CONCEPTO 76521 DE 2013
(19 de noviembre)
<Fuente: Archivo interno entidad emisora>
COMISIÓN DE REGULACIÓN DE AGUA POTABLE Y SANEAMIENTO BÁSICO
-CRA-
Asunto: Radicado Superfinanciera 2013071886-002-000 del 01 de noviembre de 2013 entregado por la Superintendencia de Servicios Públicos en Comite Tecnico del 07 de noviembre de 2013.
Respetado Doctor Sanchez:
Hemos recibido la comunicación del asunto, mediante la cual la Superintendencia Financiera de Colombia se pronuncia respecto a una consulta elevada por la Superintendencia de Servicios Públicos sobre el interés simple y compuesto, el interés bancario corriente y las tasas activas del mercado.
Una vez analizado detenidamente el concepto emitido por la Superintendencia Financiera de Colombia, encontramos que este no fue pronunciado con base en el numeral 36.3 del artículo 36 de la Ley 142 de 1994 ni tampoco en el marco de las personas prestadoras de servicios públicos domiciliarios.
Sin perder de vista lo dicho, encontramos que el concepto allegado por la Superintendencia de Servicios Públicos en Comité Técnico del 07 de noviembre de 2013, en manera alguna difiere de lo dicho hasta ahora por esta UAE-CRA en torno a la propuesta regulatoria contenida en la Resolución CRA 647 de 2013 "Por la cual se presenta el proyecto de Resolución "Por la cual se modifica la Resolución CRA 294 de 2004 y se dictan otras disposiciones", se da cumplimiento a lo previsto por el artículo 9 del Decreto 2696 de 2004, y se inicia el proceso de discusión directa con los usuarios y agentes del sector", en lo que a tasa de interés y forma de cálculo se refiere, ya que en el artículo 3 se señaló que para los fines del cálculo de los intereses corrientes o moratorios a cargo de la persona prestadora según sea el caso, se aplicara el interés simple.
Esta UAE-CRA sigue considerando que el interés a aplicar es el simple, primero por el soporte normativo dispuesto en el numeral 36.3 del artículo 36 de la Ley 142 de 1994 según el cual A falta de estipulación de las partes, se entiende que se causan intereses corrientes a una tasa mensual igual al promedio de las tasas activas del mercado y por la mora, a una tasa igual a la máxima permitida por la ley para las obligaciones mercantiles. (Negrilla fuera de texto); por lo que hay que acudir al artículo 884 del Código de Comercio, y segundo porque la capitalización de intereses remuneratorios debe pactarse o acordarse expresamente entre las partes teniendo para ello en cuenta la cuantía, plazo y periodicidad en que deban cancelarse dichos rendimientos. Sea oportuno señalar, que la Superintendencia Financiera de Colombia a través del Concepto 2010017499-001 del 12 de abril de 2010, indicó que:
"Ésta Superintendencia considera importante recalcar que la capitalización de intereses no depende del modelo que se éste empleando para liquidar intereses, sino del hecho de sumar al saldo los intereses causados y no pagados por el deudor". (Negrilla y subrayado fuera de texto).
Aclarado lo anterior, a continuación, pasaremos a analizar cada respuesta brindada por la Superintendencia Financiera de Colombia al cuestionario elevado por la Superintendencia de Servicios Públicos y con base en eIlo expondremos la posición que tiene esta UAE-CRA. Frente a la pregunta 1 Teniendo en cuenta la existencia de dos formas de interés para la liquidación de deudas, interés simple e interés compuesto ¿Cuál de los dos tipos de interés garantiza la recuperación del valor real del dinero en el tiempo? señaló:
"Sobre este particular, es importante mencionar que independiente del modelo utilizado para la liquidación de intereses, en sí mismo, el concepto de interés busca reconocer el valor del dinero en el tiempo. (…)
Para el caso colombiano, se tiene que es de uso común tanto el modelo lineal o de interés simple como el modelo exponencial o de interés compuesto. La elección de uno u otro modelo obedece expresamente a lo que haga sido pactado g acordado expresamente entre las partes involucradas. En relación con este punto, la Superintendencia Financiera mediante el concepto 2006039425-001 del 23 de agosto de 2006 señaló lo siguiente:
En sistemas de crédito donde se haya pactado la cláusula de capitalización de intereses es manifiestamente claro que al convertirse tales intereses en capital no existiría conflicto alguno puesto que se estaría cobrando intereses sobre capital; sin embargo, si no se pactó la cláusula de capitalización de intereses remuneratorios, es obvio que ellos en ningún momento se convierten en capital, manteniendo siempre la naturaleza de intereses, caso en el cual no puede el acreedor válidamente cobrar intereses sobre intereses por cuanto constituye una práctica que está prohibida por el articulo 1617 del Código Civil y el citado 886 del Código de Comercio. De esta forma, la utilización de cualquiera de los dos tipos de interés es válida y dependerá de lo que haga sido convenido entre las partes implicadas." (Negrillas y subrayas extratexto).
