DECRETO 973 DE 2005
(marzo 31)
Diario Oficial No. 45.867 de 02 de abril de 2005
MINISTERIO DE AGRICULTURA Y DESARROLLO RURAL
<NOTA DE VIGENCIA: Decreto derogado por el artículo 75 del Decreto 1160 de 2010>
Por medio del cual se reglamentan parcialmente las Leyes 49 de 1990, 3ª de 1991, 388 de 1997, 546 de 1999, 789 de 2002 y 812 de 2003 en lo relacionado con el Subsidio Familiar de Vivienda de Interés Social Rural.
EL PRESIDENTE DE LA REPÚBLICA DE COLOMBIA,
en ejercicio de las facultades constitucionales y legales, en especial las conferidas en el numeral 11 del artículo 189 de la Constitución Política y en las Leyes 49 de 1990, 3ª de 1991, 388 de 1997, 546 de 1999, 789 de 2002 y 812 de 2003,
DECRETA:
GENERALIDADES DEL SUBSIDIO FAMILIAR DE VIVIENDA DE INTERÉS SOCIAL RURAL.
ARTÍCULO 1o. OBJETO. <Decreto derogado por el artículo 75 del Decreto 1160 de 2010> El presente decreto reglamenta el subsidio familiar de vivienda de interés social en dinero o en especie para áreas rurales.
ARTÍCULO 2o. INSTRUMENTOS DE LA POLÍTICA DE VIVIENDA DE INTERÉS SOCIAL RURAL. <Decreto derogado por el artículo 75 del Decreto 1160 de 2010> La intervención del Gobierno Nacional se dirige a facilitar una solución de vivienda de interés social rural a hogares rurales de escasos recursos económicos, por medio de la asignación del Subsidio Familiar de Vivienda de Interés Social Rural, otorgado a través del Banco Agrario de Colombia S. A. o la entidad que el Gobierno Nacional determine y a través de las Cajas de Compensación Familiar.
Igualmente, dicha intervención se hace mediante la aprobación de recursos de crédito para la vivienda rural, provenientes del Fondo para el Financiamiento del Sector Agropecuario, Finagro.
PARÁGRAFO. Las condiciones de la línea de crédito Finagro, son las establecidas en la Ley 546 de 1999 y en la reglamentación expedida por la Comisión Nacional de Crédito Agropecuario.
ARTÍCULO 3o. AMBITO DE APLICACIÓN. <Decreto derogado por el artículo 75 del Decreto 1160 de 2010> La presente reglamentación de vivienda de interés social rural tiene cobertura nacional y se aplica en todas las zonas definidas como suelo rural en los Planes de Ordenamiento Territorial, de acuerdo con lo establecido en el Capítulo IV de la Ley 388 de 1997.
PARÁGRAFO 1o. Para los efectos de este decreto, cuando se haga referencia al Plan de Ordenamiento Territorial, se entenderá que comprende sin distinción alguna, todos los tipos de planes previstos en el artículo 9o de la Ley 388 de 1997.
ARTÍCULO 4o. DEFINICIONES. <Decreto derogado por el artículo 75 del Decreto 1160 de 2010> <Artículo modificado por el artículo 1 del Decreto 4427 de 2005. El nuevo texto es el siguiente:> Para los efectos del presente decreto se adoptan las siguientes definiciones:
4.1. Subsidio Familiar de Vivienda de Interés Social Rural. El Subsidio Familiar de Vivienda de que trata este decreto es un aporte estatal en dinero o en especie, otorgado por una sola vez al beneficiario, con el objeto de facilitarle una solución de vivienda de interés social rural, sin cargo de restitución, siempre que el beneficiario cumpla con las condiciones que establece la ley y este decreto. También constituye Subsidio Familiar de Vivienda de Interés Social Rural el aporte proveniente de los recursos parafiscales administrados por las Cajas de Compensación Familiar que, con los mismos fines, se entrega a los trabajadores afiliados a estas entidades que habiten en suelo rural, de conformidad con las normas legales vigentes.
El Subsidio es restituible en los términos establecidos en la Ley 31 de 1991 y sus reglamentos o en las normas que la modifiquen o sustituyan.
4.2. Hogar objeto del Subsidio Familiar de Vivienda Rural. Se entiende por hogar el conformado por los cónyuges, los compañeros permanentes, las uniones maritales de hecho y al grupo de personas unidas por vínculos de parentesco hasta tercer grado de consanguinidad, segundo de afinidad y primero civil, que compartan un mismo espacio habitacional. El concepto de hogar en los resguardos indígenas y los territorios colectivos de las comunidades afrocolombianas legalmente establecidos, se ajustará a sus usos y costumbres.
El concepto de hogar desplazado por la violencia se define de acuerdo al Decreto 2569 de 2000 y el concepto de hogar víctima de desastre natural o en situación de calamidad pública corresponde con lo establecido en el Decreto 2480 de 2005 o de las normas que los modifiquen o sustituyan.
4.3. Proyecto de Vivienda de Interés Social Rural. Es el conjunto de entre cinco (5) y hasta sesenta (60) soluciones de vivienda subsidiable, que podrá adelantarse dentro de las modalidades de mejoramiento de vivienda y saneamiento básico, construcción en sitio propio o adquisición de vivienda nueva, desarrollados por oferentes que cumplan con las normas legales vigentes para la construcción y la enajenación de vivienda.
Los proyectos de vivienda de interés social rural que presenten las Cajas de Compensación Familiar no tendrán límite en el número de soluciones presentadas por proyecto.
4.4. Solución de Vivienda de Interés Social Rural. Se entiende por solución de vivienda de interés social rural, la estructura habitacional que permite a un hogar disponer de condiciones mínimas satisfactorias de espacio, salubridad, saneamiento básico y calidad estructural.
La vivienda resultante, descontando el valor del lote, no podrá superar los cincuenta (50) salarios mínimos legales mensuales vigentes, smlmv.
4.4.1. Mejoramiento de Vivienda y Saneamiento Básico. Se entiende por solución de Mejoramiento de Vivienda y Saneamiento Básico, la estructura habitacional que permite a un hogar beneficiario del subsidio superar o subsanar en su vivienda una o varias de las siguientes deficiencias:
a) Carencia de alcantarillado o sistema para la disposición final de aguas servidas;
b) Pisos en tierra o en materiales inapropiados;
c) Carencia de baños y/o cocina;
d) Deficiencias en la estructura principal, cimientos, muros o cubierta,
e) Construcción en materiales provisionales;
f) Hacinamiento.
4.4.2. Construcción en Sitio Propio. Se entiende por construcción en sitio propio la estructura habitacional lograda mediante la edificación de la misma en un sitio de su propiedad o en el que se encuentre en calidad de poseedor sano y pacífico desde hace más de cinco años. También puede ser un lote o terreno de propiedad de la entidad oferente, o en predios de propiedad colectiva de los hogares postulantes, que provea por lo menos, un espacio múltiple, una habitación, saneamiento básico y las instalaciones y acometidas domiciliarias. Su diseño debe permitir el desarrollo progresivo de la vivienda.
La construcción en sitio propio puede hacerse en forma dispersa o agrupada. Se considera como proyecto de vivienda en sitio propio agrupado el que presenta soluciones de 5 o más viviendas en un mismo lote. En todo caso la propiedad del lote donde será construida la vivienda, deberá ser escriturada a cada familia de manera individual.
4.4.3. Adquisición de Vivienda Nueva. Es la adquisición de una solución de vivienda de interés social rural nueva, que proporcione por lo menos un espacio múltiple, una habitación, saneamiento básico y las instalaciones y acometidas domiciliarias. Su diseño debe permitir el desarrollo progresivo de la vivienda.
4.5. Oferentes de proyectos de vivienda. Son entidades que organizan la demanda y presentan proyectos a la entidad otorgante. Podrán ser oferentes de proyectos los departamentos, los municipios, los distritos, o las dependencias que dentro de su estructura desarrollen la política de vivienda de interés social. Igualmente podrán ser oferentes las entidades privadas que comprendan en su objeto social, la promoción y el desarrollo de programas de vivienda de interés social, y que cumplan con los requisitos determinados por el Ministerio de Agricultura y Desarrollo Rural en su reglamentación; los cabildos gobernadores de los resguardos indígenas legalmente constituidos y los consejos comunitarios de las comunidades negras legalmente constituidos.
También podrán ser oferentes de proyectos; para los trabajadores que habiten en suelo rural, afiliados a las Cajas de Compensación Familiar, las personas naturales o jurídicas, entidad territorial, o patrimonio autónomo administrado por una sociedad fiduciaria, legalmente habilitado.
4.6. Postulación. Es la solicitud de asignación del Subsidio Familiar de Vivienda de Interés Social Rural, por parte de un hogar, presentada de manera colectiva. Tratándose de postulaciones de trabajadores que habiten en suelo rural, afiliados a Cajas de Compensación Familiar, su postulación podrá ser individual o colectiva.
Las condiciones de postulación de los hogares se mantendrán en todo el proceso de asignación del subsidio familiar de vivienda.
PARÁGRAFO 1o. Podrán solicitar el Subsidio Familiar de Vivienda de Interés Social Rural, los hogares que cumplan con los requisitos establecidos en el presente decreto y las normas que lo reglamenten.
Los hogares postulantes deberán corresponder a los niveles1 ó 2 del Sisbén. La población indígena se asimila al nivel 1 del Sisbén.
PARÁGRAFO 2o. Podrán ser postulantes del subsidio familiar de vivienda de interés social rural en el departamento de Archipiélago de San Andrés, Providencia y Santa Catalina, los hogares que correspondan a los niveles1, 2 ó 3 del Sisbén que cumplan con los requisitos establecidos en el presente decreto y las normas que lo reglamenten, que residan en zona rural y que pertenezcan a los sectores de la población nativa o raizal, condición que debe ser certificada por la OCCRE, Oficina de Control de Circulación y Residencia, o quien cumpla sus funciones.
PARÁGRAFO 3o. Para las postulaciones al subsidio otorgado por las Cajas de Compensación Familiar no se tendrá en cuenta el nivel de Sisbén, sino el nivel de ingresos medido en salarios mínimos legales mensuales vigentes, de conformidad con lo establecido en las normas legales aplicables ala materia.
