RESOLUCIÓN CRA 643 DE 2013
(junio 24)
Diario Oficial No. 48.832 de 25 de junio de 2013
COMISIÓN DE REGULACIÓN DE AGUA POTABLE Y SANEAMIENTO BÁSICO
Por la cual se presenta el proyecto de resolución, “por la cual se establece el régimen de regulación tarifaria al que deben someterse las personas prestadoras del servicio público de aseo en áreas urbanas que atiendan en municipios de más de 5.000 suscriptores, la metodología que deben utilizar para el cálculo de las tarifas del servicio público de aseo y se dictan otras disposiciones”, se da cumplimiento a lo previsto por el numeral 11.4 de artículo 11 del Decreto 2696 de 2004, y se continúa el proceso de discusión directa con los usuarios y agentes del sector.
LA COMISIÓN DE REGULACIÓN DE AGUA POTABLE Y SANEAMIENTO BÁSICO,
en ejercicio de sus facultades legales, en especial de las conferidas por las Leyes 142 de 1994 y 1450 de 2011, los Decretos 1524 de 1994 y 2696 de 2004, 2882 y 2883 de 2007, y
CONSIDERANDO:
Que el artículo 2o de la Constitución Política consagra como uno de los fines esenciales del Estado facilitar la participación de todos en las decisiones que los afectan;
Que el inciso 3o del artículo 78 de la Constitución Política establece que el stado garantizará la participación de consumidores y usuarios en el estudio de las disposiciones que les conciernen;
Que la Corte Constitucional mediante Sentencia C-150 de 2003, definió cuatro criterios guía para la participación ciudadana frente a las Comisiones de Regulación; a saber:
i) Que los ciudadanos reciban la información correspondiente sobre el contenido proyectado de la futura regulación de manera oportuna;
ii) Que puedan presentar propuestas;
iii) Que las propuestas que presenten sean consideradas por la Comisión de Regulación competente en cada caso; y
iv) Que la Comisión responda motivadamente las propuestas que se le formulen en relación con la regulación que por su especial trascendencia despertó el interés de los usuarios;
Que el Decreto 2696 de 2004 definió las reglas mínimas para garantizar la divulgación y participación en las actuaciones de las Comisiones de Regulación;
Que respecto de los proyectos regulatorios de carácter tarifario en el numeral 11.1 del artículo 11 del Decreto 2696 de 2004, se estableció que antes de 12 meses de la fecha prevista para que termine la vigencia de las fórmulas tarifarias, se deberá poner en conocimiento de las personas prestadoras y de los usuarios, las bases sobre las cuales se efectuará el estudio para determinar las fórmulas del período siguiente;
Que la Comisión de Regulación de Agua Potable y Saneamiento Básico (CRA), en cumplimiento de lo establecido en el numeral 11.1 del artículo 11 del Decreto 2696 de 2004, divulgó y puso en conocimiento a las personas prestadoras y los usuarios, el documento: “Bases de los estudios para la revisión del marco tarifario para el servicio público de aseo”, aprobado en Sesión de Comisión el 21 de diciembre de 2010 y desarrollaron actividades complementarias para garantizar la participación ciudadana, dentro de las cuales se encuentran 11 eventos de participación ciudadana además de presentaciones en actividades relevantes en el sector;
Que de conformidad con lo estipulado en el numeral 11.3 del artículo 11 del Decreto 2696 de 2004, dichos estudios constituyen elementos de juicio para la Comisión y, en consecuencia, no la comprometen;
Que en virtud de lo dispuesto en el numeral 11.4 del artículo 11 del Decreto 2696 de 2004, tres (3) meses antes de la fecha prevista para que inicie el período de vigencia de las fórmulas tarifarias, se deberá hacer público en la página web de la Comisión, los proyectos de metodologías y de fórmulas, los estudios respectivos y el texto del proyecto de resolución;
Que en aras de garantizar la transparencia de la información, el derecho de las personas prestadoras y usuarios a participar en las decisiones regulatorias, la Comisión de Regulación de Agua Potable y Saneamiento Básico dando cumplimiento al numeral 11.4 del artículo 11 del Decreto 2696 de 2004, presentará al público, a los agentes y a los terceros interesados los estudios respectivos y el texto del proyecto de resolución de la nueva metodología aplicable al servicio público de aseo;
Que para garantizar la participación ciudadana de que trata la Constitución Política, la normatividad vigente y el citado pronunciamiento de la Corte Constitucional, se hace necesario poner a consideración de la ciudadanía en general, el presente proyecto de resolución, para que sea discutido, analizado y socializado, con el fin de que los interesados presenten observaciones o propuestas relacionadas con la metodología tarifaria para las personas prestadoras del servicio público de aseo;
Que de acuerdo con lo establecido en el artículo 7o de la Ley 1340 de 2009 “por medio de la cual se dictan normas en materia de protección a la competencia”, la Superintendencia de Industria y Comercio podrá rendir concepto previo sobre los proyectos de regulación que puedan incidir sobre la libre competencia en los mercados. En este sentido, el artículo mencionado contempla que: “Para estos efectos las autoridades de regulación informarán a la Superintendencia de Industria y Comercio de los actos administrativos que se pretendan expedir”, razón por la cual el presente acto administrativo será remitido a la Superintendencia de Industria y Comercio para su conocimiento y demás fines pertinentes;
Que en mérito de lo expuesto, la Comisión de Regulación de Agua Potable y Saneamiento Básico,
RESUELVE:
ARTÍCULO 1o. Hacer público el proyecto de resolución “por la cual se establece el régimen de regulación tarifaria al que deben someterse las personas prestadoras del servicio público de aseo en áreas urbanas que atiendan en municipios de más de 5.000 suscriptores, la metodología que deben utilizar para el cálculo de las tarifas del servicio público de aseo y se dictan otras disposiciones”, en los siguientes términos:
La Comisión de Regulación de Agua Potable y Saneamiento Básico, en ejercicio de sus facultades legales, en especial de las conferidas por la Ley 142 de 1994, los Decretos 1524 de 1994 y 2882 y 2883 de 2007, y
CONSIDERANDO:
Que el artículo 334 de la Constitución Política de Colombia consagra que la dirección general de la economía estará a cargo del Estado, el cual intervendrá por mandato de la ley, entre otras actividades, en los servicios públicos y privados, para racionalizar la economía con el fin de conseguir el mejoramiento de la calidad de vida de los habitantes, la distribución equitativa de las oportunidades y los beneficios del desarrollo y la preservación de un ambiente sano;
Que el artículo 365 ibídem dispone que los servicios públicos son inherentes a la finalidad social del Estado y que es deber del Estado asegurar su prestación eficiente a todos los habitantes del territorio nacional;
Que el artículo 367 de la Constitución Política de Colombia determina que la ley fijará las competencias relativas a la prestación de los servicios públicos domiciliarios, su cobertura, calidad y financiación, el régimen tarifario y las entidades competentes para fijar las tarifas;
Que el artículo 370 ibídem, prevé que corresponde al Presidente de la República señalar, con sujeción a la ley, las políticas generales de administración y control de eficiencia de los servicios públicos domiciliarios y ejercer por medio de la Superintendencia de Servicios Públicos Domiciliarios, el control, la inspección y vigilancia de las entidades que los presten;
Que el artículo 2o de la Ley 142 de 1994 dispone que el Estado intervendrá en los servicios públicos en el marco de lo dispuesto en los artículos 334, 336, y 365 a 370 de la Constitución Política, entre otras razones, para asegurar su prestación eficiente;
Que en virtud de lo anterior, el Presidente de la República mediante Decreto 1524 de 1994, delegó las funciones Presidenciales de señalar políticas generales de administración y control de eficiencia en los servicios públicos domiciliarios, en las Comisiones de Regulación;
Que el artículo 3o de la Ley 142 de 1994 señala que constituyen instrumentos para la intervención estatal en los servicios públicos, todas las atribuciones y funciones asignadas a las entidades, autoridades y organismos de que trata dicha ley, especialmente las relativas, entre otras, a la regulación de la prestación de los servicios públicos, teniendo en cuenta las características de cada región; la fijación de metas de eficiencia, cobertura y calidad, evaluación de las mismas, y la definición del régimen tarifario;
Que el artículo 11 ibídem, dispone que para cumplir con la función social de la propiedad, pública o privada, las entidades que presten servicios públicos tienen, entre otras, la obligación de asegurar que el servicio se preste en forma continua y eficiente, y sin abuso de la posición dominante;
Que de conformidad con el numeral 14.10 del artículo 14 de la Ley 142 de 1994, la libertad regulada, es el régimen de tarifas mediante el cual la Comisión de Regulación respectiva fija los criterios y la metodología con arreglo a los cuales las personas prestadoras de servicios públicos domiciliarios pueden determinar o modificar los precios máximos para los servicios ofrecidos al usuario o consumidor;
Que el numeral 14.11 del artículo 14 ibídem dispone que la libertad vigilada es el régimen de tarifas mediante el cual las personas prestadoras de servicios públicos domiciliarios pueden determinar libremente las tarifas de venta a medianos y pequeños consumidores, con la obligación de informar por escrito a las comisiones de regulación, sobre las decisiones tomadas en esta materia;
Que en el numeral 14.18 del artículo 14 de la Ley 142 de 1994, se establece que la regulación de los servicios públicos domiciliarios es la facultad de dictar normas de carácter general o particular en los términos de la Constitución y de la mencionada ley, para someter la conducta de las personas que prestan los servicios públicos domiciliarios a las reglas, normas, principios y deberes establecidos por la ley y los reglamentos;
Que el numeral 14.24 del artículo 14 ibídem, modificado por el artículo 1o de la Ley 632 de 2000 y por el artículo 1o de la Ley 689 de 2001, define el servicio público de aseo “Es el servicio de recolección municipal de residuos, principalmente sólidos” y establece que “También se aplicará esta ley a las actividades complementarias de transporte, tratamiento, aprovechamiento y disposición final de tales residuos”;
Que el citado artículo establece adicionalmente, como actividades complementarias del servicio público de aseo, el corte de césped y poda de árboles ubicados en las vías y áreas públicas, lavado de estas áreas, transferencia, tratamiento y aprovechamiento;
Que el artículo 1o del Decreto 1713 de 2002, reglamentario de las Leyes 142 de 1994, 632 de 2000 y 689 de 2001, define el servicio público domiciliario de aseo como “la modalidad de prestación de servicio público domiciliario de aseo para residuos sólidos de origen residencial y para otros residuos que pueden ser manejados de acuerdo con la capacidad de la persona prestadora del servicio de aseo y que no corresponden a ninguno de los tipos de servicios definidos como especiales”;
Que asimismo, dicho artículo establece que el servicio público domiciliario de aseo está compuesto por la recolección, transporte, transferencia, tratamiento y disposición final de los residuos sólidos originados por estas actividades y comprende las actividades de barrido y limpieza de vías y áreas públicas y la recolección, transporte, transferencia, tratamiento, y disposición final de los residuos sólidos originados por estas actividades;
Que de conformidad con el artículo 13 del Decreto 1713 de 2002, los usuarios del servicio público ordinario de aseo se clasificarán de conformidad con la metodología que determine la Comisión de Regulación de Agua Potable y Saneamiento Básico, en usuarios residenciales y usuarios no residenciales y cada uno de estos en pequeños y grandes generadores;
Que el artículo 106 ibídem señala que “Está expresamente prohibido a las personas prestadoras del servicio público de aseo, en todos sus actos y contratos, discriminar o conceder privilegios, así como toda práctica que tenga la capacidad de generar competencia desleal de conformidad con lo establecido en el artículo 34 y demás disposiciones legales establecidas en la Ley 142 de 1994”;
Que a su turno, el inciso segundo del mencionado artículo establece que “La persona prestadora debe garantizar bajo las condiciones técnicas establecidas en este decreto la prestación del servicio de aseo en condiciones uniformes a todos los usuarios que lo requieran, el cual no podrá ser negado por razones socioeconómicas, geográficas, climatológicas, topográficas o por cualquier otra condición discriminatoria, de conformidad con lo dispuesto en la Ley 142 de 1994”;
Que el artículo 40 de la Ley 142 de 1994 dispone respecto a las Áreas de Servicio Exclusivo que “Por motivos de interés social y con el propósito de que la cobertura de los servicios públicos de acueducto y alcantarillado, saneamiento ambiental, distribución domiciliaria de gas combustible por red y distribución domiciliaria de energía eléctrica, se pueda extender a las personas de menores ingresos, la entidad o entidades territoriales competentes, podrán establecer mediante invitación pública, áreas de servicio exclusivas, en las cuales podrá acordarse que ninguna otra empresa de servicios públicos pueda ofrecer los mismos servicios en la misma área durante un tiempo determinado. Los contratos que se suscriban deberán en todo caso precisar el espacio geográfico en el cual se prestará el servicio, los niveles de calidad que debe asegurar el contratista y las obligaciones del mismo respecto del servicio. También podrán pactarse nuevos aportes públicos para extender el servicio”;
Que el artículo 68 de la Ley 142 de 1994 establece que el señalamiento de las políticas a que hace referencia el artículo 370 de la Constitución Política de Colombia, se podrá delegar en las Comisiones de Regulación;
Que el artículo 73 de la Ley 142 de 1994 establece las funciones y facultades generales de las Comisiones de Regulación y en la misma disposición se establece que estas Unidades Administrativas Especiales: “(...) tienen la función de regular los monopolios en la prestación de los servicios públicos, cuando la competencia no sea, de hecho, posible; y, en los demás casos, la de promover la competencia entre quienes presten servicios públicos, para que las operaciones de los monopolistas o de los competidores sean económicamente eficientes, no impliquen abuso de la posición dominante, y produzcan servicios de calidad. Para ello tendrán las siguientes funciones y facultades especiales:
(...)
