DatosDATOS
BúsquedaBUSCAR
ÍndiceÍNDICE
MemoriaDESCARGAS
DesarrollosDESARROLLOS
ModificacionesMODIFICACIONES
ConcordanciasCONCORDANCIAS
NotificacionesNOTIFICACIONES
Actos de trámiteACTOS DE TRÁMITE
AbogacíaABOGACÍA
VideosVIDEOS

RESOLUCIÓN CRA 956 DE 2021

(septiembre 27)

Diario Oficial No. 51.814 de 1 de octubre de 2021

COMISIÓN DE REGULACIÓN DE AGUA POTABLE Y SANEAMIENTO BÁSICO

Por la cual se adiciona el Título 2 a la Parte 8 del Libro 5 de la Resolución CRA 943 de 2021 sobre “Aspectos generales de los acuerdos de barrido y limpieza de vías y áreas públicas que incluyan la remuneración de esas actividades y resolución de conflictos por remuneración entre personas prestadoras del servicio público de aseo que realicen las actividades de barrido y limpieza de vías y áreas públicas”.

LA COMISIÓN DE REGULACIÓN DE AGUA POTABLE Y SANEAMIENTO BÁSICO,

en ejercicio de sus facultades legales, en especial de las conferidas por las Leyes 142 de 1994 y 1437 de 2011, los Decretos números 1524 de 1994, 2882 y 2883 de 2007, modificado por el Decreto número 2412 de 2015, el Decreto número 1077 de 2015, la Resolución CRA 943 de 2021, y

CONSIDERANDO:

Que el artículo 209 de la Constitución Política de 1991 establece que la función administrativa está al servicio de los intereses generales y se desarrolla con fundamento en los principios de igualdad, moralidad, eficacia, economía, celeridad, imparcialidad y publicidad, mediante la descentralización, la delegación y la desconcentración de funciones;

Que el artículo 334 de la Constitución Política de Colombia consagra que la dirección general de la economía estará a cargo del Estado, el cual intervendrá por mandato de la ley entre otras actividades, en los servicios públicos y privados, para racionalizar la economía con el fin de conseguir el mejoramiento de la calidad de vida de los habitantes, la distribución equitativa de las oportunidades y los beneficios del desarrollo y la preservación de un ambiente sano;

Que el artículo 365 de la Constitución Política prevé que los servicios públicos son inherentes a la finalidad social del Estado y que es deber del mismo asegurar su prestación eficiente a todos los habitantes del territorio nacional. Adicionalmente, el citado artículo establece que los servicios públicos domiciliarios estarán sometidos al régimen jurídico que fije la ley, y el Estado mantendrá la regulación, el control y la vigilancia de dichos servicios;

Que el artículo 370 del ordenamiento constitucional prevé que corresponde al Presidente de la República señalar, con sujeción a la ley, las políticas generales de administración y control de eficiencia de los servicios públicos domiciliarios;

Que el artículo 68 de la Ley 142 de 1994(1) establece que el señalamiento de esas políticas se podrá delegar en las comisiones de regulación de los servicios públicos;

Que en virtud de lo anterior, el Presidente de la República, mediante el Decreto número 1524 de 1994, delegó en las comisiones de regulación la función presidencial de señalar las políticas generales de administración y control de eficiencia en los servicios públicos domiciliarios;

Que los artículos 73 y 74 de la Ley 142 de 1994 establecen que a las comisiones de regulación les corresponde regular los monopolios en la prestación de los servicios públicos, cuando la competencia no sea, de hecho, posible, así como promover la competencia entre quienes presten servicios públicos, para que las operaciones de los monopolistas o de los competidores sean económicamente eficientes; así mismo resolver, a petición, los conflictos que surjan entre empresas, y que no corresponda decidir a otras autoridades administrativas;

Que los citados artículos 73 y 74 de la Ley 142 de 1994 otorgan a la Comisión de Regulación de Agua potable y Saneamiento Básico competencia para regular los aspectos generales de los acuerdos de barrido y limpieza de vías y áreas públicas que incluyan la remuneración de dichas actividades, así como para definir criterios para resolver conflictos por remuneración entre personas prestadoras del servicio público de aseo que realicen las mencionadas actividades; lo anterior, para que las operaciones de los prestadores sean económicamente eficientes, se prevenga el abuso de posiciones dominantes y se produzcan servicios de calidad. En este sentido, esta Comisión es competente para regular el asunto, en los términos previstos en los artículos señalados;