ARTÍCULO 5o. ENTIDADES OTORGANTES DEL SUBSIDIO FAMILIAR DE VIVIENDA DE INTERÉS SOCIAL RURAL. <Decreto derogado por el artículo 75 del Decreto 1160 de 2010> Los recursos del presupuesto nacional destinados al subsidio se otorgarán a través del Banco Agrario de Colombia S. A. Son también entidades otorgantes del subsidio las Cajas de Compensación Familiar, de los recursos de las contribuciones parafiscales administradas por estas entidades, de conformidad con lo establecido en las normas vigentes aplicables a la materia.
PARÁGRAFO. Para definir el porcentaje de recursos parafiscales señalados en el presente artículo, las Cajas de Compensación Familiar deberán enviar anualmente a la Superintendencia del Subsidio Familiar, la información estadística que contenga el número de trabajadores afiliados que habiten en suelo rural, en el formato definido por esta Superintendencia.
ARTÍCULO 6o. TIPOS DE SOLUCIÓN A LAS CUALES PUEDE APLICARSE EL SUBSIDIO. <Decreto derogado por el artículo 75 del Decreto 1160 de 2010> Para efectos de lo establecido en el presente decreto, los beneficiarios podrán aplicar el subsidio para los tipos de solución de mejoramiento de vivienda y saneamiento básico, construcción en sitio propio o adquisición de vivienda nueva.
Las soluciones de vivienda a las que se puede destinar el subsidio deberán tener suministro inmediato de a gua. El suministro de agua podrá prestarse mediante tecnologías tradicionales o alternativas que aseguren la prestación del servicio.
ARTÍCULO 7o. VALOR DEL SUBSIDIO. <Decreto derogado por el artículo 75 del Decreto 1160 de 2010> Para las soluciones de mejoramiento de vivienda y saneamiento básico, el monto del Subsidio será entre diez (10) y doce (12) salarios mínimos mensuales legales vigentes y para la construcción en sitio propio o adquisición de vivienda nueva, será entre doce (12) y dieciocho (18) salarios mínimos mensuales legales vigentes, smmlv.
<Inciso derogado por el artículo 9 del Decreto 4587 de 2008>
ARTÍCULO 8o. LÍMITE A LA CUANTÍA DEL SUBSIDIO. <Decreto derogado por el artículo 75 del Decreto 1160 de 2010> La cuantía del subsidio de vivienda de interés social rural no podrá ser superior al setenta por ciento (70%) del valor de la solución de mejoramiento y saneamiento básico, construcción en sitio propio o adquisición de vivienda nueva, en la fecha de asignación del subsidio.
PARÁGRAFO. En el caso de las Cajas de Compensación Familiar, el monto del subsidio podrá representar hasta el noventa por ciento (90%) del valor de la solución.
DISTRIBUCIÓN DE RECURSOS DESTINADOS AL SUBSIDIO FAMILIAR DE VIVIENDA DE INTERÉS SOCIAL RURAL.
ARTÍCULO 9o. FUENTE DE RECURSOS PARA EL SUBSIDIO FAMILIAR DE VIVIENDA DE INTERÉS SOCIAL RURAL. <Decreto derogado por el artículo 75 del Decreto 1160 de 2010> <Artículo modificado por el artículo 1 del Decreto 3200 de 2006. El nuevo texto es el siguiente:> Los recursos para la asignación del Subsidio Familiar de Vivienda de Interés Social Rural corresponderán a los que se determinen en el Presupuesto General de la Nació n en cada vigencia y los que se obtengan de otras fuentes con este destino, así como las contribuciones parafiscales administradas por las Cajas de Compensación Familiar, equivalentes al porcentaje que representen los trabajadores afiliados que habiten en suelo rural, sobre el total de afiliados de cada Caja, aplicado a los recursos del Fondo del Subsidio Familiar, Fovis.
El porcentaje de estos recursos será establecido mediante acto administrativo por la Superintendencia del Subsidio Familiar en el mes de enero de cada año. En caso de no presentarse postulaciones durante el último trimestre de asignación del Fovis de cada vigencia, estos recursos podrán destinarse a la asignación de subsidios de vivienda de interés social urbana.
Los excedentes y/o rendimientos financieros de los recursos destinados al subsidio familiar de vivienda de interés social rural, cuando los hubiere, podrán ser utilizados de acuerdo con los siguientes criterios:
1. Los excedentes se asignarán conforme al porcentaje para la distribución de recursos para política sectorial y departamental rural previsto en el artículo 10 del presente decreto.
2. Los rendimientos financieros serán utilizados para atender familias vinculadas a Proyectos de la Bolsa de Política Sectorial Rural.
3. En todo caso, si agotada la aplicación de los numerales 1 y 2 quedaran recursos disponibles por comprometer, estos serán utilizados en la bolsa que requiera completar la totalidad de los proyectos presentados.
ARTÍCULO 10. DISTRIBUCIÓN DE LOS RECURSOS DEL SUBSIDIO. <Decreto derogado por el artículo 75 del Decreto 1160 de 2010> Los recursos del Presupuesto Nacional destinados al Subsidio de Vivienda de Interés Social Rural se distribuirán para efectos de otorgamiento de la siguiente forma:
a) Un 60%, para atender los cupos indicativos departamentales, en adelante "Bolsa de Recursos Departamental";
b) Un 40% para atender familias vinculadas a Proyectos de Política Sectorial Rural, en adelante "Bolsa de Recursos de Política Sectorial Rural";
ARTÍCULO 11. CRITERIOS PARA LA DISTRIBUCIÓN DEPARTAMENTAL DE LOS RECURSOS. <Decreto derogado por el artículo 75 del Decreto 1160 de 2010> Para cum plir con la distribución departamental de los recursos del Presupuesto Nacional destinados al subsidio familiar de vivienda rural, se requiere identificar las regiones con mayor atraso relativo generado por hacinamiento habitacional y deficiente calidad de la vivienda, al igual que aquellas que concentran la mayor cantidad relativa de población rural.
Los NBI seleccionados corresponden a hogares con vivienda inadecuada o en hacinamiento crítico, en las áreas rurales equivalentes a lo denominado por el DANE como resto. La definición es la siguiente:
1. Hogares en Vivienda Inadecuada-VI: Expresa las carencias habitacionales referentes a las condiciones físicas de las viviendas. En las zonas rurales se incluyen todas las viviendas que tienen piso de tierra y materiales inadecuados en las paredes.
2. Hogares con Hacinamiento Crítico-HC: Se consideran en esta situación los hogares que habitan en viviendas con más de tres personas por cuarto (incluyendo sala, comedor y dormitorios).
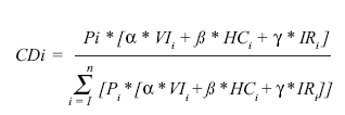
Para dar calcular la cantidad relativa de población rural se divide la población rural del respectivo departamento sobre la población total del mismo. El índice así obtenido se denomina índice de ruralidad, IR.
La metodología toma los indicadores NBI e IR y estima un único indicador para cada departamento, que se obtiene ponderando los NBI e IR por su incidencia a nivel nacional. Este coeficiente multiplica la población departamental del área rural, obteniendo la población afectada de cada departamento. La relación entre la población afectada de cada departamento sobre el total de la población afectada, produce el coeficiente de distribución regional:

Donde:
Cdi: Coeficiente de distribución del Departamento i.
Pi: Población rural del departamento i.
Vli y HCi: NBI para personas en vivienda inadecuada y hacinamiento crítico del Departamento i, respectivamente.
IRi: Indice de Ruralidad.
a: Incidencia relativa a nivel nacional del NBl de vivienda inadecuada.
ß: Incidencia relativa a nivel nacional del NBI de hacinamiento crítico.
El factor de ponderación nacional para vivienda inadecuada y para hacinamiento crítico y para ruralidad son en su orden los siguientes:



Donde:
VIn, HCn y IRn: Promedio nacional rural de los NBl de vivienda inadecuada y hacinamiento crítico e índice de ruralidad, respectivamente. Cuando los indicadores del departamento no permiten obtener un coeficiente superior al 1%, se establecerá una participación para dichos departamentos del 1.33%.
La aplicación de los anteriores criterios establece la siguiente distribución departamental:
Distribución departamental para subsidio de VISR
Departamento Coeficiente departamental
| Departamento | Coeficiente departamental |
| NARIÑO | 9,19 |
| ANTIOQUIA | 8,49 |
| CORDOBA | 7,91 |
| CAUCA | 7,56 |
| BOLIVAR | 6,54 |
| CUNDINAMARCA | 5,56 |
| BOYACA | 5,29 |
| MAGDALENA | 4,44 |
| CESAR | 3,40 |
| SANTANDER | 3,10 |
| TOLIMA | 2,87 |
| SUCRE | 2,70 |
| PUTUMAYO | 2,24 |
| HUILA | 2,21 |
| NORTE SANTANDER | 2,07 |
| META | 1,93 |
| CHOCO | 1,88 |
| CALDAS | 1,84 |
| CAQUETA | 1,79 |
| VALLE | 1,61 |
| CASANARE | 1,41 |
| ARAUCA | 1,33 |
| LA GUAJIRA | 1,33 |
| RISARALDA | 1,33 |
| GUAVIARE | 1,33 |
| VICHADA | 1,33 |
| ATLANTICO | 1,33 |
| GUAINIA | 1,33 |
| AMAZONAS | 1,33 |
| QUINDIO | 1,33 |
| VAUPES | 1,33 |
| SAN ANDRES | 1,33 |
| BOGOTA | 1,33 |
| NACIONAL | 100 |
El Ministerio de Agricultura y Desarrollo Rural, mediante resolución motivada, realizará la distribución departamental de recursos del presupuesto asignado en cada vigencia, incluidas las respectivas adiciones, aplicando los porcentajes indicados en el cuadro anterior a la Bolsa Departamental.
