RESOLUCIÓN CRA 898 DE 2019
(octubre 30)
Diario Oficial No. 51.124 de 1 de noviembre 2019
COMISIÓN DE REGULACIÓN DE AGUA POTABLE Y SANEAMIENTO BÁSICO
Por la cual se hace público el proyecto de resolución “Por la cual se modifican y adicionan unos artículos a las Resoluciones CRA 688 de 2014 y CRA 825 de 2017”, se da cumplimiento a lo previsto en el artículo 2.3.6.3.3.9 del Decreto número 1077 de 2015 y se inicia el proceso de discusión directa con los usuarios y agentes del sector.
LA COMISIÓN DE REGULACIÓN DE AGUA POTABLE Y SANEAMIENTO BÁSICO,
en ejercicio de sus facultades legales, en especial de las conferidas por las Leyes 142 de 1994 y 1437 de 2011, los Decretos números 1524 de 1994, 2882 y 2883 de 2007, modificado por el Decreto número 2412 de 2015, el Decreto número 1077 de 2015, adicionado por el Decreto número 1207 de 2018, y la Resolución número 0874 de 2018 del Ministerio de Vivienda, Ciudad y Territorio, y
CONSIDERANDO:
Que el artículo 2o de la Constitución Política de 1991, consagra como uno de los fines esenciales del Estado facilitar la participación de todos en las decisiones que los afectan;
Que el inciso 3 del artículo 78 ibídem, establece que el Estado garantizará la participación de las organizaciones de consumidores y usuarios en el estudio de las disposiciones que les conciernen;
Que el artículo 8o del Código de Procedimiento Administrativo y de lo Contencioso Administrativo dispone que las autoridades deberán mantener a disposición de toda persona, información completa y actualizada, entre otros aspectos, sobre “8. los proyectos específicos de regulación y la información en que se fundamenten, con el objeto de recibir opiniones, sugerencias o propuestas alternativas. Para el efecto, deberán señalar el plazo dentro del cual se podrán presentar observaciones, de las cuales se dejará registro público. En todo caso la autoridad adoptará autónomamente la decisión que a su juicio sirva mejor el interés general (…)”;
Que el Capítulo 3, Sección 1 del Título 6 del Decreto número 1077 de 2015, señala las reglas mínimas para garantizar la divulgación y participación en las actuaciones de las Comisiones de Regulación;
Que el artículo 2.3.6.3.3.9 ibídem señala que las Comisiones de Regulación harán público en su página web, con antelación no inferior a treinta (30) días a la fecha de su expedición, todos los proyectos de resoluciones de carácter general que pretendan adoptar, excepto los relativos a fórmulas tarifarias con vigencia de cinco años, los cuales se regirán por lo previsto en el artículo 2.3.6.3.3.11;
Que de acuerdo con el artículo 2.3.6.3.3.10 del mismo decreto, los proyectos de resoluciones generales que no correspondan a las fórmulas tarifarias con vigencia de cinco años deben contar con un término para la recepción de observaciones, reparos o sugerencias no menor a diez (10) días hábiles;
Que los artículos 2.3.6.3.3.9 y 2.3.6.3.3.10 del Decreto número 1077 de 2015, contienen una regla general de divulgación y participación de todos los proyectos de resolución de carácter general que expidan las Comisiones de Regulación, exceptuando aquellos que adopten las fórmulas tarifarias con vigencia de cinco (5) años;
Que de acuerdo con lo establecido en el artículo 7o de la Ley 1340 de 2009, modificado por el artículo 146 de la Ley 1955 de 2019(1), la Superintendencia de Industria y Comercio podrá rendir concepto previo sobre los proyectos de regulación que puedan incidir sobre la libre competencia en los mercados. En este sentido, el artículo mencionado contempla que: “Para estos efectos las autoridades deberán informar a la Superintendencia de Industria y Comercio los actos administrativos que pretendan expedir”;
Que teniendo en cuenta el artículo 2.2.2.30.5 del Decreto número 1074 de 2015, y habiendo diligenciado el cuestionario que para el efecto adoptó la Superintendencia de Industria y Comercio, se determinó que el presente proyecto de resolución no tiene incidencia sobre la libre competencia en los mercados;
Que para garantizar la participación ciudadana de que trata la Constitución Política y la normatividad vigente, se hace necesario poner a consideración de la ciudadanía en general, el presente proyecto de resolución, para que sea discutido, analizado y socializado, con el fin de que los interesados presenten observaciones, reparos o sugerencias relacionadas con el mismo;
Que en mérito de lo expuesto,
RESUELVE:
ARTÍCULO 1o. Hacer público el proyecto de resolución “Por la cual se modifican y adicionan unos artículos a las Resoluciones CRA 688 de 2014 y CRA 825 de 2017”, en los siguientes términos:
RESOLUCIÓN CRA XXX DE 2019
(XX de octubre de 2019)
“por la cual se modifican y adicionan unos artículos a las Resoluciones CRA 688 de 2014 y CRA 825 de 2017”.
La Comisión de Regulación de Agua Potable y Saneamiento Básico, en ejercicio de sus facultades legales, en especial de las conferidas por las Leyes 142 de 1994 y 1437 de 2011, los Decretos números 1524 de 1994, 2882 y 2883 de 2007 modificado por el Decreto número 2412 de 2015, el Decreto número 1077 de 2015, adicionado por el Decreto número 1207 de 2018 y la Resolución número 0874 de 2018 del Ministerio de Vivienda, Ciudad y Territorio, y
CONSIDERANDO:
Que el artículo 8o de la Constitución Política de Colombia dispone que es obligación del Estado y de las personas proteger las riquezas naturales de la Nación; y en su artículo 79 consagró el derecho de todos a gozar de un ambiente sano, y el deber del Estado de proteger la diversidad e integridad del ambiente, conservar las áreas de especial importancia ecológica y fomentar la educación para el logro de estos fines;
Que el artículo 334 ibídem consagra que la dirección general de la economía estará a cargo del Estado, el cual intervendrá por mandato de la ley entre otras actividades, en los servicios públicos y privados, para racionalizar la economía con el fin de conseguir el mejoramiento de la calidad de vida de los habitantes, la distribución equitativa de las oportunidades y los beneficios del desarrollo y la preservación de un ambiente sano;
Que, por su parte, el artículo 365 ibídem prevé que los servicios públicos son inherentes a la finalidad social del Estado y que es deber del mismo asegurar su prestación eficiente a todos los habitantes del territorio nacional;
Que el artículo 367 ídem determina que la ley fijará las competencias relativas a la prestación de los servicios públicos domiciliarios, su cobertura, calidad y financiación, el régimen tarifario y las entidades competentes para fijar las tarifas;
Que el artículo 370 de la Constitución Política prevé que corresponde al Presidente de la República señalar, con sujeción a la ley, las políticas generales de administración y control de eficiencia de los servicios públicos domiciliarios;
Que el artículo 68 de la Ley 142 de 1994, establece que el señalamiento de esas políticas se podrá delegar en las Comisiones de Regulación;
Que el Presidente de la República, mediante Decreto número 1524 de 1994, delegó las funciones presidenciales de señalar políticas generales de administración y control de eficiencia en los servicios públicos domiciliarios en las Comisiones de Regulación;
Que el artículo 3o de la Ley 142 de 1994 señala que constituyen instrumentos para la intervención estatal en los servicios públicos, todas las atribuciones y funciones asignadas a las entidades, autoridades y organismos de que trata dicha ley, entre otras, especialmente las relativas a la definición del régimen tarifario y a la protección de los recursos naturales;
Que de conformidad con el artículo 73 de la Ley 142 de 1994 “Las comisiones de regulación tienen la función de regular los monopolios en la prestación de los servicios públicos, cuando la competencia no sea, de hecho, posible; y, en los demás casos, la de promover la competencia entre quienes presten servicios públicos, para que las operaciones de los monopolistas o de los competidores sean económicamente eficientes, no impliquen abuso de la posición dominante, y produzcan servicios de calidad. Para ello, tendrán las siguientes funciones y facultades especiales: (...)”;
Que de acuerdo con el numeral 73.11 del artículo 73 ibídem, es función de las comisiones de regulación: “(...) Establecer fórmulas para la fijación de las tarifas de los servicios públicos, cuando ello corresponda según lo previsto en el artículo 88; y señalar cuando hay suficiente competencia como para que la fijación de las tarifas sea libre”;
Que el artículo 164 de la Ley 142 de 1994 señala, sobre incorporación de costos especiales que: “Con el fin de garantizar el adecuado ordenamiento y protección de las cuencas y fuentes de agua, las fórmulas tarifarias de los servicios de acueducto y alcantarillado incorporarán elementos que garanticen el cubrimiento de los costos de protección de las fuentes de agua y la recolección, transporte y tratamiento de los residuos líquidos. (…) Las empresas de servicios del sector de agua potable y saneamiento básico pagarán las tasas a que haya lugar por el uso de agua y por el vertimiento de efluentes líquidos, que fije la autoridad competente de acuerdo con la ley”;
Que el Capítulo 5 del Título 1 de la Parte 3 del Libro 2 del Decreto número 1077 de 2015(2), adicionado por el Decreto número 1207 de 2018, reglamentó el artículo 164 de la Ley 142 de 1994, con el objeto de: “(…) Establecer el mecanismo para la inclusión de costos adicionales a los establecidos por las normas ambientales, destinados a garantizar la adecuada protección de las cuencas y fuentes de agua, por parte de las personas prestadoras de los servicios públicos de acueducto y alcantarillado”;
Que el parágrafo 1 del artículo 2.3.1.5.3. ibídem, dispuso que el Ministerio de Vivienda, Ciudad y Territorio señalará a través de acto administrativo de carácter general, las inversiones que permitan reconocer los costos de protección de las cuencas y fuentes de agua, y determinó que los costos así reconocidos deberán estar articulados con los instrumentos de planificación ambiental del recurso hídrico;
Que el artículo 2.3.1.5.4 del citado decreto, dispuso que “(…) Los costos encaminados a garantizar la adecuada protección de las cuencas y fuentes de agua, serán incorporados en las tarifas de los servicios públicos domiciliarios de acueducto y alcantarillado, siguiendo los criterios definidos por la Comisión de Regulación de Agua Potable y Saneamiento Básico (…)”;
