
Que en virtud de lo dispuesto en el numeral 11.4 del artículo 11 del Decreto 2696 de 2004, tres (3) meses antes de la fecha prevista para que inicie el período de vigencia de las fórmulas tarifarias, se deberá hacer público en la página web de la Comisión, los proyectos de metodologías y de fórmulas, los estudios respectivos y el texto del proyecto de Resolución;
Que en el Diario Oficial número 47.582 de 4 de enero de 2010, se publicó la Resolución CRA 485 de 2009, “por la cual se presenta el proyecto de Resolución “por la cual se establece la metodología tarifaria para los prestadores de los servicios públicos domiciliarios de acueducto y alcantarillado que atiendan 2.500 o más suscriptores” y se da cumplimiento a lo previsto por el numeral 11.4 de artículo 11 del Decreto 2696 de 2004;
Que se recibieron 318 observaciones y/o propuestas presenciales y 610 escritas, con ocasión de la publicación de la Resolución CRA 485 de 2009, las cuales fueron analizadas y estudiadas para la elaboración de la presente resolución;
Que debido a que transcurrieron más de dos años desde la publicación de dicho acto administrativo, y que durante los dos años fueron expedidas leyes o normas con alta injerencia en el sector de acueducto y alcantarillado tales como la Ley 1450 de 2011 en relación con los recursos provenientes del recaudo de las tasas retributivas que se destinarán a proyectos de inversión en descontaminación y monitoreo de la calidad del recurso respectivo; así como la Ley 1523 de 2012 “por la cual se adopta la política nacional de gestión del riesgo de desastres y se establece el Sistema Nacional de Gestión del Riesgo de Desastres y se dictan otras disposiciones” y la Resolución CRA 608 de 2012 “Por la cual se establecen los requisitos generales a que deben someterse los Prestadores de Servicios Públicos para el uso e interconexión de redes, se regulan los contratos de suministro de agua potable y los contratos de interconexión, para la prestación de los servicios públicos domiciliarios de acueducto y alcantarillado, y sus actividades complementarias, se señala la metodología para determinar la remuneración y/o peaje correspondiente, se señalan las reglas para la imposición de servidumbres de interconexión y se dictan otras disposiciones”, entre otras, fue pertinente la revisión de la propuesta contenida en la Resolución CRA 485 de 2009, por lo cual, se expidió la Resolución CRA 632 de 2013.
Que mediante la Resolución CRA 632 de 2013 “por la cual se presenta el proyecto de Resolución 'por la cual se establece la metodología tarifaria para las personas prestadoras de los servicios públicos domiciliarios de acueducto y alcantarillado que tengan más de 5.000 suscriptores', se da cumplimiento a lo previsto por el numeral 11.4 de artículo 11 del Decreto 2696 de 2004, y se continúa el proceso de discusión directa con los usuarios y agentes del sector”, en su artículo 23 respecto del TÍTULO V DE LA DEFINICIÓN DE DESCUENTOS ASOCIADOS A LA CALIDAD DEL SERVICIO, se estableció que “...El presente Título será definido por la Comisión de Regulación de Agua Potable y Saneamiento Básico durante el primer mes de participación ciudadana que surta el presente proyecto de resolución”.
Que la Resolución CRA número 632 de 2013 fue publicada en el Diario Oficial número 48709 del 19 febrero de 2013.
Que por lo anterior, mediante la presente resolución se da cumplimiento al artículo 23 de la Resolución CRA 632 de 2013, y se procede a adicionar la misma, en el sentido de definir el Título V referido a la DEFINICIÓN DE DESCUENTOS ASOCIADOS A LA CALIDAD DEL SERVICIO.
Que en aras de garantizar la transparencia de la información, el derecho de los prestadores y usuarios a participar en las decisiones regulatorias, la Comisión de Regulación de Agua Potable dando cumplimiento al numeral 11.4 del artículo 11 del Decreto 2696 de 2004, presentó al público, a los agentes y a los terceros interesados los estudios respectivos y el texto del proyecto de resolución de la nueva metodología aplicable a los servicios públicos domiciliarios de acueducto y alcantarillado;
Que para garantizar la participación ciudadana de que trata la Constitución Política, la normatividad vigente y el citado pronunciamiento de la Corte Constitucional, se hace necesario poner a consideración de la ciudadanía en general, el presente proyecto de resolución, para que sea discutido, analizado y socializado, con el fin de que los interesados presenten observaciones o propuestas relacionadas con la definición de descuentos asociados a la calidad del servicio contenido dentro de la nueva metodología tarifaria para los prestadores de los servicios públicos domiciliarios de acueducto y alcantarillado;
Que de acuerdo con lo establecido en el artículo 7o de la Ley 1340 de 2009 “por medio de la cual se dictan normas en materia de protección a la competencia”, la Superintendencia de Industria y Comercio podrá rendir concepto previo sobre los proyectos de regulación que puedan incidir sobre la libre competencia en los mercados. En este sentido, el artículo mencionado contempla que: “Para estos efectos las autoridades de regulación informarán a la Superintendencia de Industria y Comercio de los actos administrativos que se pretendan expedir”, razón por la cual el presente acto administrativo será remitido a la Superintendencia de Industria y Comercio para su conocimiento y demás fines pertinentes;
Que en mérito de lo expuesto, la Comisión de Regulación de Agua Potable y Saneamiento Básico,
RESUELVE:
ARTÍCULO 1o. Hacer público el proyecto de resolución “por la cual se presenta el proyecto de Resolución “Por la cual se adiciona la Resolución CRA número 632 de 2013, en el sentido de incluir en la misma el Título V referido a la Definición de Descuentos Asociados a la Calidad del Servicio, tal cual como fue ordenado en el artículo 23 de la citada Resolución”, se da cumplimiento a lo previsto por el numeral 11.4 del artículo 11 del Decreto 2696 de 2004, y se continúa el proceso de discusión directa con los usuarios y agentes del sector, en los siguientes términos:
La Comisión de Regulación de Agua Potable y Saneamiento Básico, en ejercicio de sus facultades legales, en especial de las conferidas por la Ley 142 de 1994, los Decretos 1524 de 1994 y 2882 y 2883 de 2007, y
CONSIDERANDO:
Que el artículo 334 de la Constitución Política de Colombia consagra que la dirección general de la economía estará a cargo del Estado, el cual intervendrá por mandato de la ley, entre otras actividades, en los servicios públicos y privados, para racionalizar la economía con el fin de conseguir el mejoramiento de la calidad de vida de los habitantes, la distribución equitativa de las oportunidades y los beneficios del desarrollo y la preservación de un ambiente sano;
Que el artículo 365 de la Constitución Política de Colombia dispone que los servicios públicos son inherentes a la finalidad social del Estado y que es deber del Estado asegurar su prestación eficiente a todos los habitantes del territorio nacional;
Que el artículo 367 de la Constitución Política de Colombia determina que la ley fijará las competencias relativas a la prestación de los servicios públicos domiciliarios, su cobertura, calidad y financiación, el régimen tarifario y las entidades competentes para fijar las tarifas;
Que el artículo 370 de Constitución Política de Colombia, prevé que corresponde al Presidente de la República señalar, con sujeción a la ley, las políticas generales de administración y control de eficiencia de los servicios públicos domiciliarios y ejercer por medio de la Superintendencia de Servicios Públicos Domiciliarios, el control, la inspección y vigilancia de las entidades que los presten;
Que el artículo 2o de la Ley 142 de 1994 establece como uno de sus principios generales, que la intervención del Estado en los servicios públicos tendrá entre otros fines los de:
“(…)
2.1. Garantizar la calidad del bien objeto del servicio público y su disposición final para asegurar el mejoramiento de la calidad de vida de los usuarios.
2.2. (…).
2.3. Atención prioritaria de las necesidades básicas insatisfechas en materia de agua potable y saneamiento básico.
2.4. Prestación continua e ininterrumpida, sin excepción alguna, salvo cuando existan razones de fuerza mayor o caso fortuito o de orden técnico o económico que así lo exijan.
2.5. Prestación eficiente.
(…)”
Que el numeral 3.3 del artículo 3o de la Ley 142 de 1994 establece como uno de los instrumentos de la intervención estatal para el logro de los fines señalados en el artículo 2 Ibídem, el de la “Regulación de la prestación de los servicios públicos teniendo en cuenta las características de cada región; fijación de metas de eficiencia, cobertura y calidad, evaluación de las mismas, y definición del régimen tarifario.” (Subrayado y resaltado fuera de texto)
Que lo anterior indica que corresponde a la regulación, en cabeza de las Comisiones de Regulación lograr los fines del Estado en lo que relacionado a garantizar la calidad, eficiencia y coberturas de los servicios públicos y para ello fijará las metas de eficiencia y calidad, la evaluación de las mismas y la definición del régimen tarifario.
Que el artículo 68 de la Ley 142 de 1994 establece que el señalamiento de las políticas a que hace referencia el artículo 370 de la Constitución Política de Colombia, se podrá delegar en las Comisiones de Regulación;
Que en virtud de lo anterior, el Presidente de la República mediante Decreto 1524 de 1994, delegó las funciones Presidenciales de señalar políticas generales de administración y control de eficiencia en los servicios públicos domiciliarios, en las Comisiones de Regulación;
Que el artículo 73 de la Ley 142 de 1994 establece las funciones y facultades generales de las Comisiones de Regulación y en la misma disposición se establece que estas unidades Administrativas Especiales: “(...) tienen la función de regular los monopolios en la prestación de los servicios públicos, cuando la competencia no sea, de hecho, posible; y, en los demás casos, la de promover la competencia entre quienes presten servicios públicos, para que las operaciones de los monopolistas o de los competidores sean económicamente eficientes, no impliquen abuso de la posición dominante, y produzcan servicios de calidad. Para ello tendrán las siguientes funciones y facultades especiales: (...) 73.3 “Definir los criterios de eficiencia y desarrollar indicadores y modelos para evaluar la gestión financiera, técnica y administrativa de las empresas de servicios públicos y solicitar las evaluaciones que considere necesarias para el ejercicio de sus funciones”.
Que el régimen tarifario aplicable a los servicios públicos domiciliarios, de conformidad con el numeral 86.4 del artículo 86 ibídem, está compuesto por reglas relativas a procedimientos, metodologías, fórmulas, estructuras, estratos, facturación, opciones, valores y, en general, todos los aspectos que determinan el cobro de las tarifas;
Que el artículo 87 ibídem preceptúa que el régimen tarifario estará orientado por los criterios de eficiencia económica, neutralidad, solidaridad, redistribución, suficiencia financiera, simplicidad y transparencia;
Que concordante con lo anterior, el artículo 87 ibídem al definir el criterio de eficiencia económica en su numeral 87.1 prevé que “las fórmulas tarifarias no pueden trasladar a los usuarios los costos de una gestión ineficiente… En el caso de servicios públicos sujetos a fórmulas tarifarias, las tarifas deben reflejar siempre tanto el nivel y la estructura de los costos económicos de prestar el servicio, como la demanda por este. Así mismo en el numeral 87.8 prevé que “Toda tarifa tendrá un carácter integral, en el sentido de que supondrá una calidad y grado de cobertura del servicio, cuyas características definirán las comisiones reguladoras. Un cambio en estas características se considerará como un cambio en la tarifa”.