Que el Decreto número 1077 de 2015(2), en el Capítulo 1 del Título 2, reglamenta el servicio público de aseo y, en armonía con la Ley 142 de 1994, establece como actividades de este servicio las siguientes: recolección, transporte, barrido y limpieza de vías y áreas públicas, corte de césped, poda de árboles en las vías y áreas públicas, transferencia, tratamiento, aprovechamiento, disposición final y lavado de áreas públicas;

Que el artículo 2.3.1.1.1.4.51. <sic, 2.3.2.2.2.4.51> del Decreto número 1077 de 2015 dispone que las labores de barrido y limpieza de vías y áreas públicas son responsabilidad de la persona prestadora del servicio público de aseo en el área de prestación donde realice las actividades de recolección y transporte;

Que el artículo 2.3.2.2.2.4.52. del Decreto número 1077 de 2015 dispone que en aquellas áreas de prestación atendidas por más de una persona prestadora, estas deben suscribir acuerdos de barrido y limpieza determinando las vías y áreas públicas que cada persona prestadora vaya a atender en el respectivo municipio, sin perjuicio de convenir que solo uno de ellos sea quien atiende la totalidad del área; que la forma de remuneración entre los prestadores de las mencionadas actividades se podrá establecer en dichos acuerdos, así como, que de no llegarse a un acuerdo, las personas prestadoras podrán acudir ante la CRA para la solución de la controversia que pueda surgir de esta situación;

Que según lo previsto en el parágrafo 2 del artículo 2.3.1.1.1.4.51. y en el artículo 2.3.2.2.2.4.52. del Decreto número 1077 de 2015 y en razón a que las actividades de barrido y limpieza de vías y áreas pública y las de limpieza urbana como actividades colectivas del servicio público de aseo están llamadas a ser sufragadas por todos los suscriptores o usuarios del municipio o distrito, se pueden presentar conflictos generados por la superposición de áreas de prestación del servicio y de macrorrutas de recolección de residuos no aprovechables, a saber conflictos por confluencia o por una desproporción entre los recursos que se deben reconocer por la atención de los kilómetros de barrido y limpieza de vías y áreas públicas del APS atendida y los recursos facturados por concepto de la ejecución de dichas actividades, es decir, conflictos por remuneración. Estas desproporciones pueden ser generadas, entre otros factores, por desproporciones entre el número de suscriptores atendidos en la APS y la cantidad de kilómetros de barrido y limpieza de vías y áreas públicas ejecutados;

Que los conflictos generados por una desproporción entre los recursos que se deben reconocer por la atención de los kilómetros de barrido y limpieza de vías y áreas públicas del APS atendida y los recursos facturados por concepto de la ejecución de dichas actividades, es decir, conflictos por remuneración, también están llamados a ser resueltos dando aplicación a los criterios tarifarios previstos en el artículo 87 de la Ley 142 de 1994, en especial los de eficiencia económica, neutralidad y suficiencia financiera que determinan adicionalmente la prohibición de la gratuidad en la prestación de los servicios públicos domiciliarios;

Que de conformidad con lo previsto en el referido artículo 2.3.2.2.2.4.52 del Decreto número 1077 de 2015, es preciso señalar que esta norma no presupone la existencia de un conflicto previo por áreas de confluencia, para la configuración de un conflicto por remuneración de las actividades de barrido y limpieza de vías y áreas públicas;

Que la presente regulación se ocupa específicamente de establecer las reglas para solucionar conflictos generados por una desproporción entre los recursos que se deben reconocer por la atención de los kilómetros de barrido y limpieza de vías y áreas públicas del APS atendida y los recursos facturados por concepto de la ejecución de dichas actividades, es decir, conflictos por remuneración, que no implica modificación alguna a la regulación tarifaria vigente sino el establecimiento de una metodología para tal propósito, la cual regirá a partir de su entrada en vigencia y propenderá porque las partes involucradas acudan a los mecanismos propios para la solución de los conflictos;

