RESOLUCIÓN CRA 767 DE 2016
(septiembre 15)
Diario Oficial No. 50.011 de 29 de septiembre de 2016
COMISIÓN DE REGULACIÓN DE AGUA POTABLE Y SANEAMIENTO BÁSICO
Por la cual se regulan las condiciones generales de los acuerdos de lavado, que los prestadores suscriban y se establece una metodología que permita calcular y asignar geográficamente las áreas públicas objeto de lavado que corresponden a cada prestador en los casos en que se deben resolver controversias suscitadas entre los prestadores que confluyen en un área de prestación de las actividades de recolección y transporte del servicio público de aseo.
LA COMISIÓN DE REGULACIÓN DE AGUA POTABLE Y SANEAMIENTO BÁSICO,
en ejercicio de las facultades legales, en especial de las conferidas por el artículo 73 y 74 de la Ley 142 de 1994, la Resolución CRA 720 de 2015, los Decretos 2882 de 2007, 1077 de 2015, y
CONSIDERANDO:
Que el artículo 365 de la Constitución Política dispone que los servicios públicos son inherentes a la finalidad social del Estado y que es su deber, asegurar la prestación eficiente a todos los habitantes del territorio nacional;
Que el artículo 370 superior prevé que corresponde al Presidente de la República señalar, con sujeción a la ley, las políticas generales de administración y control de eficiencia de los servicios públicos domiciliarios y ejercer, por medio de la Superintendencia de Servicios Públicos Domiciliarios, el control, la inspección y vigilancia de las entidades que los presten;
Que el artículo 68 de la Ley 142 de 1994 establece que el señalamiento de tales políticas, se podrá delegar en las Comisiones de Regulación;
Que en cumplimiento de lo anterior, el Presidente de la República mediante Decreto 1524 de 1994, delegó en las Comisiones de Regulación, la función de señalar políticas generales de administración y control de eficiencia en los servicios públicos domiciliarios;
Que el artículo 2o de la Ley 142 de 1994, dispone que el Estado intervendrá en los servicios públicos en el marco de lo dispuesto en los artículos 334, 336, y 365 a 370 de la Constitución Política, entre otras razones, para asegurar su prestación eficiente;
Que en igual sentido, el artículo 11 ibídem, dispone que para cumplir con la función social de la propiedad, pública o privada, las entidades que presten servicios públicos tienen, entre otras, la obligación de asegurar que el servicio se preste en forma continua y eficiente, y sin abuso de la posición dominante;
Que el numeral 18 del artículo 14 de la Ley 142 de 1994, establece que la regulación de los servicios públicos domiciliarios es la facultad de dictar normas de carácter general o particular en los términos de la Constitución y de la citada ley, para someter la conducta de las personas que prestan los servicios públicos domiciliarios a las reglas, normas, principios y deberes establecidos por la ley y los reglamentos;
Que el artículo 73 de la Ley 142 de 1994, establece como función general de las Comisiones de Regulación la de “regular los monopolios en la prestación de los servicios públicos, cuando la competencia no sea, de hecho, posible; y, en los demás casos, la de promover la competencia entre quienes presten servicios públicos, para que las operaciones de los monopolistas o de los competidores sean económicamente eficientes, no impliquen abusos de la posición dominante, y produzcan servicios de calidad…”;
Que el numeral 73.9., señala como facultad general de las comisiones de regulación la de “resolver, a petición de cualquiera de las partes, los conflictos que surjan entre empresas, y que no corresponda decidir a otras autoridades administrativas, acerca de quién debe servir a usuarios específicos, o en qué regiones deben prestar sus servicios. La resolución que se adopte estará sujeta al control jurisdiccional de legalidad. La resolución debe atender, especialmente, al propósito de minimizar los costos en la provisión del servicio”;
Que el artículo 74, señala las funciones especiales de las comisiones de regulación y de manera específica para la Comisión de Regulación de Agua Potable y Saneamiento Básico en el numeral 74.2 literal a), establece la de promover la competencia entre quienes presten los servicios de agua potable y saneamiento básico o regular los monopolios en la prestación de tales servicios, cuando la competencia no sea posible, todo ello con el propósito de que las operaciones de los monopolistas y de los competidores sean económicamente eficientes, se prevenga el abuso de posiciones dominantes y se produzcan servicios de calidad. La comisión podrá adoptar reglas de comportamiento diferencial, según la posición de las empresas en el mercado;
