RESOLUCIÓN 69940 DE 2025
(septiembre 12)
Diario Oficial No. 53.241 de 12 de septiembre de 2025
SUPERINTENDENCIA DE INDUSTRIA Y COMERCIO
Por la cual se adiciona el Capítulo Décimo Primero en el Título VI de la Circular Única de la SIC y se reglamenta el control metrológico aplicable a medidores de agua potable de uso residencial.
LA SUPERINTENDENTE DE INDUSTRIA Y COMERCIO,
en ejercicio de sus facultades constitucionales y legales, en particular, las previstas en la Ley 1480 de 2011 y en los Decretos números 4886 de 2011 y 1074 de 2015, y
CONSIDERANDO:
Que, el artículo 78 de la Constitución Política, en relación con los derechos de los consumidores, establece que, “[l]a ley regulará el control de calidad de bienes y servicios ofrecidos y prestados a la comunidad, así como la información que debe suministrarse al público en su comercialización. Serán responsables, de acuerdo con la ley, quienes en la producción y en la comercialización de bienes y servicios, atenten contra la salud, la seguridad y el adecuado aprovisionamiento a consumidores y usuarios (…)”.
Que el artículo 334 de la Carta Política, faculta al Estado para intervenir por mandato de la ley en la producción, distribución, utilización y consumo de los bienes para racionalizar la economía con el fin de obtener el mejoramiento de la calidad de vida de los habitantes, los beneficios del desarrollo y la prevención de un ambiente sano, entre otros.
Que el artículo 3o de la Ley 155 de 1959 dispone que, “[e]l Gobierno intervendrá en la fijación de normas sobre pesas y medidas, calidad, empaque y clasificación de los productos, materias primas y artículos o mercancías con miras a defender el interés de los consumidores y de los productores de materias primas”.
Que los artículos 68 y siguientes de la Ley 1480 de 2011 regulan asuntos relacionados con la metrología en Colombia y, particularmente, el artículo 71 (1) dispone medidas sobre el control metrológico de instrumentos de medición.
Que conforme a los artículos 2o y 4o de la Ley 1480 de 2011, sus disposiciones deben interpretarse a la luz de su objeto, ámbito de aplicación y naturaleza jurídica, orientados a regular las relaciones de consumo y a proteger los derechos de los consumidores frente a productores y proveedores. En ese contexto, se establece que dichas relaciones comprenden tanto aspectos sustanciales como procesales, así como las obligaciones y responsabilidades derivadas para los agentes que participan en la cadena de comercialización.
Que en virtud de lo anterior, las disposiciones legales que rigen la metrología legal en Colombia constituyen normas de orden público, en la medida que están directamente relacionadas con la protección del consumidor. Ello se fundamenta en el hecho de que la medición exacta y confiable de bienes y servicios -como parte del proceso de transacción-incide directamente en el cumplimiento de los principios de equidad, información y seguridad que rigen las relaciones de consumo.
Que, en efecto, la metrología legal encuentra sustento en la noción de consumidor definida en el artículo 5o de la Ley 1480 de 2011, según la cual se entiende por tal a “toda persona natural o jurídica que, como destinatario final, adquiera, disfrute o utilice un determinado producto, cualquiera que sea su naturaleza para la satisfacción de una necesidad propia, privada, familiar o doméstica y empresarial cuando no esté ligada intrínsecamente a su actividad económica. Se entenderá incluido en el concepto de consumidor el de usuario”(2) (negrilla fuera de texto); definición que evidencia el vínculo directo entre las normas metrológicas y la garantía de derechos fundamentales en el marco de las relaciones de consumo.
Que, en el artículo 2.2.1.7.14.1 del Decreto número 1074 de 2015 Decreto Único Reglamento del Sector Comercio, Industria y Turismo, se precisa que “[l]a Superintendencia de Industria y Comercio es la Entidad competente para instruir y expedir reglamentos técnicos metrológicos para instrumentos de medición sujetos a control metrológico”.
Así mismo, dispone que “(…) podrá además implementar las herramientas tecnológicas o informativas que considere necesarias para asegurar el adecuado control metrológico e instruirá la forma en que los productores, importadores, reparadores y responsables de los instrumentos de medición, reportarán información al sistema”. Finalmente, señala que: “La Superintendencia de Industria y Comercio reglamentará las condiciones y los requisitos de operación de los Organismos Autorizados de Verificación Metrológica y Organismos Evaluadores de la Conformidad que actúen frente a los instrumentos de medición”.
Que, de conformidad con lo establecido en el artículo 1o del Decreto número 4886 de 2011, entre otras facultades, le corresponde a esta Superintendencia: “41. Organizar e instruir la forma en que funcionará la Metrología Legal en Colombia [;] 42. Ejercer funciones de control metrológico de carácter obligatorio en el orden nacional [;] (…) 44. Establecer el procedimiento e instruir la forma en que se hará la aprobación de modelo para los instrumentos de medida que cuenten con la respectiva aprobación de modelo, acorde con lo establecido en el Decreto número 2269 de 1993 o las normas que lo sustituyan, modifiquen o complementen [;] 45. Ejercer el control de pesas y medidas directamente o en coordinación con las autoridades del orden territorial [y;] (…) 48. Fijar las tolerancias permisibles para efectos del control metrológico y 49. Expedir la reglamentación para la operación de la metrología legal”.
Que, teniendo en cuenta lo establecido en el artículo 14 del Decreto número 4886 de 2011, es función del Superintendente Delegado para el Control y Verificación de Reglamentos Técnicos y Metrología Legal: “4. Fijar las tolerancias permisibles para efectos del control metrológico [y;] 9. Estandarizar métodos y procedimientos de medición y calibración, así como un banco de información para su difusión”.
Que, en virtud de lo previsto en los numerales 8 y 9 del artículo 59 de la Ley 1480 de 2011, se faculta a la Superintendencia de Industria y Comercio para ordenar la suspensión inmediata y de manera preventiva de la producción o comercialización de productos cuando se tenga indicios graves de que dicho producto no cumple, entre otros, con el reglamento técnico correspondiente, o para evitar que se cause daño o perjuicio a los consumidores por violación a las normas sobre protección al consumidor.
Que, el artículo 2.2.1.7.14.3 del Decreto número 1074 de 2015, establece que “[e] n especial, están sujetos al cumplimiento de lo establecido en el presente capítulo los instrumentos de medida que sirvan para medir, pesar o contar y que tengan como finalidad, entre otras:
1. Realizar transacciones comerciales o determinar el precio de servicios.
2. Remunerar o estimar en cualquier forma labores profesionales.
3. Prestar servicios públicos domiciliarios.
4. Realizar actividades que puedan afectar la vida, la salud o la integridad física, la seguridad nacional o el medio ambiente.
5. Ejecutar actos de naturaleza pericial, judicial o administrativa.
6. Evaluar la conformidad de productos y de instalaciones.
7. Determinar cuantitativamente los componentes de un producto cuyo precio o calidad dependa de esos componentes”. (negrilla fuera de texto original)
Que, el numeral 1 del artículo 2.2.1.7.14.4. del Decreto número 1074 de 2015 dispone que, “(…) [p]revio a la importación o puesta en circulación, si es elaborado en el país, el importador o productor de un instrumento de medición deberá demostrar su conformidad con el reglamento técnico metrológico que para el efecto expida la Superintendencia de Industria y Comercio, en concordancia con lo establecido en la Sección 9 del presente capítulo o, en su defecto, demostrar el cumplimiento de los requisitos establecidos en la Recomendación de la Organización Internacional de la Metrología Legal (OIML) que corresponda.
Los instrumentos de medición sujetos a control metrológico que no demuestren su conformidad con el reglamento técnico metrológico respectivo, no podrán ser importados o puestos en circulación”.
Que en conformidad con las normas precitadas, los instrumentos de medición utilizados para la prestación del servicio público domiciliario de agua potable solamente están sometidos a control metrológico bajo la competencia de esta Superintendencia, en el contexto del consumidor concebido en la Ley 1480 de 2011 y los artículos 2.2.1.7.14.1, y siguientes del Decreto número 1074 de 2015; es decir, en la primera fase de control metrológico correspondiente a la evaluación de conformidad previo a la entrada al mercado de los instrumentos de medición sometidos a control metrológico.
Que, en el artículo 144 de la Ley 142 de 1994, en relación con los medidores individuales de servicios públicos, se prevé que, “(…) [l]os contratos uniformes pueden exigir que los suscriptores o usuarios adquieran, instalen, mantengan y reparen los instrumentos necesarios para medir sus consumos. En tal caso, los suscriptores o usuarios podrán adquirir los bienes y servicios respectivos a quien a bien tengan; y la empresa deberá aceptarlos siempre que reúnan las características técnicas a las que se refiere el inciso siguiente. La empresa podrá establecer en las condiciones uniformes del contrato las características técnicas de los medidores, y del mantenimiento que deba dárseles. No será obligación del suscriptor o usuario cerciorarse de que los medidores funcionen en forma adecuada; pero sí será obligación suya hacerlos reparar o reemplazarlos, a satisfacción de la empresa, cuando se establezca que el funcionamiento no permite determinar en forma adecuada los consumos, o cuando el desarrollo tecnológico ponga a su disposición instrumentos de medida más precisos. Cuando el usuario o suscriptor, pasado un período de facturación, no tome las acciones necesarias para reparar o reemplazar los medidores, la empresa podrá hacerlo por cuenta del usuario o suscriptor (…)”.
Que el artículo 145 de la Ley 142 de 1994 dispone “[l]as condiciones uniformes del contrato permitirán tanto a la empresa como al suscriptor o usuario verificar el estado de los instrumentos que se utilicen para medir el consumo; y obligarán a ambos a adoptar precauciones eficaces para que no se alteren. Se permitirá a la empresa, inclusive, retirar temporalmente los instrumentos de medida para verificar su estado”.
Que, con respecto a la medición del consumo de servicios públicos domiciliarios, el artículo 146 de la Ley 142 de 1994 señala que, “[l]a empresa y el suscriptor o usuario tienen derecho a que los consumos se midan; a que se empleen para ello los instrumentos de medida que la técnica haya hecho disponibles; y a que el consumo sea el elemento principal del precio que se cobre al suscriptor o usuario (…)”.
Que, mediante Resolución número 330 del 8 de junio de 2017, el Ministerio de Vivienda, Ciudad y Territorio adoptó el Reglamento Técnico para el Sector de Agua Potable y Saneamiento Básico (RAS), cuyo objeto fue la reglamentación de requisitos técnicos que se deben cumplir en las etapas de planeación, diseño, construcción, puesta en marcha, operación, mantenimiento y rehabilitación de la infraestructura relacionada con los servicios públicos domiciliarios de acueducto, alcantarillado y aseo.
Que, a través de la Resolución número 799 de 9 de diciembre de 2021, dicha cartera ministerial modificó la Resolución número 330 de 2017 e incorporó el artículo 75A al RAS, en el cual definió la micro medición como el sistema de medición de volumen de agua, destinado a conocer la cantidad de agua consumida en un determinado período de tiempo por cada suscriptor de un sistema de acueducto.
Que, así mismo, en el Decreto número 1077 de 2015 Decreto Único Reglamentario del Sector Vivienda, Ciudad y Territorio, se dispuso en el artículo 2.3.1.3.2.3.11 que, los contratos de condiciones uniformes pueden exigir que los suscriptores o usuarios adquieran, instalen, mantengan y reparen los instrumentos necesarios para medir sus consumos de agua, en tal caso, los suscriptores o usuarios podrán adquirir los bienes y servicios respectivos a quién a bien tengan y la entidad prestadora de los servicios públicos deberá aceptarlo siempre que reúnan las características técnicas que podrán ser establecidas por la entidad prestadora del servicio público en las condiciones uniformes del contrato.
