RESOLUCIÓN CRA 926 DE 2020
(julio 29)
Diario Oficial No. 51.391 de 30 de julio de 2020
COMISIÓN DE REGULACIÓN DE AGUA POTABLE Y SANEAMIENTO BÁSICO
Por la cual se realizan aclaraciones y se corrigen errores de la Resolución CRA 906 de 2019.
LA COMISIÓN DE REGULACIÓN DE AGUA POTABLE Y SANEAMIENTO BÁSICO,
en ejercicio de sus facultades legales, en especial de las conferidas por la Ley 142 de 1994, Ley 1437 de 2011, los Decretos 1524 de 1994, 2882 y 2883 de 2007, modificado por el Decreto 2412 de 2015, el Decreto 1077 de 2015, la Resolución CRA 475 de 2009, y
CONSIDERANDO:
Que el artículo 73 de la Ley 142 de 1994 señala que las comisiones de regulación tienen la función de regular los monopolios en la prestación de los servicios públicos, cuando la competencia no sea, de hecho, posible; y, en los demás casos, la de promover la competencia entre quienes presten servicios públicos, para que las operaciones de los monopolistas o de los competidores sean económicamente eficientes, no impliquen abuso de la posición dominante, y produzcan servicios de calidad;
Que esta Comisión de Regulación expidió la Resolución CRA 906 del 23 de diciembre de 2019 “por la cual se definen los criterios, metodologías, indicadores, parámetros y modelos de carácter obligatorio para evaluar la gestión y resultados de las personas prestadoras de los servicios públicos domiciliarios de acueducto y/o alcantarillado, se establece la metodología para clasificarlas de acuerdo con el nivel de riesgo, características y condiciones, y se modifican unas resoluciones”;
Que de conformidad con lo establecido en el artículo 45 del Código de Procedimiento Administrativo y de lo Contencioso Administrativo (CPACA), se podrán corregir los errores simplemente formales contenidos en los actos administrativos, ya sean aritméticos, de digitación, de transcripción o de omisión de palabras, siempre que la corrección no dé lugar a cambios en el sentido material de la decisión;
Que el Consejo de Estado al referirse a la corrección de errores caligráficos o tipográficos ha señalado que bajo este contexto se pueden corregir los errores de redacción, de aplicación de la gramática española, de impresión, de digitación y transcripción, así como corregir errores de referencia y de enumeración de artículos, numerales o incisos(1);
Que en el marco del plan de implementación en el Sistema Único de Información (SUI) de las disposiciones contenidas en la Resolución CRA 906 de 2019 se realizaron catorce (14) mesas de trabajo con la Superintendencia de Servicios Públicos Domiciliarios (SSPD) y/o personas prestadoras de los servicios públicos domiciliarios de acueducto y alcantarillado, en virtud de cuyos resultados se identificó que es necesario incluir algunas aclaraciones en la citada Resolución para la aplicación de los criterios, metodologías, indicadores, parámetros y modelos de carácter obligatorio, para evaluar la gestión y resultados de las personas prestadoras, la metodología para clasificarlas de acuerdo con el nivel de riesgo, características y condiciones y la formulación del Plan de Gestión y Resultados (PGR);
Que considerando que las personas prestadoras deberán reportar el primer Plan de Gestión y Resultados (PGR) en el Sistema Único de Información (SUI) de la Superintendencia de Servicios Públicos Domiciliarios (SSPD) en un plazo máximo de diez (10) meses, contados a partir de la entrada en vigencia de la Resolución CRA 906 del 23 de diciembre de 2019, se hace necesario realizar las siguientes correcciones y aclaraciones a la mencionada resolución;
Que se requiere corregir el error tipográfico contenido en el artículo 12 al referir al “numeral 7” del ANEXO 1 para señalar la metodología de cálculo del Indicador Único Sectorial (IUS) para el caso de personas prestadoras con un mercado regional declarado, siendo lo correcto el “numeral 8”;
Que en el artículo 13, es necesario aclarar que a partir de la segunda fase de implementación del Indicador Único Sectorial (IUS), los indicadores de la subdimensión “SF.3. Gestión de Rentabilidad y Endeudamiento” se empezarán a calificar en función del reporte de información al Sistema Único de Información (SUI), tal como lo establecen las fichas técnicas del ANEXO 4;
Que en el artículo 25, es necesario corregir el error tipográfico de la fecha límite en la que las personas prestadoras deben reportar a la Superintendencia de Servicios Públicos Domiciliarios (SSPD) el Plan de Gestión y Resultados - PGR actualizado, toda vez que se indicó “1 de julio” siendo lo correcto “30 de julio”, tal y como se explica en la sección 4.5.3 del documento de trabajo de la Resolución CRA 906 de 2019;
Que en el numeral 2 del ANEXO 1 es necesario corregir un error tipográfico en la tabla que lista los indicadores según su nivel de análisis, en el indicador de “Relación de Costos y Gastos Administrativos por Gestión Social” que se incluye la sigla “GS.3.1.”, siendo lo correcto referir la sigla “GE.3.1”; y es necesario aclarar que, de acuerdo con la ficha técnica del ANEXO 4, el indicador “GT.1.5. Cumplimiento Medición del Agua Captada (CMCAP)” se calcula por sistema, el cual no se incluyó en la tabla;
Que el ANEXO 1, en el numeral 8, que describe la metodología de agregación de indicadores para los mercados regionales declarados y lista los indicadores que deben exceptuarse del cálculo debido a que su nivel de análisis se realiza por prestador, se requiere aclarar que el indicador “GE.3.1 Relación de Costos y Gastos Administrativos por Gestión Social (GS)” debe incluirse en dicha lista, teniendo en cuenta que de acuerdo con la ficha técnica del ANEXO 4 el nivel de análisis del indicador es por prestador;
Que en la ficha técnica del indicador CS.1.1 Índice de Reporte y Calidad de Agua Potable (IRCAP) del ANEXO 4, es necesario corregir un error tipográfico, dado que se mencionan los artículos 21 y 22 de la Resolución 2115 de 2007 del Ministerio de la Protección Social y el Ministerio de Ambiente, Vivienda y Desarrollo Territorial para hacer referencia a la obligación de reporte del IRCA, cuando lo correcto es el artículo 16 ibidem, y es necesario aclarar el tratamiento de la variable "IRCA" para el caso de personas prestadoras pertenecientes al segmento de pequeños prestadores o prestadores rurales cuando la fuente de información corresponda a las muestras de vigilancia de la red de distribución, registrada por las autoridades sanitarias en el SIVICAP(2) de conformidad con lo establecido en la Resolución 2115 de 2007 del Ministerio de la Protección Social y el Ministerio de Ambiente, Vivienda y Desarrollo Territorial y Resolución 622 de 2020 del Ministerio de Salud y Protección Social y Ministerio de Vivienda, Ciudad y Territorio o aquella que las modifique, adicione, sustituya o aclare;
Que en la ficha técnica del indicador CS.1.2 Índice de Riesgo por Abastecimiento de Agua por Parte de la Persona Prestadora - IRABApp del ANEXO 4, se debe aclarar que cuando un Área de Prestación del Servicio (APS) es abastecida por más de una planta de tratamiento, se deberá considerar los valores del “Índice de riesgo por abastecimiento de agua por parte de la persona prestadora” entregados por el Instituto Nacional de Salud -INS para cada planta de tratamiento. Así mismo, es necesario corregir las unidades del Estándar de medición no Normalizado, toda vez que no se especificó que el resultado obtenido en IRABApp es un porcentaje (%), tal como se establece en la fórmula del indicador y en el ANEXO 5 de la Resolución CRA 906 de 2019;
Que en la ficha técnica del indicador CS.2.1 Índice de Continuidad (IC) del ANEXO 4, es necesario corregir en la fuente de información la referencia al “Formulario de Facturación establecido en la Resolución SSPD 201713000039945 de 2017, o aquella que la modifique, adicione, sustituya o aclare”, para en su lugar hacer mención al “Formato de Facturación establecido en la Resolución SSPD 201713000039945 de 2017, o aquella que la modifique, adicione, sustituya o aclare”; así mismo, se hace necesario aclarar la ficha técnica en el sentido de incluir la Resolución SSPD 20101300048765 de 2010 reportada en la sección de “FACTURACIÓN” para el servicio público de acueducto;
Que en la ficha técnica de los indicadores CS.3.1. Índice de Atención de PQR Acueducto - IPQRAC y CS.3.2 Índice de Atención de PQR Alcantarillado IPQRAL del ANEXO 4, es necesario aclarar en la fuente de información a emplear para calcular el indicador, que se deberá tener en cuenta que la Resolución SSPD 20161300011295 de 2016 y Resolución SSPD 20188000076635 de 2018 modificaron y aclararon la Resolución SSPD 20151300054575 de 2015;
Que en la ficha técnica del indicador CS.3.2 Índice de Atención de PQR Alcantarillado - IPQRAL del ANEXO 4, es necesario corregir el error tipográfico contenido en la notación del indicador en el Estándar de medición no Normalizado y en la Normalización "IPQRAC", siendo lo correcto "IPQRAL".
Que en la ficha técnica de los indicadores EP.3.1 Indicador de Plan de Emergencias y Contingencias para Acueducto - PECAC y EP. 3.2 Indicador de Plan de Emergencias y Contingencias para Alcantarillado - PECAL del ANEXO 4, es necesario hacer una aclaración acerca de la fuente de información, toda vez que no se especificaron el “Formato. Registro de Eventos” y el “Formulario. Cuestionario eventos” del Sistema Único de Información (SUI) para cada uno de los servicios públicos de acueducto y alcantarillado, establecidos mediante la Resolución SSPD-20161300062185 de 2016, los cuales son necesarios para el cálculo del componente de “Registro de eventos que conforma el PEC” de la fórmula del indicador;
Que en la ficha técnica de los indicadores EO.1.1 Agua Controlada en Puntos de Uso y Consumo (ACPUC) y EO.1.4 Índice de Macromedición Efectiva - IMA del ANEXO 4, es necesario aclarar el contenido en la explicación de la fórmula en donde al señalar los tipos de macromedidores establecidos en el parágrafo 4 del artículo 73 de la Resolución 330 de 2017 del MVCT por error se incluyó la palabra “u otro”, la cual debe ser eliminada;
Que en la ficha técnica del indicador EO.2.1 Fallas en la Red de Transporte y Distribución de Acueducto -FAC del ANEXO 4, es necesario aclarar la definición de la variable "NFRDi" la cual debe quedar en los mismos términos establecidos para la variable "NFRTi" en el sentido de hacer mención a las fallas ocasionadas por terceros;
Que en las fichas técnicas de los indicadores SF.3.1 Liquidez ajustada - LA, SF.3.2 Índice Financiero asociado a la Eficiencia Operativa - IEO y SF.3.3 Relación Deuda a Inversiones - RDI del ANEXO 4, es necesario corregir el error tipográfico en el nivel de análisis del indicador “Área de prestación del servicio - APS”, siendo lo correcto “Agregado a nivel de prestador. Su resultado se replicará para cada área de prestación del servicio - APS atendida por este”, tal como lo establece el ANEXO 1 de la Resolución CRA 906 de 2019. Adicionalmente, es necesario aclarar en la misma fórmula que para los casos en los que los prestadores no atiendan los servicios públicos domiciliarios de acueducto y alcantarillado de manera agregada, que el valor del indicador corresponderá únicamente al valor de la variable asociada al servicio público domiciliario atendido;
Que en la ficha técnica del indicador GYT. 4.1 Cumplimiento del Programa de Uso Eficiente y Ahorro del Agua (CPUEAA) del ANEXO 4, es necesario aclarar que cuando la autoridad ambiental no reporte dicha información para el período analizado, el ponderador del indicador deberá ser redistribuido de acuerdo con las indicaciones del numeral 5 del ANEXO 1;
Que en la ficha técnica del indicador SA.1.1 Índice de Pérdidas de Agua en la Aducción (IPAA) del ANEXO 4, es necesario aclarar en la variable "VACIi" que hace referencia al volumen entrante al sistema para fines del cálculo del indicador y en la variable "VCMi" que la misma no deberá incluir la venta de agua cruda por parte de la persona prestadora;
Que en las fichas técnicas de los indicadores SA.2.1. Aprobación del PSMV - AproPSMV y SA. 2.2 Cumplimiento al PSMV- CPSMV del ANEXO 4, la fuente de información definida debe ser aclarada, teniendo en cuenta que el “Formulario. Planes de Saneamiento y Manejo de Vertimientos” y el “Formulario. Seguimiento al PSMV” establecidos por la Resolución SSPD 20101300048765 de 2010, no son emitidos por la autoridad ambiental. Como consecuencia, la información a emplear para el cálculo del indicador corresponde a la reportada por las Autoridades Ambientales al Sistema Único de Información (SUI) según lo establece la ficha técnica del indicador en la definición de su fórmula;
Que en la ficha técnica del indicador SA.2.3. Gestión de Lodos Resultantes Alcantarillado - GLRAL del ANEXO 4, es necesario corregir el error tipográfico en relación con que la fuente de información para el cálculo del indicador es el Sistema Único de Información (SUI), como se ha establecido en las demás fichas e indicadores de la Resolución CRA 906 de 2019 y por error fue omitido en la citada ficha técnica;
Que en la ficha técnica del indicador GT.1.1. Aplicación de Costos de Referencia Aprobados de Acueducto - ACU del ANEXO 4, es necesario corregir el error tipográfico contenido en la notación del indicador en el Estándar de medición no Normalizado "ACUcc", siendo lo correcto y aclarar que la fuente de información del Acto de Aprobación de Tarifas corresponde a lo establecido en las Resoluciones SSPD No 20171300039945 de 2017 y 20201000009605 de 2020 o aquellas que las modifiquen, adicionen, sustituyan o aclaren;
Que en la ficha técnica del indicador GT.2.1 Aplicación de Costos de Referencia Aprobados de Alcantarillado - AL del ANEXO 4, es necesario corregir el error tipográfico contenido en la notación del indicador en el Estándar de medición no Normalizado "ALcc" siendo lo correcto AL, y aclarar que la fuente de información del Acto de Aprobación de Tarifas corresponde a lo establecido en las Resoluciones SSPD No 20171300039945 de 2017 y 20201000009605 de 2020 o aquellas que las modifiquen, adicionen, sustituyan o aclaren;
Que en el indicador CS.1.1 Índice de Reporte y Calidad de Agua Potable (IRCAP) del Tablero de Planeación del Plan de Gestión y Resultados - PGR para Grandes Prestadores (Cuadro 5-1), Pequeños Prestadores (Cuadro 5-2) y Prestadores Rurales (Cuadro 5-3) del ANEXO 5 y en el Tablero de Control para Grandes Prestadores (Cuadro 6-1), Pequeños Prestadores (Cuadro 6-2) y Prestadores Rurales (Cuadro 6-3) del ANEXO 6, es necesario corregir un error de transcripción en las unidades del indicador “Adimensional (0;1)”, siendo lo correcto “Adimensional”, tal como lo establece la definición de la fórmula del indicador en su ficha técnica (ANEXO 4);
Que en el indicador EO.1.3 Catastro de Medidores - CM del tablero de planeación del Plan de Gestión y Resultados - PGR para Grandes Prestadores (Cuadro 5-1) y Pequeños Prestadores (Cuadro 5-2) del ANEXO 5 y en el Tablero de Control para Grandes Prestadores (Cuadro 6-1) y Pequeños Prestadores (Cuadro 6-2) del ANEXO 6, es necesario corregir un error de transcripción en las unidades del indicador “Adimensional (0;1)”, siendo lo correcto “Adimensional”, tal como lo establece la definición de la fórmula del indicador en su ficha técnica (ANEXO 4);
Que en el indicador EO.1.5 Modelo Hidráulico (MH) del Tablero de Planeación del Plan de Gestión y Resultados - PGR para Grandes Prestadores (Cuadro 5-1) del ANEXO 5 y en el Tablero de Control para Grandes Prestadores (Cuadro 6-1) del ANEXO 6, es necesario corregir un error de transcripción en las unidades del indicador “Adimensional (0;1)”, siendo lo correcto “Adimensional”, tal como lo establece la definición de la fórmula del indicador en su ficha técnica (ANEXO 4);
Que en los indicadores EO.2.1 Fallas en la Red de Transporte y Distribución de Acueducto - FAC y EO.2.2 Fallas en Red de Alcantarillado - FAL del Tablero de Planeación del Plan de Gestión y Resultados - PGR para Grandes Prestadores (Cuadro 5-1) y Pequeños Prestadores (Cuadro 5-2) del ANEXO 5 y en el Tablero de Control para Grandes Prestadores (Cuadro 6-1) y Pequeños Prestadores (Cuadro 6-2) del ANEXO 6, es necesario corregir un error de transcripción en las unidades del indicador “Adimensional”, siendo lo correcto “N° de fallas/ km”, tal como lo establece la definición de la fórmula del indicador en su ficha técnica (ANEXO 4);
Que en el indicador GYT.3.1. Cumplimiento del PGR (CPGR) del Tablero de Planeación del Plan de Gestión y Resultados - PGR para Grandes Prestadores (Cuadro 5-1), Pequeños Prestadores (Cuadro 5-2) y Prestadores Rurales (Cuadro 5-3) del ANEXO 5 y en el Tablero de Control para Grandes Prestadores (Cuadro 6-1), Pequeños Prestadores (Cuadro 6-2) y Prestadores Rurales (Cuadro 6-3) del ANEXO 6, es necesario corregir un error de transcripción en el nivel de análisis del indicador “APS”, siendo lo correcto “Prestador”, como lo establece la definición del indicador en su ficha técnica (ANEXO 4);
Que en los indicadores GYT.3.1. Cumplimiento del PGR (CPGR) y GYT.4.1. Cumplimiento del Programa de Uso Eficiente y Ahorro del Agua (CPUEAA) del Tablero de Planeación del Plan de Gestión y Resultados - PGR para Grandes Prestadores (Cuadro 5-1), Pequeños Prestadores (Cuadro 5-2) y Prestadores Rurales (Cuadro 5-3) del ANEXO 5 y en el Tablero de Control para Grandes Prestadores (Cuadro 6-1), Pequeños Prestadores (Cuadro 6-2) y Prestadores Rurales (Cuadro 6-3) del ANEXO 6, es necesario corregir un error de transcripción en las unidades del indicador “%”, siendo lo correcto “Adimensional”, tal como lo establece la definición de la fórmula del indicador en su ficha técnica (ANEXO 4);
Que en el indicador SA.1.3. Reporte de Afectación Hídrica asociada a Fenómenos Climáticos - RAHC del Tablero de Planeación del Plan de Gestión y Resultados - PGR para Grandes Prestadores (Cuadro 5-1), Pequeños Prestadores (Cuadro 5-2) y Prestadores Rurales (Cuadro 5-3) del ANEXO 5 y en el Tablero de Control para Grandes Prestadores (Cuadro 6-1), Pequeños Prestadores (Cuadro 6-2) y Prestadores Rurales (Cuadro 6-3) del ANEXO 6, es necesario corregir un error de transcripción en las unidades del indicador “Adimensional”, siendo lo correcto “Horas/día”, tal como lo establece la definición de la fórmula del indicador en su ficha técnica (ANEXO 4);
Que en el indicador SA.2.2. Cumplimiento al PSMV - CPSMV, del Tablero de Planeación del Plan de Gestión y Resultados - PGR para Grandes Prestadores (Cuadro 5-1) y Pequeños Prestadores (Cuadro 5-2) del ANEXO 5 y en el Tablero de Control para Grandes Prestadores (Cuadro 6-1) y Pequeños Prestadores (Cuadro 6-2) del ANEXO 6 es necesario corregir un error de transcripción en las unidades del indicador “%”, siendo lo correcto “Adimensional”, tal como lo establece la definición de la fórmula del indicador en su ficha técnica (ANEXO 4);
Que en los indicadores GT.1.1. Aplicación de Costos de Referencia Aprobados de Acueducto - ACU, GT.1.3. Cumplimiento Metas de Continuidad Acueducto (CMCON), y GT.2.1. Aplicación de costos de referencia aprobados Alcantarillado - AL del Tablero de Planeación del Plan de Gestión y Resultados - PGR para Grandes Prestadores (Cuadro 5-1), Pequeños Prestadores (Cuadro 5-2) y Prestadores Rurales (Cuadro 5-3) en el ANEXO 5 y en el Tablero de Control para Grandes Prestadores (Cuadro 6-1), Pequeños Prestadores (Cuadro 6-2) y Prestadores Rurales (Cuadro 6-3) del ANEXO 6, es necesario corregir un error de transcripción en las unidades del indicador “Adimensional”, siendo lo correcto “%”, tal como lo establece la definición de la fórmula del indicador en su ficha técnica (ANEXO 4);
Que en los indicadores GT.1.2. Cumplimiento Metas de Cobertura Acueducto - CMCOBAC, GT.1.4 Cumplimiento Metas en Reducción de Pérdidas - CMPER y GT.2.2. Cumplimiento Metas de Cobertura Alcantarillado - CMCOBAL del Tablero de Planeación del Plan de Gestión y Resultados - PGR para Grandes Prestadores (Cuadro 5-1) del ANEXO 5 y en el Tablero de Control para Grandes Prestadores (Cuadro 6-1) del ANEXO 6, es necesario corregir un error de transcripción en las unidades del indicador “Adimensional”, siendo lo correcto “%”, tal como lo establece la definición de la fórmula del indicador en su ficha técnica (ANEXO 4);
Que en el indicador GT.1.5. Cumplimiento Medición del Agua Captada - CMCAP del Tablero de Planeación del Plan de Gestión y Resultados - PGR para Grandes Prestadores (Cuadro 5-1) del ANEXO 5 y en el Tablero de Control para Grandes Prestadores (Cuadro 6-1) del ANEXO 6, es necesario corregir un error de transcripción en el nivel de análisis del indicador “APS”, siendo lo correcto “Sistema”, tal como lo establece la definición del indicador en su ficha técnica (ANEXO 4);
Que por error de transcripción no se incluyó el indicador GT.1.6. Cumplimiento Metas de Micromedición - CMMIC en el Tablero de Planeación del Plan de Gestión y Resultados - PGR para Pequeños Prestadores (Cuadro 5-2) y Prestadores Rurales (Cuadro 5-3) del ANEXO 5 y en el Tablero de Control para Pequeños Prestadores (Cuadro 6-2) y Prestadores Rurales (Cuadro 6-3) del ANEXO 6, considerando lo establecido en su ficha técnica (ANEXO 4);
Que las aclaraciones, y correcciones de los errores tipográficos y de transcripción son necesarias para el entendimiento y correcta aplicación de criterios, metodologías, indicadores, parámetros y modelos de carácter obligatorio para evaluar la gestión y resultados de las personas prestadoras de los servicios públicos domiciliarios de acueducto y/o alcantarillado, así como de la metodología para clasificarlas según un nivel de riesgo establecido en la Resolución CRA 906 de 2019. En ningún caso se altera o afecta el contenido sustancial de la citada resolución;
Que el Capítulo 3, Sección 1, del Libro 2, Parte 3, Título 6, del Decreto 1077 de 2015 compiló el Decreto 2696 de 2004, el cual señaló las reglas mínimas para garantizar la divulgación y participación en las actuaciones de las Comisiones de Regulación;
Que el parágrafo del artículo 2.3.6.3.3.9. del Decreto 1077 de 2015 señala que cada Comisión de Regulación definirá y hará públicos los criterios, así como los casos en los cuales las disposiciones sobre publicidad de los proyectos de regulación no serán aplicables a las resoluciones de carácter general;
Que, en ejercicio de esta facultad, la Comisión de Regulación expidió la Resolución CRA 475 de 2009, por la cual se definen los criterios, así como los casos que se exceptúan del procedimiento al que hace referencia la disposición anterior;
Que el numeral 2 del artículo 1o de la Resolución CRA 475 de 2009 señala como excepción al procedimiento de participación ciudadana de los proyectos de resolución de carácter general: “(…) los que tengan por objeto aclarar Resoluciones de carácter general, con el fin de garantizar un mejor entendimiento respecto del contenido original, siempre y cuando no afecte la tarifa del usuario final, el debido proceso a que tiene derecho por los prestadores de servicios públicos y los derechos de los usuarios”;
Que el numeral 3 del artículo 1o ibidem señala como excepción al procedimiento de participación ciudadana de los proyectos de resolución de carácter general: “(…) los que tengan por finalidad corregir errores puramente aritméticos o tipográficos en que se haya incurrido al momento de su expedición”;
Que, en mérito de lo expuesto,
RESUELVE:
ARTÍCULO 1o. <Consultar vigencia directamente en el artículo que modifica> CORREGIR el error tipográfico del artículo 12 de la Resolución CRA 906 de 2019, de acuerdo con lo expuesto en la parte motiva de la presente resolución, el cual quedará así:
“ARTÍCULO 12. Metodología de cálculo del Indicador Único Sectorial -IUS. Este será definido por cada Área de Prestación del Servicio –APS de conformidad con la metodología de cálculo del Indicador Único Sectorial -IUS que se establece en el ANEXO 1 de la presente resolución.
Lo anterior, con excepción de aquellas personas prestadoras respecto de las cuales se hubiere declarado un mercado regional, en aplicación de las Resoluciones CRA 628 y 633 de 2013 y 821 de 2017 o aquella que las modifique, aclare, adicione o sustituya; en cuyo caso se calculará un Indicador Único Sectorial - IUS agregado para todas las APS atendidas por el mismo prestador. Para lo cual, se deberá considerar lo indicado en el numeral 8 del ANEXO 1 de la presente resolución.”
ARTÍCULO 2o. <Consultar vigencia directamente en el artículo que modifica> ACLARAR el contenido del artículo 13 de la Resolución CRA 906 de 2019, de acuerdo con lo expuesto en la parte motiva de la presente resolución, el cual quedará así:
“ARTÍCULO 13. Fases de implementación. La implementación del Indicador Único Sectorial –IUS, se realizará a través de las siguientes dos fases:
| Fase | Duración | Característica |
| I | Del primer (1) al tercer (3) período de evaluación | Se cuenta con indicadores sin estándar de medición cuya calificación estará en función del efectivo reporte de la información requerida para su estimación en el SUI (el no reporte corresponderá a cero (o) puntos en el indicador), de conformidad con las especificaciones de las fichas técnicas del ANEXO 4 de la presente resolución. |
| II | A partir del cuarto (4) período de evaluación | Todos los indicadores se evaluarán con base en los estándares de medición definidos por la Comisión de Regulación de Agua Potable y Saneamiento Básico –CRA. Para ello, en el segundo año de implementación del IUS, la CRA definirá estándares de medición para aquellos indicadores que en la fase I hayan sido evaluados a partir de reporte de información al SUI. Se exceptúan los indicadores de la sub-dimensión “SF.3. Gestión de Rentabilidad y Endeudamiento” los cuales a partir de la segunda fase, como se especifica en las fichas técnicas correspondientes del ANEXO 4, tendrán calificación por reporte de información. |
ARTÍCULO 3o. <Consultar vigencia directamente en el artículo que modifica> CORREGIR el error tipográfico del artículo 25 de la Resolución CRA 906 de 2019, de acuerdo con lo expuesto en la parte motiva de la presente resolución, el cual quedará así:
“ARTÍCULO 25. Reporte de la actualización del Plan de Gestión y Resultados -PGR. Acorde con lo establecido en el parágrafo del artículo 52 de la Ley 142 de 1994, la persona prestadora deberá actualizar anualmente el Plan de Gestión y Resultados –PGR y reportarlo a la Superintendencia de Servicios Públicos Domiciliarios -SSPD, antes del 30 de julio de cada año, de conformidad con la estructura establecida en el ARTÍCULO 20 de la presente resolución y en los mismos términos de los parágrafos 1 y 2 del ARTÍCULO 23 de la presente resolución.
La actualización del PGR no tendrá efecto sobre el IUS calculado y publicado por la Superintendencia de Servicios Públicos Domiciliarios para el periodo de evaluación anterior.
PARÁGRAFO. La actualización del PGR debe contar, anualmente, con la aprobación de la entidad tarifaria local. El acto de aprobación deberá reportarse a la Superintendencia de Servicios Públicos Domiciliarios, en las condiciones que dicha entidad establezca.”
ARTÍCULO 4o. <Consultar vigencia directamente en el artículo que modifica> CORREGIR el error tipográfico y ACLARAR el contenido del ANEXO 1 de la Resolución CRA 906 de 2019, de acuerdo con lo expuesto en la parte motiva de la presente resolución, el cual quedará así:
ANEXO 1. METODOLOGÍA DE CÁLCULO DEL INDICADOR ÚNICO SECTORIAL
1. Recolección de información: se recolectará la información de los prestadores mediante el Sistema Único de Información – SUI y las fuentes de información externas que sean necesarias para la consecución de la información base para el cálculo de los indicadores, por el medio que para el efecto disponga la Superintendencia de Servicios Públicos Domiciliarios – SSPD. Lo anterior, teniendo en cuenta que dicha entidad es la encargada de calcular anualmente el nivel de riesgo de cada prestador de los servicios públicos domiciliarios de acueducto y/o alcantarillado.
2. Cálculo de los indicadores: a partir de la información reportada en el Sistema Único de Información – SUI y de la información proveniente de fuentes externas oficiales, se procede con la aplicación de las fichas técnicas del ANEXO 4 de la presente Resolución, las cuales permiten realizar el cálculo para cada uno de los indicadores que componen el Indicador Único Sectorial – IUS de cada APS; salvo los siguientes indicadores que se calcularán a nivel de prestador o sistema y cuyo resultado será replicado en todas las APS del prestador o del sistema:
| Nivel de Análisis | Resultado | Indicador |
| Prestador | Se replica en todas las APS del prestador | GE.1.1. Productividad del Personal Administrativo del Prestador – PPAP |
| GE.3.1. Relación de Costos y Gastos Administrativos por Gestión Social – GS | ||
| SF.1.1. Liquidez – L | ||
| SF.1.2. Eficiencia en el Recaudo – ER | ||
| SF.1.3. Cubrimiento de Costos y Gastos – CG | ||
| SF.1.4. Relación de Endeudamiento – RDP | ||
| SF.1.5. Rotación de Cartera de Servicios Públicos en días de pago – RC | ||
| SF.2.1. EBITDA | ||
| SF.2.2. Flujos Comprometidos – FC | ||
| SF.2.3. Endeudamiento – E | ||
| SF.3.1. Liquidez Ajustada – LA | ||
| SF.3.2. Índice Financiero asociado a la Eficiencia Operativa – IEO | ||
| SF.3.3. Relación Deuda a Inversiones – RDI | ||
| GYT.1.1. Índice de Rotación de Personal Directivo – IRPD | ||
| GYT.1.2. Carga Administrativa – ICA | ||
| GYT.2.1. Valor Económico Agregado – EVA | ||
| GYT.3.1. Cumplimento del PGR – CPGR | ||
| Sistema | Se replica en todas las APS del sistema | EO.1.1. Agua Controlada en Puntos de Uso y Consumo – ACPUC |
| EO.1.4. Índice de Macromedición Efectiva – IMA | ||
| EO.1.5. Modelo Hidráulico – MH | ||
| EO.2.1. Fallas en la Red de Transporte y Distribución de Acueducto – FAC | ||
| EO.2.2. Fallas en la Red de Alcantarillado – FAL | ||
| EO.3.1. Consumo Energético del Sistema de Tratamiento de Agua Potable Acueducto – CEAC | ||
| EO.3.2. Consumo Energético del Sistema de Tratamiento de Aguas Residuales de Alcantarillado – CEAL | ||
| GE.2.1. Productividad del Personal Operativo de Acueducto – POAC | ||
| GE.2.2. Productividad del Personal Operativo de Alcantarillado – POALC | ||
| GYT.4.1. Cumplimiento del PUEAA – CPUEAA | ||
| SA.1.1. Índice de Pérdidas de Agua en la Aducción – IPAA | ||
| SA.1.2. Utilización del Recurso Agua – UA | ||
| SA.1.3. Reporte de Afectación Hídrica asociada a Fenómenos Climáticos – RAHC | ||
| SA.1.4. Gestión de Lodos Resultantes Acueducto – GLRAC | ||
| SA.2.1. Aprobación del PSMV – AproPSMV | ||
| SA.2.2. Cumplimiento del PSMV – CPSMV | ||
| SA.2.3. Gestión de Lodos Resultantes Alcantarillado – GLRAL | ||
| GT.1.5. Cumplimiento Medición del Agua Captada – CMCAP | ||
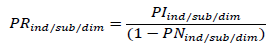
3. Normalización de los indicadores: La normalización se refiere a la aplicación de una regla matemática que permite convertir los resultados de un indicador a una escala de cero (0) a cien (100), en donde cien (100) siempre será el mejor resultado del indicador.
Para realizar el cálculo de cada uno de los indicadores que componen el Indicador Único Sectorial - IUS, es necesario aplicar la fórmula presentada a continuación (para los indicadores que cuentan con estándar, en la ficha técnica del indicador se encuentra la fórmula propia de normalización – ANEXO 4):