Que el parágrafo 2 del artículo citado señaló que una vez expedida la regulación necesaria para incorporar los costos de las inversiones ambientales, por parte de la Comisión de Regulación de Agua Potable y Saneamiento Básico (CRA), la Superintendencia de Servicios Públicos Domiciliarios, definirá el mecanismo de inspección, vigilancia y control;
Que mediante la Resolución número 0874 de 8 de noviembre de 2018, el Ministerio de Vivienda, Ciudad y Territorio definió las inversiones ambientales adicionales que se podrán incluir en las tarifas de los servicios públicos domiciliarios de acueducto y alcantarillado, para garantizar la adecuada protección de las cuencas y fuentes de agua, señalando en el artículo 3o las siguientes: a) compra y aislamiento de predios; b) proyectos para la recarga de acuíferos; c) restauración; d) protección y recuperación de rondas de cuencas y fuentes abastecedoras de agua; e) monitoreo del recurso hídrico; y f) pagos por servicios ambientales de regulación y calidad hídrica;
Que el mismo artículo dispone que los costos relacionados con las inversiones ambientales definidas en la Resolución número 0874 de 2018, deberán estar articulados con los instrumentos de planificación ambiental del recurso hídrico;
Que los instrumentos para la planificación, ordenación y manejo de las cuencas hidrográficas y acuíferos se encuentran establecidos en el artículo 2.2.3.1.1.5.3 del Decreto número 1076 de 2015;
Que el parágrafo 1 del artículo 3o de la Resolución número 0874 de 2018 dispuso que “Para la compra de predios se seguirá lo previsto en las Leyes 56 de 1981(4), 99 de 1993(5) y 388 de 1997(6), según sea el caso”;
Que, a su vez, el parágrafo 2 del mismo artículo indicó que las acciones de restauración se realizarán teniendo en cuenta lo establecido en el Plan Nacional de Restauración, Restauración Ecológica, Rehabilitación y Recuperación de Áreas Disturbadas;
Que el parágrafo 3 ibídem, señaló que las acciones de monitoreo del recurso hídrico serán armonizadas con el Instituto de Hidrología, Meteorología y Estudios Ambientales (Ideam), en el marco de la Guía de Monitoreo de Recurso Hídrico;
Que, el parágrafo 4 ídem, precisó que los pagos por servicios ambientales se incorporarán teniendo como base lo dispuesto en el Decreto número 1007 de 2018, por el cual se modifica el Capítulo 8 del Título 9 de la Parte 2 del Libro 2 del Decreto número 1076 de 2015;
Que el artículo 4o de la Resolución número 0874 de 2018 señala que la Comisión de Regulación de Agua Potable y Saneamiento Básico, expedirá la regulación necesaria para incorporar los costos encaminados a garantizar la adecuada protección de las cuencas y fuentes de agua y para establecer que los conceptos de inversiones ambientales y de pago por servicios ambientales sean señalados en la factura de los servicios públicos domiciliarios de acueducto y alcantarillado;
Que el parágrafo 1 del artículo 4o de la citada resolución, dispuso que los costos relacionados con las inversiones ambientales no reemplazan los costos generados por las tasas ambientales, que se reconocen en la metodología tarifaria de los servicios públicos domiciliarios de acueducto y alcantarillado;
Que el Decreto número 1077 de 2015, adicionado por el Decreto número 1207 de 2018, sobre las inversiones ambientales, en el artículo 2.3.1.5.3 dispone “Para los efectos del presente capítulo se permitirá reconocer los costos de protección de las fuentes de agua tendientes a garantizar la adecuada protección de las cuencas y fuentes de agua”;
Que la Resolución número 0874 de 2018 en el artículo 1o señala “la presente resolución tiene por objeto establecer el mecanismo para la inclusión de las inversiones ambientales, destinadas a garantizar la adecuada protección de las cuencas y fuentes de agua, que se podrán realizar en las tarifas (…)”;
Que como se expresó anteriormente, estas inversiones ambientales deben efectuarse de manera articulada con los instrumentos de planificación ambiental; en tal sentido, se deben realizar dentro de la zonificación ambiental identificada, delimitada y priorizada en estos instrumentos;
Que el artículo 2.2.2.1.6.5 del Decreto número 1076 de 2015, determina que “Cada una de las áreas protegidas que integran el Sinap contará con un plan de manejo que será el principal instrumento de planificación que orienta su gestión de conservación para un periodo de cinco (5) años de manera que se evidencien resultados frente al logro de los objetivos de conservación que motivaron su designación y su contribución al desarrollo del Sinap”;
Que de conformidad con el artículo 2.2.2.1.3.3. ibídem las áreas protegidas que hacen parte del Sinap deben estar registradas en el Registro Único Nacional de Áreas Protegidas (Runap), en dicho sentido señala la norma que “Recibida la información relacionada en el artículo anterior, el coordinador del Sinap deberá proceder a contrastar la correspondencia de las áreas remitidas, con la regulación aplicable a cada categoría, después de lo cual podrá proceder a su registro como áreas protegidas integrantes del Sinap”;
Que la Resolución número 097 de 2017(7) en su artículo 1o dispuso “Créase el Registro Único de Ecosistemas y Áreas Ambientales (REAA), como una herramienta informativa, dinámica cuyo objetivo es identificar y priorizar ecosistemas y áreas ambientales del territorio nacional, en las que se podrán implementar Pagos por Servicios Ambientales (PSA) y otros incentivos a la conservación, que no se encuentren registradas en el Registro Único Nacional de Áreas Protegidas (Runap)”;
Que con base en las disposiciones contenidas en el Decreto número 1077 de 2015, el Documento CONPES 3816 de 2014 “Mejora Normativa: Análisis de Impacto” y en desarrollo de la Agenda Regulatoria Indicativa 2018-2019, la Comisión de Regulación de Agua Potable y Saneamiento Básico (CRA) llevó a cabo el Análisis de Impacto Normativo (AIN) del proyecto “Medidas regulatorias asociadas a inversiones ambientales que puedan ser incluidas en tarifas”;
Que, en este marco, se realizó el diagnóstico sobre la prestación del servicio público domiciliario de acueducto y la gestión del recurso hídrico en Colombia, en el contexto de la infraestructura verde, con énfasis en las inversiones ambientales que han realizado algunos prestadores y el uso del agua para consumo humano y doméstico;
Que, el diagnóstico permitió identificar que, para el caso del servicio de alcantarillado, las inversiones ambientales a cargo del prestador se circunscriben a cumplir los objetivos de calidad fijados por la autoridad ambiental competente en el punto de vertimiento, para lo cual formula e implementa proyectos relacionados con la dimensión de calidad para el servicio público domiciliario de alcantarillado en cumplimiento del Plan de Saneamiento y Manejo de Vertimientos;
Que, el mismo diagnóstico condujo a establecer que la persona prestadora del servicio público domiciliario de acueducto puede incluir en la tarifa inversiones ambientales con la finalidad de proteger las cuencas y fuentes de agua, las cuales pueden ser de carácter: i) obligatorio, cuando están incluidas en los planes, concesiones, permisos, tasas o licencias ambientales o por efecto de mandatos judiciales, u ii) optativas y adicionales a las establecidas en las normas ambientales;
Que el parágrafo 6 del artículo 45 de la Resolución CRA 688 de 2014 dispone que “Solo se permitirá la recuperación de las inversiones ambientales en los casos que determine la ley, esto es, en aquellos casos que sea responsabilidad de la persona prestadora de los servicios públicos domiciliarios de acueducto y alcantarillado y que no corresponda a la competencia de otra entidad. De igual forma, se permitirá la recuperación de las inversiones que sean responsabilidad de la persona prestadora por decisiones o mandatos de las autoridades judiciales”;
Que el parágrafo 4 del artículo 22 de la Resolución CRA 825 de 2017 dispone que “Solo se permitirá la inclusión de aquellas que determine la ley, esto es, las que sea responsabilidad de la persona prestadora de los servicios públicos domiciliarios de acueducto y alcantarillado y que no corresponda a la competencia de otra entidad. De igual forma, se permitirá la recuperación de las inversiones que sean responsabilidad de la persona prestadora por decisiones o mandatos de las autoridades judiciales”;
Que las inversiones ambientales adicionales y optativas a las establecidas en las normas ambientales, de que trata el artículo 3o de la Resolución número 0874 de 2018, no se encuentran incluidas en las fórmulas tarifarias para el servicio público domiciliario de acueducto;
Que durante el desarrollo del AIN y atendiendo a la “Guía Metodológica de Análisis de Impacto Normativo” del Departamento Nacional de Planeación (DNP), se adelantaron dos procesos de consulta con grupos de interés en cinco eventos presenciales en la ciudad de Bogotá, D. C. y se recibieron 344 observaciones, de las cuales el 60% corresponde a propuestas y el 40% a comentarios;
Que con fundamento en los resultados del AIN y las disposiciones contenidas en i) La “Política de crecimiento verde” definidas en el documento CONPES 3934 de 2018, y ii) los mandatos legales y reglamentarios contenidos en la Ley 142 de 1994, en el Decreto número 1207 y la Resolución número 0874 de 2018, se concluyó que la mejor alternativa regulatoria corresponde a “Regular únicamente las inversiones ambientales adicionales de que trata la Resolución número 0874 de 2018”, para lo cual, se requiere modificar y adicionar los marcos tarifarios vigentes contenidos en las Resoluciones CRA 688 de 2014 y 825 de 2017;
Que, en mérito de lo expuesto,
RESUELVE:
ARTÍCULO 1o. Adicionar el Capítulo IV-A al Título IV de la Resolución CRA 688 de 2014, el cual quedará así:
“CAPÍTULO IV-A
De los costos medios generados por inversiones ambientales adicionales para la protección de cuencas y fuentes de agua
Artículo 55.A. Periodo de aplicación de las inversiones ambientales adicionales para la protección de cuencas y fuentes de agua. Las personas prestadoras que decidan aplicar las inversiones ambientales adicionales para la protección de cuencas y fuentes de agua, deberán incluir en la tarifa del servicio público domiciliario de acueducto el costo al que hace referencia el presente Capítulo, desde el primero (1) de julio de 2020 (año tarifario i=5).