Al respecto, esta Comisión de Regulación reitera su posición teniendo en cuenta que la Superintendencia Financiera de Colombia a través del concepto No. 1999056897 -2. Septiembre 21 de 1999 -reiterado mediante los conceptos Nos. 2006000164-001 del 15 de febrero de 2006, 2008008666-001 del 14 de abril de 2008-, indicó:
"...En consecuencia, en materia comercial tanto en los intereses de plazo o remuneratorios, como en los moratorios, debe tenerse en cuenta si la tasa ha sido señalada convencionalmente o no. Si ha sido pactada, debe estarse en principio a lo acordado entre las partes, por disposición del artículo 1602 del Código Civil, conforme al cual todo contrato legalmente celebrado es una ley para las contratantes y no puede ser invalidado sino por su consentimiento mutuo a por causas legales. Si la tasa no ha sido pactada, en el caso del interés remuneratorio será el bancario corriente, y en el moratorio el equivalente a una y media veces del bancario corriente... ". (Negrillas y subrayas extratexto).
De otra parte, en el año 1989, el Gobierno Nacional expidió el Decreto 1454 y resaltó que:
“... no se encuentra prohibido el uso de sistemas de pago que contemplen la capitalización de intereses, por medio de los cuales las partes en el negocio determinan la cuantía, plazo y periodicidad en que deben cancelarse los intereses de una obligación...” (Negrilla fuera de texto).
EI Decreto 1454 en mención fue objeto de estudio por el Consejo de Estado, Sala de lo Contencioso Administrativo, Sección Primera, en sentencia marzo 27 de 1992, dicha Corporación denegó las pretensiones de una acción de nulidad instaurada en contra del mismo y aclaró que "...no es posible imponer o presumir la capitalización de intereses en el marco de una relación contractual sin que medie para ello un acuerdo expreso de voluntades".
En cuanto al modelo de interés compuesto, tal concepto es sinónimo de "modelo de capitalización de intereses" porque hace alusión a las inversiones en las cuales el inversionista no retira los intereses que devengó en el plazo sino que los adiciona a su capital inicial para obtener una mayor rentabilidad calculada sobre un saldo "inflado". Vale la pena resaltar, que la capitalización de intereses remuneratorios debe pactarse o acordarse expresamente entre las partes. En sistemas de crédito donde se haya pactado la cláusula de capitalización de intereses es manifiestamente claro, que al convertirse tales intereses en capital no existiría conflicto alguno puesto que se estaría cobrando intereses sobre capital; sin embargo, si no se pactó la cláusula de capitalización de intereses remuneratorios, es obvio que ellos en ningún momento se convierten en capital, manteniendo siempre la naturaleza de intereses. (Ver conceptos Superfinanciera 95000393-2 del 31 de enero de 1995; 1998029184-2 del 24 de noviembre de 1998; 2000048195-2 del 4 de julio de 2000; 2001032742-1 del 23 de mayo de 2001; 2002015657-1 del 24 de mayo de 2002; 20030344944 del 31 de julio de 2003; 2003036436-2 del 10 de Septiembre de 2003] 20030575984 del 30 de enero de 2004; 2005006889-4 del 1 de abril de 2005; 2006039425-001 del 23 de agosto de 2006; 2008079262-001 del 2 de enero de 2009; 2010017499-001 del 12 de abril de 2010; 2011065387-001 del 13 de Octubre de 2011; 2013015803-001 del 12 de abril de 2013).
