DatosDATOS
BúsquedaBUSCAR
ÍndiceÍNDICE
MemoriaDESCARGAS
DesarrollosDESARROLLOS
ModificacionesMODIFICACIONES
ConcordanciasCONCORDANCIAS
NotificacionesNOTIFICACIONES
Actos de trámiteACTOS DE TRÁMITE
AbogacíaABOGACÍA
VideosVIDEOS

CONCEPTO 14551 DE 2016

(Marzo 29)

<Fuente: Archivo interno entidad emisora>

COMISIÓN DE REGULACIÓN DE AGUA POTABLE Y SANEAMIENTO BÁSICO

MEMORANDO

Bogotá D.C.

Asunto: Radicado CRA 20163210016212 del 1 de marzo de 2016.

Respetada señora Cadena:

Hemos recibido su comunicación del asunto en la que realiza una consulta sobre la normatividad de rellenos sanitarios y el cobro en la tarifa del servicio público de aseo.'

En primer lugar nos permitimos informarle que los conceptos emitidos de acuerdo con lo dispuesto por el artículo 28 del Código de Procedimiento Administrativo y de lo Contencioso Administrativo sustituido por el artículo 1 de la Ley 1755 de 2015[1], son orientaciones y puntos de vista, que no comprenden la solución directa de problemas específicos, ni el análisis de situaciones particulares, la respuesta es general y no tiene carácter obligatorio ni vinculante.

Su consulta:

“(…) se nos informe de acuerdo a la normatividad vigente sí los Rellenos Sanitarios en Colombia, están autorizados para recibir y realizar la disposición final de artículos provenientes de la destrucción de mercancías con el propósito de protección de marca, y/o productos provenientes de decomiso, de mercancías tales como: vestuario, calzado, cremas de cuerpo y de manos, gel, Jabones, shampo (sic), productos adelgazantes, cosméticos, perfumes, lociones, licores, cigarrillos, fertilizantes, herbicidas y plaguicidas. Los residuos provenientes de la destrucción de las mercancías antes mencionadas son considerados Residuos Especiales o dentro de que definición estarían? Estos residuos pueden ser llevados a las Plantas de Tratamiento de Aguas Residuales municipales.

Respetuosamente solicitamos se nos informé ¿Cuál es la tarifa para disponer estos residuos en un Relleno sanitario y cuál es la tarifa para llevarlos residuos a una PTAR?”

Para dar respuesta a su consulta, es importante aclarar que las funciones y competencias de la Comisión de Regulación de Agua Potable y Saneamiento Básico (CRA), se encuentran establecidas principalmente en los artículos 73 y 74 de la Ley 142 de 1994 siendo competencia de las Comisiones regular los monopolios en la prestación de los servicios públicos, cuando la competencia no sea, de hecho, posible; y, en los demás casos, la de promover la competencia entre quienes presten servicios públicos, para que las operaciones de los monopolistas o de los competidores sean económicamente eficientes, no impliquen abusos de la posición dominante, y produzcan servicios de calidad. Para ello tendrá funciones y facultades especiales, entre las cuales se encuentran: “el establecimiento de fórmulas para la fijación de las tarifas de los servicios públicos" y la “...definición de criterios de eficiencia, desarrollo de indicadores y modelos para evaluar la gestión financiera, técnica y administrativa de las empresas de servicios públicos…”.

Por consiguiente, esta Comisión no tiene competencia para interpretar la normatividad ambiental de los rellenos sanitarios, en razón a que en lo establecido en el Decreto 1077 de 2015, no hay ninguna especificación sobre los residuos que pueden ser dispuestos en un relleno sanitario.

"¿Cuál es la tarifa para disponer estos residuos en un Relleno sanitario (...)”

La metodología tarifaria del servicio público de aseo, establece la fórmula para el cálculo del precio techo de la disposición final en relleno sanitario, partiendo de la premisa que en éste sólo se recogen y transportan los residuos ordinarios, como lo define el Decreto 1077 de 2015:

"Residuo sólido ordinario: Es todo residuo sólido de características no peligrosas que por su naturaleza, composición, tamaño, volumen y peso es recolectado, manejado, tratado o dispuesto normalmente por la persona prestadora del servicio público de aseo. El precio del servicio de recolección, transporte y disposición final de estos residuos se fija de acuerdo con la metodología adoptada por la Comisión de Regulación de Agua Potable y Saneamiento Básico".