Que, por otra parte, el artículo 2.3.1.3.2.3.12 del Decreto número 1077 de 2015 previó respecto de la obligatoriedad de los medidores de acueducto que, “[d]e ser técnicamente posible cada acometida deberá contar con su correspondiente medidor de acueducto, el cuál será instalado en cumplimiento de los programas de micro medición establecidos por la entidad prestadora de los servicios públicos de conformidad con la regulación expedida por la Comisión de Regulación de Agua Potable y Saneamiento Básico. Para el caso de edificios de propiedad horizontal o condominios, de ser técnicamente posible, cada uno de los inmuebles que lo constituyan deberá tener su medidor individual (…)”.
Que mediante la Ley 1514 de 2012, Colombia se adhirió a la “Convención para Constituir una Organización Internacional de Metrología Legal, firmada en París el 12 de octubre de 1955”.
Que en Sentencia C-621 de 2012, la Corte Constitucional declaró la exequibilidad de la Ley 1514 de 2012, explicando que “(…) la adhesión de Colombia a la Convención que se analiza, permite que tales disposiciones recogidas en recomendaciones de la OIML sean parte de nuestro sistema de calidad, otorgando al país un reconocimiento internacional de sus instrumentos de medición y de los resultados producidos, lo que ubica a Colombia en un nivel de competencia técnica que resulta acorde con los artículos 6-3 y 9o de la Ley 170 de 1994, en virtud de los cuales, como un claro lineamiento de la Organización Mundial del Comercio, se adquirió el compromiso de institucionalizar los sistemas internacionales de evaluación de la conformidad y de calidad confiable, para superar los obstáculos técnicos al comercio. Adicionalmente, ceñirse a los estándares internacionales en materia de metrología legal reporta como importancia que (i) los productos sean examinados para garantizar que cumplan los reglamentos de seguridad de protección contra características peligrosas; (ii) a los productos se les haga una medición cuantitativa para brindarle seguridad y confianza al consumidor, y (iii) se fomenta la normalización de los productos y de sus características en el plano internacional a través de las recomendaciones de la OIML, lo cual garantiza la adopción de los más estrictos y actuales estándares de calidad en beneficio de los productores y consumidores”.
Que la Recomendación de la Organización Internacional de Metrología Legal (OIML) R-49 edición 2013 “Water meters for cold potable water and hot water” (Medidores de agua potable fría y caliente), Parte 1: “Metrological and technical requirements” (Requisitos metrológicos y técnicos ) y Parte 2 “Test methods” (Métodos de ensayo) constituye el fundamento técnico de este reglamento, pues en estos documentos se estandarizaron los requisitos técnicos y metrológicos que deben cumplir los instrumentos de medición denominados medidores de agua potable fría y caliente, con el fin de garantizar la calidad de las mediciones que proveen.
Que, así mismo, el fundamento técnico del presente reglamento técnico lo constituye la norma NTC-ISO 4064:2016 “Medidores de agua potable fría y agua caliente”, Parte 1: “Requisitos metrológicos y técnicos” y parte 2 “Métodos de ensayo”, la cual contiene requisitos aplicables a los medidores de agua potable destinados al uso residencial.
Que, durante el proceso de producción normativa de la presente reglamentación técnica metrológica, y en el desarrollo de las mejores prácticas regulatorias previstas en el Decreto 1074 de 2015, esta Superintendencia tuvo conocimiento que la OIML expidió la Recomendación OIML R 49-1 edición 2024, como actualización a la Recomendación OIML R-49 edición 2013 “Water meters for cold potable water and hot water” fundamento técnico de este reglamento. Actualización que se incorporará en el presente reglamento técnico como norma equivalente, y que no modifica lo previsto en el desarrollo de producción normativa de la presente reglamentación, particularmente lo publicado para consulta y observaciones de la ciudadanía y grupos de interés.
Que, en cumplimiento de lo previsto en el artículo 2.2.1.7.6.2 del Decreto número 1074 de 2015, esta Superintendencia efectuó el Análisis de Impacto Normativo (AIN) Ex ante completo, documento que fue sometido a consulta pública entre el 28 de abril al 12 de mayo de 2023 (3), y entre el 14 de octubre y el 2 de noviembre de 2023, en la página web de la Entidad para recibir comentarios; y mediante el cual se concluyó que: “Aplicando los resultados de evaluación de desempeño a la ponderación de criterios obtenida en la etapa anterior, se tiene que la alternativa regulatoria que mejor responde al objetivo de la intervención de la SIC es la que propone expedir un RTM para medidores de agua potable fría y caliente basado en estándares metrológicos internacionales con inclusión de normas equivalentes.
La expedición de un Reglamento Técnico Metrológico (RTM) para medidores de agua potable fría y caliente, fundamentado en estándares metrológicos internacionales, que adicionalmente avale demostrar el cumplimiento con normas equivalentes, representa una estrategia clave para asegurar la precisión y fiabilidad de las mediciones. Al adherirse a estándares reconocidos a nivel mundial, se garantiza que los medidores cumplan con requisitos estrictos, establecidos por organismos especializados en metrología. Esta precisión es esencial para una distribución equitativa y una facturación justa del agua, así como para una gestión eficiente de los recursos hídricos”(4).
Que a efectos de desarrollar lo dispuesto en los artículos 2.2.1.7.14.1. y siguientes del Decreto número 1074 de 2015, así como para generar las condiciones metrológicas en la aplicación de la Ley 142 de 1994 sobre la medición para la prestación del servicio público domiciliario, es necesario determinar los requisitos metrológicos, técnicos y administrativos que deben cumplir los medidores de agua potable para ser utilizados en la prestación del servicio público de acueducto por los usuarios residenciales.
Que, por lo anterior, la regulación que se expide en el presente acto administrativo tiene como alcance el control y verificación metrológica previo a la entrada al mercado, bien sea por importación o por fabricación nacional, de los medidores de agua potable utilizados para la prestación del servicio público domiciliario residencial.
Que el presente proyecto fue publicado en la página web de esta Superintendencia entre el 15 de noviembre de 2024 al 24 de enero de 2025, de acuerdo con lo dispuesto en el numeral 8 del artículo 8o de la Ley 1437 de 2011, el artículo 2.1.2.1.21. del Decreto número 1081 de 2015 y la Resolución número 35907 de 2021 de esta Superintendencia.
Que, en cumplimiento de lo dispuesto en el artículo 7o de la Ley 1340 de 2009 y mediante Radicado SIC 25-120355 del 4 de abril de 2025, la Superintendente Delegada para la Protección de la Competencia de esta Entidad rindió concepto previo de abogacía de la competencia, precisando que “se considera que los beneficios derivados del proyecto, en conjunto. con las medidas de mitigación de riesgos establecidas y la adecuada ejecución de las obligaciones estatales en materia de medición, calidad, metrología e información al consumidor, podrían superar los posibles efectos adversos o riesgos sobre las dinámicas de libre competencia en el mercado objeto de intervención (…) Evaluar la necesidad de (i) incluir directrices generales sobre los tipos de documentos que serán considerados válidos para acreditar el cumplimiento de las excepciones previstas por el proyecto; (ii) definir y exponer detalladamente los criterios lineamientos generales que la autoridad competente tendrá en cuenta para analizar si un documento presentado a través del VUCE es válido o no para probar la excepción.”
Que, esta Entidad acoge la recomendación planteada y precisa que, en lugar de incorporar disposiciones detalladas dentro del cuerpo normativo, se expedirá una Circular Externa complementaria, previo a la entrada en vigencia del reglamento técnico. Dicha Circular recogerá los elementos propuestos, en especial: (i) una referencia general a los tipos de documentos que podrán presentarse para acreditar la aplicación de las. excepciones previstas -como declaraciones juramentadas, contratos de suministro con sectores no residenciales o certificaciones emitidas por compradores institucionales- y (ii) los criterios generales que aplicará la Entidad de Control para validar la pertinencia, veracidad y suficiencia de dichos documentos, incluyendo aspectos como la congruencia del volumen importado frente al destino declarado, la trazabilidad del lote, la identificación del comprador y.la finalidad técnica del modelo. Esta medida permitirá mantener la flexibilidad normativa propia de un reglamento técnico y, al mismo tiempo, brindar certeza jurídica y claridad operativa a los agentes del mercado.Que, de conformidad con lo establecido en los artículos 2.2.1.7.5.4, 2.2.1.7.5.6 y 2.2.1.7.5.7 del Decreto 1074 de 2015, esta Superintendencia solicitó a la Dirección de Regulación del Ministerio de Comercio, Industria y Turismo concepto previo sobre la presente reglamentación y se adecuación a los lineamientos del Subsistema Nacional de la Calidad (SICAL) y, mediante los Radicados MINCIT número 2-2025-008225 del 1 de abril de 2025 y 2-2025-015937 del 23 de mayo de 2025, la Dirección de Regulación analizó la presente norma y emitió concepto previo concluyendo que “El reglamento técnico propuesto ha sido evaluado (…), verificándose su alineación con el Subsistema Nacional de la Calidad y los principios del Acuerdo sobre Obstáculos Técnicos al Comercio (OTC) de la OMC. En este sentido, se resalta que la Superintendencia de Industria y Comercio (SIC) ha declarado la equivalencia de las normas ISO 4064-1 e ISO 4064-2, lo que permite su aplicación sin necesidad de esperar la actualización de la Norma Técnica Colombiana (NTC), garantizando así su alineación con estándares internacionales (…) Se considera relevante reiterar la importancia de fortalecer la estructura y el contenido del anteproyecto, con el propósito de asegurar su eficacia, su adecuada articulación con el ordenamiento jurídico vigente y su alineación con los principios de calidad regulatoria.
Que, recibidas las observaciones, se procedió a ajustar en contenido y forma el reglamento técnico en lo consecuente, y mediante comunicación con Radicado MINCIT número 2-2025-017377 del 9 de junio de 2025 la Dirección de Regulación concluyó que “Luego del análisis técnico y normativo del anteproyecto de reglamento técnico metrológico aplicable a medidores de agua para uso residencial, se considera que, en su estado actual, la propuesta cumple en términos generales con los principios del Subsistema Nacional de la Calidad (SICAL), incorpora referencias a normas internacionales relevantes en materia de metrología legal y se encuentra alineado con las buenas prácticas regulatorias.”
Que mediante signatura G/TBT/N/COL/272 del 19 de junio de 2025, el Ministerio de Comercio, Industria y Turismo trasladó la notificación internacional de esta resolución ante los países miembros de la Organización Mundial del Comercio (OMC) y de la Comunidad Andina de Naciones (CAN), al igual que a los socios comerciales, informando que al cabo de los sesenta días de haberse notificado el proyecto no se presentaron observaciones. Al respecto, se relaciona que durante la notificación internacional no se recibieron comentarios sobre el proyecto de reglamento técnico.
RESUELVE:
ARTÍCULO 1o. Adicionar el Capítulo Décimo Primero en el Título VI de la Circular Única de la Superintendencia de Industria y Comercio, el cual quedará así:
CAPÍTULO DÉCIMO PRIMERO
Reglamento Técnico Metrológico Aplicable a Medidores de Agua Potable Fría y Caliente de Uso Residencial
11.1. Objeto
El presente reglamento técnico metrológico tiene por objeto prevenir la inducción a error a los consumidores y usuarios en general, y asegurar la calidad de las mediciones que proveen los medidores de agua potable fría y caliente que se utilizan en la prestación del servicio público domiciliario de acueducto en el ámbito residencial.
Para efectos del cumplimiento de este objetivo, el presente reglamento fija requisitos técnicos, metrológicos y administrativos que deben cumplir los medidores de agua potable fría y caliente que se utilizan en la prestación del servicio público domiciliario de acueducto en el ámbito residencial.