Que durante el proceso de participación ciudadana de la Resolución CRA 882 de 26 de junio de 2019(3), se identificó la necesidad de expedir una resolución que contenga los aspectos generales que podrán tener en cuenta las personas prestadoras del servicio público de aseo que incluyan la remuneración en los acuerdos de barrido y limpieza de vías y áreas públicas, así como la metodología en función de los kilómetros efectivamente barridos para resolver los conflictos suscitados cuando en un municipio o distrito se presenten conflictos relacionados con la remuneración;

Que dado que los conflictos entre las personas prestadoras de las actividades de barrido y limpieza de vías y áreas públicas pueden tener diferentes causas, las disposiciones regulatorias contenidas en el Título 1 de la Parte 8 del Libro 5 de la Resolución CRA 943 de 2021(4) y en la presente resolución pueden ser aplicadas de forma complementaria;

Que de conformidad con lo establecido en el artículo 2.3.6.3.3.9 del Decreto número 1077 de 2015, se presentó a participación ciudadana el proyecto regulatorio contenido en la Resolución CRA 904 de 2019, publicada en el Diario Oficial 51.156 de 3 de diciembre de 2019, por la cual se hace público el proyecto de resolución, por la cual se establecen aspectos generales de los acuerdos de barrido y limpieza de vías y áreas públicas que incluyan la remuneración de esas actividades y se regula la solución de conflictos por remuneración entre personas prestadoras del servicio público de aseo que realicen las actividades de barrido y limpieza de vías y áreas públicas, se da cumplimiento a lo previsto en el artículo 2.3.6.3.3.9 del Decreto número 1077 de 2015 y se inicia el proceso de discusión directa con los usuarios y agentes del sector, la cual dio inicio a dicho proceso por el término de cuarenta (40) días hábiles;

Que en ejercicio de la función regulatoria que corresponde a la Comisión de Regulación de Agua Potable y Saneamiento Básico (CRA) y como consecuencia del proceso de participación ciudadana de la Resolución CRA 904 de 2019, se recibieron 67 observaciones, reparos y sugerencias, de las cuales se aceptaron el 19%, se aclararon el 75% y se rechazaron el 6%;

Que el Comité de Expertos elaboró el documento final, con base en el parágrafo del artículo 2.3.6.3.3.10. del Decreto número 1077 de 2015, en el cual se encuentran contenidas las razones por las cuales se aceptan, aclaran o rechazan las observaciones, reparos y sugerencias formuladas en el marco del proceso de participación ciudadana;

Que la Comisión de Regulación de Agua Potable y Saneamiento Básico (CRA) expidió la Resolución CRA 943 de 2021 que compila las normas regulatorias de carácter general de los servicios públicos de acueducto, alcantarillado y aseo como un mecanismo de mejora normativa, eficacia del servicio y gestión prestada por la entidad, razón por la cual la regulación que se expida a partir de la entrada en vigencia de dicho acto administrativo deberá citar las referencias normativas allí contenidas;

Que de acuerdo con lo establecido en el artículo 7o de la Ley 1340 de 2009, por la cual se dictan normas en materia de protección a la competencia, modificado por el artículo 146 de la Ley 1955 de 2019, la Superintendencia de Industria y Comercio puede rendir concepto previo sobre los proyectos de regulación que puedan incidir sobre la libre competencia en los mercados, para lo cual las autoridades de regulación informarán a la Superintendencia de Industria y Comercio de los actos administrativos que se pretendan expedir;

Que teniendo en cuenta lo dispuesto en el artículo 5o del Decreto número 2897 de 2010, por el cual se reglamenta el artículo 7o de la Ley 1340 de 2009, modificado por el artículo 146 de la Ley 1955 de 2019, y habiendo diligenciado el cuestionario que para el efecto adoptó la Superintendencia de Industria y Comercio mediante Resolución número 44649 del 25 de agosto de 2010, se determinó que el contenido del presente acto administrativo no tiene incidencia sobre la libre competencia en los mercados, razón por la cual no fue puesto en conocimiento para efectos de la emisión del concepto de abogacía de la competencia por parte de la Superintendencia de Industria y Comercio;

Que en mérito de lo expuesto,

RESUELVE:

ARTÍCULO 1o. Adicionar el Título 2 a la Parte 8 del Libro 5 de la Resolución CRA 943 de 2021, por la cual se compila la regulación general de los servicios públicos de acueducto, alcantarillado y aseo, y se derogan unas disposiciones, con el siguiente texto:

“TÍTULO 2

“Aspectos generales de los acuerdos de barrido y limpieza de vías y áreas públicas que incluyan la remuneración de esas actividades y la resolución de conflictos por remuneración entre personas prestadoras del servicio público de aseo que realicen las actividades de barrido y limpieza de vías y áreas públicas”

Artículo 5.8.2.1. Ámbito de aplicación. El presente Título aplica a las personas prestadoras del servicio público de aseo de las actividades de recolección y transporte de residuos sólidos no aprovechables, en las actividades de barrido y limpieza de vías y áreas públicas, cuando en un municipio o distrito existan dos o más personas prestadoras que realicen dichas actividades.

Artículo 5.8.2.2. Objeto. El presente Título tiene por objeto establecer los aspectos generales que las personas prestadoras podrán tener en cuenta para suscribir acuerdos de barrido y limpieza de vías y áreas públicas en los que se incluya la forma de distribuir los recursos tarifarios que remuneran la prestación de dichas actividades entre personas prestadoras; así como señalar la metodología y condiciones que tendrá en cuenta la Comisión de Regulación de Agua Potable y Saneamiento Básico (CRA) para la solución de conflictos asociados a la remuneración por la prestación de las actividades de barrido y limpieza de vías y áreas públicas a solicitud de parte.

Artículo 5.8.2.3. Conflictos sobre remuneración. Existen conflictos sobre remuneración cuando alguna(s) de las personas prestadoras de las actividades de barrido y limpieza de vías y áreas públicas, incluidas en el ámbito de aplicación del presente Título, presenta(n) una desproporción entre los recursos que se deben reconocer por la atención de los kilómetros de barrido y limpieza de vías y áreas públicas del APS atendida y los recursos facturados por concepto de la ejecución de dichas actividades. Estas desproporciones pueden ser generadas, entre otros factores, por desbalances entre el número de suscriptores atendidos y la cantidad de kilómetros de barrido y limpieza de vías y áreas públicas en la APS.

PARÁGRAFO. Cuando existan conflictos sobre remuneración, las personas prestadoras podrán dar solución a los mismos aplicando las metodologías establecidas en los artículos 5.8.2.3.1. y 5.8.2.3.2. de la presente resolución.

En el evento de no llegar a un acuerdo, cualquiera de las personas prestadoras podrá acudir ante la Comisión de Regulación de Agua Potable y Saneamiento Básico (CRA) para que sea esta entidad la que los resuelva aplicando las metodologías establecidas en los artículos 5.8.2.3.1. y 5.8.2.3.2. de la presente resolución; lo anterior sin perjuicio de que estos conflictos se tramiten según los mecanismos de solución que para el efecto hayan previsto las personas prestadoras.

CAPÍTULO 1

Acuerdos de barrido y limpieza de vías y áreas públicas

Artículo 5.8.2.1.1. Aspectos generales para la suscripción de acuerdos de barrido y limpieza de vías y áreas públicas en los que se incluya la forma de remuneración entre personas prestadoras. En los casos en los que las personas prestadoras incluyan la forma de distribuir los recursos tarifarios que remuneran las actividades de barrido y limpieza de vías y áreas públicas en los acuerdos que suscriban para la prestación de dichas actividades, podrán observar para el efecto la metodología señalada en los artículos 5.8.2.3.1. y 5.8.2.3.2. de la presente resolución. Lo anterior, sin perjuicio de que en el mismo acuerdo se defina que una sola de las partes realice las actividades en la totalidad del municipio o distrito, y las contrapartes le trasladen los recursos correspondientes.

Igualmente, los acuerdos podrán contener los siguientes aspectos:

1. El número de suscriptores atendidos por cada persona prestadora en el municipio, en el último periodo de facturación anterior a la suscripción del acuerdo.

2. Los kilómetros de barrido y limpieza de vías y áreas públicas que atiende cada persona prestadora en su Área de Prestación del Servicio (APS).