Lo mencionado, cuenta además con respaldo jurisprudencial de la H. Corte Constitucional(1) que al respecto señaló:
"...Por su parte, en la capitalización de intereses, los intereses debidos durante un lapso de tiempo se llevan como un mayor valor al capital adeudado, para que se constituyan como un nuevo capital a deber, el cual, por supuesto, es objeto de una nueva tasa de interés. En esta operación los intereses ya causados por el simple transcurso del tiempo harán parte del capital inicialmente adeudado y sobre el cual será lícito cobrar nuevos intereses, si así lo estiman los contratantes…”.
Por su parte. la Procuraduría General de la Nación en Concepto No. 2762 del 12 de diciembre de 2001 Expediente No. D-3765 preferido por el Procurador General de la Nación dirigido a la H. Corte Constitucional, manifestó:
"...6.4.3. Es inconstitucional la capitalización de intereses en obligaciones derivadas de la prestación de servicios públicos domiciliarios.
(...)
La capitalización de intereses consiste en incorporar al monto del capital que constituye una deuda de dinero, los intereses vencidos, lo que conlleva que los intereses capitalizados producirán a su vez nuevos intereses.
(…)
Como puede observarse, las obligaciones derivadas del incumplimiento en el pago de los servicios públicos no corresponden a los casos en que se permite la capitalización de intereses, en primer lugar, porque no se trata de operaciones de largo plazo, en segundo, porgue entre el usuario y la empresa no existe acuerdo sobre la cuantía, plazo y periodicidad en que deban cancelarse dichos rendimientos." (Negrillas y subrayado fuera de texto).
En conclusión y al no existir estipulación entre las partes sobre los intereses conforme se desprende del numeral 36.3 del artículo 36 de la Ley 142 de 1994, no es viable jurídicamente hablar de interés compuesto.
Respecto a lo contestado por la Superintendencia Financiera de Colombia, frente a la pregunta 2 "Dado que el interés bancario corriente es una tasa efectiva anual, al acumular esta tasa mensualmente durante un año de manera simple, garantiza que al final del año se reconozca la tasa efectiva anual publicada por la Superfinanciera? en donde entre otras cosas señaló:
“...De esta manera, dado que una tasa efectiva resulta de una función exponencial de la tasa periódica debe validarse matemáticamente que la acumulación planteada en su pregunta produzca la misma tasa efectiva del interés Bancario Corriente (lBC)…”
La posición de esta UAE-CRA, encuentra respaldo conforme lo dicho por la Superintendencia Financiera de Colombia a través del concepto No. 2001086303-1 del 31 de enero de 2002 en el que indicó:
”...A continuación se define cada uno de los tipos de interés aceptables con su significado y ejemplos, definiciones que deberán ser aplicadas por las entidades vigiladas tanto en los rendimientos que pagan por los recursos captados, como en el cobro de intereses anticipadas o vencidos de los préstamos efectuados por éstas, de conformidad con la tasa fijada porta ley en cada caso.
Tipo de interés
La tasa efectiva de interés es la que se refiere a la unidad de tiempo y a la unidad de capital y se liquida por unidad de tiempo.
El símbolo internacional que se utiliza para el tipo efectivo de interés es letra minúscula `i'.
(…)
Tipo nominal de interés
El tipo nominal de interés es el que se refiere a la unidad de tiempo y a la unidad de capital y se liquida por fracción de unidad de tiempo.
El símbolo internacional que se utiliza para el tipo nominal de interés es la letra minúscula j (m), donde m significa el número de pagos del interés por unidad de tiempo.
(…)
Tipos equivalentes de interés
La unidad de capital se convierte, después de la unidad de tiempo, en el capital 1 + i, si se liquida el tipo efectivo de interés i. Al mismo tiempo, se convierte la unidad de capital, después de la unidad de tiempo, en el capital [i] (m) ]m decimos que i es el tipo efectivo equivalente al tipo nominal (m) y viceversa.
Ejemplos:
¿Cuál es el tipo efectivo de interés anual i, equivalente a un tipo nominal de interés j (12) de 24% anual pagado por mes?
j (12) = 24% nominal anual pagado por meses i= 26,82% efectivo anual.