Donde:
Valor normalizado entre 0 y 100 del indicador i para la persona prestadora
Valor no normalizado del indicador i para la persona prestadora
Meta del indicador cuando se tiene un estándar regulatorio o valor máximo del indicador i no normalizado dentro de los prestadores que reportaron información.
Valor mínimo del indicador i no normalizado cuando se tiene un estándar o valor mínimo del indicador i no normalizado dentro de los prestadores que reportaron información.
La ecuación uno (1) aplica a indicadores de polaridad positiva, cuyo puntaje mejora cuando aumenta el valor del indicador. Mientras que la ecuación dos (2) a los de polaridad negativa, cuyo resultado mejora cuando se reduce el valor del indicador.
Dentro de IUS existen indicadores de los cuales no se tiene información disponible que permita definir sus estándares de medición, ni consecuentemente, realizar la normalización para cada uno de ellos, razón por la cual, a partir de la entrada en vigencia del presente acto administrativo, y durante los tres primeros años de aplicación, serán calificados teniendo en cuenta únicamente el reporte y calidad de la información. A partir del cuarto año, se evaluarán con los estándares que para el efecto defina la Comisión de Regulación de Agua Potable y Saneamiento Básico – CRA.
4. Ponderación de indicadores: el resultado de la normalización de cada indicador (numeral 3), debe ser multiplicado por su respectivo ponderador dentro de la sub-dimensión correspondiente. Dichos ponderadores se encuentran en el ANEXO 3 de la presente Resolución.
5. Redistribución de ponderadores: en el caso en que un indicador, sub-dimensión y/o dimensión que, bajo los lineamientos establecidos en las respectivas fichas técnicas del ANEXO 4 de la presente Resolución, no le sea aplicable a algún prestador debido a sus características particulares, el ponderador deberá ser redistribuido entre los demás: indicadores, sub-dimensiones o dimensiones, respectivamente.
Para tal redistribución, el nuevo ponderador de cada uno de los indicadores, sub-dimensiones o dimensiones que se aplicará para el cálculo del IUS, se estimará con la siguiente fórmula:
![]()
Donde:
Ponderador redistribuido para el indicador, sub-dimensión o dimensión aplicable al prestador dentro de su categoría.
Ponderador inicial del indicador, sub-dimensión o dimensión que le es aplicable al prestador, se encuentra establecido en el ANEXO 3 de la presente resolución.
Ponderador inicial del indicador, sub-dimensión o dimensión que no le es aplicable al prestador, se encuentra establecido en el ANEXO 3 de la presente resolución.
En caso en que se deba redistribuir el ponderador de más de un indicador, el denominador incluirá la sumatoria de
6. Cálculo del resultado de cada sub-dimensión: conociendo el ponderador de cada sub-dimensión incluidos en el ANEXO 3, se calcula la sumatoria de los valores de los indicadores ponderados (numeral 4 y 5) multiplicado por el respectivo ponderador de cada sub-dimensión, obteniéndose así, un valor por sub-dimensión dentro de cada dimensión.
7. Cálculo del valor de cada dimensión: es el resultado de la sumatoria de los valores de las sub-dimensiones que componen cada dimensión (numeral 5 y 6), multiplicadas por el ponderador de cada dimensión, establecido en el ANEXO 3.
8. Agregación de valores de los indicadores para mercados regionales declarados en aplicación de las Resoluciones CRA 628 y 633 de 2013 y 821 de 2017 o aquella que las modifique, aclare, adicione o sustituya. En este caso, el IUS será único por prestador, consolidando los resultados de los indicadores de todas las APS atendidas por este, en un mercado regional declarado, de la siguiente forma:
![]()
Donde:
Indicador del IUS, donde = {1, 2, 3, …, Ind}.
Área de prestación del servicio la persona prestadora, donde:
= {1, 2, 3,..., z}
Promedio mensual de suscriptores del servicio público domiciliario de acueducto y/o alcantarillado del área de prestación
durante el periodo de evaluación. Para el cálculo de este promedio se considera únicamente el número de meses del periodo de evaluación en el que se prestaron los servicios.
Resultado obtenido por el indicador x para el Área de prestación del servicio
.
Se exceptúan de la anterior fórmula los siguientes indicadores cuyo cálculo se realizará con base en la información consolidada a nivel de prestador:
- GE.1.1. Productividad del Personal Administrativo del Prestador – PPAP
- GE.3.1. Relación de Costos y Gastos Administrativos por Gestión Social – GS
- SF.1.1. Liquidez – L
- SF.1.2. Eficiencia en el Recaudo – ER
- SF.1.3. Cubrimiento de Costos y Gastos – CG
- SF.1.4. Relación de Endeudamiento – RDP
- SF.1.5. Rotación de Cartera de Servicios Públicos en días de pago – RC
- SF.2.1. EBITDA
- SF.2.2. Flujos Comprometidos – FC
- SF.2.3. Endeudamiento – E
- SF.3.1. Liquidez Ajustada – LA
- SF.3.2. Índice Financiero asociado a la Eficiencia Operativa – IEO
- SF.3.3. Relación Deuda a Inversiones – RDI
- GYT.1.1. Índice de Rotación de Personal Directivo – IRPD
- GYT.1.2. Carga Administrativa – ICA
- GYT.2.1. Valor Económico Agregado – EVA
- GYT.3.1. Cumplimento del PGR – CPGR
9. Resultado del Indicador Único Sectorial - IUS: corresponde a la sumatoria de los valores obtenidos por cada una de las dimensiones (numeral 7). El valor total del IUS será un número entre 0 y 100, el cual definirá el nivel de riesgo por APS del prestador.
ARTÍCULO 5o. <Consultar vigencia directamente en el artículo que modifica> CORREGIR el error tipográfico y ACLARAR el contenido de la ficha técnica del ANEXO 4 correspondiente al indicador CS.1.1 Índice de Reporte y Calidad de Agua Potable – IRCAP, incluido en la dimensión D.1 Calidad del servicio (CS), de acuerdo con lo expuesto en la parte motiva de la presente resolución, el cual quedará así:
SUB-DIMENSIÓN: CS.1 –CALIDAD DEL AGUA POTABLE
INDICADOR CS.1.1 Índice de Reporte y Calidad de Agua Potable – IRCAP
DEFINICIÓN El IRCAP refleja si el prestador reporta la información de calidad de agua potable suministrada y si esta es apta para el consumo humano, con base en el promedio de los valores mensuales del Índice de Riesgo de la Calidad del Agua (IRCA).
JUSTIFICACIÓN La gestión y resultados de una persona prestadora debe contar con una evaluación del riesgo del servicio público domiciliario de acueducto en aspecto referentes a la calidad del agua potable entregada a sus usuarios, la cual está asociada a problemas de salud pública y a los riesgos estratégico y de cumplimiento del prestador.
NIVEL DE ANÁLISIS Área de prestación del servicio – APS.
PERÍODO DE EVALUACIÓN Año fiscal.
FÓRMULA Para el cálculo del indicador se aplicará la siguiente fórmula:
Donde:
Índice de Reporte y Calidad de Agua Potable, redondeado a dos (2) cifras decimales.
i: Mes del período de evaluación en el que se prestó el servicio público domiciliario de acueducto, donde i = {1, 2, 3,..., m}.
m: Número de meses en los que se prestó el servicio público domiciliario de acueducto durante el período de evaluación (año fiscal). Si el servicio se prestó durante todo el período de evaluación, m corresponderá a 12.
Reporte y calidad de agua potable para el mes i, de acuerdo con:
Donde:
índice de riesgo de la calidad del agua para consumo humano (IRCA) por persona prestadora del mes i, de acuerdo con los artículos 13 y 14 de la Resolución 2115 de 2007 del Ministerio de la Protección Social y el Ministerio de Ambiente, Vivienda y Desarrollo Territorial, y el reporte de estos de acuerdo con el artículo 16 de la misma, o aquella que la modifique, adicione, sustituya o aclare, y para zonas rurales según las frecuencias definidas por el artículo 6o de la Resolución 622 de 2020 del Ministerio de Salud y Protección Social y Ministerio de Vivienda, Ciudad y Territorio o aquellas que las modifiquen, adicionen, sustituyan o aclaren.
En todo caso, a falta de información en el mes i el valor de esta variable será igual a cero (0). Para pequeños prestadores y prestadores rurales:
- Si la fuente de información corresponde a las muestras de vigilancia en la red de distribución y el prestador atiende una población menor o igual a 2.500 habitantes, en caso de que la autoridad sanitaria no reporte el valor para el mes i, el
tomará el valor del bimestre o semestre que corresponda.
- Si la fuente de información corresponde a las muestras de vigilancia en la red de distribución y el prestador atiende una población mayor a 2.500 habitantes, en caso de que la autoridad sanitaria no haya reportado información para el mes i, el
tomará el promedio de los dos valores reportados más cercanos.
La frecuencia de medición del
deberá corresponder a aquella definida por las Resoluciones 2115 de 2007 del Ministerio de la Protección Social y el Ministerio de Ambiente, Vivienda y Desarrollo Territorial, y la Resolución 622 de 2020 del Ministerio de Salud y Protección Social y Ministerio de Vivienda, Ciudad y Territorio, o aquellas que las modifiquen, adicionen, sustituyan o aclaren.
FUENTE DE INFORMACIÓN El IRCA corresponde al reportado al SUI y calculado mensualmente, con muestras de control de la red de distribución, por la persona prestadora en un laboratorio autorizado de acuerdo con lo establecido por el artículo 27 del Decreto 1575 de 2007 del Ministerio de Salud y Protección Social, o aquella que modifique, adicione, sustituya o aclare. En caso de que la persona prestadora, perteneciente al segmento de pequeños prestadores o prestadores rurales, no reporte al SUI dicha información, se empleará la información de muestras de vigilancia de la red de distribución, registrada por las autoridades sanitarias en el SIVICAP.
ESTÁNDAR DE MEDICIÓN (No Normalizado)
NORMALIZACIÓN Para el cálculo del valor normalizado del indicador se aplicará la siguiente fórmula:

| Segmento | Referente de Evaluación (Normalizado) Meta o estándar de Medición | Escala de Medición |
| Todos los prestadores | 100 | 0 a 100 |
ARTÍCULO 6o. <Consultar vigencia directamente en el artículo que modifica> CORREGIR el error tipográfico y ACLARAR el contenido de la ficha técnica del ANEXO 4 correspondiente al indicador CS.1.2 Índice de Riesgo por Abastecimiento de Agua por Parte de la Persona Prestadora – IRABApp, incluido en la dimensión D.1 Calidad del servicio (CS), de acuerdo con lo expuesto en la parte motiva de la presente resolución, el cual quedará así:
SUB-DIMENSIÓN: CS.1 – CALIDAD DEL AGUA POTABLE
iNDICADOR CS.1.2 Índice de Riesgo por Abastecimiento de Agua por Parte de la Persona Prestadora – IRABApp
DEFINICIÓN El IRABApp tiene en cuenta los procesos de tratamiento, distribución y continuidad del servicio público domiciliario de acueducto, acorde con lo establecido en la Resolución 2115 de 2007 del Ministerio de la Protección Social y el Ministerio de Ambiente, Vivienda y Desarrollo Territorial o aquella que modifique, adicione, sustituya o aclare; por medio de la cual, se señalan características, instrumentos básicos y frecuencias del sistema de control y vigilancia de la calidad del agua para consumo humano.
JUSTIFICACIÓN La gestión y resultados de una persona prestadora debe evaluar los riesgos estratégicos y operativos de la prestación del servicio público domiciliario de acueducto en aspectos asociados a la continuidad y tratamiento, que impactan directamente en la calidad de vida de las personas y en la calidad del servicio.
NIVEL DE ANÁLISIS Área de prestación del servicio – APS.
PERÍODO DE EVALUACIÓN Año fiscal.
FÓRMULA Para el cálculo del indicador se aplicará la siguiente fórmula:
= Índice de riesgo por abastecimiento de agu por parte de la persona prestadora
El resultado de la fórmula será redondeado a dos (2) cifras decimales.
Para la aplicación de esta fórmula, se deben tener en cuenta los siguientes aspectos:
- Para el caso de las APS abastecidas por más de una planta de tratamiento, el presente indicador deberá considerar los valores del “Índice de riesgo por abastecimiento de agua por parte de la persona prestadora” entregada por el Instituto Nacional de Salud –INS para cada planta de tratamiento, haciendo una suma de dichos valores, ponderados por el porcentaje del volumen total anual de agua producida del sistema en el período de evaluación, correspondiente a cada planta de tratamiento.
- Para el caso de prestadores que incurran en contratos de suministro de agua potable, como única fuente de abastecimiento del servicio público domiciliario de acueducto, el ponderador de este indicador será redistribuido de conformidad con lo establecido por el numeral 5 del Anexo 1 de la presente resolución.
FUENTE DE INFORMACIÓN El valor de este indicador corresponderá al reportado en el SIVICAP por el Instituto Nacional de Salud (INS) de acuerdo con lo definido por el artículo 20 de la Resolución 2115 de 2007 del Ministerio de la Protección Social y el Ministerio de Ambiente, Vivienda y Desarrollo Territorial, o aquella que la modifique, adicione, sustituya o aclare. En el caso en el que el INS reporte más de un
durante el periodo de evaluación, se empleará el reporte más reciente.
En dado caso que el INS no reporte la información del
para la APS, el ponderador de este indicador será redistribuido de conformidad con lo establecido por el numeral 5 del Anexo 1 de la presente resolución.
ESTÁNDAR DE MEDICIÓN (No Normalizado)
= 0%
NORMALIZACIÓN Para el cálculo del valor normalizado del indicador se aplicará la siguiente fórmula:

| Segmento | Referente de Evaluación (Normalizado) Meta o estándar de Medición | Escala de Medición |
| Todos los prestadores | 100 | 100 a 0 |
ARTÍCULO 7o. <Consultar vigencia directamente en el artículo que modifica> CORREGIR el error tipográfico y ACLARAR el contenido de la ficha técnica del ANEXO 4 correspondiente al indicador CS.2.1 Índice de Continuidad – IC incluido en la dimensión D.1 Calidad del servicio (CS), de acuerdo con lo expuesto en la parte motiva de la presente resolución, el cual quedará así:
SUB-DIMENSIÓN: CS.2 – DISTRIBUCIÓN DE AGUA PARA USO Y CONSUMO
INDICADOR CS.2.1 Índice de Continuidad – IC
DEFINICIÓN El IC refleja el promedio mensual del número de horas/día de prestación efectiva del servicio público domiciliario de acueducto.
JUSTIFICACIÓN La gestión y resultados de una persona prestadora del servicio público domiciliario de acueducto debe contar con una evaluación de los riesgos de cumplimiento y estratégicos del prestador, asociados a la disponibilidad del recurso hídrico por parte de los suscriptores bajo un criterio técnico e hidráulico.
NIVEL DE ANÁLISIS Área de prestación del servicio – APS.
PERÍODO DE EVALUACIÓN Año fiscal.
FÓRMULA Para el cálculo del indicador se aplicará la siguiente fórmula:
![]()
Donde:
Índice de Continuidad, redondeado a dos (2) cifras decimales.
g: período de facturación, durante el año de evaluación en el que se prestó el servicio público domiciliario de acueducto, g = {1, 2, 3,..., PF}. En donde, g =1 corresponde al primer período de facturación que tenga su fecha de inicio dentro del año de evaluación; mientras que g = PF corresponderá al último período de facturación que inicie en el año de evaluación, independiente de que su fecha de terminación no se encuentre en el año de evaluación.
PF: número de períodos de facturación en los cuales se prestó el servicio público domiciliario de acueducto durante el período de evaluación (año fiscal).
índice de continuidad del período de facturación g, de acuerdo con la siguiente fórmula:
![]()
Donde:
sector en el cual se presta el servicio durante el período de facturación g, donde s = {1, 2, 3,..., k}.
número de horas de servicio prestadas en el sector s en el período de facturación g.
número de suscriptores del sector s en el período de facturación g.
número de horas totales del período de facturación g, calculado como 24 horas por el número de días del período de facturación g.
número total de suscriptores de la persona prestadora en el período de facturación g.
No se deberán excluir las horas de suspensión en interés del servicio, ni las horas de suspensión debido a daños por terceros.
FUENTE DE INFORMACIÓN SUI. Para el número de suscriptores se empleará la información del Formato de Facturación de las Resoluciones SSPD 201713000039945 de 2017 y 20101300048765 de 2010 o aquella que las modifique, adicione, sustituya o aclare.
ESTÁNDAR DE MEDICIÓN (No Normalizado)
NORMALIZACIÓN Para el cálculo del valor normalizado del indicador se aplicará la siguiente fórmula:

| Segmento | Referente de Evaluación (Normalizado) Meta o estándar de Medición | Escala de Medición |
| Todos los prestadores | 100 | 0 a 100 |
ARTÍCULO 8o. <Consultar vigencia directamente en el artículo que modifica> ACLARAR el contenido de la ficha técnica del ANEXO 4 correspondiente al indicador CS.3.1 Índice de Atención de PQR Acueducto – IPQRAC incluido en la dimensión D.1 Calidad del servicio (CS), de acuerdo con lo expuesto en la parte motiva de la presente resolución, el cual quedará así:
SUB-DIMENSIÓN: CS.3 – ATENCIÓN AL USUARIO
INDICADOR CS.3.1 Índice de Atención de PQR Acueducto – IPQRAC
DEFINICIÓN El IPQRAC determina la proporción de los derechos de petición, quejas y recursos (PQR) del servicio público domiciliario de acueducto, que no son atendidos dentro del tiempo estipulado por la normativa vigente, respecto al número total de PQR recibidos durante el período de evaluación. En este sentido, el indicador mide la eficiencia en la atención a las PQR del servicio de acueducto, independiente de su naturaleza.
JUSTIFICACIÓN La gestión y resultados de una persona prestadora debe establecer la efectividad con la que el prestador atiende todos derechos de petición, quejas y recursos (PQR) del servicio público domiciliario de acueducto, independientemente de la causal que le sea asignada al mismo. La incorrecta atención de dichas PQR pueden afectar la eficiencia de la prestación de servicio y están asociadas a riesgos de cumplimiento y de imagen del prestador.
NIVEL DE ANÁLISIS Área de prestación del servicio – APS.
PERÍODO DE EVALUACIÓN Año fiscal.
FÓRMULA Para el cálculo del indicador se aplicará la siguiente fórmula:
![]()
Donde:
Índice de atención de PQR del servicio público domiciliario de Acueducto, redondeado a dos (2) cifras decimales.
Número de PQR del servicio público domiciliario de acueducto no atendidos dentro del tiempo estipulado por la normatividad vigente en el período de evaluación.
Número total de PQR del servicio público domiciliario de acueducto resueltas en el período de evaluación, incluyendo aquellas que fueron abiertas a pruebas.
Se deberán incluir todas las PQR, independiente de la clasificación del trámite y causal, establecidos según la Resolución SSPD 20151300054575 de 2015, modificada parcialmente y aclarada por la Resolución SSPD 20161300011295 de 2016 y la Resolución SSPD 20188000076635 de 2018 o aquellas que las modifiquen, adicionen, sustituyan o aclaren.
FUENTE DE INFORMACIÓN SUI. Para el número de PQR se empleará la información asociada al reporte establecido en la Resolución SSPD 20151300054575 de 2015, modificada parcialmente y aclarada por la Resolución SSPD 20161300011295 de 2016 y la Resolución SSPD 20188000076635 de 2018 o aquellas que las modifiquen, adicionen, sustituyan o aclaren. Adicionalmente, será necesario incluir en la solicitud de información la fecha de recepción de la PQR, la fecha de respuesta y apertura a pruebas cuando hubiera lugar a ello.
ESTÁNDAR DE MEDICIÓN (No Normalizado)
= 0%
NORMALIZACIÓN Para el cálculo del valor normalizado del indicador se aplicará la siguiente fórmula:

| Segmento | Referente de Evaluación (Normalizado) Meta o estándar de Medición | Escala de Medición |
| Todos los prestadores | 100 | 100 a 0 |
ARTÍCULO 9o. <Consultar vigencia directamente en el artículo que modifica> CORREGIR los errores tipográficos y ACLARAR el contenido de la ficha técnica del ANEXO 4 correspondiente al indicador CS.3.2 Índice de Atención de PQR Alcantarillado – IPQRAL, incluido en la dimensión D.1 Calidad del servicio (CS), de acuerdo con lo expuesto en la parte motiva de la presente resolución, el cual quedará así:
SUB-DIMENSIÓN: CS.3 – ATENCIÓN AL USUARIO
INDICADOR CS.3.2 Índice de Atención de PQR Alcantarillado – IPQRAL
DEFINICIÓN El IPQRAL determina la proporción de los derechos de petición, quejas y recursos (PQR) del servicio público domiciliario de alcantarillado, que no son atendidos dentro del tiempo estipulado por la normativa vigente, respecto al número total de PQR recibidos durante el período de evaluación.
JUSTIFICACIÓN La gestión y resultados de una persona prestadora debe establecer la efectividad con la que el prestador atiende todos derechos de petición, quejas y recursos (PQR) del servicio público domiciliario de alcantarillado, independientemente de la causal que le sea asignada al mismo. La incorrecta atención de dichas PQR pueden afectar la eficiencia de la prestación de servicio y están asociadas a riesgos de cumplimiento y de imagen del prestador.
NIVEL DE ANÁLISIS Área de prestación del servicio – APS.
PERÍODO DE EVALUACIÓN Año fiscal.
FÓRMULA Para el cálculo del indicador se aplicará la siguiente fórmula:
![]()
Donde:
Índice de atención de PQR del servicio público domiciliario de Alcantarillado, redondeado a dos (2) cifras decimales.
Número de PQR del servicio público domiciliario de alcantarillado no atendidos dentro del tiempo estipulado por la normatividad vigente en el período de evaluación.
Número total de PQR del servicio público domiciliario de alcantarillado resueltas en el período de evaluación, incluyendo aquellas que fueron abiertas a pruebas.
Se deberán incluir todas las PQR, independiente de la clasificación del trámite y causal establecidos según la Resolución SSPD 20151300054575 de 2015, modificada parcialmente y aclarada por la Resolución SSPD 20161300011295 de 2016 y, la Resolución SSPD 20188000076635 de 2018 o aquellas que las modifiquen, adicionen, sustituyan o aclaren.
FUENTE DE INFORMACIÓN SUI. Para el número de PQR se empleará la información asociada al reporte establecido en la Resolución SSPD 20151300054575 de 2015, modificada parcialmente y aclarada por la Resolución SSPD 20161300011295 de 2016 y, la Resolución SSPD 20188000076635 de 2018 o aquellas que las modifiquen, adicionen, sustituyan o aclaren. Adicionalmente, será necesario incluir en la solicitud de información la fecha de recepción de la PQR, la fecha de respuesta y apertura a pruebas cuando hubiera lugar a ello.
ESTÁNDAR DE MEDICIÓN (No Normalizado)
= 0%
NORMALIZACIÓN Para el cálculo del valor normalizado del indicador se aplicará la siguiente fórmula:

| Segmento | Referente de Evaluación (Normalizado) Meta o estándar de Medición | Escala de Medición |
| Todos los prestadores | 100 | 100 a 0 |
ARTÍCULO 10. <Consultar vigencia directamente en el artículo que modifica> ACLARAR el contenido de la ficha técnica del ANEXO 4 correspondiente al indicador EP.3.1 Indicador de Plan de Emergencias y Contingencias para Acueducto – PECAC, incluido en la dimensión D.2 Eficiencia en la Planificación y Ejecución de Inversiones (EP), de acuerdo con lo expuesto en la parte motiva de la presente resolución, el cual quedará así:
SUB-DIMENSIÓN: EP.3 – PLANIFICACIÓN ANTE EMERGENCIAS
INDICADOR EP.3.1 Indicador de Plan de Emergencias y Contingencias para Acueducto – PECAC
DEFINICIÓN El PECAC verifica la planeación de las acciones que deberá poner en marcha el prestador del servicio público domiciliario de acueducto en caso de emergencia, y los planes de contingencia establecidos por el prestador para recuperar la normalidad de la prestación del servicio en el menor tiempo posible, logrando reducir los impactos negativos en beneficio de los usuarios.
JUSTIFICACIÓN La gestión y resultados de una persona prestadora debe permitir controla el incumplimiento de la obligación normativa de contar con Planes de Emergencias y Contingencias (PEC), lo cual está asociado a riesgos estratégicos, operativos y de cumplimiento por parte del prestador del servicio público domiciliario de acueducto.
Lo anterior, debido a que una falta de planificación y/o preparación ante eventos naturales y de contingencias puede afectar los procesos asociados a la prestación del servicio de acueducto, lo cual implica un riesgo inminente de afectación total en el suministro del servicio al no poder cubrir la emergencia en caso de su ocurrencia.
NIVEL DE ANÁLISIS Área de Prestación del Servicio - APS.
PERÍODO DE EVALUACIÓN Anual (año fiscal).
FÓRMULA Para el cálculo del indicador para las APS en zonas urbanas se aplicará la siguiente fórmula:
![]()
Donde:
Indicador de Plan de Emergencias y Contingencias para Acueducto, redondeado a dos (2) cifras decimales.
Componentes que conforman el PEC.
Donde,
Corresponde al reporte de la información del componente r al SUI.
Donde:
![]()
Para el cálculo del indicador para las APS en zonas rurales, se aplicará la siguiente fórmula:
![]()
Donde:
Indicador de Plan de Emergencias y Contingencias para Acueducto Rural.
Componentes que conforman el PEC.
Donde: ![]()
Corresponde al reporte de la información del componente i al SUI.
Donde: ![]()
La definición y alcance de cada uno de los componentes, corresponde a las especificaciones establecidas en la Resolución MVCT 154 de 2014, modificada por la Resolución MVCT 527 de 2018 o aquella que la modifique, adicione, sustituya o aclare, y la Resolución SSPD-20161300062185 de 2016 o aquella que la modifique, adicione, sustituya o aclare.
FUENTE DE INFORMACIÓN Información reportada en los formularios “Formulario Recursos Financieros AAA”, “Formato. Amenazas Servicio de Acueducto”, “Formato Inventario de Equipos AAA”, “Formato. Plan de Contingencia (PDF)”, “Formato. Registro de Eventos – Servicio de Acueducto” y “Formulario. Cuestionario eventos Acueducto” del Sistema Único de Información - SUI, establecidos mediante la Resolución SSPD 20161300062185 o aquella que la modifique, adicione, sustituya o aclare.
ESTÁNDAR DE MEDICIÓN (No Normalizado)
= 100% y
= 100%.
NORMALIZACIÓN Para el cálculo del valor normalizado del indicador se aplicará la siguiente fórmula:


| Segmento | Meta o estándar de Medición | Escala de Medición |
| Todos los prestadores | 100 | 0 a 100 |
ARTÍCULO 11. <Consultar vigencia directamente en el artículo que modifica> ACLARAR el contenido de la ficha técnica del ANEXO 4 correspondiente al indicador EP.3.2 Indicador de Plan de Emergencias y Contingencias para Alcantarillado – PECAL, incluido en la dimensión D.2 Eficiencia en la Planificación y Ejecución de Inversiones (EP), de acuerdo con lo expuesto en la parte motiva de la presente resolución, el cual quedará así:
SUB-DIMENSIÓN: EP.3 – PLANIFICACIÓN ANTE EMERGENCIAS
INDICADOR EP.3.2 Indicador de Plan de Emergencias y Contingencias para Alcantarillado – PECAL
DEFINICIÓN El PECAL verifica la planeación de las acciones que deberá poner en marcha el prestador del servicio público domiciliario de alcantarillado en caso de emergencia, y los planes de contingencia establecidos por el prestador para recuperar la normalidad de la prestación del servicio en el menor tiempo posible, logrando reducir los impactos negativos en beneficio de los usuarios.
JUSTIFICACIÓN La gestión y resultados de una persona prestadora debe permitir controla el incumplimiento de la obligación normativa de contar con Planes de Emergencias y Contingencias (PEC), lo cual está asociado a riesgos estratégicos, operativos y de cumplimiento por parte del prestador del servicio público domiciliario de alcantarillado. Lo anterior, debido a que una falta de planificación y/o preparación ante eventos naturales y de contingencias puede afectar los procesos asociados a la prestación del servicio de alcantarillado, lo cual implica un riesgo inminente de afectación total en el suministro del servicio al no poder cubrir la emergencia en caso de su ocurrencia.
NIVEL DE ANÁLISIS Área de Prestación del Servicio - APS.
ERÍODO DE EVALUACIÓN Anual (año fiscal).
FÓRMULA Para el cálculo del indicador para las APS en zonas urbanas se aplicará la siguiente fórmula:
![]()
Donde:
Indicador de Plan de Emergencias y Contingencias para Alcantarillado, redondeado a dos (2) cifras decimales.
Componentes que conforman el PEC.
Donde,