3. La forma de cálculo de la distribución de los recursos tarifarios que remuneran las actividades que aplicará entre personas prestadoras por las actividades de barrido y limpieza de vías y áreas públicas, a partir de la suscripción del acuerdo.

4. Las condiciones para el traslado de los recursos entre personas prestadoras de las actividades de barrido y limpieza de vías y áreas públicas, a partir de la suscripción del acuerdo.

5. La forma de actualización de los acuerdos de barrido y limpieza de vías y áreas públicas por razones diferentes a las señaladas en el artículo 2.3.2.2.2.4.52 del Decreto número 1077 de 2015.

PARÁGRAFO. Una vez suscrito el acuerdo de barrido y limpieza de vías y áreas públicas, las partes que lo suscriben deberán comunicar a los usuarios el nombre de la(s) persona(s) prestadora(s) que será(n) responsable(s) de la prestación de las actividades de barrido y limpieza de vías y áreas públicas en el municipio o distrito y las frecuencias y condiciones de prestación de la actividad.

CAPÍTULO 2

Resolución de conflictos sobre remuneración

Artículo 5.8.2.2.1. Solicitud de resolución de conflictos. A partir de la entrada en vigencia del presente Título, agotada la negociación directa entre las personas prestadoras del servicio público de aseo para las actividades de barrido y limpieza de vías y áreas públicas, y en el evento en que no logren un acuerdo, cualquiera de ellas, en los términos previstos en el parágrafo del artículo 5.8.2.3 de la presente resolución, podrá solicitar a la Comisión de Regulación de Agua Potable y Saneamiento Básico (CRA) la solución de los conflictos sobre la distribución de los recursos tarifarios que remuneran dichas actividades, mediante la presentación de documento escrito por parte del representante legal de la solicitante.

Artículo 5.8.2.2.2. Requisitos para solicitar la resolución de conflictos. La solicitud que presente la persona prestadora del servicio público de aseo para las actividades de barrido y limpieza de vías y áreas públicas deberá incluir la siguiente información:

1. El informe y los soportes sobre el estado y avance de la negociación directa, en el que se identifiquen las personas prestadoras en conflicto, los acuerdos y los desacuerdos entre las mismas.

2. Nombre de las personas prestadoras del servicio público de aseo de las actividades de recolección y transporte de residuos sólidos no aprovechables, que atienden en el municipio donde se presenta el conflicto.

3. El Costo de Barrido y Limpieza de vías y áreas públicas por suscriptor del municipio – CBLS, aplicado en el periodo de facturación inmediatamente anterior a la solicitud.

4. Los componentes para el cálculo del Costo de Barrido y Limpieza de vías y áreas públicas por suscriptor - CBLS para el municipio donde se presenta el conflicto (Costo de barrido y limpieza de cada una de las personas prestadoras en el municipio - CBL, longitud de vías y áreas barridas promedio por cada una de las personas prestadoras -  y promedio de los suscriptores totales en el municipio o distrito - N), utilizados en el periodo de facturación inmediatamente anterior a la solicitud.

5. El número de los suscriptores atendidos por la solicitante en el APS donde presta el servicio público de aseo, en el periodo de facturación inmediatamente anterior a la solicitud.

6. Porcentaje de recaudo corriente de la tarifa del servicio público de aseo del solicitante, en el periodo de facturación inmediatamente anterior a la solicitud. Dicho porcentaje deberá ser avalado por el revisor fiscal o quien haga sus veces.

PARÁGRAFO 1o. En los casos en los que en un municipio o distrito se presenten conflictos por confluencia y por remuneración y se solicite la intervención de la Comisión de Regulación de Agua Potable y Saneamiento Básico (CRA), la solicitud deberá contener, además de lo establecido en el presente artículo, lo señalado en el artículo 5.8.1.2.2. de la presente resolución.

PARÁGRAFO 2o. En el caso en que el solicitante no pueda cumplir con el requisito de que trata el numeral 4 del presente artículo, deberá indicar a esta Comisión de Regulación las gestiones realizadas para la consecución de la información y las razones que justifican dicha imposibilidad.

