RESOLUCIÓN 97 DE 2008
(septiembre 26)
Diario Oficial No. 47.134 de 6 de octubre de 2008
COMISIÓN DE REGULACIÓN DE ENERGÍA Y GAS
Por la cual se aprueban los principios generales y la metodología para el establecimiento de los cargos por uso de los Sistemas de Transmisión Regional y Distribución Local.
LA COMISIÓN DE REGULACIÓN DE ENERGÍA Y GAS,
en ejercicio de las atribuciones legales, en especial las conferidas por las Leyes 142 y 143 de 1994, y los Decretos 1524 y 2253 de 1994,
CONSIDERANDO:
Que de acuerdo con lo previsto en los Artículos 23, Literales c) y d), y 41 de la Ley 143 de 1994, es función de la Comisión de Regulación de Energía y Gas definir la metodología para el cálculo y fijar las tarifas por el acceso y uso de las redes eléctricas, así como el procedimiento para hacer efectivo su pago;
Que según lo previsto en la Ley 143 de 1994, Artículo 6o, la actividad de distribución de energía eléctrica, se rige por los principios de eficiencia, calidad, continuidad, adaptabilidad, neutralidad, solidaridad y equidad;
Que la Ley 143 de 1994, Artículo 39, establece que “los cargos asociados con el acceso y uso de las redes del sistema interconectado nacional cubrirán, en condiciones óptimas de gestión, los costos de inversión de las redes de interconexión, transmisión y distribución, según los diferentes niveles de tensión, incluido el costo de oportunidad de capital, de administración, operación y mantenimiento, en condiciones adecuadas de calidad y confiabilidad, y de desarrollo sostenible. Estos cargos tendrán en cuenta criterios de viabilidad financiera”;
Que la Ley 143 de 1994, Artículo 45, dispuso que “los costos de distribución que servirán de base para la definición de tarifas a los usuarios regulados del servicio de electricidad, por parte de la Comisión de Regulación de Energía y Gas, tendrán en cuenta empresas eficientes de referencia según áreas de distribución comparables, teniendo en cuenta las características propias de la región, tomarán en cuenta los costos de inversión de las redes de distribución, incluido el costo de oportunidad de capital, y los costos de administración, operación y mantenimiento por unidad de potencia máxima suministrada. Además, tendrán en cuenta niveles de pérdidas de energía y potencia característicos de empresas eficientes comparables”;
Que según lo dispuesto en los Artículos 44 de la Ley 143 de 1994 y 87 de la Ley 142 del mismo año, el régimen tarifario para usuarios finales regulados de una misma empresa estará orientado por los criterios de eficiencia económica, suficiencia financiera, neutralidad, solidaridad y redistribución del ingreso, simplicidad y transparencia;
Que en virtud del principio de eficiencia económica definido por los Artículos 44 de la Ley 143 de 1994 y 87 de la Ley 142 del mismo año, el régimen de tarifas procurará que éstas se aproximen a lo que serían los precios de un mercado competitivo, garantizándose una asignación eficiente de recursos en la economía;
Que de acuerdo con el Artículo 87.8 de la Ley 142 de 1994, toda tarifa tendrá un carácter integral, en el sentido de que supondrá una calidad y grado de cobertura del servicio, cuyas características definirán las comisiones reguladoras. Un cambio en estas características se considerará como un cambio en la tarifa;
Que según lo establecido en el Artículo 87.1 de la Ley 142 de 1994, en virtud del principio de eficiencia económica, se deben tener en cuenta “los aumentos de productividad esperados, y que éstos deben distribuirse entre la empresa y los usuarios, tal como ocurriría en un mercado competitivo”;
Que según lo dispuesto en el Artículo 92 de la Ley 143 de 1994, las Comisiones pueden corregir en las fórmulas, “los índices de precios aplicables a los costos y gastos de la empresa con un factor que mida los aumentos de productividad que se esperan en ella, y permitir que la fórmula distribuya entre la empresa y el usuario los beneficios de tales aumentos”;
Que en virtud del principio de suficiencia financiera definido en los Artículos 44 de la Ley 143 de 1994 y 87 de la Ley 142 del mismo año, se debe garantizar a las empresas eficientes la recuperación de sus costos de inversión y sus gastos de administración, operación y mantenimiento, y permitir la remuneración del patrimonio de los accionistas en la misma forma en la que lo habría remunerado una empresa eficiente en un sector de riesgo comparable;
Que según lo previsto en el Artículo 11 de la Ley 143 de 1994, bajo el régimen tarifario de Libertad Regulada le corresponde a la Comisión de Regulación de Energía y Gas fijar “los criterios y la metodología con arreglo a los cuales las empresas de electricidad podrán determinar o modificar los precios máximos para los servicios ofrecidos”;
Que según lo previsto en la Ley 142 de 1994, Artículo 18, todas las personas jurídicas están facultadas para hacer inversiones en empresas de servicios públicos;
Que según lo dispuesto en el Artículo 85 de la Ley 143 de 1994, las decisiones de inversión en distribución de energía eléctrica constituyen responsabilidad de aquellos que las acometan, quienes asumen en su integridad los riesgos inherentes a la ejecución y explotación de los proyectos;
Que la Ley 142 de 1994, Artículo 87, numeral 87.9 modificado por el Artículo 143 de la Ley 1151 de 2007, estableció que “Las entidades públicas podrán aportar bienes o derechos a las empresas de servicios públicos domiciliarios, siempre y cuando su valor no se incluya en el cálculo de las tarifas que hayan de cobrarse a los usuarios y que en el presupuesto de la entidad que autorice el aporte figure este valor. Las Comisiones de Regulación establecerán los mecanismos necesarios para garantizar la reposición y mantenimiento de estos bienes. Lo dispuesto en el presente Artículo no es aplicable cuando se realice enajenación o capitalización respecto de dichos bienes o derechos.”
Que según lo establecido en la Ley 143 de 1994, Artículo 18, “compete al Ministerio de Minas y Energía definir los planes de expansión de la generación y de la red de interconexión y fijar criterios para orientar el planeamiento de la transmisión y la distribución” y de acuerdo con esta misma norma “los planes de generación y de interconexión serán de referencia y buscarán orientar y racionalizar el esfuerzo del Estado y de los particulares para la satisfacción de la demanda Nacional de electricidad en concordancia con el Plan Nacional de Desarrollo y el Plan Energético Nacional”;
Que mediante la Resolución CREG 082 de 2002 la Comisión de Regulación de Energía y Gas aprobó los principios generales y la metodología para el establecimiento de cargos por uso de los Sistemas de Transmisión Regional y/o Distribución Local, la cual se encuentra vigente;
Que el Artículo 13 de la Resolución CREG 082 de 2002 dispone que los cargos por uso de los Sistemas de Transmisión Regional y Distribución Local que apruebe la Comisión estarán vigentes hasta 31 de diciembre del año 2007 y que vencido el periodo de vigencia los costos y cargos aprobados continuarán rigiendo hasta que la Comisión apruebe los nuevos;
Que mediante el Decreto 388 de 2007 modificado por los Decretos 1111 y 3451 de 2008, el Gobierno Nacional estableció las políticas y directrices relacionadas con el aseguramiento de la cobertura del servicio de electricidad, que debe seguir la Comisión de Regulación de Energía y Gas, CREG, al fijar la metodología de remuneración a través de Cargos por Uso de los Sistemas de Transmisión Regional y Distribución Local de energía eléctrica en el Sistema Interconectado Nacional;
Que mediante la Resolución 182148 del 2007 expedida por el Ministerio de Minas y Energía, se definieron criterios de seguridad y confiabilidad para los Sistemas de Transmisión Regional – STR, para que sean incorporados en la metodología de distribución;
Que mediante la Resolución CREG 111 de 2006, la Comisión de Regulación de Energía y Gas sometió a consideración de los agentes, usuarios y terceros interesados, los principios generales conceptuales sobre la remuneración en distribución eléctrica, que permitirían establecer con posterioridad, la metodología para determinar los cargos en dicha actividad en el Sistema Interconectado Nacional;
Que para la revisión de las Unidades Constructivas se contrató el “Estudio para el análisis y determinación de las Unidades Constructivas utilizadas en los Niveles de Tensión 1, 2, 3, 4 y Conexión al STN, así como los costos eficientes asociados con cada una de estas Unidades. CDP-281-06”, con la firma GPI-Gerencia en Proyectos de Ingeniería, y el documento final fue publicado en la página Web de la CREG con la circular 005 del 23 de enero de 2008, mediante la cual se invitó a los agentes e interesados a enviar sus comentarios al respecto;
Que para el establecimiento de las pérdidas a reconocer por Operador de Red, la Comisión contrató la “Consultoría para la determinación de las pérdidas de energía en los mercados de comercialización presentes en el SIN y definición de criterios para la evaluación de Planes de Reducción y/o mantenimiento de pérdidas de Energía. CDP-152-07”, con la firma IEB Ingeniería Especializada S.A., y el documento final fue publicado en la página Web de la CREG con la circular 024 del 11 de marzo de 2008, mediante la cual se divulgaron los resultados obtenidos por el consultor;
Que para el estudio de los gastos relacionados con Administración, Operación y Mantenimiento, la Comisión contrató el estudio “Desarrollo de metodologías para la remuneración de los Costos Eficientes de AOM en empresas de distribución y transmisión eléctrica”, elaborado por la Universidad EAFIT en el marco del Convenio Especial de Cooperación Técnica suscrito entre COLCIENCIAS y la CREG, el cual fue divulgado en la página Web de la CREG con la Circular 022 del 6 de marzo de 2008;
Que para revisión de la metodología de productividad, se contrato el estudio “Revisión y actualización del factor de productividad asociado a las actividades de transmisión y distribución de energía eléctrica, transporte y distribución de gas natural y GLP”, contratado con la Universidad EAFIT, cuyos resultados fueron publicados en la página Web de la CREG con la circular 003 del 11 de enero de 2008;
Que sobre la metodología para evaluar los costos y cargos del Nivel de Tensión 1, se realizó al interior de la Comisión un estudio cuyos resultados fueron puestos en conocimiento de los agentes mediante las circulares CREG 08 de 2008 y 079 de 2007, para comentarios de los agentes y terceros interesados;
Que para analizar el tema de Calidad del Servicio se llevaron a cabo reuniones con 21 Operadores de Red, en adelante OR, entre el 12 de febrero y el 6 de marzo de 2008, de las que se concluyó la necesidad de implementar un esquema simétrico de incentivos que involucre al OR y al usuario, con base en el desempeño en materia de calidad;
Que la Comisión, mediante Resolución CREG 001 de 2008 publicó un proyecto de resolución que pretende adoptar con el fin de definir la metodología para determinar la tasa de retorno para remunerar la actividad de distribución de energía eléctrica y los estudios relacionados;
Que mediante la Resolución CREG 036 de 2008 se ordenó hacer público un proyecto de resolución que pretende adoptar la CREG con el fin de aprobar los principios generales y la metodología para el establecimiento de los cargos por uso de los Sistemas de Transmisión Regional y Distribución Local;
Que en cumplimiento de lo establecido por el Decreto 2696 de 2004, se publicó el 15 de mayo de 2008 en el diario El Tiempo, la convocatoria para la celebración de audiencias públicas con el fin de presentar la propuesta de metodología de remuneración de la actividad de distribución de energía eléctrica contenida en la Resolución CREG 036 de 2008;
Que de conformidad con el inciso 11.4 del Artículo 11 del Decreto 2696 de 2004, el día 16 de mayo de 2008 se remitió a las distintas Gobernaciones para su correspondiente divulgación, copias del documento que presenta la explicación en lenguaje sencillo del alcance de las fórmulas de remuneración de la actividad de distribución;
Que el 8 de mayo de 2008 se presentó a las empresas de distribución del sector eléctrico el estudio “Consultoría para la determinación de las pérdidas de energía en los mercados de comercialización presentes en el SIN y definición de criterios para la evaluación de Planes de Reducción y/o mantenimiento de pérdidas de Energía. CDP-152-07”, realizado por la firma IEB Ingeniería Especializada S.A.;
Que los días 15 y 19 de mayo y 24 de junio de 2008 se llevaron a cabo talleres con ASOCODIS en los cuales se presentaron comentarios acerca del factor de instalación considerado en la Unidades Constructivas y, en general, acerca de la Resolución CREG 036 de 2008;
Que entre el 28 de mayo y el 6 de junio de 2008 se efectuaron talleres con 22 Operadores de Red, IEB Ingeniería Especializada S.A. y la CREG, donde se analizaron los comentarios de los agentes en cuanto a los resultados de las pérdidas técnicas y no técnicas de energía eléctrica incluidos en el estudio del consultor;
Que se realizó un taller los días 22 y 23 de mayo de 2008 para presentar a las empresas del sector eléctrico, usuarios y terceros interesados las resoluciones CREG 036 y 047 de 2008 las cuales contienen los proyectos de resolución que pretende establecer los principios generales y la metodología para el establecimiento de los cargos por uso de los Sistemas de Transmisión Regional y Distribución Local y el establecimiento de las Áreas de Distribución de Energía Eléctrica ADD, respectivamente;
Que de conformidad con el inciso 11.5 del Artículo 11 del Decreto 2696 de 2004, se realizaron consultas públicas en las ciudades de Cali (4 de junio de 2008), Medellín (5 de junio de 2008), Barranquilla (6 de junio de 2008) y Bogotá (9 de junio de 2008);
Que el día 16 de junio de 2008 se realizó un taller con los Operadores de Red acerca del estado actual, implementación y tiempos propuestos para el cumplimiento de los requerimientos de medición y registro incluidos en la Resolución CREG 036 de 2008, dentro del tema de Calidad del Servicio de los STR y SDL;
Que durante los meses de junio y julio de 2008 se llevaron a cabo reuniones con proveedores de equipos de medida con el propósito de analizar las posibilidades de implementar la medición de la calidad del servicio a nivel de usuario;
Que entre el 1 y el 10 de julio de 2008 se realizaron reuniones con los Operadores de Red con el fin de que las empresas presentaran el impacto estimado en la valoración de las inversiones en los niveles de tensión 1, 2, 3, 4 y conexión al STN, con la aplicación de la Resolución CREG 036 de 2008;
Que del 28 de julio al 1 de agosto de 2008 se realizaron visitas a las empresas Centrales Eléctricas de Nariño S. A. E.S.P., Empresa de Energía del Pacífico S. A. E.S.P., Empresas Públicas de Medellín S. A. E.S.P., Electrificadora del Caribe S. A. E.S.P. y Empresa de Energía de Boyacá S. A. E.S.P., con el propósito de revisar el procedimiento de medición, registro y reporte de los aspectos relacionados con calidad del servicio; así mismo los representantes de Codensa visitaron las instalaciones de la CREG para presentar su esquema de calidad;
Que ASOCODIS, a través de la comunicación con radicado CREG E-2008-006212, solicitó “Que se someta a consideración de la industria la propuesta final que tenga la CREG sobre la remuneración de distribución por un tiempo relativamente corto, tal como se ha realizado en el pasado con la Fórmula Tarifaria y Áreas de Distribución, entre otras.”;
Que mediante la Resolución CREG 094 de 2008 nuevamente se ordenó hacer público un proyecto de resolución que pretende adoptar la CREG con el fin de aprobar los principios generales y la metodología para el establecimiento de los cargos por uso de los Sistemas de Transmisión Regional y Distribución Local;
Que el día 8 de septiembre de 2008 se presentó a los Operadores de Red los principales aspectos de la metodología propuesta en la Resolución CREG 094 de 2008;
Que se recibieron comentarios de las siguientes personas con las comunicaciones radicadas en la CREG así: ENELAR E-2008-004654; CAC E-2008-004789, ASOCODIS E-008-006212; EPM E-2008-006246; EPM E-2008-006258; EPM E-2008-006274; CEDENAR E-2008-006332; UPME E-2008-006376; SSPD E-2008-006392; ISA E-2008-006504; ELECTROCAQUETA E-2008-006506; ASOCODIS E-2008-006512; ANDESCO E-2008-006513; EEC E-2008-006514; ELECTRICARIBE E-2008-006516; CAPT E-2008-006517; TRANSELCA E-2008-006522; CHEC E-2008-006525; EDEQ E-2008-006528; CENS E-2008-006538; EMCALI E-2008-006539; EPSA E-2008-006543; EMCALI E-2008-006544; CODENSA E-2008-006549; EPM E-2008-006554; CND E-2008-006559; EPM E-2008-006590; CETSA E-2008-006668; EBSA E-2008-006675; EEB E-2008-006717; CON E-2008-006793; EPM E-2008-007066; HUILA E-2008-007094; ENELAR E-2008-007933; ENERGÍA CONFIABLE E-2008-007965; DICELER E-2008-007980; COMERCIALIZAR E-2008-007981; DISPAC E-2008-007988; CEDENAR E-2008-008014; ASOCODIS E-2008-008016; ESSA E-2008-008021; ELECTRICARIBE E-2008-008025; CENS E-2008-008026; EBSA E-2008-008027; CAPT E-2008-008028; ISA TRANSELCA E-2008-008029; ISA E-2008-008030; EDEQ E-2008-008032; UPME E-2008-008035; EMSA E-2008-008037; EPSA E-2008-008038; ESSA E-2008-008039; CHEC E-2008-008040; EPM E-2008-008041; EEB E-2008-008042; EMCALI E-2008-008043; Milton Morales E-2008-008044; ENERCA E-2008-008049; CODENSA E-2008-008050; CND E-2008-008051; ENERCA E-2008-008066; CODENSA E-2008-008068; ACCE E-2008-008083; GECELCA E-2008-008092; SSPD E-2008-008093; ANDI E-2008-008116; CNO E-2008-008132; EPSA E-2008-008192;
Que los comentarios recibidos en la CREG fueron considerados para la expedición de la presente resolución y su respectivo análisis se presenta en el documento CREG 071 de 2008;
Que la Comisión de Regulación de Energía y Gas, en su sesión 388 del 22 de septiembre de 2008, aprobó los principios generales y la metodología para el establecimiento de cargos por uso de los Sistemas de Transmisión Regional y Distribución Local
RESUELVE:
ARTÍCULO 1. DEFINICIONES. Para la interpretación y aplicación de esta Resolución, se tendrán en cuenta, además de las definiciones establecidas en las Leyes 142 y 143 de 1994, en el Decreto 388 de 2007 y en las resoluciones vigentes de la CREG, las siguientes:
Activos de Conexión del OR al STN. Son los bienes que se requieren para que un Operador de Red se conecte físicamente al Sistema de Transmisión Nacional.
Se consideran como Activos de Conexión del OR al STN las siguientes UC: la Bahía de Transformador con tensión mayor o igual a 220 kV, el Transformador con una tensión primaria mayor o igual a 220 kV y, secundaria o terciaria, cualquier tensión inferior a 220 kV y las Bahías de Transformador de los lados de baja tensión. En las subestaciones del STN con configuración de anillo o interruptor y medio no se remunerarán, a través de cargos por uso de la actividad de distribución, las bahías con tensión mayor o igual a 220 kV.
Los Activos de Conexión del OR al STN se remunerarán mediante Cargos por Uso y por lo tanto hacen parte de los activos de uso de los STR. El OR es el responsable por la Operación y Mantenimiento de estos activos.
Cuando estos activos sean compartidos por dos o más OR, éstos deberán acordar cuál de ellos se encargará de la operación y el mantenimiento y el valor a remunerar entre ellos por dichas actividades.
Activos de Conexión a un STR o a un SDL. Son los bienes que se requieren para que un Operador de Red se conecte físicamente a un Sistema de Transmisión Regional o a un Sistema de Distribución Local de otro OR. También son Activos de Conexión los utilizados exclusivamente por un usuario final para conectarse a los Niveles de Tensión 4, 3, 2 o 1. Un usuario está conectado al nivel de tensión en el que está instalado su equipo de medida individual.
Los Activos de Conexión utilizados para conectar un OR al STR o al SDL de otro OR serán considerados en el cálculo de los cargos por uso del OR que se conecta y su operación y mantenimiento estarán bajo su responsabilidad.
Cuando estos activos sean compartidos por dos o más OR, éstos deberán acordar cuál de ellos se encargará de la operación y el mantenimiento y el valor a remunerar entre ellos por dichas actividades.
<Inciso aclarado por el artículo 1 de la Resolución 133 de 2008. El nuevo texto es el siguiente:> Se preservan las situaciones particulares y concretas consolidadas con anterioridad a la entrada en vigencia de la presente resolución en las que, en los términos y con el alcance de la definición de Activos de Conexión a un STR o a un SDL prevista en el artículo 1o de la Resolución CREG 082 de 2002, se tengan varios usuarios finales usando Activos de Conexión al SDL y con la medida en el Nivel de Tensión 1 y la respectiva solicitud de conexión haya sido presentada en los términos del Numeral 4 del Anexo General de la Resolución CREG 070 de 1998. A estos usuarios se les cobrarán cargos por uso de Nivel de Tensión 2 ó 3 y para la determinación del consumo se debe referir la medida al Nivel de Tensión que corresponda utilizando el factor Pj,1 de que trata el CAPITULO 12 del Anexo General de la presente resolución.
Activos del Nivel de Tensión 1. Son los conformados por las redes de transporte que operan a tensiones menores de 1 kV y los transformadores con voltaje secundario menor a 1 kV que las alimentan, incluyendo las protecciones y equipos de maniobra asociados, sin incluir los que hacen parte de instalaciones internas. Estos activos son considerados activos de uso.
Activos de Uso de STR y SDL. Son aquellos activos de transporte de electricidad que operan a tensiones inferiores a 220 kV, se clasifican en UC, no son Activos de Conexión y son remunerados mediante Cargos por Uso de STR o SDL.
Activos en Operación. Son aquellos activos eléctricos que forman parte de un sistema utilizado de forma permanente en la actividad de distribución de energía eléctrica, incluyendo aquellos que están normalmente abiertos. Se entiende por sistemas normalmente abiertos aquellos que se encuentran disponibles para entrar en servicio en forma inmediata cuando se requieran.
Activos no eléctricos. Son aquellos activos que no hacen parte de la infraestructura de transporte de energía eléctrica de los OR, pero que son requeridos para cumplir con su objeto social. Hacen parte de estos activos, entre otros, los siguientes: edificios (sedes administrativas, bodegas, talleres, etc.) maquinaria y equipos (grúas, vehículos, herramientas, etc.) equipos de Cómputo y equipos de Comunicaciones.
AOM. Valor de los gastos de administración, operación y mantenimiento correspondientes a la actividad de distribución de energía eléctrica en los STR y SDL, incluyendo los activos de Nivel de Tensión 1.
Base de Inversiones: Es el conjunto de UC que un Operador de Red requiere para prestar el servicio con una cobertura y calidad determinadas.
Cargos Máximos por Niveles de Tensión 1, 2, 3. Son los cargos expresados en $/kWh para cada Nivel de Tensión que remuneran el uso de los Sistemas de Distribución Local.
Cargos de los STR. Son los cargos expresados en $/kWh que remuneran los Activos de Uso del Nivel de Tensión 4 de los OR.
Cargos por Uso del OR. Son los cargos, expresados en $/kWh acumulados para cada Nivel de Tensión, que remuneran a un OR los Activos de Uso de los SDL y STR. Para los Niveles de Tensión 1, 2 y 3 son cargos máximos.
Centro Nacional de Despacho (CND): Entidad encargada de la planeación, supervisión y control de la operación integrada de los recursos de generación, interconexión y transmisión del Sistema Interconectado Nacional, teniendo como objetivo una operación segura, confiable y económica, con sujeción a la reglamentación vigente y a los Acuerdos del CNO.
Conexión y Acceso a Redes. Es el derecho que tiene todo usuario a utilizar las redes del Sistema de Transmisión Nacional, de un Sistema de Transmisión Regional y/o un Sistema de Distribución Local, previo el cumplimiento de las normas que rijan el servicio, el pago de las retribuciones que correspondan y el principio de eficiencia consignado en la Ley.
Costos Medios del Operador de Red: Son los costos unitarios de inversión, administración, operación y mantenimiento calculados para cada OR expresados en $/kWh para cada Nivel de Tensión, que se utilizarán para efectos de la aplicación del Decreto 388 de 2007.
Disponibilidad. Se define como el tiempo total sobre un período dado, durante el cual un Activo de Uso estuvo en servicio, o disponible para el servicio. La Disponibilidad siempre estará asociada con la Capacidad Nominal del Activo, en condiciones normales de operación.
Evento. Situación que causa la indisponibilidad parcial o total de un Activo de Uso de los STR o SDL.
Fecha de Corte. Es el 31 de diciembre del año inmediatamente anterior al de la fecha de presentación de la solicitud de costos y cargos.
Índice Anual Agrupado de la Discontinuidad (IAAD). Índice de Discontinuidad que relaciona la cantidad promedio de Energía No Suministrada (ENS) por cada unidad de Energía Suministrada (ES) por un OR durante el año de evaluación, el cual se obtiene como el promedio de los ITAD del respectivo año.
Índice de Referencia Agrupado de la Discontinuidad (IRAD). Índice de Discontinuidad que relaciona la cantidad promedio de Energía No Suministrada (ENS) por cada unidad de Energía Suministrada (ES) por un OR durante el período usado como referencia.
Índice Trimestral Agrupado de la Discontinuidad (ITAD). Índice de Discontinuidad que relaciona la cantidad promedio de Energía No Suministrada (ENS) por cada unidad de Energía Suministrada (ES) por un OR durante el trimestre de evaluación.
Indisponibilidad. Se define como el tiempo sobre un período dado, durante el cual un Activo de Uso no estuvo en servicio o disponible para el servicio, con toda o parte de su Capacidad Nominal.
Liquidador y Administrador de Cuentas -LAC-: Entidad encargada de la Liquidación y Administración de Cuentas de los cargos por uso de las redes del Sistema Interconectado Nacional que le sean asignadas y de calcular el ingreso regulado de los transportadores, de acuerdo con las disposiciones contenidas en la regulación vigente.
Mantenimiento Mayor. Mantenimiento de Activos de Uso de los STR que se realiza por una vez cada seis (6) años y que requiere un tiempo mayor a las Máximas Horas Anuales de Indisponibilidad fijadas para dichos Activos.
Mercado de Comercialización: Conjunto de Usuarios Regulados y No Regulados conectados a un mismo Sistema de Transmisión Regional y/o Distribución Local, servido por un mismo Operador de Red (OR), y los conectados al STN del área de influencia del respectivo OR.
Metodología de Ingreso Regulado (Revenue Cap). Metodología de remuneración mediante la cual la Comisión establece los ingresos que requiere cada Operador de Red, para remunerar los activos de uso del Nivel de Tensión 4 y que sirven para calcular los cargos de los STR.
Metodología de Precio Máximo (Price Cap). Metodología de remuneración mediante la cual la Comisión aprueba, para cada Operador de Red, los cargos máximos por unidad de energía transportada en los Niveles de Tensión 1, 2 y 3 de su sistema.
Migración de Usuarios a Niveles de Tensión Superiores (MUNTS): Es la conexión de un usuario final al sistema de un OR en un Nivel de Tensión superior al que se encontraba conectado.
Niveles de Tensión. Los sistemas de Transmisión Regional y/o Distribución Local se clasifican por niveles, en función de la tensión nominal de operación, según la siguiente definición:
Nivel 4: Sistemas con tensión nominal mayor o igual a 57,5 kV y menor a 220 kV.
Nivel 3: Sistemas con tensión nominal mayor o igual a 30 kV y menor de 57,5 kV.
Nivel 2: Sistemas con tensión nominal mayor o igual a 1 kV y menor de 30 kV.
Nivel 1: Sistemas con tensión nominal menor a 1 kV.
Nodo. Punto donde se conectan físicamente varios elementos de un sistema eléctrico. Normalmente es el barraje de una subestación.
Operador de Red de STR y SDL (OR). Persona encargada de la planeación de la expansión, las inversiones, la operación y el mantenimiento de todo o parte de un STR o SDL, incluidas sus conexiones al STN. Los activos pueden ser de su propiedad o de terceros. Para todos los propósitos son las empresas que tienen Cargos por Uso de los STR o SDL aprobados por la CREG. El OR siempre debe ser una Empresa de Servicios Públicos Domiciliarios. La unidad mínima de un SDL para que un OR solicite Cargos de Uso corresponde a un Municipio.
Sistema de Distribución Local (SDL). Sistema de transporte de energía eléctrica compuesto por el conjunto de líneas y subestaciones, con sus equipos asociados, que operan a los Niveles de Tensión 3, 2 y 1 dedicados a la prestación del servicio en un Mercado de Comercialización.
Sistema de Transmisión Regional (STR). Sistema de transporte de energía eléctrica compuesto por los Activos de Conexión del OR al STN y el conjunto de líneas, equipos y subestaciones, con sus equipos asociados, que operan en el Nivel de Tensión 4. Los STR pueden estar conformados por los activos de uno o más Operadores de Red.
Sistema de Transmisión Nacional (STN). Es el sistema interconectado de transmisión de energía eléctrica compuesto por el conjunto de líneas, equipos de compensación y subestaciones que operan a tensiones iguales o superiores a 220 kV, los transformadores con este nivel de tensión en el lado de baja y los correspondientes módulos de conexión.
Tasas de Retorno. Tasas calculadas a partir de la estimación del Costo Promedio Ponderado de Capital (WACC) establecido para la actividad de distribución de energía eléctrica en términos constantes y antes de impuestos. Se determina una Tasa de Retorno para remuneración con la Metodología de Ingreso Regulado y otra para remuneración con la Metodología de Precio Máximo.
Unidad Constructiva (UC). Conjunto de elementos que conforman una unidad típica de un sistema eléctrico, destinada a la conexión de otros elementos de una red, al transporte o a la transformación de la energía eléctrica, o a la supervisión o al control de la operación de activos de los STR o SDL y relacionados en el CAPÍTULO V del Anexo General.
Unidad Constructiva Especial. Es aquella que por sus características técnicas no se puede tipificar en ninguna de las UC enlistadas en el CAPÍTULO V del Anexo General de la presente resolución.
Universalización del Servicio: Objetivo consistente en ampliar la cobertura del servicio eléctrico a toda la población, así como, garantizar el sostenimiento de dicho servicio a la población ya cubierta por el mismo, teniendo en cuenta criterios técnicos y económicos.
Usuario. Persona natural o jurídica que se beneficia con la prestación de un servicio público, bien como propietario del inmueble en donde éste se presta, o como receptor directo del servicio. A este último usuario se le denomina también consumidor. Para los efectos de esta Resolución se denominará Usuario Final.
Usuarios de los STR o SDL. Son los Usuarios finales del servicio de energía eléctrica, Operadores de Red y Generadores conectados a estos sistemas.
Zonas Especiales. Son aquellas zonas definidas en el Decreto 4978 del 2007.
ARTÍCULO 2. CRITERIOS GENERALES. La metodología que se aplicará para el cálculo de los cargos por uso de los STR o SDL tendrá en cuenta los siguientes criterios generales:
a) En virtud del principio de integralidad de la tarifa establecido en la Ley, los cargos de los Sistemas de Distribución Local variarán según los índices de calidad del servicio prestado.
b) Para tener en cuenta las mejoras en productividad, los cargos del Nivel de Tensión 1 se disminuirán teniendo en cuenta los ingresos recibidos por el OR, por la prestación de servicios distintos al de distribución de electricidad, mediante los mismos activos que son objeto de remuneración a través de ésta metodología.
c) Los cargos de los Sistemas de Transmisión Regional y de los Sistemas de Distribución Local, diferentes al Nivel de Tensión 1, se determinarán a partir de los inventarios de los OR, de acuerdo con las UC que se presentan en el CAPÍTULO V del Anexo General de la presente Resolución. Los OR podrán presentar UC especiales no contempladas para lo cual deberán suministrar la información correspondiente dentro de la respectiva actuación administrativa.
d) Los costos anuales de los Sistemas de Transmisión Regional se determinarán a partir de los activos de uso pertenecientes al Nivel de Tensión 4 y de las conexiones al STN de los OR.
e) Los cargos máximos de los Sistemas de Distribución Local se determinarán a partir de los activos de uso pertenecientes a los Niveles de Tensión 3 y 2 y de los pagos de cargos por uso entre OR en dichos niveles.
f) Los Cargos máximos del Nivel de Tensión 1 se determinarán de acuerdo con la metodología que se presenta en el CAPÍTULO III del Anexo General de la presente Resolución.
g) Los usuarios que sean propietarios de Activos del Nivel de Tensión 1, o que pertenezcan a una propiedad horizontal propietaria de dichos activos, pagarán cargos de este nivel de tensión, descontando la parte del cargo que corresponda a la inversión.
h) Los usuarios conectados al Nivel de Tensión 1 de barrios subnormales pagarán cargos del Nivel de Tensión 2 o 3 dependiendo del Nivel de Tensión donde se encuentre conectado el transformador de distribución secundaria..
i) Los costos y cargos que remuneran los activos de uso podrán ser actualizados a lo largo del período tarifario según lo dispuesto en esta resolución.
j) Cuando un OR se conecte al sistema de otro OR en cualquier Nivel de Tensión igual o inferior al 3, al Operador que está tomando energía del sistema se le considerará como un usuario del otro OR y, en tal caso, deberá pagar hasta el Cargo Máximo del Nivel de Tensión correspondiente (CAPÍTULO III del Anexo General de la presente Resolución).
k) El comercializador cobrará al Usuario los Cargos por Uso del Nivel de Tensión donde se encuentre conectado directa o indirectamente su sistema de medición.
l) Los Cargos por Uso del OR, resultantes de aplicar la metodología contenida en esta Resolución, remunerarán el uso de la infraestructura necesaria para llevar la energía eléctrica desde los puntos de conexión del OR al STN, hasta el punto de conexión de los usuarios finales a los STR o SDL. Estos cargos por uso no incluyen los costos de conexión del usuario al respectivo STR o SDL, ni las pérdidas de energía que se presentan en los activos de conexión.
m) Un Operador de Red será remunerado mediante cargos por uso por la totalidad de los activos de uso que opera y mantiene en desarrollo de la prestación del servicio público domiciliario de energía eléctrica, independientemente de que sea o no propietario de los mismos y sin perjuicio de la remuneración que deberá pagar al propietario por su inversión, con excepción de los bienes o derechos que no deban incluirse en el cálculo de las tarifas en los términos del artículo 87 numeral 87.9 de la Ley 142 de 1994, en la forma en que quedó modificado por el artículo 143 de la Ley 1151 de 2007.
n) Cualquier usuario del STR o SDL podrá contratar la disponibilidad de capacidad de respaldo de la red con el OR del sistema al cual se conecta, siempre y cuando exista la posibilidad técnica de ofrecerla y pague por ello.
o) Los activos dedicados exclusivamente a la prestación del servicio de alumbrado público no hacen parte de los activos que se remuneran vía Cargos por Uso de SDL.
p) Los comercializadores aplicarán cargos por uso de STR y SDL a la demanda asociada con la prestación del servicio de Alumbrado Público del Nivel de Tensión al cual se conecten las redes dedicadas exclusivamente a la prestación de este servicio. Cuando no existan redes exclusivas para el alumbrado público, el comercializador aplicará sobre las demandas respectivas cargos por uso del Nivel de Tensión 2. Si el Alumbrado Público posee medida de energía en el Nivel de Tensión 1 y el transformador no es de propiedad del OR, el comercializador aplicará cargos por uso de este Nivel, descontando la parte del cargo que corresponda a la inversión.
q) Los cargos máximos aprobados por parte de la Comisión estarán sujetos al régimen de libertad regulada.
r) Los ingresos que perciben los OR por concepto de contratos de capacidad de respaldo serán tenidos en cuenta en la próxima revisión tarifaria.
ARTÍCULO 3. INFORMACIÓN BASE PARA EL CÁLCULO DE LOS COSTOS Y LOS CARGOS. Para la aprobación de los costos y los cargos de un OR se tendrá en cuenta, principalmente, la siguiente información:
1. Inventarios de activos de uso del Nivel de Tensión 4 y Activos de Conexión del OR al STN, remunerados mediante cargos por uso, operados por el OR.
2. Inventarios de activos de uso y activos de conexión al STR o SDL, remunerados mediante cargos por uso, operados por el OR en los Niveles de Tensión 3 y 2 y reportados a la CREG, y que hayan entrado en operación a la Fecha de Corte.
3. Identificación de las UC operadas por el OR cuyo valor no debe incluirse en el cálculo de los cargos en los términos del artículo 87 numeral 87.9 de la Ley 142 de 1994 en la forma en que quedó modificado por el artículo 143 de la Ley 1151 de 2007.
4. Áreas de los terrenos donde están ubicadas las subestaciones junto con su valor catastral.
5. Energía transportada en cada uno de los Niveles de Tensión, durante los doce meses que finalizan en la Fecha de Corte, de acuerdo con el CAPÍTULO IX del Anexo General de la presente Resolución.
6. Energía registrada en todas las fronteras comerciales, durante los doce meses que finalizan en la Fecha de Corte.
7. Energía vendida por Nivel de Tensión, en cada Mercado de Comercialización, durante los doce meses que finalizan en la Fecha de Corte, reportada al SUI. Para Nivel de Tensión 1 se descontará la energía vendida en los barrios subnormales que deberá ser informada por el OR en su solicitud, aclarando si dicha energía se encuentra o no incluida en la reportada al SUI.
8. Información sobre las inversiones en Nivel de Tensión 1, obtenida a partir de las muestras estadísticas reportadas por cada OR.
9. Información de los transformadores con secundario de Nivel de Tensión 1, reportados al SUI en la base de datos de indicadores de calidad a la Fecha de Corte, excluyendo los que atienden usuarios de barrios subnormales. Estos activos a excluir deben ser identificados y reportados por el OR en su solicitud.
10. Información contable reportada al SUI para los cuatro años calendario que finalizan en la Fecha de Corte.
11. Información de indicadores de calidad registrada en el SUI, para los dos años calendario que finalizan en la Fecha de Corte.
12. Información sobre eventos en los activos del STR reportados por los OR.
13. Ingresos por la explotación de la infraestructura remunerada a través de cargos por uso, en otras actividades diferentes a la de distribución de energía eléctrica, durante los doce meses que finalizan en la Fecha de Corte.
PARÁGRAFO. Para las empresas resultantes de fusiones o desintegraciones la información base, según la antigüedad con que sea requerida en esta Resolución, comprenderá la de las empresas que dieron lugar a la fusión o a la desintegración.
ARTÍCULO 4. INFORMACIÓN REQUERIDA PARA LA APROBACIÓN DE LOS CARGOS DE LOS STR Y SDL.
<Inciso 1o. modificado por el artículo 1 de la Resolución 135 de 2008. El nuevo texto es el siguiente:> A más tardar el 10 de noviembre de 2008 los OR deberán someter a aprobación de la CREG, lo siguiente:
1. Costo Anual por el uso de los activos del Nivel de Tensión 4, el cual, deberá calcularse de conformidad con la metodología descrita en el numeral 2.1 del CAPÍTULO II del Anexo General de la presente Resolución.
2. Cargos Máximos de los Niveles de Tensión 3 y 2. Estos cargos deberán ser calculados de conformidad con la metodología descrita en el numeral 3.2 del Anexo General de la presente Resolución.
3. Cargos Máximos del Nivel de Tensión 1. Estos cargos deberán ser calculados de conformidad con la metodología descrita en el numeral 3.3 del Anexo General de la presente Resolución.
En esta misma oportunidad los OR deberán suministrar el diagrama unifilar de las redes de los Niveles de Tensión 4 y 3, especificando todas las conexiones a otros Niveles de Tensión y al STN y toda la información necesaria para la aprobación de cargos y que sea de su responsabilidad en los términos de esta resolución.
ARTÍCULO 5. CÁLCULO DE LOS CARGOS DE LOS STR. Los cargos de los STR serán calculados por el LAC a partir de los costos anuales aprobados por la CREG, de acuerdo con lo establecido en el CAPÍTULO VI del Anexo General de la presente Resolución.
ARTÍCULO 6. NUEVOS SISTEMAS DE DISTRIBUCIÓN. Quienes pretendan operar nuevos sistemas de distribución que se constituyan con posterioridad a la entrada en vigencia de la presente Resolución, deberán obtener previamente la aprobación de costos y cargos por parte de la CREG. Con la solicitud de aprobación de cargos por uso de STR o SDL, el agente deberá reportar el listado de municipios a atender.
1. Cuando se trate de la conformación de nuevos sistemas a partir de la división de activos de un OR existente, los respectivos agentes deberán someter en forma previa, para la aprobación de la CREG, la información de que trata esta Resolución para los nuevos sistemas que van a operar.
2. Un Operador de Red que entra a reemplazar a otro OR que opera una red existente, que ya tiene cargos aprobados para un STR o SDL, no requiere una nueva aprobación de cargos por parte de la Comisión.
3. Cuando se trate de la unificación de los sistemas de dos o más OR, los costos y cargos para el nuevo sistema se calcularán:
a. Sumando los costos anuales de Nivel de Tensión 4,
b. Los cargos de los Niveles de Tensión 3 y 2 y las pérdidas de energía de cada nivel, ponderados con la energía útil de cada nivel de tensión utilizada en el cálculo de los cargos vigentes,
c. Los cargos del Nivel de Tensión 1 y las pérdidas de energía de este nivel, ponderados con base en las ventas en este nivel utilizadas para el cálculo de los respectivos cargos.
ARTÍCULO 7. TRATAMIENTO DE ACTIVOS DE CONEXIÓN AL STN. Los activos de Conexión del OR al STN que utilizan los OR serán considerados en el cálculo de los costos del STR y se remunerarán vía cargos por uso, sin perjuicio de los contratos de conexión que existan con el propietario de los activos.
A partir de la entrada en vigencia de la presente Resolución, los usuarios finales que se conecten a activos que están siendo remunerados a los OR mediante cargos por uso, se entenderán conectados a un STR o SDL y por lo tanto pagarán los cargos por uso respectivos.
PARÁGRAFO. Para las situaciones particulares y concretas consolidadas con anterioridad a la entrada en vigencia de la presente resolución, en las que se tengan usuarios finales considerados como conectados directamente al STN, no habrá lugar al cobro de cargos por uso de STR o SDL. Para este efecto, se entiende que un usuario final está conectado directamente al STN cuando el equipo que está instalado entre su punto de conexión y el STN corresponde a activos de transformación con tensión primaria del STN y sus módulos asociados incluyendo, sólo para estos casos, el barraje del lado de baja tensión. En estas condiciones sólo se remunerará vía cargos por uso la proporción de los activos que utiliza el (los) OR. Los porcentajes de participación en el uso para remunerar el activo entre quienes lo utilizan, se determinan en proporción a las demandas máximas de cada una de las partes.
ARTÍCULO 8. CALIDAD DEL SERVICIO DE DISTRIBUCIÓN. La calidad del servicio se determinará a partir de la información recolectada por el CND sobre la duración de las indisponibilidades de los activos de cada STR. La remuneración que reciben los OR, responsables de tales activos, se disminuirá cuando se incumplan las metas y las exigencias señaladas en el CAPÍTULO II del Anexo General de la presente Resolución.
Para los Niveles de Tensión 1, 2 y 3, la calidad del servicio de distribución prestado por un OR se evaluará trimestralmente en términos de la calidad media brindada a los usuarios conectados a estos Niveles de Tensión, comparándola con la calidad media de referencia del OR. En función de las mejoras o desmejoras en la calidad media del servicio prestado, el OR podrá obtener un aumento o disminución de sus Cargos por Uso y deberá compensar a sus usuarios “peor servidos”, con base en la metodología descrita en el CAPÍTULO II del Anexo General de la presente Resolución.
ARTÍCULO 9. ACTUALIZACIÓN DE LOS CARGOS POR LA PUESTA EN SERVICIO DE NUEVOS ACTIVOS. Cuando entren en operación nuevos Activos de Uso se actualizarán los cargos correspondientes, siempre que se cumplan las condiciones establecidas en el CAPÍTULO IV del Anexo General de la presente Resolución.
ARTÍCULO 10. ACTUALIZACIÓN, LIQUIDACIÓN Y RECAUDO DE LOS CARGOS POR USO DE STR Y SDL. Los Cargos por Uso de los STR y SDL, se actualizarán, liquidarán y recaudarán, así:
a) Cargos de los STR
Los Cargos de un STR serán actualizados y liquidados por el Liquidador y Administrador de Cuentas (LAC) y facturados por los OR a los comercializadores que atienden Usuarios de los STR o SDL, siguiendo las disposiciones contenidas en el numeral 6.1 del Anexo General de la presente Resolución.
b) Cargos de los SDL
Los Cargos de los SDL serán actualizados, liquidados y facturados siguiendo las disposiciones contenidas en el numeral 6.2 del Anexo General de la presente Resolución.
ARTÍCULO 11. CONFORMACIÓN DE LOS STR. Para efectos de la liquidación de cargos por uso se establecen los STR definidos en el CAPÍTULO I del Anexo General de la presente Resolución.
Esta conformación de los STR se aplicará a partir del primer día del segundo mes calendario siguiente al de vigencia de la presente resolución.
PARÁGRAFO. Las redes de nuevos OR serán integradas a uno de los STR establecidos dependiendo de la ubicación de sus activos dentro de los referidos sistemas.
ARTÍCULO 12. CARGOS POR USO PARA EL CÁLCULO DEL COSTO UNITARIO DE PRESTACIÓN DEL SERVICIO. Los cargos por uso, por Niveles de Tensión, que serán utilizados para determinar el Costo Unitario de Prestación del Servicio, definido según lo dispuesto en las Resoluciones CREG 119 de 2007 y CREG 058 de 2008 o aquellas que las modifiquen o sustituyan, serán determinados por cada comercializador siguiendo las disposiciones del CAPÍTULO VI del Anexo General de la presente Resolución.
ARTÍCULO 13. MIGRACIÓN DE USUARIOS A NIVELES DE TENSIÓN SUPERIORES. Los Usuarios de los SDL podrán migrar a un nivel de tensión superior, siempre que cumplan los siguientes requisitos ante el respectivo OR:
1. Justificar técnicamente la necesidad de cambio de Nivel de Tensión.
2. Obtener autorización del OR a cuyas redes se encuentra conectado el usuario cuando el cambio propuesto es en el sistema del mismo OR.
3. Si el usuario requiere mantener la instalación donde se encuentra conectado, deberá cumplir con lo establecido en el Artículo 14 de la presente resolución.
PARÁGRAFO 1. Los OR deben disponer de un estudio técnico, actualizado anualmente, que considere entre otros aspectos: pérdidas, regulación y calidad de su sistema que permita determinar, según la capacidad de conexión solicitada por un usuario, el nivel de tensión al cual debería conectarse, sujeto a que exista capacidad disponible en el punto de conexión solicitado. Cada vez que se actualiza dicho estudio debe ser publicado y sometido a comentarios de los terceros interesados, los cuales deberán ser resueltos por el OR.
PARÁGRAFO 2. El OR tendrá un plazo de quince (15) días hábiles para decidir sobre la solicitud de migración. La negación de la autorización deberá estar técnicamente justificada.
ARTÍCULO 14. CARGOS POR DISPONIBILIDAD DE CAPACIDAD DE RESPALDO DE LA RED. Los Usuarios de los STR o SDL podrán solicitar al OR del sistema al cual se conectan a través de su Comercializador la suscripción de un contrato de disponibilidad de capacidad de respaldo de la red, de acuerdo con lo establecido en el CAPÍTULO I3 del Anexo General de la presente Resolución. El OR deberá otorgar dicha disponibilidad, siempre y cuando tenga la capacidad disponible en su Sistema en el punto de conexión solicitado por el usuario, según el estudio establecido en el parágrafo 1 del Artículo 13 de la presente resolución.
PARÁGRAFO 1. El procedimiento para la solicitud y viabilidad de conexión del usuario al sistema del OR, deberá cumplir con lo establecido en la Resolución CREG 070 de 1998 o las normas que la complementen, modifiquen o sustituyan.
PARÁGRAFO 2. Los Cargos aquí calculados por Disponibilidad de Capacidad de Respaldo de la Red corresponden únicamente a la actividad de distribución de energía eléctrica e incluyen los activos actualmente utilizados para la prestación del servicio de respaldo.
PARÁGRAFO 3. Cuando un usuario, para efectos del procedimiento de conexión establecido en el numeral 4.4.1 del Anexo General de la Resolución CREG 070 de 1998 o aquella que la modifique o sustituya, declare una potencia máxima requerida que no sea usada en su totalidad en un período de seis meses consecutivos, el OR podrá disponer de la diferencia entre la potencia máxima aprobada y la potencia máxima empleada por el usuario en dicho período. Para lo cual el OR podrá instalar los equipos de control de carga que requiera. No obstante, el usuario podrá conservar la capacidad no utilizada a través de un contrato de capacidad de respaldo de la red de acuerdo con lo establecido en este Artículo.
ARTÍCULO 15. TRANSPORTE DE ENERGÍA REACTIVA. En caso de que la energía reactiva (kVArh) consumida por un Usuario de los STR o SDL, sea mayor al cincuenta por ciento (50%) de la energía activa (kWh) que le es entregada en cada periodo horario, el exceso sobre este límite, en cada periodo, se considerará como energía activa para efectos de liquidar mensualmente el cargo por uso del respectivo sistema, de acuerdo con lo dispuesto en el numeral 6.7 del Anexo General de la presente Resolución.
Para los efectos de esta norma, la energía reactiva consumida por un Usuario de los STR o SDL se determinará a partir del balance neto de la energía que le es entregada en un mismo nodo y en cada periodo horario, de acuerdo con lo registrado en las fronteras comerciales del mismo usuario, asociadas a dicho nodo.
El OR podrá conectar equipos de medida de energía reactiva para identificar a aquellos usuarios o fronteras comerciales que, por su consumo de energía reactiva, estén obligados al pago de la misma conforme a lo establecido en esta disposición y a la instalación del medidor correspondiente.
ARTÍCULO 16. TRATAMIENTO DE ACTIVOS DE CONEXIÓN Y ACTIVOS DE USO. Los activos que sean declarados para ser remunerados mediante cargos por uso al momento de solicitud de aprobación por parte del OR de los cargos, mantendrán este tipo de remuneración durante todo el período tarifario. Los activos de conexión existentes que no son declarados para ser remunerados a través de cargos por uso en la misma oportunidad, mantendrán tal condición durante todo el período tarifario.
PARÁGRAFO 1. Durante el período tarifario, los OR no podrán exigir la remuneración, a través de contratos de conexión por activos que hayan sido reportados para ser remunerados mediante Cargos por Uso.
PARÁGRAFO 2. Si a través de un activo se conectan uno o varios transportadores al STR o a un SDL, el activo se remunerará mediante cargos por uso en la proporción a la utilización por cada OR.
ARTÍCULO 17. CRITERIO DE SEGURIDAD Y CONFIABILIDAD EN LOS STR. Las conexiones de los OR al STN, que cumplan con los supuestos del artículo 1 de la Resolución MME 18 2148 de diciembre de 2007 o de la norma que la modifique, sustituya o complemente, deberán contar con una unidad de reserva en los términos de esta misma disposición.
Por unidad de reserva se entiende un (1) transformador trifásico o un (1) transformador monofásico para el caso de los bancos de transformadores.
PARÁGRAFO 1. Los OR deben cumplir con lo exigido en este Artículo dentro de los tres años siguientes a la vigencia de la presente Resolución y presentar ante la CREG, la solicitud de remuneración del activo mediante la actualización del costo anual con una anticipación no inferior a siete (7) meses a la fecha prevista para su entrada en operación, como condición para que su remuneración pueda ser reconocida en forma inmediata a partir de tal momento.
PARÁGRAFO 2. La Comisión podrá efectuar las auditorías que considere pertinentes para verificar la información sobre las unidades de reserva.
ARTÍCULO 18. INFORMACIÓN SOBRE EXPANSIÓN DE STR Y SDL. Independientemente de las solicitudes de actualizaciones, a más tardar el 31 de marzo de cada año, el OR deberá reportar a la Comisión los activos que hayan entrado en operación durante el último año calendario, detallando las particularidades de cada proyecto de acuerdo con los formatos que se dispondrán oportunamente.
La información de los activos deberá clasificarse por nivel de tensión y de acuerdo con su finalidad: expansión, expansión para contratos de respaldo, reposición, calidad del servicio o pérdidas de energía. Adicionalmente se deberá informar el período de ejecución de cada proyecto.
ARTÍCULO 19. VIGENCIA DE LOS CARGOS. Los costos y cargos por uso de los STR y SDL que defina la Comisión estarán vigentes desde la fecha en que quede en firme la resolución que los apruebe y hasta cuando se cumplan cinco años desde la entrada en vigencia de la presente Resolución, sin perjuicio de las actualizaciones a que haya lugar.
PARÁGRAFO 1. <Parágrafo 1o. modificado por el artículo 1 de la Resolución 135 de 2008. El nuevo texto es el siguiente:> Los Operadores de Red deberán someter a aprobación de la Comisión a más tardar el 10 de noviembre de 2008, con base en la metodología aquí establecida, el estudio de los cargos aplicables para el presente periodo tarifario.
PARÁGRAFO 2. Una vez enviada la información, la CREG ordenará al OR publicar en un diario de amplia circulación, en la zona donde presta el servicio, o en uno de circulación nacional, un resumen del estudio de cargos que se presentó a la Comisión, con el fin de que los terceros interesados puedan intervenir en la actuación administrativa. El OR deberá enviar a la Comisión copia del aviso de prensa respectivo. El resumen deberá contener como mínimo la información contenida en el CAPÍTULO VIII del Anexo General de la presente Resolución.
PARÁGRAFO 3. Vencido el período de vigencia de los cargos por uso que apruebe la Comisión, éstos continuarán rigiendo hasta que la Comisión apruebe los nuevos.
ARTÍCULO 20. PRUEBAS. La CREG aplicará el mecanismo de verificación que se establece en el CAPÍTULO VII del Anexo General de la presente Resolución, sin perjuicio de la facultad de decretar otras pruebas conforme al Artículo 108 de la Ley 142 de 1994.
ARTÍCULO 21. DECISIÓN SOBRE APROBACIÓN DE LOS COSTOS Y CARGOS DE CADA OR. Una vez analizada la información presentada por los OR, habiendo dado oportunidad de ser oídos a los interesados, y practicadas las pruebas a que hubiere lugar, de conformidad con la Ley, la Comisión procederá a aprobar los costos anuales y los cargos máximos de que trata la presente Resolución.
PARÁGRAFO. Cuando el OR no someta a aprobación de la CREG los Costos Anuales y los Cargos Máximos en el plazo previsto o los someta con información que incumpla los parámetros de verificación establecidos en el CAPÍTULO VII del Anexo General de la presente Resolución, la Comisión fijará los Costos Anuales para el Nivel de Tensión 4 con la información disponible y los Cargos Máximos con un valor equivalente al 90% del cargo más bajo aprobado a los OR según la presente metodología, sin perjuicio de las sanciones y demás medidas a que haya lugar. Estos cargos estarán vigentes hasta que el OR formule la respectiva solicitud y los nuevos le sean aprobados.
ARTÍCULO 22. RECURSOS. De acuerdo con lo previsto por el Artículo 113 de la Ley 142 de 1994, contra la decisión mediante la cual la Comisión apruebe los costos anuales y los cargos máximos de cada Operador de Red, procede el recurso de reposición, el cual podrá interponerse ante la Dirección Ejecutiva de la Comisión, dentro de los cinco (5) días hábiles siguientes a la fecha en que sea notificada o publicada, según el caso.
ARTÍCULO 23. DEROGATORIAS. La presente Resolución deroga el artículo 25 de la Resolución CREG 008 de 2003, los numerales 9.3.1 y 9.4 del Anexo General de la Resolución CREG 070 de 1998, la Resolución CREG 042 de 2001 y aquellas disposiciones que le sean contrarias.
ARTÍCULO 24. VIGENCIA. La presente resolución rige a partir de su publicación en el Diario Oficial y deroga las disposiciones que le sean contrarias.
Publíquese y cúmplase.
Dado en Bogotá, D. C., a 26 de septiembre de 2008.
El Presidente,
MANUEL MAIGUASHCA OLANO,
Viceministro de Minas y Energía Delegado del Ministro de Minas y Energía.
El Director Ejecutivo,
HERNÁN MOLINA VALENCIA.
CONTENIDO
CAPITULO I. Conformación de STR
1.1 STR Norte
1.2 STR Centro-Sur
CAPITULO II. Cálculo de costos anuales
2.1 Determinación de los costos anuales por el uso de los activos de los niveles de tensión 4, 3 y 2
2.1.1 Costo anual equivalente de activos de uso (CAAEj,n):
2.1.1.1 Costo anual de UC que no se asocian con un nivel de tensión específico (CASNj)
2.1.2 Costo Anual de Terrenos (CATj,n)
2.1.3 Costo Anual Equivalente de Activos No Eléctricos (CAANEj,n)
2.1.4 Gastos Anuales de Administración, Operación y Mantenimiento (AOMj,n,k)
2.2 Costo Anual para el Nivel de Tensión 1
2.2.1 Costo Anual de Inversión
2.2.2 Costo Anual de AOM
CAPITULO III. Cálculo de cargos por nivel de tensión
3.1 Cálculo de Cargos de los STR
3.1.1 Ingreso Anual
3.1.2 Ingreso Mensual
3.1.3 Cargo del Nivel de Tensión 4
3.2 Cálculo de cargos máximos para los niveles de Tensión 3 y 2
3.2.1 Nivel de Tensión 3
3.2.2 Nivel de Tensión 2
3.3 Cálculo de cargos máximos del Nivel de Tensión 1
3.4 Costos medios del Operador de Red
3.5 Descripción de variables utilizadas
CAPITULO IV. Actualización por la puesta en servicio de nuevos activos
4.1 Activos del STR ejecutados por el OR
4.2 Activos del STR ejecutados mediante convocatorias
4.3 Activos con costos superiores a los costos medios
4.3.1 A la UPME
4.3.2 A la CREG
4.4 Reposición de UC asociadas con activos de distribución financiados a través de recursos públicos
4.5 Activos del Sistema de Gestión de la Distribución
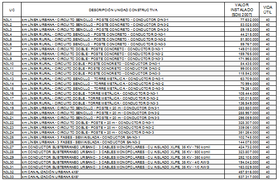
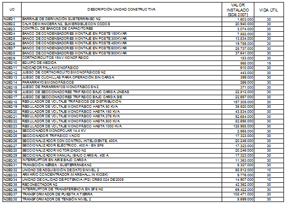
CAPITULO V. Unidades constructivas
5.1 UC de los STR y SDL en los Niveles de Tensión 4, 3 y 2
5.2 Listado de UC de los STR y SDL en los Niveles de Tensión 4, 3 y 2
5.3 Listado de costos reconocidos para la valoración de activos de Nivel de Tensión 1
CAPITULO VI. Actualización, liquidación y recaudo de los cargos de los STR y de los SDL
6.1 Actualización, liquidación y recaudo de los cargos de STR
6.2 Actualización de los Cargos Máximos de SDL
6.2.1 Cargos Máximos de Niveles de Tensión 3 y 2
6.2.2 Cargos Máximos del Nivel de Tensión 1
6.3 Actualización de los Costos Anuales y de Cargos Máximos
6.4 Actualización de los Costos Anuales de AOM
6.5 Cargos por Uso por Nivel de Tensión
6.5.1 Nivel de Tensión 4
6.5.2 Nivel de Tensión 3
6.5.3 Nivel de Tensión 2
6.5.4 Nivel de Tensión 1
6.6 Recaudo de cargos del Nivel de Tensión 1
6.7 Liquidación y recaudo de los costos de transporte de Energía Reactiva en exceso
CAPITULO VII. Verificación sobre los activos reportados por los OR para determinar los cargos por uso de los STR y SDL
CAPITULO VIII. Resumen de información para publicación por parte de los OR
CAPITULO IX. Reportes de flujos de energía y cálculo de energía útil
9.1 Reportes de Flujos de Energía
9.2 Cálculo de balances por OR y energías útiles
CAPITULO X. Gastos de administración, operación y mantenimiento
10.1 Valor de AOM de referencia
10.1.1 AOM remunerado
10.1.2 AOM gastado
10.1.3 Valor de AOM de referencia
10.2 Porcentaje de AOM gastado y remunerado (2004-2007)
10.3 Gastos AOM a reconocer
10.3.1 Porcentaje de AOM a reconocer en el año k, PAOMRj,k
10.3.1.1 IAADj,k-1,n = IAADj,k-2,n
10.3.1.2 IAADj,k-1,n > IAADj,k-2,n
CAPITULO XI. Calidad del servicio
11.1 Calidad del servicio en el STR
11.1.1 Bases de Datos
11.1.2 Máximas horas anuales de indisponibilidad
11.1.3 Máximos permitidos de indisponibilidad
11.1.4 Indisponibilidad de los activos de uso del STR
11.1.5 Indisponibilidades excluidas
11.1.5.1 Procedimiento para los mantenimientos mayores
11.1.6 Ingreso mensual regulado
11.1.7 Remuneración en algunos casos de indisponibilidad
11.1.8 Compensaciones
11.1.8.1 Compensaciones por incumplimiento de las metas
11.1.8.2 Compensaciones por energía no suministrada o por dejar no operativos otros activos
11.1.8.2.1 Determinación de la energía no suministrada
11.1.8.2.2 Transición para adecuación de los sistemas
11.1.9 Ingreso mensual ajustado
11.1.10 Límite de los valores a compensar
11.2 Calidad del Servicio de Distribución en el SDL
11.2.1 Interrupciones del servicio de energía
11.2.1.1 Clasificación de las interrupciones
11.2.1.2 Exclusión de interrupciones
11.2.2 Grupos de calidad para la medición
11.2.3 Indices de la discontinuidad del servicio
11.2.3.1 Cálculo del índice de referencia agrupado de la discontinuidad
11.2.3.2 Cálculo del índice trimestral agrupado de la discontinuidad
11.2.4 Esquema de incentivos y compensaciones a la calidad del servicio de distribución de energía eléctrica
11.2.4.1 Cálculo del incentivo por variación trimestral de la calidad
11.2.4.2 Banda de indiferencia para la aplicación del incentivo
11.2.4.3 Compensación del usuario “peor servido”
11.2.4.4 Contratos de calidad extra
11.2.5 Información básica para la aplicación del esquema de incentivos
11.2.5.1 Medición de las interrupciones
11.2.5.2 Registro y reporte de la información de las interrupciones
11.2.5.2.1 Causa de la interrupción
11.2.5.2.2 Clasificación de la interrupción
11.2.5.2.3 Duración de la interrupción
11.2.5.2.4 Información complementaria mensual
11.2.5.2.5 Reporte de la información de las Interrupciones
11.2.5.3 Estimación trimestral de la discontinuidad y del incentivo correspondiente
11.2.5.4 Auditorías
11.2.5.4.1 Auditoría de cumplimiento de requisitos para iniciar la aplicación del esquema de incentivos y/o compensaciones
11.2.5.4.2 Auditoría a la información
11.2.6 Implementación del esquema de incentivos y compensaciones
11.2.6.1 Información inicial para el cálculo del IRAD
11.2.6.2 Información para el cálculo del ITAD
11.2.6.3 Requisitos para la aplicación del esquema de incentivos y compensaciones
11.2.7 Responsabilidades de información sobre la calidad del SDL
11.2.7.1 Responsabilidades por parte del OR
11.2.7.2 Responsabilidades por parte comercializador
11.2.7.3 Solución de diferencias en la información
CAPITULO XII. Pérdidas y factores para referir al STN
12.1 Pérdidas reconocidas por nivel de tensión
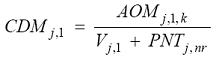
12.2 Pérdidas No Técnicas No Reconocidas (PNTj,nr)
12.3 Determinación de los factores para referir al STN
CAPITULO XIII. Cargos por respaldo de la red
CAPITULO XIV. Criterio de eficiencia para transformadores del nivel de tensión 1.
CAPITULO XV. Contenido de la solicitud
CONFORMACIÓN DE STR.
Se conforman dos (2) STR con los Activos de Conexión del OR al STN y el conjunto de líneas y subestaciones, con sus equipos asociados, en el Nivel de Tensión 4, de los OR enumerados en cada uno de ellos.
1. Electrificadora de la Costa Atlántica S. A. E.S.P.
2. Electrificadora del Caribe S. A. E.S.P.
1. Central Hidroeléctrica de Caldas S. A. E.S.P.
2. Centrales Eléctricas de Nariño S. A. E.S.P.
3. Centrales Eléctricas del Cauca S. A. E.S.P.
4. Centrales Eléctricas del Norte de Santander S. A. E.S.P.
5. CODENSA S. A. E.S.P.
6. Compañía de Electricidad de Tuluá S. A. E.S.P.
7. Compañía Energética del Tolima S. A. E.S.P.
8. Distribuidora del Pacífico S. A. E.S.P.
9. Electrificadora de Santander S. A. E.S.P.
10. Electrificadora del Caquetá. S. A. E.S.P.
11. Electrificadora del Huila S. A. E.S.P.
12. Electrificadora del Meta S. A. E.S.P.
13. Empresa de Energía de Arauca S. A. E.S.P.
14. Empresa de Energía de Boyacá S. A. E.S.P.
15. Empresa de Energía de Cundinamarca S. A. E.S.P.
16. Empresa de Energía de Pereira S. A. E.S.P.
17. Empresa de Energía del Bajo Putumayo S. A. E.S.P.
18. Empresa de Energía del Casanare S. A. E.S.P.
19. Empresa de Energía del Pacífico S. A. E.S.P.
20. Empresa de Energía del Putumayo S. A. E.S.P.
21. Empresa de Energía del Quindío S. A. E.S.P.
22. Empresa de Energía del Valle del Sibundoy S. A. E.S.P.
23. Empresa de Energía Eléctrica del Departamento del Guaviare S. A. E.S.P.
24. Empresas Municipales de Cali EICE E.S.P.
25. Empresas Municipales de Cartago S. A. E.S.P.
26. Empresas Municipales de Energía Eléctrica S. A. E.S.P.
27. Empresas Públicas de Medellín S. A. E.S.P.
28. Municipio de Campamento S. A. E.S.P.
29. Ruitoque S. A. E.S.P.
CÁLCULO DE COSTOS ANUALES.
Para cada uno de los Niveles de Tensión 4, 3 y 2 de los STR o SDL, se determinarán los siguientes costos anuales, en pesos de diciembre de 2007, de conformidad con las siguientes disposiciones:
2.1.1 COSTO ANUAL EQUIVALENTE DE ACTIVOS DE USO (CAAEJ,N):
El Costo Anual Equivalente de los Activos de Uso se determinará a partir de:
-- Los inventarios de Activos en Operación a la Fecha de Corte reportados por los OR a la CREG en la solicitud de cargos, clasificados según el listado de UC que se presenta en el CAPÍTULO V de este Anexo y las UC especiales sometidas a consideración de la Comisión. En particular, se deben identificar los activos operados por el OR cuyo valor no debe incluirse en el cálculo de los cargos en los términos del artículo 87 numeral 87.9 de la Ley 142 de 1994, en la forma en que quedó modificado por el artículo 143 de la Ley 151 <sic, es 1151> de 2007.
-- La valoración de las UC reportadas, utilizando el Costo Reconocido y la vida útil que se establecen en el CAPÍTULO V de este Anexo.
-- Los terrenos asociados con cada subestación reportados por el OR a la CREG, conjuntamente con la solicitud de aprobación de que trata el Artículo 4 de la presente Resolución, indicando para cada terreno su área (m2) y valor catastral total (en pesos de diciembre de 2007).
Para el Nivel de Tensión 4 se considerarán los siguientes activos:
-- Los activos incluidos en el inventario del OR conforme a la metodología prevista en la Resolución CREG 082 de 2002, que se encuentren en operación a la fecha de presentación de la nueva solicitud de aprobación de costos,
-- Las actualizaciones aprobadas por la Comisión en cumplimiento del Artículo 6 de la Resolución CREG 082 de 2002,
-- Los activos que a la Fecha de Corte tenían la aprobación correspondiente de la UPME y se encontraban en operación,
-- Las UC Sistema de Control de la Subestación y Protección Diferencial que se encontraban en operación a la Fecha de Corte.
El costo anual equivalente de los activos de uso para cada Nivel de Tensión se determina así:

| Costo Anual Equivalente de los Activos de Uso en el Nivel de Tensión n, para el Operador de Red j. De acuerdo con lo establecido en el Artículo 1 de esta resolución, los activos de Conexión al STN se incluirán dentro del costo anual para remunerar los Activos de Nivel de Tensión 4. | |
| Número total de UC del Nivel de Tensión n, reportadas por el OR j. | |
| Costo Reconocido para la UC i, reportada por el OR j, con los valores establecidos en el CAPÍTULO V de este Anexo y teniendo en cuenta el porcentaje de reconocimiento previsto en el literal b del numeral 4.3 de este Anexo. | |
| Fracción del costo de la UC i, que es remunerada vía cargos por uso al OR j. | |
| Esta fracción se calcula a partir de la parte del valor de la UC que no se debe incluir en el cálculo de la tarifa de acuerdo con lo dispuesto en el numeral 87.9 de la Ley 142 de 1994, respecto del valor total de dicha UC. | |
| Tasa de Retorno para la remuneración con la Metodología de Ingreso Regulado o con la Metodología de Precio Máximo, según corresponda. | |
| Vida útil en años, reconocida para la UC i. | |
| Costo Anual de las UC que no se asocian con un Nivel de Tensión específico, para el OR j. Este costo se determina según lo establecido en el numeral 2.1.1.1 de este Anexo. | |
| Número total de Niveles de Tensión (máximo 4), para los cuales el OR j opera activos de uso. | |
| Variable que toma los valores 1 ó 0. Su valor es 1 cuando el OR j reporta activos de uso para el Nivel de Tensión n. |
2.1.1.1 COSTO ANUAL DE UC QUE NO SE ASOCIAN CON UN NIVEL DE TENSIÓN ESPECÍFICO (CASNJ).
Este costo se determina según la siguiente expresión:

donde:
| Costo Anual de las UC que no se asocian con un Nivel de Tensión específico, para el OR j. | |
| Número total de UC reportadas por el OR j, y que no están asociadas con un Nivel de Tensión específico. | |
| Costo Reconocido para la UC i, reportada por el OR j, con los valores establecidos en el CAPÍTULO V de este Anexo y teniendo en cuenta el porcentaje de reconocimiento previsto en el literal b del numeral 4.3 de este Anexo. | |
| Fracción del costo de la UC i, que es remunerada vía cargos por uso al OR j. | |
| Esta fracción se calcula a partir de la parte del valor de la UC que no se debe incluir en el cálculo de la tarifa de acuerdo con lo dispuesto en el numeral 87.9 de la Ley 142 de 1994, respecto del valor total de dicha UC. | |
| Tasa de Retorno para la remuneración con la Metodología de Ingreso Regulado. | |
| Vida útil en años, reconocida para la UC i. |
2.1.2 COSTO ANUAL DE TERRENOS (CATJ,N).
Este costo se calcula para cada Nivel de Tensión de acuerdo con la siguiente expresión:

donde:
| Costo Anual de Terrenos para el OR j, del Nivel de Tensión n. Aplica exclusivamente a las UC de Subestaciones | |
| 6,9%. Porcentaje reconocido anualmente sobre del valor de los terrenos. | |
| Número total de UC de subestaciones del Nivel de Tensión n, reportadas por el OR j, sobre las cuales se reconocen áreas de terrenos. | |
| Área Típica reconocida a la UC i (m2). Las Áreas Típicas se definen en el CAPÍTULO V de este Anexo | |
| Fracción del costo de la UC i que es remunerada vía cargos por uso al OR j. | |
| Esta fracción se calcula a partir de la parte del valor de la UC que no se debe incluir en el cálculo de la tarifa de acuerdo con lo dispuesto en el numeral 87.9 de la Ley 142 de 1994, respecto del valor total de dicha UC. | |
| Valor Catastral del Terreno ($/m2 de diciembre de 2007) correspondiente a la subestación en la cual se encuentra la UC i. |
2.1.3 COSTO ANUAL EQUIVALENTE DE ACTIVOS NO ELÉCTRICOS (CAANEJ,N).
Se determinará el Costo Anual Equivalente de los Activos No Eléctricos que se reconoce al Operador de Red, en los Niveles de Tensión 4, 3 y 2, de acuerdo con la siguiente expresión:
![]()
donde:
| Costo Anual Equivalente de los Activos No Eléctricos asignable al Nivel de Tensión n, para el Operador de Red j. | |
| Fracción del Costo Anual Equivalente de los Activos de Uso del Operador de Red, que se reconoce como Costo Anual Equivalente de Activos No Eléctricos. NE es igual a 0,041 para los Niveles de Tensión 4, 3 y 2. | |
| Costo Anual Equivalente de los Activos de Uso en el Nivel de Tensión n, en operación a la Fecha de Corte, para el Operador de Red j. | |
| Costo Anual Equivalente de los nuevos Activos de Uso en el Nivel de Tensión n, diferentes a los que hayan sido adjudicados mediante convocatorias, para el Operador de Red j, aprobados por la CREG de acuerdo con lo previsto en el Artículo 9 de la presente Resolución. Este costo anual se obtendrá utilizando la fórmula de cálculo del CAAEj,n aplicándola a estos nuevos activos. El valor de las UC a reconocer se afectará por el porcentaje informado por la UPME, en cumplimiento de lo establecido en el literal b del numeral 4.3 de este Anexo. |
2.1.4 GASTOS ANUALES DE ADMINISTRACIÓN, OPERACIÓN Y MANTENIMIENTO (AOMJ,N,K).
Los Gastos anuales por concepto de Administración, Operación y Mantenimiento que se reconocerán al OR j, para el Nivel de Tensión n, en el año k,
, se estimarán de acuerdo con la siguiente expresión:
![]()

donde:
| Gastos anuales de Administración, Operación y Mantenimiento asignables al Nivel de Tensión n, para el OR j, en el año k. | |
| Porcentaje que se reconoce al OR j, en el año k, para remunerar el gasto anual de administración, operación y mantenimiento. Este porcentaje es igual para todos los Niveles de Tensión y se calcula de acuerdo con lo establecido en el CAPÍTULO X de este Anexo. | |
| Costo de Reposición de Inversión del OR j, para el Nivel de Tensión n. | |
| Número de UC del Nivel de Tensión n, reportadas por el OR j, existentes a la Fecha de Corte, y las aprobadas por la CREG en cumplimiento del Artículo 9 de esta Resolución, diferentes a las que hayan sido adjudicadas mediante convocatorias. Se deben considerar la UC cuyo valor de inversión no se incluye en el cálculo de la tarifa de acuerdo con lo dispuesto en el numeral 87.9 de la Ley 142 de 1994. | |
| Costo Reconocido para la UC i, reportada por el OR j, con los valores establecidos en el CAPÍTULO V de este Anexo y teniendo en cuenta el porcentaje de reconocimiento previsto en el literal b del numeral 4.3 de este Anexo. | |
| Fracción del costo de la UC i, que es remunerada vía cargos por uso al OR j. | |
| Número de UC reportadas por el OR j, existentes a la Fecha de Corte y las aprobadas por la CREG en cumplimiento del Artículo 9 de esta Resolución, diferentes a las que hayan sido adjudicadas mediante convocatorias, y que no están asociadas con un Nivel de Tensión específico. | |
| Variable que toma los valores 1 ó 0. Su valor es 1 cuando el OR j reporta activos de uso para el Nivel de Tensión n. | |
| Número Total de Niveles de Tensión (máximo 4), para los cuales el OR j opera activos de uso. | |
| Nivel de Tensión 4, 3 ó 2 |
2.2 COSTO ANUAL PARA EL NIVEL DE TENSIÓN 1.
2.2.1 COSTO ANUAL DE INVERSIÓN.
<Numeral aclarado por el artículo 2 de la Resolución 133 de 2008. El nuevo texto es el siguiente:> El Costo anual equivalente de los activos de uso para el Nivel de Tensión 1,
, se determina así:

Donde:
| Número de Transformadores de Distribución de Nivel de Tensión 1, para el OR j. Corresponde a los transformadores reportados al SUI por los OR a la Fecha de Corte, sin incluir los transformadores exclusivos de alumbrado público. | |
| Inversión media de redes por circuito estimada en el Nivel de Tensión 1, para el estrato h, de la muestra del OR j. | |
| Inversión media de transformadores por circuito estimada en el Nivel de Tensión 1, para el estrato h, de la muestra del OR j. | |
| Ponderación del estrato h de la muestra del OR j. | |
| Tasa de Retorno reconocida para la metodología de Precio Máximo. | |
| Vida útil en años, reconocida para los activos i de Nivel de Tensión 1, de acuerdo con la Tabla 27 del numeral 5.3 del presente Anexo |
La inversión media de redes por circuito
se obtiene de la siguiente manera:

Donde:
| Inversión estimada en redes para el circuito k del estrato h, de la muestra del OR j. Para obtener este valor se utiliza el inventario de los circuitos de la muestra reportados por el OR a la Comisión en respuesta a la Circular CREG 013 de 2007 y los costos reconocidos en el numeral 5.3 del presente Anexo. | |
| Número de Transformadores de Distribución de Nivel de Tensión 1, de la Muestra del OR j, del estrato h. |
La inversión media de transformadores por circuito Inv_HTj,h, se determina así:

Donde:
| Inversión estimada en el transformador del circuito k del estrato h, de la muestra del OR j. Para obtener este valor se utiliza el inventario de los circuitos de la muestra reportados por el OR a la Comisión en respuesta a la Circular CREG 013 de 2007 y los costos reconocidos en el numeral 5.3 del presente Anexo. Para la valoración de los transformadores de la muestra se aplican los criterios definidos en el CAPÍTULO 14 de este Anexo. | |
| Número de Transformadores de Distribución de Nivel de Tensión 1, de la Muestra del OR j, del estrato h. |
Para el cálculo de las variables Inv_HRj,h, y Inv_HTj,h no se deben considerar las redes o transformadores de la muestra dedicados exclusivamente al servicio de alumbrado público.
La inversión total estimada para cada OR se obtiene de la siguiente manera:

Donde:
| Número de Transformadores de Distribución de Nivel de Tensión 1, para el OR j. Corresponde a los transformadores reportados al SUI por los OR a la Fecha de Corte, sin incluir los transformadores exclusivos de alumbrado público. | |
| Número de estratos de la muestra del OR j. | |
| Inversión media por circuito (transformador más red secundaria) estimada en el Nivel de Tensión 1, para el estrato h, de la muestra del OR j, calculada con la siguiente expresión: |
![]()
El factor de ponderación del estrato h, de la muestra del OR j, se obtiene de la siguiente manera:

Donde:
| Número de Transformadores de Distribución de Nivel de Tensión 1, del estrato h, para el OR j. Sin incluir los transformadores exclusivos de alumbrado público. |
El costo anual de AOM para el Nivel de Tensión 1 se calcula con la siguiente expresión:
![]()
| Gastos anuales de Administración, Operación y Mantenimiento asignables al Nivel de Tensión 1, para el OR j, en el año k. | |
| Costo de Reposición de Inversión del OR j, para el Nivel de Tensión 1, calculado en el numeral 2.2.1 de este Anexo. | |
| Porcentaje que se reconoce al OR j, en el año k, para remunerar AOM, calculado de acuerdo con lo establecido en el CAPÍTULO X de este Anexo. |
CÁLCULO DE CARGOS POR NIVEL DE TENSIÓN.
3.1 CÁLCULO DE CARGOS DE LOS STR.
Los Cargos de los STR serán calculados de acuerdo con la siguiente metodología.
Para cada OR se determinará un Costo Anual por el uso de los Activos de Nivel de Tensión 4, así:
![]()
![]()


donde:
| Costo Anual por uso de los activos del Nivel de Tensión 4, aprobado por la CREG para el OR j. | |
| Costo Anual para remunerar la inversión de los activos del Nivel de Tensión 4, para el OR j. | |
| Gastos anuales de Administración, Operación y Mantenimiento asignables al Nivel de Tensión 4, para el OR j, en el año k. | |
| Costo Anual de Terrenos para el OR j, del Nivel de Tensión 4. | |
| Costo Anual Equivalente de los Activos No Eléctricos asignable al Nivel de Tensión 4, para el Operador de Red j. | |
| Costo Anual de referencia a partir del cual se calcula el costo anual para remunerar la inversión de los activos del Nivel de Tensión 4, aprobado por la CREG para el OR j. Este valor se definirá como un número fijo en la resolución particular de cada OR. | |
| Costo Anual Equivalente de los Activos de Uso en el Nivel de Tensión 4, en operación a la Fecha de Corte, para el Operador de Red j. | |
| Costo Anual Equivalente de los nuevos Activos de Uso en el Nivel de Tensión 4, diferentes a los que hayan sido adjudicados mediante convocatorias, para el Operador de Red j, aprobados por la CREG de acuerdo con lo previsto en el Artículo 9 de la presente Resolución. Este costo anual se obtendrá utilizando la fórmula de cálculo del CAAEj,4 aplicándola a estos nuevos activos. El valor de las UC a reconocer se afectará por el porcentaje informado por la UPME, en cumplimiento de lo establecido en el literal b del numeral 4.3 de este Anexo. | |
| <Variable aclarada por el artículo 3 de la Resolución 133 de 2008. El nuevo texto es el siguiente:> Valor de la inversión de los activos que están fuera de servicio a la Fecha de Corte, incluidos en la remuneración de los STR aprobada con base en la Resolución CREG 082 de 2002 del OR j; más el valor de las bahías de transformador con tensión mayor o igual a 220 kV para conexión del OR j a subestaciones del STN, con configuración de interruptor y medio y de anillo, reconocidas en esa remuneración; más los activos operados por el OR cuyo valor no debe incluirse en el cálculo de los cargos, en los términos del artículo 87 numeral 87.9 de la Ley 142 de 1994, en la forma en que quedó modificado por el artículo 143 de la Ley 1151 de 2007. Las anteriores cifras deberán ser calculadas con las UC definidas en la Resolución CREG 082 de 2002, en pesos de diciembre de 2001. El valor total lo deberá reportar el OR en su solicitud incluyendo el soporte respectivo. |
| Factor de conversión en el Nivel de Tensión 4, para el OR j. | |
| Con este subíndice se identifican las variables que se calcularon con la metodología de la Resolución CREG 082 de 2002, las cuales se transcriben en el numeral 3.5. | |
| Índice de Precios al Productor Total Nacional correspondiente al mes de diciembre de 2001. | |
| Índice de Precios al Productor Total Nacional correspondiente al mes de diciembre de 2007. |
Para cada uno de los meses del período tarifario el LAC estimará el Ingreso Mensual para remunerar los activos de uso del Nivel de Tensión 4 de cada OR, así:

donde:
| Ingreso Mensual del mes m en pesos, para remunerar el uso de los activos del Nivel de Tensión 4 del OR j, perteneciente al STR R. | |
| Costo Anual por uso de los activos del Nivel de Tensión 4, aprobado por la CREG para el OR j, calculado en la forma prevista en el numeral 3.1.1. | |
| Compensaciones del OR j, perteneciente al STR R, en el mes m-1, por incumplimiento de lo establecido en el CAPÍTULO XI, tal como se define esta variable en el numeral 11.1.8 de este Anexo. | |
| Índice de Precios al Productor Total Nacional correspondiente al mes m-1. | |
| Índice de Precios al Productor Total Nacional correspondiente al mes de diciembre de 2007. |
El ingreso mensual total del OR j corresponderá a la suma del ingreso mensual, IMj,R,m definido aquí, más los ingresos esperados de las convocatorias en las que el OR haya sido adjudicatario.
3.1.3 CARGO DEL NIVEL DE TENSIÓN 4.
<Numeral aclarado por el artículo 4 de la Resolución 133 de 2008. El nuevo texto es el siguiente:> Para cada uno de los STR, el LAC estimará el Cargo del Nivel de Tensión 4 así:

donde:
| Cargo del Nivel de Tensión 4 ($/kWh), del Sistema de Transmisión Regional R, en el mes m. | |
| Ingreso Mensual del mes m, para remunerar el uso de los activos del Nivel de Tensión 4 del Operador de Red j, perteneciente al STR R. | |
| Número total de OR que conforman el STR R. | |
| Ingreso Esperado de cada convocatoria c ejecutada en el STR R, para el mes m. | |
| Número total de convocatorias ejecutadas en el STR R. | |
| Demanda total de los comercializadores que atienden usuarios conectados al sistema del OR j, perteneciente al STR R, durante el mes m-1. Esta energía estará referida a 220 kV y no considerará la demanda de usuarios conectados directamente al STN. Para referir las demandas a 220 kV se utilizarán los factores contenidos en el numeral 12.3 de este Anexo. |
Lo dispuesto en este numeral y en el numeral 6.1 de este Anexo se aplicará a partir de la fecha establecida en el Artículo 11 para la aplicación de la conformación de los STR. Mientras los OR no tengan costos anuales aprobados con base en la metodología definida en esta resolución, la variable CAj,4 a utilizar se calculará de la siguiente forma:

donde:
| Índice de Precios al Productor Total Nacional correspondiente al mes de diciembre de 2007. | |
| Índice de Precios al Productor Total Nacional correspondiente al mes de diciembre de 2001. | |
| R82: | Con este subíndice se identifican las variables que se calcularon con la metodología de la Resolución CREG 082 de 2002, las cuales se transcriben en el numeral 3.5 de este Anexo. |
3.2 CÁLCULO DE CARGOS MÁXIMOS PARA LOS NIVELES DE TENSIÓN 3 Y 2.
Los cargos máximos para los Niveles de Tensión 3 y 2 se determinarán, para cada uno de los años del período tarifario, a partir de:
-- Los Costos Anuales encontrados de acuerdo con la formulación contenida en el numeral 2.1 de este Anexo
-- Las energías útiles de cada Nivel de Tensión estimadas según lo establecido en el numeral 9.2 de este Anexo.
Los cargos máximos para los Niveles de Tensión 3 y 2 se calculan por medio de las siguientes expresiones:
3.2.1 NIVEL DE TENSIÓN 3. <Numeral corregido por el artículo 1 de la Resolución 166 de 2008. El nuevo texto es el siguiente:>





Donde:
| Cargo Máximo del Nivel de Tensión 3 para el OR j. Este valor estará referido a pesos de diciembre de 2007. | |
| Costo unitario para remunerar la inversión de los activos del Nivel de Tensión 3, para el OR j. | |
| Gastos anuales de Administración, Operación y Mantenimiento asignables al Nivel de Tensión 3, para el OR j, en el año k. | |
| Costo Anual de Terrenos para el OR j, del Nivel de Tensión 3. | |
| Costo Anual Equivalente de los Activos No Eléctricos asignable al Nivel de Tensión 3, para el Operador de Red j. | |
| Pago anual por uso de SDL que el OR j hace a otro OR, por concepto de conexiones en el Nivel de Tensión 3. | |
| Energía útil del Nivel de Tensión 3 del OR j, para los doce meses que finalizan en la Fecha de Corte. Esta energía se estima según lo establecido en el numeral 9.2 de este Anexo. | |
| Energía útil del Nivel de Tensión 3 del OR j. Es igual a la energía útil del Nivel de Tensión 3 del OR j, para los doce meses que finalizan en la Fecha de Corte, adicionada con la energía asociada a los proyectos objeto de actualizaciones de acuerdo con lo establecido en el artículo 9o de la presente resolución. | |
| Costo unitario de referencia a partir del cual se calcula el costo para remunerar la inversión de los activos del Nivel de Tensión 3, aprobado por la CREG para el OR j. Este valor se definirá como un número fijo en la resolución particular de cada OR. | |
| Costo Anual Equivalente de los Activos de Uso en el Nivel de Tensión 3, en operación a la Fecha de Corte, para el Operador de Red j. | |
| Costo Anual Equivalente de los nuevos Activos de Uso en el Nivel de Tensión 3, para el Operador de Red j, aprobados por la CREG de acuerdo con lo previsto en el artículo 9o de la presente resolución. Este costo anual se obtendrá utilizando la fórmula de cálculo del CAAEj,3 aplicándola a estos nuevos activos. El valor de las UC a reconocer se afectará por el porcentaje informado por la UPME, en cumplimiento de lo establecido en el literal b) del numeral 4.3 de este Anexo. | |
| Número de conexiones con otros OR, que inyectan energía en el Nivel de Tensión 3 del OR j. | |
| Cargo Máximo del Nivel de Tensión 3 ($/kWh) estimado para el OR que exporta en la conexión f. | |
| Energía que importó el OR j, a través de la conexión f, reportada según lo dispuesto en el Capítulo 9. | |
| Factor de conversión en el Nivel de Tensión 3, para el OR j. | |
| Pago anual por uso de SDL que el OR j hace a otros OR, por concepto de conexiones en el Nivel de Tensión 3, utilizado en el cálculo de los cargos aprobados con base en la metodología de la Resolución CREG 082 de 2002. | |
| Energía útil del Nivel de Tensión 3 del Operador de Red j, para el año 5, utilizada en el cálculo de los cargos aprobados con base en la metodología de la Resolución CREG 082 de 2002. | |
| Factor que muestra la relación entre i) el valor de la inversión a la Fecha de Corte, calculada con las UC definidas en la Resolución CREG 082 de 2002, en el Nivel de Tensión 3, para el OR j, y ii) el valor de la inversión para el mismo Nivel de Tensión con el que se calcularon los cargos que el OR tiene aprobados con la metodología de la citada resolución. Este factor deberá ser calculado y sustentado por el OR en la solicitud de cargos. | |
| Factor que muestra la relación entre i) la energía útil en el Nivel de Tensión 3, para el OR j, calculada de acuerdo con lo previsto el numeral 9.2 de este Anexo y ii) la energía útil para el mismo Nivel de Tensión, con la que se calcularon los cargos aprobados con la metodología de Resolución CREG 082 de 2002. | |
| Con este subíndice se identifican las variables que se calcularon con la metodología de la Resolución CREG 082 de 2002, las cuales se transcriben en el numeral 3.5 de este Anexo. | |
| Indice de Precios al Productor Total Nacional correspondiente al mes de diciembre de 2001. | |
| Indice de Precios al Productor Total Nacional correspondiente al mes de diciembre de 2007. |
3.2.2 NIVEL DE TENSIÓN 2. <Numeral corregido por el artículo 2 de la Resolución 166 de 2008. El nuevo texto es el siguiente:>






Donde:
| Cargo Máximo del Nivel de Tensión 2 para el OR j. Este valor estará referido a pesos de diciembre de 2007. | |
| Costo unitario para remunerar la inversión de los activos del Nivel de Tensión 2, para el OR j. | |
| Gastos anuales de Administración, Operación y Mantenimiento asignables al Nivel de Tensión 2, para el OR j, en el año k. | |
| Costo Anual de Terrenos para el OR j, del Nivel de Tensión 2. | |
| Costo Anual Equivalente de los Activos No Eléctricos asignable al Nivel de Tensión 2, para el Operador de Red j. | |
| Pago anual por uso de SDL que el OR j hace a otro OR, por concepto de conexiones en el Nivel de Tensión 2. | |
| Energía útil del Nivel de Tensión 2 del OR j, para los doce meses que finalizan en la Fecha de Corte. Esta energía se estima según lo establecido en el numeral 9.2 de este Anexo. | |
| Energía útil del Nivel de Tensión 2 del OR j. Es igual a la energía útil del Nivel de Tensión 2 del OR j, para los doce meses que finalizan en la Fecha de Corte, adicionada con la energía asociada a los proyectos objeto de actualizaciones de acuerdo con lo establecido en el artículo 9o de la presente resolución. | |
| Cargo unitario del nivel de Tensión 3 que se remunera parcialmente en el Nivel de Tensión 2, para el OR j. Este valor se definirá como un número fijo en la resolución particular de cada OR. | |
| Costo unitario de referencia a partir del cual se calcula el costo para remunerar la inversión de los activos del Nivel de Tensión 2, aprobado por la CREG para el OR j. Este valor se definirá como un número fijo en la resolución particular de cada OR. | |
| Costo Anual Equivalente de los Activos de Uso en el Nivel de Tensión 2, en operación a la Fecha de Corte, para el Operador de Red j. | |
| Costo Anual Equivalente de los nuevos Activos de Uso en el Nivel de Tensión 2, para el Operador de Red j, aprobados por la CREG de acuerdo con lo previsto en el artículo 9o de la presente resolución. Este costo anual se obtendrá utilizando la fórmula de cálculo del CAAEj,2 aplicándola a estos nuevos activos. El valor de las UC a reconocer se afectará por el porcentaje informado por la UPME, en cumplimiento de lo establecido en el literal b) del numeral 4.3 de este Anexo. | |
| Número de conexiones con otros OR, que inyectan energía en el Nivel de Tensión 2 del OR j. | |
| Cargo Máximo del Nivel de Tensión 2 ($/kWh) estimado para el OR que exporta en la conexión f. | |
| Energía que importó el OR j, a través de la conexión f, reportada según lo dispuesto en el CAPITULO 9. | |
| Flujo de energía del Nivel de Tensión 3 al Nivel de Tensión 2, del OR j. Estas energías se determinan según lo establecido en el CAPITULO 9 de la presente resolución. | |
| Factor de conversión en el Nivel de Tensión 2, para el OR j. | |
| Pago anual por uso de SDL que el OR j hace a otros OR, por concepto de conexiones en el Nivel de Tensión 2, utilizado en el cálculo de los cargos aprobados con base en la metodología de la Resolución CREG 082 de 2002. | |
| Energía útil del Nivel de Tensión 2 del Operador de Red j, para el año 5, utilizada en el cálculo de los cargos aprobados con base en la metodología de la Resolución CREG 082 de 2002. | |
| Energía que fluye del Nivel de Tensión 3 al Nivel de Tensión 2, del OR j, para el año 5, utilizada en el cálculo de los cargos aprobados con base en la metodología de la Resolución CREG 082 de 2002. | |
| Factor que muestra la relación entre i) el valor de la inversión a la Fecha de Corte, calculada con las UC definidas en la Resolución CREG 082 de 2002, en el Nivel de Tensión 2, para el OR j, y ii) el valor de la inversión para el mismo Nivel de Tensión con el que se calcularon los cargos que el OR tiene aprobados con la metodología de la citada resolución. Este factor deberá ser calculado y sustentado por el OR en la solicitud de cargos. | |
| Factor que muestra la relación entre i) la energía útil en el Nivel de Tensión 2, para el OR j, calculada de acuerdo con lo previsto el numeral 9.2 de este Anexo y ii) la energía útil para el mismo Nivel de Tensión, con la que se calcularon los cargos aprobados con la metodología de Resolución CREG 082 de 2002. | |
| Con este subíndice se identifican las variables que se calcularon con la metodología de la Resolución CREG 082 de 2002, las cuales se transcriben en el numeral 3.5 de este Anexo. | |
| Indice de Precios al Productor Total Nacional correspondiente al mes de diciembre de 2001. | |
| Indice de Precios al Productor Total Nacional correspondiente al mes de diciembre de 2007. |
3.3 CÁLCULO DE CARGOS MÁXIMOS DEL NIVEL DE TENSIÓN 1.
Para cada OR se define un cargo máximo por concepto de inversiones y un cargo máximo por concepto de gastos de Administración, Operación y Mantenimiento que se determinan de la siguiente manera:


Donde:
| Cargo Máximo por concepto de inversiones para el Nivel de Tensión 1, para el OR j. | |
| Costo unitario de referencia a partir del cual se calcula el costo para remunerar la inversión de los activos del Nivel de Tensión 1, aprobado por la CREG para el OR j. Este valor se definirá como un número fijo en la resolución particular de cada OR. | |
| Costo anual de los activos de uso en el Nivel de Tensión 1, para el OR j, tal como se definió en el CAPÍTULO II de este Anexo. | |
| Otros Ingresos por la explotación de los activos remunerados mediante cargos por uso en actividades distintas a la de distribución de energía eléctrica. Este valor corresponde al 33% del valor de los ingresos por este concepto durante el año que finaliza en la Fecha de Corte. El valor debe ser reportado por el OR en el momento de la solicitud de aprobación de cargos. En caso de que no se reporte dicho valor, se tomará el 50% del valor más alto reportado por los OR. | |
| Ventas anuales de energía en el Nivel de Tensión 1, efectuadas por todos los Comercializadores de energía en el sistema del OR j. La información de ventas corresponde a la registrada por los Comercializadores al SUI para el año que finaliza en la Fecha de Corte. | |
| Ventas anuales de energía en el Nivel de Tensión 1, facturada con el cargo para circuitos aéreos, del OR j, durante el año que finaliza en la Fecha de Corte. | |
| Ventas anuales de energía en el Nivel de Tensión 1, facturada con el cargo para circuitos subterráneos, del OR j, durante el año que finaliza en la Fecha de Corte. | |
| Pérdidas No Técnicas No Reconocidas al OR j, en kWh-año, determinadas de acuerdo con el CAPÍTULO XII de este Anexo. | |
| Cargo Máximo por concepto de AOM para el Nivel de Tensión 1, para el OR j. | |
| Gastos anuales de Administración, Operación y Mantenimiento asignables al Nivel de Tensión 1, para el OR j, en el año k, tal como se definió en el CAPÍTULO II de este Anexo. | |
| Con este subíndice se identifican las variables que se calcularon con la metodología de la Resolución CREG 082 de 2002, las cuales se transcriben en el numeral 3.5 de este Anexo. | |
| Índice de Precios al Productor Total Nacional correspondiente al mes de diciembre de 2001. | |
| Índice de Precios al Productor Total Nacional correspondiente al mes de diciembre de 2007. |
3.4 COSTOS MEDIOS DEL OPERADOR DE RED.
Para efectos de la aplicación del Decreto 388 de 2007 se definen los siguientes costos medios por Nivel de Tensión:
- El Costo Medio del OR para el Nivel de Tensión 4 se calculará de la siguiente forma:

Donde:
| Costo medio del OR j para el Nivel de Tensión 4 para el mes m. | |
| Ingreso Mensual del mes m, para remunerar el uso de los activos del Nivel de Tensión 4 del OR j, perteneciente al STR R, tal como se define en el numeral 3.1.2 de este Anexo. | |
| Compensaciones del OR j, perteneciente al STR R, en el mes m-1, por incumplimiento de lo establecido en el CAPÍTULO XI, tal como se define esta variable en el numeral 11.1.8 de este Anexo. | |
| Número total de OR que conforman el STR R al que pertenece el OR j. | |
| Ingreso Esperado de cada convocatoria c ejecutada en el STR R, para el mes m. | |
| Número total de convocatorias ejecutadas en el STR R. | |
| Demanda total de los comercializadores que atienden usuarios conectados al sistema del OR j, perteneciente al STR R, durante el mes m-1. Esta energía estará referida a 220 kV y no considerará la demanda de usuarios conectados directamente al STN. Para referir las demandas a 220 kV se utilizarán los factores contenidos en el numeral 12.3 de este Anexo. |
- El costo medio del OR para el Nivel de Tensión 3 será igual al Cargo Máximo del Nivel de Tensión 3 para el OR j, CDj,3, tal como se define en el numeral 3.2.1 de este Anexo
- El costo medio del OR para el Nivel de Tensión 2 será igual al Cargo Máximo del Nivel de Tensión 2 para el OR j, CDj,2, tal como se define en el numeral 3.2.2 de este Anexo.
3.5 DESCRIPCIÓN DE VARIABLES UTILIZADAS.
En este numeral se transcriben los nombres de las variables citadas en este Capítulo, con el subíndice R82, y que hacen referencia a las calculadas para cada OR de acuerdo con la metodología establecida en la Resolución CREG 082 de 2002, cuyos valores se encuentran en la resolución particular mediante la cual se le aprobaron los costos anuales y los cargos a cada OR, tanto en la parte resolutiva como en la parte motiva de dichas resoluciones.
Los subíndices AE y DE significan “antes de aplicar criterios de eficiencia” y “después de aplicar criterios de eficiencia”, respectivamente, tal como aparecen en los considerandos de cada una de las resoluciones particulares:
| Costo anual equivalente de activos de uso correspondientes a unidades constructivas de líneas radiales, del OR j en el Nivel de Tensión 4 antes de aplicar criterios de eficiencia | |
| Costo anual equivalente de activos de uso correspondientes a unidades constructivas diferentes a líneas radiales, del OR j en el Nivel de Tensión 4 antes de aplicar criterios de eficiencia | |
| Costo Anual Equivalente Activos Eléctricos asociados con la conexión al STN del OR j | |
| Costo anual equivalente de activos de uso correspondientes a unidades constructivas de líneas radiales, del OR j en el Nivel de Tensión 4 después de aplicar criterios de eficiencia | |
| Costo anual equivalente de activos de uso correspondientes a unidades constructivas diferentes a líneas radiales, del OR j en el Nivel de Tensión 4 después de aplicar criterios de eficiencia | |
| Costo anual equivalente de los Activos de Uso en el Nivel de Tensión 3, para el Operador de Red j, antes de aplicar criterios de eficiencia | |
| Costo anual equivalente de los Activos de Uso en el Nivel de Tensión 3, para el Operador de Red j, después de aplicar criterios de eficiencia | |
| Costo Anual Equivalente de Activos de uso correspondientes a Unidades Constructivas de líneas urbanas, del Nivel de Tensión 2, reportadas por el OR j, antes de aplicar criterios de eficiencia | |
| Costo Anual Equivalente de Activos de uso correspondientes a Unidades Constructivas de líneas urbanas, del Nivel de Tensión 2, reportadas por el OR j, después de aplicar criterios de eficiencia | |
| Costo Anual Equivalente de Activos de uso correspondientes a Unidades Constructivas de líneas rurales, del Nivel de Tensión 2, reportadas por el OR j, antes de aplicar criterios de eficiencia | |
| Costo Anual Equivalente de Activos de uso correspondientes a Unidades Constructivas de líneas rurales, del Nivel de Tensión 2, reportadas por el OR j, después de aplicar criterios de eficiencia | |
| Costo Anual Equivalente de Activos de uso correspondientes a Unidades Constructivas diferentes a líneas rurales y urbanas, del Nivel de Tensión 2, reportadas por el OR j, antes de aplicar criterios de eficiencia | |
| Costo Anual Equivalente de Activos de uso correspondientes a Unidades Constructivas diferentes a líneas rurales y urbanas, del Nivel de Tensión 2, reportadas por el OR j, después de aplicar criterios de eficiencia |
Las siguientes variables corresponden a los Costos Anuales y Cargos Máximos aprobados por la CREG para el OR j, con la metodología de la Resolución CREG 082 de 2002, con los valores que estén vigentes al momento de la solicitud de cargos con esta nueva metodología. Estos valores se deben utilizar en pesos de diciembre de 2001.
| Costo Anual por uso de los activos del Nivel de Tensión 4, para el OR j | |
| Costo Anual de Conexiones al STN | |
| Cargo máximo para el Nivel de Tensión 3 | |
| Cargo máximo para el Nivel de Tensión 2 | |
| Cargo Máximo del Nivel de Tensión 1, por concepto de Inversión, para Redes Aéreas (CDAIj,1) | |
| Cargo Máximo del Nivel de Tensión 1, por concepto de Inversión, para Redes Subterráneas |
ACTUALIZACIÓN POR LA PUESTA EN SERVICIO DE NUEVOS ACTIVOS.
4.1 ACTIVOS DEL STR EJECUTADOS POR EL OR.
El Costo Anual por el uso de los activos del Nivel de Tensión 4 será revisado por la Comisión, cuando el OR cumpla con los siguientes requisitos, los cuales debe acreditar con su solicitud de actualización de cargos:
1. Presentación a la Unidad de Planeación Minero Energética -UPME- del proyecto con las alternativas estudiadas y sus respectivas evaluaciones económicas.
2. Aprobación de los proyectos del STR por la Unidad de Planeación Minero Energética -UPME- de acuerdo con los criterios de expansión del Sistema Interconectado Nacional adoptados por el Ministerio de Minas y Energía.
3. Para los proyectos de Conexión del OR al STN, suscripción del respectivo contrato de conexión con sujeción a la regulación vigente siempre y cuando el OR que se conecta al STN sea diferente del transportador responsable de la red de transmisión en el punto de conexión.
El Costo Anual por el uso de los activos del Nivel de Tensión 4 será revisado oficiosamente por la Comisión cuando se detecte que alguno de los activos reportados para su remuneración no continúa en servicio. Sin perjuicio de lo anterior, el agente tiene la obligación de informar a la Comisión sobre la ocurrencia de tal hecho.
4.2 ACTIVOS DEL STR EJECUTADOS MEDIANTE CONVOCATORIAS.
1. Cuando la UPME, dentro del Plan de Expansión del STN, haya identificado proyectos en ese sistema que requieren a su vez de la ejecución de otros proyectos en los STR, informará al OR que se conectaría a las nuevas subestaciones del STN sobre los proyectos de expansión requeridos en el STR y la fecha definida en el Plan para su puesta en operación.
El OR deberá manifestar por escrito a la UPME, dentro del término que ésta le señale, si desea desarrollar el respectivo proyecto de expansión, caso en el cual se obligará a ponerlo en operación en la fecha definida en el Plan. Si el OR no manifiesta su interés de desarrollar el proyecto de expansión del STR, este proyecto será ejecutado a través de mecanismos de libre concurrencia, en los cuales podrán participar los OR existentes y quienes se constituyan en Empresa de Servicios Públicos en caso de que les sea adjudicada la convocatoria.
En todo caso solo se podrá iniciar el mecanismo de convocatoria del STN, que requiere los proyectos del STR, cuando el OR que se conectaría al proyecto otorgue la garantía establecida en la Resolución CREG 022 de 2001, modificada por la Resolución CREG 093 de 2007 o aquella que la modifique o sustituya, en lo aplicable a proyectos de expansión originados en solicitudes de conexión de usuarios, cuyo valor podrá ser ajustado con el porcentaje del proyecto que corresponda a la necesidad del OR.
2. En caso de que el costo promedio ($/kWh) estimado de un proyecto del STR, el cual incluye la inversión y el AOM, sea inferior al Costo Medio para el Nivel de Tensión 4 del OR al que se conectaría dicho proyecto y, adicionalmente, no se haya iniciado su construcción en el término de un año contado a partir de su inclusión en el Plan de Expansión por parte de la UPME, el mismo será ejecutado a través de mecanismos de libre concurrencia en los cuales podrán participar los OR existentes y quienes se constituyan en Empresa de Servicios Públicos en caso de que les sea adjudicada la convocatoria. En todo caso solo se podrá iniciar el mecanismo cuando el OR que se conectaría el proyecto otorgue la garantía establecida en la regulación
Las normas, condiciones y garantías de las convocatorias serán aprobadas en resolución aparte donde se incluirá la forma en que se actualizarán los costos anuales de los OR que atiendan usuarios beneficiados por el proyecto y la metodología de remuneración de los costos a quien se le adjudique la ejecución del proyecto objeto de la convocatoria.
4.3 ACTIVOS CON COSTOS SUPERIORES A LOS COSTOS MEDIOS.
En cumplimiento del Decreto 388 de 2007, modificado por los Decretos 1111 y 3451 de 2008, los costos del Nivel de Tensión 4 y los cargos de los Niveles de Tensión 3 y 2 podrán ser revisados, cuando entren en operación proyectos cuyos costos promedio ($/kWh) resulten superiores a los respectivos Costos Medios del OR.
Con este propósito se definen los siguientes criterios a aplicar por la UPME:
a. Para los proyectos ejecutados con posterioridad a la vigencia de la presente resolución, se debe demostrar que son la mejor opción frente a otras alternativas de prestación del servicio.
b. La relación Beneficio / Costo debe ser superior o igual a 1. Cuando no se cumpla esta condición la UPME informará el porcentaje del costo del proyecto que hace que la relación Beneficio / Costo sea mayor o igual que uno, porcentaje que se aplicará a los activos reportados para su reconocimiento en los cargos.
Esta revisión la realizará la CREG, para lo cual el OR deberá reportar la siguiente información:
a. Proyecto con las alternativas estudiadas y las respectivas evaluaciones económicas.
b. Energía anual adicional que servirá el proyecto, la cual no podría servirse sin su entrada en operación
c. Demostración de que el proyecto fue sometido a una auditoría en la cual se verificó que el proyecto fue realizado de acuerdo con la alternativa seleccionada por la UPME y con el cumplimiento de las normas de construcción y seguridad vigentes.
a. Constancia de aprobación del proyecto por parte de la UPME
b. Certificación de entrada en operación comercial:
-- Para proyectos de Nivel de Tensión 4, expedida por el CND
-- Para proyectos de Nivel de Tensión 3 o 2, expedida por el Operador de Red al que se conectó.
c. Asimilación a UC de conformidad con el CAPÍTULO V de este Anexo.
d. Presentar un anexo con los costos finales desagregados de todas las inversiones y las actividades relacionadas con el proyecto.
e. Identificación de las UC operadas por el OR cuyo valor no debe incluirse en el cálculo de los cargos en los términos del artículo 87 numeral 87.9 de la Ley 142 de 1994, en la forma en que quedó modificado por el artículo 143 de la Ley 1151 de 2007.
El ajuste de los cargos se realizará de conformidad con lo establecido en la presente resolución.
En cumplimiento de lo dispuesto en el artículo 7o del Decreto 388 de 2007, los costos del Nivel de Tensión 4 y los cargos de los Niveles de Tensión 3 y 2 podrán ser revisados, una vez por año calendario, cuando un OR realice reposición de Unidades Constructivas asociadas con activos de distribución financiados a través de recursos públicos.
El OR deberá adjuntar la siguiente información:
a. Comunicación a la CREG solicitando la modificación del factor RPPj,i de que trata el CAPÍTULO II de este Anexo.
b. Listado de UC objeto de la reposición según el CAPÍTULO V de este Anexo.
c. Constancia de la entidad pública propietaria de los activos donde se certifique que fue el OR quien realizó dicha reposición.
Cuando, durante la vigencia del período tarifario, la Comisión apruebe modificar la remuneración de un STR según lo establecido en los numerales 4.1 y 4.2 de este Capítulo, los nuevos Costos Anuales serán considerados en la liquidación y recaudo de los cargos de los STR respectivos, a partir del mes siguiente al de la entrada en vigencia de la respectiva Resolución, siempre y cuando el proyecto haya entrado en operación comercial.
Las actualizaciones aprobadas de acuerdo con lo señalado en el numeral 4.3 de este Capítulo serán consideradas en la liquidación y recaudo de los cargos de los STR y SDL respectivos, a más tardar dentro de los tres meses inmediatamente siguientes a la entrada en operación comercial del activo correspondiente siempre y cuando la respectiva solicitud haya sido formulada con una antelación no menor de siete (7) meses a la fecha prevista para la entrada en operación del activo.
Las actualizaciones aprobadas de acuerdo con lo señalado en el numeral 4.4 de este Capítulo serán considerados en la liquidación y recaudo de los cargos de los STR y SDL respectivos, en el mes siguiente al de la entrada en vigencia de la correspondiente resolución. Para las actualizaciones se seguirá la metodología descrita en los numerales 3.1 y 6.1 de este Anexo.
La Comisión podrá efectuar las auditorías que considere pertinentes para verificar la información sobre los nuevos activos de que trata este Capítulo.
4.5 ACTIVOS DEL SISTEMA DE GESTIÓN DE LA DISTRIBUCIÓN.
<Numeral modificado por el artículo 5 de la Resolución 133 de 2008. El nuevo texto es el siguiente:> Una vez el OR disponga del Sistema de Gestión de la Distribución del que trata el Numeral 11.2.5.1 de este Anexo y de las UC requeridas para el monitoreo de los activos de los STR, por una única vez durante el período tarifario asociado a la vigencia de la presente resolución, el OR podrá solicitar a la CREG la actualización de los costos y los cargos aprobados.
UNIDADES CONSTRUCTIVAS.
En este capítulo se definen las Unidades Constructivas de los STR y de los SDL a utilizar en el cálculo de la remuneración de la actividad de distribución en los Niveles de Tensión 4, 3 y 2, así como las áreas típicas asociadas a las UC de subestaciones.
5.1 UC DE LOS STR Y SDL EN LOS NIVELES DE TENSIÓN 4, 3 Y 2.
Las UC establecidas por la Comisión contienen los equipos y accesorios necesarios para la prestación del servicio con los niveles de calidad exigidos por la CREG, cumpliendo con la normatividad vigente en materia de seguridad.
Para la clasificación de los activos en las UC se tendrá en cuenta lo siguiente:
-- Se considerarán como activos de conexión al STN las siguientes UC: la bahía de transformador con tensión mayor o igual a 220 kV, el transformador con una tensión primaria mayor o igual a 220 kV y secundaria cualquier tensión inferior a 220 kV y la bahía de transformador del lado de baja.
-- Pertenecen al Nivel de Tensión 4 todas las UC que sirven en forma exclusiva este nivel de tensión, tales como: bahías de líneas, líneas con tensiones de operación que pertenecen a este nivel de tensión, módulos comunes de subestación, los módulos de barraje, sistema de control de la subestación, módulos de compensación y las bahías de conexión correspondientes, bahías de maniobra, los transformadores con tensión primaria y secundaria en éste nivel de tensión y los Activos de Conexión al STN.
-- Para las líneas subterráneas de niveles de tensión 2 y 3 se definen UC de Conductor y UC de Canalización.
-- Para líneas subterráneas compartidas por los niveles de tensión 2 y 3 el OR debe reportar solamente la UC de canalización y por separado las respectivas UC de conductores de cada nivel de tensión.
-- Para líneas subterráneas de Nivel de Tensión 4 la UC incluye el conductor más las canalizaciones.
-- Para las UC de transformadores de potencia se define un componente de costo fijo de instalación y un componente de costo variable por MVA para cada tipo de transformador y nivel de tensión. El OR debe reportar para cada nivel de tensión el tipo de transformador con su capacidad asociada en MVA.
-- Se definen UC de equipos en los niveles de tensión 4, 3 y 2, que corresponden a elementos no incluidos en las UC de subestaciones o líneas del respectivo nivel de tensión y que el OR puede reportar en forma separada, en caso de contar con estos equipos en su sistema.
-- En el caso de líneas de los niveles de tensión 3 y 2 sobrepuestas, se reconocerá el 100% de la UC del nivel de tensión superior y el 60% de la UC del nivel de tensión inferior. En el caso de líneas sobrepuestas del mismo nivel de tensión se reconoce el 100% de la UC de mayores especificaciones y el 60% de la UC con menores especificaciones.
-- Las bahías de conexión de equipos de compensación se asimilan a las UC de bahía de línea para la respectiva configuración y nivel de tensión.
-- El Módulo Común es el conjunto de equipos y obras comunes que sirven a toda una subestación y está compuesto por servicios auxiliares, malla de puesta a tierra y obras civiles de la subestación no asociadas a una UC en particular.
-- Los elementos de protección de barras, sistemas de control y comunicaciones se reconocen como UC de equipos de manera separada del Módulo Común. El edificio de control se reconoce como una UC independiente denominada Casa de Control.
-- La UC de módulo común se define en función del número de bahías existentes en la Subestación. La cantidad de celdas no se considera para efectos de definir el tipo de módulo común de la subestación.
-- Se debe reportar solamente una UC de Módulo Común por subestación y debe corresponder al Nivel de Tensión más alto de la subestación.
-- En subestaciones de Nivel de Tensión 4 se definen 4 UC de Modulo Común: Módulo Común tipo 1 para S/E de 1 a 3 bahías, Módulo Común tipo 2 para S/E de 4 a 6 bahías, Módulo Común tipo 3 para S/E de 7 a 9 bahías y Módulo Común tipo 4 para S/E con más de 9 bahías.
-- En subestaciones de Nivel de Tensión 4 las UC de Módulo de Barraje se asocian con el número de bahías de este nivel de tensión existentes en la Subestación así: Módulo de Barraje Tipo 1 para S/E de 1 a 3 bahías; Módulo de Barraje Tipo 2 para S/E de 4 a 6 bahías; Módulo de Barraje Tipo 3 para S/E de 7 a 9 bahías y Módulo de Barraje Tipo 4 para S/E con más de 9 bahías.
-- En subestaciones de Nivel de Tensión 3 se definen 4 UC de Modulo Común: Módulo Común tipo 1 para S/E de 1 a 2 bahías, Módulo Común tipo 2 para S/E de 3 a 4 bahías, Módulo Común tipo 3 para S/E con más de 4 bahías y Módulo Común Tipo 4 para S/E con celdas en el lado de alta y que no tienen bahías.
-- En subestaciones de Nivel de Tensión 3 las UC de Módulo de Barraje se asocian al número de bahías de este nivel de tensión existentes en la Subestación así: Módulo de Barraje Tipo 1 para S/E de 1 a 2 bahías; Módulo de Barraje Tipo 2 para S/E de 3 a 4 bahías; Módulo de Barraje Tipo 3 para S/E con más de 4 bahías.
-- En subestaciones de Nivel de Tensión 2 las UC de Módulo de Barraje se asocian al número de bahías o módulos de este nivel de tensión existentes en la Subestación así: Módulo de Barraje Tipo 1 para S/E de 1 a 2 bahías; Módulo de Barraje Tipo 2 para S/E de 3 a 4 bahías; Módulo de Barraje Tipo 3 para S/E con más de 4 bahías.
-- El costo de la Casa de Control de la subestación se define en función del área resultante de la cantidad de bahías y celdas existentes en la Subestación más las áreas generales de acuerdo con las áreas reconocidas de la Tabla 16 y conforme a la siguiente expresión:
![]()
Donde:
| Costo del edificio de control de la subestación s con nivel de tensión n en el lado de alta, (n = 3 o 4). | |
| Área general de la subestación s con nivel de tensión n en el lado de alta, (n = 3 o 4) | |
| Área reconocida para cualquier bahía de transformador o de línea de nivel de tensión 3, 4 o conexión al STN o para cualquier transformador de potencia de la subestación. | |
| Número de bahías de transformador y de línea de los niveles de tensión 3, 4 y conexión al STN y transformadores de potencia existentes en la subestación s | |
| Área reconocida para cualquier celda de la subestación de nivel de tensión 3 o 4. | |
| Número de celdas en operación en la subestación s con nivel de tensión n en el lado de alta, (n = 3, 4 o 5 – Conexión al STN). Incluyendo la celdas de respaldo reconocidas. | |
| Costo por metro cuadrado del edificio de control de la subestación igual a 2.000.000 $/m2 ($ de diciembre de 2007) |
-- El OR deberá reportar el área obtenida de la aplicación de la anterior fórmula para cada subestación que cuente con casa de control.
-- Para las UC de líneas aéreas de Nivel de Tensión 4 se definen los siguientes tipos de conductores: Conductor D-N4-1, para conductores en aluminio menores o iguales al 336 MCM; Conductor D-N4-2, para conductores en aluminio mayores que el 336 MCM y menores o iguales que el 477 MCM; Conductor D-N4-3, para conductores en aluminio mayores que el 477 MCM y menores o iguales que el 605 MCM y Conductor D-N4-4 para conductores en aluminio mayores que el 605 MCM y menores o iguales que el 795 MCM.
-- Para las UC de líneas aéreas de Nivel de Tensión 3 se definen los siguientes tipos de conductores desnudos: Conductor D-N3-1, para conductores en aluminio menores o iguales al No. 2/0 AWG; Conductor D-N3-2, para conductores en aluminio mayores que el No. 2/0 AWG y menores o iguales que el 266 AWG y Conductor D-N3-3 para conductores en aluminio mayores que el 266 AWG.
-- Para las UC de líneas aéreas de Nivel de Tensión 3 se definen los siguientes tipos de conductores semiaislados: Conductor SA-N3-1, para conductores menores o iguales al No. 2/0 AWG y Conductor SA-N3-2, para conductores mayores que el No. 2/0 AWG.
-- Para las UC de líneas aéreas de Nivel de Tensión 2 se definen los siguientes tipos de conductores desnudos: Conductor D-N2-1, para conductores en aluminio menores o iguales al No. 2 AWG; Conductor D-N2-2 para conductores en aluminio mayores que el No. 2 AWG y menores o iguales que el 2/0 AWG, Conductor D-N2-3 para conductores en aluminio mayores que el No. 2/0 AWG; Conductor D-N2-4 para conductores en cobre menores o iguales al No. 2 AWG y Conductor D-N2-5 para conductores en cobre mayores al No. 2 AWG.
-- Para las UC de líneas aéreas de Nivel de Tensión 2 se definen los siguientes tipos de conductores semiaislados: Conductor SA-N2-1, para conductores menores o iguales al No. 2 AWG, Conductor SA-N2-2 para conductores mayores que el No. 2 AWG y menores o iguales que el 2/0 AWG y Conductor SA-N2-3 para conductores mayores que el No. 2/0 AWG.
-- Los conductores de redes subterráneas aislados a 44 kV deben reportarse como UC de conductor de 35 kV y se les reconocerá un ajuste del 17%. Para esto se debe reportar el nivel de aislamiento real
-- Para las UC de líneas aéreas urbanas de Nivel de Tensión 2 se definen dos tipos de vano, para la clasificación se debe considerar lo siguiente: los circuitos con vano promedio menor o igual a 45 metros se asimilan a UC de líneas de Nivel 2 con vano tipo 1, los circuitos con vano promedio mayor a 45 metros se asimilan a UC de líneas de Nivel 2 con vano tipo 2.
-- Para las UC de líneas aéreas rurales de Nivel de Tensión 2 se definen dos tipos de vano, para la clasificación se debe considerar lo siguiente: los circuitos con vano promedio menor o igual a 110 metros se asimilan a UC de líneas de Nivel 2 con vano tipo 1, los circuitos con vano promedio mayor a 110 metros se asimilan a UC de líneas de Nivel 2 con vano tipo 2.
-- El vano promedio corresponde a la longitud del circuito dividido por el número de estructuras de apoyo del respectivo circuito, cuando en un mismo nodo se tiene más de un apoyo solo se debe contabilizar uno para el cálculo del vano promedio.
-- El Costo Anual Equivalente de las UC correspondientes a Centros de Control, se distribuirá en igual proporción entre los Niveles de Tensión 4, 3 y 2.
-- Las bahías de transformación, distintas a las asociadas con los transformadores de conexión al STN, se asocian con el Nivel de Tensión del secundario del transformador.
-- El costo de los transformadores tridevanados y sus bahías asociadas, se repartirá de la siguiente manera en los Niveles de Tensión:
![]()

donde:
| Costo del transformador tridevanado y de sus bahías de transformación, asignable al Nivel de Tensión L (secundario). | |
| Costo del transformador tridevanado y de sus bahías de transformación, asignable al Nivel de Tensión T (terciario). | |
| Costo del transformador tridevanado | |
| Potencia nominal del devanado secundario (Nivel de Tensión L) | |
| Potencia nominal del devanado terciario | |
| Costo de la Bahía de Transformación del lado de alta tensión del transformador tridevanad |
-- En consideración a los estándares de calidad del servicio que debe cumplir el OR, se permite remunerar una celda de reserva existente por cada 6 celdas que estén en operación en las subestaciones donde se solicite el reconocimiento de dichos activos.
--
-- Cuando se encuentre que la asimilación de activos a UC efectuadas por los OR no se ajusta a los elementos y cantidades establecidas para la UC, porque los elementos existentes representan menos del 70% del valor de la UC asimilada, la Comisión podrá valorar de manera independiente estos elementos.
-- Cuando se requiera el reconocimiento de una UC especial, para su valoración se tendrá en cuenta la mejor información disponible en la CREG dentro de la cual se podrán considerar las facturas desagregadas que presente el OR.
5.2 LISTADO DE UC DE LOS STR Y SDL EN LOS NIVELES DE TENSIÓN 4, 3 Y 2.
En este listado se establecen los costos reconocidos y la vida útil para cada UC. Para las UC de transformadores y Equipos de Compensación se establecen los valores reconocidos, el costo de instalación y la vida útil.
Tabla 1 Unidades Constructivas Módulos de Transformador de Conexión al STN y Otros

Tabla 2 Unidades Constructivas de Equipos de Subestación de Nivel de Tensión 4

Tabla 3 Unidades Constructivas de Equipos de Subestación de Nivel de Tensión 3

Tabla 4 Unidades Constructivas de Equipos de Subestación de Nivel de Tensión 2

Tabla 5 Unidades Constructivas de Líneas de Nivel de Tensión 4

Tabla 6 Unidades Constructivas de Líneas de Nivel de Tensión 3

Tabla 7 Unidades Constructivas de Líneas de Nivel de Tensión 2

Tabla 8 Unidades Constructivas de Transformadores de Conexión al STN

Tabla 9 Unidades Constructivas de Transformadores de STR y SDL

Tabla 10 Unidades Constructivas de Equipos de Compensación
<Tabla aclarada por el artículo 6 de la Resolución 133 de 2008. El nuevo texto es el siguiente:>

El Texto original de la Tabla 10 de la Resolución 97 de 2008, es el siguiente:

Tabla 11 Unidades Constructivas de Centros de Control y Calidad

El tipo de Centro de Control se define de acuerdo con la siguiente clasificación:
| TIPO CC | NÚMERO DE SEÑALES |
| TIPO 1 | SEÑALES > 50000 |
| TIPO 2 | 15000 < SEÑALES <= 50000 |
| TIPO 3 | 5000 < SEÑALES <= 15000 |
| TIPO 4 | SEÑALES <= 5000 |
El OR deberá calcular el número de señales a partir de su inventario de activos, asignando a cada una de las UC relacionadas en la Tabla 17 con las que cuente el OR el número de señales por UC indicado.
Tabla 12 Unidades Constructivas de Equipos de Nivel de Tensión 4

Tabla 13 Unidades Constructivas de Equipos de Nivel de Tensión 3

Tabla 14 Unidades Constructivas de Equipos de Nivel de Tensión 2

Tabla 15 Áreas Típicas reconocidas para terrenos de las UC

Tabla 16 áreas reconocidas por componente para el edificio de control de las subestaciones

Tabla 17 Señales por Unidad Constructiva

5.3 LISTADO DE COSTOS RECONOCIDOS PARA LA VALORACIÓN DE ACTIVOS DE NIVEL DE TENSIÓN 1.
En este listado se establecen los costos reconocidos para la valoración de activos de Nivel de Tensión 1.
Tabla 18 Costo DDP de Conductores [$ Dic 2007]


Tabla 19 Costo DDP de Estructuras de Apoyo [$ Dic 2007]

Para postes con altura hasta de 9 m se utiliza el valor del poste de 8 m, para postes con altura hasta de 11 m, se utiliza el valor del poste de 10 m.
Los postes de la muestra con altura igual o mayor a 12 m no se valoran ya que se entiende que son compartidos y se reconocen en el nivel de tensión 2.
El costo de los postes corresponde al costo ponderado de estructuras de suspensión y retención.
Tabla 20 Costo DDP de Transformadores [$ Dic 2007]

Tabla 21 Costo instalado de Cajas para Redes Subterráneas [$ Dic 2007]

Tabla 22 Costo Instalado de Canalizaciones [$ Dic 2007]

Tabla 23 Costo de instalación conductores [$ Dic 2007]

Tabla 24 Accesorios y costos de instalación de postes [$ Dic 2007]

Tabla 25 Costos de instalación de transformadores [$ Dic 2007]

Los valores presentados en la tabla Tabla 25 incluyen el costo de los accesorios y el costo de instalación de los transformadores.
Tabla 26 Costo otros elementos [$ Dic 2007]

Las cajas de derivación de acometidas se reconocen únicamente en redes aéreas con conductor trenzado, se asocia una sola caja por transformador.
Tabla 27 Vida útil reconocida

La vida útil de redes se aplica a los conductores y apoyos con sus accesorios, La vida útil de transformadores se aplica a los transformadores con sus accesorios.
ACTUALIZACIÓN, LIQUIDACIÓN Y RECAUDO DE LOS CARGOS DE LOS STR Y DE LOS SDL.
6.1 ACTUALIZACIÓN, LIQUIDACIÓN Y RECAUDO DE LOS CARGOS DE STR. El Ingreso Mensual para remunerar los activos de Nivel de Tensión 4 de los OR, en un STR, será liquidado y actualizado por el Liquidador y Administrador de Cuentas (LAC), mediante la actualización y aplicación de los Cargos del Nivel de Tensión 4 de cada STR. Las liquidaciones para los comercializadores que atiendan usuarios en los STR se calcularán de acuerdo con la Demanda Comercial utilizando la siguiente expresión:

donde:
| LCi,j,R,m: | Liquidación por concepto de Cargos del Nivel de Tensión 4, en el STR R, por el consumo en el mes m, que facturará el OR j al comercializador i. |
| m: | Corresponde al mes calendario de prestación del servicio. |
| DCi,R,m: | Demanda del Comercializador i, en el STR R, durante el mes de consumo m, referida al STN utilizando los factores de pérdidas definidos en el CAPÍTULO XII de este Anexo, sin considerar la demanda de usuarios conectados directamente al STN. |
| CD4,R,m: | Cargo del Nivel de Tensión 4 ($/kWh), del STR R, en el mes m. Según lo establecido en el CAPÍTULO III de este Anexo. |
| IMj,R,m: | Ingreso Mensual del mes m, para remunerar el uso de los activos del Nivel de Tensión 4 del OR j, en el STR R, tal como se define en el numeral 3.1.2 de este Anexo. |
| TR: | Número total de OR que conforman el STR R. |
| IEj,c,R,m: | Ingreso Esperado para cada convocatoria c que ejecutó el OR j en el STR R, para el mes m. |
| NCRj: | Número de convocatorias ejecutadas por el OR j en el STR R. |
| IEc,R,m: | Ingreso Esperado de cada convocatoria c ejecutada en el STR R, para el mes m. |
| NCR: | Número total de convocatorias ejecutadas en el STR R. |
La liquidación por concepto de los Cargos del Nivel de Tensión 4 se realizará en el mes inmediatamente posterior al de consumo, en cada STR R, siguiendo el procedimiento establecido en la Resolución CREG 008 de 2003 o aquella que la modifique, adicione o sustituya.
El esquema de Liquidación y Administración de Cuentas para el STR, tal como se modifica en esta Resolución, consiste en la actualización de los cargos de los STR y en el cálculo de las liquidaciones de los valores que cada OR debe facturar a cada comercializador. La facturación y recaudo a los agentes comercializadores le corresponderá a los OR, utilizando la liquidación elaborada por el LAC.
6.2 ACTUALIZACIÓN DE LOS CARGOS MÁXIMOS DE SDL.
6.2.1 CARGOS MÁXIMOS DE NIVELES DE TENSIÓN 3 Y 2.
Los Cargos Máximos de los Niveles de Tensión 3 y 2, serán actualizados mensualmente por los OR de acuerdo con la siguiente expresión:
![]()
donde:
| n: | Nivel de Tensión 3 ó 2. |
| CDj,n,m: | Cargo Máximo del Nivel de Tensión n, del OR j, correspondiente al mes m. |
| CDj,n: | Cargo Máximo del Nivel de Tensión n, del OR j, aprobado de acuerdo con lo establecido en el numeral 3.2 |
| IPPm-1: | Índice de Precios al Productor Total Nacional correspondiente al mes m-1. |
| IPPo: | Índice de Precios al Productor Total Nacional correspondiente al mes de diciembre de 2007. |
<Inciso adicionado por el artículo 1 de la Resolución 178 de 2008. El nuevo texto es el siguiente> Cuando se efectúen exportaciones de energía eléctrica a través de los enlaces internacionales, mediante el mecanismo de las Transacciones Internacionales de Electricidad de Corto Plazo de que trata la Resolución CREG 004 de 2003 o aquella que la modifique o sustituya, el LAC liquidará los cargos por uso a que haya lugar por dicha exportación de energía para que estos sean facturados y recaudados por el ASIC. Recibido el dinero por parte del ASIC, el LAC distribuirá los valores correspondientes entre los OR según la liquidación que realice.
6.2.2 CARGOS MÁXIMOS DEL NIVEL DE TENSIÓN 1.
Los Cargos Máximos del Nivel de Tensión 1, se actualizarán mensualmente por los OR de acuerdo con las siguientes expresiones:
![]()
![]()
donde:
| CDIj,1,m: | Cargo Máximo del Nivel de Tensión 1, por concepto de Inversión, del OR j, en el mes m. |
| CDMj,1,m: | Cargo Máximo del Nivel de Tensión 1, por concepto de AOM, del OR j, en el mes m. |
| IPPm-1: | Índice de Precios al Productor Total Nacional correspondiente al mes m-1. |
| IPPo: | Índice de Precios al Productor Total Nacional correspondiente al mes de diciembre de 2007. |
6.3 ACTUALIZACIÓN DE LOS COSTOS ANUALES Y DE CARGOS MÁXIMOS.
El costo anual del Nivel de Tensión 4 y los cargos máximos de los niveles de Tensión 3 y 2 serán actualizados por la CREG, en los casos previstos en el Artículo 9 de esta Resolución, con los valores que resulten para las siguientes variables: NCAAEj,n, CATj,n (de ser necesario), CAANEj,n, CRIj,n, AOMj,n y Euj,n (para los Niveles de Tensión 3 y 2).
Con los anteriores resultados se obtendrán los nuevos valores de las variables CAj,4, CDIj,3, CDj,3, CDIj,2 y CDj,2.
Cuando la CREG oficialice mediante resolución particular los Ingresos Anuales Esperados que recibirán los adjudicatarios de proyectos ejecutados a través de convocatorias, el LAC actualizará el CAj,4 del respectivo OR.
Cuando en cumplimiento de lo establecido en el literal c) del Artículo 5 del Decreto 388 de 2007, modificado por el Decreto 3451 de 2008, se adelanten convocatorias públicas para adjudicar la construcción de proyectos en los Niveles de Tensión 3 y 2, el OR del área de influencia del proyecto podrá solicitar a la CREG la actualización de los cargos máximos aprobados.
6.4 ACTUALIZACIÓN DE LOS COSTOS ANUALES DE AOM.
Además de los cambios que apruebe la CREG a los Gastos Anuales de Operación y Mantenimiento reconocidos, éstos se modificarán anualmente, de acuerdo con lo establecido en el CAPÍTULO 10 de este Anexo, con base en la variación del porcentaje de AOM reconocido, PAOMRj,k.
Cuando este porcentaje modifique su valor se procederá de la siguiente forma, en la oportunidad indicada en el CAPÍTULO 10:
-- Con el nuevo porcentaje el LAC recalculará la variable CAj,4, definida en el numeral 3.1.1 de este Anexo, con la siguiente fórmula:
![]()
-- Con el nuevo porcentaje los OR recalcularán las variables CDj,n de los niveles 3 y 2 con la siguiente fórmula:
--