PARÁGRAFO. En todo caso, cuando se opte por la inclusión en la tarifa de los costos a los que hace referencia el presente Capítulo, las personas prestadoras deberán dar cumplimiento de las disposiciones contenidas en la Sección 5.1.1 de la Resolución CRA 151 de 2001, o la norma que la adicione, modifique o derogue.
Artículo 55.B. Costo Medio de Administración por Inversiones Ambientales Adicionales para la Protección de Cuencas y Fuentes de Agua para el año i (CMAPi,ac). El costo medio de administración por inversiones ambientales adicionales para la protección de cuencas y fuentes de agua para el año se calcula e incluye en la tarifa del servicio público domiciliario de acueducto con la siguiente fórmula:

Donde:
CMAPi,ac: Costo medio de administración por inversiones ambientales adicionales para la protección de cuencas y fuentes de agua para el año i del servicio público domiciliario de acueducto, expresado en pesos de diciembre del año base ($/suscriptor/ mes).
CAPi–1,ac: Costos de administración por inversiones ambientales adicionales para la protección de cuencas y fuentes de agua para el servicio público domiciliario de acueducto causados en el año tarifario i-1.
Ni–1,ac: Número de suscriptores promedio proyectados en el año tarifario i-1, para el servicio público domiciliario de acueducto de acuerdo con el Artículo 10 y 55.A. de la presente resolución.
i: Año tarifario de conformidad con lo establecido en el Artículo 55.A de la presente resolución.
PARÁGRAFO 1o. El CAPi–1,ac incluirá los gastos de comercialización relacionados con los ajustes del software de facturación para la implementación de las inversiones ambientales adicionales, así como los gastos relacionados con peticiones, quejas y recursos, capacitación y socialización.
PARÁGRAFO 2o. En ningún caso deberán incluirse en el CMAPi,ac costos ya reconocidos en el CMA, CMO, CMI establecidos en el Título IV de la presente resolución.
PARÁGRAFO 3o. Los soportes de los costos de administración por inversiones ambientales adicionales para la protección de cuencas y fuentes de agua deberán estar a disposición de la Superintendencia de Servicios Públicos Domiciliarios (SSPD).
Artículo 55.C. Costo Medio Variable por Inversiones Ambientales Adicionales para la Protección de Cuencas y Fuentes de Agua para el año i (CMAPi,ac). El costo medio variable por inversiones ambientales adicionales para la protección de cuencas y fuentes de agua para el año i, para el servicio público domiciliario de acueducto, se calcula e incluye en la tarifa del servicio público domiciliario de acueducto con la siguiente fórmula:
![]()
CMPi,ac: Costo medio variable por inversiones ambientales adicionales para la protección de cuencas y fuentes de agua para el año i, expresado en pesos de diciembre del año base/m3, para el servicio público domiciliario de acueducto.
CMOPi,ac: Costo medio de operación por inversiones ambientales adicionales para la protección de cuencas y fuentes de agua para el año i, expresado en pesos de diciembre del año base/m3, para el servicio público domiciliario de acueducto.
CMIPi,ac: Costo medio de inversión por inversiones ambientales adicionales para la protección de cuencas y fuentes de agua para el año i, expresado en pesos de diciembre del año base/m3, para el servicio público domiciliario de acueducto.
i: Año tarifario de conformidad con lo establecido en el Artículo 55.A de la presente resolución.
PARÁGRAFO. En ningún caso deberán incluirse en el CMPi,ac costos ya reconocidos en el CMA, CMO y CMI establecidos en el Título IV de la presente resolución.
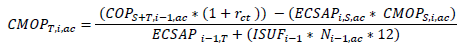
Artículo 55.D. Costo Medio de Operación por Inversiones Ambientales Adicionales para la Protección de Cuencas y Fuentes de Agua para el año i (CMOPi,ac). El costo medio de operación por inversiones ambientales adicionales para la protección de cuencas y fuentes de agua para el año i, para el servicio público domiciliario de acueducto, se calcula e incluye en la tarifa del servicio público domiciliario de acueducto con la siguiente fórmula:
![]()
CMOPi,ac: Costo medio de operación por inversiones ambientales adicionales para la protección de cuencas y fuentes de agua para el año i, expresado en pesos de diciembre del año base/m3.
COPi–1,ac: Costos operativos por inversiones ambientales adicionales para la protección de cuencas y fuentes de agua para el año i-1, relacionados con: servicios personales, agroinsumos, mantenimiento de equipos y herramientas, honorarios, servicios públicos, órdenes y contratos por servicios y estudios.
rct: Tasa de capital de trabajo establecida en el Artículo 21 de la presente resolución.
CCPi–1,ac: Consumo corregido por pérdidas para el año i-1, de conformidad con el Artículo 19 y 55.A. de la presente resolución, para el servicio público domiciliario de acueducto (m3/año).
i: Año tarifario de conformidad con lo establecido en el Artículo 55.A de la presente resolución.
PARÁGRAFO 1o. Para estimar el valor del COPi,ac para el primer año tarifario de aplicación (i=5), las personas prestadoras del servicio público domiciliario de acueducto proyectarán los costos con los soportes que consideren pertinentes, los cuales deberán quedar a disposición de la Superintendencia de Servicios Públicos Domiciliarios (SSPD).
Para los años tarifarios posteriores, deberá calcular e incluir en la tarifa del servicio público domiciliario de acueducto el valor del COPi,ac con la información del año i-1.
PARÁGRAFO 2o. En ningún caso deberán incluirse en el CMOPi,ac costos ya reconocidos en el CMA, CMO, CMI establecidos en el Título IV de la presente resolución.
Artículo 55.E. Costo Medio de Inversión por Inversiones Ambientales Adicionales para la Protección de Cuencas y Fuentes de Agua para el año i (CMIPi,ac). El costo medio de inversión por inversiones ambientales adicionales para la protección de cuencas y fuentes de agua para el año se calcula e incluye en la tarifa del servicio público domiciliario de acueducto de acuerdo con la siguiente fórmula:

Donde:
CMIPi,ac:Costo medio de inversión por inversiones ambientales adicionales para la protección de cuencas y fuentes de agua para el año i, expresado en pesos de diciembre del año base/m3, para el servicio público domiciliario de acueducto.
CIPi–1,v,ac:Costo del activo v en el año i-1, para el servicio público domiciliario de acueducto de acuerdo con el Artículo 55.F. de la presente resolución (pesos de diciembre del año base).
CCPi–1,ac: Consumo corregido por pérdidas proyectado para el año i-1, de conformidad con el Artículo 19 y 55.A. de la presente resolución, para el servicio público domiciliario de acueducto (m3/año).
v: Cada uno de los activos de las inversiones ambientales adicionales para la protección de cuencas y fuentes de agua.
i: Año tarifario de conformidad con lo establecido en el Artículo 55.A de la presente resolución.
PARÁGRAFO. Para estimar el valor de CIPi,ac para el primer año tarifario de aplicación (i=5), se reconocerán los costos de los activos de las inversiones ambientales adicionales para la protección de cuencas y fuentes de agua del cuarto (4) año tarifario (i=4), a partir del primero (1) de enero de 2020.
Para años tarifarios posteriores, se reconocerá el costo de los activos de las inversiones ambientales adicionales para la protección de cuencas y fuentes de agua en el año i-1.
Artículo 55.F. Costo de Inversiones Ambientales Adicionales para la Protección de Cuencas y Fuentes de Agua del activo v en el año i-1 (CIPi–1,v,ac). El costo de inversiones ambientales adicionales para la protección de cuencas y fuentes de agua del activo v en el año i-1, para el servicio público domiciliario de acueducto, se calcula e incluye en la tarifa del servicio público domiciliario de acueducto de acuerdo con la siguiente fórmula:
![]()
Donde:
CIPi–1,v,ac: Costo de inversiones ambientales adicionales para la protección de cuencas y fuentes de agua del activo v en el año i-1 (pesos de diciembre del año base) del servicio público domiciliario de acueducto.
dpci–1,v,ac: Depreciación anual del activo v para el año i-1 (pesos de diciembre del año base), estimado con el método de depreciación lineal, la cual se calculará con la siguiente fórmula:

Donde:
VAPv,ac: Valor del activo v al momento de su inclusión en el CIPi–1,v,ac para el servicio público domiciliario de acueducto (en pesos de diciembre del año base).
VUPv,ac: Vida útil regulada en años del activo v para el servicio público domiciliario de acueducto definida de acuerdo con lo establecido en el Artículo 55.G. de la presente resolución.
v: Cada uno de los activos de las inversiones ambientales adicionales para la protección de cuencas y fuentes de agua.
r: Tasa de descuento según lo establecido en el Artículo 20 de la presente resolución.
i: Año tarifario de conformidad con lo establecido en el Artículo 55.A de la presente resolución.
PARÁGRAFO 1o. En los terrenos únicamente se reconocerá la rentabilidad sobre el valor de adquisición sin incluir valorizaciones.
PARÁGRAFO 2o. Los activos de las inversiones ambientales adicionales para la protección de cuencas y fuentes de agua incluidos en el VAPv,ac, serán clasificados de acuerdo con la agrupación definida en el Artículo 55.G de la presente resolución.
PARÁGRAFO 3o. Los soportes de las inversiones ambientales adicionales para la protección de cuencas y fuentes de agua, deberán quedar a disposición de la Superintendencia de Servicios Públicos Domiciliarios (SSPD).
Artículo 55.G. Clasificación de activos por tipo de inversión ambiental adicional y asignación de su vida útil regulada. Los activos de las inversiones ambientales adicionales para la protección de cuencas y fuentes de agua corresponden a los descritos en la siguiente tabla y tendrán la siguiente vida útil regulada.