PARÁGRAFO. Los coeficientes aquí establecidos podrán variar en el evento de que se presenten hacia el futuro de acuerdo con las variaciones del índice de población en pobreza y del índice de ruralidad de acuerdo con información del DANE. El DNP, oportunamente y si a ello hubiere lugar, efectuará los ajustes correspondientes, los cuales serán oficializados mediante resolución motivada expedida por el Ministerio de Ambiente, Vivienda y Desarrollo Territorial.
ARTÍCULO 12. BOLSA DE RECURSOS DE POLÍTICA SECTORIAL RURAL. <Decreto derogado por el artículo 75 del Decreto 1160 de 2010> <Artículo modificado por el artículo 3 del Decreto 4427 de 2005. El nuevo texto es el siguiente:> La Bolsa de Recursos de Política Sectorial Rural se destinará a los hogares postulantes vinculados a los programas de: Cadenas Productivas; Desarrollo Rural; Manejo Ambiental; atención de desplazados por la violencia; atención de reincorporados y atención de población declarada en situación de desastre natural o situación de calamidad pública, según se enuncian a continuación:
a) Cadenas productivas: Certificadas al momento de la presentación de los respectivos proyectos por el Ministerio de Agricultura y Desarrollo Rural, con acuerdo sectorial de competitividad definido o en proceso;
b) Programas de Desarrollo Rural entendidos como tales: Los de inversión directa de recursos del Instituto Colombiano de Desarrollo Rural, Incóder, para apoyar procesos de desarrollo rural, en la vigencia respectiva o en los dos años inmediatamente anteriores a la fecha de presentación de los proyectos, certificados por el Gerente General del Incóder y los de los programas de Apoyo a Alianzas Productivas y del Programa de Apoyo a la Microempresa Rural, Pademer, certificados por la Dirección de Desarrollo Rural del Ministerio de Agricultura y Desarrollo Rural;
c) Manejo Ambiental: Proyectos de vivienda certificados por el Ministerio de Ambiente, Vivienda y Desarrollo Territorial, referidos a: posadas turísticas y vivienda para habitantes de zonas de amortiguación de Parques Naturales Nacionales;
d) Atención a programas dirigidos a hogares desplazados por la violencia; calidad que debe ser certificada por la autoridad competente e incluidos en el registro único de población desplazada. La Comisión Intersectorial definirá los porcentajes de recursos con los cuales se atenderá especialmente este programa;
e) Atención a hogares de reincorporados, condición que será certificada por la autoridad competente;
f) Población declarada en situación de desastre natural o situación de Calamidad Pública: Programa dirigido a atender la población rural afectada por desastres naturales o con viviendas ubicadas en zonas de alto riesgo no mitigable, de acuerdo con las normas que rigen la materia y en especial con lo establecido en el Decreto 919 de 1989 o las normas que lo desarrollan, complementan o sustituyan.
La priorización y distribución de los recursos de la Bolsa Sectorial se efectuarán atendiendo a la demanda de recursos por parte de cada uno de los programas y a las prioridades del Gobierno Nacional.
El Reglamento Operativo del Programa, establecerá las proformas y condiciones de las certificaciones para cada programa sectorial.
ARTÍCULO 13. REMANENTES DE RECURSOS EN LAS ASIGNACIONES. <Decreto derogado por el artículo 75 del Decreto 1160 de 2010> <Artículo modificado por el artículo 1 del Decreto 2299 de 2006. El nuevo texto es el siguiente:> Si al finalizar el plazo establecido para el cumplimiento de los requisitos para la asignación del subsidio, resultaren recursos de la Bolsa Departamental y/o de la Bolsa de Política Sectorial Rural sin asignar, la entidad otorgante del subsidio publicará el listado de los proyectos elegibles de cada una de estas bolsas a los que no se les hayan asignado subsidios, y el monto de los recursos pendientes de asignación, en un diario de circulación nacional y en su página de Internet, con el propósito que en un plazo máximo de quince (15) días calendario, a partir de la fecha de la publicación en prensa, las entidades oferentes de los proyectos, independientemente de la calificación que hayan obtenido, reúnan los requisitos establecidos en los numerales 1 y 2 del artículo treinta y uno (31) del presente decreto y puedan acceder a los subsidios, en el orden en que se efectúen las consignaciones de los recursos de contrapartida, hasta agotar los recursos remanentes.
En caso que se genere empate, por comprobarse que varias entidades oferentes consignaron los recursos de contrapartida el mismo día, se seleccionará el proyecto con mayor calificación; si este persiste, se dirimirá a través de sorteo, cuyo procedimiento será definido en el reglamento operativo.
El recurso remanente deberá financiar el subsidio de por lo menos 5 soluciones de vivienda del proyecto seleccionado, de lo contrario no será asignado.
ARTÍCULO 14. RECURSOS ADICIONALES EN CADA VIGENCIA. <Decreto derogado por el artículo 75 del Decreto 1160 de 2010> Los recursos que se asignen a través de adiciones presupuestales en cada vigencia, serán distribuidos y asignados según lo establecido en el presente decreto a los hogares postulantes de los proyectos radicados que en orden secuencial de mayor a menor, hayan obtenido los mayores puntajes de calificación de la invitación pública correspondiente a la misma vigencia.
APORTES DE CONTRAPARTIDA.
ARTÍCULO 15. APORTES DE CONTRAPARTIDA. <Decreto derogado por el artículo 75 del Decreto 1160 de 2010> Los aportes de contrapartida están integrados por los aportes de la entidad oferente y por los aportes de los hogares postulantes. También podrán concurrir con aportes otras entidades.
ARTÍCULO 16. APORTES DE LA ENTIDAD OFERENTE. <Decreto derogado por el artículo 75 del Decreto 1160 de 2010> <Artículo modificado por el artículo 5 del Decreto 4427 de 2005. El nuevo texto es el siguiente:> El aporte de la entidad oferente deberá ser en dinero o en gastos de preinversión, como estudios y diseños, dirección de obras, organización comunitaria, gestión ambiental, pólizas y títulos. En todo caso el cincuenta por ciento (50%) de los aportes en dinero ofrecidos por la entidad oferente deberán estar respaldados mediante la constitución de un encargo fiduciario, a nombre del respectivo proyecto; en el caso de que el oferente sea una entidad territorial, el restante cincuenta por ciento (50%) deberá estar respaldado por el Certificado de Disponibilidad Presupuestal, CDP, vigente. Las entidades privadas oferentes deberán respaldar el cincuenta por ciento (50%) restante, mediante certificado de disponibilidad de los recursos propuestos, suscrito por el representante legal de la entidad oferente y contador público debidamente acreditado.
Cuando las entidades oferentes sean cabildos gobernadores indígenas deberán presentar ante la entidad otorgante el respectivo convenio interadministrativo con la entidad territorial, en donde se respalde la contrapartida ofrecida por el resguardo indígena para el proyecto.
El aporte mínimo de contrapartida, descontando el aporte de los hogares postulantes, será mínimo del veinte por ciento (20%) del costo total del proyecto.
Estos aportes estarán conformados de la siguiente manera:
- Un mínimo del diez por ciento (10%) en dinero.
- Un máximo del diez por ciento (10%) como costos indirectos, distribuido así:
Un 1% correspondiente a los estudios de preinversión del proyecto, discriminados en el pago de los costos asociados en la formulación del mismo, como son los gastos de los estudios y diseños arquitectónicos del proyecto y los gastos en los que incurran los hogares postulantes.
Hasta un 6% para dirección de obra.
Hasta un 2% para gestión ambiental y organización comunitaria.
Hasta el 1% para pólizas y títulos.
PARÁGRAFO. Para los hogares postulantes de los proyectos de las Cajas de Compensación Familiar no se requerirá de aportes de la entidad oferente.
ARTÍCULO 17. APORTE DE LOS HOGARES POSTULANTES. <Decreto derogado por el artículo 75 del Decreto 1160 de 2010> El monto del aporte deberá ser como mínimo igual al 10% del valor de la solución de vivienda a la que se aplicará el subsidio. Los aportes de los hogares postulantes no se sumarán a los demás aportes de contrapartida, para efectos de la calificación.
ARTÍCULO 18. MODALIDADES DEL APORTE. <Decreto derogado por el artículo 75 del Decreto 1160 de 2010> <Artículo modificado por el artículo 6 del Decreto 4427 de 2005. El nuevo texto es el siguiente:> El aporte de los hogares postulantes al subsidio solo podrá estar representado en mano de obra, exceptuándose los aportes de los hogares postulantes al subsidio otorgado por las Cajas de Compensación Familiar, los cuales podrán estar representados en las sumas correspondientes a ahorro previo, cesantías o recursos de crédito, certificados por las entidades respectivas.
ARTÍCULO 19. OTROS APORTES. <Decreto derogado por el artículo 75 del Decreto 1160 de 2010> Los departamentos podrán concurrir a financiar los proyectos de vivienda de interés social rural de conformidad con el artículo 24 de la Ley 3ª de 1991 o de las normas que la complementen o sustituyan, para lo cual deberán expedir el respectivo certificado de disponibilidad presupuestal. Los aportes de los departamentos o de entidades privadas deberán efectuarse en dinero y certificarlo a la entidad otorgante, según se establece en el presente decreto.
PROCESO DE PRESELECCIÓN DE POSTULANTES PARA LOS SUBSIDIOS.
ARTÍCULO 20. PRESELECCIÓN DE POSTULANTES. <Decreto derogado por el artículo 75 del Decreto 1160 de 2010> Se entiende por preselección de postulantes el proceso por medio del cual la entidad oferente identifica el grupo de posibles postulantes al subsidio familiar de vivienda de interés social rural. Este proceso se realizará mediante convocatoria abierta a hogares pertenecientes a los niveles 1 y 2 del Sisbén.
La preselección la realizarán las entidades oferentes de conformidad con los procedimientos que para tal efecto se definan en el Reglamento Operativo del Programa. Los criterios que se establezcan para la preselección de postulantes deberán respetar los principios de eficiencia, transparencia y equidad.
PARÁGRAFO. De conformidad con el artículo 330 de la Constitución Política y en razón a su exclusión del Sistema de Identificación y Clasificación de Potenciales Beneficiarios para Programas Sociales, Sisbén, los proyectos presentados por los Cabildos Gobernadores de los Resguardos Indígenas, la respectiva autoridad indígena en asamblea con las familias de la comunidad, priorizará aquellas que presenten las mayores deficiencias habitacionales para conformar el listado final de postulantes al proyecto.