“73.11. Establecer fórmulas para la fijación de las tarifas de los servicios públicos, cuando ello corresponda según lo previsto en el artículo 88; y señalar cuándo hay suficiente competencia como para que la fijación de las tarifas sea libre”;
Que de conformidad con lo establecido en el artículo 73.21 de la Ley 142 de 1994, es función de la Comisión señalar, de acuerdo con la ley, criterios generales sobre abuso de posición dominante en los contratos de servicios públicos, y sobre la protección de los derechos de los usuarios en lo relativo a facturación, comercialización y demás asuntos relativos a la relación de la empresa con el usuario;
Que a su turno, el inciso final del artículo 73 ibídem dispone que “…las comisiones, tendrán facultad selectiva de pedir información, amplia, exacta, veraz y oportuna a quienes prestan los servicios públicos a los que esta ley se refiere inclusive si sus tarifas no están sometidas a regulación…”;
Que el artículo 14 de la Ley 689 de 2001 adiciona un artículo nuevo a la Ley 142 de 1994, en el cual se señala que el sistema de información que desarrolle la Superintendencia de Servicios Públicos Domiciliarios será único para cada uno de los servicios públicos, actividades inherentes y actividades complementarias de que tratan las Leyes 142 y 143 de 1994, y tendrá, entre otros, como propósitos: servir de base a la Superintendencia de Servicios Públicos en el cumplimiento de sus funciones de control, inspección y vigilancia; apoyar las funciones asignadas a las Comisiones de Regulación; facilitar el ejercicio del derecho de los usuarios de obtener información completa, precisa y oportuna, sobre todas las actividades y operaciones directas o indirectas que se realicen para la prestación de los servicios públicos, conforme a lo establecido en el numeral 9.4 del artículo 9o de la Ley 142 de 1994;
Que el literal a) del numeral 74.2 del artículo 74 de la Ley 142 de 1994, dispone que es función especial de la Comisión de Regulación de Agua Potable y Saneamiento Básico, promover la competencia entre quienes presten los servicios mencionados o regular los monopolios en su prestación, cuando la competencia no sea posible y, que para el efecto, puede adoptar reglas de comportamiento diferencial, según sea la posición de las empresas en el mercado;
Que el régimen tarifario aplicable a los servicios públicos, de conformidad con el numeral 86.4 del artículo 86 ibídem, está compuesto por, entre otros, las reglas relativas a procedimientos, metodologías, fórmulas, estructuras, estratos, facturación, opciones, valores y, en general, todos los aspectos que determinan el cobro de las tarifas;
Que el artículo 87 ibídem preceptúa que el régimen tarifario estará orientado por los criterios de eficiencia económica, neutralidad, solidaridad, redistribución, suficiencia financiera, simplicidad y transparencia;
Que en virtud del principio de eficiencia económica establecido en el numeral 87.1 del artículo 87 de la Ley 142 de 1994, “(…) el régimen de tarifas procurará que estas se aproximen a lo que serían los precios de un mercado competitivo (…)” y “las fórmulas tarifarias no pueden trasladar a los usuarios los costos de una gestión ineficiente, ni permitir que las empresas se apropien de las utilidades provenientes de prácticas restrictivas de la competencia (…)”;
Que de acuerdo con el principio de suficiencia financiera definido en el numeral 87.4 del artículo 87 de la Ley 142 de 1994, se debe garantizar a las empresas eficientes la recuperación de sus costos de inversión y sus gastos de administración, operación y mantenimiento, y permitir la remuneración del patrimonio de los accionistas en la misma forma en la que lo habría remunerado una empresa eficiente en un sector de riesgo comparable;
Que el numeral 87.7 del artículo 87 de la Ley 142 de 1994 dispone que “(…) si llegare a existir contradicción entre el criterio de eficiencia y el de suficiencia financiera, deberá tomarse en cuenta que, para una empresa eficiente, las tarifas económicamente eficientes se definirán tomando en cuenta la suficiencia financiera”;
Que en consecuencia, la Comisión de Regulación de Agua Potable y Saneamiento Básico, al desarrollar la metodología tarifaria contenida en la presente resolución, considera sólo los costos eficientes asociados con la prestación del servicio incorporados en esta, los cuales se encuentran detallados en el documento de trabajo, base del presente acto;
Que de conformidad con el numeral 87.8 del artículo 87 de la Ley 142 de 1994 “Toda tarifa tendrá un carácter integral en el sentido que supondrá una calidad y grado de cobertura del servicio, cuyas características definirán las comisiones reguladoras (…)”;
Que cuando se establezcan Áreas de Servicio Exclusivo para la prestación del servicio público de aseo y se dé aplicación a lo establecido en el parágrafo 1o del artículo 87 de la Ley 142 de 1994, se podrán utilizar las fórmulas tarifarias establecidas en la presente resolución.
Que de conformidad con lo establecido en el artículo 88 de la Ley 142 de 1994, al fijar sus tarifas, las empresas de servicios públicos se someterán al régimen de regulación, definido por la respectiva Comisión de Regulación;
Que según lo dispuesto por el numeral 88.1 del artículo 88 de la Ley 142 de 1994, las personas prestadoras deberán ceñirse a las fórmulas que defina periódicamente la respectiva Comisión para fijar sus tarifas de acuerdo con los estudios de costos. La comisión reguladora podrá establecer topes máximos y mínimos tarifarios, de obligatorio cumplimiento por parte de las empresas y podrá definir las metodologías para la fijación de tarifas, si conviene aplicar el régimen de libertad regulada o vigilada;
Que el numeral 88.3 del artículo 88 ibídem dispone que las empresas tendrán libertad para fijar tarifas cuando exista competencia entre proveedores y que, corresponde a las comisiones de regulación, determinar cuándo se dan estas condiciones, con base en los criterios y definiciones de la ley de servicios públicos;
Que el artículo 91 de la precitada Ley 142 de 1994 señala que “Para establecer las fórmulas de tarifas se calculará por separado, cuando sea posible, una fórmula para cada una de las diversas etapas del servicio”;
Que el artículo 92 ibídem dispone que “En las fórmulas de tarifas las comisiones de regulación garantizarán a los usuarios a lo largo del tiempo los beneficios de la reducción promedia de costos en las empresas que prestan el servicio; y, al mismo tiempo, darán incentivos a las empresas para ser más eficientes que el promedio, y para apropiarse los beneficios de la mayor eficiencia”;
Que con el mismo propósito, el artículo citado dispone que las comisiones de regulación podrán corregir en las fórmulas los índices de precios aplicables a los costos y gastos de la empresa con un factor que mida los aumentos de productividad que se esperan en ella, y permitir que la fórmula distribuya entre la empresa y el usuario los beneficios de tales aumentos;
Que de acuerdo con el artículo 98 de la Ley 142 de 1994 las Comisiones de Regulación pueden revocar de inmediato las fórmulas de tarifas aplicadas por un persona prestadora cuando se presente una “violación de estas prohibiciones, o de cualquiera de las normas de esta ley relativas a las funciones de las comisiones, o “puede dar lugar a que estas sometan a regulación las tarifas de quienes no estuvieren sujetas a ellas”, referido a las prácticas tarifarias restrictivas de la competencia;
Que de conformidad con el artículo 125 de la Ley 142 de 1994, durante el período de vigencia de cada fórmula, las empresas podrán actualizar las tarifas que cobran a sus usuarios aplicando las variaciones en los índices de precios que las fórmulas contienen. Las nuevas tarifas se aplicarán a partir del día quince del mes que corresponda, cada vez que se acumule una variación de, por lo menos, un tres por ciento (3%) en alguno de los índices de precios que considera la fórmula;
Que de conformidad con lo establecido en el artículo 126 de la Ley 142 de 1994, vencido el período de vigencia de las fórmulas tarifarias, estas continuarán rigiendo mientras la Comisión no fije las nuevas;
Que el Decreto 1505 de 2003, en su artículo 1o, el cual adiciona el artículo 1o del Decreto 1713 de 2002, establece el aprovechamiento en el marco de la Gestión Integral de Residuos Sólidos como “el proceso mediante el cual, a través de un manejo integral de los residuos sólidos, los materiales recuperados se reincorporan al ciclo económico y productivo en forma eficiente, por medio de la reutilización, el reciclaje, la incineración con fines de generación de energía, el compostaje o cualquier otra modalidad que conlleve beneficios sanitarios, ambientales, sociales y/o económicos”, y el aprovechamiento en el marco del servicio público de aseo como “el conjunto de actividades dirigidas a efectuar la recolección, transporte y separación, cuando a ello haya lugar, de residuos sólidos que serán sometidos a procesos de reutilización, reciclaje o incineración con fines de generación de energía, compostaje, lombricultura o cualquier otra modalidad que conlleve beneficios sanitarios, ambientales, sociales y/o económicos en el marco de la Gestión Integral de los Residuos Sólidos”;
Que en Sentencia C-1043 de 2003, la honorable Corte Constitucional consideró “que en el régimen actual, el barrido y la limpieza de las calles hacen parte de los componentes del servicio público domiciliario de aseo”;
Que en la referida sentencia consideró además que la Ley 142 de 1994 dispone que “en el caso del servicio de aseo, las fórmulas para fijar las tarifas tomarán en cuenta, además de los aspectos definidos en el régimen tarifario que establece esa ley, los costos de disposición final de basuras y rellenos sanitarios (artículo 64)[1]”;
Que por tanto, los costos asociados a la prestación de la actividad de barrido deben reflejarse en las fórmulas tarifarias del servicio público de aseo;
Que el artículo 146 de la Ley 142 de 1994 dispone, en cuanto a la medición del consumo y del precio en el contrato, que la empresa y el suscriptor o usuario tienen derecho a que los consumos se midan, a que se empleen para ello los instrumentos de medida que la técnica haya hecho disponibles, y a que el consumo sea el elemento principal del precio que se cobre al suscriptor o usuario;
Que el mismo artículo establece que los principios allí consagrados también se aplicarán al servicio público de aseo con las adaptaciones que exige la naturaleza del servicio y las reglas que la ley de servicios públicos contiene sobre falla del servicio; entendiéndose que el precio que se exija al usuario dependerá no sólo de los factores de costos que contemplan las fórmulas tarifarias, sino en todo caso de la frecuencia con que se preste el servicio y del volumen de residuos que se recojan;
Que la citada disposición, prevé que “en cuanto a los servicios de saneamiento básico y aquellos en que por razones de tipo técnico, de seguridad o de interés social, no exista medición individual, la comisión de regulación respectiva definirá los parámetros adecuados para estimar el consumo”;
Que en desarrollo de los estudios adelantados por esta Comisión de Regulación respecto del servicio público de aseo, se hicieron estimaciones sobre la producción de residuos sólidos de los suscriptores del servicio;
Que de conformidad con lo anterior, se hace necesario definir los parámetros y fórmulas, para la estimación del consumo en el marco de la prestación del servicio público de aseo;
Que el artículo 22 de la Ley 1450 de 2011 “por la cual se expide el Plan Nacional de Desarrollo, 2010-2014” señala, en relación con las inversiones de las Corporaciones Autónomas Regionales en el sector de agua potable y saneamiento básico, lo siguiente:
“Las obras de infraestructura del sector de agua potable y saneamiento básico financiadas con recursos de las Corporaciones Autónomas Regionales, podrán ser entregadas como aportes a municipios o a las Empresas de Servicios Públicos que operen estos servicios en el municipio, de acuerdo con lo que este determine, bajo la condición de que trata el numeral 87.9 del artículo 87 de la Ley 142 de 1994 o las normas que la modifiquen o sustituyan.
En ningún caso la entrega de aportes bajo condición por las Corporaciones Autónomas Regionales se constituye como detrimento patrimonial del Estado. Las Corporaciones Autónomas Regionales no podrán exigir contraprestaciones por la entrega de las obras de las que trata este artículo” (…);
Que el artículo 99 ibídem modificó el numeral 87.9 del artículo 87 de la Ley 142 de 1994 en los siguientes términos:
87.9. Las Entidades públicas podrán aportar bienes o derechos a las empresas de servicios públicos domiciliarios, siempre y cuando su valor no se incluya en el cálculo de las tarifas que hayan de cobrarse a los usuarios y que en el presupuesto de la entidad que autorice el aporte figure este valor. Las Comisiones de Regulación establecerán los mecanismos necesarios para garantizar la reposición y mantenimiento de estos bienes.
Lo dispuesto en el presente artículo no es aplicable cuando se realice enajenación o capitalización de dichos bienes o derechos”;
Que mediante Sentencia C-739 de 2008 referido al artículo 143 de la Ley 1151 de 2007, cuyo idéntico texto se encuentra vigente en el artículo 99 de la Ley 1450 de 2011, por lo cual sus supuestos analíticos siguen siendo pertinentes, la honorable Corte Constitucional señaló en lo que se refiere a los aportes bajo condición que hacen las entidades territoriales en empresas de servicios públicos, lo siguiente:
“(…)a) A través de la norma acusada, el legislador ha diseñado una forma de subsidio generalizado a la demanda en los servicios públicos domiciliarios.
b) Esta forma de subsidio opera mediante el aporte no constitutivo de capital que entidades públicas hacen en empresas de servicios públicos domiciliarios, aporte destinado a subsidiar a todos sus usuarios.
c) Antes de la expedición de la norma acusada, el numeral 9 del artículo 87 de la Ley 142 de 1994 regulaba un subsidio dirigido a la demanda únicamente en los estratos subsidiables y además concedía un subsidio a la oferta, en cuanto permitía trasladar a la tarifa de los estratos altos y los comerciales e industriales el valor de un aporte que las empresas recibían a título no oneroso; de esta manera, dichas empresas percibían un beneficio económico subvencionado por el Estado. La norma acusada, impide que esto último siga ocurriendo.
d) Con la expedición de la norma acusada -artículo 143 de la Ley 1151 de 2007-, ella vino a regular un subsidio generalizado a la demanda, y a excluir la posibilidad de subsidios a la oferta, mediante el mecanismo de aportes no capitalizables de entidades públicas en empresas de servicios públicos domiciliarios.
e) La finalidad que persiguió el legislador al consagrar la anterior modificación legislativa fue adecuar el marco regulatorio de las tarifas y los subsidios en materia de servicios públicos domiciliarios, a fin de permitir el diseño de “esquemas sostenibles de gestión”[35] para la prestación de dichos servicios, especialmente circunstancias o en “en áreas donde la prestación y cobro del servicio sea difícil”[36], dentro de un sistema de libre competencia; diseño normativo que garantizará el acceso universal de toda la población a dichos servicios”.
“[35] Exposición de Motivos al Proyecto de Ley del Plan de Desarrollo Económico 2006-2010. Gaceta del Congreso número 32, correspondiente al 8 de febrero de 2007”.
