RESOLUCIÓN CRA 950 DE 2021
(julio 30)
Diario Oficial No. 51.757 de 5 de agosto de 2021
COMISIÓN DE REGULACIÓN DE AGUA POTABLE Y SANEAMIENTO BÁSICO
Por la cual se modifica el artículo 2.1.2.1.10.1. de la Resolución CRA 943 de 2021 en lo relacionado con la provisión de recursos por diferencias entre las inversiones planeadas y ejecutadas del POIR.
LA COMISIÓN DE REGULACIÓN DE AGUA POTABLE Y SANEAMIENTO BÁSICO,
en ejercicio de sus facultades legales, en especial de las conferidas por la Ley 142 de 1994, los Decretos números 1524 de 1994, 2882 y 2883 de 2007, modificado por el Decreto número 2412 de 2015, el Decreto número 1077 de 2015, la Resolución número 738 de 2021 del Ministerio de Salud y Protección Social, la Resolución CRA 475 de 2009, compilada por la Resolución CRA 943 de 2021, y
CONSIDERANDO:
Que el artículo 209 de la Constitución Política establece que la función administrativa está al servicio de los intereses generales y el cumplimiento de estos objetivos se deben desarrollar, entre otros, de acuerdo con los principios de igualdad, eficacia y economía;
Que el artículo 334 de la Constitución Política de Colombia consagra que la dirección general de la economía estará a cargo del Estado, el cual intervendrá por mandato de la ley entre otras actividades, en los servicios públicos y privados, para racionalizar la economía con el fin de conseguir el mejoramiento de la calidad de vida de los habitantes, la distribución equitativa de las oportunidades y los beneficios del desarrollo y la preservación de un ambiente sano;
Que el artículo 365 ibídem prevé que los servicios públicos son inherentes a la finalidad social del Estado y que es deber del mismo asegurar su prestación eficiente a todos los habitantes del territorio nacional;
Que con fundamento en el mismo artículo Constitucional, los servicios públicos domiciliarios estarán sometidos al régimen jurídico que fije la ley, y señala que el Estado mantendrá la regulación, el control y la vigilancia de dichos servicios;
Que el artículo 370 del ordenamiento Constitucional, prevé que corresponde al Presidente de la República señalar, con sujeción a la ley, las políticas generales de administración y control de eficiencia de los servicios públicos domiciliarios;
Que el artículo 68 de la Ley 142 de 1994, establece que el señalamiento de esas políticas se podrá delegar en las Comisiones de Regulación;
Que, en virtud de lo anterior, el Presidente de la República mediante Decreto número 1524 de 1994, delegó las funciones presidenciales de señalar políticas generales de administración y control de eficiencia en los servicios públicos domiciliarios, en las Comisiones de Regulación;
Que el artículo 2o de la Ley 142 de 1994 dispone que el Estado intervendrá en los servicios públicos, entre otros fines, para la “(…) 2.3. Atención prioritaria de las necesidades básicas insatisfechas en materia de agua potable y saneamiento básico, y el artículo 3o ibidem prevé como instrumento de intervención Estatal, entre otros, la “(…) 3.2. Gestión y obtención de recursos para la prestación de servicios (…)”;
Que de conformidad con el artículo 73 de la Ley 142 de 1994 “(…) Las comisiones de regulación tienen la función de regular los monopolios en la prestación de los servicios públicos, cuando la competencia no sea, de hecho, posible; y, en los demás casos, la de promover la competencia entre quienes presten servicios públicos, para que las operaciones de los monopolistas o de los competidores sean económicamente eficientes, no impliquen abuso de la posición dominante, y produzcan servicios de calidad. (...)”;
Que el régimen tarifario aplicable a los servicios públicos domiciliarios, de conformidad con el numeral 86.4 del artículo 86 ibidem, está compuesto por reglas relativas a procedimientos, metodologías, fórmulas, estructuras, estratos, facturación, opciones, valores y, en general, todos los aspectos que determinan el cobro de las tarifas;
Que la Comisión de Regulación de Agua Potable y Saneamiento Básico (CRA), expidió la Resolución CRA 688 de 2014, por la cual se establece la metodología tarifaria para las personas prestadoras de los servicios públicos domiciliarios de acueducto y alcantarillado con más de 5.000 suscriptores en el área urbana, posteriormente compilada en la Resolución CRA 943 de 2021;