Artículo 5.8.2.2.3. Intervención de terceros. Una vez recibida la solicitud de solución de conflictos, la Comisión de Regulación de Agua Potable y Saneamiento Básico (CRA), comunicará el objeto de la misma a la(s) tercera(s) persona(s) que pueda(n) resultar directamente afectadas por la decisión que se tome en la actuación administrativa, para que pueda(n) constituirse como parte y hacer valer sus derechos en los términos del artículo 37 del Código de Procedimiento Administrativo y de lo Contencioso Administrativo (CPACA).

De no ser posible dicha comunicación, o tratándose de terceros indeterminados, esta Comisión de Regulación divulgará la información a través de un medio masivo de comunicación nacional o local, según el caso, o a través de cualquier otro mecanismo eficaz.

Para tal efecto, se harán las publicaciones y comunicaciones respectivas en la forma prevista en el Código de Procedimiento Administrativo y de lo Contencioso Administrativo (CPACA).

Artículo 5.8.2.2.4. Actuación administrativa. Cuando la solicitud cumpla los requisitos del artículo 16 del Código de Procedimiento Administrativo y de lo Contencioso Administrativo (CPACA) y los previstos en el artículo 5.8.2.2.2. de la presente resolución, se iniciará la actuación administrativa tendiente a resolver el conflicto y a calcular la distribución de los recursos excedentes de recaudo por la prestación de las actividades de barrido y limpieza de vías y áreas públicas que corresponda a cada persona prestadora en situación de déficit.

La actuación administrativa se adelantará conforme con lo dispuesto en la Ley 142 de 1994, y en lo no establecido en ella, se aplicará lo previsto en el Código de Procedimiento Administrativo y de lo Contencioso Administrativo (CPACA).

Artículo 5.8.2.2.5. Audiencia. Antes de dar inicio a la actuación administrativa, se podrá adelantar una audiencia con la finalidad de llegar a un acuerdo entre la persona prestadora solicitante y quienes son objeto de la solicitud de solución del conflicto, con el propósito de que se logre suscribir el acuerdo de barrido y limpieza respectivo. En caso de suscribirse el acuerdo referido, la persona prestadora solicitante podrá presentar el desistimiento expreso de su petición, acorde con el artículo 18 del Código de Procedimiento Administrativo y Contencioso Administrativo (CPACA).

Artículo 5.8.2.2.6. Entrega de la información. En el trámite de la actuación administrativa, la Comisión de Regulación de Agua Potable y Saneamiento Básico (CRA) requerirá a las personas prestadoras del servicio público de aseo en el municipio donde se presenta el conflicto, la entrega de información necesaria para la solución del mismo, so pena de las sanciones a las que haya lugar.

CAPÍTULO 3

Metodología para la distribución del recaudo por la prestación de las actividades de barrido y limpieza de vías y áreas públicas cuando existan conflictos sobre remuneración

Artículo 5.8.2.3.1. Cálculo y comprobación de la desproporción en los ingresos por la prestación de las actividades de barrido y limpieza de vías y áreas públicas. Cuando se presenten conflictos sobre la remuneración de las actividades de barrido y limpieza de vías y áreas públicas, se calculará y comprobará la existencia de una desproporción entre los recursos que le corresponden a cada prestador por los kilómetros de barrido y limpieza de vías y áreas públicas efectivamente atendidos en su APS y los recursos facturados por concepto de ejecución de dicha actividad.

Para tal fin, se calcularán los recursos excedentarios o deficitarios facturados por cada persona prestadora que atiende en el municipio, mediante la siguiente fórmula:

  

Si  < 0 = Déficit
Si  = 0 = Equilibrio
Si  > 0 = Excedente

Donde:

Recursos excedentarios/deficitarios facturados por la persona prestadora  por la prestación de las actividades de barrido y limpieza de vías y áreas públicas en el periodo de facturación inmediatamente anterior a la aplicación de la presente fórmula ($/mes).
Recursos facturados por la persona prestadora  por la prestación de las actividades de barrido y limpieza de vías y áreas públicas ($/mes), calculado con la siguiente fórmula:

Donde:

CBLS: Costo de Barrido y Limpieza de vías y áreas públicas por suscriptor del municipio, aplicado en el periodo de facturación inmediatamente anterior a la aplicación de la presente fórmula. ($/suscriptor-mes).
Número de suscriptores facturados en el APS de la persona prestadora  en el periodo de facturación inmediatamente anterior a la aplicación de la presente fórmula.
Proporción de kilómetros atendidos por la persona prestadora  en el municipio y/o distrito, calculado con la siguiente fórmula:

Donde:

Longitud promedio mensual de vías y áreas públicas barridas por la persona prestadora , en su APS, utilizado para el cálculo del CBLS del periodo de facturación inmediatamente anterior a la aplicación de la presente fórmula. (kilómetros/mes).
Número de prestadores de las actividades de barrido y limpieza de vías y áreas públicas en del municipio donde se presenta el conflicto donde

Total de recursos facturados en el municipio y/o distrito por la prestación de las actividades de barrido y limpieza de vías y áreas públicas, calculado con la siguiente fórmula:

 

PARÁGRAFO 1o. En caso de que alguna(s) de las personas prestadoras que atienda(n) el servicio público de aseo en las actividades de barrido y limpieza de vías y áreas públicas, en el municipio o distrito donde se presenta el conflicto, no entregue(n) la información necesaria para realizar el cálculo descrito, se tomará la última información sobre el Costo de Barrido y Limpieza de Vías y Áreas Públicas y suscriptores atendidos en el APS, reportada por dicha persona prestadora en el Sistema Único de Información –SUI.

PARÁGRAFO 2o. Para el cálculo del  las personas prestadoras que tienen periodos de facturación distintos al mensual, deberán suministrar la información correspondiente al mes para el cual se está aplicando la fórmula contenida en el presente artículo.

ARTÍCULO 5.8.2.3.2. DISTRIBUCIÓN DE LOS RECURSOS EXCEDENTES DEL RECAUDO DE LA PRESTACIÓN DE LAS ACTIVIDADES DE BARRIDO Y LIMPIEZA DE VÍAS Y ÁREAS PÚBLICAS. La proporción de recursos que deben trasladar las personas prestadoras en situación de excedente ( > 0) a las personas prestadoras en situación de déficit ( < 0), se calculará de acuerdo con la siguiente expresión:

Donde:

Recursos que debe trasladar la persona prestadora que se encuentra en situación de excedente  a la persona prestadora que se encuentra en déficit , por la prestación de las actividades de barrido y limpieza de vías y áreas públicas ($/mes).
Porcentaje de recaudo corriente de la persona prestadora en situación de excedente  en el periodo de facturación inmediatamente anterior a la aplicación de la presente fórmula. Dicho porcentaje deberá ser avalado por el revisor fiscal o quien haga sus veces.
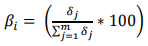
Proporción de recursos que se le debe trasladar a la persona prestadora  que se encuentra en déficit ($/mes), calculada con la siguiente fórmula:

Donde:

Personas prestadoras en situación de déficit  donde ?? =

PARÁGRAFO 1o. El cálculo de la variable  utilizará, únicamente, los  menores a cero (0), que corresponden a los calculados para la(s) persona(s) prestadora(s) que se encuentra(n) en condición de déficit.

PARÁGRAFO 2o. Para cada persona prestadora en situación de excedente  se deberán calcular tantos  como personas prestadoras en situación de déficit  existan en el municipio o distrito donde se presente el conflicto.

PARÁGRAFO 3o. En los municipios o distritos en los que exista solo una persona prestadora en situación de déficit ,  corresponderá a la sumatoria de los  de todas las personas prestadoras en situación de excedente .

PARÁGRAFO 4o. En caso de que alguna(s) de las personas prestadoras en situación de excedente no entregue la información del porcentaje de recaudo corriente para el cálculo del , se asumirá que dicho(s) prestador(es) cuenta(n) con un 100% de recaudo.

PARÁGRAFO 5o. No serán objeto de distribución los recursos de recuperación de cartera de periodos previos a: i) la suscripción de los acuerdos de barrido y limpieza de vías y áreas públicas o ii) la expedición por parte de la Comisión de Regulación de Agua Potable y Saneamiento Básico (CRA) de la resolución por medio de la cual se resuelva el conflicto.