Corresponde al reporte de la información del componente r al SUI.
Donde:
![]()
Para el cálculo del indicador para las APS en zonas rurales, se aplicará la siguiente formula:
![]()
Donde:
Indicador de Plan de Emergencias y Contingencias para Alcantarillado Rural.
Componentes que conforman el PEC.
Donde: ![]()
Corresponde al reporte de la información del componente i al SUI.
Donde:
![]()
La definición y alcance de cada uno de los componentes, corresponde a las especificaciones establecidas en la Resolución MVCT 154 de 2014, modificada por la Resolución MVCT 527 de 2018 o aquella que la modifique, adicione, sustituya o aclare, y la Resolución SSPD-20161300062185 de 2016 o aquella que la modifique, adicione, sustituya o aclare.
FUENTE DE INFORMACIÓN Información reportada en los formularios “Formulario Recursos Financieros AAA”, “Formato. Amenazas Servicio de Acueducto”, “Formato Inventario de Equipos AAA”, “Formato. Plan de Contingencia (PDF)”, “Formato. Registro de Eventos – Servicio de Alcantarillado” y “Formulario. Cuestionario eventos alcantarillado” del Sistema Único de Información - SUI, establecidos mediante la Resolución SSPD 20161300062185 o aquella que la modifique, adicione, sustituya o aclare.
ESTÁNDAR DE MEDICIÓN (No Normalizado)
= 100% y
= 100%.
NORMALIZACIÓN Para el cálculo del valor normalizado del indicador se aplicará la siguiente fórmula:

| Segmento | Referente de Evaluación (Normalizado) Meta o estándar de Medición | Escala de Medición |
| Todos los prestadores | 100 | 0 a 100 |
ARTÍCULO 12. <Consultar vigencia directamente en el artículo que modifica> ACLARAR el contenido de la ficha técnica del ANEXO 4 correspondiente al indicador EO.1.1 Agua Controlada en Puntos de Uso y Consumo – ACPUC, incluido en la dimensión D.3 Eficiencia en Operación (EO), de acuerdo con lo expuesto en la parte motiva de la presente resolución, el cual quedará así:
SUB-DIMENSIÓN: EO.1 – EFICIENCIA EN LA GESTIÓN DEL RECURSO AGUA
INDICADOR EO.1.1 Agua Controlada en Puntos de Uso y Consumo – ACPUC
DEFINICIÓN El ACPUC corresponde a la medición de la proporción de agua que es consumida por los usuarios, frente al volumen total de agua que se ingresa al sistema.
JUSTIFICACIÓN La gestión y resultados de una persona prestadora del servicio público domiciliario de acueducto debe evidenciar los riesgos operativos, estratégicos, financieros y de cumplimiento, asociados a las pérdidas comerciales y técnicas. Lo anterior, debido a que ante mayores pérdidas técnicas, se pone en riesgo la continuidad del servicio público domiciliario de acueducto, se afecta la prestación del servicio y medio ambiente, y a su vez, las pérdidas comerciales afectan la situación financiera del prestador al dejar de percibir ingresos debido a dichas perdidas.
NIVEL DE ANÁLISIS Sistema de acueducto. En el caso en el cual se preste el servicio público domiciliario de acueducto a más de una APS mediante el mismo sistema, el resultado del indicador se aplicará a cada una de dichas APS.
PERÍODO DE EVALUACIÓN Año fiscal.
FÓRMULA Para el cálculo del indicador, en grandes y pequeños prestadores, se aplicará la siguiente fórmula:
![]()
Donde(3):
Agua Controlada en Puntos de Uso y Consumo, redondeado a dos (2) cifras decimales.
Volumen de consumo anual facturado medido durante el período de evaluación (m3).
Volumen de consumo anual facturado no medido durante el período de evaluación (m3).
Volumen anual de entrada al sistema durante el período de evaluación (m3), el cual debe incluir el volumen saliente del sistema de tratamiento y/o al volumen de contratos de suministro.
Índice de pérdidas por suscriptor facturado aceptadas en la regulación vigente, establecidas en 6m3/suscriptor/mes.
La variable IPUF* se podrá reemplazar por el NEP en los casos en que la persona prestadora hubiese aplicado lo dispuesto en el parágrafo 10 del artículo 9o de la Resolución CRA 688 de 2014.
Número de suscriptores del año en análisis. Para el cálculo de esta variable se aplicará la siguiente fórmula:

Donde:
g: Período de facturación, durante el año de evaluación, en el que se prestó el servicio público domiciliario de acueducto, g = {1, 2, 3,..., PF}. En donde, g =1 corresponde al primer período de facturación que tenga su fecha de inicio dentro del año de evaluación; mientras que g = PF corresponderá al último período de facturación que inicie en el año de evaluación, independiente de que su fecha de terminación no se encuentre en el año de evaluación.
PF: Número de períodos de facturación en los cuales se prestó el servicio público domiciliario de acueducto durante el período de evaluación (año fiscal).
Número de suscriptores del servicio público domiciliario de acueducto atendidos en el período de facturación g.
El período anual empleado para la estimación de la variable
se utilizará para el cálculo de las variables
,
y
Para el cálculo del indicador, en prestadores rurales, se aplicará la siguiente fórmula:
![]()
Donde:
Agua Controlada en Puntos de Uso y Consumo, redondeado a dos (2) cifras decimales.
Volumen anual de agua potable producido (m3).
Volumen anual entrante al sistema por concepto de contratos de suministro de agua potable e interconexión (m3).
Volumen anual facturado (m3).
Volumen anual entregado por concepto de contratos de suministro de agua potable e interconexión de acueducto (m3).
El período anual empleado para la estimación de la variable
se utilizará para el cálculo de las variables
y
Se deberá indicar en todo caso el tipo de medición para las variables
y
caudalímetros electromagnéticos, caudalímetros ultrasónicos, placas de orificio, sistemas Venturi o Macromedidores tipo Woltmann; de conformidad con el parágrafo 4 del artículo 73 de la Resolución 330 de 2017 del MVCT, o aquella que la modifique, adicione, sustituya o aclare.
FUENTE DE INFORMACIÓN SUI. Información asociada al reporte de información en el Formulario de Facturación establecido en la Resolución SSPD 201713000039945 de 2017, o aquella que la modifique, adicione, sustituya o aclare. Adicionalmente, para grandes prestadores, se empleará el reporte del Plan de reducción de pérdidas y balance hídrico según Anexo 1 Resolución CRA 688 del 2014, o aquella que la modifique, adicione, sustituya o aclare.
ESTÁNDAR DE MEDICIÓN (No Normalizado)
=100%
NORMALIZACIÓN Para el cálculo del valor normalizado del indicador se aplicará la siguiente fórmula

| Segmento | Referente de Evaluación (Normalizado) Meta o estándar de Medición | Escala de Medición |
| Todos los prestadores | 100 | 0 a 100 |
ARTÍCULO 13. <Consultar vigencia directamente en el artículo que modifica> ACLARAR el contenido de la ficha técnica del ANEXO 4 correspondiente al indicador EO.1.4 Índice de Macromedición Efectiva – IMA, incluido en la dimensión D.3 Eficiencia en Operación (EO), de acuerdo con lo expuesto en la parte motiva de la presente resolución, el cual quedará así:
SUB-DIMENSIÓN: EO.1 – EFICIENCIA EN LA GESTIÓN DEL RECURSO AGUA
INDICADOR EO.1.4 Índice de Macromedición Efectiva – IMA DEFINICIÓN El IMA determina el porcentaje de macromedición a las salidas de los sistemas de potabilización, tanques de almacenamiento de agua potable y/o sistemas de bombeo.
JUSTIFICACIÓN La gestión y resultados de una persona prestadora del servicio público domiciliario debe permitir contar con la información del agua producida y/o almacenada para realizar un adecuado manejo del sistema y apoyar la toma de decisiones. La inadecuada gestión operativa y comercial a partir del conocimiento del agua producida, tiene incidencia en los riesgos operativos, estratégicos, de cumplimiento y financieros del prestador. Este riesgo puede verse evidenciado en la inexactitud en la medición a la salida de los sistemas de potabilización, a la salida de los tanques de almacenamiento, a la entrada y salida de sistemas de bombeo (superficial o pozo profundo), o por inexistencia de dicha medición.
NIVEL DE ANÁLISIS Sistema de acueducto. En el caso en el cual se preste el servicio público domiciliario de acueducto a más de una APS mediante el mismo sistema, el resultado del indicador se aplicará a cada una de dichas APS.
PERÍODO DE EVALUACIÓN Año fiscal.
FÓRMULA Para el cálculo del indicador se aplicará la siguiente fórmula:
![]()
Donde:
Índice de Macromedición Efectiva, redondeado a dos (2) cifras decimales.
i: Mes del período de evaluación en el que se prestó el servicio público domiciliario de acueducto, donde i = {1, 2, 3,..., m}.
m: Número de meses en los que se prestó el servicio público domiciliario de acueducto durante el período de evaluación (año fiscal). Si el servicio se prestó durante todo el período de evaluación, m corresponderá a 12.
Índice de Macromedición Efectiva para el mes i, de acuerdo con la siguiente fórmula:
![]()
Número de tuberías de: i) salida de los sistemas de potabilización, ii) salida de tanques de almacenamiento, y iii) entrada y salida de sistemas de bombeo (superficial y/o pozo profundo), con medición en funcionamiento.
Número total de tuberías de: i) salida de los sistemas de potabilización, ii) salida de tanques de almacenamiento, y iii) entrada y salida de sistemas de bombeo (superficial y/o pozo profundo), en el sistema de acueducto.
De acuerdo con el artículo 73 de la Resolución 330 de 2017 del MVCT, o aquella que la modifique, adicione, sustituya o aclare, el prestador debe tener medición instalada tanto a la salida de la PTAP y a la salida de los tanques de almacenamiento, como a la entrada y salida de los sistemas de bombeo (superficiales o pozo profundo) que posea. Se deberá indicar el tipo de medición empleada, de acuerdo con lo establecido por el parágrafo 4 del artículo ibídem: caudalímetros electromagnéticos, caudalímetros ultrasónicos, placas de orificio, sistemas Venturi o Macromedidores tipo Woltmann.
Los instrumentos de medición deben encontrarse calibrados de acuerdo con lo establecido por el parágrafo 3 del artículo 73 de la Resolución 330 de 2017 del MVCT, o aquella que modifique, adicione, sustituya o aclare.
FUENTE DE INFORMACIÓN SUI.
ESTÁNDAR DE MEDICIÓN
= 100%
NORMALIZACIÓN Para el cálculo del valor normalizado del indicador se aplicará la siguiente fórmula:

| Segmento | Referente de Evaluación (Normalizado) Meta o estándar de Medición | Escala de Medición |
| Todos los prestadores | 100 | 0 a 100 |
ARTÍCULO 14. <Consultar vigencia directamente en el artículo que modifica> ACLARAR el contenido de la ficha técnica del ANEXO 4 correspondiente al indicador EO.2.1 Fallas en la Red de Transporte y Distribución de Acueducto – FAC, incluido en la dimensión D.3 Eficiencia en la Operación (EO), de acuerdo con lo expuesto en la parte motiva de la presente resolución, el cual quedará así:
SUB-DIMENSIÓN: EO.2 – EFICIENCIA EN LA GESTIÓN DE INFRAESTRUCTURA
INDICADOR EO.2.1 Fallas en la Red de Transporte y Distribución de Acueducto – FAC
DEFINICIÓN El FAC mide la proporción de daños en la red de transporte y distribución frente a la longitud de esta.
JUSTIFICACIÓN La gestión y resultados de una persona prestadora debe permitir evidenciar el riesgo operativo, estratégico, de imagen y financiero asociado a la falla o colapso de la infraestructura del servicio público domiciliario de acueducto. Lo anterior debido a que, si las redes no se encuentran en buen estado o no se ha realizado el mantenimiento o la reposición adecuada, la continuidad y calidad del servicio se podrían ver afectadas y se incrementarían las quejas de los usuarios.
NIVEL DE ANÁLISIS Sistema de acueducto. En el caso en el cual se preste el servicio público domiciliario de acueducto a más de una APS mediante el mismo sistema, el resultado del indicador se aplicará a cada una de dichas APS.
PERÍODO DE EVALUACIÓN Año fiscal.
FÓRMULA Para el cálculo del indicador se aplicará la siguiente fórmula:
![]()
Donde:
Fallas en red de Transporte y Distribución Acueducto, redondeado a dos (2) cifras decimales.
i: Mes del período de evaluación en el que se prestó el servicio público domiciliario de acueducto, donde i = {1, 2, 3,..., m}.
m: Número de meses en los que se prestó el servicio público domiciliario de acueducto durante el período de evaluación (año fiscal). Si el servicio se prestó durante todo el período de evaluación, m corresponderá a 12.
Número de fallas por longitud en tuberías de transporte y distribución de acueducto para el mes i, de acuerdo con la siguiente fórmula:
![]()
Donde:
Número de fallas en las redes de transporte (red de aducción). Se entiende por falla aquellas que generen acciones de reparación (correctivas) por parte de la persona prestadora. Se deberán incluir las fallas causadas por terceros.
Número de fallas en las redes de distribución (redes de conducción y distribución). Se entiende por falla aquellas que generen acciones de reparación (correctivas) por parte de la persona prestadora. No se deberán incluir fallas sobre las acometidas. Se deberán incluir las fallas causadas por terceros.
Longitud de redes de transporte (red de aducción) (km).
Longitud de redes de distribución de agua (red de conducción y distribución) (km). La longitud de la red de distribución irá hasta las acometidas.
FUENTE DE INFORMACIÓN SUI.
ESTÁNDAR DE MEDICIÓN Durante la primera fase de implementación del IUS, este indicador tendrá calificación por reporte de la totalidad de la información requerida para el cálculo, de la siguiente manera:
![]()
| Segment | Referente de Evaluación o Meta o estándar de Medición | Escala de Medición |
| Grandes Prestadores y Pequeños Prestadores | 100 | 0 o 100 |
ARTÍCULO 15. <Consultar vigencia directamente en el artículo que modifica> CORREGIR el error tipográfico y ACLARAR el contenido de la ficha técnica del ANEXO 4 correspondiente al indicador SF.3.1 Liquidez Ajustada – LA, incluido en la dimensión D.5 Sostenibilidad Financiera (SF), de acuerdo con lo expuesto en la parte motiva de la presente resolución, el cual quedará así:
SUB-DIMENSIÓN: SF. 3 – GESTIÓN DE RENTABILIDAD Y ENDEUDAMIENTO
INDICADOR SF.3.1 Liquidez Ajustada – LA
DEFINICIÓN La LA determina la capacidad de solventar las deudas exigibles hasta un año de plazo respecto a la fecha de cierre del ejercicio del período de evaluación, con relación al saldo de las inversiones de acuerdo con el POIR establecido por el prestador.
JUSTIFICACIÓN La gestión y resultados de una persona prestadora debe permitir establecer la capacidad que tiene la empresa para solventar sus obligaciones de corto plazo, en relación con los ingresos que ha recibido por las inversiones planeadas. Esto permite evidenciar el riesgo financiero de iliquidez, ya que si el indicador disminuye o es bajo podría significar futuras deficiencias en la prestación de los servicios. Genera riesgos financieros, estratégicos y de cumplimiento.
NIVEL DE ANÁLISIS Agregado a nivel de prestador. Su resultado se replicará para cada área de prestación del servicio – APS atendida por éste.
PERÍODO DE EVALUACIÓN Año fiscal.
FÓRMULA Para el cálculo del indicador se aplicará la siguiente fórmula:
![]()
Liquidez Ajustada, redondeado a dos (2) cifras decimales.
Liquidez ajustada asociada al servicio público domiciliario de acueducto en el período de evaluación, de acuerdo con la siguiente fórmula:
![]()
Donde:
Activos corrientes totales correspondientes a la proporción para el servicio público domiciliario de acueducto.
Pasivos corrientes totales correspondientes a la proporción para el servicio público domiciliario de acueducto.
Área de prestación del servicio de la persona prestadora, donde: aps = {1, 2, 3,..., z}
Ingreso causado por concepto de Costo Medio de Inversión –CMI derivados del POIR para el servicio público domiciliario de acueducto, durante el periodo de evaluación. de acuerdo con la siguiente fórmula:
![]()
Donde:
Costo de inversión del POIR del estudio de costos de la Resolución CRA 688 de 2014. Para calcularlo se deberá aplicar la fórmula establecida en el artículo 44 de la Resolución CRA 688 de 2014 utilizando los activos programados en el POIR, sus depreciaciones y la tasa de descuento, del estudio de costos de la resolución ibídem.
Consumo corregido por pérdidas (m3) para el servicio público domiciliario de acueducto del periodo de aplicación de la Resolución CRA 688 de 2014, según lo calculado en el estudio de costos.
Liquidez ajustada asociada al servicio público domiciliario de alcantarillado en el período de evaluación, de acuerdo con la siguiente fórmula:
![]()
Donde:
Activos corrientes totales correspondientes a la proporción para el servicio público domiciliario de alcantarillado.
Pasivos corrientes totales correspondientes a la proporción para el servicio público domiciliario de alcantarillado.
Ingresos causados por concepto de Costo Medio de Inversión –CMI derivados del POIR para el servicio público domiciliario de alcantarillado, durante el periodo de evaluación, de acuerdo con la siguiente fórmula:
![]()
Donde:
Costo de inversión del POIR del estudio de costos de la Resolución CRA 688 de 2014. Para calcularlo se deberá aplicar la fórmula establecida en el artículo 44 de la Resolución CRA 688 de 2014 utilizando los activos programados en el POIR, sus depreciaciones y la tasa de descuento, del estudio de costos de la resolución ibídem.
Consumo corregido por pérdidas (m3) para el servicio público domiciliario de alcantarillado del periodo de aplicación de la Resolución CRA 688 de 2014, según lo calculado en el estudio de costos.
Para la aplicación de esta fórmula se deben tener en cuenta los siguientes aspectos:
- Para las personas prestadoras que no atiendan de manera agregada los servicios públicos domiciliarios de acueducto y alcantarillado, el valor de la liquidez ajustada
corresponderá únicamente al valor de la liquidez ajustada asociada al servicio público domiciliario atendido ![]()
- El indicador es aplicable a prestadores que empleen una fórmula tarifaria contractual en los términos del parágrafo 1 del artículo 87 de la Ley 142 de 1994, lo anterior, de acuerdo con el alcance de lo previsto en el contrato.
FUENTE DE INFORMACIÓN SUI.
ESTÁNDAR DE MEDICIÓN (No Normalizado) A partir de la segunda fase de la implementación del IUS, este indicador tendrá calificación por reporte de la totalidad de la información requerida para el cálculo, de la siguiente manera:
![]()
| Segmento | Referente de Evaluación Meta o estándar de Medición | Escala de Medición |
| Grandes Prestadores | 100 | 0 o 100 |
ARTÍCULO 16. <Consultar vigencia directamente en el artículo que modifica> CORREGIR el error tipográfico y ACLARAR el contenido de la ficha técnica del ANEXO 4 correspondiente al indicador SF.3.2 Índice Financiero asociado a la Eficiencia Operativa – IEO, incluido en la dimensión D.5 Sostenibilidad Financiera (SF), de acuerdo con lo expuesto en la parte motiva de la presente resolución, el cual quedará así:
SUB-DIMENSIÓN: SF. 3 – GESTIÓN DE RENTABILIDAD Y ENDEUDAMIENTO
INDICADOR SF.3.2 Índice Financiero asociado a la Eficiencia Operativa – IEO
DEFINICIÓN El IEO mide la capacidad del prestador para cubrir sus costos y gastos operacionales, teniendo en cuenta los gastos asociados a la prestación del servicio y los ingresos por concepto de Costo Medio de Operación -CMO y Costo Medio de Administración - CMA.
JUSTIFICACIÓN La gestión y resultados de una persona prestadora debe permitir identificar si los ingresos generados por la prestación de los servicios públicos domiciliarios de acueducto y/o alcantarillado logran cubrir los costos y gastos administrativos y operativos generados en la prestación, lo cual incide en la viabilidad financiera del prestador. Genera riesgos financieros, estratégicos y de cumplimiento.
NIVEL DE ANÁLISIS Agregado a nivel de prestador. Su resultado se replicará para cada área de prestación del servicio – APS atendida por éste.
PERÍODO DE EVALUACIÓN Año fiscal.
FÓRMULA Para el cálculo del indicador se aplicará la siguiente fórmula:
Donde:
Índice de Eficiencia Operativa, redondeado a dos (2) cifras decimales.
Índice financiero asociado a la eficiencia operativa para el servicio público domiciliario de acueducto, de acuerdo con la siguiente fórmula:
![]()
Donde:
Ingreso causado por concepto de Costo Medio de Operación -CMO por aps, durante el periodo de evaluación, para el servicio público domiciliario de acueducto.
Ingreso causado por concepto de Costo Medio de Administración - CMA por APS, durante el periodo de evaluación, para el servicio público domiciliario de acueducto.
Área de prestación del servicio de la persona prestadora, donde: aps = {1, 2, 3,..., z}.
Eficiencia en el recaudo. Se calcula según lo definido para el indicador SF.1.2 Eficiencia en el Recaudo – ER, afectado por la proporción correspondiente al servicio público domiciliario de acueducto.
Costos operativos y gastos administrativos generados durante el periodo de evaluación, correspondientes a la proporción para el servicio público domiciliario de acueducto. Se deben incluir todas las erogaciones asociadas a la prestación de los servicios públicos domiciliarios de acueducto y/o alcantarillado, incluidas las generadas por la actividad comercial, así como las depreciaciones y amortizaciones.
Gasto por concepto de Tasa de uso de agua
Índice financiero asociado a la eficiencia operativa para el servicio público domiciliario de alcantarillado, de acuerdo con la siguiente fórmula:
Donde:
Ingreso causado por concepto de Costo Medio de Operación -CMO por APS, durante el periodo de evaluación, para el servicio público domiciliario de alcantarillado.
Ingreso causado por concepto de Costo Medio de Administración - CMA por APS, durante el periodo de evaluación, para el servicio público domiciliario de alcantarillado.
Eficiencia en el recaudo. Se calcula con lo definido para el indicador SF.1.2 Eficiencia en el Recaudo – ER, afectado por la proporción correspondiente al servicio público domiciliario de alcantarillado.
Costos operativos y gastos administrativos generados durante el periodo de evaluación, correspondientes a la proporción para el servicio público domiciliario de alcantarillado. Se deben incluir todas las erogaciones asociadas a la prestación de los servicios públicos domiciliarios de acueducto y/o alcantarillado, incluidas las generadas por la actividad comercial, así como las depreciaciones y amortizaciones.
Gasto por concepto de Tasa retributiva
Para la aplicación de esta fórmula se deben tener en cuenta los siguientes aspectos:
- Para las personas prestadoras que no atiendan de manera agregada los servicios públicos domiciliarios de acueducto y alcantarillado, el valor del índice de eficiencia operativa
corresponderá únicamente al valor del índice financiero asociado a la eficiencia operativa del servicio público domiciliario atendido ![]()
- El indicador es aplicable a prestadores que empleen una fórmula tarifaria contractual en los términos del parágrafo 1 del artículo 87 de la Ley 142 de 1994, lo anterior, de acuerdo con el alcance de lo previsto en el contrato.
FUENTE DE INFORMACIÓN SUI. Para la variable GOA: Formulario [900017g] FC01-7 para los Grupos 1 individual directo e individual indirecto, Grupo 2 individual Indirecto, Resolución 414 de 2014 y Resolución 533 de 2015, o aquellas que las modifiquen, adicionen, sustituyan o aclaren.
ESTÁNDAR DE MEDICIÓN (No Normalizado) A partir de la segunda fase de la implementación del IUS, este indicador tendrá calificación por reporte de la totalidad de la información requerida para el cálculo, de la siguiente manera:
![]()
| Segmento | Referente de Evaluación Meta o estándar de Medición | Escala de Medición |
| Grandes Prestadores | 100 | 0 o 100 |
ARTÍCULO 17. <Consultar vigencia directamente en el artículo que modifica> CORREGIR el error tipográfico y ACLARAR el contenido de la ficha técnica del ANEXO 4 correspondiente al indicador SF.3.3 Relación Deuda a Inversiones – RDI, incluido en la dimensión D.5 Sostenibilidad Financiera (SF), de acuerdo con lo expuesto en la parte motiva de la presente resolución, el cual quedará así:
SUB-DIMENSIÓN: SF. 3 – GESTIÓN DE LA RENTABILIDAD Y ENDEUDAMIENTO
INDICADOR SF.3.3 Relación Deuda a Inversiones – RDI
DEFINICIÓN El RDI corresponde a la medición de la relación de los ingresos por concepto del Costo Medio de Inversión - CMI para atender el servicio a la deuda de largo plazo.
JUSTIFICACIÓN La gestión y resultados de una persona prestadora debe permitir medir el riesgo financiero asociado al hecho de que no se estén cubriendo inversiones con los ingresos correspondientes al CMI, debido que el Costo Medio de Inversión - CMI debe cubrir la totalidad de la deuda asumida para financiar inversiones del prestador. Lo cual, puede evidenciar un riesgo financiero, estratégico y de cumplimiento, de la persona prestadora.
NIVEL DE ANÁLISIS Agregado a nivel de prestador. Su resultado se replicará para cada área de prestación del servicio – APS atendida por éste.
PERÍODO DE EVALUACIÓN Año fiscal.
FÓRMULA Para el cálculo del indicador se aplicará la siguiente fórmula:
![]()
Donde:
Relación Deuda a Inversiones, redondeado a dos (2) cifras decimales.
Relación deuda a inversiones asociado a la eficiencia operativa para el servicio público domiciliario de acueducto, de acuerdo con la siguiente fórmula:
Donde:
Área de prestación del servicio de la persona prestadora, donde: aps = {1, 2, 3,..., z}
Eficiencia en el recaudo. Se calcula según lo definido para el indicador SF.1.2 Eficiencia en el Recaudo – ER, afectado por la proporción correspondiente al servicio público domiciliario de acueducto.
Servicio de deuda no corriente equivalente a la sumatoria de cuotas de capital e intereses a largo plazo en el periodo de evaluación, afectado por la proporción correspondiente al servicio público domiciliario de acueducto. De acuerdo con la siguiente fórmula:
Donde:
Obligaciones financieras no corrientes del periodo de evaluación t, afectado por la proporción correspondiente al servicio público domiciliario de acueducto.
Obligaciones financieras no corrientes del año inmediatamente anterior al período de evaluación t-1, afectado por la proporción correspondiente al servicio público domiciliario de acueducto.
Otros pasivos financieros no corrientes del periodo de evaluación t, afectado por la proporción correspondiente al servicio público domiciliario de acueducto.
Otros pasivos financieros no corrientes del año inmediatamente anterior al período de evaluación t-1, afectado por la proporción correspondiente al servicio público domiciliario de acueducto.
Costo financiero del periodo de evaluación t, afectado por la proporción correspondiente al servicio público domiciliario de acueducto.
Ingresos causados por concepto de Costo Medio de Inversión –CMI derivados del POIR para el servicio público domiciliario de acueducto, durante el periodo de evaluación. De acuerdo con la siguiente fórmula:
Donde:
Costo de inversión del POIR del estudio de costos de la Resolución CRA 688 de 2014. Para calcularlo se deberá aplicar la fórmula establecida en el artículo 44 de la Resolución CRA 688 de 2014 utilizando los activos programados en el POIR, sus depreciaciones y la tasa de descuento, del estudio de costos de la resolución ibídem.
Consumo corregido por pérdidas (m3) para el servicio público domiciliario de acueducto del periodo de aplicación de la Resolución CRA 688 de 2014, según lo calculado en el estudio de costos.
Relación deuda a inversiones asociado a la eficiencia operativa para el servicio público domiciliario de alcantarillado, de acuerdo con la siguiente fórmula:
![]()
Donde:
Eficiencia en el recaudo. Se calcula según lo definido para el indicador SF.1.2 Eficiencia en el Recaudo – ER, afectado por la proporción correspondiente al servicio público domiciliario de alcantarillado.
Servicio de deuda no corriente equivalente a la sumatoria de cuotas de capital e intereses a largo plazo en el periodo de evaluación, afectado por la proporción correspondiente al servicio público domiciliario de alcantarillado. De acuerdo con la siguiente fórmula:
![]()
Donde:
Obligaciones financieras no corrientes del periodo de evaluación t, afectado por la proporción correspondiente al servicio público domiciliario de alcantarillado.
Obligaciones financieras no corrientes del año inmediatamente anterior al período de evaluación t-1, afectado por la proporción correspondiente al servicio público domiciliario de alcantarillado.
Otros pasivos financieros no corrientes del periodo de evaluación t, afectado por la proporción correspondiente al servicio público domiciliario de alcantarillado.
Otros pasivos financieros no corrientes del año inmediatamente anterior al período de evaluación t-1, afectado por la proporción correspondiente al servicio público domiciliario de alcantarillado.
Costo financiero del periodo de evaluación t, afectado por la proporción correspondiente al servicio público domiciliario de alcantarillado.
Ingreso causado por concepto de Costo Medio de Inversión –CMI derivados del POIR para el servicio público domiciliario de alcantarillado, durante el periodo de evaluación, de acuerdo con la siguiente fórmula:
![]()
Donde:
Costo de inversión del POIR del estudio de costos de la Resolución CRA 688 de 2014. Para calcularlo se deberá aplicar la fórmula establecida en el artículo 44 de la Resolución CRA 688 de 2014 utilizando los activos programados en el POIR, sus depreciaciones y la tasa de descuento, del estudio de costos de la resolución ibídem.
Consumo corregido por pérdidas (m3) para el servicio público domiciliario de alcantarillado del periodo de aplicación de la Resolución CRA 688 de 2014, según lo calculado en el estudio de costos.
Para la aplicación de esta fórmula se deben tener en cuenta los siguientes aspectos:
- Para las personas prestadoras que no atiendan de manera agregada los servicios públicos domiciliarios de acueducto y alcantarillado, el valor de la relación deuda a inversiones
corresponderá únicamente al valor de la relación deuda a inversiones asociado a la eficiencia operativa para el servicio público domiciliario atendido ![]()
- El indicador es aplicable a prestadores que empleen una fórmula tarifaria contractual en los términos del parágrafo 1 del artículo 87 de la Ley 142 de 1994, lo anterior, de acuerdo con el alcance de lo previsto en el contrato.
FUENTE DE INFORMACIÓN SUI. Para la variable servicio a la deuda:
Rubro Obligaciones financieras no corrientes y los Otros pasivos financieros no corrientes de:
Formulario [210000] Estado de situación financiera para los Grupos 1 individual directo e individual indirecto, Grupo 2 Individual Indirecto, Grupo 3 y Resolución 414 de 2014, o aquella que modifique, adicione, sustituya o aclare. Formulario [200000] Estado de situación financiera para los prestadores de la Resolución 533 de 2015, o aquella que modifique, adicione, sustituya o aclare.
Rubro costos financieros:
Formulario [310000] Estado de Resultados Integral para los Grupos 1 individual directo e individual indirecto, Grupo 2 Individual Indirecto, Grupo 3 y Resolución 414 de 2014, o aquella que modifique, adicione, sustituya o aclare.
Formulario [300000] Estado de resultados para los prestadores de la Resolución CRA 533 de 2015, o aquella que modifique, adicione, sustituya o aclare.
ESTÁNDAR DE MEDICIÓN (No Normalizado) A partir de la segunda fase de la implementación del IUS, este indicador tendrá calificación por reporte de la totalidad de la información requerida para el cálculo, de la siguiente manera:
![]()
| Segmento | Referente de Evaluación Meta o estándar de Medición | Escala de Medición |
| Grandes Prestadores | 100 | 0 o 100 |
ARTÍCULO 18. <Consultar vigencia directamente en el artículo que modifica> ACLARAR el contenido de la ficha técnica del ANEXO 4 correspondiente al indicador GYT.4.1 Cumplimiento del Programa de Uso Eficiente y Ahorro del Agua – CPUEAA, incluido en la dimensión D.6 Gobierno y Transparencia (GYT), de acuerdo con lo expuesto en la parte motiva de la presente resolución, el cual quedará así:
SUB-DIMENSIÓN: GYT.4 – GESTIÓN SOCIAL DEL AGUA
INDICADOR GYT. 4.1 Cumplimiento del Programa de Uso Eficiente y Ahorro del Agua – CPUEAA
DEFINICIÓN Corresponde al cumplimiento del Plan de Uso Eficiente y Ahorro del Agua, enmarcado en la Ley 373 de 1997, o aquella que las modifique, adicione, sustituya o aclare.
JUSTIFICACIÓN Este indicador busca verificar el cumplimiento del Plan de Uso Eficiente y Ahorro del Agua – PUEAA, el cual es presentado por la persona prestadora. El cumplimiento de este plan es fundamental para proteger los recursos naturales de donde se extrae el agua. El incumplimiento de este plan podría afectar el futuro de la prestación del servicio, debido a la sobreexplotación de las fuentes y la perdida de la regulación hídrica de estas.
NIVEL DE ANÁLISIS Por Sistema en función del cumplimiento del PUEAA o PUEAAs en caso de tener más de una fuente de abastecimiento.
PERÍODO DE EVALUACIÓN Anual (año fiscal).
FÓRMULA Para el cálculo del indicador se aplicará la siguiente fórmula:
![]()
En concordancia con lo establecido por el artículo 3o de la Ley 373 de 1997, las Autoridades Ambientales serán las encargadas de realizar el respectivo seguimiento y control al cumplimiento del PUEAA. En este sentido, el cumplimiento del PUEAA será reportado por la autoridad ambiental a la Superintendencia de Servicios Públicos Domiciliarios – SSPD para realizar el cálculo del indicador. En caso que la Autoridad Ambiental no reporte la información para el período analizado, el ponderador de este indicador será redistribuido de conformidad con lo establecido por el numeral 5 del Anexo 1 de la presente resolución.
Si la persona prestadora no cuenta con un Plan de Uso Eficiente y Ahorro del Agua aprobado por la respectiva autoridad ambiental, el valor resultante del indicador será cero (0).
Para el caso de prestadores que incurran en contratos de suministro de agua potable, como única fuente de abastecimiento del servicio público domiciliario de acueducto, el ponderador de este indicador será redistribuido de conformidad con lo establecido por el numeral 5 del Anexo 1 de la presente resolución.
FUENTE DE INFORMACIÓN SUI. La información a emplear para el cálculo del indicador, corresponderá a la reportada por las Autoridades Ambientales al Ministerio de Ambiente y Desarrollo Sostenible – MADS y al Sistema Único de Información-SUI.
ESTÁNDAR DE MEDICIÓN (No Normalizado)
= 100
Normalización Para el cálculo del valor normalizado del indicador se aplicará la siguiente fórmula:

| Segmento | Referente de Evaluación (Normalizado) Meta o estándar de Medición | Escala de Medición |
| Todos los prestadores | 100 | 0 o 100 |
ARTÍCULO 19. <Consultar vigencia directamente en el artículo que modifica> ACLARAR el contenido de la ficha técnica del ANEXO 4 correspondiente al indicador SA.1.1 Índice de Pérdidas de Agua en la Aducción – IPAA, incluido en la dimensión D.7 Sostenibilidad Ambiental (SA), de acuerdo con lo expuesto en la parte motiva de la presente resolución, el cual quedará así:
SUB-DIMENSIÓN: SA.1 – GESTIÓN AMBIENTAL ACUEDUCTO
INDICADOR SA.1.1 Índice de Pérdidas de Agua en la Aducción – IPAA
DEFINICIÓN El IPAA mide la relación entre el volumen de agua que es captado de medios naturales y el volumen entrante al sistema de tratamiento de agua.
JUSTIFICACIÓN La gestión y resultados de una persona prestadora debe permitir evidenciar las pérdidas del sistema en la aducción con el fin de determinar posibles riesgos asociados a fugas que pueda interferir en la prestación del servicio. Lo anterior, puede generar riesgos operativos, estratégicos y de cumplimiento al prestador.
NIVEL DE ANÁLISIS Sistema de acueducto. En el caso en el cual se preste el servicio público domiciliario de acueducto a más de una APS mediante el mismo sistema, el resultado del indicador se aplicará a cada una de dichas APS
PERÍODO DE EVALUACIÓN Año fiscal.
FÓRMULA Para el cálculo del indicador se aplicará la siguiente fórmula:
![]()
Donde:
Índice de Pérdidas de Agua en la Aducción, redondeado a dos (2) cifras decimales.
i: Mes del período de evaluación en el que se prestó el servicio público domiciliario de acueducto, donde i = {1, 2, 3,..., m}.
m: Número de meses en los que se prestó el servicio público domiciliario de acueducto durante el período de evaluación (año fiscal). Si el servicio se prestó durante todo el período de evaluación, m corresponderá a 12.
Índice de Pérdidas de Agua en la Aducción en el mes i, de acuerdo con la siguiente fórmula:
![]()
Donde:
Volumen de agua cruda (m3) entrante al sistema de tratamiento durante el mes i. En caso dado que el prestador no cuente con un sistema de tratamiento, se empleará el volumen entrante al tanque(s) de almacenamiento.
Volumen de agua cruda (m3) captado del medio natural para el suministro de agua durante el mes i.
Volumen de agua cruda (m3) entrante al sistema durante el mes i por contratos de interconexión al subsistema de producción asociados a las actividades de captación y aducción, en los términos del artículo 10 de la Resolución CRA 759 de 2016, o aquella que la modifique, adicione, sustituya o aclare. En caso dado que el prestador no cuente con contratos de interconexión al subsistema de producción asociados a las actividades de captación y aducción, el valor de esta variable será 0.
Para la aplicación de esta fórmula se debe tener en cuenta los siguientes aspectos:
- Se deberán incluir en el cálculo del indicador la totalidad de captaciones que el prestador emplee; en este sentido, la variable
contendrá la totalidad de volumen de agua captado por la totalidad de captaciones empleadas. El volumen correspondiente a la venta de agua cruda por parte de la persona prestadora no deberá ser incluido en esta variable.
- Se deberá indicar el tipo de medición empleada, de acuerdo con lo establecido por el parágrafo 4 del artículo 73 de la Resolución 330 de 2017, o aquellas que las modifiquen, adicionen, sustituyan o aclaren. En dado caso que los valores de las variables del indicador sean estimados, se deberá indicar en el tipo de medición. Adicionalmente, se deberá indicar el (los) tipo(s) de captación empleado(s).
- Para el caso de prestadores que incurran en contratos de suministro de agua potable, como única fuente de abastecimiento del servicio público domiciliario de acueducto, el ponderador de este indicador será redistribuido de conformidad con lo establecido por el numeral 5 del Anexo 1 de la presente resolución.
FUENTE DE INFORMACIÓN SUI.
ESTÁNDAR DE MEDICIÓN Durante la primera fase de implementación del IUS, este indicador tendrá calificación por reporte de la totalidad de la información requerida para el cálculo, de la siguiente manera:
![]()
| Segmento | Referente de Evaluación (Normalizado) Meta o estándar de Medición | Escala de Medición |
| Todos los prestadores | 100 | 0 o 100 |
ARTÍCULO 20. <Consultar vigencia directamente en el artículo que modifica> ACLARAR el contenido de la ficha técnica del ANEXO 4 correspondiente al indicador SA.2.1 Aprobación del PSMV – AproPSMV, incluido en la dimensión D.7 Sostenibilidad Ambiental (SA), de acuerdo con lo expuesto en la parte motiva de la presente resolución, el cual quedará así:
SUB-DIMENSIÓN: SA.2 – GESTIÓN AMBIENTAL ALCANTARILLADO
INDICADOR SA.2.1 Aprobación del PSMV – AproPSMV
DEFINICIÓN El AproPSMV verifica que la persona prestadora cuente con un Plan de Saneamiento y Manejo de Vertimientos – PSMV aprobado por la autoridad ambiental o con un Permiso de Vertimientos, acorde con lo establecido en la Resolución 1433 del Ministerio de Ambiente y Desarrollo Sostenible, o aquella que la modifique, adicione, sustituya o aclare, y lo establecido por el artículo 2.2.3.3.4.18 del Decreto 1076 de 2015 del Ministerio del Ministerio de Ambiente y Desarrollo Sostenible, o aquella que lo modifique, adicione, sustituya o aclare.
JUSTIFICACIÓN La gestión y resultados de una persona prestadora debe permitir evidenciar la presencia de riesgos operativos, ambientales y estratégicos del prestador. El PSMV es el instrumento necesario para establecer las acciones e inversiones requeridas para el manejo de vertimientos acorde con las normas ambientales. No contar con este plan puede conllevar a un riesgo de cumplimento, de imagen, estratégico y operativo dado que no se definirían los recursos necesarios para realizar las inversiones que se requieran para una correcta gestión de vertimientos.
NIVEL DE ANÁLISIS Sistema de alcantarillado. En el caso en el cual se preste el servicio público domiciliario de alcantarillado a más de una APS mediante el mismo sistema, el resultado del indicador se aplicará a cada una de dichas APS.
PERÍODO DE EVALUACIÓN Año fiscal.
FÓRMULA Para el cálculo del indicador se aplicará la siguiente fórmula:

El estado de trámite del PSMV, o el otorgamiento de un Permiso de Vertimientos al prestador, deberá ser reportado por la autoridad ambiental correspondiente a la Superintendencia de Servicios Públicos Domiciliarios (SSPD).
En el caso en el que la autoridad ambiental no reporte la información, el ponderador de este indicador será redistribuido de conformidad con lo establecido por el numeral 5 del Anexo 1 de la presente resolución.
FUENTE DE INFORMACIÓN SUI. La información a emplear para el cálculo del indicador corresponderá a la reportada por las Autoridades Ambientales al Sistema Único de Información-SUI.
ESTÁNDAR DE MEDICIÓN (No Normalizado)
= 100
NORMALIZACIÓN Para el cálculo del valor normalizado del indicador se aplicará la siguiente fórmula:
![]()

| Segmento | Referente de Evaluación (Normalizado) Meta o estándar de Medición | Escala de Medición |
| Todos los prestadores | 100 | 0, 50 o 100 |
ARTÍCULO 21. <Consultar vigencia directamente en el artículo que modifica> ACLARAR el contenido de la ficha técnica del ANEXO 4 correspondiente al indicador SA.2.2 Cumplimiento al PSMV – CPSMV, incluido en la dimensión D.7 Sostenibilidad Ambiental (SA), de acuerdo con lo expuesto en la parte motiva de la presente resolución, el cual quedará así:
SUB-DIMENSIÓN: SA.2 – GESTIÓN AMBIENTAL ALCANTARILLADO
INDICADOR SA.2.2 Cumplimiento al PSMV – CPSMV
DEFINICIÓN El CPSMV corresponde a la verificación del cumplimiento del Plan de Saneamiento y Manejo de Vertimientos de la persona prestadora. El cumplimiento del PSMV permite llevar un mejor control y manejo de los vertimientos, su calidad y del daño ambiental ocasionado a los cuerpos de agua receptores.
JUSTIFICACIÓN La gestión y resultados de una persona prestadora debe permitir evidenciar una incorrecta gestión de del tratamiento de las aguas residuales y el cuidado ambiental de las fuentes receptoras. Un manejo y/o tratamiento inadecuado de los vertimientos puede llegar a generar riesgos operativos, ambientales, estratégicos y de cumplimiento para el prestador.
NIVEL DE ANÁLISIS Sistema de alcantarillado. En el caso en el cual se preste el servicio público domiciliario de alcantarillado a más de una APS mediante el mismo sistema, el resultado del indicador se aplicará a cada una de dichas APS.
PERÍODO DE EVALUACIÓN Año fiscal.
FÓRMULA Para el cálculo del indicador se aplicará la siguiente fórmula:
![]()
En concordancia con lo establecido por el artículo 6o de la Resolución 1433 de 2004, o aquella que la modifique, adicione, sustituya o aclare, las autoridades ambientales serán las encargadas de realizar el respectivo seguimiento y control al cumplimiento del PSMV. En este sentido, el cumplimiento del PSMV será reportado por la autoridad ambiental a la Superintendencia de Servicios Públicos Domiciliarios (SSPD) para realizar el cálculo del indicador.
El ponderador de este indicador será redistribuido de conformidad con lo establecido por el numeral 5 del Anexo 1 de la presente resolución, cuando suceda alguno de los siguientes casos:
i) La persona prestadora no cuenta con un PSMV aprobado por la respectiva autoridad ambiental.
ii) La persona prestadora cuenta con un Permiso de Vertimientos otorgado por la respectiva autoridad ambiental.
iii) La autoridad ambiental no reportó la información para el periodo de evaluación.
FUENTE DE INFORMACIÓN SUI. La información a emplear para el cálculo del indicador corresponderá a la reportada por las Autoridades Ambientales al Sistema Único de Información-SUI.
ESTÁNDAR DE MEDICIÓN (No Normalizado)
= 100
NORMALIZACIÓN P a ra el cálculo del valor normalizado del indicador se aplicará la siguiente fórmula:
![]()