-- Los OR recalcularán la variable CDMj,1 para el Nivel de Tensión 1 con la siguiente fórmula:

En las anteriores ecuaciones se usan las siguientes variables:
| CA j,4: | Costo Anual por uso de los activos del Nivel de Tensión 4, aprobado por la CREG para el OR j, definido en el numeral 3.1.1 de este Anexo, en pesos de diciembre de 2007 |
| CRIj,n: | Costo de Reposición de Inversión del OR j, para el Nivel de Tensión n. Tal como se define en el numeral 2.1.4 de este Anexo para los Niveles de Tensión 4, 3 y 2. |
| PAOMRj,k: | Porcentaje que se reconoce al OR j, en el año k, para remunerar el gasto anual de administración, operación y mantenimiento. Este porcentaje es igual para todos los Niveles de Tensión y se calcula de acuerdo con lo establecido en el CAPÍTULO X de este Anexo. |
| CDj,n: | Cargo Máximo del Nivel de Tensión 3 o del Nivel de Tensión 2 para el OR j, en pesos de diciembre de 2007. |
| Euj,n: | Energía útil del Nivel de Tensión 3 o del Nivel de Tensión 2 del OR j, respectivamente. Es igual a la energía útil del Nivel de Tensión n del OR j, para los doce meses que finalizan en la Fecha de Corte, adicionada con la energía asociada a los proyectos objeto de actualizaciones de acuerdo con lo establecido en el Artículo 9 de la presente Resolución. |
| CDMj,1: | Cargo Máximo por concepto de AOM para el Nivel de Tensión 1, para el OR j, en pesos de diciembre de 2007. |
6.5 CARGOS POR USO POR NIVEL DE TENSIÓN.
Los Cargos por Uso se determinan de acuerdo con las siguientes expresiones:
<Numeral aclarado por el artículo 7 de la Resolución 133 de 2008. El nuevo texto es el siguiente:>
![]()
donde:
| Dtj,4,m: | Cargo por Uso del Nivel de Tensión 4 ($/kWh), del OR j que pertenece al STR R, para el mes m. |
| CD4,R,m: | Cargo del Nivel de Tensión 4 ($/kWh), del STR R, para el mes m. Establecido en el CAPÍTULO 3 del presente Anexo |
| PR4,j: | Factor para referir las medidas de energía del Nivel de Tensión 4 al STN, del OR j, según lo definido en el CAPÍTULO 12. |
<Numeral aclarado por el artículo 7 de la Resolución 133 de 2008. El nuevo texto es el siguiente:>
![]()
donde:
| Dtj,3,m: | Cargo por Uso del Nivel de Tensión 3 ($/kWh), del OR j, para el mes m. |
| CD4,R,m: | Cargo del Nivel de Tensión 4 ($/kWh), del STR R, para el mes m. Establecido en el CAPÍTULO 3 del presente Anexo. |
| CDj,3,m: | Cargo Máximo del Nivel de Tensión 3, correspondiente al mes m, del OR j. Establecido en el CAPÍTULO 3 del presente Anexo. |
| PR3,j: | Factor para referir las medidas de energía del Nivel de Tensión 3 al STN, en el sistema del OR j, según lo definido en el CAPÍTULO 12 del presente Anexo |
| Incentivo por Variación Trimestral de la Calidad para el OR j durante el mes m, aplicable al Cargo por Uso del nivel de tensión n, en $/kWh, de acuerdo con lo establecido en el numeral 11.2.4.1 del presente Anexo. |
<Numeral aclarado por el artículo 7 de la Resolución 133 de 2008. El nuevo texto es el siguiente:>
![]()
donde:
| Dtj,2,m: | Cargo por Uso del Nivel de Tensión 2 ($/kWh), del OR j, para el mes m. |
| CD4,R,m: | Cargo del Nivel de Tensión 4 ($/kWh), del STR R, para el mes m. Establecido en el CAPÍTULO 3 del presente Anexo. |
| CDj,2,m: | Cargo Máximo del Nivel de Tensión 2, correspondiente al mes m, del OR j. Establecido en el CAPÍTULO 3 del presente Anexo. |
| PR2,j: | Factor para referir las medidas de energía del Nivel de Tensión 2 al STN, en el sistema del OR j, según lo definido en el CAPÍTULO 12 del presente Anexo. |
| Incentivo por Variación Trimestral de la Calidad para el OR j durante el mes m, aplicable al Cargo por Uso del nivel de tensión n, en $/kWh, de acuerdo con lo establecido en el numeral 11.2.4.1 del presente Anexo. |
<Numeral aclarado por el artículo 7 de la Resolución 133 de 2008. El nuevo texto es el siguiente:>
![]()
| Dtj,1,m: | Cargo por Uso del Nivel de Tensión 1 ($/kWh), del OR j, para el mes m. |
| CD4,R,m: | Cargo del Nivel de Tensión 4 ($/kWh), del STR R, para el mes m. Establecido en el CAPÍTULO 3 del presente Anexo. |
| CDj,2,m: | Cargo Máximo del Nivel de Tensión 2, correspondiente al mes m, del OR j. Establecido en el CAPÍTULO 3 de este Anexo. |
| CDIj,1,m: | Cargo Máximo del Nivel de Tensión 1, por concepto de Inversión, del OR j en el mes m. |
| CDMj,1,m: | Cargo Máximo del Nivel de Tensión 1, por concepto de AOM, para redes del Nivel de Tensión 1, del OR j, en el mes m. |
| PR1,j: | Factor para referir las medidas de energía del Nivel de Tensión 1 al STN, en el sistema del OR j, según lo definido en el CAPÍTULO 12 del presente Anexo. |
| Pj,1: | Pérdidas reconocidas para el Nivel de Tensión 1, del OR j, según lo definido en el CAPÍTULO 12 de este Anexo. |
| Incentivo por Variación Trimestral de la Calidad para el OR j durante el mes m, aplicable al Cargo por Uso del nivel de tensión n, en $/kWh, de acuerdo con lo establecido en el numeral 11.2.4.1 del presente Anexo. |
6.6 RECAUDO DE CARGOS DEL NIVEL DE TENSIÓN 1.
En caso de que la totalidad o fracción de los Activos de Nivel de Tensión 1 sean de propiedad del usuario o de la copropiedad donde está el predio del usuario, el comercializador deberá descontar, del Cargo por Uso del Nivel de Tensión 1, el Cargo Máximo del Nivel de Tensión 1, por concepto de Inversión (CDIj,1,m), en la fracción que corresponda. Con este propósito:
-- El OR deberá reportar mensualmente al comercializador respectivo el listado de usuarios finales asociados a Activos de Nivel de Tensión 1 que sean de propiedad de los usuarios. El comercializador deberá hacer el respectivo descuento a partir del mes siguiente al de la fecha de recepción de dicha información por parte del OR.
-- Cuando la propiedad de los Activos de Nivel de Tensión 1 sea compartida con el OR, de tal forma que el usuario sea propietario del transformador o de la red secundaria, el comercializador liquidará el 50% del respectivo cargo Máximo.
-- Cuando se requiera la reposición de activos del Nivel de Tensión 1, que son de propiedad del usuario, éste podrá reponerlos y continuará pagando los cargos del Nivel de Tensión 1 con el descuento que corresponda. El usuario en un plazo no superior a 2 días hábiles a partir de la salida del servicio de los activos de su propiedad deberá informar al OR si decide o no reponerlos; si el usuario no se pronuncia o decide no reponerlos informará al OR y éste efectuará la reposición en plazo de 72 horas a partir del momento en que recibe el aviso del usuario o del cumplimento de los dos días hábiles mencionados. A partir del momento de la reposición por parte del OR el usuario dejará de percibir el descuento mencionado. Exclusivamente para los efectos de esta disposición, se entiende por reposición el cambio de la totalidad de las redes de Nivel de Tensión 1 o el cambio de la totalidad del transformador.
-- En cualquier caso, los cargos que remuneran gastos de administración, operación y mantenimiento serán cubiertos por los usuarios y en tal virtud, el OR será el responsable de dichas actividades sobre la totalidad de activos del Nivel de Tensión 1, al margen de quién sea su propietario, para lo cual deberá ejecutar las actividades relacionadas con el mantenimiento en este nivel, como mínimo con una periodicidad anual.
6.7 LIQUIDACIÓN Y RECAUDO DE LOS COSTOS DE TRANSPORTE DE ENERGÍA REACTIVA EN EXCESO.
Los costos del transporte de la energía reactiva en exceso de que trata el Artículo 15 de la presente Resolución serán recaudados por el comercializador con base en los cargos máximos de cada OR y entregados al OR que sirve al Usuario del SDL respectivo.
En el caso de los STR, los costos del transporte de la energía reactiva en exceso serán recaudados por el comercializador y entregados directamente al OR aplicando el Cargo por Uso del Nivel de Tensión 4.
VERIFICACIÓN DE LA INFORMACIÓN ENTREGADA.
La Comisión adelantará una verificación de la calidad de la información reportada por los OR, de conformidad con la siguiente metodología.
A partir de la información reportada por cada OR de que trata el Artículo 3 de la presente resolución y en general la que soporta la solicitud de cargos, la CREG determinará una muestra de activos a auditar para cada OR. El tamaño de la muestra deberá garantizar globalmente una confiabilidad del 95% y un error relativo de muestreo menor del 5%. La muestra será estratificada por tipos de activos según los siguientes grupos: subestaciones, líneas, centros de control, equipos y redes del Nivel de Tensión 1.
En el desarrollo del trabajo de campo, se verificará la veracidad de la información reportada a la CREG por el OR.
Se considerará que la información reportada es verídica y, por lo tanto, se acepta la misma, cuando los activos seleccionados para el trabajo de campo, no presenten ninguna inconsistencia, considerando la información reportada a la Comisión.
Se entiende que la información es inconsistente cuando: i) la georreferenciación no permite establecer la existencia del activo, ii) un activo no corresponde con la Unidad Constructiva reportada, iii) la cantidad de Unidades Constructivas reportada no coincide con la verificación en campo, iv) la suma de las distancias de los tramos verificados de una red de Nivel de Tensión 1 difieran en más de un 10% con la suma de las distancias reportadas, v) la capacidad del transformador de Nivel de Tensión 1 no corresponde con la reportada, vi) el número de apoyos de una red de Nivel de Tensión 1 difiera en más de un 5% del número de apoyos reportados, vii) cuando el OR haya entregado información de menos del 95% de los transformadores del Nivel de Tensión 1 solicitados por la CREG al OR.
En caso de presentarse alguna inconsistencia el OR deberá explicar y soportar adecuadamente las razones por las cuales la información no coincide exactamente con la auditada. Estas aclaraciones deberán ser presentadas a la Comisión por el OR dentro de los cinco (5) días siguientes a la fecha en que sea informado de tal situación por parte de la CREG.
Se debe calcular el efecto de todos los errores no explicados por el OR, obteniendo los siguientes valores:
a) Diferencia entre los costos de las UC reportadas donde se hayan presentado inconsistencias y el costo de las UC correctas, dividido entre este último valor;
b) Diferencia entre el CRIj,1 reportado y el resultante de la revisión, conforme a lo establecido en el numeral 2.2.1 del presente Anexo, dividido entre este último valor.
Cuando la suma de los errores no explicados por el OR, resultantes de los calculados en el literal a) del presente Capítulo sea igual o superior al 5%, se rechazará la información de UC reportada, sin perjuicio de que la CREG en ejercicio de la facultad de decretar pruebas allegue a la actuación otros elementos de convicción que le permitan reconsiderar o ratificar tal conclusión.
Cuando el error no explicado por el OR, resultante del calculado en el literal b) del presente Capítulo sea igual o superior al 5%, se rechazará la información de las redes de Nivel de Tensión 1 reportada, sin perjuicio de que la CREG en ejercicio de la facultad de decretar pruebas allegue a la actuación otros elementos de convicción que le permitan reconsiderar o ratificar tal conclusión.
Cuando a un OR le sea rechazado algún tipo de información, la Comisión fijará el Costo Anual para el Nivel de Tensión 4 con la información disponible y aprobará los Cargos Máximos con un valor equivalente al 90% del cargo más bajo aprobado a los OR según la presente metodología, sin perjuicio de las sanciones y demás medidas a que haya lugar.
RESUMEN DE INFORMACIÓN PARA PUBLICACIÓN POR PARTE DE LOS OR.
<Inciso modificado por el artículo 8 de la Resolución 133 de 2008. El nuevo texto es el siguiente:> Para efectos de la aplicación de las disposiciones contenidas en el parágrafo 2o del artículo 19 de la presente resolución, los Operadores de Red deberán presentar con su solicitud la siguiente información:
1. Costo Anual Equivalente de los Niveles de Tensión 4, 3 y 2 (millones de pesos de diciembre de 2007), presentados a la Comisión en la solicitud de aprobación de que trata el Artículo 4 de la presente Resolución,
2. Cargos Máximos para los Niveles de Tensión 3 y 2 que se presentan a la Comisión dentro del proceso de aprobación de que trata el Artículo 4 de la presente Resolución,
3. Listado de los municipios atendidos por el STR o SDL del OR, indicando para cada uno de ellos:
-- Longitud total de líneas en cada Nivel de Tensión (km), que se clasifican como UC urbanas. Este valor deberá dividirse en la longitud de redes propiedad del OR y la longitud propiedad de terceros.
-- Longitud total de líneas en cada Nivel de Tensión (km), que se clasifican como UC rurales. Este valor deberá dividirse en la longitud de redes propiedad del OR y la longitud propiedad de terceros.
-- Número total de transformadores de distribución ubicados en la zona urbana (Grupos 1, 2 y 3 de calidad), por tamaño (kVA). Este valor deberá dividirse entre el número de transformadores propiedad del OR y el número de transformadores propiedad de terceros.
-- Número total de transformadores de distribución ubicados en la zona rural (Grupo 4 de calidad), por tamaño (kVA). Este valor deberá dividirse entre el número de transformadores propiedad del OR y el número de transformadores propiedad de terceros.
-- Para cada uno de los activos presentados deberá indicarse el valor del la variable RPP, como está definida en el numeral 2.1.1, especificando la entidad de donde provienen los recursos.
REPORTES DE FLUJOS DE ENERGÍA Y CALCULO DE ENERGÍA ÚTIL.
9.1 REPORTES DE FLUJOS DE ENERGÍA.
Antes del último día hábil de abril de cada año los OR deberán enviar a la Comisión, siguiendo los formatos y procedimientos que ésta defina para tal efecto, los flujos de energía (kWh) de su sistema correspondientes al año calendario inmediatamente anterior.
Para efectos del cálculo de los costos y cargos de que trata la presente resolución, se utilizará la información suministrada por los OR de los flujos de energía, correspondientes a los doce meses que finalizan en la Fecha de Corte o la que se encuentre disponible en la CREG.
La información a reportar para cada uno de los Niveles de Tensión es la siguiente:
-- Flujo de energía desde los puntos de conexión del OR al STN a cada nivel de tensión, identificando las fronteras con su respectivo código SIC.
-- Flujo de energía desde un nivel de tensión determinado hacia el STN, identificando las fronteras con su respectivo código SIC.
-- Flujo de energía inyectado por generadores, incluidas plantas menores, cogeneradores o autogeneradores conectados directamente al sistema del OR. El OR deberá informar la energía inyectada a cada una de las fronteras identificadas con su respectivo código del SIC y nivel de tensión, al igual que el nombre de la respectiva planta de generación, independientemente que sea despachada centralmente o no.
-- Flujo neto de energía desde el sistema de otro OR, en cada una de las fronteras, identificadas con su respectivo código del SIC y nivel de tensión, al igual que el nombre del OR al que se conecta.
-- Flujo de energía entre los Niveles de Tensión de un mismo OR, informando el nivel de tensión de salida, el de entrada y la cantidad de energía.
-- Flujo de energía asociado con las ventas de energía a la totalidad de usuarios finales del servicio conectados al sistema del OR. En el caso de las fronteras comerciales, registradas en el SIC, que pertenezcan a un único usuario, el OR deberá informar la energía asociada a cada una de ellas, identificándolas con su respectivo código SIC.
La información relacionada con fronteras comerciales, suministrada por el OR, será comparada con la información de las fronteras comerciales reportada por XM y de encontrarse datos inconsistentes, prevalecerá esta última hasta cuando sean debidamente justificadas las diferencias.
La información relacionada con ventas a usuarios finales, suministrada por el OR, será comparada con la reportada al SUI y de encontrarse inconsistencias, prevalecerá esta última hasta cuando sean debidamente modificadas en el SUI.
9.2 CÁLCULO DE BALANCES POR OR Y ENERGÍAS ÚTILES.
A partir de la información reportada a la Comisión, en cumplimiento de lo dispuesto en el numeral anterior, se determinará el balance de energía del sistema del OR j, considerando las pérdidas por Nivel de Tensión de acuerdo con lo establecido en el CAPÍTULO XII.
La energía de entrada es la suma de la energía inyectada a un determinado Nivel de Tensión del sistema de un OR, proveniente del STN, de generadores, de otros OR y de otros Niveles de Tensión del mismo OR.
La energía de salida es la suma de la energía entregada a los comercializadores, la trasladada a otros ORs, al STN y la energía entregada a otro Nivel de Tensión del mismo OR.
El procedimiento para obtener el balance de energía del sistema del OR j será:
-- Encontrar el balance del Nivel de Tensión 4 a partir de la energía de entrada, las pérdidas de este nivel y la energía de salida sin considerar la energía entregada a otros Niveles de Tensión del mismo OR.
-- Cuando la energía entregada a Niveles de Tensión inferiores, reportada por el OR no concuerde con la calculada, para efectos de obtener el balance de los Niveles de Tensión inferiores, se tendrán en cuenta los valores calculados.
-- Encontrar el balance del Nivel de Tensión 3 a partir de la energía de entrada, ajustada con los posibles cambios resultantes del balance del nivel superior, las pérdidas del Nivel de Tensión 3 y la energía de salida, sin considerar la energía entregada a otros Niveles de Tensión del mismo OR.
-- Encontrar el balance del Nivel de Tensión 2 a partir de la energía de entrada, ajustada con los posibles cambios resultantes del balance de los niveles superiores, las pérdidas del Nivel de Tensión 2 y la energía de salida sin considerar la energía entregada al Nivel de Tensión 1 del mismo OR.
Considerando la energía de entrada a un Nivel de Tensión, producto de los balances efectuados anteriormente, y el índice de pérdidas del mismo nivel, se determinan las energías útiles de los Niveles de Tensión 4, 3, 2 y 1 de acuerdo con la siguiente expresión:
![]()
donde:
| Euj,n: | Energía Útil del Nivel de Tensión n, del OR j. |
| EEj,n: | Energía de entrada al Nivel de Tensión n, del OR j, durante un año calendario, descontada la energía de salida al STN. |
| Pj,n: | Porcentaje de pérdidas reconocido para el Nivel de Tensión n, del OR j. Este valor se presenta en el CAPÍTULO XII. |
9.3 FLUJOS DE ENERGÍA PARA EL OR RECIENTEMENTE VINCULADO AL SIN. <Numeral derogado por el artículo 29 de la Resolución 101-3 de 2023>
GASTOS DE ADMINISTRACIÓN, OPERACIÓN Y MANTENIMIENTO.
En este Capítulo se establece la metodología para definir el porcentaje de gastos de AOM a reconocer a cada OR durante cada uno de los años del periodo regulatorio. Para lo anterior, se excluirán de los Costos y Gastos AOM los valores de las cuentas que correspondan con los siguientes conceptos, sin limitarse a ellos.
-- Asociados con otras actividades de la cadena de prestación del servicio.
-- Asociados con los servicios prestados a otros OR.
-- Asociados a activos de conexión de otro OR o a activos de conexión de usuarios.
-- Asociados con servicios prestados a terceros.
-- Asociados con la remuneración de la inversión de activos de terceros.
-- Asociados con la reposición de activos.
10.1 VALOR DE AOM DE REFERENCIA.
Para el cálculo del valor anual de AOM de referencia se obtendrá un valor del AOM remunerado, AOMRj,04-07 y un valor del AOM gastado, AOMGj,04-07, para cada Operador de Red j. Dichos valores se calcularán como se muestra a continuación:
Para calcular el valor de AOM remunerado, AOMRj,04-07, a cada OR se obtiene:
a. El último valor anual del AOM reconocido en la aprobación de Costos Anuales de Conexión al STN y de Nivel de Tensión 4 o de las respectivas actualizaciones, expresado en pesos de diciembre de 2007.
b. El valor anual del AOM reconocido en la aprobación de cargos de la empresa, para los niveles de tensión 3 y 2, tomados de los documentos que acompañaron las resoluciones particulares mediante las cuales se aprobaron dichos cargos.
c. El valor anual del AOM reconocido en el Nivel de Tensión 1 el cual es la suma de i) el cargo máximo del Nivel de Tensión 1, por concepto de gastos de AOM para redes aéreas, multiplicado por las ventas de energía del OR en el Nivel de Tensión 1 en el año 2004 en ese mismo tipo de redes y ii) el cargo máximo del Nivel de Tensión 1, por concepto de gastos de AOM para redes subterráneas, multiplicado por las ventas de energía del OR en el Nivel de Tensión 1 en el año 2004 en redes subterráneas.
d. Un cargo estimado de AOM para los Niveles de Tensión 3, 2 y 1, para el año 2004 como la relación entre i) la sumatoria del valor anual del AOM de los literales b y c y ii) las ventas de energía del año 2004.
e. Un valor de AOM remunerado para los Niveles de Tensión 3, 2 y 1, para cada uno de los años, obtenido como el cargo de AOM del año 2004 multiplicado por las ventas de energía del respectivo año, dicho AOM remunerado se expresa en pesos de diciembre de 2007.
f. Con los valores anuales del literal e) se obtiene un valor promedio de AOM remunerado los Niveles de Tensión 3, 2 y 1 como la relación entre i) la sumatoria del AOM remunerado en cada año, y ii) el número de años del periodo considerado (4). El valor del AOM remunerado corresponderá a este promedio adicionado con el valor del literal a) y expresado en pesos de diciembre de 2007.
Para obtener el valor de AOM gastado, AOMGj,04-07, los OR utilizarán la información del Plan Único de Cuentas reportada al SUI correspondiente a los gastos o movimientos que estén directamente relacionados con la actividad de administrar, operar y mantener los activos remunerados mediante cargos por uso asociados a la actividad de distribución. Deberán excluir además de lo mencionado en el inicio de este capítulo, los impuestos de renta, lo relacionado con pensiones de jubilación ya reconocidas y toda clase de erogaciones asociadas con los costos de la inversión en infraestructura, tales como depreciaciones y arrendamiento de infraestructura de transporte de energía eléctrica, entre otras, y en general todos los relacionados con actividades diferentes a la de la prestación del servicio de distribución de energía eléctrica.
Los OR incluirán en su solicitud de costos y cargos la identificación de las cuentas utilizadas, el valor total de la cuenta en pesos, el valor asociado a la actividad de distribución en pesos, el porcentaje que representa este valor del total de la cuenta y su justificación. En todo caso la CREG podrá pronunciarse sobre la inclusión de las cuentas en el cálculo del AOM.
Para lo anterior los OR utilizarán como referencia el listado de cuentas de la Circular 085 de 2008, incluyendo la cuenta 753004, Costos de Conexión, en la parte que corresponde a gastos AOM de activos de conexión al STN remunerados vía cargos por uso y las cuentas 511163, Contratos de Aprendizaje, 512024, Gravámenes a los movimientos financieros, 512025, Impuesto de Timbre y 752090, Otras Amortizaciones, en la parte que corresponde a AOM de la actividad de Distribución.
Con base en dicha información se obtiene un valor anual del AOM gastado como la relación entre i) la suma de los valores de las cuentas consideradas como AOM de cada año del periodo 2004-2007 expresados en pesos de diciembre de 2007 y ii) el número de años del periodo considerado (4).
De acuerdo con lo establecido en el parágrafo del Artículo 3 se determina el siguiente procedimiento específico para la obtención del AOM gastado de las empresas resultantes de fusiones o desintegraciones:
i. En el caso de fusiones de empresas se utilizará la información de AOM reportada por las empresas que dieron lugar a la fusión, es decir se sumará el AOM anual o por fracción de año reportado por cada una de estas empresas durante el periodo considerado. Si dentro de las solicitudes de costos y cargos de los OR no se puede obtener la información necesaria para este fin, se utilizará la disponible en la CREG entregada por los OR en respuesta a las Circulares 01, 04 y 016 de 2007 y a las comunicaciones particulares enviadas a cada empresa.
ii. En el caso de desintegración de empresas se sumará el valor de AOM reportado por la empresa que dio lugar a la desintegración durante el periodo considerado, con los valores de AOM reportados por las nuevas empresas a partir de la desintegración durante el año o fracción del año del periodo considerado. Dicho valor se divide entre el número de años del periodo considerado (4) y se obtiene el valor anual del AOM gastado para el OR j antes de la desintegración, AOMGj,AD,04-07, expresado en pesos de diciembre de 2007.
Si los OR desintegrados no obtienen la información necesaria, la CREG calculará el AOMGj,AD,04-07 con la mejor información disponible.
El valor anual de AOM gastado para el OR j antes de la desintegración, AOMGj,AD,04-07, se repartirá entre las empresas desintegradas, con base en la participación de la suma de los Costos Anuales Equivalentes de los activos de uso de los Niveles de Tensión 4, 3 y 2, antes de aplicar criterios de eficiencia, en el total de estos Costos para todas las empresas. Estos costos corresponden a los aprobados en las resoluciones particulares que dieron lugar a dicha desintegración.
![]()
![]()
![]()
![]()
Donde:
| AOMGj,AD,04-07: | AOM gastado para el OR j antes de la desintegración, durante elperiodo 2004 – 2007. |
| FPAj: | Factor de participación del OR j en el total del Costo AnualEquivalente de los niveles de tensión 4, 3 y 2 de las empresasque quedaron después de la desintegración. |
| CAAEj,4,R82,AE: | Costo anual equivalente de los activos de uso en el Nivel deTensión 4, para el Operador de Red j, antes de aplicar criteriosde eficiencia (CAAEj,4) |
| CAACj,R82: | Costo Anual Equivalente Activos Eléctricos asociados con laconexión al STN del OR j (CAACj). Este valor es igual antes ydespués de aplicar los criterios de eficiencia. |
| CAAEj,3,R82,AE: | Costo anual equivalente de los Activos de Uso en el Nivel deTensión 3, para el Operador de Red j, antes de aplicar criteriosde eficiencia (CAAEj,3) |
| CAAEj,2,R82,AE: | Costo anual equivalente de los Activos de Uso en el Nivel deTensión 2, para el Operador de Red j, antes de aplicar criteriosde eficiencia (CAAEj,2) |
| CALRj,4,R82,AE: | Costo anual equivalente de activos de uso correspondientesunidades constructivas de líneas radiales, del OR j en el Nivel deTensión 4 antes de aplicar criterios de eficiencia (CALRj,4) |
| CALNRj,4,R82,AE: | Costo anual equivalente de activos de uso correspondientes aunidades constructivas diferentes a líneas radiales, del OR j enel Nivel de Tensión 4 antes de aplicar criterios de eficiencia(CALNRj,4) |
| CAUj,2,R82,AE: | Costo Anual Equivalente de Activos de uso correspondientes aUnidades Constructivas de líneas urbanas, del Nivel de Tensión2, reportadas por el OR j, antes de aplicar criterios de eficiencia(CAUj,2). |
| CARj,2,R82,AE: | Costo Anual Equivalente de Activos de uso correspondientes aUnidades Constructivas de líneas rurales, del Nivel de Tensión2, reportadas por el OR j, antes de aplicar criterios de eficiencia(CARj,2). |
| CAOj,2,R82,AE: | Costo Anual Equivalente de Activos de uso correspondientes aUnidades Constructivas diferentes a líneas rurales y urbanas,del Nivel de Tensión 2, reportadas por el OR j, antes de aplicarcriterios de eficiencia (CAOj,2). |
| z: | OR resultantes de la desintegración. |
| NORD: | Número de OR resultantes de la desintegración. |
10.1.3 VALOR DE AOM DE REFERENCIA.
El gasto anual del AOM de referencia, AOMj,ref, se obtendrá para cada OR j como la semisuma entre i) el valor promedio del AOM gastado por cada OR j durante el periodo 2004 - 2007, y ii) el valor anual del AOM reconocido a cada OR j:
![]()
| AOMRj,04-07: | Valor calculado como se presenta en el numeral 10.1.1, expresado en pesos de diciembre de 2007. |
| AOMGj,04-07: | Valor calculado como se presenta en el numeral 10.1.2, expresado en pesos de diciembre de 2007. |
10.2 PORCENTAJE DE AOM GASTADO Y REMUNERADO (2004-2007).
A partir de los valores de AOMGj,04-07, AOMRj,04-07 y AOMj,ref se determinarán los respectivos porcentajes de AOM, como la relación entre i) el valor de AOM y ii) el Costo de Reposición de la Inversión del OR j, remunerada vía cargos por uso.
![]()
![]()
![]()
| PAOMGj,04-07: | Porcentaje de AOM gastado por el OR j, en el periodo 2004-2007. |
| PAOMRj,04-07: | Porcentaje de AOM remunerado al OR j, en el periodo 2004-2007. |
| PAOMj,ref: | Porcentaje de AOM de referencia para el OR j. |
| AOMGj,04-07: | AOM gastado por el OR j, en el periodo 2004-2007. |
| AOMRj,04-07: | AOM remunerado al OR j, en el periodo 2004-2007. |
| AOMj,ref: | AOM de referencia para el OR j. |
| n : | Nivel de Tensión |
| CRIj,n: | Costo de Reposición de la Inversión reconocida al OR j, para el nivel de tensión n, de acuerdo con lo definido en el CAPÍTULO II de este Anexo. |
Los valores de los tres porcentajes de AOM calculados en este numeral son iguales para todos los niveles de tensión y quedarán fijos, tal como se establezcan en cada resolución particular.
10.3 GASTOS AOM A RECONOCER. <Ver Notas de Vigencia>
Para los años 2008 y 2009 se establecerá el porcentaje de AOM a reconocer al OR j, PAOMRj,k igual para todos los niveles de tensión, igual al porcentaje de AOM de referencia para el OR j, PAOMj,ref.
![]()
A partir del año 2010 el porcentaje de AOM a reconocer al OR j, PAOMRj,k, se determinará con base en la información anual de los gastos AOM presentados por dicho OR y el comportamiento en los indicadores de calidad de su sistema. Para lo anterior se deberá tener en cuenta lo siguiente:
-- Se establece un límite superior para cada OR j como su PAOMj,ref incrementado en un 0,7%.
-- Se establece un límite inferior igual para todos los OR del 1% del CRIj,n.
-- En ningún caso el porcentaje de AOM a reconocer al OR j, en el año k, PAOMRj,k, será mayor ni menor a los límites superior e inferior establecidos en este numeral.
-- El porcentaje de AOM a reconocer al OR j, en el año k, PAOMRj,k, se aplicará a partir del mes de mayo del año k.
-- Cada año los OR deberán enviar a la CREG la información extractada del Plan Único de Cuentas -PUC-, a 31 de diciembre del año inmediatamente anterior con la cual se determinará el AOM Demostrado por el OR j, en el año k-1, AOMDj,k-1.
Las empresas deberán contratar auditorias, cuyos requisitos se establecerán por la CREG en Resolución aparte así como el detalle de la información a entregar, junto con los plazos y los formatos de dicha información.. Igualmente, se incluirá en dicha resolución el mecanismo que deberá emplear el OR para hacer público el PAOMRj,k.
-- Teniendo en cuenta que la Ley contempla que la metodología para la remuneración de la actividad de distribución debe permitir que se compartan las mejoras de eficiencia entre la empresa y el usuario, se entiende que si una empresa no entrega la información que permita conocer las respectivas mejoras en AOM, la CREG asumirá que éstas son superiores a una disminución en un 0,5% en el porcentaje del AOM reconocido.
Por lo anterior, cada año que una empresa no entregue la información de AOM solicitada, el porcentaje de AOM reconocido y el límite superior establecido se disminuirán en 0,5%. La información suministrada por las empresas que no corresponda con la solicitada o aquella que no obtenga el visto bueno de la Auditoría contratada para revisar esta información, se considerará como no entregada.
-- A partir del AOMDj,k-1 se determinará el porcentaje de AOM demostrado en el año k-1, PAOMDj,k-1, como la relación entre i) el AOMDj,k-1 y ii) el Costo de Reposición de la Inversión del OR j, remunerada vía cargos por uso.