Que tal como se observa de la normatividad que rige la materia, está en cabeza de la Comisión de Regulación definir los criterios de eficiencia y desarrollar indicadores y modelos para evaluar la gestión financiera, técnica y administrativa de las empresas de servicios públicos, y al definir las tarifas que estas permitan a la persona prestadora cumplir las metas de eficiencia y calidad, evitar la inclusión de costos ineficientes y garantizar que la tarifa sea integral, esto es que supongan una calidad y grado de cobertura.
Que es en este marco, que la CRA procede a definir un régimen de descuentos cuando las metas de calidad o continuidad que brinda una empresa prestadora de los servicios de acueducto y/o alcantarillado y por los cuales cobra una tarifa, no correspondan a las previstas en el régimen regulatorio o legal, sin perjuicio de las sanciones y reparaciones a las que esté obligada la prestadora en el evento de que además se presente una falla en el servicio.
Que el documento Conpes número 140 del 28 de marzo de 2011, denominado “Metas y estrategias de Colombia para el logro de los objetivos de desarrollo del milenio-2015” establece como una de las metas, reducir a la mitad, para el año 2015, el porcentaje de personas sin acceso sostenible al agua potable y a servicios básicos de saneamiento, de acuerdo con la meta universal 7c”;
Que por lo expuesto, la Comisión de Regulación de Agua Potable y Saneamiento Básico,
RESUELVE:
Artículo 1o. Adicionar la Resolución CRA número 632 de 2013, en el sentido de incluir en la misma el Título V que corresponde a la definición de descuentos asociados a la calidad de los servicios de acueducto y alcantarillado, así:
TÍTULO V
DE LA DEFINICIÓN DE DESCUENTOS ASOCIADOS A LA CALIDAD DEL SERVICIO
Artículo 2o. Objeto. El objeto del presente título es determinar los descuentos asociados al cumplimiento de las metas de calidad de los servicios públicos domiciliarios de acueducto y alcantarillado, definidos bajo el concepto de integralidad tarifaria, con el fin de generar incentivos económicos para que los prestadores de estos servicios incrementen de manera significativa su desempeño en lo que respecta a la calidad del servicio.
Artículo 3o. Estructura. La formulación de los descuentos definidos en el presente título está basada en indicadores, a través de los cuales se estima el nivel de cumplimiento frente a las metas para alcanzar los estándares de calidad del servicio que aplican a los servicios públicos domiciliarios de acueducto y alcantarillado, desde la perspectiva de la gestión técnica y comercial.
En lo que respecta a la calidad técnica aplicable al servicio público domiciliario de acueducto, se tienen en cuenta dos indicadores: el primero para la Calidad de Agua Potable (ICAP) y el segundo para la Continuidad del Servicio (ICON). Para el servicio público domiciliario de alcantarillado no se medirá la gestión técnica a través de ningún indicador.
Por otra parte, para medir la gestión comercial de ambos servicios se tendrá en cuenta el Indicador de Reclamos Comerciales (IQR).
Los indicadores ICAP e ICON generan descuentos estimados a partir del valor del cargo por consumo (exceptuando las tasas ambientales), mientras que el indicador IQR genera descuentos asociados al cargo fijo. Estos descuentos beneficiarán únicamente a los suscriptores afectados por alguna de las tres dimensiones medidas a través de los indicadores mencionados.
La siguiente tabla presenta la estructura de Calidad y Descuentos:
Estructura de los descuentos asociados a la calidad de los servicios públicos domiciliarios de acueducto y alcantarillado
| Dimensión | Indicador | Descripción | Incentivo Económico | Beneficiario |
| Gestión Técnica | ICAP | Calidad de agua potable para el servicio de acueducto | Descuento en el cargo por consumo | Suscriptores del sistema. |
| ICON | Continuidad del servicio de acueducto | Descuento en el cargo por consumo | Suscriptores afectados. | |
| Gestión Comercial | IQR | Reclamos comerciales para los servicios de acueducto y alcantarillado | Descuento en el cargo fijo | Suscriptores que reclamaron. |
Para los indicadores de continuidad y reclamos comerciales, el prestador calculará los descuentos con información propia y el Auditor Externo de Gestión y Resultados en el caso de empresas privadas o el Jefe de Control Interno en el caso de empresas públicas, verificará previamente dicha información.
El régimen de calidad y descuentos que se describe en el presente título aplica sin perjuicio de las sanciones o acciones que la Superintendencia de Servicios Públicos Domiciliarios pueda efectuar por fallas en la prestación del servicio.
CAPÍTULO I
De la gestión asociada a las metas de calidad del agua
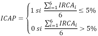
Artículo 4o. Cálculo del Indicador de Calidad del Agua Potable (ICAP). La expresión que permite determinar este indicador es la siguiente:

Donde:
ICAP: Indicador de Calidad del Agua Potable basado en el promedio semestral de los valores mensuales del IRCA.
IRCAi: Índice de riesgo de la calidad del agua para consumo humano (IRCA) del mes i, definido en los artículos 13 y 14 de la Resolución número 2115 de 2007 o norma que lo sustituya. Este índice corresponde al calculado mensualmente con muestras de vigilancia de la red de distribución, que las autoridades sanitarias correspondientes reportan al SIVICAP.
