DatosDATOS
BúsquedaBUSCAR
ÍndiceÍNDICE
MemoriaDESCARGAS
DesarrollosDESARROLLOS
ModificacionesMODIFICACIONES
ConcordanciasCONCORDANCIAS
NotificacionesNOTIFICACIONES
Actos de trámiteACTOS DE TRÁMITE
AbogacíaABOGACÍA
VideosVIDEOS

CONCEPTO 2251 DE 2016

(enero 15)

<Fuente: Archivo interno entidad emisora>

COMISIÓN DE REGULACIÓN DE AGUA POTABLE Y SANEAMIENTO BÁSICO

-CRA-

Bogotá, D.C.

xxxxxxxxxxxxxxxxxxxxxx

Asunto: Radicado CRA 20153210070762 del 18 de diciembre de 2015.

Respetada señora:

Esta Entidad recibió la comunicación del asunto en la que remite varias inquietudes relacionadas con la aplicación de la metodología tarifaria contenida en la Resolución CRA 720 de 2015, a continuación pasamos a contestar cada uno de los interrogantes en el orden en que fueron remitidos.

"En cuanto al incremento del 30% del precio techo del CCS (parágrafo del artículo 14) posteriormente a la aprobación de la Junta Directiva de la empresa de este costo, ¿se podrá incluir este incremento por la actividad de aprovechamiento, es decir después de la entrada en aplicación de la metodología de la resolución CRA 720 de 2015?”

El parágrafo del artículo 14 de la Resolución CRA 720 de 2015 establece:

“Parágrafo. Cuando el municipio y/o Distrito se preste la actividad de aprovechamiento, el CCS se deberá incrementar en un 30% del precio techo. La administración de estos recursos se sujetará a la reglamentación del parágrafo 2 del articulo 88 de la Ley 1753 de 20152. (Subrayado fuera del texto original).

Según lo anterior, la aplicación del incremento del 30% del precio techo del costo de comercialización por suscriptor podrá aplicarse una vez el Plan de Gestión Integral de residuos sólidos - PGIRS municipal determine la viabilidad de! aprovechamiento y por tanto la prestación en el servicio público de aseo. De otra parte, se requiere de la expedición de la reglamentación a cargo del Ministerio de Vivienda, Ciudad y Territorio. Lo anterior, en razón a que la metodología tarifaria únicamente define el porcentaje a incrementar en la tarifa, pero no contiene los criterios para la administración y manejo de dichos recursos.

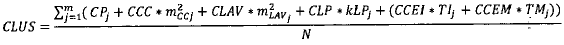
“Teniendo en cuenta lo dispuesto en el artículo 71 ¿Cómo se calcula la progresivídad si no se tienen los datos del CLUS?"

En principio, es importante recordar que el artículo 15 de la Resolución CRA 720 de 2015 define el costo de limpieza urbana por suscriptor - CLUS, como la suma del costo mensual de poda de árboles, de corte de césped, de lavado de áreas públicas, limpieza de playas e instalación de cestas dentro del perímetro urbano y se calcula de acuerdo a la siguiente fórmula:

Donde:

Costo de Limpieza Urbana por suscriptor (pesos de diciembre de 2014/suscriptor-mes).
Costo de Poda de Árboles, de la persona prestadora j (pesos diciembre de 2014).
Costo de Corte de Césped (pesos diciembre de 2014/m2).
Metros cuadrados totales de césped cortados por la persona prestadora j, en el período de facturación.
Costo de Lavado de Áreas Públicas (pesos diciembre de 2014/m2).
Metros cuadrados totales de áreas públicas lavadas por la persona prestadora j, en el período de facturación.
Costo de Limpieza de Playas costeras o ribereñas (pesos de diciembre de 2014/km).
Kilómetros totales de playas costeras limpiados por la persona prestadora j, en el período de facturación.
Costo de suministro e instalación de Cestas en vías y áreas públicas (pesos de diciembre de 2014).
Costo de mantenimiento de las cestas previamente instaladas por la persona prestadora en su APS.
Número de cestas que hayan sido instaladas por la persona prestadora j en el APS y aprobadas por el municipio y/o distrito.
Número de cestas objeto de mantenimiento por la persona prestadora j en la APS y que hayan sido mantenidas por la persona prestadora j.
Promedio de los últimos seis (6) meses del número de suscriptores totales en el municipio y/o distrito.
Número de personas prestadoras de CLUS en un mismo perímetro urbano donde j= {1,2,3,4 m}.

La información necesaria para el cálculo del CLUS consiste en primer lugar en: los árboles a intervenir, las áreas verdes objeto de corte, las áreas públicas objeto de lavado, las playas objeto de limpieza y las cestas a instalar, datos que deben ser definidos en el Programa para la prestación del servicio de aseo con base en lo establecido en el Pian de Gestión Integral de Residuos de cada municipio o distrito; y en segundo lugar por los precios techo de cada una de las actividades que componen el CLUS.

Con respecto al costo de poda de árboles, corresponde a un precio techo que se calcula por una sola vez con base en los costos propios de la persona prestadora. Para realizar dicho cálculo, se recomienda seguir los siguientes pasos:

- Para el primer mes de facturación “estimar” los costos de acuerdo con lo establecido en el Programa de prestación del servicio.

