RESOLUCIÓN 872 DE 2006
(mayo 18)
Diario Oficial No. 46.273 de 19 de mayo de 2006
MINISTERIO DE AMBIENTE, VIVIENDA Y DESARROLLO TERRITORIAL
Por la cual se establece la metodología para el cálculo del índice de escasez para aguas subterráneas a que se refiere el Decreto 155 de 2004 y se adoptan otras disposiciones.
LA MINISTRA DE AMBIENTE, VIVIENDA Y DESARROLLO TERRITORIAL,
en ejercicio de las facultades legales, en especial las conferidas por el artículo 21 del Decreto 155 de 2004,
CONSIDERANDO:
Que el artículo 9o del Decreto 155 de 2004 define el concepto de factor regional dentro del cual se encuentra la variable cuantitativa del índice de escas ez;
Que de conformidad con el artículo 21 del Decreto 155 de 2004, le corresponde al Ministerio de Ambiente, Vivienda y Desarrollo Territorial, establecer la metodología para el cálculo del índice de escasez para aguas subterráneas;
Que en mérito de lo expuesto,
RESUELVE:
ARTÍCULO 1o. DEFINICIONES. Para la aplicación de la metodología de cálculo del índice de escasez de agua subterránea se deberán tener en cuenta las siguientes definiciones:
a) Acuífero. Unidad de roca o sedimento, capaz de almacenar y transmitir agua en cantidades significativas. Categorías de acuíferos:
i) Acuífero confinado: Acuífero limitado superior e inferiormente por formaciones impermeables o casi impermeables.
ii) Acuífero semiconfinado: Acuífero comprendido entre dos capas de baja permeabilidad.
iii) Acuífero libre: Acuífero que contiene agua con una superficie piezométrica libre y presenta una zona no saturada.
iv) Acuífero multicapa: Sistema acuífero constituido por capas, estratos o niveles permeables con diferentes propiedades hidráulicas o niveles a distintas presiones, separados por estratos impermeables o semipermeables;
b) Caudal captado de un acuífero: Corresponde al caudal extraído por captaciones de pozos, aljibes y manantiales en cada una de las zonas hidrogeológicas delimitadas por las autoridades ambientales competentes;
c) Caudal explotable de un acuífero: Corresponde al caudal que se puede extraer de los recursos disponibles de un acuífero, sin alterar el régimen de explotación establecido por la autoridad ambiental competente;
d) Recarga de un acuífero: Proceso por el cual se aporta agua del exterior a la zona de saturación de un acuífero, bien directamente a la formación o indirectamente a través de otra formación;
e) Unidad hidrológica de análisis: Area natural de concentración y recolección de aguas superficiales y/o subterráneas que tiene connotación principalmente hidrológica en la cuantificación, distribución y utilización de los recursos hídricos disponibles. Para aguas superficiales su delimitación se realiza siguiendo la divisoria topográfica de aguas, y para aguas subterráneas siguiendo criterios hidrogeológicos.
ARTÍCULO 2o. CÁLCULO DEL CAUDAL CAPTADO. Para la aplicación de las fórmulas de cálculo del índice de escasez de aguas subterráneas, el valor del caudal captado se calculará como la sumatoria de los volúmenes extraídos del acuífero mediante pozos, aljibes y manantiales, cuantificados a través de sistemas de medición, en un periodo de tiempo determinado.
Cuando las captaciones no cuenten con sistemas de medición de volumen o caudal, la autoridad ambiental competente empleará el caudal concesionado para estimar el caudal captado.
En ausencia de concesión, la autoridad ambiental competente para efectos del cálculo del índice de escasez, estimará los caudales captados, utilizando métodos indirectos basados en los inventarios de puntos de agua, y fundamentados entre otros, en las especificaciones de la bomba y el régimen de bombeo, las dimensiones del sistema de almacenamiento, tiempo de llenado y régimen de bombeo, y por último, en módulos de consumo, de acuerdo con la información disponible. Los valores de los caudales provenientes de las salidas de manantiales naturales, se estimarán mediante aforos.
PARÁGRAFO: La autoridad ambiental competente realizará la estimación de los caudales captados por usuarios del recurso hídrico subterráneo que no cuenten con la respectiva concesión de agua vigente, sin perjuic io de la imposición de las medidas preventivas o sancionatorias a que haya lugar, de conformidad con el artículo 85 de la Ley 99 de 1993 y teniendo en cuenta lo dispuesto en el artículo cuarto del Decreto 155 de 2004.