Donde:
| PAOMDj,k-1: | Porcentaje de AOM demostrado por el OR j, en el año k-1. |
| AOMDj,k-1: | Gastos anuales de Administración, Operación y Mantenimiento demostrados por el OR j, en el año k-1. |
| n : | Nivel de Tensión |
| CRIj,n: | Costo de Reposición de la inversión reconocida al OR j, para el nivel de tensión n, de acuerdo con lo definido en el CAPÍTULO II del presente anexo. |
| IPPk-1: | Índice de Precios al Productor Total Nacional correspondiente al mes de diciembre del año k-1. |
| IPPo: | Índice de Precios al Productor Total Nacional correspondiente al mes de diciembre de 2007. |
-- Cuando se presenten fusiones o desintegraciones de empresas, se empleará el siguiente procedimiento para la obtención del AOM Demostrado por el OR j, en el año k-1, AOMDj,k-1:
i. En el caso de fusiones de empresas se utilizará la información de AOM de las empresas que dieron lugar a la fusión, es decir se sumará el AOM Demostrado por cada una de estas empresas en la fracción del año k-1 antes de la fusión y el AOM Demostrado por la empresa resultante de la fusión en lo restante del año k-1.
ii. En el caso de desintegración de empresas se sumará el valor de AOM Demostrado por la empresa que dio lugar a la desintegración durante la fracción del año k-1, con los valores de AOM Demostrados por las nuevas empresas desintegradas en lo restante del año k-1, dicho valor será considerado como el AOM Demostrado por el OR j antes de la desintegración, en el año k-1, AOMDj,AD,k-1.
El AOM Demostrado por el OR j antes de la desintegración, en el año k-1, AOMDj,AD,k-1, se repartirá entre las empresas desintegradas, con base en su porcentaje de participación en la suma del Costo de Reposición de la Inversión reconocida, de acuerdo con las resoluciones particulares que dieron lugar a dicha desintegración.
-- Cuando se presenten fusiones o desintegraciones de empresas y mientras se hace la revisión anual establecida en este capítulo del porcentaje de AOM, se continuará aplicando el mismo PAOMRj,k a todas las empresas que hacen parte de la fusión o desintegración.
10.3.1 PORCENTAJE DE AOM A RECONOCER EN EL AÑO K, PAOMRJ,K.
A partir del año 2010, el LAC para el Nivel de Tensión 4 y los OR para los demás niveles deberán actualizar cada año el porcentaje de AOM a Reconocer en el año k, PAOMRj,k igual para todos los niveles de tensión, el cual se obtendrá como se muestra a continuación:
10.3.1.1 IAADJ,K-1,N = IAADJ,K-2,N.
Sí los dos Índices Anuales Agrupados de la Discontinuidad (IAAD), para los Niveles de Tensión 2 - 3 en forma agregada y para el Nivel de Tensión 1 en forma independiente, calculado cada uno al mes de diciembre del año k-1, como el promedio de los IAAD del año 2008 hasta el año k-1, son inferiores o iguales a los IAAD calculados cada uno doce meses atrás, año k-2, como el promedio de los IAAD del año 2008 hasta el año k-2 , el porcentaje de AOM a reconocer en el año k, PAOMRj,k, será igual a la semisuma entre el PAOMRj,k-1 y el PAOMDj,k-1.


![]()
Donde:
| IAADj,k-1,n: | Índice Anual Agrupado de la Discontinuidad del OR j, en el año k-1 ypara el nivel de tensión n. |
| IAADj,k-2,n: | Índice Anual Agrupado de la Discontinuidad del OR j, en el año k-2 ypara el nivel de tensión n. |
| ITADj,y,n,p: | Índice Trimestral Agrupado de la Discontinuidad, que representa elnivel promedio de Discontinuidad del servicio que percibieron todoslos usuarios de un OR j conectados al Nivel de Tensión n, durante eltrimestre p del año y. |
| y: | Años desde k3 hasta el año k-1. |
| k3: | Año de referencia igual al 2008. |
| p: | Trimestre de cada año, para el que se elabora el cálculo. (1 de eneroa 31 de marzo, 1 de abril a 30 de junio, 1 de julio a 30 de septiembre y1 de octubre a 31 de diciembre). |
| PAOMRj,k: | Porcentaje de AOM a reconocer por el OR j, en el año k. |
| PAOMRj,k-1: | Porcentaje de AOM reconocido al OR j, en el año k-1. |
| PAOMDj,k-1: | Porcentaje de AOM demostrado por el OR j, en el año k- |
10.3.1.2 IAADJ,K-1,N > IAADJ,K-2,N.
Sí cualquiera de los dos Índices Anuales Agrupados de la Discontinuidad (IAAD), para los Niveles de Tensión 2 - 3 en forma agregada y para el Nivel de Tensión 1 en forma independiente, calculado cada uno al mes de diciembre del año k-1, como el promedio de los IAAD del año 2008 hasta el año k-1, es superior al respectivo IAAD calculado doce meses atrás, año k-2, como el promedio de los IAAD del año 2008 hasta el año k-2, el porcentaje de AOM a reconocer en el año k, PAOMRj,k, se determinará de acuerdo con el siguiente procedimiento:
i. Sí PAOMGj,04-07 = PAOMRj,04-07 y PAOMDj,k-1 = PAOMRj,k-1
![]()
ii. Sí PAOMGj,04-07 = PAOMRj,04-07 y PAOMDj,k-1 < PAOMRj,k-1
![]()
iii. Sí PAOMGj,04-07 < PAOMRj,04-07 y PAOMDj,k-1 = PAOMRj,k-1
![]()
iv. Sí PAOMGj,04-07 < PAOMRj,04-07 y PAOMDj,k-1 < PAOMRj,k-1
![]()
Donde:
PAOMGj,04-07: Porcentaje de AOM gastado por el OR j, en el periodo 2004-2007.
PAOMRj,04-07: Porcentaje de AOM remunerado al OR j, en el periodo 2004-2007.
PAOMDj,k-1: Porcentaje de AOM demostrado por el OR j, en el año k-1.
PAOMRj,k-1: Porcentaje de AOM reconocido al OR j, en el año k-1.
PAOMRj,k: Porcentaje de AOM a reconocer por el OR j, en el año k.
A partir del primer trimestre del año 2008 y hasta que se inicie con la aplicación del esquema de incentivos de calidad presentado en el CAPÍTULO XI, cada OR j deberá calcular el Índice Trimestral Agrupado de la Discontinuidad, ITADn,p, establecido en el numeral 11.2.3.2 de este Anexo, con base en los valores reportados para el indicador DES.
<Ver Notas del Editor> El OR tendrá hasta el día catorce (14) de julio de 2009 para reportar al SUI los Índices Trimestrales Agrupados de la Discontinuidad comprendidos entre enero de 2008 y junio de 2009. A partir de esa fecha, el OR tendrá hasta el día catorce (14) del mes siguiente al de finalización de cada trimestre para reportar al SUI dichos índices.
10.4 AOM PARA EL OR RECIENTEMENTE VINCULADO AL SIN. <Numeral derogado por el artículo 29 de la Resolución 101-3 de 2023>
CALIDAD DEL SERVICIO.
En este Capítulo se establecen las reglas que se deben cumplir en cuanto a la calidad en la prestación del servicio de distribución de energía eléctrica tanto en los STR como en los SDL. Para el caso de los STR se define el tratamiento aplicable a los Operadores de Red cuando no cumplan las condiciones aquí establecidas, y para el caso de los SDL se define un Esquema de Incentivos aplicable de acuerdo con su gestión de calidad.
11.1 CALIDAD DEL SERVICIO EN EL STR.
<Ver Notas de Vigencia sobre fecha de aplicación>
La continuidad en la Distribución de Energía Eléctrica en el STR, dentro de los niveles de calidad establecidos, será responsabilidad de los Operadores de Red. Sin perjuicio de la responsabilidad a cargo del Operador de Red por los daños y perjuicios causados a usuarios o terceros, el incumplimiento de la calidad definida en esta Resolución dará lugar a la aplicación de compensaciones al Operador de Red, a favor de los usuarios, de conformidad con lo establecido en este Capítulo.
Las compensaciones se aplicarán disminuyendo el Ingreso Mensual que le corresponde a cada Operador de Red. Para tal efecto, el LAC calculará mensualmente las compensaciones que deberán ser asumidas por el OR, conforme a lo previsto en el numeral 11.1.8 de este Anexo.
<Ver Notas de Vigencia> A partir del primer día del séptimo mes siguiente a la entrada en vigencia de la presente Resolución, el CND y el LAC aplicarán de manera integral los procedimientos para el cálculo de los indicadores de calidad y las compensaciones establecidos en esta Resolución.
Hay incumplimiento en la prestación continua del servicio de Distribución de Energía Eléctrica en el STR cuando se presenten indisponibilidades que ocasionen Energía No Suministrada o por dejar no operativos otros activos.
El CND será el responsable de centralizar, almacenar y procesar la información estadística requerida para mantener actualizada la Base de Datos correspondiente, que permita calcular los indicadores de Indisponibilidad de los grupos de Activos relacionados en el numeral 11.1.2 de este Anexo. Para Activos nuevos, las estadísticas de indicadores de Indisponibilidad se registrarán a partir del momento en el cual el activo correspondiente entra en operación comercial, previo cumplimiento de la normatividad vigente y la autorización del CND.
El CND deberá someter a aprobación de la CREG una propuesta de Reglamento para el reporte de Eventos y los formatos para el reporte de la información de que trata este numeral, a más tardar dentro de los tres meses siguientes a la vigencia de la presente Resolución.
Los Operadores de Red son los responsables de la recolección y el reporte de la información estadística, en los términos definidos en el Reglamento para el reporte de Eventos. Dicha información, será confrontada por el CND contra la información operativa manejada por esta entidad de la siguiente manera:
-- Si el CND encuentra discrepancias en el reporte de un Evento en cuanto a su duración, se asumirá el Evento de mayor duración.
-- Si el agente no reporta información sobre el activo involucrado en el Evento, o se constatan discrepancias sobre la identidad del activo reportado, el CND asumirá que la ocurrencia del Evento se presentó en todos los activos involucrados, cuya responsabilidad de operación y mantenimiento sea del OR que no reportó correctamente la información.
Los OR deberán informar al CND la ocurrencia de cualquier Evento, dentro de los quince (15) minutos siguientes a la ocurrencia del mismo, y la Finalización de la Ejecución de Maniobras dentro de los cinco (5) minutos siguientes. En caso de que un agente no efectúe tales notificaciones en los plazos señalados, se ajustará el número Máximo de Horas Anuales de Indisponibilidad del Activo correspondiente, de acuerdo con lo establecido en el numeral 11.1.3 de este Anexo.
11.1.2 MÁXIMAS HORAS ANUALES DE INDISPONIBILIDAD. <Artículo derogado por el por el artículo 26 de la Resolución 15 de 2018>
11.1.3 MÁXIMOS PERMITIDOS DE INDISPONIBILIDAD.
Para cada grupo de activos, las Máximas Horas Anuales de Indisponibilidad se reducirán en 0,5 horas por cada retraso en Reporte de Eventos de cualquiera de los activos que conforman el grupo y por solicitud de Consignaciones No Programadas, asociadas con Consignaciones Nacionales. El CND calculará mensualmente la Meta Ajustada, de acuerdo con la siguiente fórmula:

Donde:
| MHAIAm,gu: | Máximas Horas Anuales de Indisponibilidad Ajustadas del grupo de activos gu, calculadas para el mes m. |
| MHAIgu: | Máximas Horas Anuales de Indisponibilidad del grupo de activos gu. |
| ENRm,u: | Número acumulado de Eventos o Finalización de Maniobras no Reportados en los plazos establecidos en esta resolución, para cada uno de los activos u que conforman el grupo de activos gu, durante una ventana móvil de doce meses que termina en el mes m. |
| CNPm,u: | Número acumulado de Consignaciones No Programas solicitadas por el OR, asociadas a Consignaciones Nacionales, para cada uno de los activos u que conforman el grupo de activos gu, durante una ventana móvil de doce meses que termina en el mes m. |
| NGU: | Número de activos que conforman el grupo de activos gu. |
11.1.4 INDISPONIBILIDAD DE LOS ACTIVOS DE USO DEL STR.
La duración de las indisponibilidades de los activos del STR se medirá por su duración en horas, aproximadas al segundo decimal y se agruparán por mes calendario. Un Evento cuya duración pase de un mes calendario al siguiente se deberá dividir en dos Eventos: uno que finaliza a las veinticuatro (24:00) horas del último día del mes calendario y otro Evento que inicia a las cero (0:00) horas del primer día del nuevo mes.
Las horas de indisponibilidad de cada uno de los activos que hacen parte de los grupos de activos relacionados en el numeral 11.1.2 del presente Anexo, la calcula mensualmente el Centro Nacional de Despacho, CND, mediante la siguiente expresión:

Donde:
HIDm,u: Horas de Indisponibilidad del activo u, durante el mes m.
i: Evento de Indisponibilidad.
n: Número Total de Indisponibilidades del activo u, durante el mes m.
Hi,u: Duración de la indisponibilidad i, para el activo u.
CAPDi,u : Capacidad disponible del activo u, durante la indisponibilidad i.
CAPNu: Capacidad Nominal del activo u.
Para la aplicación de la metodología establecida en esta Resolución, las Horas de Indisponibilidad del activo u, durante cada uno de los once meses anteriores al primer mes de aplicación de esta metodología, se asumirán iguales a cero (0).
11.1.5 INDISPONIBILIDADES EXCLUIDAS.
Para el cálculo de la Indisponibilidad de un activo, se excluyen únicamente las siguientes, siempre y cuando se cumplan las reglas que a continuación se establecen:
i. Las Indisponibilidades programadas debidas a Trabajos de Expansión se excluirán del cálculo si se han cumplido las siguientes reglas:
-- El OR informará al CND acerca de la conexión de dichos activos con una anticipación mínima de 90 días calendario.
-- Junto con la solicitud, el agente informará al CND sobre los activos requeridos para la incorporación o conexión del nuevo proyecto al SIN, coordinando con los responsables de los equipos que se requiera desconectar para que éstos soliciten las consignaciones necesarias al CND, si se requiere. Para dichas consignaciones se deberá cumplir con los plazos y procedimientos previstos en la regulación vigente para la coordinación de consignaciones en el SIN, y declarar como causa la incorporación de nuevos activos al SIN, e indicando el proyecto respectivo.
-- El tiempo máximo reconocido sin afectar la Disponibilidad de los activos relacionados, diferentes a los asociados con el proyecto que se incorpora, será igual a los tiempos asociados a las maniobras de conexión del activo al SIN más el tiempo durante el cual el proyecto se encuentre en pruebas antes de su entrada en operación comercial.
ii. Indisponibilidades de activos solicitadas por el CND, por razones operativas o consideraciones de calidad o confiabilidad del SIN.
iii. Indisponibilidades por demoras entre el momento en que el agente declara que tiene disponible su activo y la puesta en operación del mismo ordenada por el CND, cuando se requiera dicha orden.
iv. Indisponibilidades originadas en catástrofes naturales, tales como Erosión (Volcánica, Fluvial o Glacial), Terremotos, Maremotos, Huracanes, Ciclones y/o Tornados y las debidas a actos de terrorismo.
-- El OR afectado por el Evento deberá declarar oficialmente ante el CND la ocurrencia del mismo y será responsable por tal declaración. Asimismo, si se prevé que el Evento tendrá una duración superior a los tres (3) días a partir de su ocurrencia, el agente tendrá que informar a los usuarios finales que puedan resultar afectados dentro de las 48 horas siguientes a la ocurrencia del Evento, a través de cualquier medio de comunicación masivo disponible en la región o área afectada que garantice su adecuada difusión.
-- El OR afectado por el Evento deberá establecer el plazo para la puesta en operación de los activos afectados, para lo cual deberá entregar al CND y al CNO un cronograma y presentarles los respectivos informes de avance del mismo.
-- Para este caso, el Ingreso Mensual del activo será calculado de acuerdo con lo establecido en el numeral 11.1.7 de este Anexo.
v. Las consignaciones o los incumplimientos en los tiempos de ejecución de maniobras, originados en los Eventos definidos en el literal anterior.
vi. Las indisponibilidades debidas a Mantenimientos Mayores que se hayan efectuado con sujeción al procedimiento establecido para tal fin.
vii. La ejecución de obras por parte de entidades estatales o las modificaciones a las instalaciones existentes ordenadas en los Planes de Ordenamiento Territorial.
11.1.5.1 PROCEDIMIENTO PARA LOS MANTENIMIENTOS MAYORES.
Los Mantenimientos Mayores deberán ajustarse al Reglamento para el reporte de Eventos, donde se especificará el máximo número de días consecutivos a utilizar para este mantenimiento y la duración mínima de cada indisponibilidad reportada por esta causa. Un Mantenimiento Mayor podrá suspenderse por orden del CND o de una autoridad competente.
El plazo de seis (6) años para los Mantenimientos Mayores se contará desde el 1 de enero de 2008. Durante este plazo, el tiempo máximo reconocido sin afectar la Indisponibilidad de los activos de que trata la presente Resolución, será de noventa y seis (96) horas.
11.1.6 INGRESO MENSUAL REGULADO.
<Numeral modificado por el artículo 9 de la Resolución 133 de 2008. El nuevo texto es el siguiente:> Para lo contemplado en el numeral 11.1 de este Anexo, en caso de requerirse, el Ingreso Mensual Regulado para cada uno de los activos del STR se calculará así:
![]()
IMRm,u: Ingreso Mensual Regulado para remunerar el activo u, durante el mes m.
CRu: Costo Reconocido para el activo u, de acuerdo con lo previsto en el CAPÍTULO 5 de esta Resolución.
r: Tasa de Retorno para remuneración con la Metodología de Ingreso Regulado.
Vu: Vida útil en años, reconocida para el activo u.
RPPj,u: Esta fracción se calcula a partir de la parte del valor de la UC u que no se debe incluir en el cálculo de la tarifa de acuerdo con lo dispuesto en el numeral 87.9 del artículo 87 de la Ley 142 de 1994, respecto del valor total de dicha UC.
PAOMRj,k: Porcentaje que se reconoce al OR j, en el año k, para remunerar el gasto anual de administración, operación y mantenimiento, de acuerdo con lo establecido en el CAPÍTULO 10 de este Anexo.
IPPm-1: Índice de Precios al Productor Total Nacional correspondiente al mes m-1.
IPPo: Índice de Precios al Productor Total Nacional correspondiente al mes de diciembre de 2007.
11.1.7 REMUNERACIÓN EN ALGUNOS CASOS DE INDISPONIBILIDAD.
Para los casos de indisponibilidades originadas en catástrofes naturales, tales como Erosión (Volcánica, Fluvial o Glacial), Terremotos, Maremotos, Huracanes, Ciclones y/o Tornados y las debidas a actos de terrorismo, la remuneración del activo u en el mes m, para cada mes mi que éste se encuentre indisponible será:

IMRTm,u: Ingreso Mensual Temporal para el activo u, en el mes m, mientras el activo u esté indisponible por las causas citadas en este numeral.
mi: Número de meses calendario completos transcurridos a partir de la ocurrencia del Evento, incluido el mes m, durante los cuales el activo u ha estado indisponible. Si al momento de iniciar la aplicación de la metodología establecida en esta Resolución, algún activo está indisponible por las causas citadas en este numeral, se asume que mi es igual a 1 para el primer mes de aplicación.
IMRm,u: Ingreso Mensual Regulado para remunerar el activo u, durante el mes m, tal como se define en el numeral 11.1.6 de este Anexo.
11.1.8.1 COMPENSACIONES POR INCUMPLIMIENTO DE LAS METAS.
Las compensaciones que deberán ser asumidas por el OR o los OR responsables de los activos que conforman los grupos de activos con horas de indisponibilidad acumuladas (HIDA) que superen las máximas horas anuales de indisponibilidad ajustadas (MHAIA), se calcularán con base en la información obtenida por el CND y conforme a las siguientes fórmulas:

Si para el grupo de activos gu en el mes m se obtiene que HIDAm,gu = MHAIAm,gu entonces las horas a compensar, HCm,gu, serán iguales a cero.
Por el contrario, si para el grupo de activos gu en el mes m se obtiene que HIDAm,gu > MHAIAm,gu entonces las horas a compensar se calcularán como se muestra a continuación:
![]()

La compensación para cada activo u por incumplimiento de los máximos permitidos de indisponibilidad se calculará con:

Donde:
HIDAm,gu: Horas de Indisponibilidad Acumulada del grupo de activos gu, en un periodo de doce meses que termina en el mes m.
HIDm,u: Horas de Indisponibilidad de cada uno de los activos u que conforman el grupo de activos gu, durante el mes m.
NGU: Número de activos que conforman el grupo de activos gu.
HCm,gu: Horas a compensar por el grupo de activos gu al cual pertenece el activo u, para el mes m.
MHAIAm,gu: Meta de Indisponibilidad Anual Ajustada del grupo de activos gu, calculada para el mes m.
THCm-1,gu: Total de Horas compensadas por el grupo de activos gu, en un periodo de once meses que termina en el mes m-1.
CIMm,u: Compensación por incumplimiento de metas, para cada uno de los activos u que conforman el grupo de activos gu, en el mes m.
Hm: Horas del mes m.
IMRm,u: Ingreso Mensual Regulado para remunerar el activo u, durante el mes m, tal como se define en el numeral 11.1.6 de este Anexo.
Para la aplicación de esta metodología, siendo p el mes de inicio de su aplicación, las Horas a Compensar para cada mes, en el periodo desde p-11 hasta p-1, HCp-i,gu, son iguales a cero y por consiguiente el total de horas compensadas por el grupo de activos gu, en ese mismo periodo, THCp-1,gu también es igual a cero.
11.1.8.2 COMPENSACIONES POR ENERGÍA NO SUMINISTRADA O POR DEJAR NO OPERATIVOS OTROS ACTIVOS.
La indisponibilidad de un activo puede dejar otros No Operativos (diferentes a los que conforman su grupo de acuerdo a lo previsto en el numeral 11.1.2 de este Anexo), cuando, a pesar de estar disponibles, dichos activos no puedan operar debido a la indisponibilidad del primero.
Para determinar el valor de la compensación (CANO) que deberá ser asumida por el OR responsable de la Operación y Mantenimiento de los activos cuya indisponibilidad ocasione Energía No Suministrada o que otros activos queden no operativos, se utilizará una de las siguientes tres condiciones:
1. Si para el grupo de activos gu al que pertenece el activo u, en el mes m, las Horas de Indisponibilidad Acumulada son menores o iguales que las Máximas Horas Anuales de Indisponibilidad Ajustadas (HIDAm,gu = MHAIAm,gu) y, durante todas las horas de la indisponibilidad i de este activo, el porcentaje de Energía No Suministrada (PENSq) es inferior al 2%, el valor de la compensación CANO para la indisponibilidad i, es igual a cero.
2. Si para el grupo de activos gu al que pertenece el activo u, en el mes m, las Horas de Indisponibilidad Acumulada son mayores que las Máximas Horas Anuales de Indisponibilidad Ajustadas (HIDAm,gu > MHAIAm,gu) y, durante todas las horas de la indisponibilidad i, del activo u, el porcentaje de Energía No Suministrada (PENSq) es inferior al 2%, el valor de la compensación CANO se obtiene de la siguiente forma:

3. Si durante la indisponibilidad i, del activo u, para alguna de las horas de duración de la indisponibilidad el porcentaje de Energía No Suministrada (PENSq) es mayor que el 2%, el valor de la compensación CANO se obtiene de la siguiente forma:

Finalmente, la compensación CANO del activo u, para cada mes m, por Energía No Suministrada o por dejar no operativos otros activos se calcula con:

En las fórmulas de este numeral se utilizan las siguientes variables:
CANOi,m,u: Compensación del activo u, por la indisponibilidad i, en el mes m, por Energía No Suministrada o por dejar no operativos otros activos.
IMRm,r : Ingreso Mensual Regulado para remunerar el activo r, durante el mes m, tal como se define en el numeral 11.1.6 de este Anexo.
Hi,u: Número de horas afectadas por la indisponibilidad i del activo u.
Hm: Horas del mes m.
ENSq: Máximo valor de la Energía No Suministrada en una cualquiera de las horas q de duración de la indisponibilidad i, del activo u.
CROq : <Artículo 9 de la Resolución 94 de 2012 derogado por el por el artículo 26 de la Resolución 15 de 2018>
CANOm,u: Compensación del activo u, en el mes m, por Energía No Suministrada y/o por dejar no operativos otros activos.
PENSq: Porcentaje de la Energía No Suministrada, durante la hora q, por causa de la indisponibilidad i, del activo u.
11.1.8.2.1 DETERMINACIÓN DE LA ENERGÍA NO SUMINISTRADA.
El CND estimará la Energía No Suministrada (ENS) para cada periodo horario q mientras persista una indisponibilidad y estimará el porcentaje (PENSq) que esta energía representa frente a la predicción horaria de demanda para el Mercado de Comercialización.
En la resolución de la CREG que adopte el reglamento para el registro de eventos se establecerá el procedimiento que utilizará el CND para el cálculo de la Energía No Suministrada.
Cuando el PENSq sea superior al 2% el CND enviará el respectivo informe a la Superintendencia de Servicios Públicos quien determinará si se presentó Energía No Suministrada y el agente responsable de dicho evento.
Al mes siguiente de quedar en firme el acto administrativo de la Superintendencia de Servicios Públicos, en la que se identifique el responsable de la Energía No Suministrada, si la hay, se liquidará la compensación de que trata este numeral, con el valor de energía determinado por el CND o el que se haya demostrado durante el proceso que adelante la SSP.
11.1.8.2.2 TRANSICIÓN PARA ADECUACIÓN DE LOS SISTEMAS.
Para las áreas de un STR que puedan quedar sin servicio por una contingencia simple se tendrá en cuenta el siguiente procedimiento:
i. Dentro de los seis meses siguientes a la entrada en vigencia de la presente Resolución, el respectivo OR deberá presentar a la UPME un estudio de alternativas para mitigar el riesgo de fallas en el suministro de energía en las áreas que se encuentren en la condición citada, dentro del Mercado de Comercialización atendido por el OR.
ii. La UPME, con base en los criterios de evaluación para nuevos proyectos en el SIN, definirá la viabilidad de las alternativas planteadas y confirmará el plazo para su ejecución de acuerdo con lo planteado por el OR.
iii. Si la UPME no considera viable ninguna de las alternativas planteadas y no sugiere otra factible, para los activos que atienden la citada área no se considerará la compensación por Energía No Suministrada.
iv. Si se tiene una alternativa con el visto bueno de la UPME, la compensación por Energía No Suministrada la empezará a liquidar el LAC a partir de la fecha que haya confirmado la UPME para la entrada en operación del nuevo proyecto.
Los literales i. y ii. también se aplicarán en aquellas áreas donde deba darse cumplimiento a lo establecido en el artículo 1 de la Resolución 18 2148 de 2007 del Ministerio de Minas y Energía o aquella que la modifique o sustituya, en lo que hace referencia a evitar que contingencias que se presenten en los STR puedan trasladarse al STN.
11.1.9 INGRESO MENSUAL AJUSTADO.
El LAC calculará mensualmente el valor total de compensaciones que se descontará del Ingreso Mensual de cada OR j, tal como se muestra a continuación:


donde:
CALj,m : Suma de los valores que debe compensar el OR j por incumplimiento de lo establecido en este Capítulo, en el mes m.
CIMm,u : Compensación por incumplimiento de metas, del activo u, en el mes m.
PUj,u: Fracción del activo u que es remunerada vía cargos por uso al OR j.
IMRm,u : Ingreso Mensual Regulado para remunerar el activo u, durante el mes m, tal como se define en el numeral 11.1.6 de este Anexo.
IMRTm,u: Ingreso Mensual Temporal para el activo u, en el mes m, mientras el activo u esté indisponible por las causas citadas en el numeral 11.1.7.
CANOm,u: Compensación del activo u, en el mes m, por Energía No Suministrada o por dejar no operativos otros activos.
CANOPm-1: Valor de la compensación por Energía No Suministrada o por dejar no operativos otros activos que quedó pendiente por descontar en el mes m-1.
aj: Número de activos del OR j., que se encuentra en cada una de las situaciones descritas.
11.1.10 LÍMITE DE LOS VALORES A COMPENSAR.
<Inciso aclarado por el artículo 10 de la Resolución 133 de 2008. El nuevo texto es el siguiente:> El LAC deberá tener en cuenta que el valor total a descontar en el mes m, al OR j, por concepto de compensaciones por Energía No Suministrada o por dejar no operativos otros activos, no podrá superar el 60% de la suma de los ingresos antes de compensaciones. Si el valor a descontar fuere mayor a dicho porcentaje, el saldo pendiente se deducirá durante los siguientes meses verificando que no se supere el tope del 60%. Las compensaciones por este concepto para cada OR j, correspondientes al año calendario en que ocurre el evento, estarán limitadas a un valor equivalente al 10% de los ingresos estimados por el LAC para el mismo Operador en ese año.
El valor acumulado en doce meses de las compensaciones por indisponibilidades relacionadas con el incumplimiento de las metas, establecidas en el numeral 11.1.2 de este Anexo, no deberá superar el 20% del acumulado para los mismos doce meses del ingreso mensual regulado estimado para un OR.
Con el objeto de verificar este límite, el LAC calculará mensualmente para cada OR las siguientes variables:


Siendo:
IARj,m: Ingreso Anual Regulado para el OR j, calculado hasta el mes m.
IMRm,u : Ingreso Mensual Regulado para remunerar el activo u, durante el mes m, tal como se define en el numeral 11.1.6 de este Anexo.
CAIMm,j: Acumulado durante los últimos doce meses de las Compensaciones originadas en incumplimiento de metas para el OR j, calculado hasta el mes m.
CIMm,u: Compensaciones por incumplimiento de metas, del activo u en el mes m.
n: Mínimo entre 12 y el número de meses calendario completos de operación comercial del activo u, incluido el mes m.
aj: Número de activos del OR j.
Si para un mes m se obtiene que ![]()
el LAC liquidará al OR j, en el mes m y en los meses siguientes mientras se cumpla esta condición, un valor equivalente a mínimo el 80% del Ingreso Mensual Regulado, IMRm,j y, de acuerdo con lo dispuesto en el Artículo 59 de la Ley 142 de 1994, la Superintendencia de Servicios Públicos Domiciliarios lo podrá considerar como causal de toma de posesión por no prestar el servicio con la calidad debida.
11.2 CALIDAD DEL SERVICIO DE DISTRIBUCIÓN EN EL SDL.
La calidad del servicio de los sistemas de distribución local, SDL, se evaluará trimestralmente en términos de la Calidad Media brindada por el OR a sus usuarios conectados al Nivel de Tensión 1 y, en forma agregada, a sus usuarios conectados a los Niveles de Tensión 2 y 3, comparada con una Calidad Media de Referencia.
Para el efecto, dichas Calidades Medias se expresarán como un Índice de Discontinuidad que relaciona la cantidad promedio de Energía No Suministrada (ENS) por cada unidad de Energía Suministrada (ES) por un OR. En función de la mayor o menor cantidad de ENS durante un trimestre específico, el OR será objeto de aplicación de un Esquema de Incentivos el cual, de manera respectiva, le hará disminuir su Cargo por Uso del correspondiente Nivel de Tensión, o le permitirá aumentarlo durante el trimestre inmediatamente siguiente a la evaluación.
El esquema de incentivos se complementará con un esquema de compensaciones a los usuarios “peor servidos” el cual busca disminuir la dispersión de la calidad prestada por el OR en torno a la calidad media, garantizando así un nivel mínimo de calidad a los usuarios.
En este aparte del Capítulo se definen todos los conceptos que se requieren para crear el esquema anteriormente descrito, y los elementos que conformarán el Sistema de Información que permitirá su aplicación, así:
-- Se clasifican las interrupciones del servicio de energía eléctrica, identificando aquellas que serán excluidas a efectos de evaluar los niveles de calidad media indicados.
-- Se definen los grupos de calidad dentro de los cuales se clasificarán cada uno de los transformadores, tramos de circuito y alimentadores.
-- Se definen los Índices de discontinuidad aplicables y su forma de estimación, los cuales serán propios de cada OR.
-- Se define la metodología para la estimación del incentivo a partir de los Índices de Discontinuidad, estableciendo una banda de indiferencia sobre la cual estos no serán tenidos en cuenta.
-- Se establece la forma de medición, registro y reporte de la información base para la aplicación del esquema, y su forma de verificación, así como el mecanismo que se utilizará para la estimación continua de los correspondientes incentivos.
-- Finalmente, se establecen los requisitos que debe cumplir cada OR para dar inicio a la aplicación del esquema en un tiempo máximo determinado.
La aplicación del esquema de incentivos y compensaciones descritos en este numeral no limita los derechos de los usuarios para reclamar ante el OR los perjuicios causados por la discontinuidad del servicio.
11.2.1 INTERRUPCIONES DEL SERVICIO DE ENERGÍA.
Para las Interrupciones del servicio de energía se establece su clasificación y las excepciones que se tendrán en cuenta para la aplicación del Esquema de Incentivos y Compensaciones.
11.2.1.1 CLASIFICACIÓN DE LAS INTERRUPCIONES.
Teniendo en cuenta el tipo de las interrupciones, independientemente de su duración o del número de fases de cada circuito o transformador afectadas, éstas se clasifican así:
a) No Programadas: Son aquellas interrupciones que obedecen a Eventos No Programados por el OR y que suceden por situaciones no preestablecidas por él.
b) Programadas: Son aquellas interrupciones que obedecen a Eventos Programados por el OR a efectos de realizar expansiones, remodelaciones, ampliaciones, mejoras, mantenimientos preventivos y/o mantenimientos correctivos, etc. en sus redes, instalaciones y/o equipos. Estas interrupciones deben ser informadas a los usuarios afectados con una antelación mínima de 48 horas a través de cualquier medio de comunicación masivo que garantice su adecuada información. Cuando los eventos programados afecten cargas industriales, el tiempo de notificación no podrá ser inferior a 72 horas y requerirá una comunicación formal por parte de la empresa.
c) Causadas por Terceros: Únicamente se clasifican dentro de este tipo las siguientes causas:
i. Interrupciones por racionamiento de emergencia del sistema eléctrico nacional debidas a insuficiencia en la generación nacional o por otros Eventos en Generación, siempre y cuando así hayan sido definidas por el CND de acuerdo con la regulación de la CREG. El CND mantendrá disponible para los OR la información relacionada con los Eventos citados anteriormente, con el fin de que los OR los excluyan del cálculo de los Índices.
ii. Eventos de activos pertenecientes al STN y al STR.
iii. Interrupciones por seguridad ciudadana solicitadas por organismos de socorro o autoridades competentes.
iv. <Numeral aclarado por el artículo 11 de la Resolución 133 de 2008. El nuevo texto es el siguiente:> Cuando falla un activo de Nivel de Tensión 1 de propiedad de los usuarios y no ha vencido el plazo establecido en el numeral 6.6 de este Anexo, para que la empresa lo reponga.
11.2.1.2 EXCLUSIÓN DE INTERRUPCIONES.
Para el cálculo de los Índices de Discontinuidad y demás componentes que conforman las fórmulas que se establecen más adelante, no se tendrán en cuenta las siguientes interrupciones:
a) Las clasificadas como Causadas por Terceros en el literal c) del numeral 11.2.1.1 de este Capítulo.
b) Las debidas a catástrofes naturales, tales como Erosión (Volcánica, Fluvial o Glacial), Terremotos, Maremotos, Huracanes, Ciclones y/o Tornados.
c) Las debidas a actos de terrorismo.
d) Las debidas a Acuerdos de Calidad en las Zonas Especiales.
e) Suspensiones o cortes del servicio por incumplimiento del contrato de servicios públicos por parte del usuario.
f) Suspensiones o cortes del servicio por programas de limitación del suministro al comercializador.
g) Las suspensiones del servicio asociadas a proyectos de expansión de los que trata el numeral 4.3 de este Anexo.
h) Trabajos en Subestaciones que respondan a un Programa Anual de Reposición y/o Remodelación para Exclusiones y cuyos cortes hayan sido informados a los usuarios afectados con una anticipación no mayor a ocho días y no menor a 48 horas, mediante publicación en un medio de comunicación masivo disponible en la región o área afectada. Cuando los eventos programados afecten cargas industriales, el tiempo de notificación no podrá ser inferior a 72 horas y requerirá una comunicación formal por parte de la empresa.
El Programa Anual debe ser reportado al inicio de cada año al SUI en los formatos y condiciones que para el efecto se establezcan mediante Circular Conjunta SSPD-CREG.
El Programa Anual mencionado debe especificar y/o considerar como mínimo lo siguiente:
-- El cronograma previsto
-- Los circuitos y transformadores que se afectarán
-- Los tiempos previstos de afectación. Las duraciones que sobrepasan estos tiempos no serán excluidas.
-- Una subestación no podrá ser incluida en más de un Programa Anual en un período tarifario.
-- La exclusión de estas interrupciones para el cálculo de Incentivos y Compensaciones requiere además que el inicio y finalización de su ejecución hayan sido informados en el aplicativo del SUI anteriormente mencionado.
i) Interrupciones originadas en exigencias de traslados y adecuaciones de la infraestructura eléctrica por parte de entidades Distritales, Departamentales, Organismos Viales o por demás autoridades, o por proyectos de desarrollo en concordancia con Planes de Ordenamiento Territorial.
Para cada una de las interrupciones excluidas, los OR deberán mantener la documentación y pruebas que sirvan de soporte para la exclusión así como de los avisos realizados para informar al usuario sobre las interrupciones que causarán los trabajos de remodelación y/o reposición de subestaciones, la cual será verificada por la auditoría de la cual trata el numeral 11.2.5.4.2.
En el caso de interrupciones debidas a terrorismo o a catástrofes naturales el OR deberá informar al Comercializador y éste a su vez al usuario, la fecha y hora estimada de recuperación del suministro del servicio de energía eléctrica.
11.2.2 GRUPOS DE CALIDAD PARA LA MEDICIÓN.
Los Grupos de Calidad se determinan de acuerdo con las siguientes reglas:
GRUPO 1: Circuitos, tramos o transformadores ubicados en Cabeceras municipales con una población superior o igual a 100.000 habitantes según último dato certificado por el DANE.
GRUPO 2: Circuitos, tramos o transformadores ubicados en Cabeceras municipales con una población menor a 100.000 habitantes y superior o igual a 50.000 habitantes según último dato certificado por el DANE.
GRUPO 3: Circuitos, tramos o transformadores ubicados en Cabeceras municipales con una población inferior a 50.000 habitantes según último dato certificado por el DANE.
GRUPO 4: Circuitos, tramos o transformadores ubicados en Suelo que no corresponde al área urbana del respectivo municipio o distrito.
La ubicación física de la subestación determina el Grupo al cual pertenecen los Circuitos correspondientes a alimentadores primarios, que se encuentran conectados a la misma. Para tramos de circuito, el Grupo al que éstos pertenecen estará determinado por el Grupo al cual pertenezcan la mayoría de transformadores conectados a él. Para transformadores de distribución, el Grupo a que pertenecen éstos estará determinado por la ubicación física del transformador de distribución.
11.2.3 ÍNDICES DE LA DISCONTINUIDAD DEL SERVICIO.
A partir de la información histórica de interrupciones y demás datos consignados por los OR en la base de datos de Calidad de Transformadores del SUI, la CREG calculará un nivel de referencia de la calidad de cada OR denominado Índice de Referencia Agrupado de la Discontinuidad (IRAD).
Las mejoras o desmejoras en la calidad del servicio prestado por cada OR, con respecto a ese nivel de referencia, serán determinadas trimestralmente comparando el IRAD contra un Índice Trimestral Agrupado de la Discontinuidad (ITAD) el cual representa el nivel de calidad del servicio prestado durante el trimestre de cálculo. Este Índice será estimado por el OR quien deberá elaborar un documento que soporte los cálculos correspondientes.
Estos Índices se estimarán por Nivel de Tensión, en forma independiente para el Nivel de Tensión 1 y en forma agregada para los Niveles de Tensión 2 y 3. Estos Índices deberán calcularse con una precisión no menor a 7 decimales representativos.
11.2.3.1 CÁLCULO DEL ÍNDICE DE REFERENCIA AGRUPADO DE LA DISCONTINUIDAD.
El Índice de Referencia Agrupado de la Discontinuidad (IRADn,p) se calcula para cada OR a partir de la información que reportó en la base de datos del SUI acerca de los eventos ocurridos en su sistema trimestralmente durante los años 2006 y 2007. Este Índice se establecerá mediante Resolución particular aplicando la siguiente expresión:

Donde:
IRADn,p: Índice de Referencia Agrupado de la Discontinuidad, que representa el nivel promedio de Discontinuidad del servicio que percibieron trimestralmente los usuarios del OR conectados al Nivel de Tensión n, durante los años 2006 y 2007.
IRADKn,p,k: Índice de Referencia Agrupado de la Discontinuidad, que representa el nivel promedio de Discontinuidad del servicio que percibieron los usuarios del OR conectados al Nivel de Tensión n, durante el trimestre p del año k.
IRGn,q,p,k: <Definición de la variable modificada por el artículo 10 de la Resolución 43 de 2010. El nuevo texto es el siguiente:> Índice de Referencia de la Discontinuidad por Grupo de calidad q, en el trimestre p del año k y en el Nivel de Tensión n.
G: Cantidad de grupos de calidad en los que el OR tiene usuarios
k: Años de referencia en donde k1=2006 y k2=2007
p: Trimestre de cada año, para el que se elabora el cálculo. (1 de enero a 31 de marzo, 1 de abril a 30 de junio, 1 de julio a 30 de septiembre y 1 de octubre a 31 de diciembre).
El Índice de Referencia de la Discontinuidad por Grupo de Calidad (IRGn,q,p,k) se obtiene mediante la siguiente expresión:
![]()
Donde:
NRGn,q,p,k: Nivel de Discontinuidad de Referencia por Grupo de Calidad, medido en kWh, que considera las interrupciones en cada grupo de calidad q, del Nivel de Tensión n, en el trimestre p del año k.
VTn,q,p,k: Ventas de energía asociadas al grupo de calidad q, en el Nivel de Tensión n y para el trimestre p del año k, en kWh, según información reportada en la base de datos comercial del SUI.
<Forma de calcular el componente VTn,q,p adicionado por el artículo 4 de la Resolución 67 de 2010. El nuevo texto es el siguiente:>
![]()
Donde:
EPDn,q,p: Energía promedio diaria facturada a los usuarios del nivel de tensión n, conectados al transformador que pertenece al grupo de calidad q, durante el trimestre p.
El Nivel de Discontinuidad de Referencia por Grupo de Calidad (NRGn,q,p,k) se halla mediante la siguiente expresión:

Donde:
NRTn,t,q,p,k: Nivel de Referencia de las interrupciones por Transformador, medido en kWh, de cada transformador t, que pertenece al grupo de calidad q, del Nivel de Tensión n, para el trimestre p del año k.
Nn,q,p,k: Número total de transformadores del respectivo OR del Nivel de Tensión n y del grupo de calidad q, durante el trimestre p del año k.
El Nivel de Referencia de las interrupciones por Transformador (NRTn,t,q,p,k) se calcula como se muestra a continuación:
![]()
Donde:
DRTn,t,q,p,k: Duración de Referencia, calculada como la sumatoria en horas de las interrupciones del transformador t, perteneciente al grupo de calidad q y al Nivel de Tensión n, durante el trimestre p del año k.
EPUn,q,p,k: <Definición de la variable modificada por el artículo 8 de la Resolución 43 de 2010. El nuevo texto es el siguiente:> Energía promedio consumida en kwh/hora por los usuarios del grupo de calidad q, del Nivel de Tensión n, durante el trimestre p del año k, según información reportada por el comercializador en la base de datos comercial del SUI.
<Fórmula para calcular el componente EPU que hace parte de este numeral adicionada por el artículo 3 de la Resolución 67 de 2010. El nuevo texto es el siguiente:>

Donde:
Nniun,q,p: Número de usuarios identificados a partir del NIU, para los cuales durante el trimestre p se reporta por lo menos una factura en el SUI. Para calcular este número cada usuario sólo puede ser contado una vez.
EPDn,q,p: Energía promedio diaria facturada a los usuarios del nivel de tensión n, conectados al transformador que pertenece al grupo de calidad q, durante el trimestre p.
Nfactp,u: Número de facturas del usuario u durante el trimestre p.
Ndíasp,f,u: Igual a la variable “días facturados”, o la que la modifique o sustituya, reportada en el SUI durante el trimestre p, para la factura f del usuario u.
EFp,f,u: Igual a la variable “consumos” reportada en el SUI durante el trimestre p, para la factura f del usuario u.
PARÁGRAFO 1o. Para el cálculo del EPU y de todos sus componentes sólo se deben tomar los NIU reportados al SUI en por lo menos uno de los meses que conforman el trimestre p.
NUn,t,q,p,k: Número promedio de usuarios del transformador t, del Nivel de Tensión n y del grupo de calidad q, durante el trimestre p del año k.
<Texto adicionado al numeral 11.2.3.1 por el artículo 1 de la Resolución 166 de 2010. El nuevo texto es el siguiente:>
Cuando la información reportada en las bases de datos del Sistema Único de Información, SUI, de que trata la Ley 689 de 2001, sobre los años 2006 y 2007, no permita calcular alguno de los índices de referencia de la discontinuidad por grupo de calidad, IRGn,q,p,k, la CREG establecerá estos índices con las siguientes reglas:
a) En el caso en que no existe información histórica que permita calcular en ningún grupo de calidad el IRG de un mismo trimestre y nivel de tensión, en uno de los dos años de referencia; pero que en los demás trimestres del mismo grupo de calidad, nivel de tensión y año el IRG sí pudo ser calculado con la información histórica, el IRG faltante será igual al promedio de los IRG calculados en los demás trimestres del respectivo grupo calidad, nivel de tensión y año;
b) En el caso en que en ninguno de los dos años de referencia, haya sido posible establecer algún IRG de un grupo de calidad, trimestre y nivel de tensión, pero existe al menos el IRG de uno o más trimestres de ese grupo de calidad, nivel de tensión y año, cada IRG faltante será igual al promedio de los IRG de los demás trimestres que fueron establecidos con la información del respectivo grupo calidad, nivel de tensión y año.
Si sólo es posible establecer los IRG de uno de los dos años, estos mismos índices serán asignados al otro año de referencia;
c) En el caso en que para ningún trimestre, de ninguno de los dos años de referencia, existe información histórica que permita calcular los IRG de un grupo de calidad y nivel de tensión, estos IRG faltantes en cada trimestre serán iguales al promedio de los IRG establecidos para los demás grupos de calidad, pero del mismo nivel de tensión, trimestre y año;
d) En el caso en que para un nivel de tensión no existe información histórica que permita calcular los IRG de ningún grupo de calidad, para ninguno de los trimestres, de los dos años de referencia; los IRG de ese nivel de tensión serán iguales a los IRG del otro nivel de tensión, según el respectivo grupo de calidad, trimestre y año.
PARÁGRAFO 1o. La aplicación de cada regla debe realizarse en orden cronológico, iniciando por el primer trimestre del año 2006 y terminando en el cuarto trimestre del 2007. Su aplicación debe realizarse para todos los grupos antes de aplicar la siguiente regla. La aplicación de la regla a) es prioritaria sobre la regla b), ésta sobre la regla c) y esta sobre la regla d).
11.2.3.2 CÁLCULO DEL ÍNDICE TRIMESTRAL AGRUPADO DE LA DISCONTINUIDAD.
El Índice Trimestral Agrupado de la Discontinuidad (ITADn,p) es el Índice medio de la calidad del servicio prestado por un OR y es calculado por el OR a partir de los registros de las interrupciones consignadas en la base de datos de calidad del SUI ocurridas en su sistema de distribución durante el trimestre de evaluación.
El ITADn,p se calcula trimestralmente, para cada OR, como sigue:

Donde:
ITADn,p: Índice Trimestral Agrupado de la Discontinuidad, que representa el nivel promedio de Discontinuidad del servicio que percibieron todos los usuarios de un OR conectados al Nivel de Tensión n, durante el trimestre p.
ITGn,q,p: Índice Trimestral de Discontinuidad por Grupo de Calidad q, en el Nivel de Tensión n y en el trimestre p.
G: Cantidad de grupos de calidad en los que el OR tiene usuarios.
p: Trimestre de cada año, para el que se elabora el cálculo. (1 de enero a 31 de marzo, 1 de abril a 30 de junio, 1 de julio a 30 de septiembre y 1 de octubre a 31 de diciembre).
El Índice Trimestral de Discontinuidad por Grupo de Calidad (ITGn,q,p) se obtiene de la siguiente manera:
![]()
Donde:
NTG n,q,p: Nivel de Discontinuidad Trimestral por Grupo de Calidad, medido en kWh, que considera las interrupciones en cada grupo de calidad q, del Nivel de Tensión n, durante el trimestre p.
VT n,q,p: Ventas de energía asociadas al grupo de calidad q, en el Nivel de Tensión n y para el trimestre p, en kWh, según información reportada en la base de datos comercial del SUI.
<Forma de calcular el componente VTn,q,p adicionado por el artículo 4 de la Resolución 67 de 2010. El nuevo texto es el siguiente:>
![]()
Donde:
EPDn,q,p: Energía promedio diaria facturada a los usuarios del nivel de tensión n, conectados al transformador que pertenece al grupo de calidad q, durante el trimestre p.
El Nivel de Discontinuidad Trimestral por Grupo de Calidad (NTGn,q,p) mediante la siguiente expresión:

Donde:
NTTn,t,q,p: Nivel Trimestral de las interrupciones por Transformador, medido en kWh, de cada transformador t, que pertenece al grupo de calidad q y al Nivel de Tensión n, para el trimestre p.
Nn,q: Número total de transformadores del Nivel de Tensión n y del grupo de calidad q del respectivo OR.
El Nivel Trimestral de las interrupciones por Transformador (NTTn,t,q,p) se calcula como se muestra a continuación:
![]()
Donde:
DTTn,t,q,p: <Variable aclarada por el artículo 12 de la Resolución 133 de 2008. El nuevo texto es el siguiente:> Duración Trimestral, calculada como la sumatoria en horas de las interrupciones del transformador t, perteneciente al grupo de calidad q y al Nivel de Tensión n, durante el trimestre p.
EPU n,q,p: <Definición de la variable modificada por el artículo 9 de la Resolución 43 de 2010. El nuevo texto es el siguiente:> Energía promedio consumida en kwh/hora por los usuarios del grupo de calidad q, del Nivel de Tensión n, durante el trimestre p, según información reportada por el comercializador en la base de datos comercial del SUI.
<La forma de calcular el componente EPU aclarada por el artículo 3 de la Resolución 67 de 2010. El nuevo texto es el siguiente:>

Donde:
Nniun,q,p: Número de usuarios identificados a partir del NIU, para los cuales durante el trimestre p se reporta por lo menos una factura en el SUI. Para calcular este número cada usuario sólo puede ser contado una vez.
EPDn,q,p: Energía promedio diaria facturada a los usuarios del nivel de tensión n, conectados al transformador que pertenece al grupo de calidad q, durante el trimestre p.
Nfactp,u: Número de facturas del usuario u durante el trimestre p.
Ndíasp,f,u: Igual a la variable “días facturados”, o la que la modifique o sustituya, reportada en el SUI durante el trimestre p, para la factura f del usuario u.
EFp,f,u: Igual a la variable “consumos” reportada en el SUI durante el trimestre p, para la factura f del usuario u.
PARÁGRAFO 1o. Para el cálculo del EPU y de todos sus componentes sólo se deben tomar los NIU reportados al SUI en por lo menos uno de los meses que conforman el trimestre p.
NU n,t,q,p: Número promedio de usuarios del transformador t, del grupo de calidad q, durante el trimestre p.
<Componente NTT aclarado por el artículo 2 de la Resolución 98 de 2009. En los siguientes términos:> Sólo cuando existan usuarios conectados directamente a un alimentador, para estimar el componente NTT que hace parte de la fórmula establecida en el numeral 11.2.3.2 del Anexo General de la Resolución CREG 097 de 2008, se debe tomar: i) para el DTT, los valores de horas interrumpidas reportadas al SUI correspondientes al alimentador al cual se encuentran conectados los usuarios, ii) para el EPU, la energía promedio de los usuarios del grupo de calidad al cual pertenece el alimentador y, iii) para el NU, el número promedio de usuarios conectados directamente a ese alimentador.
<Numeral aclarado por el artículo 13 de la Resolución 133 de 2008. El nuevo texto es el siguiente:> De acuerdo con el resultado de la evaluación del desempeño trimestral de cada OR sobre la calidad media del servicio prestado en el Nivel de Tensión 1, o en los Niveles de Tensión 2 y 3, el Cargo por Uso de cada mes, podrá ser ajustado en un valor que representa un Incentivo por Variación Trimestral de la Calidad (
Dt) durante el trimestre evaluado. El incentivo es otorgado al OR del SDL que atiende a los usuarios a los cuales se les aplicó el incentivo, por lo tanto no afecta los ingresos ni los cargos por el uso de los STR.
11.2.4.1 CÁLCULO DEL INCENTIVO POR VARIACIÓN TRIMESTRAL DE LA CALIDAD. <Numeral modificado por el artículo 1 de la Resolución 67 de 2010. El nuevo texto es el siguiente:> La estimación del Incentivo por Variación Trimestral de la Calidad, ÄDtn,m, ($/kWh) que tendrá un OR por la gestión de la calidad promedio de su sistema de distribución, se establecerá para cada Nivel de Tensión n aplicando la siguiente expresión:
![]()
Donde,
Dtn,m: Incentivo por Variación Trimestral de la Calidad calculado y reportado al SUI en el mes m, aplicable al Cargo por Uso del Nivel de Tensión n, en $/kWh.
IRADn,pm-4: Índice de Referencia Agrupado de la Discontinuidad del trimestre p de referencia al cual pertenece el mes m-4.
ITADn,pm-4: Índice Trimestral Agrupado de la Discontinuidad, estimado con base en la información de calidad del trimestre p al cual pertenece el mes m-4.
CROm-1: Costo de Racionamiento CRO1 calculado por la UPME para el mes m-1.
El cálculo por primera vez del Incentivo por Variación Trimestral de la Calidad,
Dtn,m, se hará a partir del quinto mes después de iniciado el esquema de Incentivos y Compensaciones por parte del OR, y su aplicación se hará por primera vez a partir del sexto mes.
El OR será el responsable del cálculo del incentivo
Dtn,m, y de su inclusión dentro del cargo por uso del respectivo nivel de tensión, según lo establecido en el numeral 6.5 del anexo de esta resolución.
El Incentivo por Variación Trimestral de la Calidad,
Dtn,m, sea este positivo o negativo, no podrá en ningún caso ser mayor al 10% del Dtn,m.
Para todos los efectos, se considera que hay incumplimiento en la prestación continua del servicio de distribución en el SDL, en los términos del artículo 136 de la Ley 142 de 1994, cuando:
i) El OR aumente su Índice Trimestral Agrupado de la Discontinuidad con respecto al promedio histórico y por encima de la Banda de Indiferencia;
ii) El OR tiene usuarios “Peor Servidos” cuya compensación estimada según lo establecido en el numeral 11.2.4.3 sobrepasa el límite establecido en el mismo numeral.
11.2.4.2 BANDA DE INDIFERENCIA PARA LA APLICACIÓN DEL INCENTIVO.
Se establece una Banda de Indiferencia dentro de la cual se considera que las variaciones de la Calidad Media dentro de este intervalo no representan mejoras o desmejoras de la Calidad Media como respuesta a la gestión del OR y por lo tanto el Incentivo por Variación Trimestral de la Calidad dentro de este rango,
Dtn,m, se hará igual a cero.
Los valores que determinan los extremos de la Banda de Indiferencia corresponderán a la Calidad Media alcanzada trimestralmente por el OR durante el año 2006 y durante el año 2007, así:

Donde:
IRADKn,p,k: Índice de Referencia Agrupado de la Discontinuidad, que representa el nivel promedio de Discontinuidad del servicio que percibieron los usuarios del OR conectados al Nivel de Tensión n, durante el trimestre p del año k.
Aun siendo el incentivo
Dtn,m mayor que cero, éste no será aplicable si algún Índice Trimestral de la Discontinuidad por Grupo de Calidad – ITGn,q,p, calculado como se indica en el numeral 11.2.3.2, se ha incrementado con respecto al Índice de Referencia de la Discontinuidad por Grupo de Calidad – IRGPn,q,p. Esto es:
Si ![]()
siendo:

Con k1=2006 y k2=2007
Donde:
IRGPn,q,p: Promedio de los Índices de Referencia de la Discontinuidad por Grupo de Calidad del trimestre p de los años 2006 y 2007, del nivel de tensión n y del grupo de calidad q.
IRGn,q,p,k: Índice de Referencia de la Discontinuidad por Grupo de Calidad q del nivel de tensión n durante el trimestre p del año k.
Entonces:
Dtn,m = 0
para cualquier q = 1, 2, 3, o 4
11.2.4.3. COMPENSACIÓN DEL USUARIO “PEOR SERVIDO".
<Numeral modificado por el artículo 2 de la Resolución 67 de 2010. El nuevo texto es el siguiente:> Todo OR cuyo Incentivo por Variación Trimestral de la Calidad,
Dtn,m sea mayor que cero, o se haga igual a cero por la aplicación del numeral 11.2.4.2, deberá compensar a cada uno de los usuarios conectados a los transformadores, en los cuales el Índice Trimestral de la Discontinuidad por Transformador (ITTn,t,q,p) resulte mayor que el Promedio de los Índices de Referencia de la Discontinuidad por Grupo de Calidad (IRGPn,q,p), del grupo en el cual se ubica el transformador, aplicando un Valor a Compensar por Usuario VCn,t,m estimado mediante la siguiente expresión:
Cuando:
![]()
Donde:
ITTn,t,q,p: Índice Trimestral de la Discontinuidad por transformador t del Nivel de tensión n perteneciente al grupo de calidad q durante el trimestre p.
IRGPn,q,p: Promedio de los Índices de Referencia de la Discontinuidad por Grupo de Calidad del trimestre p de los años 2006 y 2007, del nivel de tensión n y del grupo de calidad q.
Y siendo:

Donde:
DTTn,t,q,p: Duración Trimestral de las interrupciones por Transformador, medida en horas, para el transformador t, del Nivel de Tensión n y perteneciente al grupo de calidad q, durante el trimestre p.
NHp: Número de horas totales del trimestre p.
Entonces:
![]()
Donde:
VCn,t,m: Valor a Compensar en $ al Usuario “peor servido”, del nivel de tensión n y conectado al transformador t, durante el mes m.
IPS: Índice del Peor Servido, que relaciona el nivel de discontinuidad percibido por un usuario “peor servido” con el nivel de discontinuidad promedio de todos los usuarios atendidos por el OR.
CROm-1: Costo de Racionamiento CRO1 calculado por la UPME para el mes m-1.
CMp: Consumo promedio mensual del usuario durante el trimestre p de evaluación, en kWh.
El Índice del Peor Servido, IPS, se estima utilizando la siguiente expresión:

En ningún caso, el valor mensual a compensar a cada usuario, VCn,t,m, podrá ser superior al costo del servicio de distribución facturado al usuario en el respectivo mes.
Si un usuario “peor servido” se encuentra en mora en el mes de aplicación de la compensación, esta no le será pagada.
El OR será el encargado del cálculo de los Índices que hacen parte de este numeral y deberá elaborar un documento que soporte estos cálculos. El OR debe mantener disponible el documento de soporte por un término no menor a dos años y presentarlo ante la SSPD y/o el auditor en el momento en que estos lo soliciten.
El comercializador será el responsable del cálculo del valor a compensar VCn,t,m, a partir de la formulación dispuesta en este numeral y por tanto será usuario de la información de índices de discontinuidad reportada por el OR en el SUI.
El OR podrá consultar los valores compensados por los comercializadores que hacen parte de su mercado, a través del resumen de valores compensados totales, por comercializador y por mercado, que el SUI disponga para tal fin.
11.2.4.4 CONTRATOS DE CALIDAD EXTRA.
Adicionalmente a la aplicación del Esquema de Incentivos y Compensaciones descrito, los usuarios conectados a Niveles de Tensión 2 y 3, si así lo estiman conveniente, podrán negociar Contratos de Calidad Extra con el OR que le presta el servicio de distribución de electricidad.
La negociación de estos contratos considerará la posibilidad de realizar un acuerdo de mayor pago por el servicio de distribución, a cambio de garantizar condiciones de continuidad mejores a las establecidas en esta Resolución en cuanto a la duración de las interrupciones. En estos contratos también se podrán pactar condiciones de mejor calidad en términos de la cantidad de las interrupciones.
11.2.5 INFORMACIÓN BÁSICA PARA LA APLICACIÓN DEL ESQUEMA DE INCENTIVOS.
La información básica para la aplicación del esquema de incentivos y la estimación de los Índices, Incentivos y Compensaciones debe ser medida, registrada y reportada de acuerdo con lo que se establece en este numeral.
11.2.5.1 MEDICIÓN DE LAS INTERRUPCIONES.
Para consignar las interrupciones del servicio, cada OR deberá disponer de equipos de corte y maniobra telemedidos tales como seccionadores, interruptores (switches), reconectadores o recierres. Estos equipos deberán estar instalados en la cabecera de todos los alimentadores que componen la red del OR y en los demás puntos de la red que considere necesario. La telemedición deberá reportar al Sistema de Gestión de la Distribución del OR como mínimo la fecha y hora de inicio de cada ausencia de tensión y la fecha y hora del respectivo restablecimiento de la tensión así como de los cambios de estado (abierto o cerrado) que registre el equipo telemedido. El Sistema de Gestión de la Distribución mencionado debe componerse como mínimo de un sistema SCADA, un sistema GIS y de un servicio de Atención Telefónica con interfaz a los dos sistemas anteriores y a través del cual los usuarios puedan realizar el reporte de fallas del servicio. Este sistema recibirá y almacenará la información de todas las interrupciones del servicio. Para efectos de la medición de la calidad del servicio, la CREG establecerá los procedimientos operativos necesarios.
Una vez el OR disponga del Sistema de Gestión de la Distribución que le permita dar inicio a la aplicación del Esquema de Incentivos y Compensaciones, previo cumplimiento de los requisitos establecidos en el numeral 11.2.6.3, podrá solicitar a la CREG, por una única vez durante el período tarifario asociado a la vigencia de la presente Resolución y mediante el procedimiento de Actualización de Cargos por la Puesta en Servicio de Nuevos Activos, la inclusión de los activos que conforman el Sistema de Gestión de la Distribución, siempre y cuando estos no se encuentren dentro del inventario de activos utilizado para la definición de sus cargos.
Los registros originales de la información obtenida de esta gestión integrada deberán mantenerse disponibles por un período no inferior a dos años y ser utilizados durante las auditorias que se realicen a la información del OR.
11.2.5.2 REGISTRO Y REPORTE DE LA INFORMACIÓN DE LAS INTERRUPCIONES.
A efectos de garantizar la confiabilidad de la Medición y de la información resultante, el OR deberá obtener una Certificación de Gestión de Calidad de su Proceso de Distribución.
El Registro de las interrupciones medidas de acuerdo con lo establecido en el numeral 11.2.5.1 debe responder a un Procedimiento el cual garantice que, de manera veraz y verificable, el OR mantenga un seguimiento cronológico de todas las interrupciones que suceden a nivel de circuito, tramo de circuito y a nivel de transformador, y toda la información sobre los mismos que se considera relevante, tanto para la aplicación del esquema como para el análisis estadístico de la operación de los sistemas de distribución.
Los Procedimientos de Registro deben ser diseñados por cada OR y ser parte del Certificado de Gestión de Calidad mencionado. Esta certificación debe permanecer vigente y su incumplimiento, además de no permitir la aplicación del esquema de incentivos, se considerará un incumplimiento en la prestación continua del servicio en el SDL.
Toda la información registrada en el Sistema de Gestión de la Distribución de cada OR deberá mantenerse salvaguardada por un término mínimo de dos (2) años, junto con los soportes requeridos en caso de Exclusiones. Se deben además mantener, por el mismo término, los anuncios correspondientes a Interrupciones Programadas.
Para efectos del reporte de calidad del servicio, la CREG establecerá las condiciones operativas necesarias.
La información relevante a registrar para cada interrupción del servicio será la siguiente:
11.2.5.2.1 CAUSA DE LA INTERRUPCIÓN.
Para cada evento, el OR debe identificar la causa de la interrupción. En caso de considerarlo necesario, la CREG establecerá una estandarización de causas de eventos.
11.2.5.2.2 CLASIFICACIÓN DE LA INTERRUPCIÓN.
Una vez registrada cada Interrupción, esta se debe clasificar de acuerdo con lo establecido en el numeral 11.2.1.1.
11.2.5.2.3 DURACIÓN DE LA INTERRUPCIÓN.
La información registrada y almacenada en el Sistema de Gestión de la Distribución será la fuente para la estimación de la duración de las interrupciones, las cuales se calculan como la diferencia entre la hora de finalización y la hora de inicio registrada en el Sistema. Todas las interrupciones menores a un (1) minuto deberán incluirse en los cálculos de la duración y registrarse de manera independiente.
11.2.5.2.4 INFORMACIÓN COMPLEMENTARIA MENSUAL.
Mensualmente, para cada tramo de circuito y para cada transformador de la red, se debe además registrar la siguiente información:
a) Código de cada circuito, tramo de circuito y transformador.
b) Nombre y Código de la Subestación que alimenta cada circuito.
c) Número de usuarios conectados en cada circuito, tramo de circuito y transformador.
d) Ventas de energía en cada circuito y en cada transformador.
e) Voltaje nominal de cada circuito y relación de transformación de cada transformador.
f) Grupo de Calidad al que pertenece cada circuito, tramo de circuito y transformador.
g) Longitud de cada circuito o tramo de circuito.
h) Georreferenciación de cada circuito y de cada transformador.
i) Demás información solicitada por el SUI.
11.2.5.2.5 REPORTE DE LA INFORMACIÓN DE LAS INTERRUPCIONES.
<Numeral modificado por el artículo 14 de la Resolución 43 de 2010. El nuevo texto es el siguiente:> Los reportes de información de calidad de cada OR al SUI, en los formatos y condiciones que para el efecto se determinen, serán mensuales y corresponderán como mínimo a la información registrada de acuerdo con lo establecido en este numeral. De todas formas, los reportes en la base de datos de Calidad de Transformadores deberán reflejar las interrupciones presentadas tanto por el transformador como por los circuitos, o tramos de circuitos, que lo alimenten.
De otra parte, el LAC será receptor directo de la información original producida en el Sistema de Gestión de la Distribución de cada OR y para tal fin deberá disponer de la información original de calidad de cada OR. El proceso operativo de obtención de información por parte del LAC será determinado por la CREG.
El LAC realizará un cálculo paralelo de los Índices necesarios para estimar los incentivos y las compensaciones, el cual se usará como información comparativa durante la auditoría a la información de la que trata el numeral 11.2.5.4.2. Para el efecto, el LAC será un usuario de la información de calidad consignada en el SUI.
De acuerdo con lo anterior, el OR deberá contar con un sistema de telecomunicación entre su Sistema de Gestión de la Distribución y el LAC.
11.2.5.3 ESTIMACIÓN TRIMESTRAL DE LA DISCONTINUIDAD Y DEL INCENTIVO CORRESPONDIENTE.
<Numeral modificado por el artículo 15 de la Resolución 43 de 2010. El nuevo texto es el siguiente:> Con base en la información de calidad y comercial reportada al SUI, el OR estimará los índices trimestrales y componentes necesarios para la determinación de los incentivos y compensaciones. También trimestralmente elaborará un documento que soporte estos cálculos los cuales deberán ser conservados por el OR por un término mínimo de dos años para efectos de la aplicación de las auditorías de la información o para revisión y consulta de la SSPD, si esta así lo requiere.
El día quince (15) del segundo mes siguiente al de finalización de cada trimestre, el OR reportará al SUI el ITAD y demás índices y componentes necesarios para el cálculo de los incentivos y las compensaciones.
Los OR deben contratar, con firmas de reconocido prestigio, dos tipos de auditorías así:
Para dar inicio a la aplicación del Esquema de Incentivos y/o Compensaciones, el OR deberá contratar una firma auditora para que certifique el cumplimiento de los requisitos establecidos en el numeral 11.2.6.3.
11.2.5.4.2 AUDITORÍA A LA INFORMACIÓN.
Cuando lo CREG lo solicite, el OR debe contratar una auditoría a la información registrada y reportada sobre las interrupciones del servicio, así como de los soportes que dieron lugar a exclusiones, haciendo especial énfasis en las inconsistencias detectadas entre la información en poder del LAC, los cálculos realizados por éste último y la información utilizada por el OR. Para el efecto, el OR debe mantener disponible toda la información correspondiente a los dos años anteriores a la ejecución de la auditoría.
Adicionalmente, esta auditoría deberá verificar que la aplicación de los incentivos y compensaciones realizados por el OR correspondan con la calidad brindada por el OR, de acuerdo con la metodología expuesta en este capítulo y que los valores de los Incentivos y Compensaciones se encuentren soportados en el documento de cálculo mencionado en los numerales 11.2.4.1 y 11.2.4.3.
Los criterios con base en los cuales la CREG solicitará la ejecución de auditorías, así como las condiciones para su contratación, serán determinados en Resolución aparte.
Los resultados de estas auditorías deberán ser entregados a la CREG y, si es del caso, dará aviso a la SSPD con el propósito de que, en ejercicio de sus funciones, establezca si el respectivo OR ha incurrido en conductas sancionables por violaciones a la ley y a los actos administrativos a los que está sujeto, todo sin perjuicio de la responsabilidad penal que pueda deducirse de estas conductas.
11.2.6 IMPLEMENTACIÓN DEL ESQUEMA DE INCENTIVOS Y COMPENSACIONES.
La implementación del esquema de Incentivos y Compensaciones descrito en este Capítulo requiere del cumplimiento de los siguientes requisitos de Información y Definición de Procedimientos:
11.2.6.1 INFORMACIÓN INICIAL PARA EL CÁLCULO DEL IRAD.
Dentro de los tres (3) meses siguientes a la entrada en vigencia de esta Resolución, se adecuarán los aplicativos del SUI necesarios para reportar la información definida en el numeral 11.2.5.2. Estas adecuaciones se informarán mediante Circular Conjunta SSPD-CREG.
Cumplido el anterior plazo, el OR dispondrá de máximo tres (3) meses para complementar la información de los años 2006 y 2007 previamente consignada en el SUI que le sea solicitada por la CREG, acorde con los aplicativos diseñados para tal fin y dando cumplimiento a las disposiciones y procedimientos que establezca la SSPD.
Con base en esta información, la CREG estimará el Índice de Referencia Agrupado de la Discontinuidad (IRADn,p), los Índices de Referencia Agrupados de la Discontinuidad para cada año de referencia (IRADKn,p,k), así como el Promedio de los Índices de Referencia de la Discontinuidad por Grupo de Calidad (IRGPn,p,q) requeridos para su aplicación, los cuales serán adoptados por la CREG mediante Resolución Particular a cada OR.
11.2.6.2 INFORMACIÓN PARA EL CÁLCULO DEL ITAD.
El OR calculará el ITAD con base en la información de duración de las interrupciones de transformadores reportada mensualmente al SUI. Sin embargo, la CREG establecerá los procedimientos operativos necesarios para la validación de la información de las interrupciones registradas en los elementos telemedidos y demás fuentes de registro utilizadas por el OR en su sistema de Gestión de la Distribución.
11.2.6.3 REQUISITOS PARA LA APLICACIÓN DEL ESQUEMA DE INCENTIVOS Y COMPENSACIONES.
La aplicación del Esquema de Incentivos y Compensaciones se iniciará para cada OR una vez cumpla los requisitos establecidos en este numeral y se haya expedido la Resolución de que trata el numeral 11.2.6.1.
Sin perjuicio de lo anterior, el OR contará con un plazo máximo de dieciocho (18) meses, contados a partir de la fecha de entrada en vigencia de esta Resolución, para cumplir con estos requisitos. De no ser así, se considerará que el OR está incumpliendo la regulación de calidad del servicio.
El OR informará a la CREG el cumplimiento de los siguientes requisitos con base en los resultados de la auditoría que para el efecto debe contratar, como se indica en el numeral 11.2.5.4 de este Capítulo.
a) Vinculación de usuarios a transformadores y circuitos. Este requisito debe estar cumplido de acuerdo con lo establecido en la Resolución CREG 070 de 1998 y solicitado en la circular conjunta SSPD-CREG No. 002 de 2003 o demás que la complementen, modifiquen o sustituyan.
b) Sistema de Gestión de la Distribución descrito en el numeral 11.2.5.1.
c) Telemedición en elementos de corte y maniobra instalados en la cabecera de circuito.
d) Permiso al LAC para tener acceso directo a la Base de Datos de Interrupciones registradas en el sistema de Gestión de la Distribución de cada OR.
e) Sistema de Medición y Procedimientos de Registro y Reporte del OR certificados.
Mientras el OR comienza a aplicar el Esquema de Incentivos y/o Compensaciones deberá continuar aplicando la regulación de calidad del servicio establecido en la Resolución CREG 070 de 1998 y demás resoluciones que la modifican, complementan o sustituyen.
11.2.7 RESPONSABILIDADES DE INFORMACIÓN SOBRE LA CALIDAD DEL SDL.
<Inciso adicionado por el artículo 16 de la Resolución 43 de 2010. El nuevo texto es el siguiente:> Los OR y los comercializadores tienen las siguientes responsabilidades y obligaciones con respecto al esquema de Incentivos y Compensaciones a la calidad del servicio en el SDL:
11.2.7.1 RESPONSABILIDADES Y OBLIGACIONES DEL OR. <Numeral modificado por el artículo 16 de la Resolución 43 de 2010. El nuevo texto es el siguiente:> a) Por lo menos una vez al año y antes del inicio del esquema de Incentivos y Compensaciones, el OR deberá entregar al comercializador, para que este publique en la factura del usuario, un anexo informativo sobre la forma como funciona el Esquema de Incentivos y Compensaciones a la Calidad del Servicio de Distribución Eléctrica.
b) Antes de comenzar la aplicación del Esquema de Incentivos y Compensaciones, el OR deberá suministrar al Comercializador los códigos de vinculación de usuarios a circuitos, tramos de circuitos y transformadores.
c) Asignar los códigos de circuitos y transformadores de su red.
d) Mantener actualizada la vinculación de usuarios y transformadores para garantizar la aplicación adecuada del esquema de incentivos y compensaciones.
e) Reportar la información de interrupciones al SUI y al LAC de acuerdo con los requerimientos y plazos establecidos en esta Resolución y en la Resolución CREG 097 de 2008, o aquellas que las modifiquen o sustituyan.
f) Mantener permanentemente actualizada y reportada al SUI la base de datos georreferenciada de su red, e informar mensualmente al comercializador sobre los cambios en la vinculación que se hayan producido.
g) Es responsabilidad del OR mantener por un término mínimo de dos años, para efectos de la aplicación de las auditorías de la información o para revisión y consulta de la SSPD si esta así lo requiere, el soporte de cada una de las clasificaciones de eventos por exclusión o eliminación realizadas con respecto a sus reportes trimestrales al SUI y al LAC.
11.2.7.2 RESPONSABILIDADES Y OBLIGACIONES DEL COMERCIALIZADOR. <Numeral modificado por el artículo 16 de la Resolución 43 de 2010. El nuevo texto es el siguiente:> a) Reportar información veraz y oportuna en la base de datos comercial del SUI para garantizar la aplicación adecuada del esquema de incentivos y compensaciones a la calidad del servicio.
b) Reportar al SUI la información comercial utilizando los códigos de transformadores y circuitos asignados por el OR. Para el efecto, en el SUI se habilitarán únicamente los códigos reportados por el OR.
c) En la facturación mensual de los usuarios, calcular y aplicar los valores a compensar que se deriven de la aplicación de esquema de calidad del servicio.
d) En cada factura que emita el Comercializador a sus usuarios deberá presentar la siguiente información, con base en la información contenida en el SUI:
i) Código del transformador al cual se encuentra conectado el Usuario;
ii) Grupo de calidad al cual pertenece el transformador al cual se conecta el usuario;
iii) Duración total de las interrupciones presentadas durante el trimestre con base en el cual se está compensando al usuario en dicha factura;
iv) Valor a compensar cuando es un usuario “peor servido”. Complementariamente se deberá informar el valor de las variables CROm-1 y CMp utilizadas en el cálculo de la compensación.
v) Nombre y Dirección del Operador de Red del sistema al que se conecta el Usuario y el número telefónico para comunicarse al servicio de Atención Telefónica las interrupciones del servicio
11.2.7.3 SOLUCIÓN DE DIFERENCIAS EN LA INFORMACIÓN.
En caso de presentarse diferencias en la información reportada por los agentes o contabilizada por los usuarios, estos últimos tienen el derecho que les reconocen los artículos 152 y siguientes de la ley 142 de 1994 para presentar peticiones, quejas, recursos y reclamaciones.
11.2.8. CALIDAD DEL SERVICIO PARA EMPRESAS RECIENTEMENTE VINCULADAS AL SIN. <Numeral derogado por el artículo 29 de la Resolución 101-3 de 2023>
PÉRDIDAS Y FACTORES PARA REFERIR AL STN.
La determinación de pérdidas reconocidas por Nivel de Tensión resulta de análisis técnicos de los sistemas operados por cada OR con base en la información entregada en cumplimiento de las Circulares CREG 013 y 015 de 2007 y, adicionalmente, en la información entregada por XM Expertos en Mercados S.A. E.S.P. con la simulación de pérdidas en los STR.
La determinación de pérdidas totales y pérdidas no reconocidas resulta de los análisis de los flujos de energía entregados conforme al CAPÍTULO IX, la información de fronteras del SIC y la información de ventas del SUI.
12.1 PÉRDIDAS RECONOCIDAS POR NIVEL DE TENSIÓN.
Las pérdidas reconocidas por nivel de tensión se determinarán de acuerdo con los siguientes criterios:
Nivel de Tensión 4 (Pj,4)
Se calcula un índice de pérdidas para cada STR en el Nivel de Tensión 4 y conexiones al STN, para reconocer la cantidad de la energía perdida, por aspectos técnicos de la red, respecto de la energía de entrada al Nivel de Tensión 4.
Nivel de Tensión 3 (Pj,3)
Se calcula un índice de pérdidas técnicas para el Nivel de Tensión 3 para cada sistema operado por un OR, para reconocer la cantidad de la energía perdida por aspectos técnicos de la red respecto de la energía de entrada al Nivel de Tensión 3, modelando la totalidad de la red con la información de redes y equipos de Nivel de Tensión 3 y sus curvas de carga entregados a la CREG de acuerdo con lo solicitado en la Circular CREG 015 de 2007.
En caso de que no se cuente con la totalidad de la información de que trata la Circular 015 de 2007 de algún OR o de que se encuentren inconsistencias en la información presentada, se utiliza la mejor información disponible para el cálculo de las pérdidas.
En caso de no contar con información de un OR y de conocer que dicho OR cuenta con infraestructura en el Nivel de Tensión 3, se le asignará un valor inferior en 0,5 puntos porcentuales al menor índice de pérdidas técnicas calculado para los otros OR en el país, hasta tanto el OR presente la información requerida.
Cuando un OR haya presentado un modelo con la simulación de la totalidad de su red en este nivel de tensión, se aprobará el índice resultante de dicha simulación siempre y cuando el modelo contenga la información reportada a la CREG en cumplimiento de lo solicitado en la Circular CREG 015 de 2007, cumpla con los parámetros técnicos estipulados en la regulación y la energía circulante por las redes de dicho nivel de tensión en un año no supere la energía de entrada a dicho nivel de tensión declarada por el OR (según el CAPÍTULO IX).
Nivel de Tensión 2 (Pj,2)
Se calcula un índice de pérdidas técnicas para el Nivel de Tensión 2 para cada sistema operado por un OR, para reconocer la cantidad de la energía perdida por aspectos técnicos de la red respecto de la energía de entrada al Nivel de Tensión 2, modelando las redes típicas o la totalidad de la red entregadas a la CREG de acuerdo con lo solicitado en la Circular CREG 015 de 2007.
En caso de que no se cuente con la totalidad de la información de que trata la Circular 015 de 2007 de algún OR, de que el OR no haya presentado curvas de carga de Nivel de Tensión 2 o de que se encuentren inconsistencias en la información presentada, se utilizará la mejor información disponible para el cálculo de las pérdidas.
En caso de no contar con información de un OR y de conocer que dicho OR cuenta con infraestructura en el Nivel de Tensión 2, se le asignará un valor inferior en 0,5 puntos porcentuales al menor índice de pérdidas técnicas calculado para los otros OR en el país, hasta tanto el OR presente la información requerida.
Cuando un OR haya presentado un modelo con la simulación de la totalidad de su red en este nivel de tensión, se aprobará el índice resultante de dicha simulación siempre y cuando el modelo contenga la información reportada a la CREG en cumplimiento de lo solicitado en la Circular CREG 015 de 2007, cumpla con los parámetros técnicos estipulados en la regulación y la energía circulante por las redes de dicho nivel de tensión en un año no supere la energía de entrada a dicho nivel de tensión declarada por el OR (según el CAPÍTULO IX).
Nivel de Tensión 1 (Pj,1)
Para este Nivel de Tensión se calcula un índice, resultante del cálculo de pérdidas técnicas y pérdidas no técnicas reconocidas, para reconocer la cantidad de la energía perdida en este nivel respecto de la energía de entrada al mismo.
El cálculo de las pérdidas técnicas se realiza para cada sistema, modelando la totalidad de los circuitos entregados por cada agente de acuerdo con lo solicitado en la Circular CREG 013 de 2007 según los siguientes parámetros:
-- Para modelar el comportamiento de la carga a través del tiempo en cada circuito, se simula el comportamiento de la carga de los usuarios según el área geográfica en donde se encuentre utilizando un modelo de Montecarlo. En caso de que un OR haya presentado curvas de carga en éste nivel de Tensión, el modelo se ajustará para que represente dicha curva.
-- En caso de que no se cuente con la información de que trata la Circular 013 de 2007 de algún OR o en caso de que se encuentren inconsistencias en la información presentada se utiliza la mejor información disponible para el cálculo de las pérdidas.
-- Cuando un OR haya presentado un modelo con la simulación de la totalidad de su red en este nivel de tensión, se aprobará el índice resultante de dicha simulación siempre y cuando el modelo contenga la información reportada a la CREG en cumplimiento de lo solicitado en la Circular CREG 013 de 2007, cumpla con los parámetros técnicos estipulados en la regulación (según el CAPÍTULO IX).
Las pérdidas no técnicas reconocidas (PNTj,r), para cada sistema, serán:
-- Las Pérdidas No Técnicas Reconocidas serán las que se aprueben a cada OR conforme a la presentación de los Planes de Reducción o Mantenimiento de Pérdidas de Energía Eléctrica, como índice de energía perdida en el Nivel de Tensión 1 respecto de la energía de entrada en éste nivel de tensión.
-- Mientras se expide la regulación respecto de los Planes de Reducción o Mantenimiento de Pérdidas de Energía Eléctrica y le son aprobados a los OR sus respectivos índices, se tomará como valor de Pérdidas No Técnicas Reconocidas el índice resultante de la diferencia entre 12,75% y el índice de Pérdidas Técnicas del Nivel de Tensión 1, que permanecerá hasta cuando le sea aprobado al OR su índice particular.
El índice total de pérdidas reconocidas para el Nivel de Tensión 1 será el resultante de la suma de los índices de pérdidas técnicas y de pérdidas no técnicas reconocidas.
En caso de que al momento de presentación de la solicitud de aprobación de costos y cargos por parte de un OR no se cuente con la información del mismo, solicitada a través de la Circular CREG 013 DE 2007, que permita un adecuado cálculo de pérdidas en este Nivel de Tensión, se le asignará a dicho OR un valor inferior en 1 punto porcentual al menor índice de pérdidas técnicas calculado para los otros OR en el país, hasta tanto el OR presente la información requerida.
12.2 PÉRDIDAS NO TÉCNICAS NO RECONOCIDAS (PNTJ,NR).
Pérdidas No Técnicas No Reconocidas se calculará con base en la siguiente expresión:

Donde:
| PNTj,nr: | Pérdidas No Técnicas No Reconocidas al OR j en kWh-año. |
| EEj: | Energía de Entrada total al sistema del OR j, proveniente del STN, agentes generadores y otros OR (kWh-año sin referir al STN). |
| ESj: | Energía de Salida total del sistema del OR j a Comercializadores, otros OR o al STN (kWh-año sin referir al STN). |
| Pj,n: | Porcentaje de pérdidas del OR j del Nivel de Tensión n (n= 4, 3, 2 ó 1). |
| Eej,1: | Energía de Entrada al Nivel de Tensión n (n= 4, 3, 2 ó 1) del OR j, proveniente del STN, agentes generadores, otros OR y otros niveles de tensión del mismo OR (kWh-año sin referir al STN). |
12.3 DETERMINACIÓN DE LOS FACTORES PARA REFERIR AL STN.
Los factores de cada Nivel de Tensión para referir las medidas de energía al STN, considerando las pérdidas de energía eficientes de los STR o SDL, se determinarán, para cada OR, siguiendo las siguientes expresiones:
Nivel de Tensión 4:
![]()
donde:
| PR4,j: | Factor para referir las medidas de energía del Nivel de Tensión 4 del OR j al STN. |
| Pj,4: | <Variable aclarada por el artículo 16 de la Resolución 133 de 2008. El nuevo texto es el siguiente:> Pérdidas a reconocer en el Nivel deTensión 4 al OR j, iguales para los OR conectados a un mismo STR.Mientras se aprueba este valor a cada OR con la presente metodología, esta variable será igual a P4,k, para el año 2007 calculada de acuerdo con la metodología de la Resolución CREG 082 de 2002 |
Nivel de Tensión 3:
<Formula aclarada por el artículo 16 de la Resolución 133 de 2008. El nuevo texto es el siguiente:>

![]()
donde:
PR3,j: Factor para referir las medidas de energía del Nivel de Tensión 3 del OR j al STN.
Pj,n: <Variable aclarada por el artículo 16 de la Resolución 133 de 2008. El nuevo texto es el siguiente:> Pérdidas a reconocer en el Nivel de Tensión n del OR j (donde n es 3 ó 4). Mientras se aprueban estos valores a cada OR con la presente metodología, estas variables serán iguales a P3,k o P4,k para el año 2007, según corresponda, calculadas de acuerdo con la metodología de la Resolución CREG 082 de 2002.
Fej,n-3: Flujo de energía anual entre el Nivel de Tensión n (n es STN ó 4) y el Nivel de Tensión 3 del OR j (MWh-año), de acuerdo con el balance de energía de que trata el CAPÍTULO IX.
Pj,STN-3: Pérdidas de transformación para referir las medidas de energía del Nivel de Tensión 3 al STN e iguales a 0,23%
Nivel de Tensión 2:
![]()
![]()
donde:
PR2,j: Factor para referir las medidas de energía del Nivel de Tensión 2 del OR j al STN.
Pj,n: <Variable aclarada por el artículo 16 de la Resolución 133 de 2008. El nuevo texto es el siguiente:> Pérdidas a reconocer en el Nivel de Tensión n del OR j (donde n es 2, 3 ó 4). Mientras se aprueban estos valores aplicables a cada OR con la presente metodología, estas variables serán iguales a P2,j,k, P3,k o P4,k para el año 2007, según corresponda, calculadas de acuerdo con la metodología de la Resolución CREG 082 de 2002.
Fej,n-2: Flujo de energía anual entre el Nivel de Tensión n (n es STN, 4 ó 3) y el Nivel de Tensión 2 del OR j (MWh-año), de acuerdo con el balance de energía de que trata el CAPÍTULO IX.
Pj,n-2: Pérdidas de transformación para referir las medidas de energía del Nivel de Tensión 2 al Nivel de Tensión n (n es STN ó 4) del mismo OR e iguales a 0,23%
Nivel de Tensión 1:

![]()
donde:
PR1,j: <Variable aclarada por el artículo 16 de la Resolución 133 de 2008. El nuevo texto es el siguiente:> Factor para referir las medidas de energía del Nivel de Tensión 1 del OR j al STN. Mientras se aprueban los valores necesarios para calcularla, esta variable será igual a 12,75%, de acuerdo con lo previsto en el numeral 12.1 de este Anexo.
Pj,1: <Variable aclarada por el artículo 16 de la Resolución 133 de 2008. El nuevo texto es el siguiente:> Pérdidas reconocidas en el Nivel de Tensión 1 del OR j. Mientras se aprueba este valor a cada OR con la presente metodología, esta variable se calculará despejándola de la fórmula de cálculo de la variable PR1,j definida anteriormente.
PR3,j: Factor para referir las medidas de energía del Nivel de Tensión 3 del OR j al STN.
Fej,n-1: Flujo de energía anual entre el Nivel de Tensión n (n es 3 ó 2) y el Nivel de Tensión 1 del OR j (MWh-año), de acuerdo con el balance de energía de que trata el CAPÍTULO IX.
PR2,j: Factor para referir las medidas de energía del Nivel de Tensión 2 del OR j al STN.
Pérdidas de transformadores de conexión al STN:
Las pérdidas de transformación para referir las medidas de usuarios que se consideran conectados directamente al STN, independientemente del Nivel de Tensión de baja tensión del transformador de conexión al STN donde se encuentre su medida, son iguales a 0,23%.
12.4 PÉRDIDAS PARA LAS EMPRESAS RECIENTEMENTE VINCULADAS AL SIN. <Numeral derogado por el artículo 29 de la Resolución 101-3 de 2023>
CARGOS POR RESPALDO DE LA RED.
Los Usuarios de los STR o SDL podrán solicitar al OR del sistema al cual se conectan, a través de su comercializador, la suscripción de un contrato de disponibilidad de capacidad de respaldo de la red de uso, siempre y cuando el OR tenga la capacidad disponible en su Sistema, en el punto de conexión solicitado por el usuario.
La anualidad de la inversión correspondiente al servicio de respaldo se calculará así:

Con:
![]()

Donde:
| ITOTAL: | Costo de la inversión total anual requerida para la prestación del servicio de respaldo. Dicho valor se actualizará mensualmente con el Índice de Precios al Productor Total Nacional (IPP). |
| IT: | Corresponde al costo de la capacidad de transformación requerida para el servicio de respaldo. La tarifa por unidad de potencia es de 12.400 $/kVA–año (pesos de diciembre de 2007), independientemente del Nivel de Tensión al cual esté conectado el usuario. |
| CTr: | Capacidad de transformación (kVA), requerida para el servicio de respaldo. |
| IL: | Corresponde a las inversiones en líneas que son utilizadas para prestar el servicio de respaldo en proporción a la capacidad de respaldo requerida, en el nivel de tensión que se encuentra la conexión. |
| IE: | Corresponde a las inversiones en equipos que son utilizados para prestar el servicio de respaldo en proporción a la capacidad de respaldo requerida, en el nivel de tensión que se encuentra la conexión. |
Para estos efectos la forma de calcular la inversión total correspondiente es:
| l: | Longitud (km), de la línea que es utilizada para prestar el servicio de capacidad de respaldo. |
| CRi,k: | Costo Reconocido para la UC i, en el año k, reportada por el OR j. |
| PCR: | Relación entre la capacidad de respaldo solicitada y la capacidad nominal del elemento (red o equipo). Cuando dichos elementos sean utilizados en forma exclusiva por el usuario estos activos se considerarán de conexión y no se les aplicará lo dispuesto en la presente resolución sobre cargos por disponibilidad de capacidad de respaldo de la red. |
| n: | Corresponde a cada uno de los equipos involucrados en la prestación del servicio de capacidad de respaldo |
| r: | Tasa de Retorno para la remuneración con la Metodología de Ingreso Regulado o con la Metodología de Precio Máximo, según corresponda. |
| Vi: | Vida útil en años, reconocida para la UC i. |
| IPPm: | Índice de Precios al Productor Total Nacional, correspondiente al mes m |
| IPPo: | Índice de Precios al Productor Total Nacional, correspondiente al mes de diciembre de 2007. |
El reconocimiento de los gastos de Administración, Operación y Mantenimiento, se hará de la siguiente manera:
-- Se realizará el cálculo de la inversión total de los activos necesarios para prestar el respaldo, valorada con las UC de la presente resolución.
-- Se tomará el WACC reconocido para SDL.
-- El valor del AOM será calculado a partir de la aplicación del porcentaje anual reconocido al OR en la remuneración de la actividad de distribución, aplicada a la inversión requerida para la prestación del servicio de capacidad de respaldo.
Cuando no se contrate el servicio de capacidad de respaldo y no se disponga de la capacidad requerida para la prestación del servicio, los OR no estarán obligados a garantizar la disponibilidad.
Los contratos de capacidad de respaldo se regirán por las siguientes normas:
1. Los Cargos aquí calculados por Disponibilidad de Capacidad de Respaldo de la Red son precios máximos. Las partes podrán negociar dicha tarifa.
2. El OR puede verificar en cualquier momento, las instalaciones del usuario que solicita el servicio de respaldo, para constatar la capacidad de respaldo requerida.
3. <Numeral aclarado por el artículo 17 de la Resolución 133 de 2008. El nuevo texto es el siguiente:> Cuando la capacidad de respaldo usada supere la contratada, el OR podrá solicitar el ajuste del contrato de capacidad de respaldo aumentando la diferencia correspondiente.
4. El OR podrá instalar equipos para el control de la capacidad de respaldo otorgada.
CRITERIO DE EFICIENCIA PARA TRANSFORMADORES DEL NIVEL DE TENSIÓN 1.
La valoración de cada uno de los transformadores de Nivel de Tensión 1 se efectuará de acuerdo con la cargabilidad individual, considerando la información de ventas anuales registradas en el transformador, extractada del SUI, y la información recopilada a través de la Circular CREG 013 de 2007.
El valor de los transformadores, que hace parte de la variable Inv_Cj,k,i de que trata el CAPÍTULO II, será el que corresponda a la capacidad reportada por el OR cuando dicho transformador presente una cargabilidad igual o superior al 40% de su capacidad nominal. En caso contrario, se registrará el valor del transformador con capacidad menor que cumpla con la cargabilidad el 40% para atender la demanda asociada, según las siguientes expresiones:
Si Fcti
0,4 entonces CapTi = CapRi
Si Fcti < 0,4 entonces CapTi = Comi ![]()
Con: 
Donde:
| Fcti : | Cargabilidad del Transformador i |
| CapTi : | Capacidad del transformador i (kVA) a reconocer como parte de la variable Inv_Cj,k,i de que trata el CAPÍTULO II. |
| CapRi: | Capacidad del transformador i (kVA) reportada por el OR. |
| Comi(CapAi): | Capacidad del transformador monofásico o trifásico (kVA) inmediatamente superior al valor de la CapAi. Se establecen como capacidades de los transformadores monofásicos o trifásicos (kVA), las indicadas en la Tabla 20, numeral 5.3 del CAPÍTULO V de esta Resolución. |
| CapAi: | Capacidad de un transformador (kVA) cargado al 40% considerando la demanda de energía anual del transformador i. |
La cargabilidad del transformador se calculará según las siguientes expresiones:
![]()

![]()
![]()

Donde:
Fcti : Cargabilidad del Transformador i.
Ppti: Potencia Pico calculada para el transformador i (kVA)
CapRi: Capacidad del transformador i (kVA) reportada por el OR.
Vtfi : Ventas de energía anuales ajustadas (kWh-año) para el transformador i del OR j.
f : Factor de potencia igual a 0,9
Fci: Factor de carga del transformador i, reportado por el OR en cumplimiento de lo solicitado en la Circular CREG 013 de 2007.
pi: Fracción de la energía perdida trasportada en el transformador i (pérdidas del cobre del transformador i más la fracción de pérdidas no técnicas reconocidas que pasa a través del mismo) referida a las ventas totales del Nivel de Tensión 1.
Fpi: Factor de pérdidas del transformador i.
EEj,1: Energía de entrada al Nivel de Tensión 1, del OR j, durante el año que finaliza en la Fecha de Corte.
PTj,1: Porcentaje de Pérdidas Técnicas del Nivel de Tensión 1. Fracción de energía perdida en este nivel de tensión (transformador y red) por aspectos técnicos respecto de la energía de entrada al mismo Nivel.
PTfei: <Variable aclarada por el artículo 18 de la Resolución 133 de 2008. El nuevo texto es el siguiente:> Porcentaje de Pérdidas en el Hierro del transformador i. Fracción de energía perdida en el hierro del transformador, según lo establecido en las Normas NTC-818 y NTC-819.
PNTj,r: Porcentaje de Pérdidas No Técnicas Reconocidas al OR j, calculado según lo señalado en el CAPÍTULO XII, con respecto a la energía de entrada en el Nivel de Tensión 1.
VTri: Ventas de energía durante el año que finaliza en la Fecha de Corte (kWh-año) registradas para los usuarios asociados con el transformador i, conforme a las reportadas al SUI.
VtN1: Ventas totales de energía durante el año que finaliza en la Fecha de Corte en el Nivel de Tensión 1 (kWh-año), reportadas al SUI en el Mercado de Comercialización respectivo.
CapN1: Capacidad nominal (kVA) de la totalidad de los transformadores del Nivel de Tensión 1 registrados en el SUI a la Fecha de Corte.
CONTENIDO DE LA SOLICITUD.
En la solicitud escrita que se formule a la CREG para la fijación de cargos y costos de distribución, la empresa deberá incluir como mínimo lo siguiente:
“Que hemos aplicado la metodología de que trata la Resolución CREG 097 de 2008, obteniendo los siguientes resultados para el sistema que opera la (Nombre empresa):
| Costos | Pesos de diciembre de 2007 |
| Costo Anual por el uso de los activos del Nivel de Tensión 4 | |
| Costo Anual por el uso de los activos del Nivel de Tensión 3 | |
| Costo Anual por el uso de los activos del Nivel de Tensión 2 | |
| Costo Anual por el uso de los activos del Nivel de Tensión 1 | |
| Valores para el cálculo de AOM | Pesos de diciembre de 2007 |
| Valor anual del AOM gastado (AOMGj,04-07) | |
| Valor anual del AOM remunerado (AOMRj,04-07) | |
| Costo de Reposición de Inversión para el Nivel de Tensión 4 (CRIj,4) | |
| Costo de Reposición de Inversión para el Nivel de Tensión 3 (CRIj,3) | |
| Costo de Reposición de Inversión para el Nivel de Tensión 2 (CRIj,2) | |
| Costo de Reposición de Inversión para el Nivel de Tensión 1 (CRIj,1) | |
| Porcentajes de AOM | (%) |
| Porcentaje de AOM gastado (PAOMGj,04-07) | |
| Porcentaje de AOM remunerado (PAOMRj,04-07) | |
| Porcentaje de AOM de Referencia (PAOMj,ref) | |
| Energía | kWh (Año de la Fecha de Corte) |
| Energía Útil del Nivel de Tensión 3 | |
| Energía Útil del Nivel de Tensión 2 | |
| Pérdidas No Técnicas No Reconocidas | |
| Cargos | $/kWh (Pesos de diciembre de 2007) |
| Cargo Máximo del Nivel de Tensión 3 | |
| Cargo Máximo del Nivel de Tensión 2 | |
| Cargo Máximo del Nivel de Tensión 1, por concepto de inversión | |
| Cargo Máximo del Nivel de Tensión 1, por concepto de AOM |
Que con la firma de este documento ratifico que la información de nuestra empresa ingresada a través de la WEB de la Comisión, corresponde a nuestros inventarios en los Niveles de Tensión 4, 3 y 2 y Activos de Conexión del OR al STN, sobre los cuales se realizará la verificación de que trata el CAPÍTULO VII del Anexo General de la Resolución CREG 097 de 2008.
Se anexa un documento que contiene toda la información necesaria, en los términos de esta resolución, para la aprobación de cargos junto con los soportes que respaldan los resultados presentados.
Así mismo se adjunta el plano impreso del diagrama unifilar de los activos operados por la empresa en los Niveles de Tensión 4 y 3, especificando todas las conexiones a otros Niveles de Tensión y al STN. Así mismo, ratifico que estos planos fueron ingresados a través de la página web de la comisión en el lugar dispuesto para tal fin.
Para efectos de la publicación de que trata el Parágrafo 2 del Artículo 19 de la Resolución CREG 097 de 2008, a continuación se presenta la información requerida en el CAPÍTULO VIII del Anexo General de la misma Resolución……."
Publíquese y cúmplase.
Dado en Bogotá, D. C., a 26 de septiembre de 2008.
El Presidente,
MANUEL MAIGUASHCA OLANO,
Viceministro de Minas y Energía Delegado del Ministro de Minas y Energía.
El Director Ejecutivo,
HERNÁN MOLINA VALENCIA.