Que el artículo 1o de la Ley 155 de 1959 y los artículos 46 y 47 del Decreto 2153 de 1992, establecen aquellos acuerdos que se consideran contrarios a la libre competencia;
Que para efectos de la presente resolución, se entenderá como información sensible las estrategias de negocio, las inversiones, los gastos en publicidad, los costos, entre otros. También será información sensible la relacionada con los canales de distribución y las estrategias de mercadeo. En general se considerará como sensible toda información que sea estratégicamente útil para un agente en el mercado;
Que los artículos 106 y siguientes de la Ley 142 de 1994 contemplan el procedimiento que debe ser adelantado en todas aquellas actuaciones de las autoridades que tengan el propósito de producir actos administrativos unilaterales cuyo objeto sea el cumplimiento del régimen de servicios públicos, y que no haya sido objeto de normas especiales, sin perjuicio de la aplicación de las normas procedimentales a que haya lugar;
Que de igual forma, el numeral 24 del artículo 14 ibídem, modificado por el artículo 1o de la Ley 632 de 2000 y por el artículo 1o de la Ley 689 de 2001, determina que el servicio público de aseo “es el servicio de recolección municipal de residuos, principalmente sólidos” y define que “también se aplicará esta ley a las actividades complementarias de transporte, tratamiento, aprovechamiento y disposición final de tales residuos”;
Que el artículo 2.3.2.1.1 del Decreto 1077 de 2015, define área pública como aquella destinada al uso, recreo o tránsito público, como parques, plazas, plazoletas y playas salvo aquellas con restricciones de acceso;
Que la misma norma, definió lavado de áreas públicas como la actividad de remoción de residuos sólidos en áreas públicas mediante el empleo de agua a presión;
Que el artículo 2.3.2.2.1.11 del Decreto 1077 de 2015, dispone que salvo en los casos expresamente consagrados en la Constitución Política y en la ley, existe libertad de competencia en la prestación del servicio público de aseo y sus actividades complementarias, para lo cual, quienes deseen prestarlo, deberán adoptar cualquiera de las formas señaladas en el artículo 15 de la Ley 142 de 1994;
Que de conformidad con el artículo 2.3.2.2.2.1.13 del mismo decreto, se consideran como actividades del servicio público de aseo, las siguientes: recolección, transporte, barrido, limpieza de vías y áreas públicas, corte de césped, poda de árboles en las vías y áreas públicas, transferencia, tratamiento, aprovechamiento, disposición final, y lavado de áreas públicas;
Que el artículo 2.3.2.2.2.5.63 ibídem señala que: “Las labores de lavado de áreas públicas son responsabilidad de los prestadores del servicio de aseo en el área de prestación donde realicen las actividades de recolección y transporte”;
Que el mismo artículo señala que la prestación el componente de lavado, en todo caso deberá realizarse de acuerdo con la frecuencia y horarios establecidos en el programa para la prestación del servicio público de aseo, y cumpliendo con las exigencias establecidas en el PGIRS del respectivo municipio o distrito. Agrega la norma que los municipios o distritos están en la obligación de suministrar a las personas prestadoras el inventario de los puentes peatonales y áreas públicas objeto de lavado, detallando como mínimo, su ubicación y área de lavado entre otros aspectos;
Que el parágrafo del mencionado artículo señala que “Cuando en un área confluya más de un prestador, estos serán responsables de la actividad de lavado de áreas públicas en proporción al número de usuarios que cada prestador atienda en dicha área. La Comisión de Regulación de Agua Potable y Saneamiento Básico determinará la metodología de cálculo de las áreas públicas de lavado que corresponde a cada prestador en función del número de usuarios que cada uno atienda en el área de confluencia”;
Así mismo, el prestador debe consignar en el Programa de Prestación del servicio, las condiciones de atención de la actividad y áreas públicas objeto de lavado según lo establecido en la Resolución 288 de 2015 del Ministerio de Vivienda, Ciudad y Territorio, con base en lo que haya definido el PGIRS del municipio;
Que como consecuencia de lo anterior, el artículo 2.3.2.2.2.5.64 ibídem dispone que: “Las personas prestadoras deberán suscribir acuerdos donde se determinen las áreas públicas, incluidos los puentes peatonales a cargo de cada prestador y las frecuencias de ejecución de la actividad que cada persona prestadora vaya a realizar, sin perjuicio de que en el mismo acuerdo, se convenga que solo uno de ellos sea quien atienda la totalidad del área. En los mismos acuerdos se podrá establecer la forma de remunerarse entre los prestadores de las mencionadas actividades”;