Asimismo, establece el procedimiento de evaluación de la conformidad previo a su comercialización en el país, definiendo las obligaciones para los productores e importadores, y dicta las disposiciones frente al control metrológico para este tipo de instrumentos de medición.
11.2. Ámbito de aplicación
Los requisitos técnicos, metrológicos y administrativos de este reglamento técnico son aplicables a los medidores de agua potable fría y caliente que se utilizan en la prestación del servicio público domiciliario de acueducto en el ámbito residencial (aquellos que se utilizan en hogares o núcleos familiares, incluyendo las áreas comunes de los conjuntos habitacionales), y cuya subpartida arancelaria se define a continuación:
| Subpartida No. | Descripción Arancelaria |
| 9028.20.10.00 | Contadores de agua |
Los requisitos dispuestos en el presente reglamento técnico son aplicables tanto a medidores de agua basados en principios mecánicos, como también para aquellos basados en principios eléctricos o electrónicos. Así mismo aplica para medidores de agua basados en principios mecánicos que incorporen dispositivos electrónicos utilizados para medir el volumen de agua potable fría y caliente.
PARÁGRAFO. El presente reglamento técnico metrológico no es aplicable a los productos que, a pesar de encontrarse incluidos en la subpartida arancelaria descrita anteriormente, no son medidores de agua que se utilizan en la prestación del servicio público domiciliario de acueducto en el ámbito residencial.
Por el contrario, si un medidor de agua de uso residencial ingresa al país bajo una subpartida arancelaria distinta de aquella descrita en este numeral, se sujeta al cumplimiento de las disposiciones contempladas en este reglamento.
Para todos los efectos de este reglamento técnico metrológico se entenderá que la descripción arancelaria “Contadores de agua” hace referencia a los medidores de agua que se utilizan en la prestación del servicio público domiciliario de acueducto en el ámbito residencial.
11.2.1. Excepciones
Se exceptúan de la aplicación del presente reglamento técnico los medidores de agua que no estén destinados a la prestación del servicio público domiciliario en el ámbito residencial. Por lo tanto, podrán ser comercializados y puestos en servicio libremente aquellos medidores de agua importados que demuestren a través de la Ventanilla Única de Comercio Exterior (VUCE) que cuentan con la documentación pertinente para acogerse a la presente excepción.
En el caso de los medidores de agua de fabricación nacional que no estén destinados a la prestación del servicio público en el ámbito residencial, deberán tener toda la documentación que soporte tal excepción y mantenerla a disposición de la Entidad de Control, quien podrá requerirla en cualquier momento.
PARÁGRAFO 1o. El trámite de aprobación de excepciones al presente reglamento técnico metrológico a través de la VUCE, siempre estará sujeto al análisis correspondiente de la documentación aportada para demostrar la situación de excepción.
PARÁGRAFO 2o. Sin perjuicio de lo dispuesto en el numeral 11.2., podrán ingresar al mercado nacional una cantidad determinada de medidores de agua de producción extranjera sin demostrar conformidad, cuando el tipo o modelo del medidor de agua vaya a ser objeto de certificación por parte de un Organismo de Evaluación de la Conformidad (OEC), siempre que el alcance de acreditación de ese OEC sea el examen de tipo para medidores de agua cubiertos por este reglamento técnico metrológico y se haya celebrado un contrato entre el productor y/o importador y el OEC para este propósito.
En aplicación de esta excepción, el productor y/o importador deberá tener a disposición de la autoridad de control, copia del contrato celebrado con el OEC, en el cual se identifique el número de unidades de medidores de agua requerido para el proceso de certificación.
11.3. Definiciones.
Para efectos de la aplicación e interpretación del presente reglamento técnico metrológico, se deberán tener en cuenta los términos y definiciones que se encuentran en el numeral 3 de la Recomendación de la OIML R 49-1 edición 2013, los cuales están traducidos en el numeral 3 de la NTC-ISO 4064-1:2016.
Así mismo, se recomienda tener presente las definiciones incluidas en el artículo 2.2.1.7.2.1 del Decreto número 1074 de 2015 y aquellas incluidas en el Capítulo Tercero del Título VI de la Circular Única de la Superintendencia de Industria y Comercio (SIC) que le sean aplicables.
Adicionalmente, se deben considerar las definiciones contenidas en el Vocabulario Internacional de Términos Básicos y Generales en Metrología (VIM); el Vocabulario Internacional de Términos en Metrología Legal (VIML) OIML V1:2022 o del documento OIML que lo adicione, modifique, aclare o sustituya.
11.4. Requisitos metrológicos
11.4.1. Valores de Q1, Q2, Q3 y Q4
Donde,
- Q1 (Caudal mínimo) es el caudal más bajo en el cual ha de funcionar el medidor dentro de los errores máximos permisibles.
- Q2 (Caudal de transición) es el caudal entre el permanente y el mínimo que divide el intervalo de caudal en dos zonas, la zona de caudal superior y la zona de caudal inferior, cada una caracterizada por sus propios errores máximos permisibles.
- Q3 (Caudal permanente) es el caudal más alto en las condiciones nominales de operación en las que se ha de operar el medidor dentro de los errores máximos permisibles.
Nota: El caudal se expresa en m³/h. Ver numeral 11.4.1.3.
- Q4 (Caudal de sobrecarga) es el caudal más alto en el cual se opera el medidor durante un corto periodo de tiempo dentro de los errores máximos permisibles, al tiempo que se mantiene su desempeño metrológico cuando este funciona posteriormente en las condiciones nominales de operación.
11.4.1.1 Las características del caudal de un medidor de agua deben definirse por los valores de Q1, Q2, Q3 y Q4.
11.4.1.2. El medidor de agua se debe denominar según el valor numérico de Q3 en m³/h y la relación Q3/Q1.
11.4.1.3. El valor de Q3, expresado en m³/h debe elegirse de la siguiente lista:

Esta lista se puede ampliar a valores mayores o menores en la serie.
11.4.1.4. El valor de la relación Q3/Q1 debe elegirse de la siguiente lista:

Esta lista se puede ampliar a valores mayores en la serie.
11.4.1.5. La relación Q2/Q1 debe ser de 1,6.
11.4.1.6. La relación Q4/Q3 debe ser de 1,25.
11.4.2. Clase de exactitud y error máximo permitido
11.4.2.1. Generalidades.
El medidor de agua debe estar diseñado y fabricado de manera que sus errores (de indicación) no superen los Errores Máximos Permitidos (EMP) que se definen en los numerales 11.4.2.2 o 11.4.2.3 de este reglamento, bajo condiciones nominales de operación.
El medidor de agua se debe denominar bien sea con una clase de exactitud 1 o clase de exactitud 2, de acuerdo con los requisitos estipulados en los numerales 11.4.2.2 o 11.4.2.3.
El fabricante y/o importador del medidor de agua siempre debe especificar la clase de exactitud del instrumento.
11.4.2.2. Medidores de agua con clase de exactitud 1.
El EMP para la zona de caudal superior (Q2 = Q = Q4) es de ± 1%, para temperaturas desde 0,1 °C hasta 30 °C, y de ± 2% para temperaturas mayores a 30 °C.
El EMP para la zona de caudal inferior (Q1 = Q < Q2) es de ± 3% independientemente del intervalo de temperatura.
11.4.2.3. Medidores de agua con clase de exactitud 2.
El EMP para la zona de caudal superior (Q2 = Q = Q4) es de ± 2%, para temperaturas desde 0,1 °C hasta 30 °C, y de ± 3% para temperaturas mayores a 30 °C.
El EMP para la zona de caudal inferior (Q1 = Q < Q2) es de ± 5% independientemente del intervalo de temperatura.
11.4.2.4. Clase de temperatura de los medidores.
Los medidores están en las clases de temperatura del agua que corresponden a los diversos intervalos, seleccionados por el fabricante a partir de los valores de la Tabla 1.
La temperatura del agua se debe medir en la entrada del medidor.
Tabla 1. Clase de temperatura de los medidores
| Clase | TMA °C | MTA °C |
| T30 | 0,1 | 30 |
| T50 | 0,1 | 50 |
| T70 | 0,1 | 70 |
| T90 | 0,1 | 90 |
| T130 | 0,1 | 130 |
| T180 | 0,1 | 180 |
| T30/70 | 30 | 70 |
| T30/90 | 30 | 90 |
| T30/130 | 30 | 130 |
| T30/180 | 30 | 180 |
Donde, TMA (Temperatura mínima permitida o admisible) es la temperatura mínima del agua que un medidor puede soportar permanentemente, dentro de sus condiciones nominales de operación, sin deteriorar su desempeño metrológico. La TMA es la más baja de las condiciones nominales de operación para la temperatura.
MTA (Temperatura máxima permisible o admisible) es la temperatura máxima del agua que un medidor puede soportar permanentemente, dentro de sus condiciones nominales de operación, sin deteriorar su desempeño metrológico. La MTA es la más alta de las condiciones nominales de operación para la temperatura.
11.4.2.5. Medidores de agua con registrador y transductor de medición separables
El registrador (incluido el dispositivo indicador) y el transductor de medición (incluido el sensor de flujo o el sensor de volumen) de un medidor de agua, cuando son separables e intercambiables con otros registradores y transductores de medición con un diseño igual o diferente, pueden estar sometidos a aprobaciones de Tipo independientes. Los EMP del dispositivo indicador y del transductor de medición combinados no deben superar los valores que se indican en los numerales 11.4.2.2 o 11.4.2.3, según la clase de exactitud del medidor.
11.4.2.6. Error relativo de indicación
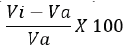
El error (de indicación) relativo se expresa como porcentaje y es igual a:
![]()
Donde Va es el volumen real, es decir es el volumen total de agua que pasa a través del medidor, independientemente del tiempo que transcurra. El volumen real se calcula a partir de un volumen de referencia determinado por un estándar de medición adecuado, tomando en consideración las diferencias en las condiciones de medición, según corresponda.
Vi es el volumen de agua indicado por el medidor, correspondiente al volumen real.
11.4.2.7. Flujo inverso
El fabricante debe especificar si el medidor de agua está diseñado para medir el flujo inverso o no.
Si un medidor está diseñado para medir el flujo inverso, el volumen que pasa durante el flujo inverso se debe restar del volumen indicado, o el medidor debe registrarlo por separado. Los EMP definidos en los numerales 11.4.2.2 o 11.4.2.3 deben cumplirse tanto para el flujo inverso como para el flujo hacia adelante. Para los medidores diseñados para medir el flujo inverso, el caudal permanente y el intervalo de medición pueden ser diferentes en cada dirección.
Si un medidor no está diseñado para medir el flujo inverso, el medidor debe prevenir el flujo inverso o debe soportar el flujo inverso accidental a un caudal hasta de Q3 sin deterioro ni cambio en sus propiedades metrológicas para el flujo hacia adelante.
11.4.2.8. Temperatura y presión del agua.
Se deben satisfacer todos los requisitos relacionados con los EMP para todas las variaciones de temperatura y presión que se presentan en las condiciones nominales de operación de un medidor de agua.
11.4.2.9. Ausencia de flujo o de agua
La totalización del medidor de agua no debe cambiar en ausencia de flujo ni de agua.
11.4.2.10. Presión estática
Un medidor de agua debe soportar las siguientes presiones de ensayo sin fuga ni daño:
a) 1,6 veces la presión máxima permitida aplicada durante 15 min;
b) dos veces la presión máxima permitida aplicada durante 1 minuto.
11.4.3. Requisitos para medidores y dispositivos auxiliares
11.4.3.1. Conexiones entre partes electrónicas
Las conexiones entre el transductor de medición, el registrador y el dispositivo indicador deben ser confiables y duraderas, de conformidad con lo indicado en el numeral 11.5.1.4 y literal B.2 del Anexo B.