PERÍODO Y VIGENCIA DE POSTULACIONES.
ARTÍCULO 21. POSTULACIÓN. <Decreto derogado por el artículo 75 del Decreto 1160 de 2010> <Artículo modificado por el artículo 7 del Decreto 4427 de 2005. El nuevo texto es el siguiente:> Se entiende por postulación la solicitud de subsidio que realiza el grupo de hogares organizados a través de un proyecto presentado por una entidad oferente.
La postulación se realizará mediante el diligenciamiento y entrega de los documentos que se señalan a continuación:
1. Diligenciar correctamente el formulario de postulación.
2. Fotocopia de la cédula de ciudadanía de los miembros del hogar mayores de edad y registro civil de los miembros del hogar menores de edad.
3. Original del certificado de tradición y libertad expedido con anterioridad no superior a tres (3) meses, para soluciones de mejoramiento y saneamiento básico y construcción en sitio propio agrupada o certificación de posesión expedida por el Alcalde Municipal.
4. Afirmación de no poseer vivienda para soluciones de construcción en sitio propio o adquisición de vivienda nueva.
Los trabajadores afiliados a las Cajas de Compensación Familiar podrán postularse al Subsidio Familiar de Vivienda Rural en modalidad individual o colectiva, según formulario único de postulación que sea definido para tal fin.
ARTÍCULO 22. PERÍODO DE POSTULACIÓN. <Decreto derogado por el artículo 75 del Decreto 1160 de 2010> <Artículo modificado por el artículo 2 del Decreto 3200 de 2006. El nuevo texto es el siguiente:> Para cada vigencia presupuestal, se realizará una convocatoria para la presentación de proyectos por parte de las entidades oferentes; el Ministerio de Agricultura y Desarrollo Rural determinará las fechas de apertura y cierre de la convocatoria, de acuerdo con la disponibilidad de recursos provenientes del presupuesto nacional.
No obstante lo anterior, en caso de que no resultaren suficientes proyectos elegibles en relación con los recursos disponibles, se podrá realizar una nueva convocatoria.
El Ministerio de Agricultura y Desarrollo Rural determinará las fechas de apertura y cierre de nuevas convocatorias, de acuerdo a las recomendaciones que establezca la Comisión Intersectorial de Vivienda de Interés Social Rural.
El porcentaje de los recursos parafiscales destinados para vivienda de interés social rural, será otorgado en su totalidad en cada vigencia, de acuerdo con lo establecido en el artículo 68 de la Ley 49 de 1990 y el Decreto 975 de 2004 o la norma que lo modifique o adicione. El representante legal de cada Caja de Compensación Familiar, deberá establecer las fechas de postulación de acuerdo con los recursos disponibles y la demanda existente e informarlo a la Superintendencia del Subsidio Familiar.
ARTÍCULO 23. DUPLICIDAD DE POSTULACIONES. <Decreto derogado por el artículo 75 del Decreto 1160 de 2010> Ningún integrante de hogar podrá presentarse simultáneamente en más de una postulación para el acceso al subsidio familiar de vivienda rural. Si se incurre en esta conducta, las postulaciones correspondientes serán rechazadas por la entidad otorgante, sin perjuicio de las demás sanciones legales a que haya lugar.
ARTÍCULO 24. PRESENTACIÓN DE PROYECTOS PARA ACCEDER AL SUBSIDIO. <Decreto derogado por el artículo 75 del Decreto 1160 de 2010> <Artículo modificado por el artículo 8 del Decreto 4427 de 2005. El nuevo texto es el siguiente:> Podrán presentar proyectos de vivienda de interés social rural los oferentes definidos en el presente decreto; los cuales deberán garantizar los recursos de contrapartida en efectivo propuestos, con el documento de constitución de encargo fiduciario a nombre del proyecto que se presenta y el monto correspondiente a la contrapartida en dinero ofrecida.
La constitución del encargo fiduciario no genera derecho alguno para la asignación del subsidio.
Cuando el oferente sea un Cabildo Gobernador de Resguardo Indígena legalmente constituido, deberá presentar copia del respectivo convenio interadministrativo de manejo de los recursos del sistema general de participación, de conformidad con la Ley 715 de 2001 y las normas que la modifiquen, adicionen o sustituyan, celebrado entre el resguardo indígena y la entidad territorial, en el que conste la debida disponibilidad y apropiación de los recursos ofrecidos como contrapartida en efectivo para la financiación del proyecto de vivienda de interés social rural.
ELEGIBILIDAD DE PROYECTOS DE VIVIENDA DE INTERÉS SOCIAL RURAL.
ARTÍCULO 25. ELEGIBILIDAD. <Decreto derogado por el artículo 75 del Decreto 1160 de 2010> <Artículo modificado por el artículo 9 del Decreto 4427 de 2005. El nuevo texto es el siguiente:> La elegibilidad de un proyecto de interés social rural es la verificación por parte de la entidad otorgante del subsidio mediante un proceso de revisión de los aspectos técnicos, financieros y jurídicos del mismo, a partir de los cuales será calificado.
En ningún caso la elegibilidad de un proyecto genera derecho alguno para la asignación del subsidio familiar de vivienda de interés social rural.
ARTÍCULO 26. REQUISITOS PARA LA ELEGIBILIDAD DE LOS PROYECTOS. <Decreto derogado por el artículo 75 del Decreto 1160 de 2010> <Artículo modificado por el artículo 10 del Decreto 4427 de 2005. El nuevo texto es el siguiente:> Los requisitos para la elegibilidad de los proyectos de vivienda de interés social rural, serán los siguientes:
1. Certificación del municipio o distrito en la que indique que el proyecto se realizará en suelo rural, la cual está determinada dentro del respectivo Plan de Ordenamiento Territorial, de conformidad con lo establecido en la Ley 388 de 1997 o las normas que lo modifiquen o reglamenten. Igualmente certificará que la solución de vivienda de interés social rural no se realizará en zona de alto riesgo o de protección de los recursos naturales, zonas de reserva de obra pública o de infraestructura básica del nivel nacional, regional o municipal, áreas no aptas para la localización de vivienda de acuerdo al respectivo plan de ordenamiento territorial.
2. Los proyectos de construcción en sitio propio agrupada o adquisición de vivienda nueva, deben contar además de las licencias correspondientes con certificación de disponibilidad de infraestructura y servicios públicos básicos: evacuación de residuos líquidos, suministro de aguas y loteo. Las anteriores certificaciones serán expedidas en cada caso por la Oficina de Planeación Municipal o dependencia competente de conformidad con el Plan de Ordenamiento Territorial y las normas vigentes sobre la materia. Para el caso de proyectos a ser realizados en los territorios colectivos de comunidades indígenas, las certificaciones serán expedidas por el Cabildo Gobernador del resguardo indígena.
3. Certificar la financiación total del proyecto.
4. Presentar los presupuestos de construcción y demás documentación que se defina en el correspondiente Reglamento Operativo, para soportar la elegibilidad del proyecto.
5. Para los proyectos de construcción de vivienda agrupada o adquisición de vivienda nueva, cuando el terreno sea propiedad de la entidad oferente respectiva, de los beneficiarios o de una institución de utilidad común de carácter solidario, acreditar la propiedad del inmueble mediante certificado de tradición y libertad expedido con anterioridad no superior a tres (3) meses de la fecha de apertura de convocatoria, donde conste que la propiedad está libre de limitaciones al dominio, condiciones resolutorias, embargos y gravámenes, salvo la hipoteca constituida a favor de la entidad que financiará su construcción.
6. Acreditar la disponibilidad inmediata del servicio de agua o de acceso a una fuente de suministro. Cuando el proyecto incluya conexiones de servicios domiciliarios de agua y alcantarillado, estas deben ser certificadas por la empresa de servicios públicos o la autoridad competente.
PARÁGRAFO 1o. En un proyecto se pueden hacer postulaciones para un solo tipo de solución de vivienda.
PARÁGRAFO 2o. Los proyectos a ser realizados dentro de los territorios pertenecientes a comunidades indígenas y territorios colectivos de comunidades negras, deberán adjuntar la respectiva resolución de constitución del resguardo o territorio colectivo.
ARTÍCULO 27. ELEGIBILIDAD DE PROYECTOS DE VIVIENDA DE INTERÉS SOCIAL RURAL DE TRABAJADORES AFILIADOS A LAS CAJAS DE COMPENSACIÓN FAMILIAR. <Decreto derogado por el artículo 75 del Decreto 1160 de 2010> <Artículo modificado por el artículo 11 del Decreto 4427 de 2005. El nuevo texto es el siguiente:> La elegibilidad de un proyecto de interés social rural es la verificación por parte de la entidad otorgante del subsidio mediante un proceso de revisión de los aspectos técnicos, financieros y jurídicos del mismo.
En ningún caso la elegibilidad de un proyecto genera derecho alguno para la asignación del subsidio familiar d e vivienda de interés social rural.
La elegibilidad de los proyectos de postulaciones individuales o colectivas presentados por los oferentes de proyectos de trabajadores afiliados a las Cajas de Compensación Familiar, deberá ser expedida por la Caja de Compensación Familiar en la que se haya presentado el proyecto.
El Ministerio de Agricultura y Desarrollo Rural determinará los requisitos y las condiciones que las Cajas de Compensación Familiar deben tener en cuenta para expedir la elegibilidad de proyectos de vivienda de interés social rural.
ARTÍCULO 28. <Decreto derogado por el artículo 75 del Decreto 1160 de 2010> En ningún caso podrá existir elegibilidad de un proyecto de vivienda o aplicarse el subsidio, cuando el proyecto se localice en: i) Zonas no declaradas como pertenecientes a suelo rural; ii) Zonas de alto riesgo no mitigable; iii) Zonas de protección de los recursos naturales; iv) Zonas de reserva de obra pública o de infraestructura básica del nivel nacional, regional o municipal; v) Areas no aptas para la localización de vivienda de acuerdo con los planes de ordenamiento territorial.