Que en el mismo artículo se establece que los acuerdos deberán suscribirse dentro de los 3 meses siguientes a la fecha de aplicación de la metodología tarifaria que expida la Comisión de Regulación de Agua Potable y Saneamiento Básico, en la que se determinen los costos de esa actividad, so pena de que la Superintendencia de Servicios Públicos imponga las sanciones de que trata el artículo 81 de la Ley 142 de 1994 por incumplimiento del régimen de servicios públicos domiciliarios y falla en la prestación de dichos servicios;
Agrega la norma que en el evento en que habiéndose firmado el acuerdo, ingrese o se retire una determinada persona prestadora dentro del área de confluencia, se deberá revisar y ajustar el acuerdo de lavado de áreas públicas celebrado, para lo cual, los prestadores tendrán un plazo máximo de 3 meses contados a partir del ingreso o retiro del prestador so pena de la imposición de las acciones por parte de la Superintendencia de Servicios Públicos;
Que el parágrafo del mismo artículo dispone que “En el evento que no se logre un acuerdo entre las personas prestadoras cualquiera de ellas podrá solicitar a la Comisión de Regulación de Agua Potable y Saneamiento Básico la resolución de dicha controversia, en los términos del artículo 73, numeral 73.9, de la Ley 142 de 1994”;
Que de conformidad con lo establecido en el artículo 2.3.2.2.2.5.65 del Decreto 1077 de 2015, la actividad de lavado de áreas públicas dentro del servicio de aseo comprende el lavado de puentes peatonales y de aquellas áreas públicas cuya condición de limpieza se deteriora por un uso inadecuado de tales áreas constituyéndose en puntos críticos sanitarios;
Que el numeral 9 del artículo 73 de la Ley 142 de 1994, señala como una de las funciones y facultades generales de las Comisiones de Regulación la de: “Resolver, a petición de cualquiera de las partes, los conflictos que surjan entre empresas, y que no corresponda decidir a otras autoridades administrativas, acerca de quién debe servir a usuarios específicos, o en qué regiones deben prestar sus servicios. La resolución que se adopte estará sujeta al control jurisdiccional de legalidad. La resolución debe atender, especialmente, al propósito de minimizar los costos en la provisión del servicio”;
Que dado lo anterior, es competencia de esta Comisión de Regulación, establecer la metodología que permita calcular y asignar geográficamente las áreas públicas objeto de lavado que corresponden a cada prestador, en los casos en que en un área confluya más de un prestador en las actividades de recolección y transporte;
Que mediante la Resolución 754 de 2014, expedida por el Ministerio de Vivienda, Ciudad y Territorio y el Ministerio de Ambiente y Desarrollo Sostenible, se adoptó la metodología para la formulación, implementación, evaluación, seguimiento, control y actualización de los Planes de Gestión Integral de Residuos Sólidos, incluyendo previsiones relacionadas con el lavado de vías y áreas públicas;
Que teniendo en cuenta que, los acuerdos de lavado a los que lleguen las partes, se rigen por las normas del derecho privado, la CRA, adelantará una actuación administrativa tendiente a resolver dicha controversia, únicamente cuando medie petición de parte y en el caso en que las mismas, previamente no hayan logrado un acuerdo;
Que mediante la Resolución CRA 756 de 2016, se presentó el proyecto de resolución “por la cual se regulan las condiciones generales de los acuerdos de lavado, que los prestadores suscriban y se establece una metodología que permita calcular y asignar geográficamente las áreas públicas objeto de lavado que corresponden a cada prestador en los casos en que se deben resolver controversias suscitadas entre los prestadores que confluyen en un área de prestación de las actividades de recolección y transporte del servicio público de aseo”;
Que el plazo de participación ciudadana fue de 30 días hábiles (del 6 de mayo al 21 de junio de 2016), en el cual esta Comisión de Regulación recibió 12 observaciones, reparos y sugerencias, de las cuales 8 fueron escritas y 4 presenciales por diferentes medios como: correo electrónico, oficios en medio físicos, en las visitas técnicas y en las jornadas presenciales en las ciudades de Bogotá, D. C., y Santiago de Cali. Todas estas están consignadas en el documento de participación ciudadana el cual hace parte de la presente resolución.