El cumplimiento del indicador ICAP denominado C_ICAP, será:
C_ICAP = 1 cuando el prestador cumpla la meta de calidad del agua para el semestre de análisis.
C_ICAP = 0 cuando el prestador no cumpla la meta de calidad del agua para el semestre de análisis
PARÁGRAFO 1o. Cuando no sea posible determinar los indicadores establecidos en el presente artículo por falta de información o por deficiencia de la misma, el valor de incumplimiento establecido en el artículo 6o del presente Título y el descuento por suscriptor establecido en el artículo 7o del presente Título, quedarán suspendidos hasta que la información reportada por la autoridad sanitaria en el SIVICAP sea suficiente para el cálculo de los indicadores de calidad del agua.
Artículo 5o. Periodicidad en el cálculo del ICAP. El ICAP está expresado semestralmente y se calculará con la información que la autoridad sanitaria correspondiente reporte mensualmente en el SIVICAP.
Artículo 6o. Valor de incumplimiento asociado a la calidad del agua (V_ICAP). El valor del incumplimiento se determina semestralmente con base en el comportamiento del prestador respecto del indicador C_ICAP, mediante la siguiente expresión:
![]()
Donde:
V_ICAP: Valor de incumplimiento asociado a la calidad del agua dado en pesos.
FR: Factor de reincidencia en el incumplimiento. Este valor depende de la segmentación definida en el artículo 4o del proyecto de resolución contenido en la Resolución CRA 632 de 2013 y tomará los siguientes valores dependiendo de la reincidencia en el incumplimiento por parte de la persona prestadora en evaluaciones semestrales consecutivas:
| Semestres consecutivo de incumplimiento | Primer Segmento | Segundo Segmento |
| 1 | 0,20 | 0,05 |
| 2 | 0,60 | 0,15 |
| 3 o superior | 1,00 | 0,25 |
Dmax_ICAP: Factor de descuento máximo asociado a la calidad de agua. Este factor se obtiene con la siguiente expresión:
![]()
En la cual:
FPICAP: Factor de ponderación asociado a la calidad del agua, igual a 0,70
FdCMO: Factor de descuento asociado al Costo Medio de Operación (CMO), el cual es igual a 0,0252 para el primer segmento y 0,0257 para el segundo segmento.
FdCMI: Factor de descuento asociado al Costo Medio de Inversión (CMI), el cual es igual a 0,1004 para el primer segmento y 0,0958 para el segundo segmento.
CMOac:Costo Medio de Operación (CMO) sin las tasas ambientales para el servicio público domiciliario de acueducto, establecido mediante la aplicación del proyecto de resolución contenido en la Resolución CRA 632 de 2013.
CMIac: Costo Medio de Inversión (CMI) para el servicio público domiciliario de acueducto, establecido mediante la aplicación del proyecto de resolución contenido en la Resolución CRA 632 de 2013.
BD_ICAP: Volumen de agua facturada en el semestre de análisis para el servicio público domiciliario de acueducto del municipio analizado.
Artículo 7o. Descuento aplicable al suscriptor asociado a la calidad del agua (D_ICAPS). El descuento aplicable al usuario final del servicio público domiciliario de acueducto, asociado con el valor por incumplimiento del prestador en relación a la meta de calidad del agua, se define de la siguiente manera:
![]()
Donde:
D_ICAPs: Valor del descuento asociado a la calidad del agua que debe ser reconocido a cada uno de los S suscriptores del servicio público domiciliario de acueducto.
VCS: Volumen consumido por el suscriptor S en el semestre de análisis.
Este descuento será aplicable a todos los usuarios del servicio público domiciliario de acueducto del prestador y del municipio analizado.
PARÁGRAFO. En caso de que una persona prestadora controvierta los valores del IRCA establecidos en el artículo 4o del presente Título, ante el Instituto Nacional de Salud, los descuentos asociados a estos valores se suspenderán hasta tanto no se resuelva la controversia y el prestador deberá soportar ante la Superintendencia de Servicios Públicos Domiciliarios el proceso de suspensión de estos descuentos bajo las condiciones que esta determine.
En este caso, con los valores del IRCA que resulten de la solución de la controversia se deberán estimar nuevamente los descuentos y deberán hacerse efectivos únicamente a los suscriptores afectados durante el semestre evaluado, junto con los intereses a que haya lugar durante el tiempo transcurrido a partir de 6 meses después del semestre evaluado. Los intereses se calcularán con la tasa de interés mensual simple establecida dentro del presente marco regulatorio.
CAPÍTULO II
De la gestión asociada a las metas de continuidad del servicio
Artículo 8o. Cálculo de los Indicadores de Continuidad (ICONi_l, ICONi_TOTAL y C_ICON). Estos indicadores únicamente aplicarán para el servicio público domiciliario de acueducto. Los indicadores de continuidad deben ser determinados por municipio y prestador independientemente y adicionalmente deben ser estimados de forma general para todo el sistema del prestador en el municipio analizado y para cada una de las rutas de lectura. Para determinar los indicadores de continuidad, el prestador deberá cargar en el SUI, con una periodicidad mensual, la información que se relaciona en la siguiente tabla.