Lo que significa que no importa si se paga al inversionista de conformidad con una tasa efectiva anual de 26.82% o si se gaga mensualmente 2%, o sea 24% nominal anual pagado por meses. Las dos tasas son equivalentes. (Negrillas y subrayado fuera de texto).
Como se desprende del precitado concepto, tanto la tasa efectiva anual como la nominal son equivalentes y por ende garantizan el reconocimiento del interés certificado por la Superfinanciera.
En el Concepto 2006022407-002 del 8 de agosto de 2006, la Superintendencia Financiera indicó:
"... Matemáticamente hablando, la tasa de interés nominal puede multiplicarse o dividirse, para obtenerla en periodos ya sea mayores o menores. Como el interés producido no se capitaliza su comportamiento se asimila al de las tasas de interés simple. (Negrillas fuera de texto).
...Cuando se habla de interés compuesto, la tasa de interés mensual no es equivalente a la que resulta de dividir la tasa anual por 12. Así, una rentabilidad anual compuesta del 18% no es equivalente a una tasa mensual del 1.5% (18 / 12.) En este aspecto radica la diferencia entre el interés nominal anual y el interés efectivo anual… “(2) (Negrillas fuera de texto).
(…) Nótese en este último ejemplo que, cuando se tiene una tasa de interés efectiva anual y se desea conocer la tasa nominal mensual, primero que todo es necesario convertir la tasa efectiva anual en tasa nominal mensual y así poder dividirla en el número de periodo (m), situación concordante con lo anotado en el concepto financiero referido anteriormente." (Negrillas fuera de texto).
Del mismo modo, en Concepto 2008079262-001 del 2 de enero de 2009 la mencionada Entidad dijo:
"Es del caso advertir que la certificación del interés bancario corriente expedida por esta Superintendencia se encuentra expresada en una tasa efectiva anual y como corresponde a una función exponencial, para calcular la equivalencia de la misma en periodos distintos al de un año (meses o días), no se puede dividir por un denominador, sino que se hace necesario acudir a las siguientes fórmulas matemáticas:
Para calcular la tasa efectiva mensual:
((1+i) 1/12-1))*100
Donde i = tasa efectiva anual
Para calcular la tasa efectiva diaria:
((1+i)1/360-1))*100
Donde i = tasa efectiva anual
Adicionalmente, le informamos que en nuestra página web, en el icono "Consumidor Financiero", se encuentra un simulador de conversión de tasas de interés, que puede ser utilizado para obtener la equivalencia una tasa efectiva anual a una mensual o diaria, o de una tasa efectiva mensual a una tasa efectiva anual, y de esta manera estimar el monto del interés que se cobra o paga en un periodo inferior a un año". (Negrillas fuera de texto).
Respecto a lo contestado por la Superintendencia Financiera de Colombia, frente a la pregunta 3 Dentro de la estructura general del sistema financiero colombiano ¿a qué hace referencia cuando se habla de tasas activas del mercado? ¿Qué pretenden reconocer dichas tasas? Y ¿Qué tipo de interés se reconoce si se habla de interés remuneratorio?, se dijo:
"En el sistema financiero colombiano las tasas de interés activas hacen referencia a las tasas de colocación de los créditos por parte de las entidades vigilados. A partir de las mismas, se determina el nivel de intereses que deben ser reconocidos a un tercero por la utilización de los recursos monetarios que están en su propiedad, siguiendo la definición mencionada en el primer punto. En el caso de interés remuneratorio, se tiene que corresponde al interés que devenga un capital cuando ha sido entregado a un tercero.
En las páginas web de la Superintendencia Financiera de Colombia y del Banco de la República (www.superfinanciera.gov.co; www.banrep.gov.co) se encuentra la siguiente definición:
"Tasa de interés Activa: Tasa de colocación de créditos por parte de los intermediarios del sistema financiero colombiano. incluye créditos de cartera ordinaria, tarjetas de crédito y créditos de tasa preferencial”.