Que las observaciones recibidas fueron analizadas por parte de esta Comisión de Regulación con el fin de determinar su inclusión en la elaboración de la presente resolución;
Que de acuerdo con lo establecido en el artículo 7o de la Ley 1340 de 2009 “por medio de la cual se dictan normas en materia de protección a la competencia”, la Superintendencia de Industria y Comercio podrá rendir concepto previo sobre los proyectos de regulación que puedan incidir sobre la libre competencia en los mercados. En este sentido, el artículo mencionado contempla que: “para estos efectos las autoridades de regulación informarán a la Superintendencia de Industria y Comercio de los actos administrativos que se pretendan expedir”;
Que teniendo en cuenta lo dispuesto en el artículo 5o del Decreto 2897 de 2010, por el cual se reglamenta el artículo 7o de la Ley 1340 de 2009 y habiendo diligenciado el cuestionario que para el efecto adoptó la Superintendencia de Industria y Comercio mediante Resolución número 44649 del 25 de agosto de 2010, se determinó que el contenido del presente acto administrativo no tiene incidencia sobre la libre competencia en los mercados. Sin embargo, el presente acto administrativo fue remitido a la Superintendencia de Industria y Comercio para su información, mediante el radicado CRA 2016-211-004637-1 de 10 de agosto de 2016;
Que atendiendo los anteriores considerandos, así como la evolución de la actividad regulatoria, se hace necesario regular las condiciones generales de los acuerdos de lavado, que los prestadores suscriban y se establece una metodología que permita calcular y asignar geográficamente las áreas públicas objeto de lavado que corresponden a cada prestador en los casos en que se deben resolver controversias suscitadas entre los prestadores que confluyen en un área de prestación de las actividades de recolección y transporte del servicio público de aseo;
Que en mérito de lo expuesto, la Comisión de Regulación de Agua Potable y Saneamiento Básico;
RESUELVE:
ARTÍCULO 1o. OBJETO. <Artículo integrado y unificado en el artículo 5.9.1.1 de la Resolución CRA 943 de 2021. Debe tenerse en cuenta lo dispuesto por el artículo 2.3.6.3.3.12 del Decreto 1077 de 2015> La presente resolución tiene por objeto regular las condiciones generales de los acuerdos de lavado de áreas públicas, que los prestadores suscriban en virtud de su autonomía de la voluntad y definir una metodología que permita calcular y asignar geográficamente las áreas públicas objeto de lavado que corresponden a cada prestador, en los casos en que se deben resolver controversias suscitadas entre los prestadores del servicio público de aseo que presten la actividad de lavado, cuando confluyan en un área.
PARÁGRAFO. La metodología del artículo 4o y siguientes, podrá ser parte de los acuerdos de lavado de áreas públicas que las personas prestadoras deberán suscribir para atender dicha actividad en el respectivo municipio o, podrán utilizar una metodología diferente que cumpla con las condiciones generales contenidas en el artículo 2o de la presente resolución.
ARTÍCULO 2o. CONDICIONES GENERALES PARA LOS ACUERDOS DE LAVADO. <Artículo integrado y unificado en el artículo 5.9.1.2 de la Resolución CRA 943 de 2021. Debe tenerse en cuenta lo dispuesto por el artículo 2.3.6.3.3.12 del Decreto 1077 de 2015> En virtud de la autonomía de la voluntad de las partes y considerando la normatividad legal vigente, las personas prestadoras de las actividades de recolección y transporte, cuyas áreas de prestación confluyan, pueden suscribir acuerdos de lavado de áreas públicas, los cuales deben observar, al momento de la celebración del respectivo acuerdo, lo siguiente:
1. Las partes deben estar legalmente constituidas como personas prestadoras del servicio público de aseo.
2. Determinar las áreas públicas objeto de lavado en metros cuadrados (m2) en función del número de suscriptores del área donde confluyen los prestadores de las actividades de recolección y transporte, de conformidad con lo señalado en el parágrafo del artículo 2.3.2.2.2.5.63 del Decreto 1077 de 2015.
3. Deberán contar con un plano o mapa del área urbana, en el que se delimiten la o las áreas geográficas de prestación del servicio público de aseo en las actividades de recolección y transporte de los prestadores en conflicto, demarcando las áreas donde confluyen dichos prestadores, acorde con lo previsto en el respectivo contrato de servicios públicos.