“[36] Ibídem”;
Que en la misma providencia en relación con los aportes bajo condición señaló el alto tribunal que: “(…) dado que la empresa prestadora del servicio público recibe a título gratuito el aporte, pero luego no puede cobrar su valor a los usuarios, en realidad no está obteniendo ningún beneficio económico al recibir dicho aporte”;
Que en la medida en que los bienes o derechos necesarios para la prestación del servicio público de aseo sean aportados bajo condición por entidades públicas y, en consecuencia, no representen ningún esfuerzo financiero para la persona prestadora del servicio, los valores asociados a dichos bienes o derechos deben ser excluidos de las tarifas, lo cual se debe reflejar como un descuento en relación con los costos máximos por componente definidos en la presente resolución;
Que la honorable Corte Constitucional, mediante Auto 275 del 19 de noviembre de 2011, exhortó a la Comisión de Regulación de Agua Potable y Saneamiento Básico “para que revise y defina parámetros generales para la prestación de los servicios de separación, reciclaje, tratamiento y aprovechamiento de residuos sólidos en los términos establecidos en el numeral 115 de esta providencia”;
Que el numeral 115 del Auto 275 de 2011 señala que, para el efecto, “(…) la Comisión trabajará aspectos tales como la separación en la fuente por parte de los usuarios, formalización de rutas y modelos para la recolección, transporte y disposición de material aprovechable por parte de la población recicladora; posibilidades de estímulos para la creación y funcionamiento de organizaciones autorizadas (recicladores), prestadoras de los servicios de reciclaje, tratamiento y aprovechamiento de residuos; reglas de creación y funcionamiento de centros de acopio como intermediarios dentro de los procesos de reciclaje, tratamiento y aprovechamiento, así como para parques de aprovechamiento. (ii) Asegurarse que dichos parámetros se vean reflejados en la metodología tarifaria actualmente en construcción por la Comisión de Regulación (…)”;
Que como lo señaló esta Comisión de Regulación a la honorable Corte Constitucional en comunicación con radicado CRA 2012-211-001436-1 del 30 de marzo de 2012, se realizaron “los estudios que sustenten y desarrollen el esquema de base de ingreso para remunerar la actividad de aprovechamiento, en el marco de la estructuración del nuevo marco tarifario de aseo”, en el contexto del cronograma del Plan de Acción de la Comisión de Regulación de Agua Potable y Saneamiento Básico incluido en el documento aprobado por la honorable Corte Constitucional, mediante el Auto 084 de 2012;
Que de acuerdo con el numeral 85 del Auto 275 de 2011 de la Corte Constitucional “Si se tiene en cuenta que el fin de las acciones afirmativas que se demandan, no es otro que el que la operación del servicio público complementario de aprovechamiento esté en cabeza de sus destinatarios naturales -los recicladores-, este podría ser tenido en principio como una formal acción afirmativa. Sin embargo, la eficacia de la medida radica en que este grupo se encuentre materialmente preparado para asumir la operación del servicio. De lo contrario, este cambio de paradigma no tendría ninguna repercusión desde el punto de vista práctico, pues sin la adecuada organización y logística este grupo marginal seguirá realizando su labor sin que se aprecien cambios significativos más allá de que no tendrán la presión de la competencia que implican las rutas formales de reciclaje operadas por los concesionarios …”;
Que en el mencionado Auto, la Corte Constitucional indica que los recicladores deben adoptar la forma de organización autorizada a que se refiere la Ley 142 de 1994, como contraprestación a las acciones afirmativas que para protegerlos adopten las autoridades, así: “87.3 (…) Es preciso recordar que la prestación del servicio público de aseo en cualquiera de sus componentes, requiere en los términos de la Ley 142 de 1994, que se realice a través de un operador autorizado e inscrito. De esta manera, la entrega oficial de la operación del servicio de recolección y transporte de material aprovechable en la ciudad a los recicladores, exige como medida mínima que se establezcan metas claras y paulatinas para alcanzar este propósito en el corto plazo. De lo contrario, no será posible ejercer control sobre la prestación efectiva de este servicio público que, entre otras cosas, opera bajo la modalidad de libre competencia. (…) 118. Para la Sala es necesario precisar que las medidas de acción afirmativa llamadas a ser dispuestas, pueden representar deberes, cargas u obligaciones para los recicladores en razón a que prestan un servicio público con ingentes beneficios ambientales para el colectivo, tal y como ha sido señalado a lo largo de esta providencia. En ese sentido, el esquema de medidas a cumplir en el corto plazo, de conformidad con la normatividad existente y con las órdenes contenidas en esta providencia, deberá establecer compromisos, cargas y obligaciones en cabeza de los recicladores para su adecuada normalización. Lo anterior, por cuanto la protección especial que merecen como sujetos en condiciones de vulnerabilidad no es obstáculo para disponer acciones de doble vía, dada la naturaleza del servicio público domiciliario y esencial del cual participan”;
Que de acuerdo con el artículo 15, numeral 15.4 de la Ley 142 de 1994, una de las personas autorizadas para prestar los servicios públicos son las organizaciones autorizadas;
Que de acuerdo con el artículo 48 ibídem “Las empresas de servicios públicos podrán contratar con entidades privadas la definición y diseño de los procedimientos de control interno, así como la evaluación periódica de su cumplimiento, de acuerdo siempre a las reglas que establezcan las Comisiones de Regulación”;
Que en virtud de lo anterior, la CRA en el artículo 1.3.6.4 de la Resolución 151 de 2001, estableció que: “...El ejercicio del control interno en los municipios, empresas industriales y comerciales del Estado y sociedades de economía mixta con capital público igual o superior al 90%, que presten los servicios públicos domiciliarios de acueducto, alcantarillado y aseo deberá ajustarse a lo establecido por la Ley 87 de 1993 y por las normas que la reglamenten, modifiquen o reemplacen. En estos casos, el auditor interno podrá ser el jefe de la unidad o dependencia de control interno, y cumplirá las funciones que señala el artículo 12 de la Ley 87 de 1993”;
Que de acuerdo con el artículo 51 de la Ley 142 de 1994, modificado por el artículo 6o de la Ley 689 de 2001 corresponde a los auditores externos de gestión y resultados informar a la Superintendencia las situaciones que pongan en peligro la viabilidad financiera de una empresa, las fallas que encuentren en el control interno, y en general, las apreciaciones de evaluación sobre el manejo de la empresa. Igualmente señala que “En todo caso, deberán elaborar además, al menos una vez al año, una evaluación del manejo de la entidad prestadora”;
Que debido a que el Decreto 838 de 2005 definió en su “Artículo 5o. Criterios y metodología para la localización de áreas para disposición final de residuos sólidos, mediante la tecnología de relleno sanitario numeral 3. Accesibilidad vial; una calificación de cero al sitio que no cuente con vías de acceso”, la regulación reconocerá la construcción de vía externa para el acceso al predio seleccionado para el relleno sanitario, únicamente en las condiciones que se establecen en el modelo económico y su documento de trabajo;
Que el artículo 19 del Decreto 838 de 2005 en relación con la disponibilidad de recursos económicos estableció: “Con el fin de garantizar la disponibilidad de recursos económicos para realizar el cierre, clausura, posclausura y posterior monitoreo de los rellenos sanitarios, toda persona prestadora del servicio público de aseo en la actividad de disposición final de residuos sólidos, deberá constituir y mantener una provisión, que garantice la disponibilidad permanente de las sumas acumuladas durante el periodo de operación del relleno sanitario, necesarias para construir las obras de clausura y posclausura requeridas y llevar a cabo el monitoreo por el período que se determine en la licencia ambiental. La forma de determinar los valores a provisionar será establecida por la Comisión de Regulación de Agua Potable y Saneamiento Básico en la metodología tarifaria del servicio público de aseo”;
Que de conformidad con lo dispuesto en los artículos 11.6 de la Ley 142 de 1994, 104, 105, 106 y 107 del Decreto 1713 de 2002 y 6o del Decreto<Sic, es Resolución> 1390 de 2005, las empresas prestadoras del servicio público de aseo no podrán limitar la entrada de nuevos competidores en el marco de la Constitución Política y la ley, tampoco podrán en sus actos y contratos discriminar o conceder privilegios, así como realizar prácticas que generen competencia desleal. De igual forma deberán garantizar bajo las condiciones técnicas establecidas la prestación del servicio en condiciones uniformes a todos los usuarios. Lo anterior, salvo las excepciones establecidas en la ley, los reglamentos o la regulación;
Que de acuerdo con el artículo 8o del Decreto 1713 de 2002 modificado por el artículo 2o del Decreto 1505 de 2003 los Municipios y Distritos, deberán elaborar y mantener actualizado un Plan Municipal o Distrital para la Gestión Integral de Residuos o Desechos Sólidos en el ámbito local y/o regional según el caso, en el marco de la política para la Gestión Integral de los Residuos, el cual será enviado a las autoridades ambientales competentes, para su conocimiento, control y seguimiento, y el Plan se diseñará para un período acorde con el de los Planes de Desarrollo Municipal y/o Distrital, según sea el caso. La ejecución del Plan para la Gestión Integral de Residuos Sólidos (PGIRS), se efectuará en armonía y coherencia con lo dispuesto en los Planes de Ordenamiento Territorial y en los Planes de Desarrollo de Nivel Municipal y/o Distrital;
Que el Decreto 087 de 2011 del Ministerio de Transporte “por el cual se modifica la estructura del Ministerio de Transporte, y se determinan las funciones de sus dependencias”, en su artículo 6o numeral 6.15 estableció como funciones del Ministro de Transporte establecer los peajes, tarifas, tasas y derechos a cobrar por el uso de la infraestructura de los modos de transporte, excepto el aéreo;
Que en mérito de lo expuesto, la Comisión de Regulación de Agua Potable y Saneamiento Básico,
RESUELVE:
TÍTULO I
ASPECTOS GENERALES
Artículo 1o. Ámbito de aplicación. La presente resolución establece el régimen tarifario y la metodología tarifaria aplicable a las personas prestadoras del servicio público de aseo en las áreas urbanas de los distritos y/o municipios que tengan más de 5.000 suscriptores al momento de la aplicación de la presente resolución, salvo las excepciones señaladas en el parágrafo 1o del artículo 87 de la Ley 142 de 1994.
PARÁGRAFO. En caso de que existan áreas de prestación del servicio que incorporen zonas rurales, la persona prestadora del servicio público de aseo podrá aplicar las disposiciones contenidas en la presente resolución en las mencionadas zonas.
Artículo 2o. Regímenes de regulación tarifaria. El régimen de regulación tarifaria para la prestación del servicio público de aseo en área urbana será el de libertad regulada. En todos los casos, para el componente de disposición final y/o para las estaciones de transferencia, el régimen de regulación será el de libertad regulada.
Artículo 3o. Metodología tarifaria. La metodología tarifaria que se adopta de acuerdo con lo dispuesto en la presente resolución es de precio techo, lo cual implica que las personas prestadoras del servicio público de aseo podrán, en cualquier momento, y con observancia de las disposiciones relativas a la competencia, a la información y a los suscriptores, cobrar hasta el límite que constituye su precio techo calculado con base en lo establecido en la presente resolución.
Artículo 4o. Definiciones. Para la aplicación de la presente resolución se tendrán en cuenta las siguientes definiciones, además de las consignadas en la normatividad vigente:
Actividades complementarias del servicio público de aseo: Corresponde a las actividades de transferencia, tratamiento y aprovechamiento.
Área de prestación del servicio: Corresponde a la zona geográfica debidamente delimitada, donde la persona prestadora ofrece y presta el servicio público de aseo en un municipio.
Centroide: Es el punto identificado con coordenadas que representa el sitio donde se concentra la producción de residuos y/o el número de suscriptores de un área geográfica, desde el cual se estima la distancia al sitio de disposición final.
Costo evitado: Son los costos en los que un prestador deja de incurrir porque los residuos que normalmente recolecta transporta y dispone, son ahora aprovechados e incorporados en el ciclo económico.
Estándar de servicio: Corresponde a los mínimos requisitos que deben cumplir las personas prestadoras con relación a los indicadores de servicio establecidos por la Comisión de Regulación de Agua Potable y Saneamiento Básico (CRA).
Fórmula tarifaria general: Expresión que permite a las personas prestadoras del servicio público de aseo calcular los costos económicos de la prestación del servicio.
Indicador de calidad de la frecuencia de recolección de residuos sólidos: Indicador mensual para determinar el incumplimiento de la frecuencia de recolección de residuos sólidos para la ruta de recolección analizada.
Indicador de calidad del horario de recolección de residuos sólidos: Indicador mensual para determinar el incumplimiento del horario de recolección de residuos sólidos para la ruta de recolección analizada.
Indicador de incumplimiento de reclamos comerciales por facturación: Indicador mensual y semestral para determinar el incumplimiento de la persona prestadora frente a la meta de reclamos comerciales por facturación establecida para el periodo de tiempo analizado.
Longitud de barrido: Kilómetros de barrido y limpieza de vías y áreas públicas en general a cargo de la persona prestadora. Los metros cuadrados (m2) de zonas duras de parques, plazoletas y demás áreas públicas que sean objeto de barrido se convertirán a km (lineales) mediante la aplicación del factor 0.002 km/m2.
Programa para la prestación del servicio de aseo: Documento en el cual cada prestador del servicio público de aseo deberá definir todos los aspectos operativos de los diferentes componentes del servicio que atienda el prestador, de acuerdo con lo establecido en el PGIRS.
Rechazos: Material producto de la selección de residuos aprovechables en la estación de separación y aprovechamiento, cuyas características no permiten su comercialización o transformación.
Residuo sólido aprovechable: Material, objeto, sustancia o elemento sólido que no tiene valor de uso directo o indirecto para quien lo genere, pero que es susceptible de incorporación a un proceso productivo.
Residuo sólido no aprovechable: Material o sustancia sólida o semisólida de origen orgánico e inorgánico, putrescible o no, proveniente de actividades domésticas, industriales, comerciales, institucionales, de servicios, que no ofrece ninguna posibilidad de aprovechamiento, reutilización o reincorporación en un proceso productivo.
Segmentación: División de las personas prestadoras en grupos homogéneos con el objetivo de definir una regulación que permita tener en cuenta sus características particulares.
Separación de residuos en la fuente. Clasificación diferenciada de residuos sólidos entre aprovechables y no aprovechables, por parte del suscriptor para su presentación ante el prestador.
Artículo 5o. Segmentación. Para efectos de la aplicación de lo establecido en la presente resolución, se tendrán en cuenta los siguientes segmentos:
Primer segmento. Corresponde a las personas prestadoras que atiendan municipios de más de 100.000 suscriptores y aquellos que atiendan los suscriptores de las siguientes ciudades capitales: Armenia, Manizales, Montería, Neiva, Pasto, Popayán, Santa Marta, Sincelejo, Tunja, Valledupar y Villavicencio, de acuerdo con lo establecido en el ANEXO I de la presente resolución.
Segundo segmento. Corresponde a las personas prestadoras que atiendan en municipios con un número de suscriptores superior de 5.000 y hasta 100.000 con excepción de las ciudades capitales incluidas en el primer segmento, de acuerdo con lo establecido en el ANEXO I de la presente resolución.