PARÁGRAFO. En caso de que la persona prestadora incluya activos relacionados con las inversiones ambientales adicionales para la protección de cuencas y fuentes de agua de que trata el artículo 3o de la Resolución número 0874 de 2018, diferentes a los señalados en la tabla anterior, deberá contar con los soportes correspondientes para su inclusión.
Las vidas útiles de dichos activos deberán estar debidamente soportadas por lo menos con tres (3) cotizaciones de proveedores o por la vida útil definida para efectos contables. En el evento en que para un mismo activo exista una vida útil diferente por cada proveedor, se deberá escoger la de mayor plazo.
Los anteriores soportes deberán estar a disposición de la Superintendencia de Servicios Públicos Domiciliarios (SSPD) y ser informados a la Comisión de Regulación de Agua Potable y Saneamiento Básico.
Artículo 55.H. Criterios de inclusión de las inversiones ambientales adicionales para la protección de cuencas y fuentes de agua. Las personas prestadoras del servicio público domiciliario de acueducto que decidan incorporar los costos de las inversiones ambientales adicionales para la protección de cuencas y fuentes de agua, de que trata el presente Capítulo, deberán cumplir con los siguientes requisitos:
1. Identificar las áreas de intervención de las inversiones ambientales adicionales para la protección de cuencas y fuentes de agua requeridas, dependiendo del servicio hidrológico a intervenir en la cuenca hidrográfica aferente a los puntos de captación del sistema de acueducto.
2. Disponer de elementos e infraestructura para realizar la medición del volumen de agua captada en la bocatoma, de conformidad con el parágrafo 4 del Artículo 54 de la presente resolución.
3. Las áreas objeto de intervención de las inversiones ambientales adicionales para la protección de cuencas y fuentes de agua deberán corresponder a áreas de importancia estratégica para la conservación de recursos hídricos que surten de agua a los acueductos municipales, distritales o regionales.
4. En ningún caso, deberán incluirse inversiones ambientales adicionales para la protección de cuencas y fuentes de agua que hayan sido contempladas en desarrollo de los parágrafos 6 y 7 del Artículo 45 de la presente resolución.
En todo caso, las inversiones ambientales adicionales para la protección de cuencas y fuentes de agua corresponden a las definidas en el artículo 3o de la Resolución número 0874 de 2018 o la norma que la modifique, adicione o sustituya.
PARÁGRAFO 1o. Para efectos del cumplimiento del criterio definido en el numeral 1 del presente artículo, se debe tener en cuenta información sobre el estado de los servicios hidrológicos y potenciales áreas de intervención asociadas con la conservación del recurso hídrico en la cuenca hidrográfica aferente a los puntos de captación del sistema de acueducto con el fin de establecer:
1. La línea base y tendencia de los servicios hidrológicos en la cuenca hidrográfica aferente a los puntos de captación del sistema de acueducto.
2. El servicio hidrológico de interés para mantener, mejorar o recuperar en la cuenca hidrográfica aferente a los puntos de captación del sistema de acueducto.
3. El impacto de las inversiones ambientales adicionales para la protección de cuencas y fuentes de agua en la cuenca hidrográfica aferente a los puntos de captación del sistema de acueducto, permitiendo simular varios escenarios de intervención.
4. Los objetivos para la protección de cuencas y fuentes de agua en la cuenca hidrográfica aferente a los puntos de captación del sistema de acueducto, y
5. El tipo de inversiones ambientales adicionales para la protección de cuencas y fuentes de agua requeridas dependiendo del servicio hidrológico a intervenir en la cuenca hidrográfica aferente a los puntos de captación del sistema de acueducto.
En todo caso, podrá utilizarse la información hidrológica o hidrogeológica contenida en los instrumentos de planificación ambiental del recurso hídrico y otras iniciativas de conservación de áreas de importancia estratégica para la conservación de recursos hídricos.
PARÁGRAFO 2o. Las inversiones ambientales adicionales para la protección de cuencas y fuentes de agua de que trata el presente Capítulo son optativas.
PARÁGRAFO 3o. Las inversiones ambientales adicionales para la protección de cuencas y fuentes de agua deben estar asociadas a los servicios hidrológicos de regulación del ciclo hidrológico y/o rendimiento hídrico.
Artículo 55.I. Indicadores de seguimiento. Las personas prestadoras del servicio público domiciliario de acueducto que decidan incluir los costos de las inversiones ambientales adicionales para la protección de cuencas y fuentes de agua, deberán reportar anualmente los siguientes indicadores:
| Inversión ambiental adicional para la protección de cuencas y fuentes de agua | Indicador |
| Compra y aislamiento de predios | Hectáreas adquiridas y/o aisladas por año |
| Proyectos para la recarga de acuíferos | Hectáreas de zona de recarga de acuíferos intervenidas por año |
| Restauración | Hectáreas restauradas por año |
| Protección y recuperación de rondas de cuencas y fuentes abastecedoras de agua | Hectáreas de rondas de cuencas y fuentes abastecedoras de agua intervenidas por año |
| Monitoreo del recurso hídrico | Estaciones de monitoreo implementadas por año Campañas de monitoreo por año |
| Pagos por servicios ambientales de regulación y calidad hídrica | Hectáreas intervenidas por proyectos de pago por servicios ambientales de regulación y calidad hídrica, por año. |
Los indicadores de que trata el presente artículo deberán ser reportados a la Superintendencia de Servicios Públicos Domiciliarios (SSPD) en las condiciones y plazos que la misma defina.
Artículo 55.J. Aportes bajo condición. Si durante el período tarifario las personas prestadoras del servicio público domiciliario de acueducto reciben aportes bajo condición de los que trata el artículo 87.9 de la Ley 142 de 1994, modificado por el artículo 99 de la Ley 1450 de 2011, solo podrá incluir los costos de operación asociados en el CMOPi,ac de que trata el Artículo 55.D de la presente resolución”.
ARTÍCULO 2o. Modificar el artículo 60 de la Resolución CRA 688 de 2014, el cual quedará así:
“Artículo 60. Costo hasta el subsistema de suministro de agua potable del sistema de acueducto (CSs,ac). El costo hasta el subsistema de suministro se determina de acuerdo con la siguiente fórmula:
![]()
CSs,ac: Costo hasta el subsistema de suministro de agua potable (pesos de diciembre del año base/m3) del sistema de acueducto.
CMOs,ac:Costo medio de operación hasta el subsistema de suministro de agua potable (pesos de diciembre del año base/m3) del sistema de acueducto, según lo definido en el Artículo 61 de la presente resolución.
CMIs,ac: Costo medio de inversión hasta el subsistema de suministro de agua potable (pesos de diciembre del año base/m3) del sistema de acueducto, según lo definido en el Artículo 62 de la presente resolución.
CMTs,ac: Costo medio generado de tasas ambientales hasta el subsistema de suministro de agua potable (pesos de diciembre del año base/m3) del sistema de acueducto, según lo definido en el Artículo 63 de la presente resolución.
CMOPs,i,ac: Costo medio de operación por inversiones ambientales adicionales para la protección de cuencas y fuentes de agua para el año i, hasta el subsistema de suministro de agua potable, expresado en pesos de diciembre del año base/m3, según lo definido en el Artículo 61.A de la presente resolución.
CMIPs,i,ac: Costo medio de inversión ambiental adicional para la protección de cuencas y fuentes de agua para el año i, hasta el subsistema de suministro de agua potable, expresado en pesos de diciembre del año base/m3, para el servicio público domiciliario de acueducto, según lo definido en el Artículo 62.A de la presente resolución.
PARÁGRAFO. El costo del subsistema de suministro de agua potable corresponde al costo de las actividades del subsistema de producción y de las entradas por contratos de suministro de agua potable”.
ARTÍCULO 3o. Adicionar el artículo 61.A. a la Resolución CRA 688 de 2014, el cual quedará así:
“Artículo 61.A. Costo Medio de Operación por Inversiones Ambientales Adicionales para la Protección de Cuencas y Fuentes de Agua, hasta el subsistema de suministro de agua potable para el año i (CMOPs,i,ac). El Costo Medio de Operación por Inversiones Ambientales Adicionales para la Protección de Cuencas y Fuentes de Agua, para el año i, hasta el subsistema de suministro de agua potable se determina de acuerdo con la siguiente fórmula:
![]()
CMOPs,i,ac:Costo medio de operación por inversiones ambientales adicionales para la protección de cuencas y fuentes de agua para el año i, hasta el subsistema de suministro de agua potable, expresado en pesos de diciembre del año base/m3.
COPs,i–1,ac:Costos operativos asociados al subsistema de suministro por inversiones ambientales adicionales para la protección de cuencas y fuentes de agua para el año i-1 a la inclusión de este costo. Incluye los costos de operación del subsistema de producción y las entradas por suministro de agua potable.
ECSAPi–1,s+T: Volumen entregado por contratos de suministro y/o interconexión de agua potable en el año i-1 de los subsistemas de suministro y transporte (m3/año).
ISUFi–1: Índice de agua suministrada por suscriptor facturado en el año i-1 (m3/ suscriptor/mes), según lo definido en el Artículo 14 de la presente resolución.
Ni–1,ac: Número de suscriptores promedio por facturar en el año i-1 para el servicio público domiciliario de acueducto, según lo definido en el Artículo 10 de la presente resolución.
rct: Tasa de capital de trabajo establecida en el Artículo 21 de la presente resolución.
i: Año tarifario de conformidad con lo establecido en el Artículo 55.A de la presente resolución.
ARTÍCULO 4o. Adicionar el artículo 62.A. a la Resolución CRA 688 de 2014, el cual quedará así:
“Artículo 62.A. Costo Medio de Inversión Ambiental Adicional para la Protección de Cuencas y Fuentes de Agua para el año i, hasta el subsistema de suministro de agua potable (CMIPs,i,ac). El costo medio de inversión ambiental adicional para la protección de cuencas y fuentes de agua, para el año i hasta el subsistema de suministro de agua potable, se determina de acuerdo con la siguiente fórmula:
![]()
Donde:
CMIPs,i,ac: Costo medio de inversión ambiental adicional para la protección de cuencas y fuentes de agua para el año i, hasta el subsistema de suministro de agua potable, expresado en pesos de diciembre del año base/m3, para el servicio público domiciliario de acueducto.