4. Deberán contar con una relación y ubicación de los puentes peatonales y aquellas áreas públicas cuya condición de limpieza se deteriora por un uso inadecuado constituyéndose en un punto crítico sanitario, con sus respectivas áreas en metros cuadrados, incluidas en el inventario municipal de áreas de lavado en el Programa de Prestación del Servicio, acorde con el Plan de Gestión Integral de residuos sólidos (PGIRS) y que están localizadas en el área donde confluyen los prestadores de recolección y transporte.
5. Se deberá contar con el número total de suscriptores atendidos por cada persona prestadora del servicio público de aseo en el área donde confluyen en las actividades de recolección y transporte, para el periodo de facturación inmediatamente anterior a la celebración del acuerdo, suscriptores a los cuales se les deberá relacionar la dirección que corresponda en el maestro de facturación.
PARÁGRAFO 1o. En todo caso, los acuerdos de lavado que suscriban las personas prestadoras deberán tener como única finalidad solucionar la controversia según lo establecido en el artículo 2.3.2.2.2.5.64 del Decreto 1077 de 2015. Adicionalmente, los acuerdos de lavado no deberán tener por objeto ni por efecto la ejecución de prácticas que constituyan una infracción al régimen general de protección de la competencia o al régimen especial de la competencia de la Ley 142 de 1994.
PARÁGRAFO 2o. Para efectos de la suscripción del acuerdo, independientemente de la metodología que se aplique, las partes no podrán compartir información sensible diferente a la señalada en el presente artículo.
PARÁGRAFO 3o. Una vez suscrito el acuerdo entre los prestadores se deberá enviar copia del mismo a la Superintendencia de Servicios Públicos Domiciliarios.
ARTÍCULO 3o. SOLICITUD PARA RESOLVER CONTROVERSIA. <Artículo integrado y unificado en el artículo 5.9.1.3 de la Resolución CRA 943 de 2021. Debe tenerse en cuenta lo dispuesto por el artículo 2.3.6.3.3.12 del Decreto 1077 de 2015> En el evento en que las partes no hayan logrado convenir la celebración del acuerdo de lavado en los términos del artículo 2.3.2.2.2.5.64 del Decreto 1077 de 2015, la Comisión de Regulación de Agua Potable y Saneamiento Básico podrá dar inicio, a solicitud de parte, en los términos del artículo 106 y siguientes de la Ley 142 de 1994, a una actuación administrativa tendiente a resolver dicha controversia, sin perjuicio de la aplicación de las normas procedimentales a que haya lugar.
PARÁGRAFO. Del acto administrativo que resuelva la controversia se enviará copia a la Superintendencia de Servicios Públicos Domiciliarios.
ARTÍCULO 4o. METODOLOGÍA PARA RESOLVER CONTROVERSIAS EN EL CÁLCULO DE LAS ÁREAS QUE LE CORRESPONDEN A CADA PRESTADOR. <Artículo integrado y unificado en el artículo 5.9.1.4 de la Resolución CRA 943 de 2021. Debe tenerse en cuenta lo dispuesto por el artículo 2.3.6.3.3.12 del Decreto 1077 de 2015> Las áreas públicas objeto de lavado que corresponden a los puentes peatonales y aquellas áreas públicas cuya condición de limpieza se deteriora por un uso inadecuado constituyéndose en un punto crítico sanitario, que deberá atender cada prestador de la actividad de recolección y transporte en la zona de confluencia; corresponderán a una proporción del área total expresada en metros cuadrados (m2). Se asignarán los metros cuadrados a cada prestador con base en la relación de las áreas públicas objeto de lavado.
Se deberá tener en cuenta que el área asignada corresponda a zonas completas de una determinada infraestructura.