Que el artículo 2.1.2.1.10.1. de la Resolución CRA 943 de 2021(1), establece que las personas prestadoras deberán realizar una provisión de recursos por diferencias entre las inversiones planeadas y ejecutadas del POIR;
Que el parágrafo 3 del citado artículo señala que: “Los recursos de la provisión por diferencias entre las inversiones planeadas y ejecutadas del POIR deberán ser administrados en una cuenta individual de un encargo fiduciario (…)”;
Que adicionalmente, el parágrafo 4 del artículo 2.1.2.1.10.1. ibidem, indica que: “(...) A partir del quinto año tarifario (p=5), y a más tardar al 31 de diciembre siguiente al cierre de cada año tarifario p, el saldo del encargo fiduciario debe corresponder al valor resultante de la aplicación de la siguiente fórmula (…)”;
Que en consecuencia, las personas prestadoras incluidas en el ámbito de aplicación del artículo 2.1.2.1.1.1. de la Resolución CRA 943 de 2021, a partir del quinto año tarifario (p=5), y a más tardar al 31 de diciembre siguiente al cierre de cada año tarifario
, deberán trasladar al encargo fiduciario el saldo de la provisión de recursos por diferencias entre las inversiones planeadas y ejecutadas del POIR;
Que además el artículo 2.1.2.1.10.2 de la Resolución CRA 943 de 2021, establece que “(…) posteriormente al cálculo del saldo del encargo fiduciario de los recursos de la provisión por diferencias entre las inversiones planeadas y ejecutadas del POIR, atendiendo a lo dispuesto en el parágrafo 5 del artículo 109 de la presente resolución, la persona prestadora ejecute una inversión pendiente del POIR actualizado, podrá actualizar dicho saldo para descontar el valor correspondiente a la provisión de esa inversión al año p anterior.”;
Que la Comisión de Regulación de Agua Potable y Saneamiento Básico (CRA) estableció en los artículos 2.1.3.3.1 y siguientes de la Resolución CRA 943 de 2021 y en los artículos 2.1.3.2.1.1. y siguientes de la misma resolución, las condiciones a aplicar a los mercados regionales declarados en vigencia de la Resolución CRA 628 de 2013(2), modificada por la Resolución CRA 633 de 2013(3) y aquellos declarados en vigencia de la Resolución CRA 821 de 2017(4);
Que si bien el artículo 2.1.2.1.4.3.8. de la Resolución CRA 943 de 2021 establece que el Plan de Obras e Inversiones Regulado - POIR debe proyectarse por separado para cada APS, las personas prestadoras que cuenten con mercados regionales declarados por la Comisión de Regulación de Agua Potable y Saneamiento Básico - CRA en aplicación de lo establecido en el artículo 2.1.3.2.5.1. de la resolución ídem, y aquellas con sistemas interconectados que hubieren determinado sus costos de prestación de manera unificada de conformidad con el artículo 2.1.2.1.1.7 de la resolución ibidem, deben calcular el Costo Medio de Inversión - CMI de manera unificada;
Que el parágrafo 3 del artículo 2.1.3.2.5.1. de la Resolución CRA 943 de 2021 establece que las personas prestadoras que cuenten con mercados regionales declarados por la Comisión de Regulación de Agua Potable y Saneamiento Básico - CRA, podrán constituir un encargo fiduciario para el traslado de la provisión a la que hace referencia el artículo 2.1.2.1.10.1. de la resolución mencionada para todas las APS que integran el mercado regional declarado, sujetas al ámbito de aplicación de que trata el artículo 2.1.2.1.1.1 de la misma resolución;
Que el Ministerio de Salud y Protección Social expidió la Resolución 385 de 2020, por la cual se declaró la emergencia sanitaria por causa del coronavirus COVID-19 y se adoptaron medidas para hacer frente al virus, esta emergencia se ha venido prorrogando sucesivamente y, mediante la Resolución número 738 de 2021(5) se prorrogó hasta el 31 de agosto de 2021;
Que el Ministerio de Salud y Protección Social ha identificado tres grandes curvas de contagio a nivel nacional, la primera observada en los meses de septiembre y octubre de 2020, la segunda entre diciembre de 2020 y enero de 2021, y la tercera a partir de marzo de 2021 resaltando que, en esta última, se evidenció una mayor aceleración del contagio comparado con los dos anteriores;