La posición de esta UAE-CRA, se encuentra patrocinada por lo mencionado por la Superintendencia Financiera de Colombia en el Concepto No. 2008008666-001 del 14 de abril de 2008 donde manifestó:
“...En las operaciones activas de crédito, para todos los efectos legales relativos a los intereses e independientemente de la naturaleza jurídica del acreedor, deberá tenerse en cuenta el interés bancario comente certificado por la Superintendencia Financiera de Colombia para el respectivo período, que corresponda a la modalidad de la operación activa de crédito de que se trate, de conformidad con lo dispuesto en el artículo 2° del presente decreto…” (Se refiere al Decreto 519 de 2007).
Frente a que tipo de interés se reconoce si se había de interés remuneratorio, la Superintendencia Financiera de Colombia ha señalado en Concepto 1999015883-2 del 4 de mayo de 1999 lo siguiente:
"...son intereses de plazo o remuneratorios aquellos "causados por un crédito de capital durante el plazo que se le otorga al deudor para pagado, al paso que los moratorios corresponden a la indemnización de perjuicios que debe satisfacer el deudor cuando ha incurrido en mora de pagar la cantidad debida, según definición de la Corte Suprema de Justicia(3)”
"Conforme a ello, la causación de los primeros se produce a medida que transcurre el plazo otorgado, pero su exigibilidad dependerá de las condiciones pactadas, entre ellas la periodicidad o forma de pago, aspectos que dependen de la autonomía de la voluntad de las partes (...)" (Concepto Superintendencia Bancaria de Colombia 19980678454 del 5 de febrero de 1999).
Respecto a la solicitud de la Superintendencia de Servicios Públicos y el Ministerio de Vivienda, Ciudad y Territorio en el Comité Técnico celebrado el día 14 de Noviembre de 2013 acerca de que la CRA debe armonizar la aplicación del WACC, metodología con la que se "fija la tasa de descuento aplicable a los servicios públicos domiciliarios de acueducto y alcantarillado", con el cálculo de los intereses previstos para la devolución de cobros no autorizados.
Frente a esta solicitud, esta Comisión de Regulación considera pertinente recordar que con la tasa de descuento se remunera el capital invertido por los prestadores, buscando que dicha tasa refleje el costo de oportunidad de emplear dichos recursos, ya sean propios o adquiridos mediante deuda. La tasa de descuento se calcula utilizando la metodología WACC(4) metodología que pondera el costo de todas las fuentes de financiación de mediano y largo plazo, es decir, aquellas asociadas con: primero, el costo de la deuda que representa recursos financieros externos sujetos a condiciones de tasas de interés o plazos de pago; y segundo, con el costo del patrimonio o equity, que es el invertido por los accionistas o los dueños de las empresas. En ningún momento puede interpretarse que esta composición obedezca a la utilización de una tasa de interés "compuesta".
La finalidad de la tasa de descuento busca reflejar el costo de capital que deben pagar los prestadores, cuando invierten sus recursos en la prestación del servicio, la cual es similar a la relación entre los prestadores y las entidades financieras, relación muy diferente a la que existe entre las empresas prestadoras y aquellos usuarios sujetos de las devoluciones por cobros no autorizados.
Ahora bien, para ilustrar la aplicación de la tasa de descuento dentro de la metodología tarifaria de los servicios de acueducto y alcantarillado, finalidad para la cual se expidió en este caso, la Resolución CRA 312 de 2005, nos permitimos a continuación recordar las consideraciones teóricas con las cuales se determinó la tasa de descuento y adicionalmente aplicar en una de las fórmulas en las cuales se utiliza la misma, así:
1. Consideraciones teóricas(5).
"El costo de capital se ha entendido como la tasa de retorno que un inversionista puede obtener si opta por realizar un proyecto, en otras palabras, es el costo de oportunidad de los fondos empleados como resultado de una decisión de inversión. Estos fondos pueden corresponder a deuda, capital propio o una mezcla de los mismos. Ei inversionista considerara aquellas inversiones en las cuales el rendimiento esperado supere el costo de capital, es decir, financiará aquellos proyectos que estén agregando valor.”
Este costo se calcula como el costo promedio ponderado de todas las fuentes de financiamiento de la empresa de mediano y largo plazo, es decir, el patrimonio (equity) y el endeudamiento (costo de deuda). Las fuentes de financiamiento de mediano y largo plazo más comunes son, entre otras:
- Financiamiento de proveedores de mediano y largo plazo.
- Créditos bancarios a mediano y largo plazo.