Adicionalmente, el mencionado decreto define residuo sólido especial de la siguiente manera:

"Residuo sólido especial: Es todo residuo sólido que por su naturaleza, composición, tamaño, volumen y peso, necesidades de transporte, condiciones de almacenaje y compactación, no puede ser recolectado, manejado, tratado o dispuesto normalmente por la persona prestadora del servicio público de aseo. El precio del servicio de recolección, transporte y disposición de los mismos será pactado libremente entre la persona prestadora y el usuario, sin perjuicio de los que sean objeto de regulación del Sistema de Gestión Postconsumo”.

Como puede observarse, para este caso el precio del servicio debe ser pactado entre el prestador y el usuario y no está sujeto a la regulación tarifaria, por cuanto se encuentran por fuera del servicio público de aseo.

En relación con el cálculo del costo de disposición final en relleno sanitario, de acuerdo con lo establecido en el artículo 28 de la Resolución CRA 720 de 2015[2], cuya aplicación rige como máximo a partir del 1 de abril de 2016[3], se realiza de la siguiente manera:

"ARTÍCULO 1. Costo de Disposición Final (CDF). El costo máximo a reconocer por la actividad de disposición final, está dado por:

Donde:

CDF:Costo máximo a reconocer por tonelada en el sitio de disposición final (pesos de diciembre de 2014/tonelada).
CDFVU:Costo máximo a reconocer por tonelada, por vida útil de 20 años, en el sitio de disposición final (pesos de diciembre de 2014/tonelada).
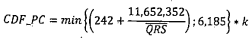
CDF PC:Costo máximo a reconocer por tonelada, por período de la etapa de posclausura de diez (10) años, en el sitio de disposición final (pesos de diciembre de 2014/tonelada).
Promedio mensual de residuos sólidos que se reciben en el sitio de disposición final, de acuerdo con lo definido en el artículo 4. En el caso de personas prestadoras que inicien actividades con posterioridad a la entrada en vigencia de la fórmula tarifaria, podrán utilizar períodos inferiores hasta acumular seis (6) meses.

Parágrafo 1. En aquellos eventos en los que se deban incorporar incentivos establecidos y reglamentados por el Gobierno Nacional a los municipios y/o distritos donde se ubiquen rellenos sanitarios regionales, su valor se sumará al Costo de Disposición Final de residuos sólidos definido en el presente artículo. Tal situación se informará a la Superintendencia de Servicios Públicos Domiciliarios y a la Comisión de Regulación de Agua Potable y Saneamiento Básico.

Parágrafo 2. Para los rellenos sanitarios en los que se dispongan menos de 2.400 toneladas mensuales y que por disposición de la autoridad ambiental competente, la altura del relleno sanitario no pueda superar los nueve (9) metros, el Costo dé Disposición Final podrá ser incrementado hasta en un 10%.

Parágrafo 3. Los rellenos sanitarios, para efectos de recepción de residuos, no podrán tener restricciones horarias, salvo el día domingo, en el cual la restricción no será superior a catorce (14) horas.

Parágrafo 4. Todo sitio de disposición final deberá reportar anualmente al Sistema Único de Información (SUI), su capacidad de disposición y tener disponible la misma en un lugar visible, con el fin de ilustrar con información suficiente a los prestadores de recolección y transporte.

Parágrafo 5. En el caso en que la autoridad ambiental determine un periodo adicional a diez (10) años de la etapa de posclausura, para el sitio de disposición final la persona prestadora calculará su costo a partir de la siguiente fórmula:

Donde:

k:Factor que involucra el costo adicional por una duración superior a diez (10) años de la etapa de posclausura del relleno sanitario, según la exigencia de la autoridad ambiental.
Período adicional a diez (10) años de la posclausura del relleno sanitario, que ha sido aprobado por la actualidad ambiental

Donde:

Promedio mensual de las toneladas de residuos, del semestre que corresponda del APS, dispuestas por la persona prestadora en el sitio de disposición final k (toneladas/mes), de acuerdo con lo definido en el artículo 4.
Costo máximo a reconocer por tonelada en el sitio de disposición final k (pesos de diciembre de 2014/tonelada).
Número de sitios de disposición final k de la persona prestadora, donde k= {1,2,3, 4,...n}".