Artículo 6o. Área de prestación del servicio. El área de prestación del servicio deberá consignarse en el contrato de condiciones uniformes. En el evento en que la persona prestadora tenga más de un área de prestación del servicio, en el Contrato de Condiciones Uniformes (CCU), sólo deberá constar aquella en la que se encuentra ubicado el suscriptor correspondiente.
PARÁGRAFO. En aquellos eventos en que un prestador abarque en su área de prestación más de un municipio o distrito, y comparta costos e infraestructura para la prestación del servicio, deberá aplicar un costo unificado para esta área de prestación. En todo caso, el costo unificado deberá ser menor al que resulte de la aplicación individual de los costos por cada municipio o distrito.
Artículo 7o. Determinación de las metas para los estándares del servicio a alcanzar en el período tarifario. Las personas prestadoras deberán cumplir con los estándares de servicio desde la expedición de la presente resolución. Salvo para el indicador de cobertura, los segmentos deben cumplir con el 100% del estándar del servicio, de acuerdo con lo establecido en la normatividad vigente.
Con respecto al indicador de cobertura, en caso de no haberse establecido Áreas de Servicio Exclusivo el ente territorial, para el primer segmento, deberá garantizar el 100% en el primer año de vigencia de la presente resolución. Para el segundo segmento, deberá garantizar el 100% de cobertura en el segundo año a partir de entrada en vigencia la presente resolución.
Artículo 8o. Coordinación del municipio y/o distrito. En virtud de lo señalado en el artículo 5o de la Ley 142 de 1994 y en concordancia con lo previsto en las normas que reglamentan el Plan de Gestión Integral de Residuos Sólidos (PGIRS), será el municipio o distrito como garante de la prestación eficiente del servicio público de aseo, el responsable de incluir en dicho plan los proyectos y planes en relación con la prestación de este servicio, y asegurar en la medida de lo posible la participación de los recicladores debidamente organizados como prestadores del servicio público de aseo en las actividades de aprovechamiento de los residuos sólidos. Una vez se formulen, implementen y entren en ejecución los programas de aprovechamiento evaluados como viables y sostenibles en el PGIRS, se entenderá que el aprovechamiento deberá ser ejecutado en el marco de dichos programas.
PARÁGRAFO. El Alcalde podrá incluir en el PGIRS, con cargo a sus recursos y dentro del marco legal la constitución de encargos fiduciarios como uno de los posibles mecanismos que permitan la efectividad de los objetivos en materia de residuos sólidos aprovechables.
Este encargo fiduciario tendrá por objetivo facilitar el acceso por parte de las personas prestadoras, a los recursos provenientes de la tarifa de aseo para el componente de aprovechamiento y se encargará de las gestiones de celebración de los correspondientes convenios de facturación conjunta de acuerdo con la normatividad vigente, la facturación, recaudo, cobro persuasivo y ejecutivo y distribución de dichos recursos entre los beneficiarios.
En tal caso, el encargo fiduciario deberá contratarse con una Sociedad Fiduciaria debidamente constituida y autorizada por la Superintendencia Financiera de Colombia.
TÍTULO II
DE LOS CARGOS QUE COMPONEN EL PRECIO TECHO
CAPÍTULO I.
Del cálculo del precio techo.
Artículo 9o. Cálculo de los costos por prestador. La persona prestadora deberá calcular el precio techo por municipio de tal manera que agregará los costos de las áreas de prestación de servicio dentro de un mismo municipio. En caso que la persona prestadora atienda distintos municipios, deberá calcular sus costos separadamente para cada uno de ellos.
PARÁGRAFO. Toda la información de costos que la persona prestadora reporte al SUI, deberá hacerla por área de prestación, municipio y por componente.
Artículo 10. Costo Fijo (CF). El costo fijo por suscriptor se define de la siguiente manera:
![]()
Donde:
CF: Costo Fijo máximo a reconocer en cada una de las áreas de prestación del servicio de cada prestador (pesos de junio de 2012/suscriptor-mes).
CCS: Costo de Comercialización por Suscriptor definido en el artículo 13 de la presente resolución (pesos de junio de 2012/suscriptor/periodo de facturación).
Fr: Factor de recaudo, definido en el artículo 12 de la presente resolución.
CBLS: Costo de Barrido y Limpieza de Vías y Áreas Públicas por Suscriptor definido en el artículo 16 de la presente resolución (pesos de junio de 2012/suscriptor).
Artículo 11. Costo Variable por Tonelada (CV). El Costo Variable por tonelada de residuos sólidos se define de la siguiente manera:
![]()
Donde:
CV: Costo Variable máximo por tonelada a reconocer en cada una de las áreas de prestación del servicio de cada prestador (pesos de junio de 2012/tonelada).
CRTp: Costo de Recolección y Transporte de Residuos Sólidos Promedio definido en el artículo 20 de la presente resolución (pesos junio de 2012/tonelada).
CDFPCDFP: Costo de Disposición Final Promedio definido en el artículo 22 de la presente resolución (pesos junio de 2012/tonelada).
CTLp: Costo de Tratamiento de Lixiviados Promedios a reconocer por tonelada definido en el artículo 25 de la presente resolución (pesos de junio de 2012/tonelada).
Fr: Factor de recaudo, definido en el artículo 12 de la presente resolución.
Artículo 12. Factor de Recaudo (Fr). El factor de recaudo se calcula de la siguiente forma:
![]()
Donde:
Fr: Factor de recaudo de la persona prestadora del servicio público de aseo.
EAC: Corresponde a la meta anual de eficiencia en el recaudo de la persona prestadora del servicio público domiciliario de acueducto que atienda en el área prestación, de acuerdo con la metodología tarifaria vigente de ese servicio.
Artículo 13. Costo de Comercialización por Suscriptor (CCS). El Costo de Comercialización por Suscriptor, según la segmentación definida en el artículo 5o de la presente resolución será, como máximo, de:
Primer segmento: CCS= $1.035 por suscriptor/periodo de facturación (pesos de junio de 2012).
Segundo segmento: CCS= $1.142 por suscriptor/periodo de facturación (pesos de junio de 2012).
El Costo de Comercialización por Suscriptor podrá ajustarse cuando la facturación de una parte de los suscriptores del servicio público de aseo no se pueda realizar conjuntamente con el servicio público domiciliario de acueducto, así:
![]()
Donde:
CCSAJ: Costo de Comercialización por Suscriptor ajustado.
NFC: Número de suscriptores de la persona prestadora del servicio público de aseo en su área de prestación de servicio con posibilidad de facturación conjunta, o efectivamente facturados, con personas prestadoras del servicio público domiciliario de acueducto, en suelo urbano.
N: Número de suscriptores de la persona prestadora del servicio público de aseo en su área de prestación de servicio.
PARÁGRAFO. La relación entre NFC y N se encontrará siempre acotada en el intervalo (0,1]. Lo anterior, teniendo en cuenta que el CCSAJ puede aplicarse cuando la persona prestadora del servicio público de aseo cuente con suscriptores con imposibilidad de ser facturados conjuntamente con el servicio público domiciliario de acueducto, tal y como se establece en el Decreto 2668 de 1999 y en el artículo 2o del Decreto 1987 de 2000.
Artículo 14. Costo de Barrido y Limpieza de Vías y Áreas Públicas por Suscriptor (CBLS). El Costo de Barrido y Limpieza de Vías y Áreas Públicas por suscriptor será:
![]()
Donde:
CBL: Costo de Barrido y Limpieza de Vías y Áreas Públicas será, como máximo, de $18.863 por kilómetro barrido (pesos de junio de 2012/kilómetro).
k: Sumatoria de todos los kilómetros barridos, en un periodo de facturación, según las frecuencias definidas para el municipio (km).
ki: Número de kilómetros barridos adicionales a la frecuencia establecida en el artículo 15 de la presente resolución, que se le barren al suscriptor o grupo de suscriptores i-ésimo, que ha(n) solicitado una frecuencia mayor, multiplicando por la frecuencia por semana y por 4,3452 semanas por mes; ki=0 si el suscriptor no ha solicitado frecuencias adicionales de barrido. La persona prestadora podrá aceptar o no la solicitud de frecuencia adicional.
N: Número de suscriptores en el área de prestación durante el periodo de facturación.
PARÁGRAFO 1o. Los kilómetros a barrer deben corresponder a los definidos en el Programa para la prestación del servicio, con base en lo establecido en el Plan de Gestión Integral de Residuos Sólidos (PGIRS), y los criterios establecidos en el ANEXO II que hace parte integral de la presente resolución.
PARÁGRAFO 2o. Serán objeto de barrido las cunetas de las vías y de puentes vehiculares, áreas de tableros de puentes peatonales y de áreas duras de parques y las plazas definidas en el Plan de Gestión Integral de Residuos Sólidos (PGIRS).
PARÁGRAFO 3. Las áreas públicas a barrer, determinadas por el PGIRS, deberán ser convertidas a kilómetros lineales, multiplicando el área (m2) total a barrer por 0,002 km/m2.
PARÁGRAFO 4. Los kilómetros de barrido, componente que deberá garantizar la persona prestadora del componente de recolección y transporte en su área de prestación, para efectos del cobro serán proporcionales en forma ponderada al total de kilómetros que requieren ser atendidos en el área urbana del distrito o municipio, de acuerdo con la información del Plan de Gestión Integral de Residuos Sólidos (PGIRS) y lo que se determine conjuntamente con el municipio.
Artículo 15. Frecuencias de barrido y limpieza. Las frecuencias de barrido serán mínimo de dos (2) veces por semana. El establecimiento de mayores frecuencias para la totalidad del área urbana del municipio o zonas específicas de la misma, deberá ser solicitada por la autoridad municipal competente a la persona prestadora del servicio, de acuerdo con lo establecido en el respectivo Plan de Gestión Integral de Residuos Sólidos (PGIRS), y serán consideradas para la determinación del parámetro k definido en el presente artículo. El costo que cobrará la persona prestadora por los kilómetros correspondientes a las frecuencias adicionales, será el establecido en la presente resolución.
Artículo 16. Responsabilidad de la prestación del barrido y limpieza de áreas públicas. El área de barrido y limpieza de vías y áreas públicas que corresponde a cada persona prestadora de servicio público de aseo, puede o no coincidir con el área geográfica de prestación de la recolección y transporte, en los eventos en que exista más de un prestador en el mismo municipio. En tal sentido, con base en lo establecido en el PGIRS, el municipio y los prestadores deberán delimitar claramente las vías y áreas públicas del suelo urbano cuyo barrido y limpieza son responsabilidad de cada una de las personas prestadoras, así como las frecuencias correspondientes.
PARÁGRAFO 1o. En todo caso se entenderá que, frente al suscriptor, el responsable de la prestación del componente de barrido y limpieza, será su prestador de recolección y transporte de residuos no aprovechables. Esta obligación deberá quedar definida en el Contrato de Condiciones Uniformes (CCU).
PARÁGRAFO 2o. El cobro al suscriptor del componente de barrido y limpieza de áreas públicas corresponderá siempre a la persona prestadora con quien tiene suscrito el Contrato de Condiciones Uniformes (CCU) para las actividades de recolección y transporte.
Artículo 17. Cálculo del centroide. Para el cálculo del centroide, el área de prestación de servicio, con la ubicación de los suscriptores, deberá dividirse en áreas de tamaño homogéneo como máximo de un (1) km2. Para cada una de estas áreas, se establecerá un centroide particular, determinado como el centro de la figura geométrica que se constituye en el área de tamaño homogéneo. Cada uno de estos puntos se ubicará en un plano y se establecerá un promedio de los ejes de las abscisas primero, y de las ordenadas después, ponderando cada punto por el número de suscriptores que se ubican en cada área homogénea. El punto de cruce entre el promedio ponderado por los suscriptores de las abscisas y las ordenadas se determinará como el centroide del área de servicio. La ubicación del centroide y la distancia con respecto al sitio o sitios de disposición final, para cada una de las áreas de prestación de servicio, deberá ser reportado por la persona prestadora al momento de aplicación de la presente resolución a través del Sistema Único de Información (SUI). De presentarse una modificación en dicho centroide igualmente deberá reportarse a dicho Sistema.
Alternativamente al cálculo del centroide, cada prestador, para efectos de lo establecido en la presente resolución, podrá calcular la distancia a los sitios de disposición final como la diferencia en kilómetros entre el límite del área de prestación más cercano a cada sitio de disposición final y este último. En todo caso deberá informar la alternativa para el cálculo del centroide, su ubicación, y la distancia al sitio de disposición final al Sistema Único de Información (SUI).
Artículo 18. Costo de Recolección y Transporte de Residuos Sólidos (CRT). El Costo de Recolección y Transporte de residuos sólidos será calculado de acuerdo con la siguiente ecuación:
![]()
Donde:
CRT: Costo de Recolección y Transporte de Residuos Sólidos (pesos de junio de 2012/tonelada).
f1: Función que remunera el Costo de Recolección y Transporte de residuos sólidos hasta la entrada del sitio de disposición final sin necesidad de utilizar estación de transferencia, dada por:
![]()
f2: Función que remunera el Costo de Recolección y Transporte residuos sólidos hasta la entrada del sitio de disposición final utilizando estación de transferencia, dada por:
![]()
D: Distancia desde el centroide hasta el sitio de disposición final (km).
TnAP: Promedio de toneladas recolectadas y transportadas en los últimos cuatro meses en el área de servicio AP (toneladas/mes). Los prestadores que inicien actividades con posterioridad a la entrada en vigencia de la presente resolución, podrán utilizar periodos inferiores hasta acumular cuatro (4) meses.
PARÁGRAFO 1o. El número de frecuencias para este componente corresponderá a aquella que optimice el Costo de Recolección y Transporte de la persona prestadora, en relación con la cantidad de residuos generados en el área de prestación de servicio, sin que en ningún caso pueda ser inferior a dos (2) frecuencias semanales.
PARÁGRAFO 2o. La distancia tomada para el cálculo de las funciones de recolección y transporte corresponde a aquella certificada por las auditorías externas de gestión y resultados, en el caso de los prestadores privados, y por las oficinas de control interno, en el caso de los prestadores públicos.
PARÁGRAFO 3o. Para aquellos eventos en los que se deba incorporar algún incentivo establecido por el Gobierno Nacional, en relación con la construcción de estaciones de transferencia de carácter regional, el valor del incentivo se adicionará al Costo de Recolección y Transporte de residuos sólidos establecido en el presente artículo. Se informará de tal situación a la Superintendencia de Servicios Públicos Domiciliarios y a la Comisión de Regulación de Agua Potable y Saneamiento Básico.