Información base para el cálculo del indicador de continuidad con el cual se realizarán los descuentos
| A | B | C | D | E (E=C*D) | F | G | H (H=G-F) | I (I=E*H) |
| Afectación del servicio No. | Código Ruta de Lectura afectada | Usuarios totales de la Ruta de Lectura afectada | % de usuarios afectados en la Ruta | Usuarios afectados en la Ruta | Inicio del Tiempo de afectación | Fin del Tiempo de afectación | Tiempo de afectación | Tiempo total de afectación |
| Fecha | Hora | Fecha | Hora | (d) | (d*usuarios) | |||
1
| 2 | ||
Donde:
i: Es el número del mes analizado dentro del semestre en estudio que varía entre 1 y 6.
q: Es el número de la afectación analizado por continuidad del servicio.
l: Es la ruta de lectura afectada.
nc: Es el número total de afectaciones en la continuidad del servicio por cualquier causa presentados en el mes i, dentro del municipio analizado.
TAiql: Es el tiempo de afectación en la ruta de lectura l perteneciente a la afectación número q, que se presentó durante el mes i. Este parámetro se obtiene de multiplicar el número de usuarios afectados en cada ruta de lectura (Columna E en la tabla) por el tiempo que duró la afectación en días (Columna H en la tabla).
TAi_TOTAL: Es el tiempo total de afectación del sistema, el cual se obtiene como la sumatoria de todos los TAiql presentados durante el mes i dentro del municipio analizado.
Para efectos del presente capítulo, las denominadas rutas de lectura se entenderán como el conjunto de puntos de consumo asociados a cuentas internas, cuyos medidores son leídos de forma ordenada uniendo dos puntos geográficos extremos a través de calles, para tomar la lectura de los medidores y posteriormente determinar los consumos en el proceso de facturación de cada punto.
Las expresiones para que cada empresa prestadora determine el índice de continuidad por municipio para cada uno de los 6 meses del semestre de análisis de forma discriminada por cada ruta de lectura y general para todo el sistema, son las siguientes:

Donde:
ICONi_l: Es el índice de continuidad para la ruta de lectura l y el mes i.
ICONi_TOTAL: Es el índice de continuidad general de todo el sistema del prestador dentro del municipio analizado para el mes i.
TAi_RUTA l: Es el tiempo de afectación mensual por continuidad del servicio para la misma ruta de lectura l, durante el mes i. Este parámetro se calcula sumando todos los TAiql de la misma ruta de lectura que pertenecen al mismo mes i, sin importar que correspondan a diferentes afectaciones.
TAi_TOTAL: Es el tiempo total de afectación del sistema, el cual se obtiene por municipio como la sumatoria de todos los TAiql presentados durante el mes i.
NTUl: Promedio durante el periodo de evaluación analizado del número total de usuarios de la ruta de lectura l. Al finalizar el semestre de análisis, este parámetro deberá corresponder al promedio del total de suscriptores de la ruta de lectura l, durante dicho semestre.
NTUTOTAL: Promedio durante el periodo de evaluación analizado del número total de usuarios del sistema del municipio analizado. Al finalizar el semestre de análisis, este parámetro deberá corresponder al promedio del total de suscriptores del sistema durante dicho semestre para el municipio analizado.
dci: Número de días calendario del mes i.
dm: Número de días de afectación por continuidad admisible por mes igual a 0,33 días.
A partir del índice general de continuidad para todo el sistema del municipio analizado (ICONi_TOTAL) y con base en la meta de continuidad para el semestre de análisis, se determina el índice de cumplimiento de continuidad que se tomará para establecer el descuento del servicio público domiciliario de acueducto, mediante la siguiente expresión:
![]()
Donde:
C_ICON: Es el índice de cumplimiento de continuidad para el servicio público domiciliario de acueducto, teniendo en cuenta como referencia la meta del POIR para el semestre de análisis. El indicador que se debe tener en cuenta para establecer el descuento corresponde al calculado con el ICON6_TOTAL de cada semestre analizado.
M_ICON: Es la meta de continuidad establecida para el semestre de análisis, la cual está dada en fracción y es igual a la meta de diciembre del año anterior establecida dentro del POIR.
PARÁGRAFO. En el evento que un prestador cuente con usuarios que no pertenezcan a ninguna ruta de lectura, para efectos de establecer el indicador de continuidad asociado a dichos usuarios, estos se deberán identificar por la cuenta interna y por la dirección de entrega de facturas.
Artículo 9o. Periodicidad en el cálculo de C_ICON. El C_ICON está expresado sobre una base de cálculo semestral, no obstante, los parámetros con los cuales se calcula dicho indicador deberán ser reportados al SUI con una periodicidad mensual.
Artículo 10. Valor de incumplimiento asociado a la continuidad del servicio (V_ICON). Este valor de incumplimiento se determina semestralmente con base en el comportamiento del prestador respecto del indicador C_ICON, mediante la siguiente expresión:
![]()
Donde:
V_ICON: Valor de incumplimiento asociado a la continuidad del servicio público domiciliario de acueducto del municipio analizado, dado en pesos.
FR: Factor de reincidencia en el incumplimiento. Este valor depende de la segmentación definida en el artículo 4o del proyecto de resolución contenido en la Resolución CRA 632 de 2013 y toma los mismos valores del factor de reincidencia establecido en el artículo 6o del presente Título. La variación de sus valores depende de la reincidencia en el incumplimiento por parte del prestador en semestres consecutivos.
Dmax_ICON: Factor de descuento máximo asociado a la continuidad del servicio público domiciliario de acueducto. Este factor se obtiene con la siguiente expresión:
![]()
En la cual:
FPICON: Factor de ponderación asociado a la continuidad del servicio, igual a 0,30
FdCMO: Factor de descuento asociado al Costo Medio de Operación (CMO), el cual es igual a 0,0252 para el primer segmento y 0,0257 para el segundo segmento.