Los metros cuadrados (m2) de áreas públicas del prestador al año APic corresponden como máximo, al resultante de la siguiente expresión:
![]()
Donde:
| APic: | Área de lavado del prestador i al año en el área de confluencia. |
| ANic: | Porcentaje de suscriptores del prestador i de recolección y transporte, en el área de confluencia. Corresponderá a la relación entre el número de suscriptores de cada prestador del servicio público de aseo y el número total de suscriptores atendidos por los prestadores, dentro de esta área, de acuerdo con la siguiente expresión. |
![]()
Donde:
| Nic: | Número de suscriptores del prestador i de recolección y transporte del servicio público de aseo, en el área de confluencia. |
| Nc: | Número total de suscriptores, atendidos por los prestadores de recolección y transporte en el área de confluencia, con el cual existe un contrato de condiciones uniformes. |
| ATc: | Área total de lavado en el área de confluencia, teniendo en cuenta las frecuencias, expresada en metros cuadrados al año. Dicha área equivale a la suma de las áreas de lavado, determinadas en el Anexo de Lavado de áreas públicas del Plan de Gestión Integral de Residuos Sólidos Municipal (PGIRS) y por los prestadores de las actividades de recolección y transporte en el Programa de Prestación del servicio, multiplicadas por la frecuencia (número de veces de lavado al año), según la siguiente expresión: |

Donde:
| Aj: | Áreas públicas objeto de lavado que fueron definidas en el PGIRS, en el sector j, dentro del área de confluencia. |
| Fj: | Frecuencia de lavado definida en el PGIRS, en el sector j, dentro del área de confluencia. |
| n: | Número de sectores dentro del área de confluencia. |
De conformidad con lo establecido en el artículo 2.3.2.2.2.5.65 del Decreto 1077 de 2015, se debe tener en cuenta que la actividad de lavado se realiza en puentes peatonales y aquellas áreas públicas del área urbana del municipio y/o distrito cuya condición de limpieza se deteriora por un uso inadecuado de tales áreas.
ARTÍCULO 5o. METODOLOGÍA PARA LA ASIGNACIÓN GEOGRÁFICA DE LAS ÁREAS DE LAVADO QUE LE CORRESPONDEN A CADA PRESTADOR: UNA VEZ ESTABLECIDAS LAS ÁREAS DE LAVADO (APIC) QUE DEBERÁ ATENDER CADA PRESTADOR DE RECOLECCIÓN Y TRANSPORTE EN EL ÁREA DE CONFLUENCIA, SE TENDRÁN QUE CONSIDERAR LOS SIGUIENTES LINEAMIENTOS DE DISTRIBUCIÓN: <Artículo integrado y unificado en el artículo 5.9.1.5 de la Resolución CRA 943 de 2021. Debe tenerse en cuenta lo dispuesto por el artículo 2.3.6.3.3.12 del Decreto 1077 de 2015>
1. Definir en el plano urbano del municipio, el polígono que delimita el área de confluencia especificada por los operadores.
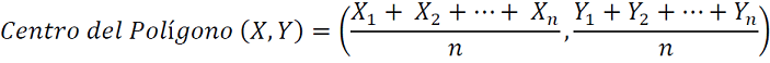
2. Calcular el centro del polígono que forma el área de confluencia, para lo cual se deben determinar las coordenadas (X, Y) de diferentes puntos que delimiten el polígono y reemplazarlos en la siguiente fórmula, la cual permitirá promediar y hallar las coordenadas de dicho centro.
![]()
3. Ubicar el centro del polígono en el plano y trazar una línea recta en sentido norte (línea norte), partiendo desde este punto hasta intersecarse con la frontera del polígono del área de confluencia.
4. Identificar las áreas públicas que son objeto de lavado dentro del área de confluencia y calcular el área de cada una.
5. Asignar geográficamente las áreas de lavado que le corresponden a cada prestador, según el porcentaje de usuarios que cada uno atiende en el área de confluencia, para lo cual se deben seguir los siguientes pasos:
I. Ordenar de mayor a menor los prestadores involucrados en el conflicto, de acuerdo con el número de suscriptores que atienda cada uno en el área de confluencia.
II. La distribución de metros cuadrados a lavar entre los prestadores se hace siguiendo el orden resultante del paso anterior.
III. Para el primer prestador, la asignación se hace desplazando la línea norte radialmente en el sentido de las manecillas del reloj y se seleccionan los elementos de infraestructura objeto de lavado que se ubiquen entre la línea Norte y la línea desplazada, agregando sus áreas hasta completar los metros cuadrados totales de lavado asignados al primer prestador.
IV. Desde el punto en el que un operador completa su cuota de metros cuadrados a lavar, se repite el procedimiento del paso anterior tomando como línea inicial la línea final del anterior prestador, y así sucesivamente hasta asignar el total del área de confluencia entre los diferentes operadores involucrados.
V. Si un elemento de infraestructura objeto de lavado es intersectado por la línea, no se divide y se asigna en su totalidad a un solo prestador.
VI. En el evento que no sea posible cumplir la condición establecida en el numeral anterior, el último elemento se asignará al prestador con el mayor número de suscriptores adyacentes.