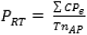
Artículo 19. Valor de los peajes para el componente de recolección y transporte (PRT). El valor de los peajes (PRT), deberá ser sumado al costo de recolección y transporte, corresponde a la relación de los peajes y de las toneladas transportadas de acuerdo con la siguiente ecuación:
![]()
Donde:
PRT: Valor de los peajes en el trayecto hacia el sitio de disposición final (pesos/tonelada).
CPe: Valor por mes de los peajes ubicados en el trayecto entre el centroide del área de prestación y la entrada del sitio de disposición final (pesos/mes).
TnAP: Toneladas por mes recolectadas y transportadas definidas en el artículo 18 (toneladas/mes).
Artículo 20. Costo de Recolección y Transporte de Residuos Sólidos Promedio (CRTp). Si la persona prestadora tiene áreas de prestación del servicio en el mismo municipio con CRT diferentes, deberá calcular un Costo de Recolección y Transporte de residuos sólidos Promedio de acuerdo con la siguiente fórmula:

Donde:
CRTp: Costo Promedio de Recolección y Transporte de Residuos Sólidos Promedio del área de prestación del servicio de la persona prestadora en un mismo municipio (pesos de junio de 2012/tonelada).
CRTi: Costo de Recolección y Transporte de Residuos sólidos del área de prestación del servicio k (pesos de junio de 2012/tonelada).
TnAP: Promedio de toneladas recolectadas y transportadas en el área de servicio k durante los últimos cuatro meses (toneladas/mes).
i: Áreas de servicio en un mismo municipio (1, 2, 3… AP).
AP: Totalidad de áreas de prestación del prestador en un mismo municipio (número de áreas de prestación).
Artículo 21. Costo de Disposición Final (CDF). El costo máximo a reconocer en el sitio de disposición final, está dado por:
![]()
Donde:
CDF: Costo máximo a reconocer por tonelada en el sitio de disposición final j (pesos de junio de 2012/tonelada).
Min( ): Función que exige escoger el menor de los dos valores separados por coma.
j: 1, 2, …, (j) sitios de disposición final.
TAj: Promedio de los últimos cuatro (4) meses de toneladas mensuales recibidas ajustado por regionalización, del sitio de disposición final j, calculado mediante la siguiente ecuación:
TAj = max(Fmerc*Tj,Trecepj)
En caso de prestadores que inicien actividades con posterioridad a la entrada en vigencia de la presente resolución podrán utilizar periodos inferiores hasta acumular cuatro meses.
Cuando el sitio de disposición final atiende más de un distrito o municipio, en el que el municipio donde está ubicado el sitio de disposición final es el receptor, se debe aplicar la siguiente fórmula.
TAj = Tj
Donde:
Tj: Promedio de los últimos cuatro meses de toneladas recibidas en el sitio de disposición final j (toneladas/mes).
Trecep: Promedio de los últimos cuatro meses de toneladas dispuestas por los prestadores del municipio donde está ubicado el sitio de disposición final (toneladas/mes).
Fmerc: Mínima fracción de mercado atendido por el sitio de disposición final que se calcula con la siguiente fórmula:

Donde:
ln( ): Logaritmo natural.
Tj: Promedio de los últimos cuatro meses de toneladas recibidas en el sitio de disposición final j (toneladas/mes).
PARÁGRAFO. Para aquellos eventos en los que se deba incorporar algún incentivo establecido por el Gobierno Nacional, en relación con la disposición de residuos sólidos en sitios de carácter regional, el valor del incentivo se adicionará al costo de disposición final establecido en el presente artículo. Se informará de tal situación a la Superintendencia de Servicios Públicos Domiciliarios y a la Comisión de Regulación de Agua Potable y Saneamiento Básico.
Artículo 22. Costo de Disposición Final Promedio (CDFp). Cuando se disponen los residuos más de un sitio de disposición final, el Costo de Disposición Final Promedio, se calculará definido de acuerdo con la siguiente fórmula:

Donde:
CDFp: Costo de Disposición Final Promedio, calculado cuando se disponen los residuos en más de un sitio de disposición final, como el promedio de los costos (CDFj) de estos, ponderado por las toneladas de las áreas de servicio de la persona prestadora en un mismo municipio, que se disponen en cada uno de ellos (pesos de junio de 2012/tonelada).
Tonj: Toneladas por mes dispuestas en el sitio de disposición final j calculadas como el promedio de los últimos cuatro meses (toneladas/mes).
j: 1, 2,..., (j) sitios de disposición final.
Artículo 23. Provisión de recursos para las etapas de clausura y posclausura. La persona prestadora de la actividad de disposición final deberá constituir una fiducia, que permita para garantizar los recursos necesarios para la clausura y posclausura del mismo; de tal manera que se realice la totalidad de las actividades y obras requeridas para dichas etapas, de acuerdo con la siguiente tabla, y acorde con lo establecido en el artículo 19 del Decreto 838 de 2005 expedido por el MAVDT, o el que lo modifique, sustituya o adicione.
| Tipo de Relleno | Promedio toneladas/día en el último año | Porcentaje del CDF % |
| RSU 1 | Mayor a 791 | 14 |
| RSU 2 | Desde 156 hasta 791 | 17 |
| RSU 3 | Menor a 156 | 28 |
PARÁGRAFO 1o. Para los rellenos sanitarios en los que se dispongan menos de 2.400 toneladas mensuales y que por disposición de la autoridad ambiental competente, la altura del relleno sanitario no pueda superar los nueve (9) metros, el Costo de Disposición Final podrá ser incrementado hasta en un 10%.
PARÁGRAFO 2o. Las obras y/o actividades que no estén definidas en el Costo de Disposición Final podrán ser desarrolladas pero no serán reconocidas en el precio techo establecido en el artículo 21 de la presente resolución.
PARÁGRAFO 3o. Los rellenos sanitarios, para efectos de recepción de residuos, no podrán tener restricciones horarias, salvo el día domingo, en el cual la restricción no será superior a catorce (14) horas.
PARÁGRAFO 4o. Todo sitio de disposición final deberá reportar anualmente al Sistema Único de Información (SUI), su capacidad de disposición y tener disponible la misma en un lugar visible, con el fin de ilustrar con información suficiente a los prestadores de recolección y transporte.
Artículo 24. Costo de alternativas a la disposición final. Podrán emplearse alternativas a la disposición final siempre y cuando no excedan el Costo de Disposición Final definido en el artículo 21 de la presente resolución, y las mismas cuenten con los permisos y autorizaciones ambientales para tal fin.
Artículo 25. Costo de Tratamiento de Lixiviados (CTL). El costo máximo de tratamiento de lixiviados por metro cúbico (CTLM) será:
| Escenario de tratamiento de lixiviados por objetivo de calidad | CTLM $ junio 2012/m3 |
| 1 | 5.192 |
| 2 | 6.350 |
| 3 | 14.599 |
| 4 | 15.758 |
Los escenarios de tratamiento de lixiviados por objetivo de calidad que establezca la autoridad ambiental, están definidos en el ANEXO III que hace parte integral de la presente resolución.
La persona prestadora del componente de disposición final, calculará el costo mensual del tratamiento de lixiviados, multiplicando el precio máximo a reconocer, por el promedio mensual de los últimos seis (6) meses del volumen de lixiviados tratados en m3/mes.
El costo de tratamiento de lixiviados a trasladar al prestador de recolección y transporte se calculará de la siguiente forma:
![]()
Donde:
CTL: Corresponde al Costo de Tratamiento de Lixiviados por tonelada (pesos de junio de 2012/tonelada).
VL: Corresponde al volumen promedio mensual de los últimos seis meses de metros cúbicos de lixiviados tratados (m3/mes). En caso de prestadores que inicien actividades con posterioridad de la entrada en vigencia de la presente resolución podrán utilizar periodos inferiores hasta acumular seis (6) meses.
CTLM: Costo de Tratamiento de Lixiviados por metro cúbico máximo a reconocer, según el objetivo de calidad (pesos de junio de 2012/m3).
TAj: Promedio de los últimos cuatro (4) meses de las toneladas recibidas ajustado por regionalización, definido en el ARTÍCULO 21, de la presente resolución (toneladas/mes).
Artículo 26. Costo de Tratamiento de Lixiviados Promedio (CTLp). Cuando se disponen los residuos en más de un sitio de disposición final, el Costo de Tratamiento de Lixiviados Promedio se calculará de acuerdo con la siguiente fórmula:

CTLp: Costo de Tratamiento de Lixiviados Promedio, cuando se disponen los residuos en más de un sitio de disposición final con diferentes objetivos de calidad, calculado como el promedio de los costos (CTLj) de estos, ponderado por las toneladas del área de servicio que se disponen en cada uno (pesos junio de 2012/tonelada).
Tonj: Toneladas por mes dispuestas en el sitio de disposición final j calculadas como el promedio de los últimos cuatro meses (toneladas/mes).
j: 1,2,…(j) sitios de disposición final.
Artículo 27. Criterio de minimización de costos para la combinación de los costos de recolección y transporte de residuos sólidos y de disposición final. Cuando exista más de un sitio de disposición final disponible, el costo máximo a reconocer para los componentes de transporte y disposición final corresponderá a aquella combinación de alternativas que minimice la sumatoria del Costo de Recolección y Transporte de residuos sólidos, el Costo de Disposición Final y el costo de Tratamiento de Lixiviados, de modo que:
![]()
Donde:
Min: Mínimo valor resultante de todas las alternativas de recolección, transporte, disposición final y tratamiento de lixiviados (1,…,j).
k: Alternativas de sitios de disposición final.
En todo caso se deberá disponer en el sitio disposición final de la alternativa de mínimo costo, hasta utilizar su máxima capacidad antes de seleccionar la siguiente alternativa de mínimo costo.
Artículo 28. Remuneración del componente de aprovechamiento. La remuneración del aprovechamiento corresponde a los costos evitados de Recolección y Transporte de residuos sólidos definidos en el artículo 18 y al Costo de Disposición Final definido en el artículo 21, de la siguiente forma:
![]()
El costo de aprovechamiento se distribuye de la siguiente forma:

Donde:
CAP: Corresponde a la suma del Costo de Recolección y Transporte de Residuos Sólidos (CRT) y Costo de Disposición Final (CDF), definidos en el artículo 18 y artículo 21 respectivamente de la presente resolución (pesos de junio de 2012/tonelada).
PARÁGRAFO. El número de frecuencias para este componente corresponderá a lo establecido en el respectivo Plan de Gestión Integral de Residuos Sólidos (PGIRS).
PARÁGRAFO. El pesaje y clasificación de residuos aprovechables se realizará en las Estaciones de Separación y aprovechamiento, definidas en el Reglamento técnico del sector de Agua potable y Saneamiento Básico (RAS).
Artículo 29. Toneladas efectivamente aprovechadas. La remuneración del componente de aprovechamiento se realizará sobre las toneladas efectivamente aprovechadas, de acuerdo con la siguiente ecuación:
![]()
Donde:
QA: Producción promedio de residuos aprovechables, en los últimos cuatro meses (toneladas/mes).
Q: Promedio del total de toneladas de residuos producidas en el municipio, en los últimos cuatro meses (toneladas/mes).
: Corresponde a la proporción máxima de residuos que la industria tiene la capacidad de reincorporar al ciclo económico definida a partir de la siguiente tabla:
| Segmento | Valor de |
| Primer segmento | Los municipios de este segmento, deberán realizar los estudios necesarios, dentro del PGIRS, para determinar el valor de |
| Segundo segmento | Los municipios de este segmento deberán adoptar un |
QEAQEA: Promedio de toneladas efectivamente aprovechadas, en los últimos cuatro meses, calculadas de acuerdo con la siguiente ecuación:
![]()
Donde:
Qinicial: Toneladas promedio pesadas en la entrega en la estación de separación y aprovechamiento, en los últimos cuatro meses (toneladas/mes).
Qrechazos: Toneladas promedio de material rechazado, en los últimos cuatro meses definido en el artículo 36 de la presente resolución (toneladas mes).
CAPÍTULO II.
De la metodología de cálculo de los descuentos en el cálculo de los precios máximos por componente por los aportes de bienes y de derechos de los que trata el artículo 22 de la Ley 1450 de 2011 y el artículo 87.9 de la Ley 142 de 1994.
Artículo 30. Costo de Recolección y Transporte de residuos sólidos con Aporte Bajo Condición (CRTABC). Considerando que el costo de capital (CK) es una proporción del Costo de Recolección y Transporte de residuos sólidos (CRT), y que este costo está asociado exclusivamente a la adquisición de vehículos de recolección, transporte y transferencia, el CRT con aportes bajo condición se afecta en la misma proporción.
Si el valor total de los vehículos y estaciones de transferencia es aportado por una entidad pública, la proporción de costo de capital en que se reduciría el costo por tonelada para el CRT es la siguiente, de acuerdo con el segmento definido en el artículo 5o de la presente resolución:
Primer Segmento: 22%.
Segundo Segmento: 26%.
Cuando el aporte de la entidad pública es parcial, el CRT con aportes bajo condición se define de acuerdo con la siguiente función:
![]()
Donde:
CRTABC: Costo de Recolección y Transporte de residuos sólidos con Aporte Bajo Condición (pesos de junio de 2012/tonelada).
CRT: Costo de Recolección y Transporte de Residuos Sólidos definido en el artículo 18 de la presente resolución (pesos junio de 2012/tonelada).
f_CK: Fracción del costo de capital aportado bajo condición.
ñ: Proporción del costo total que corresponde al costo de capital, estimado en 22% para el primer segmento y 26% para el segundo segmento (porcentaje).
De esta forma, f_CK se determinará de acuerdo con la siguiente expresión:
![]()
Donde:
VA_CRTABC: Valor del total de los activos aportados para el componente de recolección y transporte (pesos junio de 2012).
VA_CRT: Valor del total de los activos de la persona prestadora para el componente de recolección y transporte (pesos junio de 2012).
PARÁGRAFO. Para el caso de los activos donados o que no hayan significado un esfuerzo financiero por parte del prestador, se deberá aplicar la metodología del presente artículo.
Artículo 31. Costo de Disposición Final con Aporte Bajo Condición (CDFABC). Considerando que el costo de capital (CK) es una proporción de los costos totales del Costo de Disposición Final (CDF), y que este costo está asociado a predio, actividades de PMA, equipos, edificio de administración, vías internas, vía externa, planta de tratamiento de lixiviados, el CDF se afecta con aportes bajo condición en la misma proporción.