CIPs,i–1,v,ac: Costo del activo v para el subsistema de suministro de agua potable en el año i-1 (pesos de diciembre del año base) del servicio público domiciliario de acueducto. Incluye los costos de inversión ambiental adicional para la protección de cuencas y fuentes de agua del activo v del subsistema de producción y las entradas por suministro de agua potable.
ECSAPi–1,s+T: Volumen entregado por contratos de suministro y/o interconexión de agua potable en el año i-1 de los subsistemas de suministro y transporte (m3/año).
ISUFi–1: Índice de agua suministrada por suscriptor facturado en el año i-1 (m3/ suscriptor/mes), según lo definido en el Artículo 14 de la presente resolución.
Ni–1,ac: Número de suscriptores promedio por facturar en el año i-1 para el servicio público domiciliario de acueducto, según lo definido en el Artículo 10 de la presente resolución.
i: Año tarifario de conformidad con lo establecido en el Artículo 55.A de la presente resolución.
ARTÍCULO 5o. Modificar el artículo 64 de la Resolución CRA 688 de 2014, el cual quedará así:
“Artículo 64. Costo hasta el subsistema de transporte de agua potable del sistema de acueducto (CST,ac). El costo hasta el subsistema de transporte se determina de acuerdo con la siguiente fórmula:
![]()
Donde:
CST,ac:Costo hasta el subsistema de transporte de agua potable (pesos de diciembre del año base /m3) del sistema de acueducto.
CMOT,ac:Costo medio de operación hasta el subsistema de transporte de agua potable (pesos de diciembre del año base /m3) del sistema de acueducto, según lo definido en el Artículo 65 de la presente resolución.
CMIT,ac: Costo medio de inversión hasta el subsistema de transporte de agua potable (pesos de diciembre del año base /m3) del sistema de acueducto, según lo definido en el Artículo 66 de la presente resolución.
CMTT,ac: Costo medio generado de tasas ambientales hasta el subsistema de transporte de agua potable (pesos de diciembre del año base/m3) del sistema de acueducto, según lo definido en el Artículo 67 de la presente resolución.
CMOPT,i,ac: Costo medio de operación por inversiones ambientales adicionales para la protección de cuencas y fuentes de agua para el año i, hasta el subsistema de transporte de agua potable, expresado en pesos de diciembre del año base/m3, según lo definido en el Artículo 65.A de la presente resolución
CMIPT,i,ac: Costo medio de inversión ambiental adicional para la protección de cuencas y fuentes de agua para el año i, hasta el subsistema de transporte de agua potable, expresado en pesos de diciembre del año base/m3, para el servicio público domiciliario de acueducto, según lo definido en el Artículo 66.A de la presente resolución.
PARÁGRAFO. El costo hasta el subsistema de transporte de agua potable corresponde al costo de las actividades del subsistema de producción, las entradas por contratos de suministro de agua potable y las actividades del subsistema de transporte.”
ARTÍCULO 6o. Adicionar el artículo 65.A. a la Resolución CRA 688 de 2014, el cual quedará así:
“Artículo 65.A. Costo Medio de Operación por Inversiones Ambientales Adicionales para la Protección de Cuencas y Fuentes de Agua, hasta el subsistema de transporte de agua potable para el año i (CMOPT,i,ac). El costo medio de operación hasta el subsistema de transporte se determina de acuerdo con la siguiente fórmula:
![]()
Donde:
CMOPT,i,ac: Costo medio de operación por inversiones ambientales adicionales para la protección de cuencas y fuentes de agua para el año i, hasta el subsistema de transporte de agua potable, expresado en pesos de diciembre del año base/m3.
COPS+T,i–1,ac:Costos operativos asociados al subsistema de suministro y transporte por inversiones ambientales adicionales para la protección de cuencas y fuentes de agua para el año i-1 a la inclusión de este costo.
ECSAPi,S,ac: Volumen entregado por contratos de suministro y/o interconexión de agua potable en el año i de los subsistemas de suministro (m3/año).
CMOPS,i,ac: Costo medio de operación por inversiones ambientales adicionales para la protección de cuencas y fuentes de agua para el año i, hasta el subsistema de suministro de agua potable, expresado en pesos de diciembre del año base/m3.
ECSAPi–1,T: Volumen entregado por contratos de suministro y/o interconexión de agua potable en el año i-1 de los subsistemas de transporte (m3/año).
ISUFi–1: Índice de agua suministrada por suscriptor facturado en el año i-1 (m3/ suscriptor/mes), según lo definido en el Artículo 14 de la presente resolución.
Ni–1,ac: Número de suscriptores promedio por facturar en el año i-1 para el servicio público domiciliario de acueducto, según lo definido en el Artículo 10 de la presente resolución.
rct: Tasa de capital de trabajo establecida en el Artículo 21 de la presente resolución.
i: Año tarifario de conformidad con lo establecido en el Artículo 55.A de la presente resolución”.
ARTÍCULO 7o. Adicionar el artículo 66.A. a la Resolución CRA 688 de 2014, el cual quedará así:
“Artículo 66.A. Costo Medio de Inversión Ambiental Adicional para la Protección de Cuencas y Fuentes de Agua, hasta el subsistema de transporte de agua potable del sistema de acueducto para el año i (CMIPT,i,ac). El costo medio de inversión hasta el subsistema de transporte se determina de acuerdo con la siguiente fórmula:

Donde:
CMIPT,i,ac: Costo medio de inversión ambiental adicional para la protección de cuencas y fuentes de agua para el año i, hasta el subsistema de transporte de agua potable, expresado en pesos de diciembre del año base/m3, para el servicio público domiciliario de acueducto.
CIPS+T,i–1,v,ac: Costo del activo v para el subsistema de suministro y transporte de agua potable en el año i-1 (pesos de diciembre del año base) del servicio público domiciliario de acueducto. Incluye los costos de inversión ambiental adicional para la protección de cuencas y fuentes de agua del activo v del subsistema de producción y las entradas por suministro de agua potable.
ECSAPi,S: Volumen entregado por contratos de suministro y/o interconexión de agua potable en el año i de los subsistemas de suministro (m3/año).
CMIPS,i,ac: Costo medio de inversión ambiental adicional para la protección de cuencas y fuentes de agua para el año i, hasta el subsistema de suministro de agua potable, expresado en pesos de diciembre del año base/m3, para el servicio público domiciliario de acueducto.
ECSAPi–1,T: Volumen entregado por contratos de suministro y/o interconexión de agua potable en el año i-1 del subsistema de transporte (m3 /año).
ISUFi–1: Índice de agua suministrada por suscriptor facturado en el año i-1 (m3/ suscriptor/mes), según lo definido en el Artículo 14 de la presente resolución.
Ni–1,ac: Número de suscriptores promedio por facturar en el año i-1 para el servicio público domiciliario de acueducto, según lo definido en el Artículo 10 de la presente resolución.
i: Año tarifario de conformidad con lo establecido en el Artículo 55.A de la presente resolución.”
ARTÍCULO 8o. Modificar el artículo 68 de la Resolución CRA 688 de 2014, el cual quedará así:
“Artículo 68. Costo hasta el subsistema de distribución de agua potable del sistema de acueducto (CSD,ac). El costo hasta el subsistema de distribución se determina de acuerdo con la siguiente fórmula:
![]()
Donde:
CSD,ac: Costo hasta el subsistema de distribución de agua potable (pesos de diciembre del año base/m3) del sistema de acueducto.
CMOD,ac:Costo medio de operación hasta el subsistema de distribución de agua potable (pesos de diciembre del año base/m3) del sistema de acueducto, según lo definido en el artículo 69 de la presente resolución.
CMID,ac: Costo medio de inversión hasta el subsistema de distribución de agua potable (pesos de diciembre del año base/m3) del sistema de acueducto, según lo definido en el Artículo 70 de la presente resolución.
CMTD,ac:Costo medio generado de tasas ambientales hasta el subsistema de distribución de agua potable (pesos de diciembre del año base/m3) del sistema de acueducto, según lo definido en el Artículo 71 de la presente resolución.
CMOPD,i,ac: Costo Medio de Operación por Inversiones Ambientales Adicionales para la Protección de Cuencas y Fuentes de Agua, hasta el subsistema de distribución de agua potable para el año i, expresado en pesos de diciembre del año base/m3, para el servicio público domiciliario de acueducto, según lo definido en el Artículo 69.A. de la presente resolución.
CMIPD,i,ac: Costo Medio de Inversión Ambiental Adicional para la Protección de Cuencas y Fuentes de Agua, hasta el subsistema de distribución de agua potable para el año i-1, expresado en pesos de diciembre del año base/m3, para el servicio público domiciliario de acueducto, según lo definido en el Artículo 70.A de la presente resolución.
PARÁGRAFO. El costo hasta el subsistema de distribución de agua potable corresponde al costo de las actividades del subsistema de producción, las entradas por contratos de suministro de agua potable, las actividades del subsistema de transporte y las actividades del subsistema de distribución”.
ARTÍCULO 9o. Adicionar el artículo 69.A. a la Resolución CRA 688 de 2014, el cual quedará así:
“Artículo 69.A. Costo medio de operación por Inversiones Ambientales Adicionales para la Protección de Cuencas y Fuentes de Agua, hasta el subsistema de distribución de agua potable del sistema de acueducto para el año i (CMOPDi,ac). El costo medio de operación hasta el subsistema de distribución se determina de acuerdo con la siguiente fórmula:
![]()
Donde:
CMOPD,i,ac:Costo medio de operación por inversiones ambientales adicionales para la protección de cuencas y fuentes de agua para el año i, hasta el subsistema de distribución de agua potable, expresado en pesos de diciembre del año base/m3.
COPs+T+D,i–1,ac: Costos operativos asociados al subsistema de suministro, transporte y distribución por inversiones ambientales adicionales para la protección de cuencas y fuentes de agua para el año i-1 a la inclusión de este costo.