Estas disposiciones también aplican a las conexiones entre los dispositivos primario y secundario de los medidores electromagnéticos(5).
11.4.3.2. Dispositivo de ajuste
El medidor puede estar equipado con un dispositivo de ajuste electrónico, el cual puede remplazar al dispositivo de ajuste mecánico.
11.4.3.3. Dispositivo de corrección
El medidor puede estar equipado con dispositivos de corrección; dichos dispositivos siempre se consideran parte integral del medidor. La totalidad de los requisitos que se aplican al medidor, particularmente los EMP especificados en el numeral 11.4.2, son, por lo tanto, aplicables al volumen corregido en condiciones de medición.
En funcionamiento normal, el volumen no corregido no se debe visualizar.
Un medidor de agua con dispositivos de corrección debe satisfacer los ensayos de desempeño indicados en el literal A.5 del Anexo A.
Todos los parámetros que no se midan y que sean necesarios para la corrección, deben estar en el registrador al inicio de la operación de medición. El certificado de aprobación de tipo o modelo puede prescribir la posibilidad de verificar los parámetros que son necesarios para la corrección al momento de la verificación del dispositivo de corrección.
El dispositivo de corrección no debe permitir la corrección de una desviación estimada previamente, por ejemplo, con respecto al tiempo o al volumen.
Los instrumentos de medición asociados, si los hay, deben cumplir con las recomendaciones de la OIML o normas internacionales que le sean aplicables. Su precisión debe ser lo suficientemente buena para permitir satisfacer los requisitos del medidor, tal como se especifica en el numeral 11.4.2.
Los instrumentos de medición asociados deben estar equipados con medios de verificación, tal como se especifica en el literal B.6 del Anexo B.
Los dispositivos de corrección no se deben utilizar para ajustar los errores (de indicación) de un medidor de agua a valores que no sean tan cercanos a cero como sea práctico, incluso cuando estos valores se encuentran dentro de los EMP.
No está permitido el acondicionamiento del agua a caudales por debajo de Q1 por medio de un dispositivo móvil; por ejemplo, un acelerador de flujo con carga de resorte.
11.4.3.4. Registrador o Calculador
Todos los parámetros necesarios para la elaboración de las indicaciones que están sujetas a control metrológico, tales como una tabla de cálculo o un polinomio de corrección, deben estar presentes en el registrador al inicio de la operación de medición.
El registrador puede estar provisto de interfaces que permitan el acople de equipo periférico. Cuando se utilicen estas interfaces, el hardware y el software del medidor de agua deben continuar funcionando correctamente y no se deben afectar las funciones metrológicas del medidor.
11.4.3.5. Dispositivo indicador
El dispositivo indicador debe mostrar el volumen continuamente. Debe estar fácilmente disponible para la lectura.
11.4.3.6. Dispositivos auxiliares
Además de los dispositivos indicadores que se especifican en el numeral 11.6.6.2., el medidor de agua puede incluir dispositivos auxiliares tales como:
a) Dispositivo de ajuste a cero;
b) Dispositivo indicador de precio;
c) Dispositivo indicador de repetición;
d) Dispositivo de impresión;
e) Dispositivo de memoria;
f) Dispositivo de control de tarifa;
g) Dispositivo de preajuste;
h) Dispositivo de autoservicio;
i) Detector de movimiento del sensor de flujo (para detectar el movimiento del sensor de flujo antes de que sea claramente visible en el dispositivo indicador);
j) Dispositivo de lectura remota (que puede estar incorporado permanentemente o se puede añadir temporalmente).
Se podrá usar un dispositivo remoto de lectura para los ensayos y la verificación, así como para la lectura remota del medidor de agua, siempre que otros medios garanticen el funcionamiento satisfactorio del medidor.
La adición de estos dispositivos, ya sean temporales o permanentes, no debe alterar las características metrológicas del medidor.
11.5. Medidores de agua equipados con dispositivos electrónicos
11.5.1. Requisitos generales
11.5.1.1. Un medidor de agua equipado con dispositivos electrónicos debe estar diseñado y fabricado de tal forma que no se produzcan fallas significativas cuando este queda expuesto a las perturbaciones especificadas en el literal A.5 del Anexo A.
11.5.1.2. Una falla significativa debe tener un valor igual a la mitad del EMP en la zona superior del caudal.
Las siguientes fallas no se consideran significativas:
a) Fallas que se originan en causas simultaneas y mutuamente independientes en el propio medidor o en sus medios de verificación;
b) Fallas transitorias, es decir, variaciones temporales en la indicación que no se pueden interpretar, memorizar ni transmitir como un resultado de medición.
11.5.1.3. Un medidor de agua con dispositivos electrónicos se debe proporcionar con los medios de verificación especificados en el Anexo B, excepto en el caso de mediciones no restaurables entre dos socios permanentes.
Todos los medidores de agua equipados con medios de verificación deben prevenir o detectar el flujo inverso, tal como se específica en el numeral 11.4.2.7.
11.5.1.4. Se presume que un medidor de agua cumple con los requisitos indicados en los numerales 11.4.2 y 11.5.1.1 si este aprueba los ensayos de desempeño y la inspección de diseño especificadas en los numerales 11.8.2.9.1 y 11.8.2.9.2 en las siguientes condiciones:
a) El número de medidores que se presentan se define en el numeral 11.8.2.1.
b) Por lo menos uno de estos medidores se presenta para todo el conjunto de ensayos.
c) Ningún medidor debe fallar algún ensayo.
11.5.2. Suministro de energía
11.5.2.1. Generalidades.
Este reglamento cubre tres (3) tipos diferentes de suministro básico de energía para los medidores de agua con dispositivos electrónicos:
a) Suministro externo de energía;
b) Batería no reemplazable;
c) Batería reemplazable.
Los tres tipos de suministro de energía se pueden usar solos o en combinación. Los requisitos para cada tipo se especifican en los numerales 11.5.2.2 hasta el 11.5.2.4.
11.5.2.2. Suministro externo de energía
11.5.2.2.1. Un medidor de agua con dispositivos electrónicos debe estar diseñado de manera que, en caso de una falla del suministro externo de energía (AC o DC), no se pierda la indicación de volumen del medidor justo antes de la falla, y permanezca accesible mínimo durante un año.
La memorización correspondiente se debe producir por lo menos una vez cada día o para cada volumen equivalente a 10 minutos de flujo a una tasa de Q3.
11.5.2.2.2. Ninguna otra de las propiedades ni los parámetros de un medidor deben verse afectados por una interrupción en el suministro eléctrico.
11.5.2.2.3. Las conexiones del suministro de energía en el medidor deben poder asegurarse contra manipulación.
11.5.2.3. Batería no reemplazable
11.5.2.3.1. El fabricante y/o importador debe garantizar que la vida útil esperada de la batería sea tal que el medidor funcione correctamente al menos durante un año más que la vida útil operativa del medidor.
11.5.2.3.2. En el medidor debe haber un indicador de batería baja o batería agotada, o la fecha de remplazo del medidor. Si la visualización del registro proporciona una indicación de “batería baja”, debe haber por lo menos 180 días de vida útil para la visualización del registro desde el momento en que aparece la indicación de “batería baja” hasta el final de la vida útil.
Se tomará en consideración una combinación de volumen especificado total máximo permitido registrado, volumen visualizado, vida útil operativa indicada, lectura remota, temperaturas extremas y, si es necesario, conductividad del agua al especificar una batería y durante la evaluación de tipo.
11.5.2.4. Batería reemplazable
11.5.2.4.1. Cuando el suministro de energía eléctrica es una batería reemplazable, el productor / importador debe proporcionar reglas precisas para el remplazo de dicha batería en el manual de usuario.
11.5.2.4.2. En el medidor debe haber un indicador de batería baja o batería agotada, o la fecha de remplazo de la batería. Si la visualización del registro proporciona una indicación de “batería baja”, debe haber por lo menos 180 días de vida útil para la visualización del registro desde el momento en que aparece la indicación de “batería baja” hasta el final de su vida útil.
11.5.2.4.3. Ni las propiedades ni los parámetros de un medidor deben verse afectados por la interrupción del suministro eléctrico cuando se reemplaza la batería.
Se tomará en consideración una combinación de volumen especificado total máximo permitido registrado, volumen visualizado, vida útil operativa indicada, lectura remota, temperaturas extremas y, si es necesario, conductividad del agua al especificar una batería y durante la evaluación de tipo.
11.5.2.4.4. El reemplazo de la batería se debe llevar a cabo de manera que no sea necesario romper los precintos de seguridad.
11.5.2.4.5. El compartimiento de la batería debe poder asegurarse contra manipulación.
11.6. Requisitos técnicos
11.6.1. Materiales y construcción de medidores de agua
11.6.1.1. Los medidores de agua se deben fabricar con materiales resistentes y durables adecuados para el propósito para el cual se van a usar.
11.6.1.2. Los medidores de agua se deben fabricar con materiales que no se vean afectados adversamente por las variaciones en la temperatura del agua, en el intervalo de la temperatura de trabajo (véase el numeral 11.6.4).
11.6.1.3. Todas las partes de un medidor de agua en contacto con el agua que fluye a través de él deben ser fabricadas con materiales que se conozcan convencionalmente como no tóxicos, no contaminantes e inertes biológicamente.
11.6.1.4. El medidor de agua completo debe estar fabricado con materiales que sean resistentes a la corrosión interna y externa, o que estén protegidos con un tratamiento superficial adecuado.
11.6.1.5. El dispositivo indicador de un medidor de agua debe estar protegido con una ventana transparente. También se puede suministrar una cubierta de tipo especial como protección adicional.
11.6.1.6. Cuando exista el riesgo de formación de condensación en la superficie inferior de la ventana (cúpula) del dispositivo indicador del medidor, el medidor debe incorporar dispositivos para prevenir o eliminar la condensación.
11.6.1.7. El medidor de agua debe ser de tal diseño, composición y construcción que dificulten la realización del fraude.
11.6.1.8. El medidor de agua debe estar equipado con una pantalla controlada metrológicamente. La pantalla debe ser de fácil acceso para el usuario, sin necesitar el uso de una herramienta.
11.6.1.9. El medidor de agua debe ser diseñado y producido de tal manera que no sobrepase el EMP, ni que favorezca al usuario del servicio público domiciliario de agua ni que favorezca a la empresa prestadora del servicio agua.
11.6.2. Ajuste y corrección
11.6.2.1. El medidor de agua puede contar con un dispositivo de ajuste y/o dispositivo de corrección. Cualquier ajuste debe realizarse de tal manera que se ajusten los errores (de indicación) del medidor de agua a valores tan cerca como sea posible a cero, de manera que el medidor no saque ventaja del EMP ni favorezca sistemáticamente al usuario ni a la empresa prestadora del servicio público domiciliario de agua.
11.6.2.2. Si estos dispositivos están montados en la parte exterior del medidor, se deben tener medios para el sellado o precintaje (ver numeral 11.6.7.2.).
11.6.3. Características del medidor para su instalación(6)
11.6.3.1. Si la exactitud del medidor de agua se ve afectada por perturbaciones en la tubería aguas arriba o aguas abajo (como las debidas a la presencia de codos, válvulas o bombas), el medidor debe tener un número suficiente de tramos de tubería recta, con o sin rectificador de flujo, según lo especifique el fabricante o importador, de modo que las indicaciones en el medidor de agua instalado satisfagan los requisitos indicados en el numeral 11.4.2.2 o 11.4.2.3 con respecto a los EMP y estén acordes con la clase de exactitud del medidor.
