CONCEPTO 53831 DE 2022
(julio 13)
<Fuente: Archivo interno entidad emisora>
COMISIÓN DE REGULACIÓN DE AGUA POTABLE Y SANEAMIENTO BÁSICO
-CRA-
Bogotá, D.C.
Asunto: Radicado CRA 2022-321-004769-2 de 2 de junio de 2022.
Respetado señor Gómez:
Recibimos la comunicación del asunto mediante la cual consulta: “(...) ¿Cómo se procede para el cobro de los servicios compartidos del municipio si los prestadores que participan en el acuerdo aplican metodologías tarifarias diferentes? Es decir, ¿Cómo se define el cobro de la Actividad de Aprovechamiento a los usuarios rurales atendidos por esta empresa cuyas tarifas están definidas de acuerdo con la metodología tarifaria establecida en la Resolución CRA 853 de 2015<sic, es 2018>, si el prestador de zona urbana que definió su área de prestación como el área urbana y rural aplica la metodología establecida en la Resolución CRA 720 de 2015?”.
Antes de dar respuesta, se precisa que de acuerdo con el artículo 28 (1) del Código de Procedimiento Administrativo y de lo Contencioso Administrativo, los conceptos emitidos son orientaciones que no comprenden la solución directa de problemas específicos, ni el análisis de situaciones particulares, la respuesta es general y no tiene carácter obligatorio ni vinculante.
Se considera importante precisar que el ámbito de aplicación de la Resolución CRA 853 de 2018(2), compilado en el artículo 5.3.5.1.1 de la Resolución CRA 943 de 2021(3), aplica para las personas prestadoras del servicio público de aseo que cumplan con alguna de las siguientes condiciones:
- Que atiendan municipios que, a 31 de diciembre de 2018, tengan hasta 5.000 suscriptores en las áreas urbanas.
- Que atiendan en centros poblados rurales, que no fueron incluidos en un APS del ámbito del artículo 5.3.2.1.1 de la Resolución CRA 943 de 2022, en el cual se establece el ámbito de aplicación de la metodología tarifaria para las personas prestadoras del servicio público de aseo que atiendan municipios de más de 5.000 suscriptores en áreas urbanas.
- Que atiendan en áreas de prestación incluidas en los esquemas definidos en el 5.3.5.1.7 de la Resolución CRA 943 de 2022.
- Que operen rellenos sanitarios que reciban hasta un promedio mensual de 300 toneladas de residuos sólidos.
- Que operen sistemas de tratamiento que reciban hasta un promedio mensual de 300 toneladas de residuos sólidos.
Así, es pertinente resaltar que los artículos 2.3.2.5.2.2.1., 2.3.2.5.2.2.5., y 2.3.2.5.2.3.1. del Decreto 1077 de 2015 establecen la obligación de la facturación integral del servicio público de aseo por parte de las personas prestadoras de la actividad de recolección y transporte de residuos no aprovechables incluyendo la actividad de aprovechamiento, el cálculo de la tarifa de aprovechamiento y el cobro de esta actividad a todos los usuarios del municipio.
Ahora bien, esta Comisión hizo el análisis de la situación que usted plantea, según la cual, una empresa prestadora cobra la actividad de aprovechamiento a los usuarios rurales atendidos cuyas tarifas están definidas de acuerdo con la metodología tarifaria establecida en el Titulo 5 Parte 3 del Libro 5 de la Resolución CRA 943 de 2021, y otro prestador que declaró su Área de Prestación de Servicio - APS en la zona urbana del mismo municipio en donde se aplican las disposiciones del Título 2 Parte 3 del Libro 5 de la Resolución CRA 943 de 2021 e incluyó dentro de la misma algunos suscriptores del mismo centro poblado rural, atendido por el primer prestador a los cuales le aplica la tarifa resultante de la metodología para prestadores con más de 5.000 suscriptores.