ECSAPs,i,ac: Volumen entregado por contratos de suministro y/o interconexión de agua potable en el año i del subsistema de suministro (m3/año).
CMOPs,i,ac: Costo medio de operación por Inversiones Ambientales Adicionales para la Protección de Cuencas y Fuentes de Agua, hasta el subsistema de suministro de agua potable (pesos de diciembre del año base/m3) del sistema de acueducto.
ECSAPT,i,ac: Volumen entregado por contratos de suministro y/o interconexión de agua potable en el año i del subsistema de transporte (m3 /año).
CMOPT,i,ac: Costo medio de operación por inversiones ambientales adicionales para la protección de cuencas y fuentes de agua para el año i, hasta el subsistema de transporte de agua potable, expresado en pesos de diciembre del año base/m3.
CCPi–1,ac: Consumo corregido por pérdidas en el año i-1 para el servicio público domiciliario de acueducto (m3/año), según lo definido en el Artículo 19 de la presente resolución.
rct: Tasa de capital de trabajo establecida en el Artículo 21 de la presente resolución.
i: Año tarifario de conformidad con lo establecido en el Artículo 55.A de la presente resolución”.
ARTÍCULO 10. Adicionar el artículo 70.A. a la Resolución CRA 688 de 2014, el cual quedará así:
“Artículo 70.A. Costo Medio de Inversión Ambiental Adicional para la Protección de Cuencas y Fuentes de Agua, hasta el subsistema de distribución de agua potable del sistema de acueducto para el año i (CMIPD,i,ac). El costo medio de inversión por Inversiones Ambientales Adicionales para la Protección de Cuencas y Fuentes de Agua, hasta el subsistema de distribución de agua potable se determina de acuerdo con la siguiente fórmula:
![]()
Donde:
CMIPD,i,ac: Costo medio de inversión ambiental adicional para la protección de cuencas y fuentes de agua para el año i, hasta el subsistema de distribución de agua potable, expresado en pesos de diciembre del año base/m3, para el servicio público domiciliario de acueducto.
CIPs+T+D,i–1,v,ac: Costo del activo v para el subsistema de suministro, transporte y distribución de agua potable en el año i-1 (pesos de diciembre del año base) del servicio público domiciliario de acueducto. Incluye los costos de inversión ambiental adicional para la protección de cuencas y fuentes de agua del activo v del subsistema de producción y las entradas por suministro de agua potable.
ECSAPs,i,ac: Volumen entregado por contratos de suministro y/o interconexión de agua potable en el año i del subsistema de producción (m3/año).
CMIPs,i,ac: Costo medio de inversión ambiental adicional para la protección de cuencas y fuentes de agua para el año i, hasta el subsistema de suministro de agua potable, expresado en pesos de diciembre del año base/m3, para el servicio público domiciliario de acueducto.
ECSAPT,i,ac: Volumen entregado por contratos de suministro y/o interconexión de agua potable en el año i del subsistema de transporte (m3 /año).
CMIPT,i,ac: Costo medio de inversión ambiental adicional para la protección de cuencas y fuentes de agua para el año i, hasta el subsistema de transporte de agua potable, expresado en pesos de diciembre del año base/m3, para el servicio público domiciliario de acueducto.
CCPi–1,ac: Consumo corregido por pérdidas en el año i-1 para el servicio de acueducto (m3/año), según lo definido en el Artículo 19 y 55.A. de la presente resolución.”
i: Año tarifario de conformidad con lo establecido en el Artículo 55.A de la presente resolución”.
ARTÍCULO 11. Modificar el artículo 81 de la Resolución CRA 688 de 2014, el cual quedará así:
“Artículo 81. Del Cargo Fijo. El cargo fijo se determinará para cada servicio y se dividirá en los siguientes componentes:
Para el servicio público domiciliario de acueducto,
![]()
Donde:
CFac: Cargo fijo para el servicio público domiciliario de acueducto.
CMAac: Costo Medio de Administración para el servicio público domiciliario de acueducto.
CMAPac: Costo Medio de Administración por Inversiones Ambientales Adicionales para la Protección de Cuencas y Fuentes de Agua.
Para el servicio público domiciliario de alcantarillado,
![]()
Donde:
CFal: Cargo Fijo para el servicio público domiciliario de alcantarillado.
CMAal: Costo Medio de Administración para el servicio público domiciliario de alcantarillado.
El cargo fijo, en concordancia con las metas de servicio y de eficiencia establecidos en la presente resolución, está asociado a los descuentos por reclamación comercial definidos en el Título VII de la presente resolución”.
ARTÍCULO 12. Modificar el artículo 82 de la Resolución CRA 688 de 2014, el cual quedará así:
“Artículo 82. Del Cargo por Consumo. El cargo para todos los rangos de consumo se determinará para cada servicio y se dividirá en los siguientes componentes:
Para el servicio público domiciliario de acueducto,
![]()
Para el servicio público domiciliario de alcantarillado,
![]()
Donde:
CCac: Cargo por consumo para el servicio público domiciliario de acueducto.
CCal: Cargo por consumo para el servicio público domiciliario de alcantarillado.
CMOac: Costo Medio de Operación para el servicio público domiciliario de acueducto, establecido en el Artículo 29 de la presente resolución.
CMOal: Costo Medio de Operación para el servicio público domiciliario de alcantarillado, establecido en el Artículo 29 de la presente resolución.
CMIac:Costo Medio de Inversión para el servicio público domiciliario de acueducto, establecido en el Artículo 43 de la presente resolución.
CMIal: Costo Medio de Inversión para el servicio público domiciliario de alcantarillado, establecido en el Artículo 43 de la presente resolución.
CMTac: Costo Medio generado por Tasas Ambientales para el servicio público domiciliario de acueducto, establecido en el Artículo 54 de la presente resolución.
CMTal: Costo Medio generado por Tasas Ambientales para el servicio público domiciliario de alcantarillado, establecido en el Artículo 55 de la presente resolución.
CMPac: Costo Medio Variable por Inversiones Ambientales Adicionales para la Protección de Cuencas y Fuentes de Agua, para el servicio público domiciliario de acueducto, establecido en el Artículo 55.C. de la presente resolución.
PARÁGRAFO 1o. Los valores unitarios y totales cobrados al usuario por concepto de las tasas ambientales para los servicios públicos domiciliarios de acueducto y alcantarillado deberán hacerse explícitos en la factura.
PARÁGRAFO 2o. El cargo por consumo, en concordancia con las metas de servicio y de eficiencia establecidas en la presente resolución, está asociado a los descuentos por calidad del agua y continuidad del servicio definidos en el Título VII de la presente resolución.
PARÁGRAFO 3o. Los valores unitarios y totales cobrados al usuario por concepto de las inversiones ambientales adicionales para la protección de cuencas y fuentes de agua para el servicio público domiciliario de acueducto deberán hacerse explícitos en la factura”.
ARTÍCULO 13. Modificar el artículo 9o de la Resolución CRA 825 de 2017, el cual quedará así:
“Artículo 9o. Del cargo fijo para los servicios públicos domiciliarios de acueducto y alcantarillado (CFac,al). Las personas prestadoras definirán un cargo fijo para el servicio público domiciliario de acueducto y otro para el servicio público domiciliario de alcantarillado.
Para el servicio público domiciliario de acueducto:
![]()
Donde:
CFac: Cargo Fijo para el servicio público domiciliario de acueducto.
CMAac: Costo Medio de Administración para el servicio público domiciliario de acueducto.
CMAPac: Costo Medio de Administración por Inversiones Ambientales Adicionales para la Protección de Cuencas y Fuentes de Agua para el servicio público domiciliario de acueducto.
Para el servicio público domiciliario de alcantarillado:
![]()
Donde:
CFal: Cargo Fijo para el servicio público domiciliario de alcantarillado.
CMAal: Costo Medio de Administración para el servicio público domiciliario de alcantarillado”.
ARTÍCULO 14. Modificar el artículo 10 de la Resolución CRA 825 de 2017, el cual quedará así:
“Artículo 10. Del cargo por consumo para los servicios públicos domiciliarios de acueducto y alcantarillado (CCac,al). Las personas prestadoras definirán un cargo por consumo para el servicio público domiciliario de acueducto y otro para el servicio público domiciliario de alcantarillado.
Para el servicio público domiciliario de acueducto:
![]()
Donde:
CCac: Cargo por consumo para el servicio público domiciliario de acueducto.
CMOac: Costo Medio de Operación para el servicio público domiciliario de acueducto.
CMIac:Costo Medio de Inversión para el servicio público domiciliario de acueducto.
CMTac: Costo Medio Generado por Tasas de Uso para el servicio público domiciliario de acueducto.
CMPac: Costo Medio variable por Inversiones Ambientales Adicionales para la Protección de Cuencas y Fuentes de Agua para el servicio público domiciliario de acueducto.
Para el servicio público domiciliario de alcantarillado:
![]()
Donde:
CCal: Cargo por consumo para el servicio público domiciliario de alcantarillado.
CMOal: Costo Medio de Operación para el servicio público domiciliario de alcantarillado.
CMIal: Costo Medio de Inversión para el servicio público domiciliario de alcantarillado.
CMTal: Costo Medio Generado por Tasas Retributivas para el servicio público domiciliario de alcantarillado.
PARÁGRAFO 1o. Los valores unitarios y totales cobrados al usuario por concepto de las tasas ambientales para los servicios públicos domiciliarios de acueducto y alcantarillado deberán hacerse explícitos en la factura.
PARÁGRAFO 2o. Los valores unitarios y totales cobrados al usuario por concepto de inversiones ambientales adicionales para la protección de cuencas y fuentes de agua para el servicio público domiciliario de acueducto deberán hacerse explícitos en la factura”.