CALIFICACIÓN Y ASIGNACIÓN DE SUBSIDIOS.
ARTÍCULO 29. CALIFICACIÓN DE LAS POSTULACIONES. <Decreto derogado por el artículo 75 del Decreto 1160 de 2010> Presentados los proyectos, se admitirán como válidas para efectos de radicación y calificación aquellas postulaciones que hayan cumplido con todos los requisitos y condiciones establecidos y se procederá a calcular el puntaje de calificación.
Cada uno de los proyectos tendrá un puntaje único equivalente al promedio aritmético del puntaje obtenido por cada uno de los hogares que conforman el proyecto. El puntaje obtenido por cada hogar será el correspondiente a la sumatoria de los puntos obtenidos según las variables de calificación señaladas en el artículo siguiente.
PARÁGRAFO. Para efectos de la calificación de los trabajadores afiliados a las Cajas de Compensación Familiar, se aplicará la fórmula definida en el Decreto 975 de 2004 y demás normas que lo modifiquen o sustituyan.
ARTICULO 30. VARIABLES DE CALIFICACIÓN DE LAS POSTULACIONES. <Decreto derogado por el artículo 75 del Decreto 1160 de 2010> <Artículo modificado por el artículo 1 del Decreto 4545 de 2006. El nuevo texto es el siguiente:> Los puntajes para la calificación de los hogares postulantes se calcularán de acuerdo con las siguientes variables:
1. Mayores aportes de contrapartida del oferente. Los aportes mínimos de contrapartida por solución de vivienda serán de 2.86 smmlv para los proyectos de mejoramiento de vivienda y de 3.43 smmlv para proyectos de vivienda nueva y construcción en sitio propio. Estos aportes mínimos no suman puntaje. Por cada décima (0.1) de smmlv y adicional a estos mínimos se otorgarán cuatro décimas (0.4) de punto, hasta un máximo de veinte (20) puntos.
En ningún caso para efectos del cálculo de este puntaje se considerarán los aportes de contrapartida de los hogares postulantes, ni los de otras entidades diferentes a la oferente.
2. Valor del subsidio solicitado. A la solicitud de subsidio igual a 10 smmlv se le asignarán veintiocho (28) puntos. Por un valor de subsidio solicitado que supere 10 smmlv se descuentan de los 28 puntos tres centésimas (0.03) de puntaje por cada incremento de una centésima (0.01) de smmlv de valor de subsidio solicitado.
3. Número de miembros del hogar. Cada hogar postulante deberá tener al menos dos miembros a los que no se les otorgará puntaje. En caso de afectados por desastres naturales, situación de calamidad pública o emergencias que se presenten o puedan acaecer por eventos de origen natural, según lo establece el artículo 3o del Decreto 2480 de 2005, el hogar postulante deberá tener al menos un miembro al cual no se le otorgará puntaje. En todos los casos, por cada miembro adicional, se sumará un (1) punto adicional hasta un máximo de tres (3) puntos.
4. Condición de madre cabeza de familia u hogar uniparental. La condición de madre cabeza de familia u hogar uniparental otorga dos (2) puntos.
5. Presencia de población dependiente. Por cada miembro dependiente del grupo familiar que corresponda a menor de ocho (8) años, discapacitado o adulto mayor de sesenta (60) años, se asignan dos (2) puntos con límite máximo de ocho (8) puntos.
6. Nivel Sisbén. Los hogares postulantes que se encuentren clasificados con nivel Sisbén uno (1), obtendrán cuatro (4) puntos. Aquellos clasificados en nivel Sisbén dos (2) obtendrán tres (3) puntos.
El nivel del Sisbén para la población indígena está catalogado como nivel cero (0); sin embargo, para efectos del cálculo de este puntaje se asimilará a nivel uno (1). El nivel del Sisbén para la población raizal del Departamento Archipiélago de San Andrés, Providencia y Santa Catalina que esté catalogado como nivel tres (3) se asimilará a nivel dos (2) para el cálculo de este puntaje. Los hogares desplazados y los hogar es afectados por desastres naturales tendrán el puntaje correspondiente al Sisbén 1.
7. Número de postulaciones. La primera postulación no otorga puntaje. Postular por segunda vez otorga tres (3) puntos; postular por tercera vez otorga cinco (5) puntos; postular por cuarta vez otorga 7 (siete) puntos. Cinco o más postulaciones otorgan nueve (9) puntos.
8. NBI municipal rural hogares. El proyecto tendrá un puntaje según el NBI rural hogares del municipio o distrito certificado por el DANE, así:
A los proyectos de municipios o distritos de NBI hogares rurales menor o igual a 20% se asignan 2 puntos.
A los proyectos de municipios o distritos con NBI hogares rurales mayor a 20% y menor o igual a 30% se asignan 3 puntos.
Los proyectos de municipios o distritos con NBI hogares rurales mayor a 30% y menor o igual a 40% reciben 4 puntos.
Los proyectos de municipios o distritos con NBI hogares rurales mayor a 40% y menor o igual a 50% reciben 6 puntos.
Los proyectos de municipios o distritos con NBI hogares rurales mayor a 50% y menor o igual a 60% reciben 8 puntos.
Los proyectos de municipios o distritos con NBI hogares rurales mayor a 60% y menor o igual a 70% reciben 14 puntos.
Los proyectos de municipios o distritos con NBI hogares rurales mayor a 70% y menor o igual a 80% reciben 17 puntos.
Los proyectos de municipios o distritos con NBI hogares rurales mayor a 80% y menor o igual a 90% reciben 19 puntos.
Los proyectos de municipios o distritos con NBI hogares rurales mayores a 90% y hasta 100%, reciben 22 puntos.
En el Departamento Archipiélago de San Andrés, Providencia y Santa Catalina y en los Departamentos de Amazonas, Guainía, Vaupés y Vichada, el NBI será el de las respectivas inspecciones departamentales o en su defecto la del departamento correspondiente.
9. Otros aportes. El proyecto tendrá puntaje adicional cuando cuente con aportes provenientes de entidades territoriales diferentes a la entidad oferente, adicionales a los aportes mínimos de contrapartida exigidos. Dichos aportes deberán ser de por lo menos el 10% del valor total del proyecto, así:
Si el aporte se realiza a proyectos presentados por municipios o distritos con NBI hogares rurales de hasta el 30%, no tendrá puntaje; si el aporte se realiza en municipios o distritos con NBI hogares rurales mayor al 30% y hasta el 60%, tendrá dos (2) puntos; si el aporte se realiza en municipios o distritos con NBI hogares rurales mayor al 60% y hasta el 100%, tendrá cinco (5) puntos.
10. Compromiso de Compra de Materiales a través del Banco de Materiales. La Entidad Otorgante del subsidio o las entidades autorizadas por ella, podrán implementar un Banco de Materiales para convocar proveedores. El proyecto de vivienda en el que la Entidad Oferente se comprometa a adquirir los insumos de construcción a través del Banco de Materiales, siempre que el precio ofrecido por este sea menor al formulado por la Entidad Oferente, obtendrá un puntaje de cinco (5) puntos.
Las condiciones del Banco de Materiales se establecerán en el Reglamento Operativo expedido por la Entidad Otorgante, previa aprobación de la Comisión Intersectorial de Vivienda de Interés Social Rural.
Los recursos del Subsidio Familiar de Vivienda de Interés Social Rural que se optimicen en virtud de la implementación del Banco de Materiales, serán destinados para nuevos subsidios de acuerdo con lo establecido en el presente decreto.
PARÁGRAFO. Para el caso de los hogares conformados por población desplazada por la violencia, las variables de calificación de las postulaciones serán las establecidas en el artículo 11 del Decreto 2675 de 2005 o las normas que lo modifiquen, sustituyan o adicionen.
ARTÍCULO 31. ASIGNACIÓN DEL SUBSIDIO. <Decreto derogado por el artículo 75 del Decreto 1160 de 2010> <Artículo modificado por el artículo 3 del Decreto 2299 de 2006. El nuevo texto es el siguiente:> Es el acto por medio del cual la entidad otorgante asigna los subsidios disponibles a los hogares postulantes de los proyectos elegibles que obtuvieron el mayor puntaje y cumplieron, en un plazo no mayor a treinta (30) días calendario, contados a partir de la publicación en prensa de la elegibilidad del proyecto, los siguientes requisitos:
1. Abrir con destino exclusivo a la ejecución de las obras, una cuenta corriente en la Oficina del Banco Agrario de Colombia del municipio o distrito donde se ejecutará el proyecto o en la del municipio o distrito más cercano.
2. Consignar en la cuenta corriente del proyecto el 100% de los recursos de contrapartida ofrecidos en dinero. Por ningún motivo los recursos podrán ser retirados de la cuenta corriente antes que la entidad otorgante asigne los subsidios.
3. Enviar copia de la constancia de la consignación a la entidad otorgante.
Si estos requisitos no se cumplen oportunamente, a los hogares postulantes del proyecto, independientemente de su calificación, no podrá asignárseles el subsidio y se aplicará lo previsto en el artículo 13 del presente decreto.
La entidad otorgante deberá remitirse a la lista de los proyectos elegibles que hayan cumplido los requisitos de asignación, para asignar el subsidio de acuerdo con el orden de calificación descendente.
Los dineros consignados por las entidades oferentes que no resulten beneficiarios podrán ser retirados de la cuenta una vez comunicada la no asignación.
PARÁGRAFO 1o. Cuando no se ha iniciado el proceso de ejecución de la obra de la vivienda en particular, se podrá sustituir un hogar excluido sin afectar en nada la postulación del grupo. El reglamento operativo establecerá los requisitos y procedimientos de la sustitución.
PARÁGRAFO 2o. En el caso de las Cajas de Compensación Familiar, una vez calificadas cada una de las postulaciones, se ordenarán en forma secuencial descendente, de manera automática, para conformar una lista de postulantes calificados. Seguidamente, efectuará la asignación de los subsidios mediante la aplicación de los recursos disponibles a los postulantes que les corresponda de acuerdo con el referido orden secuencial de la lista de postulantes calificados. La asignación de subsidios por parte de las Cajas de Compensación en la postulación individual se hará en estricto orden descendente de mayor a menor de acuerdo con la calificación y los recursos disponibles para cada asignación.