ARTÍCULO 3o. CÁLCULO DEL CAUDAL EXPLOTABLE. Para la aplicación de las fórmulas de cálculo del índice de escasez de aguas subterráneas, el valor del caudal explotable se calculará con la siguiente expresión:
QE = a QN
QE: Caudal explotable expresado, en m3/año
QN: Recarga del acuífero en condiciones naturales y los componentes de recarga artificial cuando ellos son conocidos, expresada en m3/año.
a: Coeficiente adimensional que toma valores entre 0.3 y 1.0, de acuerdo con el régimen de explotación establecido por la autoridad ambiental competente.
PARÁGRAFO. Cuando la recarga es igual a 0 o no existe información de la misma, el índice de escasez se determinará de acuerdo a lo establecido en los artículos 8o y 9o de la presente resolución.
ARTÍCULO 4o. CÁLCULO DE LA RECARGA DEL ACUÍFERO. La autoridad ambiental competente deberá calcular la recarga del acuífero utilizando las metodologías de cálculo y fórmulas matemáticas definidas y reconocidas en la hidrogeología, como son:
1. Métodos basados en balance hídrico.
2. Métodos basados en zona saturada
3. Métodos basados en zona no saturada
4. Métodos isotópicos
5. Métodos basados en variaciones de nivel piezométrico
PARÁGRAFO. La autoridad ambiental competente deberá, en correspondencia con el parágrafo del artículo 20 del Decreto 155 de 2004, hacer pública la información sobre el cálculo del índice de escasez de aguas subterráneas a los usuarios y personas interesadas.
ARTÍCULO 5o. Cálculo del índice de escasez para aguas subterráneas: La autoridad ambiental competente realizará el cálculo del índice escasez para los acuíferos o unidades hidrológicas de análisis de su jurisdicción, de acuerdo con los artículos 6o, 7o y 8o de la presente resolución.
PARÁGRAFO. En los casos de acuíferos compartidos por dos o más autoridades ambientales competentes, se aplicará lo establecido por el artículo 13 del Decreto 155 de 2004.
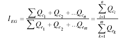
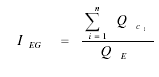
ARTÍCULO 6o. CÁLCULO DEL ÍNDICE DE ESCASEZ PARA ACUÍFEROS CON RECARGA. El índice de escasez se calculará para acuíferos libres, semiconfinados o confinados con recarga, con la siguiente fórmula:
Donde:
IEG: Indice de escasez para aguas subterráneas
QCi: Caudal captado en la i-ésima captación, expresado en m3/año
QE: Caudal explotable del acuífero, expresado en m3/año
n: Número de captaciones
ARTÍCULO 7o. CÁLCULO DEL ÍNDICE DE ESCASEZ PARA ACUÍFEROS MULTICAPA CON RECARGA. El índice de escasez se calculará para acuíferos multicapa con diferentes cargas de presión en cada nivel hidroestratigráfico, con la siguiente fórmula:

Donde:
IEG: Indice de escasez para aguas subterráneas
QCi: Caudal captado en la i-ésima captación, expresado en m3/año
Qek: Caudal explotable en la k-ésima capa, expresado en m3/año
m: Número de capas
n: Número de captaciones
Para los acuíferos multicapa se determinará el caudal captado para el acuífero y el caudal explotable por cada capa.
ARTÍCULO 8o. CÁLCULO DEL ÍNDICE DE ESCASEZ PARA ACUÍFEROS SIN RECARGA. Para los casos de los acuíferos sin recarga, se adoptará un índice de escasez (IEG) igual a uno (1).
ARTÍCULO 9o. INDICE DE ESCASEZ EN AUSENCIA DE INFORMACIÓN. En ausencia de información que permita calcular la recarga del acuífero (QN), el índice de escasez (IEG) tomará un valor de cero (0).
ARTÍCULO 10. VIGENCIA. La presente resolución rige a partir de la fecha de su publicación.
Publíquese y cúmplase.
Dada en Bogotá, D. C., a 18 de mayo de 2006.
La Ministra de Ambiente, Vivienda y Desarrollo Territorial,
SANDRA SUÁREZ PÉREZ.