FdCMI: Factor de descuento asociado al Costo Medio de Inversión (CMI), el cual es igual a 0,1004 para el primer segmento y 0,0958 para el segundo segmento.
CMOac:Costo Medio de Operación (CMO) sin las tasas ambientales para el servicio público domiciliario de acueducto, establecido mediante la aplicación del proyecto de resolución contenido en la Resolución CRA 632 de 2013.
CMIac: Costo Medio de Inversión (CMI) para el servicio público domiciliario de acueducto, establecido mediante la aplicación del proyecto de resolución contenido en la Resolución CRA 632 de 2013.
BD_ICON: Volumen de agua facturada en el semestre de análisis para el servicio público domiciliario de acueducto del municipio analizado.
Artículo 11. Descuento aplicable al suscriptor afectado que se asocia a la continuidad del servicio (D_ICONl_S). Para determinar el descuento aplicable al usuario final S por incumplimiento en la meta de continuidad del servicio público domiciliario de acueducto, inicialmente es necesario establecer el valor del descuento aplicable a cada una de las rutas de lectura, de la siguiente forma:
![]()
Donde:
l: El subíndice l hace referencia a cada ruta de lectura.
D_ICONl: Valor del descuento por cada ruta de lectura, asociado al cumplimiento de la meta de continuidad del servicio público domiciliario de acueducto.
IM_ICONl: Incumplimiento en la continuidad del servicio público domiciliario de acueducto para cada ruta de lectura l, tomando como referencia la meta de continuidad establecida para el semestre de análisis. Este parámetro se calcula mediante la siguiente expresión:
![]()
En la cual:
ICON6_l: Es el índice de continuidad para la ruta de lectura l al finalizar el semestre de análisis, el cual se definió en el artículo 8o del presente Título.
TIM_ICON: Sumatoria de los incumplimientos en la continuidad de cada una de las rutas de lectura l, tomando como referencia la meta de continuidad establecida para el semestre de análisis. Este parámetro se calcula mediante la siguiente expresión:

En la cual:
nl: Es el número total de rutas de lectura correspondientes al servicio público domiciliario de acueducto.
Con el valor del descuento por cada ruta de lectura l es posible determinar el descuento aplicable a cada suscriptor S afectado por continuidad del servicio, de la siguiente forma:
![]()
Donde:
D_ICONl_S: Valor del descuento aplicable a cada suscriptor S afectado por la continuidad del servicio que pertenece a la ruta de lectura afectada l.
VCl_S: Volumen consumido por el suscriptor S afectado en la ruta de lectura afectada l, para el semestre de análisis. : Volumen total consumido por todos los suscriptores afectados de la ruta de lectura afectada l. Volumen consumido por el suscriptor S afectado en la ruta de lectura afectada l, para el semestre de análisis.
BD_ICONlafec: Volumen consumido por el suscriptor S afectado en la ruta de lectura afectada l, para el semestre de análisis. : Volumen total consumido por todos los suscriptores afectados de la ruta de lectura afectada l. Volumen total consumido por todos los suscriptores afectados de la ruta de lectura afectada l.
Los descuentos definidos en este artículo, únicamente podrán aplicarse a los usuarios cuyo servicio se vea afectado por la continuidad durante el semestre de análisis y sus niveles de continuidad sean inferiores a las metas establecidas en esta materia para el periodo de evaluación.
CAPÍTULO III
De la gestión asociada a las metas para reclamos comerciales
Artículo 12. Indicador de Reclamos Comerciales (IQR). Este indicador medirá el número de reclamos comerciales por exactitud en la facturación, resueltos a favor del usuario en segunda instancia, por cada 1.000 suscriptores durante el periodo de evaluación analizado. La expresión para determinar mensualmente este indicador es la siguiente:

Donde:
i: Es el número del mes analizado dentro del semestre en estudio que varía entre 1 y 6.
IQRi: Es el índice de reclamos comerciales para el mes i dado en número de reclamos comerciales por cada 1.000 suscriptores por i meses (al finalizar el semestre, dicho indicador se expresaría en número de reclamos comerciales por cada 1.000 suscriptores por semestre).
RCi: Total de reclamos comerciales por exactitud en la facturación, resueltos a favor del usuario en segunda instancia, durante el mes i perteneciente al semestre de análisis, cuyo valor debe ser suministrado por cada prestador y discriminado por municipio.
NTU: Promedio durante el periodo de evaluación analizado del número total de usuarios del sistema y el municipio analizado para el servicio público domiciliario de acueducto. Al finalizar el semestre de análisis, este parámetro deberá corresponder al promedio del total de suscriptores del sistema durante dicho semestre que pertenecen al municipio analizado.
Teniendo en cuenta el estándar de eficiencia y la gradualidad de disminución de brecha que sobre esta materia se establece en el artículo 6o del proyecto de resolución contenido en la Resolución CRA 632 de 2013, se define el siguiente indicador de cumplimiento de la meta de reclamos comerciales que se tendrá en cuenta para el cálculo del descuento correspondiente:

Donde:
C_IQR: Es el índice de cumplimiento de reclamos comerciales teniendo como referencia la meta establecida para el mes i de análisis. El indicador que se debe tener en cuenta para el cálculo del descuento corresponde al calculado con el IQR6 de cada semestre analizado.