Teniendo en cuenta lo anterior, en el marco tarifario definido en el Título 5, Parte 3 del Libro 5 de la Resolución CRA 943 de 2021, aplicable a prestadores del servicio público de aseo que atiendan en municipios con hasta 5.000 suscriptores, el artículo 5.3.5.4.7.1 establece la fórmula del valor base de remuneración del aprovechamiento de la siguiente forma:
![]()
Donde:
| Valor Base de Remuneración de Aprovechamiento (pesos de julio de 2018/tonelada). | |
| Personas prestadoras de recolección y transporte de residuos sólidos no aprovechables en el municipio, donde j= {1, 2, 3, 4,...,n}. | |
| Costo de Recolección y Transporte de la persona prestadora de residuos sólidos no aprovechables definido en el artículo 5.3.5.4.4.1. de la presente resolución (pesos de julio de 2018/tonelada). | |
| Costo de Disposición Final adoptado por la persona prestadora de la actividad de disposición final, el cual corresponde a: i) el CDFd en el caso que se adopte el precio máximo de conformidad con el artículo 5.3.5.4.5.2. de la presente resolución o; ii) al CDFTDd del artículo 5.3.5.4.5.3. de la presente resolución, en el caso que se adopte un valor dentro del rango posible de precios (menor al precio máximo o el precio mínimo) (pesos de julio de 2018/tonelada). | |
| Incentivo a la separación en la fuente que se otorgará como un descuento de hasta el cuatro por ciento (4%) de conformidad con lo establecido en el Decreto 1077 de 2015, modificado y adicionado por el Decreto 596 de 2016, o aquel que lo modifique, adicione, sustituya o aclare.” |
Así mismo, el artículo 5.3.5.4.9.2. de la Resolución CRA 943 de 2021 indica, entre otros aspectos:
“(...) 2 Toneladas por suscriptor de residuos efectivamente aprovechados:
![]()
Donde:
| Toneladas de residuos efectivamente aprovechados por suscriptor mes. | |
| Toneladas de residuos efectivamente aprovechados del periodo de facturación provenientes del centro poblado rural, de acuerdo con lo definido en el artículo 5.3.5.4.1.4 de la presente resolución y la información registrada en el Sistema Único de Información (SUI) (toneladas/mes). | |
| Toneladas de Residuos efectivamente aprovechados aforadas por suscriptor i, en el periodo de facturación (toneladas/suscriptor-mes). | |
| Promedio mensual del número de suscriptores totales del centro poblado rural, de acuerdo con lo definido en el artículo 53.5.4.1.4. de la presente resolución (suscriptores/mes). | |
| Promedio mensual del número de suscriptores de inmuebles desocupados del centro poblado rural, de acuerdo con lo definido en el artículo 5.3.5.4.1.4. de la presente resolución (suscriptores/mes). | |
| Promedio mensual del número de suscriptores aforados de aprovechamiento del municipio, de acuerdo con lo definido en el artículo 5.3.5.4.1.4. de la presente resolución (suscriptores/mes). | |
| Suscriptor aforado, donde i = "Subrayado fuera del texto original. |
Por su parte, en el marco tarifario definido en el Título 2, Parte 3, del Libro 5 de la Resolución CRA 943 de 2021, aplicable a prestadores del servicio público de aseo que atiendan en municipios de más de 5.000 suscriptores, el artículo 5.3.2.2.7.1. establece la fórmula del valor base de remuneración de aprovechamiento de la siguiente forma:
![]()
![]()
![]()
Donde:
| Valor Base de Remuneración de Aprovechamiento (pesos de 2014/tonelada). | |
| Personas prestadoras de recolección y transporte de residuos sólidos no aprovechables en el municipio, donde j= {1, 2, 3, 4,...,n}. | |
| Costo de Recolección y Transporte de la persona prestadora de residuos sólidos no aprovechables definido en el artículo 5.3.2.2.5.1. de la presente resolución (pesos de diciembre de 2014/tonelada). | |
| Promedio de toneladas recolectadas y transportadas de residuos no aprovechables en el APS de la persona prestadora j, del semestre que corresponda (toneladas/mes) | |
| Costo Promedio de Disposición Final de la persona prestadora de residuos sólidos no aprovechables el artículo 5.3.2.2.6.1. de la presente resolución (pesos de diciembre de 2014/tonelada). | |
| Promedio mensual de residuos sólidos que se reciben en el sitio de disposición final, de acuerdo con lo definido en el artículo 5.3.2.1.4. de la presente resolución. En caso de personas prestadoras que inicien actividades con posterioridad a la entrada en vigencia de la Resolución CRA 720 de 2015, podrán utilizar períodos inferiores hasta acumular seis (6) meses | |
| Incentivo a la separación en la fuente que se otorgará como un descuento de hasta el cuatro por ciento (4%) de conformidad con lo establecido en el Decreto 1077 de 2015, modificado y adicionado por el Decreto 596 de 2016, o aquel que lo modifique, adicione, sustituya o aclare.” |
Adicionalmente, el parágrafo 1 del artículo 5.3.2.1.1.(4) ibidem señala:
“Parágrafo 1. En caso de que existan áreas de prestación del servicio que incorporen zonas rurales, la persona prestadora del servicio público de aseo podrá aplicar las disposiciones contenidas en el presente título en las mencionadas zonas.”