11.6.3.2. El medidor de agua debe tener la capacidad para resistir la influencia de campos de ve ocidad perturbados, según se definen en los procedimientos de ensayo de la norma NTC-ISO 4064-2. Durante la aplicación de estas perturbaciones del flujo, el error (de indicación) debe cumplir con los requisitos previstos en los numerales 11.4.2.2 o 11.4.2.3.
El productor y/o importador del medidor debe especificar la clase de sensibilidad del perfil de flujo, de conformidad con las indicaciones establecidas en las Tablas 2 y 3.
Cualquier sección para acondicionamiento del flujo específico que se deba usar, incluidos el rectificador y/o los tramos rectos, debe estar prescrita por el productor y/o importador.
Tabla 2. Clases de sensibilidad a la irregularidad en los campos de velocidad aguas arriba (U)
| Clase | Longitudes rectas requeridas xDN* | Corrector necesario |
| U0 | 0 | No |
| U3 | 3 | No |
| U5 | 5 | No |
| U10 | 10 | No |
| U15 | 15 | No |
| U0S | 0 | Sí |
| U3S | 3 | Sí |
| U5S | 5 | Sí |
| U10S | 10 | Sí |
*xDN (diámetro nominal), corresponde a Denominación alfanumérica del calibre de los componentes de un sistema de tuberías que se utiliza con propósitos de referencia.
Tabla 3. Clases de sensibilidad a la irregularidad en los campos de velocidad aguas abajo (D)
| Clase | Longitudes rectas requeridas xDN | Corrector necesario |
| D0 | 0 | No |
| D3 | 3 | No |
| D5 | 5 | No |
| D0S | 0 | Sí |
| D3S | 3 | Sí |
xDN (diámetro nominal), corresponde a Denominación alfanumérica del calibre de los componentes de un sistema de tuberías que se utiliza con propósitos de referencia.
11.6.4. Condiciones nominales de operación.
Las condiciones nominales de operación para un medidor de agua deben ser las siguientes:
Intervalo de caudal: Q1 a Q3 inclusive
Intervalo de temperatura ambiente: +5 °C hasta +55 °C.
Intervalo de temperatura del agua: Ver Tabla 1.
Intervalo de humedad relativa del ambiente: 0% a 100%, excepto para los dispositivos de indicación remotos en donde el intervalo debe estar entre 0% y 93%.
Intervalo de presión: 0,03 MPa (0,3 bar) hasta por lo menos 1 MPa (10 bar), excepto para medidores con DN = 500, en donde la máxima presión admisible (MPA) debe ser por lo menos de 0,6 MPa (6 bar).
11.6.5. Pérdida de presión.
La pérdida de presión a través del medidor de agua, incluido su filtro o colador y/o el rectificador, cuando cualquiera de ellos forme parte integral del medidor, no debe ser superior a 0,063 MPa (0,63 bar) entre Q1 y Q3.
La clase de pérdida de presión es seleccionada por el productor y/o importador a partir de los valores de la Tabla 4: para una clase determinada de pérdida de presión, la pérdida de presión a través del medidor, incluido su filtro o colador y/o rectificador, cuando alguno de ellos forma parte integral del medidor, no debe ser superior a la pérdida máxima de presión especificada entre Q1 y Q3.
Un medidor concéntrico, de cualquier tipo y principio de medición, se debe ensayar.
Tabla 4 Clases de pérdida de presión
| Clase | Máxima pérdida de presión | |
| MPa | bar | |
| 0,063 | 0,63 | |
| 0,040 | 0,40 | |
| 0,025 | 0,25 | |
| 0,016 | 0,16 | |
| 0,010 | 0,10 | |
Nota 1. Los rectificadores, como se especifican en el numeral 11.6.3, no se consideran parte integral del medidor.
Nota 2. Para algunos medidores, en un intervalo de caudal Q1 = Q = Q3, la máxima pérdida de presión no se produce en Q3.
11.6.6. Dispositivo indicador
11.6.6.1. Requisitos generales
11.6.6.1.1. Función. El dispositivo indicador de un medidor de agua debe proporcionar una indicación visual de fácil lectura, confiable y sin ambigüedad del volumen indicado. Un medidor combinado puede tener dos dispositivos de indicación, la suma de los cuales suministra el volumen indicado.
El dispositivo indicador debe incluir medios visuales para la prueba y la calibración.
El dispositivo indicador puede incluir elementos adicionales para el ensayo y la calibración mediante otros métodos; por ejemplo, la prueba y la calibración automáticos.
11.6.6.1.2. Unidad de medición, símbolo y su ubicación. El volumen de agua indicado debe expresarse en metros cúbicos. El símbolo m³ debe aparecer sobre el dial o inmediatamente adyacente a la pantalla numerada.
11.6.6.1.3. Intervalo de indicación. El dispositivo indicador debe registrar el volumen indicado en metros cúbicos que se proporciona en la Tabla 5, sin pasar a través de cero.
Tabla 5 Intervalo de indicación de un medidor de agua
| Q3 m³/h | Intervalo de indicación (valores mínimos) (m³) |
| Q3 | 9 999 |
| 6,3 < Q3 | 99 999 |
| 63 < Q3 | 999 999 |
| 630 < Q3 | 9 999 999 |
La tabla 5 se puede ampliar a valores de Q3 mayores.
11.6.6.1.4. Codificación de color para los dispositivos indicadores.
El color negro se debe usar para indicar los metros cúbicos y sus múltiplos.
El color rojo se debe usar para indicar los submúltiplos de un metro cúbico.
Estos colores se deben aplicar a punteros, índices, números, ruedas, discos, diales o ventanillas.
Se pueden usar otros medios para indicar el metro cúbico, sus múltiplos y sus submúltiplos en un medidor de agua, siempre que no exista ambigüedad al diferenciar entre la indicación primaria y la visualización alterna, por ejemplo, los submúltiplos para verificación y ensayo.
11.6.6.2. Tipos de dispositivo indicador.
Se debe usar alguno de los siguientes tipos:
11.6.6.2.1. Tipo 1 - Dispositivo análogo.
El volumen indicado es señalado por el movimiento continuo de:
a) Uno o más punteros que se mueven con respecto a las escalas graduadas, o
b) Una o más escalas circulares o tambores cada uno de los cuales se mueven con respecto a un índice.
El valor expresado en metros cúbicos para cada división de escala debe tener la forma 10n, donde n es un número entero positivo o negativo, o cero, que establece de esta manera un sistema de decenas consecutivas. Cada escala debe estar graduada en valores expresados en metros cúbicos o ir acompañada de un factor de multiplicación (×0,001; ×0,01; ×0,1; ×1; ×10; ×100; ×1000, etc.).
El movimiento rotatorio de los punteros o las escalas circulares debe darse en la dirección de las manecillas del reloj.
El movimiento lineal de los punteros o las escalas debe darse de izquierda a derecha.
El movimiento de los indicadores de rodillo numerados (tambores) debe ser ascendente.
11.6.6.2.2. Tipo 2 - Dispositivo digital.
El volumen indicado está dado por una línea de dígitos adyacentes que aparecen en una o más aberturas. El avance de un dígito determinado debe estar completo mientras que el dígito de la siguiente década inmediatamente inferior cambia de 9 a 0. La altura aparente de los dígitos debe ser de al menos 4 mm.
Tratándose de dispositivos no electrónicos, se deben cumplir los siguientes requisitos:
a) El movimiento de los indicadores de rodillo numerados (tambores) debe ser ascendente;
b) Si la década con el valor más bajo tiene un movimiento continuo, la abertura debe ser lo suficientemente grande para permitir que el dígito sea leído sin ambigüedad.
Tratándose de dispositivos electrónicos, se deben cumplir los siguientes requisitos:
a) Se permiten pantallas permanentes o no permanentes. Para las no permanentes el volumen debe visualizarse en cualquier momento durante un mínimo de 10 segundos;
b) Se debe permitir la verificación visual de la totalidad de la pantalla, la cual debe tener la siguiente secuencia:
(i) Para el tipo de siete segmentos, verificar que todos los elementos se pueden visualizar correctamente (por ejemplo, un ensayo de “ochos”);
(ii) Para el tipo de siete segmentos, verificar que todos los elementos pueden quedar en blanco (una prueba de “blancos”);
(iii) Para la visualización gráfica se usa un ensayo equivalente para verificar que las fallas en la visualización no pueden resultar en la interpretación equivocada de algún dígito.
Cada paso de esta secuencia debe durar al menos 1 s.
11.6.6.2.3. Tipo 3 - Combinación de dispositivos análogos y digitales.
El volumen dado está determinado por una combinación de dispositivos Tipo 1 y Tipo 2 y se deben aplicar los requisitos respectivos para cada uno de ellos.
11.6.6.3. Dispositivos de verificación – Primer elemento de un dispositivo indicador - Intervalo de la escala de verificación
11.6.6.3.1. Requisitos generales.
Cada dispositivo indicador debe proporcionar los medios para el ensayo de verificación y la calibración visuales, sin ambigüedad.
La presentación de la verificación visual puede tener un movimiento continuo o discontinuo.
Además de la presentación de verificación visual, un dispositivo indicador puede incluir disposiciones para el ensayo rápido mediante la inclusión de elementos complementarios (por ejemplo, ruedas o discos en estrella), que proporcionan señales a través de detectores ajustados externamente. Tales disposiciones también se pueden utilizar para detectar las fugas.
11.6.6.3.2. Presentaciones de verificación visual
11.6.6.3.2.1. Valor del intervalo de la escala de verificación.
El valor del intervalo de escala de verificación expresado en metros cúbicos debe tener la siguiente forma: 1 × 10n, 2 × 10n o 5 × 10n, donde n es un número entero positivo o negativo, o cero.
Para dispositivos de indicación análogos y digitales con movimiento continuo del primer elemento, la escala de verificación puede estar formada a partir de la división en 2, 5 o 10 partes iguales del intervalo entre dos dígitos consecutivos del primer elemento. No se debe aplicar numeración a estas divisiones.
Para dispositivos de indicación digitales con movimiento discontinuo del primer elemento, el intervalo de escala de verificación es el intervalo entre dos dígitos consecutivos o movimientos incrementales del primer elemento.
11.6.6.3.2.2. Forma de la escala de verificación.
En dispositivos de indicación con movimiento continuo del primer elemento, la separación aparente de la escala no debe ser inferior a 1 mm ni superior a 5 mm. Esta escala debe constar de:
a) Líneas con igual espesor que no superen un cuarto de la separación de la escala y que solo difieran en longitud; o
b) Bandas contrastantes con ancho constante igual a la separación de la escala.
El ancho aparente de los punteros en su punta no debe exceder un cuarto de la separación de la escala y en ninguna circunstancia debe ser mayor a 0,5 mm.
11.6.6.3.2.3. Resolución del dispositivo indicador.
Las subdivisiones de la escala de verificación deben ser lo suficientemente pequeñas para garantizar que el error de resolución del dispositivo indicador no exceda de 0,25% para medidores con clase de exactitud 1, y 0,5% para medidores con clase de exactitud 2, del volumen que pasa durante 90 minutos a caudal mínimo Q1.
Se pueden usar elementos de verificación adicionales siempre que la incertidumbre de lectura no sea mayor que 0,25% del volumen de ensayo para medidores con clase de exactitud 1, y 0,5% del volumen de ensayo para medidores con clase de exactitud 2, y se verifique el funcionamiento correcto del registro.
Cuando la visualización del primer elemento es continua, se tolera un error máximo en cada lectura no superior a la mitad del intervalo de la escala de verificación.
Cuando la visualización del primer elemento es discontinua, se tolera un error máximo en cada lectura no superior a un dígito de la escala de verificación.