Que la Resolución número 738 de 2021 del Ministerio de Salud y Protección Social considera “(…) Que no resulta fácil determinar la posibilidad de nuevos picos dado que dicha situación depende, principalmente, de: (i) la seroprevalencia que es la proporción de personas en un territorio que ha sido expuesto al virus; (ii) la cobertura de vacunación; y (iii) la duración de la inmunidad natural y por vacunas que, de acuerdo con estudios recientes pueden tardar al menos 10 meses, con la claridad que aún no se conoce su comportamiento en periodos más largos. Sin embargo, de continuar con la vacunación de los grupos de mayor riesgo, se espera que estos posibles picos nuevos se den con un menor impacto en mortalidad (…)”;
Que el Gobierno nacional expidió la Resolución número 777 de 2021(6) con el fin de reactivar las actividades de todos los sectores donde se desarrolla la vida cotidiana de la población colombiana, considerando que se requiere adoptar una serie de medidas que permitan continuar el proceso de reactivación de los diferentes sectores económicos, para lo cual se debe tener en cuenta el comportamiento epidemiológico del virus SARS-CoV-2, el avance de la vacunación a nivel nacional, y la necesidad de continuar fortaleciendo las medidas de bioseguridad implementadas, así como la presencia de nuevas variantes genómicas del virus;
Que desde finales del mes de abril de 2021 se han presentado protestas, movilizaciones, bloqueos y disturbios en el territorio nacional, que han afectado el abastecimiento y la continuidad de los diferentes sectores productivos, comerciales y de servicios, incluido lo relacionado con la prestación de los servicios públicos del sector de Agua Potable y Saneamiento Básico;
Que el Informe Perspectivas Económicas de la Organización para la Cooperación y el Desarrollo Económicos (OCDE) 2021(7) menciona que “(…) las protestas sociales y la imposición de nuevos confinamientos en abril y mayo de 2021 retrasarán una recuperación económica más duradera hasta la segunda mitad de 2021 y la confianza de los consumidores ha caído fuertemente en un contexto de protestas sociales, bloqueos de rutas, e interrupciones en las cadenas de suministro (…)”;
Que el mismo informe señala que si bien la economía mundial navega actualmente hacia la recuperación, con múltiples fricciones, persiste el riesgo de que no se alcance o no se generalice un crecimiento pospandémico suficientemente elevado, lo cual dependerá en buena medida de la adopción de marcos de política flexibles y sostenibles, así como de la calidad de la cooperación internacional; así mismo, proyecta que el PIB en Colombia crecerá un 7,6% en 2021 y un 3,5%, en 2022, impulsado por el consumo privado y la inversión;
Que con el fin de contribuir a la reactivación económica del país, se considera importante adoptar medidas regulatorias que permitan aplazar por un (1) año calendario el traslado de la provisión de recursos por diferencias entre las inversiones planeadas y las ejecutadas del Plan de Obras de Inversiones Regulado (POIR), a las que hace referencia el artículo 2.1.2.1.10.1. de la Resolución CRA 943 de 2021, sin que por ello se modifique la finalidad para la cual fue creada dicha provisión;
Que considerando lo anterior se requiere ampliar el plazo, de que trata el parágrafo 4 del artículo 2.1.2.1.10.1., para trasladar el saldo de la provisión de recursos por diferencias entre las inversiones planeadas y ejecutadas del POIR al encargo fiduciario;
Que adicionalmente, es necesario aclarar en el artículo 2.1.2.1.10.1. de la Resolución CRA 943 de 2021 que las personas prestadoras que cuenten con mercados regionales declarados por esta Comisión en aplicación de lo establecido en el artículo 2.1.3.2.5.1. de la misma resolución, y aquellas con sistemas interconectados que hubieren determinado sus costos de prestación de manera unificada de conformidad con el artículo 2.1.2.1.1.7 de la resolución ibidem, podrán calcular de manera unificada la provisión de recursos por diferencias entre las inversiones planeadas y ejecutadas del POIR para todas las APS que están incluidas en el ámbito de aplicación de que trata el artículo 2.1.2.1.1.1 de la Resolución CRA 943 de 2021;