PARÁGRAFO 6o. Para la gestión de cartera de periodos posteriores a la suscripción de los acuerdos de barrido y limpieza de vías y áreas públicas o a la expedición por parte de la CRA de la resolución por medio de la cual se resuelva el conflicto, la(s) persona(s) prestadora(s) en condición de excedente se sujetará(n) a las reglas definidas en su(s) respectivo(s) convenio(s) de facturación conjunta, las cuales deberán ser comunicadas entre las partes.

PARÁGRAFO 7o. Los recursos de recuperación de cartera de periodos posteriores a la suscripción de los acuerdos de barrido y limpieza de vías y áreas públicas o a la expedición por parte de la CRA de la resolución por medio de la cual se resuelva el conflicto, deberán ser distribuidos en la misma proporción de los recursos que se le deben trasladar a cada persona prestadora en condición de déficit (âi), calculada en el periodo de facturación en el cual se causó.

PARÁGRAFO 8o. La distribución de excedentes de recaudo deberá remunerar los kilómetros de barrido y limpieza de vías y áreas públicas que cada persona prestadora haya atendido.

Artículo 5.8.2.3.3. Ajuste de los valores resultantes de la distribución de excedentes de recaudo. Una vez expedida por parte de la CRA la resolución por medio de la cual se resuelve el conflicto por remuneración, las personas prestadoras deberán ajustar en cada periodo de facturación, los valores resultantes del cálculo de la distribución de los excedentes de recaudo de la prestación de las actividades de barrido y limpieza de vías y áreas públicas, para lo cual deberán utilizar la metodología aplicada por la Comisión de Regulación de Agua Potable y Saneamiento Básico (CRA) en el acto administrativo en el que se resuelva el conflicto.

Cuando ingrese o se retire una persona prestadora del servicio público de aseo de forma posterior a la expedición por parte de la CRA de la resolución por medio de la cual se resuelva el conflicto, corresponderá a las personas prestadoras que atiendan en el municipio suscribir un acuerdo de barrido y limpieza, en el marco de la autonomía de la voluntad, y en aplicación del artículo 2.3.2.2.2.4.52. del Decreto número 1077 de 2015 y los criterios tarifarios previstos en el artículo 87 de la Ley 142 de 1994, en especial los de eficiencia económica, neutralidad y suficiencia financiera. En el evento de no llegar a un acuerdo, cualquiera de las personas prestadoras podrá acudir ante la Comisión de Regulación de Agua Potable y Saneamiento Básico (CRA) para que sea esta entidad la que lo resuelva, en los términos previstos en el parágrafo del artículo 5.8.2.3. de la presente resolución.

ARTÍCULO 2o. VIGENCIA. La presente resolución rige a partir de la fecha de su publicación en el Diario Oficial.

Publíquese y cúmplase.

Dada en Bogotá, D. C., a 27 de septiembre de 2021.

El Presidente,

Jose Luis Acero Vergel.

El Director Ejecutivo,

Leonardo Enrique Navarro Jiménez.

NOTAS AL FINAL:

1. Por la cual se establece el régimen de los servicios públicos domiciliarios y se dictan otras disposiciones.

2. Por medio del cual se expide el Decreto Único Reglamentario del Sector Vivienda, Ciudad y Territorio.

3. Por la cual se hace público el proyecto de resolución, por la cual se establecen aspectos generales de los acuerdos de barrido y limpieza de vías y áreas públicas, se regula la solución de las controversias entre prestadores del servicio público de aseo que realicen la actividad de barrido y limpieza de vías y áreas públicas en un área de confluencia, y se determinan las metodologías para calcular y asignar geográficamente los kilómetros de barrido y limpieza que corresponden a cada prestador en dicha  inicia el proceso de discusión directa con los usuarios y agentes del sector. área, se da cumplimiento a lo previsto en el artículo 2.3.6.3.3.9 del Decreto número 1077 de 2015 y se

4. Que compila la Resolución CRA 900 de 2019, por la cual se establecen aspectos generales de los acuerdos de barrido y limpieza de vías y áreas públicas, se regula la solución de las controversias entre prestadores del servicio público de aseo que realicen la actividad de barrido y limpieza de vías y áreas públicas en un área de confluencia, y se determinan las metodologías para calcular y asignar geográficamente los kilómetros de barrido y limpieza que corresponden a cada prestador en dicha área”.

×