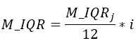
M_IQR: Es el índice de reclamos comerciales establecido como meta para el mes i del semestre de análisis, el cual se calcula de la siguiente forma:

En la cual:
M_IQRj: Es la meta de reclamos comerciales establecida para el año analizado j, la cual está expresada en número de reclamos comerciales por cada 1.000 suscriptores por año.
Artículo 13. Periodicidad en el cálculo de IQR. El IQR está expresado sobre una base de cálculo semestral, no obstante, la información correspondiente al RCi y al IQRi deberá ser reportada al SUI con una periodicidad mensual y discriminada por municipio.
Artículo 14. Valor de incumplimiento asociado a los reclamos comerciales (V_IQRsp). El valor del incumplimiento para los servicios de acueducto y alcantarillado se determina semestralmente con base en el comportamiento del prestador respecto del indicador C_IQR, mediante la siguiente expresión:
![]()
Donde:
sp: El subíndice sp equivale a “ac” cuando se trata del servicio público domiciliario de acueducto y equivale a “al” para el servicio público domiciliario de alcantarillado.
V_IQRsp: Valor de incumplimiento del servicio público domiciliario sp asociado a los reclamos comerciales que fueron resueltos a favor del usuario en segunda instancia, durante el semestre de análisis.
FR: Factor de reincidencia en el incumplimiento. Este valor depende de la segmentación definida en el artículo 4o del proyecto de resolución contenido en la Resolución CRA 632 de 2013 y toma los mismos valores del factor de reincidencia establecido en el artículo 6o del presente título. La variación de sus valores depende de la reincidencia en el incumplimiento por parte del prestador en semestres consecutivos.
Dmax_IQRsp: Factor de descuento máximo asociado a los reclamos comerciales del servicio público domiciliario sp. Este factor se obtiene con la siguiente expresión:
![]()
En la cual:
FdCMA: Factor de descuento asociado al Costo medio de Administración (CMA), el cual es igual a 0,0252 para el primer segmento y 0,0257 para el segundo segmento.
CMAsp: Costo Medio de Administración (CMA) sin los impuestos, contribuciones y tasas administrativas (ICTA) para el servicio público domiciliario sp, establecido mediante la aplicación del proyecto de resolución contenido en la Resolución CRA 632 de 2013.
BD_IQRsp: Promedio durante el periodo de evaluación analizado del número total de usuarios del sistema para el servicio público domiciliario sp, dentro del municipio analizado. Al finalizar el semestre de análisis, este parámetro deberá corresponder al promedio del total de suscriptores del sistema durante dicho semestre que pertenecen al servicio público domiciliario sp y al municipio analizado.
Artículo 15. Descuento aplicable al suscriptor asociado a los reclamos comerciales (D_IQRsp_S). El descuento aplicable al usuario final del servicio público domiciliario sp, asociado con el valor por incumplimiento del prestador con relación a la meta de reclamos comerciales, se define de la siguiente manera:
![]()
Donde:
D_IQRsp_S: Valor del descuento asociado a los reclamos comerciales que debe ser reconocido a cada uno de los S suscriptores del servicio público domiciliario sp, que presentaron reclamaciones comerciales por facturación y que fueron resueltas a su favor en segunda instancia, durante el semestre de análisis.
NTUsp_afec: Número total de usuarios del servicio público domiciliario sp que pertenecen al municipio analizado y que presentaron reclamaciones comerciales por exactitud en la facturación, las cuales fueron resueltas a su favor en segunda instancia durante el semestre de análisis.
Los descuentos definidos en este artículo para cada servicio público domiciliario sp, únicamente podrán aplicarse a los usuarios del municipio analizado que hayan presentado reclamaciones comerciales por exactitud en la facturación y que a su vez estas hayan sido resueltas a su favor durante el semestre de análisis.
CAPÍTULO IV
Total de descuentos aplicables a cada suscriptor
Artículo 16. Descuento total aplicable al suscriptor o usuario del servicio. El descuento aplicable al usuario final se define como la suma de los descuentos definidos en los capítulos I, II y III del presente título que deberán ser considerados en la factura al suscriptor y se calcularán con la siguiente fórmula:
![]()
Este descuento total deberá reflejarse en la factura como un menor valor de esta por incumplimiento de las metas de calidad.
Artículo 17. Plazo para hacer efectivos los descuentos. La persona prestadora cuenta con un plazo máximo de seis (6) meses para hacer efectivo el descuento total en la factura de los usuarios afectados. Este plazo empezará a contar una vez finalice el semestre objeto de evaluación.
PARÁGRAFO. En caso de que un prestador no haga efectivos los descuentos durante el periodo señalado en este artículo, deberá hacerlo posteriormente reconociendo a cada usuario afectado el descuento total pendiente y los intereses a que haya lugar sobre este valor. Los intereses se calcularán con la tasa de interés mensual simple establecida dentro del presente marco regulatorio y empezarán a aplicarse a partir de 6 meses después del semestre evaluado.
CAPÍTULO V
De la verificación del régimen de calidad y descuentos
Artículo 18. Verificación de los indicadores de continuidad y reclamos comerciales. Toda la información con la cual se calculan los indicadores asociados con la continuidad del servicio y los reclamos comerciales por exactitud en la facturación, incluyendo los cálculos correspondientes, deberá estar debidamente verificada por el Auditor Externo de Gestión de Resultados en el caso de empresas privadas o por el Jefe de Control Interno en el caso de empresas públicas. El prestador únicamente podrá reportar esta información al SUI si el proceso de verificación ha finalizado satisfactoriamente.