Nota: Véase la norma NTC-ISO 4064-2, numeral 6.4.3.6.2.3 para los cálculos del error de resolución.
11.6.6.3.3. Medidores combinados
Para los medidores combinados con dos dispositivos indicadores, se aplica lo indicado en los numerales 11.6.6.3.1 y 11.6.6.3.2 a ambos dispositivos.
11.6.7. Dispositivos de protección.
11.6.7.1. Generalidades.
Los medidores de agua deben incluir dispositivos de protección o precintos para prevenir, tanto antes como después de la correcta instalación del medidor, el desmonte o la modificación del medidor, su dispositivo de ajuste o su dispositivo de corrección, sin dañar estos dispositivos. En caso de medidores combinados, este requisito se aplica a ambos medidores.
La visualización de la cantidad total suministrada o las visualizaciones a partir de las cuales se puede derivar la cantidad total suministrada no deben ser restaurables mientras el medidor esté en servicio.
11.6.7.2. Dispositivos con sellado o precinto electrónico
11.6.7.2.1. Cuando el acceso a parámetros que influyen en la determinación de los resultados de las mediciones no está protegido con dispositivos de sellado mecánico, la protección debe cumplir las siguientes disposiciones:
a) El acceso solo se permite a personas autorizadas, por ejemplo, por medio de un código (contraseña), o de un dispositivo especial (por ejemplo, una tecla fija). Se debe poder cambiar el código.
b) Debe ser posible que la evidencia de una intervención esté disponible durante un periodo de tiempo igual o superior a la vida útil del medidor. El registro debe incluir la fecha y un elemento característico que identifique la persona autorizada que hizo la intervención [véase a)]. Si es necesario borrar una intervención previa para permitir un nuevo registro, se debe borrar el registro más antiguo.
11.6.7.2.2. Para medidores con partes que el usuario puede desconectar unas de otras y que son intercambiables, se deben cumplir las siguientes disposiciones:
a) No debe ser posible el acceso a los parámetros que participan en la determinación de los resultados de las mediciones a través de los puntos desconectados, a menos que se cumplan las disposiciones indicadas en el numeral 11.6.7.2.1;
b) Se debe prevenir la interposición de cualquier dispositivo que pueda influir en la precisión por medio de seguridades electrónicas y de procesamiento de datos o, si esto no es posible, por medios mecánicos.
11.6.7.2.3. Para medidores con partes que el usuario puede desconectar unas de otras y que no son intercambiables, se deben cumplir las disposiciones del numeral 11.6.7.2.2. Además, estos medidores se deben suministrar con dispositivos o medios que no les permitan funcionar si las diversas partes no están conectadas de acuerdo con el tipo o modelo certificado o aprobado.
Deben tener un dispositivo que evite toda medición después de cualquier desconexión no autorizada y la posterior reconstrucción por parte del usuario.
11.7. Etiquetado, marcas e inscripciones.
El medidor de agua debe estar marcado ya sea en el cuerpo del instrumento, con una etiqueta, código QR o una combinación de los tres (cuerpo del instrumento, etiqueta y código QR). La etiqueta o el código QR debe ubicarse en una parte visible del instrumento, debe ser resistente a la manipulación, confeccionada con un material resistente a los agentes externos, tanto atmosféricos, como abrasivos y a los impactos. La información mínima que debe tener el medidor de agua es la siguiente:
- Identificación del productor o importador en Colombia:
a) Nombre o razón social del fabricante o importador en Colombia.
b) NIT del fabricante o importador en Colombia.
c) Marca comercial.
- Identificación del medidor de agua:
a) Modelo del instrumento.
b) Número de serie del instrumento.
c) Año de fabricación para medidores de agua de producción nacional.
d) Año de importación a Colombia para medidores de agua de producción extranjera.
- Características técnicas:
a) Clase de exactitud.
b) Símbolo de la unidad de medición.
Es de tener en cuenta que el volumen indicado de agua se debe expresar en metros cúbicos, por lo tanto, el símbolo de la unidad de medición debe ser m³.
c) Valor numérico de Q3 y la relación Q3/Q1: Si el medidor mide el flujo inverso y los valores de Q3 y la relación Q3/Q1 son diferentes en las dos direcciones, se deben escribir los valores tanto de Q3 como de Q3/Q1; la dirección del flujo a la cual hace referencia cada par de valores debe quedar clara. La relación Q3/Q1 se puede expresar como R; por ejemplo, “R160”. Si el medidor tiene valores de Q3/Q1 diferentes en las posiciones horizontal y vertical, se deben escribir ambos valores de Q3/Q1 y la orientación a la cual hace referencia cada valor debe quedar clara.
d) Dirección del flujo, por medio de una flecha (colocada a ambos lados del cuerpo del medidor o en un solo lado siempre que la dirección de la flecha de flujo sea visible fácilmente en cualquier circunstancia).
e) Presión máxima permitida o admisible (MPA).
f) La letra V o H, si el medidor solamente se puede operar en posición vertical u horizontal.
g) La clase de temperatura, según lo especificado en la Tabla 1.
h) La clase de pérdida de presión, según lo especificado en la Tabla 4.
i) La clase de sensibilidad a la irregularidad en los campos de velocidad aguas arriba y aguas abajo, según lo especificado en las Tablas 2 y 3.
Para un medidor de agua con dispositivos electrónicos, se debe indicar adicionalmente lo siguiente:
j) Para una fuente externa para el suministro de energía: la tensión y la frecuencia.
k) Para la batería remplazable: La fecha máxima en la que la batería debe ser remplazada.
l) Para la batería no remplazable: La fecha máxima en la que el medidor debe ser remplazado.
m) Clasificación ambiental.
n) Clase ambiental electromagnética.
La clasificación ambiental y la clase ambiental electromagnética se pueden suministrar en hojas de datos independientes, relacionados de forma clara con el medidor mediante una identificación única y no sobre el propio m edidor.
11.8. Evaluación de la conformidad del tipo o modelo de medidor de agua
11.8.1. Condiciones de referencia. Todas las cantidades influyentes, excepto aquella cantidad sometida a ensayo, deben mantenerse en sus condiciones de referencia. Las condiciones de referencia (incluyendo sus tolerancias) se indican en la norma NTC-ISO 4064-2, numeral 4. Los valores están especificados para caudal, temperatura del agua, presión del agua, temperatura ambiente, humedad relativa del ambiente y presión atmosférica ambiental.
11.8.2. Evaluación y aprobación de tipo
Antes de realizar los ensayos de evaluación de tipo, cada tipo de medidor de agua se debe examinar para garantizar que cumple con las disposiciones de los numerales precedentes pertinentes, de este reglamento técnico metrológico.
11.8.2.1. Número de muestras.
Los ensayos de evaluación se deben llevar a cabo en un número mínimo de muestras de cada uno de los tipos indicados en la Tabla 6 en función de la denominación Q3 del medidor del tipo presentado.
El organismo responsable de la evaluación de tipo o modelo de medidor de agua (Organismo Evaluador de la Conformidad), podrá solicitar muestras adicionales si las necesita.
Tabla 6 Número mínimo de medidores de agua a ensayar en la evaluación de tipo
| Denominación del medidor | Número mínimo de medidores a ensayar para todos los tipos de medidor, exceptuando los ensayos requeridos para medidores con dispositivos electrónicos |
| Q3 | |
| m³/h | |
| Q3 | 3 |
| 160 < Q3 | 2 |
| 1 600 < Q3 | 1 |
Los requisitos señalados en los numerales 11.4.2.2 o 11.4.2.3 se deben aplicar a todos los medidores ensayados, dependiendo de la clase de exactitud de estos.
Para la aprobación de tipo de un medidor de agua con dispositivos electrónicos, se deben proporcionar cinco muestras para los ensayos que se especifican en el Anexo A, las cuales pueden ser diferentes de aquellas suministradas para otros ensayos, y por lo menos un medidor se debe someter a todos los ensayos apropiados. El mismo medidor se debe someter a todos los ensayos, excepto en circunstancias en las que no hacerlo puede ser justificado por el organismo que realiza la evaluación de tipo.
11.8.2.2. Errores (de indicación).
Los errores (de indicación) de un medidor de agua (en la medición del volumen real) se deben determinar por lo menos en los siguientes caudales nominales:
a) Q1;
b) Q2;
c) 0,35 (Q2 + Q3);
d) 0,7 (Q2 + Q3);
e) Q3;
f) Q4;
y para medidores combinados:
g) 0,9 Qx1;
h) 1,1 Qx2.
Los errores (de indicación) observados para cada uno de los caudales arriba indicados no deben exceder los EMP establecidos en los numerales 11.4.2.2 o 11.4.2.3.
Nota: Véase la norma NTC-ISO 4064-2, numeral 7.4.4 con respecto a los rangos de caudal permitidos y NTC-ISO 4064-2, numerales 7.4.4 y 7.4.5 con respecto al número requerido de mediciones en cada caudal.
Si todos los errores (de indicación) relativos de un medidor de agua tienen el mismo signo, al menos uno de los errores no debe exceder la mitad del EMP. En todos los casos estos requisitos se deben aplicar equitativamente respecto al proveedor de agua y al consumidor (Véase también numeral 11.4.3.3).
Cuando un medidor está marcado o rotulado para operar únicamente en determinadas orientaciones, entonces dicho medidor se debe ensayar en tales orientaciones.
En ausencia de dichas marcas o rotulados, el medidor se debe ensayar por lo menos en cuatro orientaciones.
11.8.2.3. Repetibilidad.
Un medidor debe ser repetible: la desviación estándar de tres mediciones con el mismo caudal no debe superar un tercio del EMP establecido en los numerales 11.4.2.2 o 11.4.2.3. Los ensayos se deben ejecutar en los caudales nominales de Q1, Q2, y Q3.
11.8.2.4. Sobrecarga de la temperatura del agua.
Un medidor con MTA
50 °C, debe ser capaz de soportar una temperatura del agua de MTA +10°C durante 1h. El ensayo está especificado en la NTC ISO 4064-2, numeral 7.6.
11.8.2.5. Durabilidad.
11.8.2.5.1. Generalidades.
Un medidor de agua se debe someter a los ensayos de durabilidad que se especifican en la norma NTC-ISO 4064-2, numeral 7.11, simulando las condiciones de operación.
Después de cada uno de estos ensayos, los errores del medidor se deben medir nuevamente a los caudales indicados en el numeral 11.8.2.2 y se deben aplicar los criterios dados en los numerales 11.8.2.5.2 o 11.8.2.5.3.
Las orientaciones del medidor sometido a ensayo se deben ajustar con referencia a las orientaciones declaradas por el productor y/o importador.
Nota: Para las familias de medidores, únicamente se debe someter al ensayo de durabilidad el medidor con el menor diámetro representativo.
11.8.2.5.2. Medidores de agua con clase de exactitud 1.
Para medidores de agua con clase de exactitud 1, la variación en la curva de error (de indicación) no debe superar el 2% para flujos en la zona más baja del caudal (Q1
Q < Q2) y 1% para flujos en la zona más alta del caudal (Q2
Q
Q4).
Para caudales en la zona más baja (Q1
Q < Q2), la curva de error (de indicación) no debe superar el límite del error máximo de ± 4% para todas las clases de temperatura. Para caudales en la zona más alta (Q2
Q
Q4), la curva de error (de indicación) no debe superar el límite de error máximo de ± 1,5% para medidores con clase de temperatura T30 y de ±2.5% para todas las otras clases de temperatura.
Para los propósitos de estos requisitos, se deben aplicar los valores medios de los errores (de indicación).
11.8.2.5.3. Medidores de agua con clase de exactitud 2.
Para medidores de agua con clase de exactitud 2, la variación en la curva del error (de indicación) no debe superar el 3% para flujos en la zona de caudal más baja (Q1
Q < Q2) y 1,5% para flujos en la zona de caudal más alta (Q2
Q
Q4).