- Para el segundo mes, se toma la información del primer mes en que se realizó la actividad.

- Para el tercer mes de facturación se toma el promedio de los dos meses anteriores en que se ha realizado la actividad y así sucesivamente, hasta completar el promedio de los 6 meses, valor que define el precio techo del prestador y cobrará en adelante.

A partir de la información anterior, el prestador podrá calcular el costo de limpieza urbana por suscriptor aplicando la fórmula mencionada anteriormente.

Ahora bien, el artículo 71 de la Resolución CRA 720 de 2015 definió una transición para los prestadores del segundo segmento, de tal forma que en el caso en que las tarifas resultantes de aplicar la nueva metodología sean mayores a las que actualmente se cobran, puedan hacer una transición para incluir estos costos.

Para definir el incremento que se aplicará gradualmente en las tarifas, las personas prestadoras que atienden municipios clasificados en el segundo segmento deben:

a) Calcular las tarifas actuales con la Resolución CRA 351 y CRA 352 de 2015.

b) Calcular las tarifas empleando la Resolución CRA 720 de 2015 para el primer mes de después de la entrada en vigencia de dicha resolución.

c) Se calcula la diferencia entre a) y b), para establecer el incremento que será aplicado en dos (2) años contados a partir de la entrada en vigencia de la formula tarifaria contenida en la presente resolución, en montos ¡guales cada año.

“Con relación a la resolución CRA 720 de 2015, ¿qué sería en concreto lo que debe aprobar la Junta Directiva para iniciar la aplicación de la nueva metodología en la fecha determinada, teniendo en cuenta que algunos costos o componentes van a variar?”

“El costo de poda de árboles se irá incrementando durante los primeros 6 meses hasta alcanzar el precio techo. Cada periodo de facturación en que se cambia la tarifa, ¿Debe ser aprobado en cada oportunidad por la Junta Directiva? Se deben cumplir los procedimientos de información a los usuarios, a la CRA y a la SSPD, es decir no se podrán aplicar antes de 15 días hábiles, cada vez que durante los primeros seis meses varié este costo? “

La Entidad Tarifaria Local, de acuerdo con lo definido en el artículo 1 de la Resolución CRA 271 de 2003(1), deberá aprobar las tarifas a aplicar a los suscriptores y/o usuarios del servicio público de aseo en un determinado municipio, calculadas con la metodología tarifaria vigente.

Para iniciar la aplicación de la metodología tarifaria contenida en la Resolución CRA 720 de 2015, la Entidad Tarifaria Local deberá aprobar las tarifas a aplicar para cada uno de los componentes del servicio público de aseo que se vaya a prestar en el municipio atendido. Las variaciones mensuales en la tarifa, generadas por el número de toneladas de residuos recogidas, el número de kilómetros barridos, el número de árboles podados o variables similares, no requieren de validación por parte de la Entidad Tarifaria Local, puesto que son datos operacionales que fluctúan en cada periodo tarifario.

La Entidad Tarifaria Local, deberá volver a aprobar las tarifas del servicio público de aseo, en los casos en los que sea necesario realizar una modificación de las fórmulas tarifarias de algún componente del servicio, o bien, cuando se realice una actualización de costos según lo definido en el artículo 36 de la resolución en mención.

"Sí después de los primeros "seis meses consecutivos" hay incremento de los árboles a podar, áreas de lavado, áreas de corte de césped ¿Cómo se incluiría en la tarifa estos nuevos costos?"

Como se mencionó anteriormente, según lo establecido en el parágrafo 1 del el artículo 15 de la Resolución CRA 720 de 2015, los arboles a intervenir (unidades), las áreas verdes objeto de corte (m2), las áreas públicas objeto de lavado (m2), las playas objeto de limpieza (km) y las cestas a instalar (unidades), deberán corresponder a las definidas en el Programa de Prestación de Servicio, las cuales corresponderán a las definidas en el Plan de Gestión Integral de residuos del municipio.

Por tanto, el aumento de dichas áreas o unidades sólo podrá ser resultado de una solicitud directa del Ente territorial, quien deberá modificar el Plan de Gestión Integral de residuos municipal o distrital. En tal caso, la persona prestadora deberá ajustar su Programa de Prestación del Servicio.

En lo referente a la inclusión de los costos adicionales en la tarifa, la persona prestadora deberá recalcular sus costos, de acuerdo con lo establecido en la Resolución CRA 720 de 2015, las tarifas resultantes deberán ser aprobadas por la Entidad Tarifaria Local, y se deberá dar cumplimiento a lo definido en el artículo 5.1.1.3 de la Resolución CRA 151 de 2001, modificado por el artículo 1 de la Resolución CRA 403 de 2006 en lo referente a la aplicación de tarifas.

En espera de que la información suministrada sea de utilidad en sus labores, reciba un cordial saludo,

JULIO CESAR AGUILERA WILCHES

Director Ejecutivo

<NOTAS DE PIE DE PÁGINA>

1. "Por la cual se modifica el artículo 1.2.1.1. y la Sección 5.2.1. del Capitulo 2, del Título V de la Resolución CRA número 151 de 2001.

×