- Contratos de leasing.
- Emisión de bonos ordinarios.
- Emisión de BOCAS (bonos obligatoriamente convertibles en acciones)
- Utilidades retenidas
- Acciones preferentes.
- Acciones ordinarias,
El método generalmente utilizado para establecer el costo del capital, es el denominado Costo Promedio Ponderado del Capital (WACC por sus siglas en inglés). El valor del WACC se calcula como el promedio ponderado del costo del equity y el costo de la deuda…”.
Con lo anterior, nos permitimos reiterar que la tasa de descuento que define la CRA tiene el objetivo de remunerar el capital invertido por los prestadores, buscando que dicha tasa refleje el costo de oportunidad de las personas prestadoras, por emplear dichos recursos.
2. Fórmulas en las cuales se utiliza la tasa de descuento aplicable al cálculo de los costos de prestación de los servicios de acueducto y alcantarillado.
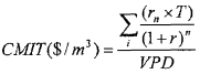
Con el objetivo de ilustrar la aplicación de la tasa de descuento definida mediante la Resolución CRA 312 de 2005, y teniendo en cuenta que actualmente se encuentra vigente la Resolución CRA 287 de 2004 “Por la cual se establece la metodología tarifario para regular el cálculo de los costos de prestación de los servicios de acueducto y alcantarillado" a continuación detallamos la formula incluida en el artículo 36, mediante la cual se remunera el valor de los terrenos requeridos para la prestación de los servicios de acueducto y alcantarillado, así:
"El Costo Medio de inversión por este concepto estará dado por la siguiente fórmula:

Donde:
r: Tasa de descuento o tasa de remuneración de acuerdo con lo definido por la CRA. T: Valor de adquisición del activo ajustado por las variaciones en la inflación desde la fecha de compra.
n: Año de proyección de la demanda (desde el año base hasta el HVPDL"
Como se puede apreciar en la fórmula, la tasa de remuneración (r), se utiliza buscando reconocer una rentabilidad sobre el valor invertido en los terrenos necesarios para la prestación del servicio.
La fórmula permite establecer el valor presente de los diferentes flujos anuales de la rentabilidad de la inversión en terrenos (T), el cual es dividido por el valor presente de la demanda (VPD), para calcular el Costo medio de la Inversión en Terrenos. La utilización de la tasa de remuneración en la metodología tarifaria no puede asimilarse a un cálculo de intereses, si no que se asimila al descuento de unos flujos de fondos, utilizando una tasa que refleja el costo del capital aportado, en este caso la tasa de remuneración definida por la CRA (r), para que puedan ser sumados directamente en un momento del tiempo.
Este descuento es necesario, porque los diferentes flujos se encuentran en diversos periodos de tiempo (n) y sin el descuento no podrían ser comparados o sumados directamente.
De lo anterior, es claro entonces que la definición de una tasa de descuento dentro de la metodología tarifaria de los servicios de acueducto y alcantarillado, utilizando la metodología WACC, finalidad para la cual se expidió la Resolución CRA 312 de 2005, es la de comparar unos flujos de dinero (en el caso del cálculo del CMI, los flujos de la inversión en activos para la prestación del servicio) utilizando una tasa que refleje el costo de oportunidad de los prestadores del servicio.
Por io anteriormente expuesto, la UAE - CRA mantiene la propuesta planteada en ei proyecto de resolución en torno a la forma y cálculo de los intereses, la cual estipula que para los fines del cálculo de los intereses corrientes o moratorios que la persona prestadora deberá reconocer al beneficiario de la devolución sobre el capital adeudado, según sea el caso, se deberá aplicar el interés simple.
Sin otro particular, reciba un respetuoso saludo.
Cordial Saludo
JULIO CÉSAR AGULERA WILCHES
Director Ejecutivo(E)
1. Corte Constirucional, Sentencia C-364 del 29 de marzo de 2000. MP: Alejandro Martinez Caballero.
2. Manual para el Cálculo de Rentabilidades: Corredores Asociados S.A. Comisionistas de Bolsa.
3. Sentencia del 24 de febrero de 1975
4. Weighted Averague Cost of Capital - WACC
5. Tomado del documento de trabajo de la Resolución CRA 312 de 2005.