Si el valor total de los activos señalados en el párrafo anterior es aportado por una entidad pública, la proporción de costo de capital en que se reduciría el costo total por tonelada para el CDF es el siguiente, de acuerdo al tamaño del relleno sanitario:
| Tipo de Relleno | Promedio toneladas/día último año | % Costo de Capital (ñ) |
| RSU 1 | Mayor a 791 | 26 |
| RSU 2 | Desde 156 hasta 791 | 30 |
| RSU 3 | Menor a 156 | 15 |
Cuando el aporte de la entidad pública es parcial, el CDF con aportes bajo condición se define de acuerdo con la siguiente función:
![]()
Donde:
CDFABC: Costo de Disposición Final con Aporte Bajo Condición (pesos de junio de 2012/tonelada).
CDF: Costo de Disposición Final definido en el ARTÍCULO 21 ARTÍCULO 18 de la presente resolución (pesos de junio de 2012/tonelada).
f_CK: Fracción del costo de capital aportado bajo condición.
ñ: Proporción del costo total que corresponde al costo de capital, definido en el presente artículo.
De esta forma, f_CK se determinará de acuerdo con la siguiente expresión:
![]()
Donde:
VA_CDFABC: Valor del total de los activos aportados para el componente de Disposición Final (pesos de junio de 2012).
VA_CDF: Valor del total de los activos de la persona prestadora para el componente de Disposición Final (pesos de junio de 2012).
PARÁGRAFO. Para el caso de los activos donados o que no hayan significado un esfuerzo financiero por parte del prestador, se deberá aplicar la metodología del presente artículo.
Artículo 32. Costo de Tratamiento de Lixiviados con Aporte Bajo Condición (CDFABC). Considerando que el costo de capital (CK) es una proporción del Costo de Tratamiento de Lixiviados (CTL), y que este costo está asociado a la planta de tratamiento, el CTL se afecta con aportes bajo condición en la misma proporción.
Si el valor total de los activos señalados en el párrafo anterior es aportado por una entidad pública, la proporción de costo de capital en que se reduciría el costo total por tonelada dispuesta (CTL), de acuerdo al escenario de tratamiento de lixiviados por objetivo de calidad, es:
| Escenario de tratamiento de lixiviados por objetivo de calidad | % Costo de Capital (ñ) |
| 1 | 27 |
| 2 | 24 |
| 3 | 20 |
| 4 | 20 |
Cuando el aporte de la entidad pública es parcial, el CTL con aportes bajo condición se define de acuerdo con la siguiente función:
![]()
Donde:
CTLABC: Costo de Tratamiento de Lixiviados con Aporte Bajo Condición (pesos junio de 2012/tonelada).
CTL: Costo de Tratamiento de Lixiviados definido en el ARTÍCULO 25 de la presente resolución (pesos de junio de 2012/tonelada).
f_CK: Fracción del costo de capital aportado bajo condición.
ñ: Proporción del costo total que corresponde al costo de capital, definido en el presente artículo.
De esta forma, f_CK se determinará de acuerdo con la siguiente expresión:
![]()
Donde:
VA_CTLABC: Valor del total de los activos aportados para el componente de Tratamiento de Lixiviados (pesos de junio de 2012).
VA_CTL: Valor del total de los activos de la persona prestadora para el componente de Tratamiento de Lixiviados (pesos de junio de 2012).
PARÁGRAFO. Para el caso de los activos donados o que no hayan significado un esfuerzo financiero por parte del prestador, se deberá aplicar la metodología del presente artículo.
CAPÍTULO III.
De la actualización de costos.
Artículo 33. Actualización de costos. Una vez entrada en vigencia la presente resolución, los cargos que componen el precio techo, se actualizarán de la siguiente manera:
![]()
Donde:
CMc: Se refiere al costo de cada componente actualizado, a pesos del mes en el cual la persona prestadora empezará a aplicar la metodología de cálculo establecida en la presente resolución, expresado en términos unitarios.
CMc,jun 2012: Se refiere al costo de cada componente resultante de la aplicación de la presente metodología para cada uno de los componentes del servicio público de aseo, el cual está expresado a pesos de junio de 2012.
FAc: Factor de Actualización de Costos por componente c, definido en el artículo 34 de la presente resolución.
Una vez actualizado el costo de cada componente incorporado en la presente resolución, a precios de junio de 2012, la persona prestadora indexará los costos ajustando cada componente de conformidad con la siguiente ecuación:
![]()
Donde:
CMc,t: Costo para el componente c en el período t (pesos junio de 2012/suscriptor/mes).
FAc : Factor de Actualización de Costos por componente c, definido en el artículo 34 de la presente resolución.
Xt-1: Incremento en productividad esperada en el año t-1, definido en el artículo 35 de la presente resolución.
c : 1, 2, …c (componentes incorporados en la presente resolución).
t : 1,2, … ,n (periodos).
PARÁGRAFO. Los ajustes por productividad se causarán en enero de cada año, sin que esto implique que se deba actualizar el precio techo si no se ha acumulado una variación en el factor de actualización de, al menos, un tres por ciento (3%), según lo dispuesto en el parágrafo 1o del artículo 34 de la presente resolución.
Artículo 34. Factor de Actualización de Costos por Componente (FAc). Para ajustar los costos de los componentes resultantes de lo establecido en la presente resolución, se utilizarán las siguientes ecuaciones:
a) Factor de actualización combinado del Componente de barrido y limpieza. El Costo de Barrido y Limpieza por suscriptor (CBLS) se actualizará en un 36% con el Índice de Precios al Consumidor (IPC), calculado por el DANE y en un 64% con el Salario Mínimo Mensual Legal Vigente, adoptado por el Gobierno Nacional, así:

Donde:
PLU1: Componente de actualización asociado a la variación del IPC.
PLU2: Componente de actualización asociado a la variación del salario mínimo mensual legal vigente.
Variaciónpc: Factor de Actualización para el componente de Barrido y Limpieza por el Índice de Precios al Consumidor (IPC), calculado por el DANE en el periodo t, donde t corresponde al mes en el cual se realiza la actualización y t-1, corresponde al mes en que se realizó la última actualización. Determinado de la siguiente manera:
![]()
Variaciónsmlv: Factor de Actualización del componente de Barrido y Limpieza por el Salario Mínimo Mensual Legal Vigente adoptado por el Gobierno Nacional en el periodo t. Determinado de la siguiente manera:
![]()
b) Factor de Actualización de Costos de los demás componentes. Los componentes de comercialización, recolección y transporte, disposición final y costo de tratamiento de lixiviados se actualizarán de acuerdo con el Índice de Precios al Consumidor (IPC), calculado por el DANE, así:
![]()
Donde:
FAC: Índice de actualización de costos para cada componente, excluyendo el de Barrido y Limpieza determinado en el numeral a del presente artículo.
IPCt: Índice de Precios al Consumidor (IPC), calculado por el DANE en el periodo t, donde t corresponde al mes en el cual se realiza la actualización y t-1, corresponde al mes en que se realizó la última actualización.
PARÁGRAFO 1o. La aplicación de los índices de actualización de costos a los que se refiere el presente artículo se sujetará a lo establecido en el artículo 125 de la Ley 142 de 1994.
PARÁGRAFO 2o. Para la estimación del factor de actualización, se utilizará el Índice de Precios al Consumidor (IPC) expresado de acuerdo con la base definida por el DANE vigente al momento de expedición de la presente resolución, redondeado a la cantidad de decimales que dicha entidad publique de manera oficial.
PARÁGRAFO 3o. El Factor de Actualización obtenido, deberá ser redondeado a cuatro decimales y las operaciones resultantes de la fórmula de actualización de costos por componente serán redondeadas a dos decimales.
PARÁGRAFO 4o. El Factor de Recaudo (Fr) definido en el artículo 12 se aplicará al inicio de cada año.
Artículo 35. Ajustes Esperados por Productividad. El factor de productividad será definido por la Comisión de Regulación de Agua Potable y Saneamiento Básico durante los dos (2) meses siguientes de publicación de la presente resolución.
Artículo 36. Grandes productores. Los grandes productores a los que se refiere el artículo 1o del Decreto 1713 de 2002, o el que lo modifique, sustituya o adicione, serán clasificados en dos categorías. La primera categoría será para aquellos suscriptores que generan y presentan para recolección residuos en un volumen superior o igual a un metro cúbico (1 m3/mes) y menor a seis metros cúbicos mensuales (6 m3/mensuales), o entre 0,25 toneladas/mes y 1,5 toneladas/mes. La segunda categoría corresponderá a aquellos suscriptores que produzcan seis metros cúbicos mensuales (6 m3/mensuales) o más, o con un peso igual o superior a 1,5 toneladas/mes.
Todos los grandes productores que generen un volumen superior o igual a seis metros cúbicos mensuales (6 m3/mensuales) o su equivalente en toneladas, podrán pactar libremente las tarifas correspondientes a la recolección y transporte de residuos por debajo del precio techo establecido por la CRA. Los acuerdos con los prestadores incluirán la medición de los residuos objeto del servicio.
Todos los grandes productores definidos en el presente artículo deberán ser aforados de acuerdo con la metodología vigente.
PARÁGRAFO 1o. Los multiusuarios que generan y presentan para recolección residuos en un volumen superior o igual a seis metros cúbicos mensuales (6 m3/mensuales), o con un peso igual o superior a 1,5 toneladas/mes, podrán pactar libremente las tarifas correspondientes a la recolección y transporte y de residuos por debajo del precio techo establecido por la CRA.
PARÁGRAFO 2o. Las estaciones de separación y aprovechamiento se entenderán como grandes productores, deberán contar con aforos permanentes y la información de los aforos se presentará de manera desagregada de la de los demás grandes productores.
Artículo 37. Reporte en línea del pesaje de residuos. Los prestadores de recolección y transporte y aquellos que presten el componente de disposición final deberán contar con sistemas e instrumentos de identificación de vehículos, pesaje y reporte en línea de la información con base en los siguientes criterios:
Para los prestadores de recolección y transporte:
1. Los vehículos contarán con sistemas de identificación GPS.
Para el prestador de disposición final:
1. Instalación de software para la recepción, registro y automatización de la información de identificación de los vehículos, su procedencia por microrrutas y/o área de prestación y pesaje de los residuos sólidos.
2. Automatización de la identificación por el Sistema de Posicionamiento Global (GPS) y los sistemas de información georreferencial.
3. Transmisión de datos al SUI en tiempo real con tecnologías de transferencia de datos a través de canales de comunicación de mínimo costo.
4. La información de identificación y de residuos sólidos debe ser registrada de forma automática y transmitida en tiempo real a las bases de datos centralizadas del SUI en los términos que la Superintendencia de Servicios Públicos Domiciliarios defina para ello.
Para la estación de separación y aprovechamiento:
1. Automatización del registro de datos de identificación y cantidad de residuos dispuestos en cada estación de separación y aprovechamiento para la actividad de aprovechamiento deberá realizarse mediante el uso de tarjetas con tecnología RFID (Identificación por Radiofrecuencia) o similares.
Los prestadores que atiendan municipios del primer segmento tendrán seis (6) meses, a partir de la expedición de la presente resolución, para realizar la instalación y puesta en operación de los sistemas. Los prestadores que atiendan municipios del segundo segmento tendrán un (1) año, para tal fin.
TÍTULO III
DE LA FACTURA
Artículo 38. Tarifa Final por Suscriptor. Para efecto de calcular la tarifa final al suscriptor se aplicará la siguiente fórmula:
![]()
Donde:
TFSi: Tarifa Final por Suscriptor i.
CF: Cargo Fijo definido en el artículo 10 de la presente resolución.
CV: Cargo Variable definido en el artículo 11 de la presente resolución.
TNAi: Toneladas de Residuos No Aprovechables por suscriptor, de acuerdo con la metodología que para el efecto establezca la Comisión de Regulación de Agua Potable y Saneamiento Básico (CRA).
CAP: Costo de aprovechamiento definido el artículo 28 de la presente resolución.
TAi: Toneladas de Residuos Aprovechables por Suscriptor, de acuerdo con la metodología que para el efecto establezca la Comisión de Regulación de Agua Potable y Saneamiento Básico (CRA).
VCSi: Valor de contribución o subsidio correspondiente a cada suscriptor, aplicable para el servicio público de aseo, determinado por estrato o tipo de uso de acuerdo con la normatividad aplicable.
La factura del servicio público de aseo deberá contener la desagregación de los costos y toneladas de residuos por componente a cobrar por suscriptor.
Además deberá reportar a la Superintendencia de Servicios Públicos la tarifa de cada componente de acuerdo con lo establecido en el ANEXO V, de la presente resolución.
Artículo 39. Descuentos por recolección efectuada sin servicio puerta a puerta. Cuando por imposibilidad operativa de la entrada de vehículos, la recolección no se realice a los suscriptores residenciales o a los pequeños productores puerta a puerta, tanto para la recolección de residuos aprovechables y como los no aprovechables, los suscriptores tendrán un descuento del diez por ciento (10%) en el precio techo correspondiente al componente de recolección y transporte.
Una vez el prestador determine la imposibilidad operativa de la prestación del componente de recolección puerta a puerta, aplicará dicho descuento so pena de las investigaciones pertinentes que realice el ente de control en caso del no cumplimiento.
Artículo 40. Inmuebles desocupados. Los inmuebles que acrediten estar desocupados tendrán como tarifa techo la sumatoria de los costos asociados a comercialización y barrido y limpieza de vías y áreas públicas establecidos en la presente resolución, considerando una cantidad correspondiente de toneladas presentadas para recolección igual a 0 (TNAi=0, TAi=0 ).
PARÁGRAFO. Para ser objeto de la aplicación de las disposiciones señaladas en el presente artículo, será necesario acreditar ante la persona prestadora del servicio la desocupación del inmueble, para lo cual el solicitante deberá presentar a la persona prestadora al menos uno (1) de los siguientes documentos:
i) Factura del último periodo del servicio público domiciliario de acueducto, en la que se pueda establecer que no se presentó consumo de agua potable.
ii) Factura del último periodo del servicio público domiciliario de energía, en la que conste un consumo inferior o igual a cincuenta (50) kilowatts/hora/mes.
iii) Acta de la inspección ocular al inmueble por parte de la persona prestadora del servicio público de aseo, en la que conste la desocupación del predio.
iv) Carta de aceptación de la persona prestadora del servicio público domiciliario de acueducto de la suspensión del servicio por mutuo acuerdo.