De cada asignación que realicen las Cajas de Compensación Familiar, se levantará un acta que contenga como mínimo: La identificación del trabajador beneficiario, ubicación, puntaje, tipo de solución y el valor del subsidio asignado, la cual deberá estar suscrita por los que intervienen en la asignación.
ARTÍCULO 32. DE LOS SUBSIDIOS ASIGNADOS EN EL DEPARTAMENTO ARCHIPIÉLAGO DE SAN ANDRÉS, PROVIDENCIA Y SANTA CATALINA. <Decreto derogado por el artículo 75 del Decreto 1160 de 2010> Los proyectos deben conservar la tradición arquitectónica del departamento, con el ánimo de fortalecer y recuperar la cultura de las islas como elemento básico del desarrollo. Los hogares beneficiarios del subsidio únicamente podrán aplicarlo al mejoramiento y saneamiento básico de su vivienda.
ARTÍCULO 33. REVISORÍA FISCAL AL PROCESO DE ASIGNACIÓN DEL SUBSIDIO. <Decreto derogado por el artículo 75 del Decreto 1160 de 2010> Antes de oficializar la asignación del subsidio familiar de vivienda rural con recursos provenientes del presupuesto nacional, la entidad otorgante deberá obtener la certificación de la revisoría fiscal correspondiente, sobre el cumplimiento de los procesos y procedimientos establecidos.
ARTÍCULO 34. PUBLICACIÓN Y NOTIFICACIÓN DE LA ASIGNACIÓN DE LOS SUBSIDIOS. <Decreto derogado por el artículo 75 del Decreto 1160 de 2010> <Artículo modificado por el artículo 4 del Decreto 2299 de 2006. El nuevo texto es el siguiente:> La entidad otorgante publicará en su página de Internet y notificará a cada una de las entidades oferentes la asignación o no asignación de los subsidios respecto de cada uno de los proyectos.
Tanto en la publicación como en la notificación de la asignación del subsidio se indicarán la fecha de asignación, los nombres de los miembros del hogar beneficiado, sus cédulas de ciudadanía, el monto del subsidio asignado, el período de vigencia y el procedimiento para su entrega.
La entidad otorgante notificará la asignación del subsidio a los hogares postulantes favorecidos y la razón de la negativa a los hogares postulantes no asignatarios, a través de la entidad oferente.
En el caso de las Cajas de Compensación Familiar, la divulgación de las listas de los hogares beneficiarios de la asignación del subsidio se realizará a través de los mecanismos que estas definan, siempre que ellos garanticen el oportuno y eficaz conocimiento de los resultados de los procesos adelantados.
COMITÉ DE VIGILANCIA DEL PROYECTO E INTERVENTORÍA.
ARTÍCULO 35. CONFORMACIÓN Y FUNCIONES DEL COMITÉ DE VIGILANCIA DEL PROYECTO. <Decreto derogado por el artículo 75 del Decreto 1160 de 2010> <Artículo modificado por el artículo 14 del Decreto 4427 de 2005. El nuevo texto es el siguiente:> El Comité de Vigilancia del Proyecto será la instancia veedora de la ejecución del mismo. Estará conformado por dos representantes de los beneficiarios y el interventor quien tendrá funciones de asesoría técnica, administrativa y financiera.
PARÁGRAFO. Para el efecto de las asignaciones individuales efectuadas por las Cajas de Compensación Familiar, no aplica la conformación del comité del que trata el presente artículo.
ARTÍCULO 36. FUNCIONES DEL COMITÉ DE VIGILANCIA. <Decreto derogado por el artículo 75 del Decreto 1160 de 2010> Son funciones del Comité las siguientes:
1. Cumplir con las funciones de veedor de la ejecución del proyecto, en los términos y condiciones previstos en las disposiciones legales vigentes, con el fin de buscar la preservación de la finalidad del subsidio de vivienda de interés social rural.
2. Solicitar a la entidad oferente los informes de la gestión y rendición de cuentas a que hubiere lugar.
3. Hacer conocer a la entidad otorgante de manera oportuna, cualquier anomalía o reclamo presentado en la ejecución del proyecto u otras situaciones que a su juicio coloquen en riesgo los recursos y el cumplimiento de la finalidad del subsidio.
ARTÍCULO 37. ELECCIÓN DE LOS REPRESENTANTES DE LOS BENEFICIARIOS. <Decreto derogado por el artículo 75 del Decreto 1160 de 2010> Los beneficiarios elegirán dos (2) representantes al Comité de Vigilancia del proyecto a través de Asamblea General del grupo postulante, por mayoría simple, con una asistencia mínima del ochenta por ciento (80%) de los beneficiarios. El acta deberá ser firmada por la totalidad de los asistentes con sus respectivos números de documento de identificación y por el Interventor.
ARTÍCULO 38. OBLIGACIONES DE LA ENTIDAD OFERENTE. <Decreto derogado por el artículo 75 del Decreto 1160 de 2010> <Artículo modificado por el artículo 15 del Decreto 4427 de 2005. El nuevo texto es el siguiente:> Son obligaciones de la entidad oferente:
1. Presentar a la entidad otorgante los postulantes al subsidio de vivienda de interés social rural a través de proyectos conformados en los términos y condiciones previstos en este decreto y demás disposiciones vigentes, respondiendo ante la misma por la pérdida o indebida aplicación de los recursos que les fueren asignados.
2. Aportar las contrapartidas ofrecidas para la ejecución del proyecto dentro de las condiciones técnicas, financieras y presupuestales.
3. Responder por la ejecución del proyecto y la debida aplicación de los recursos del subsidio y demás recursos al mismo.
4. Ejecutar directamente o contratar la ejecución del proyecto en unión temporal con un tercero definiendo la modalidad de contratación que utilizará para la ejecución del proyecto, garantizando los principios de economía, eficiencia, participación y transparencia en la inversión de los recursos y la realización de las obras, promoviendo la autogestión comunitaria o sistemas asociativos, de acuerdo con las normas legales vigentes.
5. Realizar la liquidación de los contratos que suscriba o realice para la ejecución de las obras.
6. Responder o adelantar las reclamaciones que fueran del caso por la mala calidad de los materiales y la inestabilidad de la obra contratada.
7. Justificar y sustentar ante la entidad otorgante del subsidio modificaciones técnicas que afecten las condiciones del proyecto inicial presentado, previas las justificaciones y aprobaciones establecidas enel presente decreto, con el fin de que la entidad otorgante determine la viabilidad y autorización de la modificación propuesta.
8. Aprobar el programa y organización del trabajo, previa sustentación técnica del interventor.
9. Realizar los pagos originados en los contratos y órdenes de trabajo que se produzcan en el desarrollo del proyecto, dejando constancia mediante las actas respectivas.
10. Llevar y mantener actualizados los registros contables y archivos de la ejecución del proyecto. El Oferente del proyecto será responsable de la custodia del archivo del proyecto por un periodo mínimo de diez (10) años, después de la liquidación del mismo, garantizando el acceso a este archivo por parte de quien lo requiera.
11. Realizar los trámites de escrituración individual y registro correspondientes o protocolización de la inversión ante la notaría cuando no apliquen las demás.
12. Entregar a la entidad otorgante el proyecto debidamente liquidado con su cuenta corriente saldada y presentar un informe en el que se detalle la inversión y tipo de obras ejecutadas, así como la conciliación contable.
13. Verificar la veracidad de la información suministrada por los hogares postulantes vinculados al proyecto que presentan. La entidad otorgante se reserva la facultad de verificar dicha información.
14. Las demás obligaciones que determine la ley o la entidad otorgante a través del reglamento operativo.
ARTÍCULO 39. DESIGNACIÓN DEL INTERVENTOR. <Decreto derogado por el artículo 75 del Decreto 1160 de 2010> El interventor será un profesional de la Ingeniería Civil o Arquitectura, responsable por la asesoría y verificación de la correcta ejecución del proyecto en los aspectos técnicos, administrativos, económicos y financieros. Será contratado por la entidad otorgante directamente o a través de una entidad externa. El costo de la interventoría será a cargo de los recursos del subsidio y será como máximo el 5% del valor del mismo, según lo establece el artículo 106 de la Ley 812 de 2003.
CONDICIONES PARA EL DESEMBOLSO DE LOS RECURSOS DEL SUBSIDIO.
ARTÍCULO 40. REQUISITOS PARA ACCEDER A LOS RECURSOS DEL SUBSIDIO DE VIVIENDA PROVENIENTES DEL PRESUPUESTO NACIONAL. <Decreto derogado por el artículo 75 del Decreto 1160 de 2010> <Artículo derogado por el artículo 5 del Decreto 2299 de 2006>
ARTÍCULO 41. DESEMBOLSO DE LOS RECURSOS PARA EL SUBSIDIO DE VIVIENDA PROVENIENTES DEL PRESUPUESTO NACIONAL. <Decreto derogado por el artículo 75 del Decreto 1160 de 2010> <Artículo modificado por el artículo 17 del Decreto 4427 de 2005. El nuevo texto es el siguiente:> Para el primer desembolso, correspondiente al cincuenta por ciento (50%) del valor del subsidio, la entidad oferente deberá anexar los siguientes documentos:
a) Acta de la Asamblea de Beneficiarios del Subsidio, suscrita por el interventor, donde conste: La elección de los dos representantes de los beneficiarios como miembros del Comité de Vigilancia de acuerdo con el modelo de acta establecido en el reglamento operativo, donde conste que los beneficiarios tienen conocimiento de las condiciones técnicas y financieras que permiten la ejecución del proyecto y que se comprometen a efectuar los aportes en mano de obra, en los montos y cantidades establecidos en el proyecto aprobado;
b) Acta donde conste la conformación del Comité de Vigilancia, de acuerdo con el modelo del reglamento operativo de la entidad otorgante;
c) Informe de cumplimiento del trabajo social por parte de la entidad oferente;
d) Presentar los soportes documentales o contratos con las respectivas pólizas, que permitan acreditar los costos indirectos;
e) Presentación y aprobación de la póliza de seguro de cumplimiento a favor de entidades estatales, constituida por parte de la entidad oferente a favor de la entidad otorgante, expedida por una compañía de seguros autorizada para funcionar en Colombia, que otorgue los amparos de buen manejo del anticipo y cumplimiento, con las coberturas que se establezcan en el reglamento operativo. La entidad oferente deberá presentar a la entidad otorgante el original de la póliza, junto con el recibo de pago de la prima. Además, se obliga a prorrogar o a ampliar la garantía en cualquier evento en que se prorrogue la vigencia del proyecto;
f) Presentar a la entidad otorgante el informe de interventoría sobre el cumplimiento de las condiciones técnicas, administrativas y financieras para el inicio del proyecto;
g) Cronograma de actividades actualizado que deberá ser presentado y firmado por la entidad oferente y el interventor;
El reglamento operativo establecerá los procedimientos para los respectivos desembolsos.