De la misma forma, el artículo 5.3.2.3.2. de la Resolución CRA 943 de 2021 indica:
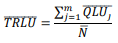
“Artículo 5.3.2.3.2. Cálculo de toneladas por suscriptor definidas en conjunto por prestadores para facturación. Los prestadores que se encuentran en áreas urbanas de un mismo municipio y/o distrito deberán mensualmente calcular los valores de toneladas de residuos de barrido y limpieza por suscriptor (TRBL), de limpieza urbana por suscriptor (TRLU), de rechazo del aprovechamiento por suscriptor (TRRA), efectivamente aprovechados por suscriptor no aforado (TRA), efectivamente aprovechados por suscriptor aforado gran productor (TAFAi,k), de acuerdo con las siguientes fórmulas:
![]()
![]()
![]()
![]()
Si el suscriptor cuenta con aforo ordinario, extraordinario o permanente, las toneladas de residuos aprovechables por suscriptor será el resultado del aforo TAFAi,k
Donde:
| Toneladas mensuales de barrido y limpieza de la persona prestadora j, de acuerdo con lo establecido en el ARTÍCULO 5.3.2.1.4 de la presente resolución (toneladas/mes). | |
| Toneladas mensuales de limpieza urbana de la persona prestadora j, de acuerdo con lo establecido en el ARTÍCULO 5.3.2.1.4 de la presente resolución (toneladas/mes). | |
| Toneladas mensuales de rechaco del aprovechamiento de la persona prestadora j medidas en las personas prestadoras ECA, de acuerdo con lo establecido en el ARTÍCULO 5.3.2.1.4 de la presente resolución (toneladas/mes). | |
| Toneladas mensuales efectivamente aprovechadas no aforadas de la persona prestadora j de RTA, reportadas por las ECA, de acuerdo con lo establecido en el ARTÍCULO 5.3.2.1.4 de la presente resolución (toneladas/mes). | |
| Promedio del número de suscriptores totales en el municipio y/o distrito, de acuerdo con lo establecido en el ARTÍCULO 5.3.2.1.4 de la presente resolución. | |
| Promedio total de número de suscriptores de inmuebles desocupados incluidos los desocupados grandes productores no residenciales para el municipio y/o distrito, de acuerdo con lo establecido en el ARTÍCULO 5.3.2.1.4 de la presente resolución. | |
| Promedio total del número de suscriptores aforados de aprovechamiento, para el municipio y/o distrito, de acuerdo con lo establecido en el ARTÍCULO 5.3.2.1.4 de la presente resolución. | |
| Número de personas prestadoras donde j= {1,2,3,4,...,m}.(...)” |
Conforme con lo anterior, los prestadores que se encuentren en municipios con más de 5.000 suscriptores en el área urbana y de expansión urbana pueden incluir dentro de su APS suscriptores rurales. En este escenario, el prestador debe incluir dentro del promedio de suscriptores del municipio, los suscriptores urbanos y rurales que atiende, así como las toneladas efectivamente aprovechadas de estos. Para el caso del prestador que aplica las disposiciones del tercer segmento del marco de pequeños prestadores, deberá utilizar el promedio mensual del número de suscriptores del centro poblado rural sin considerar los usuarios del prestador que aplica la metodología tarifaria de grandes prestadores, del mismo modo, deberá tener en cuenta las toneladas efectivamente aprovechadas del centro poblado rural sin considerar las toneladas que ya son atendidas por el prestador que aplica la metodología tarifaria de grandes prestadores.