Con respecto a su consulta “(...) y cuál es la tarifa para llevarlos residuos a una PTAR?””

Al respecto, es importante precisar que el nuevo marco tarifario del servicio público de aseo, incluyó el Costo de tratamiento de lixiviados en el relleno sanitario, en el que no se especifica el costo por tipo de residuos dispuestos en el relleno, lo cual corresponde a las autorizaciones que debe expedir la autoridad ambiental competente en el ámbito de la licencia ambiental con que debe contar el relleno sanitario:

“ARTÍCULO 2. Costo de Tratamiento de Lixiviados (CTL). El costo máximo de tratamiento de lixiviados por metro cúbico (CTLM) se calculará con las funciones a continuación y los escenarios por objetivo de calidad que se encuentran definidos en el ANEXO II, el cual hace parte integral de la presente resolución.

Tanto el volumen a incluir en el cálculo, como la selección del escenario de tratamiento de lixiviados, se harán de acuerdo con los objetivos de calidad que establezca la autoridad ambiental en la norma de vertimientos o la respectiva licencia ambiental.

El costo de tratamiento de lixiviados por tonelada se calculará de la siguiente forma:

Para el Escenario 1:

Para el Escenario 2:

Para el Escenario 3:

Para el Escenario 4:

Donde:

CTL: Costo de Tratamiento de Lixiviados por tonelada (pesos de diciembre de 2014/tonelada).
CTLM: Costo de Tratamiento de Lixiviados por metro cúbico máximo a reconocer, según el objetivo de calidad (pesos de diciembre de 2014/m3).
CTLM„VU:Costo de Tratamiento de Lixiviados por vida útil de 20 años por tonelada (pesos de diciembre de 2014/tonelada).
CTLM_PC:Costo de Tratamiento de Lixiviados por tonelada, por periodo de la etapa de posclausura de diez (10) años, (pesos de diciembre de 2014/tonelada).
k:Factor que involucra el costo adicional por una duración superior a diez (10)  años de la posclausura del relleno sanitario, según lo que determine la autoridad ambiental.
At:Período adicional a diez (10) años de la duración de la posclausura del relleno sanitario, que ha sido aprobado por la autoridad ambiental.
VL:Volumen promedio mensual de lixiviados tratados del semestre que corresponda (m3/mes), de acuerdo con lo definido en el artículo 4. En el caso de personas prestadoras que inicien actividades con posterioridad de la entrada en vigencia de la fórmula tarifaria, podrán utilizar periodos inferiores hasta acumular seis (6) meses.
CMTLX:Costo Generado por la Tasa Ambiental para el vertimiento del tratamiento de lixiviados en rellenos sanitarios, con referencia a la tasa retributiva por la utilización directa o indirecta del agua como receptor de vertimientos. El costo a incluir corresponderá al cobro definido por la autoridad ambiental al usuario que realiza vertimientos puntuales en forma directa o indirecta al recurso hídrico, en $/m3-mes, para el semestre anterior que corresponda.
Promedio mensual del semestre que corresponda de las toneladas de residuos recibidas en el relleno sanitario definido en el artículo 28 de la presente resolución (toneladas/mes).

En caso que por autorización de la Autoridad Ambiental solo realice recirculación de lixiviados, el CTLM máximo será de $2.348 por m3 recirculado (pesos de diciembre 2014/m3)”.

Sin otro particular, reciba un atento saludo,

JULIO CESAR AGUILERA WILCHES

Director Ejecutivo

<NOTAS DE PIE DE PÁGINA>

1. Por medio de la cual se regula el derecho fundamental de petición y se sustituye un título del Código de Procedimiento Administrativo y de los Contencioso Administrativo"

2. “Por la cual se establece el régimen de regulación tarifaria al que deben someterse las personas prestadoras del servicio público de aseo que atiendan en municipios de más de 5.000 suscriptores en áreas urbanas, la metodología que deben utilizar para el cálculo de las tarifas del servicio público de aseo y se dictan otras disposiciones"

3. Por la cual se modifica la Resolución CRA 720 de 2015.

×