Para el segundo desembolso correspondiente al cuarenta por ciento (40%) del valor de los subsidios otorgados, una vez se acrediten los siguientes requisitos:
a) Acta de avance de obra presentada por la entidad oferente e informe del interventor donde se certifique que se ha ejecutado por lo menos el cincuenta por ciento (50%) de las metas físicas y financieras del proyecto, incluidos costos directos e indirectos de acuerdo con el cronograma del mismo;
b) Presentación por parte de la entidad oferente de la respectiva modificación de la póliza de seguro de cumplimiento a favor de entidades estatales;
c) Informe de cumplimiento del trabajo social y ambiental por parte de la entidad oferente;
d) Cronograma de actividades que muestre la ejecución física y financiera desde el 50% hasta el 90% del proyecto, firmado por el interventor y la entidad oferente.
Para el tercer desembolso correspondiente al diez por ciento (10%) de los recursos, se requiere:
a) Acta de avance de obra presentada por la entidad oferente e informe del interventor, donde se certifique que se ha ejecutado por lo menos el noventa por ciento (90%) de las metas físicas y financieras del proyecto, incluidos costos directos e indirectos de acuerdo con el cronograma del mismo;
b) Presentación por parte de la entidad oferente de la respectiva modificación de la póliza de seguro de cumplimiento a favor de entidades estatales y la constitución de una póliza que ampare el buen manejo del anticipo y el cumplimiento en la terminación y liquidación del proyecto;
c) Informe de cumplimiento del trabajo social y ambiental por parte de la entidad oferente, avalado por el interventor;
d) Cronograma de actividades que muestre la ejecución física y financiera desde el 90% hasta el 100% del proyecto, firmado por el interventor y la entidad oferente;
e) Escrituración y registro para los proyectos de vivienda nueva.
PARÁGRAFO 1o. La entidad otorgante del subsidio podrá condicionar la entrega de los desembolsos a la verificación física de la ejecución de las obras en los porcentajes establecidos.
PARÁGRAFO 2o. Si se solicita una modificación al proyecto inicial, en cuanto a diseño, área por construir, especificaciones de materiales, esta deberá ser avalada por los beneficiarios mediante acta y aprobada por el interventor, para someterla a consideración y decisión de la entidad otorgante. Estas modificaciones no podrán ser menores en área ni en especificaciones de calidad a la propuesta inicial.
PARÁGRAFO 3o. Si la entidad oferente ejecuta el proyecto por administración directa, deberá constituir la póliza de cumplimiento con los amparos antes mencionados y los pertinentes a los de la ejecución del proyecto según se determine en el reglamento operativo.
PARÁGRAFO 4o. La entidad oferente del proyecto se obliga a prorrogar las pólizas y presentar el respectivo certificado de modificación cuando sea necesario, como requisito para efectuar cada desembolso, dentro de los cinco (5) días siguientes al acta en la que conste la prórroga del tiempo de ejecución del proyecto en los términos y condiciones previstas en él. Si no lo hace, la entidad otorgante podrá disponer que se prorrogue, modifique o constituya a su favor la citada póliza y en consecuencia, la entidad oferente se obliga a cancelar a la entidad otorgante la suma que haya pagado por este concepto, para lo cual las actas de aprobación de la póliza prestarán mérito ejecutivo suficiente.
ARTÍCULO 42. PLAZO PARA LA EJECUCIÓN Y LIQUIDACIÓN DEL PROYECTO. <Decreto derogado por el artículo 75 del Decreto 1160 de 2010> <Artículo modificado por el artículo 18 del Decreto 4427 de 2005. El nuevo texto es el siguiente:> El plazo para la ejecución y liquidación del proyecto no podrá ser mayor a doce (12) meses prorrogables hasta seis (6) adicionales, contados a partir del primer desembolso. Cuando no se ejecute el proyecto en el plazo establecido, los recursos del subsidio deberán ser reintegrados por el oferente, a la entidad otorgante, quien responderá por tales recursos ante el tesoro nacional, salvo en casos de fuerza mayor debidamente comprobados por la entidad otorgante.
Si en la ejecución del proyecto se llegare a presentar un excedente de recursos, debido a la adquisición de suministros mediante el banco de materiales, estos excedentes deberán reinvertirse de manera proporcional en las soluciones de vivienda de los beneficiarios del proyecto.
PARÁGRAFO. Para efectos de la aplicación de los subsidios familiares de vivienda de interés social rural asignados por las Cajas de Compensación Familiar, el plazo para la ejecución y liquidación de los proyectos se empezará a contar a partir del mes siguiente a la fecha de la publicación de su asignación.
ARTÍCULO 43. GIRO DEL SUBSIDIO POR PARTE DE LAS CAJAS. <Decreto derogado por el artículo 75 del Decreto 1160 de 2010> Cuando no se hiciere uso de la facultad del giro anticipado del Subsidio Familiar de Vivienda, la Caja de Compensación Familiar girará el valor del mismo en favor del oferente de la solución de vivienda previamente declarada elegible a la cual se aplicará, una vez se acredite la conclusión de la solución de vivienda y el otorgamiento y registro de la escritura pública de adquisición o de declaración de construcción o mejoras según la modalidad para la cual se hubiere aplicado el subsidio. Para efectos de lo anterior, deberán presentarse los siguientes documentos:
En el caso de adquisición de vivienda nueva:
1. Copia de la escritura pública contentiva del título de adquisición del inmueble y del certificado de tradición y libertad del inmueble con una vigencia no mayor a 30 días, que permitan evidenciar la adquisición de la vivienda por el hogar postulante y que el precio de adquisición corresponda al tipo de vivienda al cual se postuló o a un tipo inferior.
2. Copia del documento que acredita la asignación del Subsidio Familiar de Vivienda, con autorización de cobro por parte del beneficiario.
3. Certificado de existencia de la vivienda, acompañado del acta de entrega del inmueble al beneficiario del subsidio a satisfacción de este.
En el caso de construcción en sitio propio o mejoramiento:
1. Copia de la escritura de declaración de construcción o mejoramiento, con la constancia de la inscripción en la Oficina de Registro Competente.
2. Copia del documento que acredita la asignación del Subsidio Familiar de Vivienda, con autorización de cobro por parte del beneficiario.
3. Certificado de existencia de la vivienda y recibo a satisfacción de la vivienda construida en sitio propio o el mejoramiento efectuado, en la que se especifique que la misma cumple con las condiciones señaladas en la postulación y en la asignación correspondientes, debidamente firmada por el beneficiario del subsidio en señal de aceptación.
PARÁGRAFO 1o. La escritura pública en la que conste la adquisición, la construcción o el mejoramiento, según sea el caso, deberá suscribirse dentro del período de vigencia del Subsidio Familiar de Vivienda. Dentro de los sesenta (60) días siguientes a su vencimiento el subsidio será pagado siempre que se acredite que la correspondiente escritura fue inscrita en la Oficina de Registro de Instrumentos Públicos competente.
PARÁGRAFO 2o. Además de las razones aquí señaladas, se podrán realizar los pagos aquí previstos en forma extemporánea en los siguientes casos, siempre y cuando el plazo adicional no supere los sesenta (60) días calendario:
1. Cuando encontrándose en trámite la operación de compraventa, la construcción o el mejoramiento al cual se aplicará el Subsidio Familiar de V ivienda y antes de la expiración de su vigencia, se hace necesario designar un sustituto por fallecimiento del beneficiario.
2. Cuando la documentación completa ingrese oportunamente para el pago del valor del subsidio al vendedor de la vivienda, pero se detectaren en la misma errores no advertidos anteriormente, que sea necesario subsanar.
PARÁGRAFO 3o. Los desembolsos de los subsidios asignados por las Cajas de Compensación se realizarán en un plazo máximo de quince (15) días hábiles, una vez el hogar beneficiado cumpla con los requisitos exigidos en el presente decreto.
PARÁGRAFO 4o. Los documentos exigidos para el giro del subsidio se acreditarán ante la entidad otorgante, quien autorizará el giro al oferente de la solución de vivienda.
ARTÍCULO 44. GIRO ANTICIPADO DEL SUBSIDIO POR PARTE DE LAS CAJAS. <Decreto derogado por el artículo 75 del Decreto 1160 de 2010> El beneficiario del subsidio podrá autorizar el giro anticipado del mismo a favor del oferente. Para proceder a ello, deberá este presentar ante la entidad otorgante o el operador, el certificado de elegibilidad del proyecto, las respectivas promesas de compraventa o los contratos previos para la adquisición del dominio, así como acreditar la constitución de un encargo fiduciario para la administración unificada de los recursos del subsidio, el contrato que garantice la labor de interventoría y una póliza que cubra la restitución de los dineros entregados por cuenta del subsidio en caso de incumplimiento, que deberá cubrir el ciento diez por ciento (110%) del valor de los subsidios que entregará la entidad otorgante.
El ciento por ciento (100%) del valor de los subsidios se desembolsará al encargo fiduciario. El ochenta por ciento (80%) de estas sumas se girará al oferente por parte del encargo fiduciario, previa autorización del interventor; el veinte por ciento (20%) restante una vez se presenten ante la entidad otorgante del subsidio de vivienda o el operador, la totalidad de los documentos señalados en el artículo 42 del presente decreto, según la modalidad de solución de vivienda de que se trate. Para el giro del saldo la entidad otorgante informará por escrito a la fiduciaria el cumplimiento de tales requisitos y devolverá al oferente la póliza de garantía correspondiente, quedando de este modo legalizada la aplicación total del subsidio.