Para caudales en la zona más baja (Q1
Q < Q2), la curva de error (de indicación) no debe superar el límite del error máximo de ± 6% para todas las clases de temperatura. Para caudales en la zona más alta (Q2
Q
Q4) la curva de error (de indicación) no debe superar el límite del error máximo de ± 2,5% para medidores de clase de temperatura T30 y de ±3.5% para todas las otras clases de temperatura.
Para los efectos de estos requisitos, se deben aplicar los valores medios de los errores (de indicación).
11.8.2.6. Error de intercambio.
Se debe demostrar que los medidores de cartucho y los módulos metrológicos intercambiables para los medidores de agua con dichos módulos son independientes de las interfaces de conexión de las que son parte en lo que se refiere a su desempeño metrológico. Los medidores de cartucho y los módulos metrológicos intercambiables se deben ensayar de conformidad con el ensayo indicado en la norma NTC-ISO 4064-2, numeral 7.4.6.
Las orientaciones del medidor sometido a ensayo se deben ajustar con referencia a las orientaciones declaradas por el productor y/o importador.
11.8.2.7. Campo magnético estático.
Se debe demostrar que un medidor de agua no se ve afectado por un campo magnético estático. Se debe aplicar el ensayo a todos los medidores cuando los componentes mecánicos pueden verse influenciados por un campo magnético y a todos los medidores con componentes electrónicos. El ensayo se especifica en la norma NTC-ISO 4064-2, numeral 7.12.
11.8.2.8. Modificación de un tipo aprobado.
11.8.2.8.1. El productor y/o importador receptor del certificado de examen de tipo o de la aprobación de modelo debe informar al Organismo Evaluador de la Conformidad (OEC) sobre cualquier modificación o adición concerniente al tipo o modelo aprobado.
11.8.2.8.2. Las modificaciones y adiciones deben estar sujetas a una aprobación complementaria del tipo cuando ellas influyen, o es probable que influyan en los resultados de la medición o en las condiciones de uso reglamentario del medidor. El organismo que aprobó el tipo inicial debe decidir sobre la extensión de los exámenes y ensayos especificados a continuación hasta la cual se deben ejecutar en el tipo modificado con respecto a la naturaleza de la modificación.
11.8.2.8.3. Si el organismo que aprobó el tipo inicial considera que las modificaciones o adiciones probablemente no influyen en los resultados de la medición, este organismo debe permitir, por escrito, que los medidores modificados sean presentados para la verificación inicial señalada en el numeral 7.3 de la NTC-ISO 4064-1, sin otorgar una aprobación de tipo complementaria.
Se debe emitir una aprobación de tipo nueva o complementaria siempre que el tipo modificado ya no cumpla las disposiciones de su aprobación inici al.
11.8.2.9. Evaluación de tipo de un medidor de agua con dispositivos electrónicos
11.8.2.9.1. Inspección de diseño
Además de los requisitos establecidos en los párrafos anteriores, un medidor de agua con dispositivos electrónicos se debe someter a la inspección del diseño. Este examen de documentos tiene como meta verificar que el diseño de los dispositivos electrónicos y sus medios de verificación, si aplican, cumplan las disposiciones de este reglamento técnico, específicamente lo previsto en el numeral 11.5. Este incluye:
a) Un examen del modo de construcción de los subsistemas y componentes electrónicos utilizados con el fin de verificar su idoneidad para su uso previsto;
b) Consideración de las fallas que probablemente ocurran, para verificar que en todos los casos considerados estos dispositivos cumplen las disposiciones indicadas en el numeral 11.5.1 y Anexo B;
c) Verificación de la presencia y eficacia de los dispositivos de ensayo para los medios de verificación, si se requiere.
11.8.2.9.2. Desempeño
11.8.2.9.2.1. Generalidades.
Un medidor de agua debe cumplir las disposiciones previstas en los numerales 11.4.2 y 11.5.1.1 con respecto a las cantidades influyentes.
11.8.2.9.2.2. Desempeño bajo el efecto de factores influyentes
Cuando está sometido al efecto de factores influyentes, como los suministrados en el Anexo A, un medidor de agua debe continuar operando correctamente y los errores (de indicación) no deben exceder los EMP aplicables.
11.8.2.9.2.3. Desempeño bajo los efectos de las perturbaciones
Cuando está sometido al efecto de perturbaciones externas, como las suministradas en el Anexo A, un medidor de agua debe continuar operando correctamente o las fallas significativas deben poder ser detectadas y tratadas a través de un medio de verificación.
11.8.2.9.2.4. Equipo sometido a ensayo
Cuando los dispositivos electrónicos forman parte integral del medidor de agua, los ensayos se deben realizar en el medidor completo.
Si los dispositivos electrónicos del medidor están en una caja separada, sus funciones electrónicas se pueden ensayar independientemente del transductor de medición del medidor mediante señales simuladas representativas de la operación normal del medidor, en cuyo caso los dispositivos electrónicos se deben ensayar en su caja final.
En todos los casos, los dispositivos auxiliares se pueden ensayar por separado.
11.9. DOCUMENTOS PARA DEMOSTRACIÓN DE LA CONFORMIDAD
La conformidad de los medidores de agua de uso residencial de producción nacional y extranjera frente a los requisitos definidos en el presente reglamento técnico se demostrará mediante:
(i) un certificado de examen de tipo o aprobación de modelo del instrumento emitido en cumplimiento de los requisitos establecidos en el numeral 11.9.1 de esta resolución, y
(ii) una declaración de conformidad del productor o importador del medidor de agua individualmente considerado, emitida en cumplimiento de los requisitos del numeral 11.9.3 de esta resolución.
11.9.1. Requisitos para la expedición del certificado de examen de tipo o aprobación de modelo
La certificación de tipo del medidor de agua debe ser emitida bajo el esquema de certificación 1A definido en la norma ISO/IEC 17067, con alcance al presente reglamento técnico o sus normas equivalentes definidas en el numeral 11.9.4, por parte de (i) un organismo de certificación de producto acreditado ante el Organismo Nacional de Acreditación de Colombia (ONAC) bajo la norma ISO/IEC 17065 con alcance al presente reglamento técnico metrológico; o (ii) un organismo de certificación acreditado que corresponda a cualquiera de las opciones de evaluación de la conformidad de producto previstas en los numerales 2, 3 y 4 del artículo 2.2.1.7.9.2 del Decreto 1074 de 2015, modificado por el Decreto 1595 de 2015; o (iii) por parte de un organismo notificado.
También se podrá demostrar la conformidad con certificaciones de tipo emitidas por autoridades emisoras de certificados de conformidad en el marco del sistema de certificación de la Organización Internacional de Metrología Legal -OIML.
Adicionalmente, se permite demostrar la conformidad del modelo del instrumento, mediante la aprobación de modelo emitida por una Autoridad de Metrología Legal de un país con base en los ensayos efectuados por parte de un Instituto Nacional de Metrología (INM) cuyas capacidades de calibración y medición (CMC(7)) en la magnitud relacionada con el instrumento de medición, hayan sido publicadas ante la Oficina Internacional de Pesas y Medidas(8).
La certificación de tipo o aprobación de modelo estarán vigentes mientras el productor y/o importador no modifique ninguna de las características y/o propiedades del medidor que fueron evaluadas. En caso de que se efectúe cualquier modificación, se deberá tener en cuenta lo establecido el numeral 11.8.2.8. de esta resolución.
11.9.1.1. Ensayos y exámenes para la expedición del certificado de examen de tipo
Para efectos de expedir el certificado de examen de tipo del medidor de agua, se deberán efectuar los ensayos que se mencionan en el numeral 11.8.2. de la presente resolución, bajo las condiciones allí establecidas, en laboratorios acreditados ante el ONAC, conforme a la norma ISO/IEC 17025, cuyo alcance de acreditación corresponda al ensayo respectivo; o practicar los ensayos previstos en las normas equivalentes al presente reglamento técnico metrológico en laboratorios de ensayo, siempre que ostenten acreditación vigente bajo la norma ISO/IEC 17025 emitida por un miembro signatario del acuerdo de reconocimiento mutuo de la Cooperación Internacional para la Acreditación de Laboratorios (ILAC), por sus siglas en inglés.
11.9.2. Disposición transitoria. Mientras no exista al menos un (1) organismo de certificación acreditado ante el ONAC cuyo alcance de certificación corresponda al presente reglamento técnico metrológico, se aceptará como medio para demostrar la conformidad, de la que habla el numeral 11.9.1, la declaración de conformidad del productor y/o importador expedida en cumplimiento de los requisitos establecidos en la norma internacional ISO/IEC 17050:2004 partes 1 y 2.
Esta declaración debe estar soportada sobre la base de haberse efectuado los ensayos que se mencionan en el numeral 11.8.2. de la presente resolución, por parte de un laboratorio de ensayo o de calibración, acreditado ante el ONAC, bajo la norma ISO/IEC 17025 cuyo alcance de acreditación corresponda a los medidores de agua; o por parte de un laboratorio que efectúe los ensayos establecidos en una de las normas equivalentes a este reglamento técnico definidas en el numeral 11.9.4, siempre que ostenten acreditación vigente bajo la norma ISO/IEC 17025 emitida por un miembro signatario del acuerdo de reconocimiento mutuo de la ILAC.
11.9.3. Requisitos para la expedición de la declaración de conformidad de los medidores de agua individualmente considerados.
Con la declaración de conformidad del medidor de agua, el productor o importador garantiza la conformidad del instrumento individualmente considerado con el modelo certificado. Esta declaración debe ser expedida de conformidad con los requisitos establecidos en la norma internacional ISO/IEC 17050:2004, utilizando el modelo de declaración de conformidad incluido en el Anexo C de esta resolución, y debe ir acompañada del informe de resultados de los ensayos que se señalan en el numeral 11.9.3.1 de esta resolución.
La declaración de conformidad debe identificar individualmente cada instrumento con número de serial.
11.9.3.1. Ensayos y exámenes para la expedición de la declaración de conformidad del medidor de agua.
Para efectos de expedir la declaración de conformidad del medidor de agua, se deberá determinar en primer lugar la muestra de medidores de agua a ensayar teniendo en cuenta lo establecido en la tabla 7.
Los medidores de agua a ensayar deben contar con el mismo certificado de tipo o aprobación de modelo.
En el caso de medidores de agua importados, el tamaño de la importación por modelo se validará en cada declaración de importación, y dependiendo del tamaño de la importación por modelo se determina la muestra de medidores de agua a ensayar tomando en consideración lo expuesto en la tabla 7.
Por otra parte, en el caso de medidores de agua fabricados en Colombia, el tamaño de la producción corresponderá a la cantidad de medidores de agua que tengan el mismo número de lote de producción, y dependiendo de ese tamaño de producción se determina la muestra de medidores de agua a ensayar tomando en consideración lo expuesto en la tabla 7.
Ahora bien, a la muestra de medidores de agua se le deberá realizar los siguientes ensayos:
- Ensayo de presión estática (Numeral 4.2.10 de la NTC ISO 4064-1:2016 y Numeral 7.3 de la NTC ISO 4064-2:2016).
- Ensayo de pérdida de presión (Numeral 6.5 de la NTC ISO 4064-1:2016 y Numeral 7.9 de la NTC ISO 4064-2:2016).
- Ensayo de durabilidad (Numeral 7.2.6 de la NTC-ISO 4064-1:2016 y Numeral 7.11.3 de la NTC-ISO 4064-2:2016).