Artículo 19. Verificación de la estimación de los descuentos. El Auditor Externo de Gestión de Resultados en el caso de empresas privadas o el Jefe de Control Interno en el caso de empresas públicas, también verificará la estimación de los descuentos definidos en el presente título, lo cual incluye la verificación de la información con la cual se estiman los descuentos y los cálculos correspondientes. Dentro de este proceso de verificación se deben tener en cuenta los descuentos asociados con la calidad del agua potable, la continuidad del servicio y la reclamación comercial por exactitud en la facturación de los servicios públicos domiciliarios de acueducto y alcantarillado. El prestador únicamente podrá reportar al SUI la información correspondiente a la estimación de los descuentos si su proceso de verificación ha finalizado satisfactoriamente.
Artículo 20. Certificación de la aplicación de los descuentos. Los descuentos definidos en el presente título podrán ser aplicados a los usuarios afectados únicamente si su estimación se encuentra debidamente reportada en el SUI como lo establecen el artículo 18 y el artículo 19 del presente Título. El Auditor Externo de Gestión de Resultados en el caso de empresas privadas o el Jefe de Control Interno en el caso de empresas públicas, igualmente certificará la correcta y efectiva aplicación de los descuentos a los usuarios afectados.
Artículo 21. Reporte de la información de verificación. Todos los prestadores, en cabeza del Auditor Externo de Gestión y Resultados en el caso de empresas privadas o en cabeza del Jefe de Control Interno en el caso de empresas públicas, deberán reportar mensualmente ante la Superintendencia de Servicios Públicos Domiciliarios (SSPD) en las condiciones y medios que esta establezca, toda la información producto del proceso de verificación establecido en el presente capítulo.
Los artículos definidos en el presente capítulo serán aplicados sin perjuicio de las acciones que la SSPD pueda efectuar con respecto al reporte adecuado de información y su correspondiente verificación y aplicación.
CAPÍTULO VI
Disposiciones finales del título de la calidad del servicio
Artículo 22. Valor de los indicadores por no reporte de información. Los indicadores que no puedan ser calculados por falta de reporte de información por parte de la persona prestadora, se entenderán como incumplidos. En este caso se aplicará el máximo descuento correspondiente al semestre consecutivo de incumplimiento, sin perjuicio de las acciones a que haya lugar por parte de la Superintendencia de Servicios Públicos Domiciliarios.
Artículo 23. Aplicación del Régimen de Calidad y Descuentos. El régimen de Calidad y Descuentos entrará en vigencia a partir del primer semestre calendario completo una vez entre en vigencia el marco tarifario establecido en el proyecto de resolución contenido en la Resolución CRA 632 de 2013.
PARÁGRAFO 1o. Para el efecto se entiende semestre calendario completo el periodo comprendido entre el 1o de enero y el 30 de junio o entre el 1o de julio y el 31 de diciembre de un año.
PARÁGRAFO 2o. La entrada en vigencia de los descuentos asociados a la continuidad del servicio público domiciliario de acueducto, dependerá de la segmentación definida en el artículo 4o del proyecto de resolución contenido en la Resolución CRA 632 de 2013. Para el primer segmento, los descuentos asociados al cumplimiento de las metas de continuidad entrarán en vigencia a partir del inicio del segundo año calendario de aplicación del presente marco regulatorio, mientras que para el segundo segmento dichos descuentos entrarán en vigencia a partir del inicio del tercer año calendario.
Artículo 24. La presente resolución hace parte integral de la Resolución CRA 632 de 2013
Dada en Bogotá, D. C., a los … días del mes de … de 2013.
Publíquese y cúmplase.
| IVÁN MUSTAFÁ DURÁN | SILVIA JULIANA YEPES SERRANO |
| Presidente | Directora Ejecutiva |
ARTÍCULO 2o. <Artículo modificado por el artículo 2 de la Resolución 651 de 2013. El nuevo texto es el siguiente:> Continuar el proceso de discusión directa con los usuarios, prestadores gremios y demás agentes del sector interesados. Para el efecto, las observaciones, reparos o sugerencias se recibirán hasta el 31 de octubre de 2013.
ARTÍCULO 3o. La Directora Ejecutiva invita a las personas prestadoras de los servicios de acueducto y alcantarillado, suscriptores y/o usuarios, a la Superintendencia de Servicios Públicos Domiciliarios, y a todos los interesados en general para que remitan observaciones reparos o sugerencias a la propuesta consagrada en el artículo 1o de la presente resolución, así como al documento de trabajo que también se hará público en la página web www.cra.gov.co.
ARTÍCULO 4o. Las observaciones, reparos o sugerencias, se recibirán en las instalaciones de la CRA, ubicada en la Carrera 12 No 97-80, Piso 2o, Edificio 97 Punto Empresarial, de Bogotá D.C., teléfono 487 38 20, en la línea nacional gratuita 01 8000 517 565, en el correo electrónico participacion@cra.gov.co o en el fax 489 76 50. La Subdirección Técnica de la Comisión de Regulación de Agua Potable y Saneamiento Básico en cabeza de su Subdirector Técnico, recibirá las observaciones, reparos o sugerencias y atenderán las solicitudes de información sobre el proyecto.
ARTÍCULO 5o. VIGENCIA. La presente resolución rige a partir de la fecha de su publicación en el Diario Oficial.
Publíquese y cúmplase.
Dada en Bogotá, D. C., a los veintiún (21) días del mes de marzo de 2013.
El Presidente,
IVÁN MUSTAFÁ DURÁN.
La Directora Ejecutiva,
SILVIA JULIANA YEPES SERRANO.