La persona prestadora del servicio público de aseo, una vez acreditado por el suscriptor la desocupación del inmueble conforme a lo previsto anteriormente, deberá tomar todas las medidas necesarias para que el suscriptor cancele únicamente el valor correspondiente a la tarifa del inmueble desocupado, de conformidad con la fórmula de cálculo que se fija en la presente resolución.
La acreditación de la desocupación del inmueble tendrá una vigencia de tres (3) meses, al cabo de los cuales deberá presentarse nuevamente la documentación respectiva ante la persona prestadora del servicio público de aseo.
La persona prestadora del servicio público de aseo podrá dar aplicación, de oficio, a la tarifa definida en el presente artículo.
TÍTULO IV
DE LA DEFINICIÓN DE DESCUENTOS ASOCIADOS A LA CALIDAD DEL SERVICIO
Artículo 41. Objeto de los descuentos asociados a la calidad del servicio. El objeto del presente título es determinar los descuentos asociados al cumplimiento de las metas de calidad de servicio público de aseo, definidos bajo el concepto de integralidad tarifaria, con el fin de generar incentivos económicos para que los prestadores de este servicio incrementen de manera significativa su desempeño en lo que respecta a la calidad del servicio.
El régimen de calidad y descuentos que se describe en el presente título aplica sin perjuicio de las sanciones o acciones que la Superintendencia de Servicios Públicos Domiciliarios pueda efectuar por fallas en la prestación del servicio.
CAPÍTULO I.
De la periodicidad y responsabilidad del Régimen de Calidad y Descuentos.
Artículo 42. Periodicidad en el cálculo de los indicadores. Los indicadores que se definen en el presente título, deberán ser calculados mensualmente por cada persona prestadora del servicio público de aseo, para lo cual cada prestador deberá reportar al SUI, con una periodicidad mensual y bajo las condiciones que la Superintendencia de Servicios Públicos Domiciliarios establezca para efectos del respectivo control tarifario, la información necesaria para su cálculo.
Artículo 43. Periodicidad en el cálculo y aplicación de los descuentos. Los descuentos que se definen en el presente título, deberán ser calculados y aplicados semestralmente por cada persona prestadora del servicio público de aseo, para lo cual cada prestador deberá reportar al SUI, con una periodicidad semestral y bajo las condiciones que la Superintendencia de Servicios Públicos Domiciliarios establezca para efectos del respectivo control tarifario, la información necesaria para su cálculo y aplicación.
Artículo 44. Responsabilidad en el cálculo de los indicadores y la aplicación de los descuentos. Es responsabilidad de cada prestador realizar la supervisión mensual de su área de prestación del servicio a través de la estimación de los indicadores que se definen en el presente título, así como también es su responsabilidad estimar y aplicar los descuentos asociados con dichos indicadores.
Artículo 45. Verificación de los indicadores y certificación de la aplicación de los descuentos correspondientes. Toda la información que el prestador reporte en el SUI referente a los indicadores de supervisión del área de prestación del servicio y los respectivos descuentos, deberá contar, previamente con la debida verificación por parte del Auditor Externo de Gestión y Resultados en el caso de empresas privadas o por parte del Jefe de Control Interno en el caso de empresas públicas. La persona prestadora únicamente deberá reportar esta información al SUI si el proceso de verificación ha finalizado satisfactoriamente.
De igual forma, la persona prestadora únicamente podrá aplicar los descuentos si la información correspondiente está debidamente reportada en el SUI y verificada previamente por el Auditor Externo de Gestión y Resultados o el Jefe de Control Interno dependiendo el caso, quien también deberá certificar la correcta y efectiva aplicación de los descuentos a los suscriptores afectados.
Artículo 46. Reporte de la información de verificación. Todos los prestadores, en cabeza del Auditor Externo de Gestión y Resultados en el caso de empresas privadas o en cabeza del Jefe de Control Interno en el caso de empresas públicas, deberán reportar mensualmente ante la Superintendencia de Servicios Públicos Domiciliarios (SSPD) en las condiciones y medios que esta establezca, toda la información producto del proceso de verificación y certificación establecido en el presente título.
Los artículos definidos en el presente título serán aplicados sin perjuicio de las acciones que la SSPD pueda efectuar con respecto al reporte adecuado de información y su correspondiente verificación y aplicación.
CAPÍTULO II.
De los indicadores de supervisión del servicio público de aseo.
Artículo 47. Medición de la frecuencia y horarios de recolección de residuos sólidos no aprovechables. Para la medición de la frecuencia y horarios de recolección de residuos sólidos no aprovechables, cada prestador deberá implementar un Sistema de Posicionamiento Global en los vehículos de recolección y transporte de residuos sólidos no aprovechables, el cual deberá estar constituido por los siguientes elementos, como mínimo:
1. Un dispositivo de posicionamiento global o GPS en cada camión recolector de residuos sólidos no aprovechables, que cuente con los dispositivos de seguridad necesarios para evitar su remoción del vehículo en el que fue instalado.
2. Un dispositivo de transmisión de datos en cada GPS, el cual transmitirá en línea la información del recorrido y horario de cada camión recolector a la central de información del prestador.
3. Un dispositivo de reconocimiento e identificación en cada camión recolector (chip ibutton).
4. Un software de recepción y procesamiento de información de georreferenciación, que esté en capacidad de procesar dicha información para establecer si cada ruta de recolección de residuos sólidos no aprovechables se presta con la frecuencia y el horario establecido en el correspondiente Contrato de Condiciones Uniformes (CCU).
5. Un computador con el software de georreferenciación instalado y con conexión a internet.
PARÁGRAFO. En los vehículos de recolección de residuos provenientes del barrido y limpieza, también se deberá instalar los dispositivos mencionados en este artículo.
Artículo 48. Indicador de calidad de la frecuencia de recolección de residuos sólidos no aprovechables (IFR_NAl). Cada persona prestadora deberá contabilizar por semana, cuántos recorridos dejó de prestar por cada ruta de recolección l dentro del mes de análisis. Este indicador se calcula mediante la siguiente expresión:
![]()
Donde:
l: Ruta de recolección analizada.
s: Corresponde a la semana del mes analizada.
nsm: Corresponde al número de semanas calendario parciales o completas que posee el mes de análisis. Se contará una semana dentro de esta variable si por lo menos un día de la semana calendario analizada está dentro del mes analizado.
ndm: Corresponde al número de días que posee el mes de análisis.
IFR_NAl: Indicador de calidad de la frecuencia de recolección de residuos sólidos no aprovechables para la ruta de recolección analizada l dentro del mes de análisis.
NRDls: Número de recorridos dejados de prestar en la ruta de recolección l, para cada semana s. En los casos en los que una semana pertenezca a dos meses diferentes, para el cálculo del indicador únicamente se contarán los recorridos dejados de prestar en los días que pertenecen al mes de análisis.
F_CCUl: Frecuencia de recolección establecida en el Contrato de Condiciones Uniformes (CCU) para la ruta de recolección l.
Artículo 49. Indicador de calidad del horario de recolección de residuos sólidos no aprovechables (IHR_NAl). Cada persona prestadora deberá contabilizar a nivel semanal, cuántos recorridos se prestaron con un retraso superior a tres (3) horas por cada ruta de recolección l dentro del mes de análisis. Este indicador se calcula mediante la siguiente expresión:
![]()
Donde:
IHR_NAl: Indicador de calidad del horario de recolección de residuos sólidos no aprovechables para la ruta de recolección analizada l dentro del mes de análisis.
ndm: Corresponde al número de días que posee el mes de análisis.
F_CCUl: Frecuencia de recolección de conformidad con lo dispuesto en el artículo 49 de la presente resolución.
NRRls: Número de recorridos prestados con retraso superior a tres (3) horas en la ruta de recolección l, para cada semana s. Un recorrido se catalogará con retraso no aceptado o superior a tres (3) horas si:
![]()
Donde:
HFCCU: Hora final del horario de recolección que se estableció en el Contrato de Condiciones Uniformes (CCU) para la ruta de recolección analizada.
HFR: Hora final del recorrido analizado que pertenece a la ruta de recolección analizada.
En los casos en los que una semana pertenezca a dos (2) meses diferentes, para el cálculo del indicador únicamente se contarán los recorridos con retraso que se presenten en los días que pertenecen al mes de análisis.
Artículo 50. Indicador de calidad técnica en la recolección de residuos sólidos no aprovechables (ICTR_NAl). El indicador que mide la calidad global del servicio de recolección de residuos sólidos no aprovechables, teniendo en cuenta el comportamiento semestral en cuanto al incumplimiento de las frecuencias y los horarios de recolección de la persona prestadora, se calcula mediante la siguiente expresión:
![]()
Donde:
ICTR_NAl: Indicador de calidad técnica en la recolección de residuos sólidos no aprovechables de la ruta l.
m: Es el número del mes analizado dentro del semestre de estudio, que varía entre 1 y 6.
0,5: Factor de ponderación de cada uno de los indicadores relacionados con el servicio de recolección de residuos sólidos no aprovechables.
IFR_NAl: Indicador de frecuencia de recolección de residuos no aprovechables, de conformidad con lo dispuesto en el artículo 48 de la presente resolución.
IHR_NAl: Indicador del horario de recolección de residuos no aprovechables, de conformidad con lo dispuesto en el artículo 49 de la presente resolución.
Artículo 51. Indicador de incumplimiento de reclamos comerciales por facturación (IC_IRCF). El indicador de incumplimiento de las metas de reclamos comerciales por facturación se define como:
![]()
Donde:
m: Es el número del mes analizado dentro del semestre en estudio que varía entre 1 y 6.
IC_IRCF: Es el índice de incumplimiento de reclamos comerciales por facturación, teniendo como referencia la meta establecida para el mes m de análisis. El indicador que se debe tener en cuenta al finalizar el semestre de análisis corresponde al calculado con el IRCF6 de cada semestre analizado.
M_IRCF: Es el índice de reclamos comerciales establecido como meta para el mes m del semestre de análisis, el cual se calcula de la siguiente forma:
![]()
Donde:
M_IRCFj: Es la meta de reclamos comerciales por facturación establecida para el año analizado j, la cual está expresada en número de reclamos comerciales por facturación resueltos a favor del suscriptor en segunda instancia por cada mil (1.000) suscriptores por año. A los cinco (5) años de entrar en vigencia el presente marco tarifario, el prestador deberá alcanzar el estándar de servicio de cuatro (4) reclamos comerciales por facturación resueltos a favor del suscriptor en segunda instancia por cada mil (1.000) suscriptores al año, para lo cual deberá definir metas anuales con el fin de alcanzarlo, las cuales deberán ser reportadas al SUI.
IRCFm: Es el índice de reclamos comerciales por facturación para el mes m dado en número de reclamos comerciales por facturación resueltos a favor del suscriptor en segunda instancia por cada mil (1.000) suscriptores por m meses (al finalizar el semestre, dicho indicador se expresaría en número de reclamos comerciales por facturación resueltos a favor del suscriptor en segunda instancia por cada mil (1.000) suscriptores por semestre). Este índice se determina mediante la siguiente expresión:
![]()
Donde:
RCm: Total de reclamos comerciales por exactitud en la facturación, resueltos a favor del suscriptor en segunda instancia, durante el mes m perteneciente al semestre de análisis, el cual debe ser suministrado por cada persona prestadora.
NPp: Promedio durante el periodo analizado del número total de suscriptores que posee la persona prestadora del servicio público de aseo en el municipio analizado. Al finalizar el semestre de análisis, este parámetro deberá corresponder al promedio del total de suscriptores durante dicho semestre dentro del municipio analizado.
El IC_IRCF está expresado sobre una base de cálculo semestral, no obstante, la información correspondiente al RCm y al IRCFm deberán ser reportados al SUI con una periodicidad mensual por cada persona prestadora, cada área de prestación y cada municipio.
CAPÍTULO III.
De los descuentos asociados a los indicadores de supervisión del servicio.
Artículo 52. Valor de descuento por suscriptor afectado. El valor de descuento por suscriptor afectado se determina con base en los indicadores de supervisión contemplados para la formulación de los descuentos y tiene la siguiente forma:
![]()
Donde:
V_indicador: Es el valor de descuento asociado al indicador analizado.
Frein: Es el factor de reincidencia en el incumplimiento. Este factor depende de la segmentación definida en el artículo 5o de la presente resolución y tomará los siguientes valores dependiendo de la reincidencia en el incumplimiento por parte de la persona prestadora en evaluaciones semestrales consecutivas:
| Semestre consecutivo de incumplimiento | Primer Segmento | Segundo Segmento |
| 1 | 0,20 | 0,05 |
| 2 | 0,60 | 0,15 |
| 3 o superior | 1,00 | 0,25 |
indicador: Es el valor del indicador asociado al descuento analizado que varía entre 0 y 1.
Dmax_indicador: Es el factor de descuento máximo asociado al descuento que se esté analizando. Este factor se obtiene con la siguiente expresión:
![]()
Donde:
frem: Factor de remuneración asociado al costo que se esté analizando.
Cdesc: Costo asociado al descuento que se esté analizando.
BD_indicador: Es la base de descuento asociada al descuento que se esté analizando y debe determinarse de manera específica dependiendo del suscriptor afectado.
En la siguiente tabla se presenta la nomenclatura y los valores que adquieren los parámetros de cálculo de la fórmula general del valor de descuento, dependiendo del descuento que se esté analizando y su correspondiente indicador de supervisión.

Donde,
i: Es el suscriptor afectado que se esté analizando.
m: Es el número del mes analizado dentro del semestre en estudio que varía entre 1 y 6.
CRT: Costo de Recolección y Transporte de residuos sólidos definido en el artículo 18 de la presente resolución.
CCS: Costo de Comercialización por Suscriptor definido en el artículo 13 de la presente resolución.
TNAi: Toneladas de residuos no aprovechables presentadas para su recolección por parte del suscriptor i en el mes m, que pertenece a la ruta de recolección l, de acuerdo con la metodología que para el efecto establezca la Comisión de Regulación de Agua Potable y Saneamiento Básico (CRA).
Artículo 53. Identificación de los suscriptores afectados para el reconocimiento de los descuentos correspondientes. En el caso de los descuentos asociados al ICTR_NAl, los suscriptores afectados a los que se les debe reconocer los descuentos corresponden a aquellos a quienes el prestador incumplió en por lo menos una (1) vez la frecuencia y/o el horario de su ruta de recolección de residuos sólidos no aprovechables durante el semestre de análisis.
Los suscriptores afectados a los cuales se les debe reconocer los descuentos asociados al indicador IC_IRCF, corresponden a aquellos que presentaron reclamaciones comerciales por facturación, y estas fueron resueltas a su favor en segunda instancia durante el semestre de análisis.