ARTÍCULO 15. Adicionar el Título V-A de la Resolución CRA 825 de 2017, el cual quedará así:
“TÍTULO V-A
DE LOS COSTOS MEDIOS POR INVERSIONES AMBIENTALES ADICIONALES PARA LA PROTECCIÓN DE CUENCAS Y FUENTES DE AGUA PARA LAS PERSONAS PRESTADORAS PERTENECIENTES AL PRIMER Y SEGUNDO SEGMENTO
Artículo 31.A. Periodo de aplicación de las Inversiones Ambientales Adicionales para la Protección de Cuencas y Fuentes de Agua. Las personas prestadoras que decidan aplicar las inversiones ambientales adicionales para la protección de cuencas y fuentes de agua, deberán incluir en la tarifa del servicio público domiciliario de acueducto el costo al que hace referencia el presente Título, a partir del tercer (3er) año tarifario (i=3), desde el primero (1) de julio de 2020.
PARÁGRAFO. En todo caso, cuando se opte por la inclusión en la tarifa de los costos a los que hace referencia el presente Título, las personas prestadoras deberán dar cumplimiento de las disposiciones contenidas en la Sección 5.1.1 de la Resolución CRA 151 de 2001, o la norma que la adicione, modifique o derogue.
Artículo 31.B. Costo Medio de Administración por Inversiones Ambientales Adicionales para la Protección de Cuencas y Fuentes de Agua para el año i (CMAPi,ac). El costo medio de administración por inversiones ambientales adicionales para la protección de cuencas y fuentes de agua para el año i se calcula e incluye en la tarifa del servicio público domiciliario de acueducto con la siguiente fórmula:
![]()
Donde:
CMAPi,ac: Costo medio de administración por inversiones ambientales adicionales para la protección de cuencas y fuentes de agua para el año i del servicio público domiciliario de acueducto, expresado en pesos de diciembre del año base ($/suscriptor/ mes).
CAPi–1,ac: Costos de administración por inversiones ambientales adicionales para la protección de cuencas y fuentes de agua para el servicio público domiciliario de acueducto causados en el año i-1.
Nac: Número de suscriptores promedio mensual facturados del año base para cada uno de los servicios públicos domiciliarios. En el caso de facturación mensual, corresponde al promedio de los doce meses del año base. En el caso de facturación bimestral, corresponde al promedio de los seis bimestres del año base.
i: Año tarifario de conformidad con lo establecido en el Artículo 31.A de la presente resolución.
PARÁGRAFO 1o. El CAPi–1,ac incluirá los gastos de comercialización relacionados con los ajustes del software de facturación para la implementación de las inversiones ambientales adicionales, así como los gastos relacionados con peticiones, quejas y recursos, capacitación y socialización.
PARÁGRAFO 2o. En ningún caso deberán incluirse en el CMAPi,ac costos ya reconocidos en el CMA, CMO, CMI establecidos en el Título III y IV de la presente resolución.
PARÁGRAFO 3o. Los soportes de los costos de administración por inversiones ambientales adicionales para la protección de cuencas y fuentes de agua, deberán estar a disposición de la Superintendencia de Servicios Públicos Domiciliarios (SSPD).
Artículo 31.C. Costo Medio variable por Inversiones Ambientales Adicionales para la Protección de Cuencas y Fuentes de Agua (CMPac). El costo medio variable por inversiones ambientales adicionales para la protección de cuencas y fuentes de agua, para el servicio público domiciliario de acueducto, para el año i se calcula e incluye en la tarifa del servicio público domiciliario de acueducto con la siguiente fórmula:
![]()
CMPac: Costo medio variable por inversiones ambientales adicionales para la protección de cuencas y fuentes de agua, expresado en pesos de diciembre del año base/ m3, para el servicio público domiciliario de acueducto.
CMOPac: Costo medio de operación por inversiones ambientales adicionales para la protección de cuencas y fuentes de agua, expresado en pesos de diciembre del año base/ m3, para el servicio público domiciliario de acueducto.
CMIPac: Costo medio de inversión por inversiones ambientales adicionales para la protección de cuencas y fuentes de agua, expresado en pesos de diciembre del año base/ m3, para el servicio público domiciliario de acueducto.
PARÁGRAFO. En ningún caso deberán incluirse en el CMPac costos ya reconocidos en el CMA, CMO y CMI establecidos en los Títulos III y IV de la presente resolución.
Artículo 31.D. Costo Medio de Operación por Inversiones Ambientales Adicionales para la Protección de Cuencas y Fuentes de Agua (CMOPA ac). El costo medio de operación por inversiones ambientales adicionales para la protección de cuencas y fuentes de agua, se calcula e incluye en la tarifa del servicio público domiciliario de acu educto con la siguiente fórmula:
![]()
CMOPAac: Costo medio de operación por inversiones ambientales adicionales para la protección de cuencas y fuentes de agua, expresado en pesos de diciembre del año base/ m3, para el servicio público domiciliario de acueducto.
COAac: Costos operativos por inversiones ambientales adicionales para la protección de cuencas y fuentes de agua relacionados con servicios personales, agroinsumos, mantenimiento de equipos y herramientas, honorarios, servicios públicos, órdenes y contratos por servicios y estudios, para el servicio público domiciliario de acueducto.
1,0281: Tasa de capital de trabajo.
ASPac: Agua potable suministrada corregida por pérdidas eficientes en el año base, la cual se estima con la siguiente fórmula:
![]()
Donde:
ASac: Agua potable suministrada en el año base (m3/año). Se calcula como:
![]()
Donde:
APac: Agua producida en el año base (m3/año).
RCSAPac: Volumen recibido por contratos de suministro de agua potable e interconexión en el año base (m3/año).
ECSAPac: Volumen entregado por contratos de suministro de agua potable e interconexión en el año base (m3/año).
Nac: Número de suscriptores promedio mensual facturados del año base para cada uno de los servicios públicos domiciliarios. En el caso de facturación mensual, corresponde al promedio de los doce meses del año base. En el caso de facturación bimestral, corresponde al promedio de los seis bimestres del año base.
12: Corresponde al número de meses en un año.
IPUF*: Índice de pérdidas por suscriptor facturado estándar, que corresponde a seis (6) m3/suscriptor/mes.
PARÁGRAFO 1o. Para estimar el valor del COAac para el primer año tarifario de aplicación (i=3), las personas prestadoras del servicio público domiciliario de acueducto proyectarán los costos con los soportes que consideren pertinentes, los cuales deberán quedar a disposición de la Superintendencia de Servicios Públicos Domiciliarios (SSPD).
PARÁGRAFO 2o. Cada vez que en un periodo de doce (12) meses continuos, a partir de la aplicación de las tarifas derivadas de la presente resolución, se presente un aumento o disminución del COAac, podrán ser ajustados por las personas prestadoras y aplicados directamente. Lo anterior, sin perjuicio del cumplimiento de las disposiciones contenidas en la Sección 5.1.1 de la Resolución CRA 151 de 2001, o la norma que la adicione, modifique o derogue.
PARÁGRAFO 3o. En ningún caso deberán incluirse en el CMOPAac costos ya reconocidos en el CMA, CMO, CMI establecidos en los Títulos III y IV de la presente resolución.
Artículo 31.E. Costo Medio de Inversión por Inversiones Ambientales Adicionales para la Protección de Cuencas y Fuentes de Agua para el año i (CMIPi,ac). El costo medio de inversión ambiental adicional para la protección de cuencas y fuentes de agua, para el año i se calcula e incluye en la tarifa del servicio público domiciliario de acueducto de acuerdo con la siguiente fórmula:
![]()
Donde:
CMIPi,ac: Costo medio de inversión por inversiones ambientales adicionales para la protección de cuencas y fuentes de agua para el año i-1, expresado en pesos de diciembre del año base/m3, para el servicio público domiciliario de acueducto.
CIPi–1,v,ac: Costo del activo v en el año i-1, para el servicio público domiciliario de acueducto de acuerdo con el Artículo 31.F. de la presente resolución (pesos de diciembre del año base).
ASPi–1,ac: Agua potable suministrada corregida por pérdidas eficientes en el año i-1, la cual se estima con la siguiente fórmula:
![]()
Donde:
ASi–1,ac: Agua potable suministrada en el año i-1 (m3/año). Se calcula como:
![]()
Donde:
Api–1,ac: Agua producida en el año i-1 (m3/año).
RCSAPi–1,ac: Volumen recibido por contratos de suministro de agua potable e interconexión en el año i-1 (m3/año).
ECSAPi–1,ac: Volumen entregado por contratos de suministro de agua potable e interconexión en el año i-1 (m3/año).
Ni–1,ac: Número de suscriptores promedio mensual facturados para el año i-1 para cada uno de los servicios públicos domiciliarios. En el caso de facturación mensual, corresponde al promedio de los doce meses del año i-1. En el caso de facturación bimestral, corresponde al promedio de los seis bimestres del año i-1.
12: Corresponde al número de meses en un año.
IPUF*: Índice de pérdidas por suscriptor facturado estándar, que corresponde a seis (6) m3/suscriptor/mes.
v: Cada uno de los activos de las inversiones ambientales adicionales para la protección de cuencas y fuentes de agua.
i: Año tarifario de conformidad con lo establecido en el Artículo 31.A de la presente resolución.
PARÁGRAFO. Para estimar el valor del CIPi–1,v,ac para el primer año tarifario de aplicación (i=3) de acuerdo con el Artículo 31.F. de la presente resolución, se reconocerán los costos de los activos de las inversiones ambientales adicionales para la protección de cuencas y fuentes de agua del segundo (2) año tarifario (i=2), a partir del primero (1) de enero de 2020.
Para años tarifarios posteriores, se reconocerá el costo de los activos de las inversiones ambientales adicionales para la protección de cuencas y fuentes de agua en el año i-1.
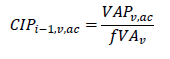
Artículo 31.F. Costo de Inversiones Ambientales Adicionales para la Protección de Cuencas y Fuentes de Agua del activo v en el año i-1 (CIPi–1,v,ac). El costo de inversiones ambientales adicionales para la protección de cuencas y fuentes de agua, del activo v en el año i-1 para el servicio público domiciliario de acueducto, se calcula de acuerdo con la siguiente fórmula:

Donde:
CIPi–1,v,ac: Costo de Inversiones Ambientales Adicionales para la Protección de Cuencas y Fuentes de Agua del activo v en el año i-1 (pesos de diciembre del año base) del servicio público domiciliario de acueducto.