Que el Capítulo 3, Sección 1, del Libro 2, Parte 3, Titulo 6, del Decreto número 1077 de 2015, compiló el Decreto número 2696 de 2004, el cual señaló las reglas mínimas para garantizar la divulgación y participación en las actuaciones de las Comisiones de Regulación;
Que el parágrafo del artículo 9o del Decreto número 2696 de 2004, compilado en el Decreto número 1077 de 2015, artículo 2.3.6.3.3.9., señala que cada comisión de regulación definirá y hará públicos los criterios, así como los casos en los cuales las disposiciones sobre publicidad de los proyectos de regulación no serán aplicables a las resoluciones de carácter general;
Que, en ejercicio de esta facultad, la Comisión de Regulación de Agua Potable y Saneamiento Básico - CRA expidió la Resolución CRA 475 de 2009, compilada en la Resolución número 943 de 2021, por la cual se definen los criterios, así como los casos que se exceptúan del procedimiento al que hace referencia la disposición anterior;
Que el numeral 1 del artículo 1.16.1. de la Resolución CRA 943 de 2021, señala como excepción al procedimiento de participación ciudadana de los proyectos de resolución de carácter general, “(…) Los que deban expedirse cuando se presenten graves situaciones de orden público, económico o social, (…), que tengan la capacidad de afectar de manera grave la prestación continua e ininterrumpida de los servicios públicos domiciliarios de acueducto, alcantarillado y del servicio público de aseo y sea necesaria la intervención urgente de la Comisión”.;
Que adicionalmente, el numeral 2 del artículo 1.16.1 de la Resolución CRA 943 de 2021 establece que se exceptúan del procedimiento de participación ciudadana “(…) Los que tengan por objeto aclarar resoluciones de carácter general, con el fin de garantizar un mejor entendimiento respecto del contenido original, siempre y cuando no afecte la tarifa del usuario final, el debido proceso a que tiene derecho por los prestadores de servicios públicos y los derechos de los usuarios (…)”;
Que el presente acto se encuentra excepcionado del procedimiento de participación ciudadana previsto en el Decreto número 1077 de 2015, teniendo en cuenta la grave afectación de orden público, económico y social a la que se ha hecho referencia en los considerandos anteriores, así como la finalización del quinto año tarifario el 30 de junio de 2021, plazo en que debe realizarse el cálculo de la provisión de recursos por diferencias entre las inversiones planeadas y ejecutadas del POIR, lo cual se regulará sin que se produzca afectación a la tarifa final del suscriptor y/o usuario;
Que de acuerdo con lo establecido en el artículo 7o de la Ley 1340 de 2009, modificada por la Ley 1955 de 2019 por la cual se dictan normas en materia de protección a la competencia, la Superintendencia de Industria y Comercio (SIC) puede rendir concepto previo a solicitud o de oficio, sobre los proyectos de regulación que puedan incidir sobre la libre competencia en los mercados, para lo cual las autoridades de regulación informarán a la Superintendencia de Industria y Comercio (SIC) de los actos administrativos que se pretendan expedir;
Que de acuerdo con lo dispuesto en el artículo 5o del Decreto número 2897 de 2010 compilado en el Decreto número 1074 de 2015 por el cual se reglamenta el artículo 7o de la Ley 1340 de 2009, y habiendo diligenciado el cuestionario que para el efecto adoptó la Superintendencia de Industria y Comercio (SIC) mediante Resolución número 44649 del 25 de agosto de 2010, se determinó que el contenido del presente acto administrativo no tiene incidencia sobre la libre competencia en los mercados, razón por la cual no fue puesto en conocimiento para efectos de la emisión del concepto de abogacía de la competencia por parte de la Superintendencia de Industria y Comercio (SIC);
Que en mérito de lo expuesto,
RESUELVE:
ARTÍCULO 1o. Modificar el artículo 2.1.2.1.10.1. de la Resolución CRA 943 de 2021 conforme lo expuesto en la parte motiva de la presente resolución, el cual quedará así:
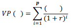
“Artículo 2.1.2.1.10.1. Provisión de recursos por diferencias entre las inversiones planeadas y ejecutadas del POIR. Una vez finalizado el quinto año tarifario, y en los años subsiguientes, la provisión de recursos por diferencias entre las inversiones planeadas y ejecutadas del Plan de Obras e Inversiones Regulado - POIR, se determinará con base en la siguiente fórmula:
“Artículo 2.1.2.1.10.1. Provisión de recursos por diferencias entre las inversiones planeadas y ejecutadas del POIR. Una vez finalizado el quinto año tarifario, y en los años subsiguientes, la provisión de recursos por diferencias entre las inversiones planeadas y ejecutadas del Plan de Obras e Inversiones Regulado - POIR, se determinará con base en la siguiente fórmula:

| Provisión de recursos por diferencias entre las inversiones planeadas y ejecutadas del POIR al cierre del año tarifario p, para cada uno de los servicios públicos domiciliarios de acueducto y/o alcantarillado y para cada una de las Áreas de Prestación del Servicio - APS (pesos de diciembre de 2014). Este valor deberá ser calculado en aplicación de la función de valor presente del año 1 al año p, descontando cada variable a analizar con la tasa de descuento (r) definida en el ARTÍCULO 2.1.2.1.3.1. de la presente resolución, así: |

| Diferencia entre el costo medio de las inversiones planeadas conforme al POIR actualizado y el costo medio de las inversiones ejecutadas del POIR actualizado, del activo j en el año i, para cada uno de los servicios públicos domiciliarios de acueducto y/o alcantarillado. |

| Costo de inversión del activo j en el año i, planeado conforme al POIR actualizado para cada uno de los servicios públicos domiciliarios de acueducto y/o alcantarillado (pesos de diciembre de 2014). | |
| Costo de inversión del activo j ejecutado en el año i, para cada unode los servicios públicos domiciliarios de acueducto y/o alcantarillado. Este costo se calcula con el valor de ejecución de los activos que entraron en operación (pesos de diciembre de 2014). | |
| Consumo corregido por pérdidas del año i (m3), según lo definido en el estudio de costos, para cada servicio público domiciliario. | |
| Implica la aplicación de la función de valor presente del año tarifario uno (1) al diez (10), descontando cada variable a analizar con la tasa de descuento (r) definida en el artículo 2.1.2.1.3.1 de la presente resolución, así: |

| Metros cúbicos facturados en los años tarifarios del uno (1) hasta el año tarifario p, para cada uno de los servicios públicos domiciliarios de acueducto y/o alcantarillado. | |
| Año tarifario que corresponde a un valor entre uno (1) y diez (10). | |
| Año tarifario para el que se calcula el valor de la Provisión de recursos por diferencias entre las inversiones planeadas y ejecutadas del POIR, desde el año tarifario (i=5) y subsiguientes. | |
| En los casos en que un prestador entre en operación con posterioridad al primero (1) de julio de 2016, la variable p se determinará teniendo en cuenta cada año tarifario posterior a la entrada en operación, esto es, los años tarifarios de la proyección de su estudio de costos. | |
| Cada uno de los activos programados en el POIR actualizado, que hacen parte de la BCR hasta n activos. | |
| Tasa de descuento según lo establecido en el artículo 2.1.2.1.3.1. de la presente resolución. | |
PARÁGRAFO 1o. El POIR actualizado corresponde al POIR resultante de todas las modificaciones realizadas por el prestador a partir del año en que haya dado aplicación al artículo 2.1.2.1.4.3.10 de la presente resolución, así como a lo señalado en los artículos 2.1.2.1.1.7, 2.1.2.3.3 y 2.1.2.3.4., o cuando la CRA lo disponga en aplicación de lo previsto en el artículo 1.8.7.2.1.1. y siguientes que establecen el trámite único para las modificaciones de carácter particular de la fórmula tarifaria.
PARÁGRAFO 2o. Para efectos de determinar el
, en los casos en que el valor de ejecución del activo j sea superior al valor planeado, se podrá considerar dicho valor de ejecución del activo j únicamente a partir del año tarifario p en que el prestador cumpla con las metas establecidas de conformidad con el artículo 2.1.2.1.1.9. de la presente resolución. En todo caso, el mayor valor ejecutado en los proyectos del POIR debe cumplir con lo establecido en los artículos 2.1.2.1.4.3.8, 2.1.2.1.4.3.9. y 2.1.2.1.4.3.10 de la presente resolución. En el caso que el prestador no cumpla con las metas establecidas al año p, el valor de ejecución del activo j será igual al valor planeado.