Para ilustrar esta disposición, considere el siguiente ejemplo. Suponga que el Prestador 1 atiende en la zona urbana y algunos suscriptores de un centro poblado rural del municipio X (datos de la columna 2 de la ¡Error! No se encuentra el origen de la referencia.), mientras que el Prestador 2 define como su área de prestación del servicio -APS el centro poblado rural del municipio X, donde atiende a todos los usuarios de este con excepción de los usuarios que ya son atendidos por el Prestador 1. A continuación, se presentan los datos de entrada del ejemplo:
| Variables | Resolución CRA 720 de 2015 Prestador 1 | Resolución CRA 853 de 2018 Prestador 2 |
| Total de suscriptores que reciben el servicio en el municipio incluyendo ruralidad | 27.400 | |
| Total de suscriptores que reciben el servicio en el área rural del municipio | 2.400 | |
| Total de suscriptores que reciben el servicio en el área urbana del municipio | 25.000 | |
| Promedio suscriptores rurales atendidos | 150 | 2.250 |
| Promedio suscriptores urbanos atendidos | 25.000 | - |
| CRT | $70.000 | $90.000 |
| CDF | $30.000 | $30.000 |
| VBA | $100.000 | $120.000 |
| Toneladas efectivamente aprovechadas zona urbana QA, | 317 | - |
| Toneladas efectivamente aprovechadas zona rural Q^j / | 3 | 35 |
| Total toneladas efectivamente aprovechadas en el municipio | 320 | 35 |
| Toneladas de residuos efectivamente aprovechados por suscriptor TRÁ / TRA | 0,01272 | 0,01556 |
| Tarifa aprovechamiento por suscriptor | $1.272 | $1.867 |
Nota: Estas son cifras hipotéticas que se utilizan para ilustrar el ejemplo. Además, se asume que no existe competencia en el mercado.
Fuente: Elaboración propia UAE-CRA.
Entonces, el cobro de la actividad de aprovechamiento cuando se conjugan las metodologías tarifarias se debe realizar diferenciando las toneladas y usuarios atendidos en cada ámbito de aplicación. Así las cosas, el Prestador 1 atiende 150 usuarios del centro poblado rural del municipio, y 25.000 usuarios del área urbana, el VBA es $100.000, y las toneladas efectivamente aprovechadas son 320 (317 del área urbana, y 3 del área rural atendida). Por parte del Prestador 2 atiende los restantes 2.250 usuarios del centro poblado rural, y gestiona 35 toneladas aprovechables de dicha área y usuarios.
Para definir el cobro de la actividad de aprovechamiento, el Operador 1 debe recaudar $32.000.000 (= $100.000/7 * 3207). Llevando este valor al cobro de cada usuario, el prestador debe calcular el TRA =
, para el ejercicio este resulta en 0,0127 T/susc =
(5). Al multiplicar esa cantidad de toneladas por usuario por el Valor base de aprovechamiento, la tarifa que debe pagar cada suscriptor es de $1.272/susc (0,01272 T/susc x $100.000 /T).
Para el caso del Prestador 2, este debe recaudar $4.200.000 (= $120.000/7 * 357). Llevando este valor al cobro de cada usuario, el prestador debe calcular el TRA =
para el ejercicio este resulta en
. Al multiplicar esa cantidad de toneladas por usuario por el Valor base de aprovechamiento, la tarifa que debe pagar cada usuario es de $1.867/susc (=0,01556 T/susc x $120.000/T).
De esta manera se debe realizar el cobro de la actividad de aprovechamiento cuando en un municipio se presenta la situación de aplicación de las 2 metodologías tarifarias.
Finalmente, en caso de requerir información adicional y/o asesoría en materia tarifaria, le invitamos a comunicarse al teléfono en Bogotá (601) 487 3820 o a la línea gratuita nacional 01 8000 517 565 y uno de nuestros asesores atenderá sus inquietudes.
Cordial saludo,
CARLOS ALBERTO MENDOZA VÉLEZ
Jefe de la Oficina Asesora Jurídica
1. Sustituido por el artículo 1 de la Ley 1755 de 2015 “Por medio de la cual se regula el derecho fundamental de petición y se sustituye un título del Código de Procedimiento Administrativo y de los Contencioso Administrativo”.
2. Por la cual se establece el régimen tarifario y metodología tarifaria aplicable a las personas prestadoras del servicio público de aseo que atiendan en municipios de hasta 5.000 suscriptores y se dictan otras disposiciones.
3. Por la cual se compila la regulación general de los servicios públicos de acueducto, alcantarillado y aseo, y se derogan unas disposiciones.
4. Compila el artículo 1 de la Resolución CRA 720 de 2015
5. Para efectos del ejemplo, se asume que no hay usuarios aforados ni desocupados. Nótese que se consideran los usuarios del Prestador 1 tanto del área urbana como rural (25.000+150).