Los ensayos se deben efectuar en (i) uno o más laboratorios de ensayos, acreditado ante el ONAC bajo la norma ISO/IEC 17025, cuyo alcance de acreditación corresponda a medidores de agua; o (ii) en laboratorios de ensayo siempre que ostenten acreditación vigente bajo la norma ISO/IEC 17025 emitida por un miembro signatario del acuerdo de reconocimiento mutuo de la ILAC.
Tabla 7 Tabla niveles mínimos de muestra para ensayos que soporten la declaración de conformidad del medidor de agua.
| Tamaño de la Producción/ Importación (Unidades) | Tamaño mínimo de la muestra (Unidades a ensayar) | Nivel de Aceptación | |
| Acepta | Rechaza | ||
| 1 | 1 | 0 | 1 |
| 2 a 8 | 2 | 0 | 1 |
| 9 a 15 | 2 | 0 | 1 |
| 16 a 25 | 3 | 0 | 1 |
| 26 a 50 | 5 | 0 | 1 |
| 51 a 90 | 5 | 0 | 1 |
| 91 a 150 | 8 | 0 | 1 |
| 151 a 280 | 13 | 0 | 1 |
| Tamaño de la Producción/ Importación (Unidades) | Tamaño mínimo de la muestra (Unidades a ensayar) | Nivel de Aceptación | |
| Acepta | Rechaza | ||
| 281 a 500 | 20 | 0 | 1 |
| 501 a 1200 | 32 | 0 | 1 |
| 1201 a 3200 | 50 | 0 | 1 |
| 3201 a 10000 | 80 | 0 | 1 |
| 10001 a 35000 | 125 | 0 | 1 |
| 35001 a 150000 | 200 | 0 | 1 |
| 150001 a 500000 | 315 | 0 | 1 |
| 500001 y más | 500 | 0 | 1 |
Nota: Tabla adaptada de nivel general de inspección I, Simple normal con nivel aceptable de calidad (NAC) de 0,010% Norma NTC/ISO 2859-1:2002- 04-03.
PARÁGRAFO. En la ausencia de laboratorios de ensayo en el territorio nacional acreditados para adelantar los ensayos propuestos en el numeral 11.9.3.1. de la presente resolución bajo las condiciones allí establecidas, se podrá efectuar una calibración para este tipo de instrumentos de medición en la magnitud Volumen (Medidores de agua), con base en las disposiciones de la NTC ISO 4064-1:2016 Parte 1, numerales: 4.1; 4.2.1; 4.2.2; 4.2.3; 4.2.6; 4.2.8; 6.7.3.2.3; 7.3.4; 7.3.5 y NTC-ISO 4064-2:2016 Parte 2, numerales 7.2; 7.4.2 y 10., en (i) laboratorios de calibración acreditados ante el ONAC, bajo la norma ISO/IEC 17025; o (ii) en laboratorios de calibración siempre que ostenten acreditación vigente bajo la norma ISO/IEC 17025 emitida por un miembro signatario del acuerdo de reconocimiento mutuo de la ILAC.
11.9.4. Normas equivalentes
a) Recomendación de la Organización Internacional de la Metrología Legal – OIML R-49-1 edición 2013 “Water meters for cold potable water and hot water, Part 1: Metrological and technical requirements”;
b) Recomendación de la Organización Internacional de la Metrología Legal – OIML R-49-1 edición 2024 “Water meters for cold potable water and hot water, Part 1: Metrological and technical requirements”;
c) Anexo MI-001 de la Directiva 2014/32/UE del Parlamento Europeo y del Consejo del 26 de febrero de 2014 relativa a “CONTADORES DE AGUA”;
d) La sección 3.36 “Water Meters” del manual número 44 en su última versión, adoptado por la Conferencia Nacional de Pesas y Medidas, publicado por el Instituto Nacional de Estándares y Tecnología de los Estados Unidos de América (NIST), por sus siglas en inglés;
e) Norma Oficial Mexicana NOM-012-SCFI en su última versión, referente a Instrumentos de medición-Medidores para agua.
11.10. Obligaciones del productor y/o importador
Son obligaciones del productor y/o importador, en relación con el cumplimiento del presente reglamento técnico las siguientes:
a. Introducir al mercado nacional únicamente medidores de agua que se encuentren conformes con los requisitos establecidos en el presente reglamento técnico.
b. Incorporar al medidor de agua la información especificada en el numeral 11.7. (Etiquetado, marcas e inscripciones).
c. Elaborar y preparar la documentación técnica señalada en el presente reglamento, para efectos de evaluar la conformidad de sus instrumentos.
d. Demostrar la conformidad de sus medidores de agua en la forma prevista en este reglamento técnico metrológico.
e. Conservar copia de la documentación técnica para demostrar la conformidad, por el término que se establece para la conservación de los papeles de comercio previsto en el artículo 60 del Código de Comercio, contado a partir de la fecha de introducción al mercado del medidor de agua.
f. Identificar los medidores de agua que son introducidos al mercado nacional en su cubierta exterior, con su nombre comercial o marca, dirección física y electrónica y teléfono de contacto.
g. Entregar al comprador y/o titular de los medidores de agua las instrucciones de operación y manual de uso en castellano, como también copia de los certificados de conformidad obtenidos para efectos de demostrar la conformidad de sus instrumentos.
h. Tomar las medidas correctivas necesarias para recoger o retirar del mercado aquellos medidores de agua que no estén conformes con los requisitos previstos en el presente reglamento técnico.
i. Permitir a la Superintendencia de Industria y Comercio el acceso a toda clase de información y documentación que sea necesaria para efectos de demostrar la conformidad de los medidores de agua que introdujo al mercado.
j. Previo a la importación o puesta en circulación si es fabricado en el país, el importador o productor de un medidor de agua potable de uso residencial, deberá registrar en el Sistema de Información de Metrología Legal (SIMEL) el modelo y características metrológicas de dicho instrumento de medición, adjuntando los siguientes documentos:
-- Certificado de examen de tipo o aprobación de modelo;
-- Manual de instalación y de uso del modelo de medidor de agua registrado, el cual debe estar en idioma castellano; y,
-- Esquema de precintos del medidor donde se especifique el lugar de instalación de los precintos, sus características y codificación.
Una vez se verifique la información y documentos señalados en este literal, SIMEL asignará el código (ID) de aprobación del modelo.
PARÁGRAFO. La Superintendencia de Industria y Comercio podrá retirar el registro del modelo de instrumento respecto del cual no se incorporen al SIMEL cualquiera de los documentos señalados en el presente literal.
k. Todo importador de medidores de agua potable de uso residencial debe presentar y adjuntar los documentos mencionados en el literal j del numeral 11.10 a la licencia de importación que se presente a través de la VUCE.
Así mismo, se deberá indicar en dicha licencia de importación el código de aprobación (ID) obtenido en el SIMEL respecto del modelo de medidor de agua objeto de importación.
I. Inscribirse en el Registro de Productores, Importadores y Prestadores de Servicios de reglamentos técnicos vigilados por la Superintendencia de Industria y Comercio.
m. Precintar los medidores de agua en sus componentes esenciales con el fin de evitar la manipulación indebida de los resultados de medida. Además, el precintado del instrumento debe estar acorde con el esquema de precintos cargado en el SIMEL.
11.11.1. Prohibición de comercialización y uso del medidor de agua.
Los medidores de agua sujetos al cumplimiento del presente reglamento técnico que no superen la evaluación de la conformidad en los términos establecidos en esta reglamentación técnica no podrán ser comercializados ni utilizados en la prestación del servicio público domiciliario de acueducto dentro del territorio nacional. Tampoco podrán ser comercializados, importados ni utilizados dentro del territorio nacional, aquellos medidores de agua que no cuenten con el código de aprobación (ID) de registro de modelo obtenido en el SIMEL según lo establecido en el literal j del numeral 11.10.
11.11.2. Autoridad de inspección, vigilancia y control
La Superintendencia de Industria y Comercio es la autoridad de inspección, vigilancia y control para verificar el cumplimiento del presente reglamento técnico de conformidad con lo señalado en la Ley 1480 de 2011 y los Decretos 4886 de 2011 y 1074 de 2015.
Bajo este entendido, esta Superintendencia podrá impartir las medidas necesarias para evitar que se cause daño o perjuicio a los consumidores e imponer las sanciones a que haya lugar, en el caso de incumplimiento del presente reglamento técnico metrológico.
La Dirección de Impuestos y Aduanas Nacionales (DIAN), ejercerá inspección, control y vigilancia del cumplimiento del presente reglamento técnico metrológico en el marco de sus competencias.
11.11.3. Régimen sancionatorio
La inobservancia a lo dispuesto en el presente reglamento técnico dará lugar a la imposición de las sanciones previstas en el artículo 61 de la Ley 1480 de 2011, previa investigación administrativa por parte de la Superintendencia de Industria y Comercio.
ARTÍCULO 2o. Los medidores de agua potable de uso residencial producidos en el país o importados antes de la fecha en la que entrará a regir el presente reglamento técnico, únicamente podrán ser comercializados hasta doce (12) meses después de la fecha de entrada en vigor del presente reglamento técnico.
ARTÍCULO 3o. VIGENCIA. La presente resolución entrará a regir seis (6) meses después de la fecha de su publicación en el Diario Oficial.
Publíquese y cúmplase.
Dada en Bogotá, D. C., a 12 de septiembre de 2025.
La Superintendente de Industria y Comercio,
Cielo Rusinque Urrego.
<Anexo publicado en el Diario Oficial>
<Consultar PDF del Diario Oficial directamente en el siguiente enlace:
https://normograma.com/documentospdf/PDF/R_SIyC_69940_2025_ANEXO.pdf
NOTAS AL FINAL:
1. “Artículo 71. Responsables en materia de Metrología Legal. Toda persona que use o mantenga un equipo patrón de medición sujeto a reglamento técnico o norma metrológica de carácter imperativo es responsable de realizar o permitir que se realicen los respectivos controles periódicos o aleatorios sobre los equipos que usa o mantiene, tal como lo disponga la norma. Los productores, expendedores o quienes arrienden o reparen equipos y patrones de medición deben cumplir con las normas de control inicial y realizar o permitir que se realicen los controles metrológicos antes indicados sobre sus equipos e instalaciones. Se presume que los instrumentos o patrones de medición que están en los establecimientos de comercio se utilizan en las actividades comerciales que se desarrollan en dicho lugar. Igualmente se presume que los productos preempacados están listos para su comercialización y venta.”
2. Numeral 3 del artículo 5o de la Ley 1480 de 2011.
3. Primera publicación del documento de Análisis de Impacto Normativo para estudiar la necesidad de expedir un Reglamento Técnico Metrológico aplicable a los medidores agua potable de uso residencial. Estudio elaborado por la Delegatura para el Control y Verificación de Reglamentos Técnicos y Metrología Legal, disponible en: https://www.sic.gov.co/proyectos-de-resolucion.
4. Segunda publicación. Análisis de Impacto Normativo Ex Ante Completo “Reglamento Técnico Metrológico aplicable a medidores de agua potable fría y caliente para usuarios residenciales del Servicio Público Domiciliario”. Estudio elaborado por la Delegatura para el Control y Verificación de Reglamentos Técnicos y Metrología Legal - octubre de 2023, disponible en: https://sedeelectronica. sic.gov.co/transparencia/normativa/documento-analisis-de-impacto-normativo-ex-ante-completo-reglamento-tecnico-metrologico-aplicable-medidores-de-agua-potable.
5. Las definiciones para dispositivos primario y secundario de medidores electromagnéticos se pueden ver en la ISO 4006:1991, Measurement of Fluid Flow in Closed Conduit. Vocabulary and Symbols.
6. La NTC-ISO 4064-5:2016 especifica los requisitos para la instalación del medidor.
7. Calibration and Measurements Capabilities (CMC).
8. Bureau International des Poids et Mesures (BIPM).