6. El prestador de la actividad de lavado, será el responsable de la recolección y transporte de los residuos generados por su realización hasta el sitio de disposición final.
7. El prestador de las actividades de recolección y transporte de residuos sólidos deberá garantizar la frecuencia mínima de lavado que determine el PGIRS en toda el área de prestación a su cargo dentro del área de confluencia.
ARTÍCULO 6o. CONDICIONES GENERALES PARA ESTABLECER LAS ÁREAS DE LAVADO POR CADA PRESTADOR Y VERIFICACIÓN DE DICHAS CONDICIONES EN CASO DE DESACUERDO. <Artículo integrado y unificado en el artículo 5.9.1.6 de la Redispuesto por el artículo 2.3.6.3.3.12 del Decreto 1077 de 2015> En virtud de la autonomía de la voluntad, los prestadores del servicio público de aseo en las actividades de recolección y transporte en un área de confluencia, establecerán las condiciones en las que se determinen las áreas públicas que cada uno de ellos vaya a realizar la actividad de lavado.
En tal sentido, las personas prestadoras deberán suscribir acuerdos de lavado en los que se determinen las áreas públicas que cada persona prestadora vaya a atender en el área donde confluyen en la prestación de las actividades de recolección y transporte en un municipio y/o distrito.
En el evento que no se logre un acuerdo entre las personas prestadoras en los términos previstos en el artículo 2.3.2.2.2.5.64 del Decreto 1077 de 2015, cualquiera de ellas podrá solicitar a la Comisión de Regulación de Agua Potable y Saneamiento Básico la resolución de dicha controversia, para lo cual debe anexar como mínimo lo siguiente:
1. Un informe del trámite adelantado por las partes en controversia y los respectivos soportes, para la suscripción del acuerdo de lavado de áreas públicas en los términos del artículo 2.3.2.2.2.5.64 del Decreto 1077 de 2015, que incluya los acuerdos y desacuerdos en la etapa de arreglo directo.
2. Un plano o mapa de localización en el que se delimite la o las zonas geográficas en donde se presta el servicio público de aseo en las actividades de recolección y transporte, acorde con lo establecido en el respectivo contrato de servicios públicos y demarcando el(las) área(s) donde confluyen los prestadores. Dicho plano debe ser anexado en medio magnético, en archivo de Autocad (.dwg).
3. Copia del programa de prestación del servicio público de aseo y su constancia de presentación ante la Superintendencia de Servicios Públicos Domiciliarios.
4. Número total de suscriptores de cada prestador en el área urbana del municipio.
5. Número total de suscriptores atendidos por cada persona prestadora del servicio público de aseo en las actividades de recolección y transporte en el área donde confluyen, para el periodo de facturación inmediatamente anterior a la celebración del acuerdo, suscriptores a los cuales se les deberá relacionar la dirección que corresponda en el maestro de facturación.
6. Formato en Excel que contenga el listado de la infraestructura y las áreas públicas objeto de lavado, con su respectiva área en metros cuadrados (m2), así como su programación: macrorrutas, frecuencias y horarios, que hayan sido determinadas en el anexo de lavado de áreas públicas del Plan de Gestión Integral de Residuos Sólidos Municipal (PGIRS) y por los prestadores de las actividades de recolección y transporte en el Programa de Prestación del servicio. Las áreas objeto de lavado deberán ser georreferenciadas e identificarse en el mapa en el cual se delimitó la zona geográfica donde confluyen los prestadores de las actividades de recolección y transporte del servicio público de aseo. La anterior información en medio magnético, en archivo de Autocad (.dwg).
PARÁGRAFO. Para efectos de la presentación del programa de prestación del servicio público de aseo, debe tenerse en cuenta lo dispuesto en el artículo 2.3.2.2.1.10 del Decreto 1077 de 2015 y en la Resolución 288 de 2015 del Ministerio de Vivienda Ciudad y Territorio.
ARTÍCULO 7o. VIGENCIA. La presente resolución rige a partir de la fecha de su publicación en el Diario Oficial y deroga las disposiciones que le sean contrarias.
Publíquese y cúmplase.
Dada en Bogotá, D. C., a 15 de septiembre de 2016.
El Presidente,
HAROLD GUERRERO LÓPEZ
El Director Ejecutivo,
JULIO CÉSAR AGUILERA WILCHES.