La persona prestadora deberá tener a disposición de la Superintendencia de Servicios Públicos Domiciliarios los soportes respectivos.
En el evento que un activo j no haya entrado en operación al cierre del año tarifario i en el que fue planeado conforme al POIR actualizado, el
es igual a cero (0), hasta tanto el activo entre en operación.
PARÁGRAFO 3o. Las personas prestadoras que cuenten con mercados regionales declarados por la Comisión de Regulación de Agua Potable y Saneamiento Básico - CRA y aquellas con sistemas interconectados que hubieren determinado sus costos de prestación de manera unificada, podrán calcular el valor de la Provisión de recursos por diferencias entre las inversiones planeadas y ejecutadas del POIR de manera unificada, para todas las APS que están incluidas en el ámbito de aplicación de que trata el artículo 2.1.2.1.1.1 de la presente resolución.
PARÁGRAFO 4o. Los recursos de la provisión por diferencias entre las inversiones planeadas y ejecutadas del POIR deberán ser administrados en una cuenta individual de un encargo fiduciario. En caso que el prestador cuente con un encargo fiduciario previamente constituido, podrá hacer uso de este mediante una cuenta individual. Los costos relacionados con el encargo fiduciario deberán ser asumidos por la persona prestadora.
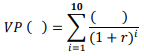
PARÁGRAFO 5o. A partir del sexto año tarifario (p=6), y a más tardar al 31 de diciembre siguiente al cierre de cada año tarifario p, el saldo del encargo fiduciario debe corresponder al valor resultante de la aplicación de la siguiente fórmula:
![]()
Donde:
| Saldo en el encargo fiduciario de la provisión de los recursos por diferencias entre las inversiones planeadas y ejecutadas del POIR, para cada uno de los servicios públicos domiciliarios de acueducto y/o alcantarillado (pesos de junio del año tarifario p). En los casos en que el resultado del cálculo del | |
| Provisión de recursos por diferencias entre las inversiones planeadas y ejecutadas del POIR al cierre del año tarifario p, para cada uno de los servicios públicos domiciliarios de acueducto y/o alcantarillado (pesos de diciembre de 2014) | |
| r | Tasa de descuento según lo establecido en el artículo 2.1.2.1.3.1 de la presente resolución |
| Factor de indexación de los pesos de diciembre de 2014 a pesos de junio del año tarifario p, el cual se obtiene de dividir el IPC de junio del año tarifario p y el IPC de diciembre de 2014, teniendo presente que para ambos indices se emplee la misma base del IPC, establecida por el DANE | |
| i | Año tarifario que corresponde a un valor entre uno (1) y diez (10) |
| p | Año tarifario para el que se calcula el saldo de la provisión disponible en el encargo fiduciario, desde el año tarifario (i=6) y subsiguientes |
| j | Cada uno de los activos programados en el POIR actualizado, que hacen parte de la BCR hasta n activos |
ARTÍCULO 2o. VIGENCIA. La presente resolución rige a partir de la fecha de su publicación en el Diario Oficial.
Publíquese y cúmplase.
Dada en Bogotá, D. C., a 30 de julio de 2021.
El Presidente,
Jonathan Tybalt Malagón González.
El Director Ejecutivo,
Diego Felipe Polanía Chacón.
NOTAS AL FINAL:
1. Subtítulo 1 del Título 2 de la Parte 1.
2. “Por la cual se define el concepto de mercado regional, se establecen las condiciones para declararlo y la forma de verificar dichas condiciones, de conformidad con lo previsto en el artículo 126 de la Ley 1450 de 2011”.
3. “Por la cual se modifica la Resolución CRA número 628 de 2013”.
4. “Por la cual se define el concepto de mercado regional, se establecen las condiciones para declararlo y la forma de verificarlas, de conformidad con lo previsto en el artículo 126 de la Ley 1450 de 2011”.
6. Por medio de la cual se definen los criterios y condiciones para el desarrollo de las actividades económicas, sociales y del Estado y se adopta el protocolo de bioseguridad para la ejecución de estas.
7. https://acmineria.com.co/acm/wp-content/uploads/2021/05/Resolucion-738-de-2021.pdf