VAPv,ac: Valor del activo v al momento de su inclusión en el CIPi–1,v,ac para el servicio público domiciliario de acueducto (en pesos de diciembre del año base).
fVAv: Factor de anualidad para cada uno de los activos v, incluidos en el VAPv,ac, el cual corresponde al fVAo de la tabla incluida en el Anexo III de la presente resolución.
v: Cada uno de los activos de las inversiones ambientales adicionales para la protección de cuencas y fuentes de agua.
i: Año tarifario de conformidad con lo establecido en el Artículo 31.A de la presente resolución.
PARÁGRAFO 1o. En los terrenos únicamente se reconocerá la rentabilidad sobre el valor de adquisición sin incluir valorizaciones.
PARÁGRAFO 2o. Los activos de las inversiones ambientales adicionales para la protección de cuencas y fuentes de agua incluidos en el VAPv,ac, serán clasificados de acuerdo con la agrupación definida en el Artículo 31.G de la presente resolución.
PARÁGRAFO 3o. Los soportes de las inversiones ambientales adicionales para la protección de cuencas y fuentes de agua, deberán quedar a disposición de la Superintendencia de Servicios Públicos Domiciliarios (SSPD).
Artículo 31.G. Clasificación de activos por tipo de inversión ambiental adicional y asignación de su vida útil regulada. Los activos de las inversiones ambientales adicionales para la protección de cuencas y fuentes de agua corresponden a los descritos en la siguiente tabla y les corresponderá la siguiente vida útil regulada.

PARÁGRAFO. En caso de que la persona prestadora incluya activos relacionados con las inversiones ambientales adicionales para la protección de cuencas y fuentes de agua de que trata el artículo 3o de la Resolución 0874 de 2018, diferentes a los señalados en la tabla anterior, deberá contar con los soportes correspondientes para su inclusión.
Las vidas útiles de dichos activos deberán estar debidamente soportadas por lo menos con tres (3) cotizaciones de proveedores o por la vida útil definida para efectos contables. En el evento en que para un mismo activo exista una vida útil diferente por cada proveedor, se deberá escoger la de mayor plazo.
Los anteriores soportes deberán estar a disposición de la Superintendencia de Servicios Públicos Domiciliarios (SSPD) y ser informados a la Comisión de Regulación de Agua Potable y Saneamiento Básico.
Artículo 31.H. Criterios para definir las inversiones ambientales adicionales para la protección de cuencas y fuentes de agua. Las personas prestadoras del servicio público domiciliario de acueducto que decidan incorporar los costos de las inversiones ambientales adicionales para la protección de cuencas y fuentes de agua, de que trata el presente Título, con el cumplimiento de los siguientes requisitos:
1. Identificar las áreas de intervención de las inversiones ambientales adicionales para la protección de cuencas y fuentes de agua requeridas, dependiendo del servicio hidrológico a intervenir en la cuenca hidrográfica aferente a los puntos de captación del sistema de acueducto.
2. Disponer de instrumentos de medición caudal a la salida de las plantas de tratamiento o a la salida de los tanques de almacenamiento de agua potable de acuerdo con plazos establecidos en el parágrafo 4 de los Artículos 12 y 24 de la presente resolución.
3. Las áreas objeto de intervención de las inversiones ambientales adicionales para la protección de cuencas y fuentes de agua deberán corresponder a áreas de importancia estratégica para la conservación de recursos hídricos que surten de agua a los acueductos municipales, distritales o regionales.
4. En ningún caso, deberán incluirse inversiones ambientales adicionales para la protección de cuencas y fuentes de agua que hayan sido contempladas en desarrollo del parágrafo 4 del Artículo 22 de la presente resolución.
En todo caso, las inversiones ambientales adicionales para la protección de cuencas y fuentes de agua corresponden a las definidas en el artículo 3o de la Resolución número 0874 de 2018 o la norma que la modifique, adicione o sustituya.
PARÁGRAFO 1o. Para efectos del cumplimiento del criterio definido en el numeral 1 del presente artículo, podrá utilizarse la información hidrológica o hidrogeológica contenida en los instrumentos de planificación ambiental del recurso hídrico y otras iniciativas de conservación de áreas de importancia estratégica para la conservación de recursos hídrico.
PARÁGRAFO 2o. Las inversiones ambientales adicionales para la protección de cuencas y fuentes de agua de que trata el presente Título son optativas.
PARÁGRAFO 3o. Las inversiones ambientales adicionales para la protección de cuencas y fuentes de agua deben estar asociadas a los servicios hidrológicos de regulación del ciclo hidrológico y/o rendimiento hídrico.
Artículo 31.I. Indicadores de seguimiento. Las personas prestadoras del servicio público domiciliario de acueducto que decidan incluir los costos de las inversiones ambientales adicionales para la protección de cuencas y fuentes de agua deberán reportar anualmente los siguientes indicadores:
| Inversión ambiental adicional para la protección de cuencas y fuentes de agua | Indicador |
| Compra y aislamiento de predios | Hectáreas adquiridas y/o aisladas por año |
| Proyectos para la recarga de acuíferos | Hectáreas de zona de recarga de acuíferos intervenidas por año |
| Restauración | Hectáreas restauradas por año |
| Protección y recuperación de rondas de cuencas y fuentes abastecedoras de agua | Hectáreas de rondas de cuencas y fuentes abastecedoras de agua intervenidas por año |
| Monitoreo del recurso hídrico | Estaciones de monitoreo implementadas por año Campañas de monitoreo por año |
| Pagos por servicios ambientales de regulación y calidad hídrica | Hectáreas intervenidas por proyectos de pago por servicios ambientales de regulación y calidad hídrica, por año. |
Los indicadores de que trata el presente artículo deberán ser reportados a la Superintendencia de Servicios Públicos Domiciliarios (SSPD) en las condiciones y plazos que la misma defina.
Artículo 31.J. Aportes bajo condición. Si durante el período tarifario las personas prestadoras del servicio público domiciliario de acueducto reciben aportes bajo condición de los que trata el artículo 87.9 de la Ley 142 de 1994, modificado por el artículo 99 de la Ley 1450 de 2011, sólo podrá incluir los costos de operación asociados en el CMOPAac de que trata el Artículo 31.D de la presente resolución.”
ARTÍCULO 16. VIGENCIA. La presente resolución rige a partir de la fecha de su publicación en el Diario Oficial.
Publíquese y cúmplase.
Dada en Bogotá, D. C., a los xxx (XX) días del mes de xxx de 2019.
El Presidente,
José Luis Acero Vergel.
El Director Ejecutivo,
Diego Felipe Polanía Chacón.
ARTÍCULO 2o. Iniciar el proceso de discusión directa con los usuarios, prestadores, gremios y demás agentes del sector e interesados. Para el efecto, establézcase un término de quince (15) días hábiles, contados a partir de la fecha de publicación de la presente resolución en el Diario Oficial, para recibir las observaciones, reparos o sugerencias, de acuerdo con el artículo 2.3.6.3.3.10 del Decreto número 1077 de 2015, o aquel que lo modifique, adicione, sustituya o aclare.
ARTÍCULO 3o. Invitar a las personas prestadoras de los servicios públicos domiciliarios de acueducto y/o alcantarillado, a la Superintendencia de Servicios Públicos Domiciliarios, y a todos los interesados en general, para que remitan observaciones, reparos o sugerencias a la propuesta consagrada en el artículo primero de la presente resolución, así como al documento de trabajo, que también se harán públicos en la página web www.cra.gov.co.
ARTÍCULO 4o. Recibir las observaciones, reparos o sugerencias en las instalaciones de la Comisión de Regulación de Agua Potable y Saneamiento Básico, ubicada en la Carrera 12 No. 97-80, Piso 2, Edificio 97 Punto Empresarial, de Bogotá, D. C., teléfono 487 38 20, en la línea nacional gratuita 01 8000 517 565, en el correo electrónico correo@cra.gov.co o en el fax 489 76 50.
La Subdirección de Regulación de la Comisión de Regulación de Agua Potable y Saneamiento Básico, recibirá las observaciones, reparos o sugerencias y atenderá las solicitudes de información sobre el proyecto regulatorio.
ARTÍCULO 5o. VIGENCIA. La presente resolución rige a partir de la fecha de su publicación en el Diario Oficial.
Publíquese y cúmplase.
Dada en Bogotá, D. C., a 30 de octubre de 2019.
El Presidente,
José Luis Acero Vergel.
El Director Ejecutivo,
Diego Felipe Polanía Chacón.
NOTAS AL FINAL:
1. “Por el cual se expide el Plan Nacional de Desarrollo 2018-2022”.
2. “Por medio del cual se expide el Decreto Único Reglamentario del Sector Vivienda, Ciudad y Territorio”.
3. 1. Planes Estratégicos, en las Áreas Hidrográficas o Macrocuencas, 2. Programa Nacional de Monitoreo del Recurso Hídrico, en las Zonas Hidrográficas, 3. Planes de Ordenación y Manejo de Cuencas Hidrográficas, en Subzonas Hidrográficas o su nivel subsiguiente, 4. Planes de Manejo Ambiental de Microcuencas en las cuencas de nivel inferior al del nivel subsiguiente de la Subzona Hidrográfica y 5. Planes de Manejo Ambiental de Acuíferos.
4. “Por la cual se dictan normas sobre obras públicas de generación eléctrica, y acueductos, sistemas de regadío y otras y se regulan las expropiaciones y servidumbres de los bienes afectados por tales obras”.
5. “Por la cual se crea el Ministerio del Medio Ambiente, se reordena el Sector Público encargado de la gestión y conservación del medio ambiente y los recursos naturales renovables, se organiza el Sistema Nacional Ambiental (SINA) y se dictan otras disposiciones”.
6. Ley de Desarrollo Territorial.
7. “Por la cual se crea el Registro Único de Ecosistemas y Áreas Ambientales y se adoptan otras disposiciones”.