| Segmento | Meta o estándar de Medición | Escala de Medición |
| Grandes Prestadores y Pequeños Prestadores | 100 | 0 o 100 |
ARTÍCULO 22. <Consultar vigencia directamente en el artículo que modifica> CORREGIR el error tipográfico de la ficha técnica del ANEXO 4 correspondiente al indicador SA.2.3 Gestión de Lodos Resultantes Alcantarillado – GLRAL, incluido en la dimensión D.7 Sostenibilidad Ambiental (SA), de acuerdo con lo expuesto en la parte motiva de la presente resolución, el cual quedará así:
SUB-DIMENSIÓN: SA.2 – GESTIÓN AMBIENTAL ALCANTARILLADO
INDICADOR SA.2.3 Gestión de Lodos Resultantes Alcantarillado – GLRAL
DEFINICIÓN El GLRAL corresponde a la evaluación de la adecuada gestión de los lodos generados en los procesos de depuración de aguas residuales por parte del prestador. El tratamiento y disposición de lodos debe realizarse según lo establecido por la Resolución 330 de 2017 del MVCT, o aquellas que las modifiquen, adicionen, sustituyan o aclaren.
JUSTIFICACIÓN La gestión y resultados de una persona prestadora debe permitir evidenciar el riesgo de imagen, de cumplimiento, operativo y estratégico del prestador, en función del porcentaje de tratamiento de los lodos generados en los procesos asociados a la prestación del servicio. Una incorrecta gestión y tratamiento de lodos resultantes puede afectar seriamente la sostenibilidad ambiental del medio y de los cuerpos receptores.
NIVEL DE ANÁLISIS Sistema de alcantarillado. En el caso en el cual se preste el servicio público domiciliario de alcantarillado a más de una APS mediante el mismo sistema, el resultado del indicador se aplicará a cada una de dichas APS.
PERÍODO DE EVALUACIÓN Año fiscal.
FÓRMULA Para el cálculo del indicador se aplicará la siguiente fórmula:
![]()
Donde:
Gestión de lodos resultantes alcantarillado, redondeado a dos (2) cifras decimales.
Volumen de lodos que entraron al proceso de tratamiento de lodos durante el período de evaluación (m3).
Volumen de lodos generados durante el período de evaluación (m3).
En el caso de contar un tipo de tratamiento que no genere lodos durante el periodo de evaluación, el valor de las variables deberá ser cero.
En el caso en que no se preste la actividad de tratamiento de aguas residuales, de acuerdo con el Registro Único de Prestadores de Servicios Públicos - RUPS, o que la persona prestadora posea un permiso de vertimiento de lodos otorgado por la respectiva autoridad ambiental, el ponderador de este indicador será redistribuido de conformidad con lo establecido por el numeral 5 del Anexo 1 de la presente resolución.
FUENTE DE INFORMACIÓN SUI.
ESTÁNDAR DE MEDICIÓN (No Normalizado) Durante la primera fase de implementación del IUS, este indicador tendrá calificación por reporte de la totalidad de la información requerida para el cálculo, de la siguiente manera:
![]()
| Segmento | Referente de Evaluación Meta o estándar de Medición | Escala de Medición |
| Grandes Prestadores y Pequeños Prestadores | 100 | 0 o 100 |
ARTÍCULO 23. <Consultar vigencia directamente en el artículo que modifica> CORREGIR el error tipográfico y ACLARAR el contenido de la ficha técnica del ANEXO 4, correspondiente al indicador GT.1.1 Aplicación de Costos de Referencia Aprobados de Acueducto - ACU, incluido en la dimensión D.8 Gestión Tarifaria (GT), de acuerdo con lo expuesto en la parte motiva de la presente resolución, el cual quedará así:
SUB-DIMENSIÓN: GT.1 - GESTIÓN TARIFARIA ACUEDUCTO
INDICADOR GT.1.1 Aplicación de Costos de Referencia Aprobados de Acueducto - ACU
DEFINICIÓN El ACU verifica si el prestador está aplicando los costos de referencia (por cargo fijo y cargo por consumo, respectivamente) resultantes de aplicar la metodología tarifaria para el servicio público domiciliario de acueducto.
JUSTIFICACIÓN La gestión y resultados de una persona prestadora del servicio público domiciliario de acueducto debe contar con una evaluación de la aplicación del marco tarifario vigente, lo cual tiene incidencia directa en la sostenibilidad de la prestación del servicio y conlleva a la presencia de riesgos operativos, estratégicos, financieros y de cumplimiento asociados a la imposibilidad de operar adecuadamente el servicio público domiciliario de acueducto. Lo anterior, podría llevar al prestador a: no contar con los recursos necesarios para prestar un servicio con calidad (insuficiencia financiera), aumento en las quejas y reclamos por parte de los usuarios e imposición de sanciones por parte de la SSPD.
NIVEL DE ANÁLISIS Área de Prestación del Servicio - APS.
PERÍODO DE EVALUACIÓN Anual (año tarifario)
FÓRMULA Para el cálculo del indicador se aplicará la siguiente fórmula:
![]()
Donde:
Aplicación de Costos de Referencia Aprobados de Acueducto, redondeado a dos (2) cifras decimales.
Aplicación del costo de referencia aprobado para el servicio público domiciliario de acueducto para el componente de cargo fijo, en valor absoluto, de acuerdo con la siguiente fórmula:
Donde:
p: Año tarifario que finaliza en el período de evaluación del indicador.
Valor cobrado por concepto de cargo fijo para el servicio público domiciliario de acueducto en la tarifa del servicio del prestador.
Último valor aprobado por la entidad tarifaria local, por concepto de cargo fijo para el servicio público domiciliario de acueducto en el estudio de costos, incluyendo actualizaciones por índices de precios.
Aplicación del costo de referencia aprobado para el servicio público domiciliario de acueducto para el componente de cargo por consumo, en valor absoluto, de acuerdo con la siguiente fórmula:
Donde:
Valor cobrado por concepto de cargo por consumo para el servicio público domiciliario de acueducto en la tarifa del servicio del prestador.
Último valor aprobado por la entidad tarifaria local, por concepto de cargo por consumo para el servicio público domiciliario de acueducto en el estudio de costos, incluyendo actualizaciones por índices de precios.
Para la aplicación de esta fórmula se debe tener en cuenta los siguientes aspectos:
- Se aceptarán costos de referencia que se encuentren por debajo de lo definido en el estudio de costos en aplicación del artículo 111 de la Resolución CRA 688 de 2014 o aquellas que las modifiquen, adicionen, sustituyan o aclaren.
- El indicador es aplicable a prestadores que empleen una fórmula tarifaria contractual en los términos del parágrafo 1 del artículo 87 de la Ley 142 de 1994, lo anterior, de acuerdo con el alcance de lo previsto en el contrato.
FUENTE DE INFORMACIÓN Información reportada en el “Formato Acto de aprobación de Tarifas” establecido en las Resoluciones SSPD No 20171300039945 de 2017 y 20201000009605 de 2020 o aquellas que las modifiquen, adicionen, sustituyan o aclaren.
ESTÁNDAR DE MEDICIÓN (No Normalizado) ![]()
NORMALIZACIÓN Para el cálculo del valor normalizado del indicador se aplicará la siguiente fórmula:
![]()
| Segmento | Referente de Evaluación (Normalizado) Meta o estándar de Medición | Escala de Medición |
| Todos los prestadores | 100 | 0 o 100 |
ARTÍCULO 24. <Consultar vigencia directamente en el artículo que modifica> CORREGIR el error tipográfico y ACLARAR contenido de la ficha técnica del ANEXO 4, correspondiente al indicador GT.2.1 Aplicación de Costos de Referencia Aprobados de Alcantarillado – AL, incluido en la dimensión D.8 Gestión Tarifaria (GT), de acuerdo con lo expuesto en la parte motiva de la presente resolución, el cual quedará así:
SUB-DIMENSIÓN: GT.2 – GESTIÓN TARIFARIA ALCANTARILLADO
INDICADOR GT.2.1 Aplicación de Costos de Referencia Aprobados de Alcantarillado – AL
DEFINICIÓN El AL verifica si el prestador está aplicando los costos de referencia (por cargo fijo y cargo por consumo, respectivamente) resultantes de aplicar la metodología tarifaria para el servicio público domiciliario de alcantarillado.
JUSTIFICACIÓN La gestión y resultados de una persona prestadora del servicio público domiciliario de alcantarillado debe contar con una evaluación de la aplicación del marco tarifario vigente, lo cual tiene directa en la sostenibilidad de la prestación del servicio, lo que conlleva a la presencia de riesgos operativos, estratégicos, financieros y de cumplimiento asociados a la imposibilidad de operar adecuadamente el servicio público domiciliario de alcantarillado. Lo anterior, podría llevar al prestador a: no contar con los recursos necesarios para prestar un servicio con calidad (insuficiencia financiera), aumento en las quejas y reclamos por parte de los usuarios e imposición de sanciones por parte de la SSPD.
NIVEL DE ANÁLISIS Área de Prestación del Servicio - APS.
PERÍODO DE EVALUACIÓN Anual (año tarifario).
FÓRMULA Para el cálculo del indicador se aplicará la siguiente fórmula:
![]()
Donde:
Aplicación de Costos de Referencia Aprobados de Alcantarillado, redondeado a dos (2) cifras decimales.
Aplicación del Valor Resultante de la Metodología Tarifaria del servicio público domiciliario de alcantarillado para el componente de cargo fijo, en valor absoluto, de acuerdo con la siguiente fórmula:
![]()
Donde:
p: Año tarifario que finaliza en el período de evaluación del indicador.
Valor cobrado por concepto de cargo fijo para el servicio público domiciliario de alcantarillado en la tarifa del servicio del prestador.
Último valor aprobado por la entidad tarifaria local, por concepto de cargo fijo para el servicio público domiciliario de alcantarillado en el estudio de costos, incluyendo actualizaciones por índices de precios.
aplicación del costo de referencia aprobado para el servicio público domiciliario de alcantarillado para el componente de cargo por consumo, en valor absoluto, de acuerdo con la siguiente fórmula:
![]()
Donde:
Valor cobrado por concepto de cargo por consumo para el servicio público domiciliario de alcantarillado en la tarifa del servicio del prestador.
Último valor aprobado por la entidad tarifa local, por concepto de cargo por consumo para el servicio público domiciliario de alcantarillado en el estudio de costos, incluyendo actualizaciones por índices de precios.
Para la aplicación de esta fórmula se debe tener en cuenta los siguientes aspectos:
- Se aceptarán costos de referencia que se encuentren por debajo de lo definido en el estudio de costos en aplicación del artículo 111 de la Resolución CRA 688 de 2014 o aquellas que las modifiquen, adicionen, sustituyan o aclaren.
- El indicador es aplicable a prestadores que empleen una fórmula tarifaria contractual en los términos del parágrafo 1 del artículo 87 de la Ley 142 de 1994, lo anterior, de acuerdo con el alcance de lo previsto en el contrato.
FUENTE DE INFORMACIÓN Información reportada en el “Formato Acto de aprobación de Tarifas” establecido en las Resoluciones SSPD No 20171300039945 de 2017 y 20201000009605 de 2020 o aquellas que las modifiquen, adicionen, sustituyan o aclaren.
ESTÁNDAR DE MEDICIÓN (No Normalizado) ![]()
NORMALIZACIÓN Para el cálculo del valor normalizado del indicador se aplicará la siguiente fórmula:

| Segmento | Referente de Evaluación (Normalizado) Meta o estándar de Medición | Escala de Medición |
| Todos los prestadores | 100 | 0 o 100 |
ARTÍCULO 25. <Consultar vigencia directamente en el artículo que modifica> CORREGIR los errores de transcripción contenidos en el Tablero de Planeación - PGR incluido en el ANEXO 5 de la Resolución CRA 906 de 2019, de acuerdo con lo expuesto en la parte motiva de la presente resolución, el cual quedará así:
ANEXO 5. TABLERO DE PLANEACIÓN-PGR.
Cuadro 5-1. Grandes Prestadores(4)





Cuadro 5-2. Pequeños Prestadores

(10)






ARTÍCULO 26. <Consultar vigencia directamente en el artículo que modifica> CORREGIR los errores de transcripción contenidos en el Tablero de Control de la Planeación contenido en el ANEXO 6 de la Resolución CRA 906 de 2019, de acuerdo con lo expuesto en la parte motiva de la presente resolución, el cual quedará así:
Cuadro 6 – 1. Grandes Prestadores

(12)(13)(14)


(15)(16)(17)(18)


(19)(20)(21)(22)


(23)(24)(25)


ARTÍCULO 27. VIGENCIA. La presente resolución rige a partir de la fecha de su publicación en el Diario Oficial.
Publíquese y cúmplase.
Dada en Bogotá, D. C. a 29 de julio de 2020.
El Presidente,
José Luis Acero Vergel.
El Director Ejecutivo,
Diego Felipe Polanía Chacón.
NOTAS AL FINAL:
1. Consejo de Estado, Sentencia de 19 de diciembre de 2016, CP, Roberto Augusto Serrato Valdés, radicado 11001-03-24-000-2012-00369-00.
2. Sistema de Información de la Vigilancia de la Calidad del Agua para Consumo Humano-SIVICAP
3. Anexo 1 de la Resolución CRA 688 de 2014.
4. Adimensional: Se define como una magnitud o unidad sin dimensión física asociada, siendo por tanto un número puro que permita describir una caracteristica, sin dimensión mi unidad de expresión explicita.
5. Se establecen dos filas, la primera para indicar la meta general del indicador, la segunda para indicar el valor meta con el que se calcula el indicador, el cual debe establecerse acorde al desarrollo del estudio de costos
6. Ibidem
7. Ibidem
8. Ibidem
9. Ibidem
10. Adimensional: Se define como una magnitud o unidad sin dimensión física asociada, siendo por tanto un número puro que permita describir una caracteristica, sin dimensión mi unidad de expresión explicita.
12. i corresponde al año sobre el que se realizará la planificación y posterior evaluación de resultado.
13. Si la meta es creciente, es decir, que necesita aumentar el resultado del indicador para mejorar, se debe aplicar la fórmula = (Resultado/ Meta) *100, si por el contrario se requiere de una disminución en el resultado para mejorar el indicador, se debe aplicar la fórmula= (Meta/ Resultado) *100.
14. Adimensional: Se define como una magnitud o unidad sin dimensión física asociada, siendo por tanto un número puro que permite describir una característica, sin dimensión ni unidad de expresión explicita
15. Se establecen dos filas, la primera para indicar la meta general del indicador, y la segunda para indicar el valor meta con el que se calcula el indicador, el cual debe establecerse acorde al desarrollo del estudio de costos del prestador.
16. Ibídem.
17. Ibídem.
18. Ibídem.
19. Ibídem.
20. i corresponde al año sobre el que se realizará la planificación y posterior evaluación de resultado.
21. Si la meta es creciente, es decir, que necesita aumentar el resultado del indicador para mejorar, se debe aplicar la fórmula = (Resultado/ Meta) *100, si por el contrario se requiere de una disminución en el resultado para mejorar el indicador, se debe aplicar la fórmula= (Meta/ Resultado) *100.
22. Adimensional: Se define como una magnitud o unidad sin dimensión física asociada, siendo por tanto un número puro que permite describir una característica, sin dimensión ni unidad de expresión explicita.
23. i corresponde al año sobre el que se realizará la planificación y posterior evaluación de resultado.
24. Si la meta es creciente, es decir, que necesita aumentar el resultado del indicador para mejorar, se debe aplicar la fórmula = (Resultado/ Meta) *100, si por el contrario se requiere de una disminución en el resultado para mejorar el indicador, se debe aplicar la fórmula= (Meta/ Resultado) *100.
25. Adimensional: Se define como una magnitud o unidad sin dimensión física asociada, siendo por tanto un número puro que permite describir una característica, sin dimensión ni unidad de expresión explicita.