CAPÍTULO IV.
Del total de descuentos aplicables a cada suscriptor.
Artículo 54. Descuento total aplicable al suscriptor afectado del servicio (D_TOTALi). El descuento total aplicable al suscriptor del servicio público de aseo afectado se calculará con la siguiente fórmula:
![]()
Donde:
D_TOTALi: Es el descuento total aplicable al suscriptor i del servicio público de aseo afectado.
V_CTR_NAl: Corresponde al valor del descuento correspondiente a la calidad técnica en la recolección de residuos sólidos no aprovechables, definido en el artículo 52 de la presente resolución.
V_RCF: Corresponde al valor del descuento correspondiente a reclamos comerciales por facturación, definido en el artículo 52 de la presente resolución.
Artículo 55. Plazo para hacer efectivos los descuentos. La persona prestadora cuenta con un plazo máximo de seis (6) meses para hacer efectivo el descuento total en la factura de los suscriptores afectados, el cual empezará a contar una vez finalice el semestre objeto de evaluación.
PARÁGRAFO. En caso de que una persona prestadora no haga efectivos los descuentos durante el periodo señalado en este artículo, deberá hacerlo posteriormente reconociendo a cada suscriptor afectado el descuento total pendiente y los intereses a que haya lugar sobre este valor. Los intereses se calcularán con una tasa de interés mensual simple igual a 0.99% y empezarán a aplicarse a partir de seis (6) meses después del semestre evaluado. Lo anterior sin perjuicio de las acciones a que haya lugar por parte de la Superintendencia de Servicios Públicos Domiciliarios.
CAPÍTULO V.
De las disposiciones finales del título de la calidad del servicio.
Artículo 56. Valor de los indicadores por no reporte de información. Los indicadores que no puedan ser calculados por falta de reporte de información por parte de la persona prestadora, se entenderán como incumplidos. En el caso de que el indicador en cuestión esté asociado a un descuento específico, se aplicará el máximo descuento correspondiente al semestre consecutivo de incumplimiento, sin perjuicio de las acciones a que haya lugar por parte de la Superintendencia de Servicios Públicos Domiciliarios.
Artículo 57. Aplicación de los descuentos asociados a la calidad del servicio. Los descuentos asociados a la calidad del servicio entrarán en vigencia a partir del primer semestre calendario que transcurra completamente desde que entre en vigencia el marco tarifario establecido en la presente resolución.
PARÁGRAFO 1o. Para el efecto, se entiende semestre calendario que transcurra completamente el período comprendido entre el 1o de enero y el 30 de junio, o entre el 1o de julio y el 31 de diciembre de un año.
PARÁGRAFO 2o. La entrada en vigencia de los descuentos asociados a la calidad técnica del servicio de aseo dependerá de la segmentación definida en el artículo 5o de la presente resolución. Para el primer segmento, los descuentos asociados al cumplimiento de las metas de frecuencia y horario de recolección de residuos sólidos no aprovechables entrarán en vigencia a partir de la medición que sobre esta materia se haga durante el segundo semestre calendario que transcurra completamente desde que entre en vigencia el presente marco regulatorio; mientras que para el segundo segmento, dichos descuentos entrarán en vigencia a partir de la medición efectuada durante el tercer semestre calendario que transcurra completamente desde el inicio de la aplicación del presente marco tarifario.
TÍTULO V
DISPOSICIONES FINALES
Artículo 58. Rutas de recolección. La recolección de residuos aprovechables y no aprovechables debe realizarse en días diferentes, lo cual deberá establecerse en el Contrato de Condiciones Uniformes (CCU).
Artículo 59. Reporte de información. Las personas prestadoras deberán reportar la información requerida en la oportunidad y calidad establecidas en la presente resolución y en el esquema de reporte de información definido conjuntamente entre la Comisión de Regulación de Agua Potable y Saneamiento Básico y la Superintendencia de Servicios Públicos Domiciliarios. El incumplimiento a la presente disposición ocasionará las sanciones establecidas en la ley. En todo caso se debe presentar con separación de cuentas por municipio, área de prestación y por cada uno de los elementos de costo del TÍTULO II de la presente resolución.
Artículo 60. Seguimiento de las metas para los indicadores. El seguimiento al cumplimiento de las metas propuestas para cada uno de los indicadores de servicio y de supervisión relacionados en el ANEXO IV que hace parte integral de la presente resolución, se hará de acuerdo con la periodicidad que se establezca en el esquema de reporte de información definido por la Superintendencia de Servicios Públicos Domiciliarios y deberá realizarse bajo tres aspectos:
Autocontrol: La persona prestadora deberá realizar un control mensual al cumplimiento de las metas en los indicadores.
Supervisión: Las auditorías externas de gestión y resultados o las oficinas de control interno, según sea la naturaleza de la persona prestadora, deberán reportar los indicadores de cumplimiento a los estándares del servicio con una periodicidad mensual.
Reporte de resultados: La persona prestadora deberá reportar los resultados, producto de su autocontrol, en el formato que se establezca en el esquema de reporte de información definido por la Superintendencia de Servicios Públicos Domiciliarios.
Publicación de los resultados reportados: La Superintendencia de Servicios Públicos Domiciliarios y la Comisión de Regulación de Agua y Saneamiento Básico harán públicos los resultados del seguimiento a las metas para los indicadores de eficiencia y de servicio.
Para las metas cuyo resultado eficiente debe aumentar el indicador de cumplimiento será:
![]()
Cuando el resultado eficiente es disminuir el indicador se calculará:
![]()
PARÁGRAFO. Los indicadores que no puedan ser calculados por falta de reporte de información por parte de la persona prestadora, se entenderán como incumplidos, sin perjuicio de las acciones a que haya lugar por parte de la Superintendencia de Servicios Públicos Domiciliarios.
Artículo 61. Verificación de cumplimiento de los indicadores. La verificación del cumplimiento se ejercerá sobre los indicadores de servicio a través de la contratación de una auditoría externa de gestión y resultados o mediante las oficinas de control interno, de acuerdo con lo establecido en la ley y la normatividad vigente.
Artículo 62. Regulación de la competencia. La Comisión elaborará en un plazo de máximo de seis (6) meses a partir de la fecha de expedición de la presente resolución, los proyectos que se consideren necesarios para regular la competencia sin Áreas de Servicio Exclusivo, de acuerdo con las facultades del artículo 73, 74 y artículo 86 ley 142 de 1994.
Artículo 63. Vigencia de la Fórmula Tarifaria. La fórmula tarifaria tendrá una vigencia de cinco (5) años contados a partir del sexto mes de la publicación en el Diario Oficial de la presente resolución.
Una vez vencido el período de vigencia, la fórmula tarifaria seguirá rigiendo mientras la Comisión de Regulación de Agua Potable y Saneamiento Básico no fije una nueva.
Artículo 64. Vigencia y derogatorias. La presente resolución rige a partir de la fecha de su publicación en el Diario Oficial y deroga todas aquellas disposiciones que le sean contrarias.
PARÁGRAFO 1o. Las disposiciones contenidas en las Resoluciones CRA 405 de 2006 y 417 de 2007 le serán aplicables a las personas prestadoras del servicio público de aseo en las áreas urbanas de los distritos y/o municipios que tengan más de 5.000 suscriptores, hasta tanto se expidan nuevas disposiciones sobre la materia.
PARÁGRAFO 2o. Las personas prestadoras del servicio público de aseo en las áreas urbanas de los distritos y/o municipios que tengan menos de 5.000 suscriptores, seguirán aplicando las disposiciones contenidas en las Resoluciones CRA 351 y 352 de 2005, 405 de 2006, 417 y 418 de 2007 y 482 de 2009, hasta tanto se expida una nueva regulación que le sea aplicable.
Publíquese y cúmplase.
Dada en Bogotá, D. C., a los … días del mes de … de 2013.
El Presidente,
Iván Mustafá Durán.
La Directora Ejecutiva,
Silvia Juliana Yepes Serrano.
ARTÍCULO 2o. <Artículo modificado por el artículo 1 de la Resolución 664 de 2013. El nuevo texto es el siguiente:> Continuar el proceso de discusión directa con los usuarios, prestadores, gremios y demás agentes del sector e interesados. Para el efecto, amplíese por tres meses para recibir las observaciones, reparos o sugerencias.
ARTÍCULO 3o. La Directora Ejecutiva invita a las personas prestadoras del servicio público de aseo, suscriptores y/o usuarios, a la Superintendencia de Servicios Públicos Domiciliarios, y a todos los interesados en general para que remitan observaciones, reparos o sugerencias a la propuesta consagrada en el artículo 1o de la presente resolución, así como a los documentos de trabajo que también se harán públicos en la página web www.cra.gov.co.
ARTÍCULO 4o. Las observaciones, reparos o sugerencias, se recibirán en las instalaciones de la CRA, ubicada en la Carrera 12 No 97-80, Piso 2o, Edificio 97 Punto Empresarial, de Bogotá D. C., teléfono (1) 487 38 20, en la línea nacional gratuita 01 8000 517 565, en el correo electrónico participación@cra.gov.co o en el fax 489 76 50. La Subdirección Técnica de la Comisión de Regulación de Agua Potable y Saneamiento Básico en cabeza de su Subdirector Técnico, recibirá las observaciones, reparos o sugerencias y atenderá las solicitudes de información sobre el proyecto.
ARTÍCULO 5o. VIGENCIA. La presente resolución rige a partir de la fecha de su publicación en el Diario Oficial.
Publíquese y cúmplase.
Dada en Bogotá, D. C., a 24 de junio de 2013.
El Presidente,
IVÁN MUSTAFÁ DURÁN.
La Directora Ejecutiva,
SILVIA JULIANA YEPES SERRANO.
MUNICIPIOS A LOS QUE APLICA LA PRESENTE RESOLUCIÓN POR SEGMENTOS.
Tabla 1: Municipios en el segmento 1

Tabla 2: Municipios en el segmento 2


PROGRAMA PARA LA PRESTACIÓN DEL SERVICIO.
Para los componentes del CBL, la persona prestadora deberá registrar en su programa de prestación del servicio las áreas a intervenir y los kilómetros a barrer, con base en lo definido en el PGIRS y deberá contener como mínimo los siguientes parámetros:
1. Número total de kilómetros a barrer en el municipio.
2. Número total de metros cuadrados de parques y zonas de áreas públicas a barrer en el municipio.
3. Número total de kilómetros a barrer en el área de prestación, a cargo del prestador.
El programa para la prestación del servicio público de aseo deberá ser cargado al SUI, en los términos que la Superintendencia de Servicios Públicos Domiciliarios disponga para ello.
ESCENARIOS DE TRATAMIENTO DE LIXIVIADOS.
POR OBJETIVO DE CALIDAD REQUERIDO POR LA AUTORIDAD AMBIENTAL
| OBJETIVO DE CALIDAD Remoción de contaminantes | TRENES DE TRATAMIENTO | ||
| FÍSICO/QUÍMICO | BIOLÓGICO | FILTRACIÓN POR MEMBRANAS | |
| Escenario 1 Sólidos suspendidos Materia orgánica | Opciones: Coagulación-floculación + precipitación Adsorción Oxidación química | Opciones: Tratamiento aerobio Tratamiento anaerobio | NA |
| Escenario 2 Sólidos suspendidos Materia orgánica Nitrógeno | Opciones: Coagulación-floculación + precipitación Adsorción Oxidación química | Opciones: Tratamiento aerobio + Nitrificación Tratamiento anaerobio + Denitrificación | NA |
| Escenario 3 Sólidos suspendidos Materia orgánica Sustancias inorgánicas Compuestos orgánicos | Opciones: Coagulación-floculación + precipitación Adsorción Oxidación química | Opciones: Tratamiento aerobio Tratamiento anaerobio | Opciones: Microfiltración Ultrafiltración Osmosis inversa |
| Escenario 4 Sólidos suspendidos Materia orgánica Nitrógeno Sustancias inorgánicas Compuestos orgánicos | Opciones: Coagulación-floculación + precipitación Adsorción Oxidación química | Opciones: Tratamiento aerobio + Nitrificación Tratamiento anaerobio + Denitrificación | Opciones: Microfiltración Ultrafiltración Osmosis inversa |
SUPERVISIÓN DE INDICADORES.
| Componente | Indicador | Estándar de servicio | Meta a alcanzar y gradualidad |
| RECOLECCIÓN | Calidad de la frecuencia de recolección de residuos sólidos no aprovechables | Frecuencia de recolección de residuos sólidos no aprovechables establecida en el respectivo Contrato de Condiciones Uniformes (CCU) para cada ruta de recolección. | 100% del estándar desde la aplicación de la presente resolución. |
| Calidad del horario de recolección de residuos sólidos no aprovechables | Tiempo de duración de cada ruta de recolección de residuos sólidos no aprovechables establecido en el horario del respectivo Contrato de Condiciones Uniformes (CCU), más 3 horas adicionales. | 100% del estándar desde la aplicación de la presente resolución. | |
| Calidad en la recolección | Sin presencia de bolsas con residuos ordinarios después de realizada la actividad de recolección. | 100% del estándar desde la aplicación de la presente resolución. | |
| Regueros por recolección | Sin presencia de regueros de residuos después de realizada la actividad de recolección. | 100% del estándar desde la aplicación de la presente resolución. | |
| BARRIDO Y LIMPIEZA | Calidad en el barrido | Sin presencia de residuos y/o arenilla en las vías y parques después de realizada la actividad de limpieza y barrido. | 100% del estándar desde la aplicación de la presente resolución. |
| Recolección de residuos clandestinos y/o residuos en puntos críticos | Sin presencia de escombros clandestinos, residuos clandestinos y/o residuos en puntos críticos después de realizada su respectiva recolección en el área de prestación del servicio. | 100% del estándar desde la aplicación de la presente resolución. | |
| COMERCIAL | Incumplimiento de reclamos comerciales por facturación | 4 reclamos comerciales por facturación resueltos a favor del suscriptor en segunda instancia por cada 1.000 suscriptores al año. | 100% del estándar a los 5 años con una gradualidad a discreción del prestador. |
TARIFA PARA LOS COMPONENTES DEL SERVICIO PÚBLICO DE ASEO.


* * *
1. Según lo señalaba el Decreto 2104 de 1983, la noción de la expresión Basura comprendía los desperdicios, desechos, cenizas, elementos de barrido de calles, residuos industriales, de establecimientos hospitalarios y de plazas de mercado, entre otros. Este decreto fue publicado en el Diario Oficial número 36.319 del 22 de agosto de 1983.