Las condiciones particulares que deben cumplir la póliza, la interventoría y el encargo fiduciario serán las establecidas en la Resolución número 966 expedida por el Ministerio de Ambiente, Vivienda y Desarrollo Territorial o la que la modifique o sustituya.
PARÁGRAFO. Sin perjuicio de lo dispuesto en el presente artículo, podrá efectuarse el giro anticipado del ciento por ciento (100%) de los recursos del Subsidio Familiar de Vivienda al oferente cuando la garantía que este constituya para el efecto corresponda a un Aval Bancario. Dicho aval deberá presentar las condiciones mínimas que a continuación se indican, sin perjuicio de aquellas otras adicionales que las Juntas o Consejos Directivos de las entidades otorgantes definan para el desembolso anticipado de los subsidios familiares de vivienda que ellas asignen:
a) Prever que la garantía será exigible si vencido el plazo de vigencia del Subsidio Familiar de Vivienda de Interés Social o de sus prórrogas, el oferente no da cumplimiento a los requisitos y condiciones establecidos en el Decreto 975 de 2004 o en el que lo modifique o sustituya;
b) El valor garantizado deberá cubrir el ciento por ciento (100%) de las sumas desembolsadas anticipadamente por concepto del subsidio familiar de vivienda, actualizado de acuerdo con el Indice de Precios al Consumidor (IPC).
La vigencia del aval deberá corresponder como mínimo a la del subsidio familiar de vivienda y a la de sus prórrogas si las hubiere, conforme a lo dispuesto en el Decreto 975 de 2004 y tres (3) meses más.
RESPONSABILIDAD INSTITUCIONAL DE LA POLÍTICA DE VIVIENDA DE INTERÉS SOCIAL RURAL.
ARTÍCULO 45. RESPONSABILIDAD EN LA FORMULACIÓN DE LA POLÍTICA. <Decreto derogado por el artículo 75 del Decreto 1160 de 2010> Conforme a la legislación vigente, la responsabilidad de la formulación de la política de vivienda rural es del Ministerio del Ambiente, Vivienda y Desarrollo Territorial, en coordinación con el Ministerio de Agricultura y Desarrollo Rural.
La dirección de la ejecución de la política de Vivienda de Interés Social Rural estará a cargo del Ministerio de Agricultura y Desarrollo Rural.
En lo relacionado con el subsidio VIS Rural que otorgan las Cajas de Compensación Familiar, le corresponde a la Superintendencia del Subsidio Familiar ejercer la inspección, vigilancia y control, de acuerdo con las normas vigentes.
ARTÍCULO 46. RESPONSABILIDAD DE LAS ENTIDADES OTORGANTES DEL SUBSIDIO DE VIVIENDA DE INTERÉS SOCIAL RURAL. <Decreto derogado por el artículo 75 del Decreto 1160 de 2010> Las entidades otorgantes del Subsidio VIS Rural, tendrán las siguientes responsabilidades:
1. Administrar, según el caso, los recursos nacionales y/o parafiscales destinados al Subsidio Familiar de Vivienda de Interés Social Rural, para los fines previstos en el presente decreto.
2. Recibir y evaluar las postulaciones que realicen los hogares rurales, aspirantes al Subsidio VIS Rural.
3. Evaluar los proyectos que presenten las entidades oferentes, directamente o a través de las entidades que disponga el Gobierno Nacional, de acuerdo con lo establecido en el presente decreto.
4. Capacitar y prestar asistencia técnica a los oferentes para la postulación de los hogares y la formulación de los proyectos.
5. Crear y mantener actualizado un registro de oferentes consignando las evaluaciones realizadas, novedades, incumplimientos y sanciones impuestas a estos.
6. Asignar los subsidios de vivienda de interés social rural.
7. Realizar los desembolsos de los recursos del subsidio, con base en los procedimientos establecidos en el presente decreto y en el reglamento operativo del programa.
8. Realizar el seguimiento a la ejecución de los proyectos y a la inversión de los recursos de acuerdo con los parámetros establecidos en el reglamento operativo.
9. Mantener actualizado y disponible un sistema de información sobre todo lo referente a la demanda, postulaciones, calificaciones, asignación y ejecución de los subsidios de Vivienda de Interés Social Rural, incluyendo sus beneficiarios y resultados.
10. Las demás que emanen de la ley y del presente decreto.
PARÁGRAFO. Se exceptúa a la Cajas de Compensación Familiar de las responsabilidades contenidas en los numerales 5 y 8 del presente artículo.
ARTÍCULO 47. COSTOS DE ADMINISTRACIÓN DEL SUBSIDIO DE VIVIENDA DE INTERÉS SOCIAL RURAL. <Decreto derogado por el artículo 75 del Decreto 1160 de 2010> Por administración de los recursos del subsidio efectivamente asignado, la entidad otorgante, Banco Agrario de Colombia S. A., podrá destinar hasta el 8% y las Cajas de Compensación Familiar hasta el 5% de los recursos a este fin. Cualquier costo adicional de administración será a cargo de la entidad otorgante.
ARTÍCULO 48. REGLAMENTACIÓN INTERNA DE PROCEDIMIENTOS. <Decreto derogado por el artículo 75 del Decreto 1160 de 2010> Las entidades otorgantes del subsidio de Vivienda de Interés Social Rural deberán modificar en un plazo no mayor a treinta (30) días calendario a partir de la publicación del presente decreto los procedimientos internos, para hacer efectivo lo dispuesto en el presente decreto.
ARTÍCULO 49. INTERVENCIÓN DE LA ENTIDAD OTORGANTE DEL SUBSIDIO EN LA EJECUCIÓN DE LOS PROYECTOS. <Decreto derogado por el artículo 75 del Decreto 1160 de 2010> La entidad otorgante podrá intervenir los proyectos y ejecutarlos directa o indirectamente, mediante acto administrativo motivado expedido por el representante legal, cuando se presenten una o varias causas que según su criterio impida la normal ejecución de los mismos.
Se consideran causales de intervención directa de los proyectos, entre otras, las siguientes:
1. Grave incumplimiento de la entidad oferente o del ejecutor, que ponga en riesgo la normal ejecución del proyecto.
2. Demora de más de treinta (30) días calendario en la iniciación de las obras del proyecto, contados a partir de la fecha del primer desembolso, salvo la ocurrencia de justa causa, fuerza mayor o caso fortuito, debidamente acreditada por la entidad oferente ante la entidad otorgante del subsidio.
3. Suspensión de ejecución de las obras sin el aval de la interventoría del proyecto y de la entidad otorgante.
4. Cuando los diseños, especificaciones técnicas o cantidades de obra presentados para la postulación y según los cuales se aprobó el subsidio, sean modificados sin contar con las aprobaciones establecidas en el presente decreto.
5. Cuando la entidad oferente tome decisiones que afecten los recursos del proyecto.
6. Cuando los beneficiarios incumplan con los aportes en materiales o en mano de obra o no los suministren en los términos inicialmente planteados en el proyecto.
7. Las demás que sean establecidas por la entidad otorgante en el correspondiente reglamento operativo del programa.
DISPOSICIONES COMUNES APLICABLES AL PRESENTE DECRETO.
ARTÍCULO 50. PATRIMONIO FAMILIAR INEMBARGABLE. <Decreto derogado por el artículo 75 del Decreto 1160 de 2010> Las soluciones habitacionales en las que se inviertan recursos del subsidio se constituirán en patrimonio de familia inembargable a favor del jefe del hogar, su cónyuge y sus hijos menores y el hogar deberá comprometerse a no enajenarlo ni levantar el patrimonio de familia antes de cinco (5) años, con las excepciones establecidas en la Ley 546 de 1999.
Los hogares beneficiarios deben habitar la solución de vivienda financiada con el subsidio y abstenerse de darla en arrendamiento, por lo menos durante un término de cinco (5) años, contados a partir de la fecha de entrega del mismo. La verificación de cumplimiento de esta condición estará a cargo de la entidad oferente a través del diligenciamiento y envío anual en el mes de septiembre a la entidad otorgante del formato único de verificación. En caso de incumplimiento por parte de los hogares beneficiarios, la entidad oferente comunicará tal situación a la entidad otorgante, quien adelantará las acciones pertinentes para la restitución del subsidio.
Lo anterior con excepción de los casos certificados por la Alcaldía Municipal o autoridad competente, en los que consten motivos de fuerza mayor o caso fortuito que impidan habitar la respectiva solución habitacional, de conformidad con las normas legales vigentes.
PARÁGRAFO 1o. En caso de incumplimiento de la labor de verificación de la condición de habitación de la vivienda objeto del subsidio por parte de la entidad oferente, la entidad otorgante, antes del 31 de diciembre del año respectivo, informará al ente de control sobre el incumplimiento en la remisión de la información para lo de su competencia.
INCUMPLIMIENTOS Y DISPOSICIONES FINALES.
ARTÍCULO 51. INCUMPLIMIENTO DE LAS CONDICIONES DEL PROYECTO PRESENTADO POR PARTE DE LAS ENTIDADES OFERENTES. <Decreto derogado por el artículo 75 del Decreto 1160 de 2010> Se sujetarán a las sanciones establecidas en el artículo 32 de la Ley 3ª de 1991 o en las normas que la complementen o sustituyan y en las demás normas vigentes.
ARTÍCULO 52. RESTITUCIÓN DEL SUBSIDIO. <Decreto derogado por el artículo 75 del Decreto 1160 de 2010> El subsidio será restituido al Estado cuando el beneficiario transfiera el dominio de la solución de vivienda o deje de residir en ella antes de haber transcurrido cinco (5) años desde la fecha de su asignación, cuando no se haya fundamentado en razones de fuerza mayor. También será restituible el subsidio si se comprueba que existió falsedad o imprecisión en los documentos presentados por el hogar o por el oferente para acreditar los requisitos establecidos para la asignación del subsidio.
ARTÍCULO 53. SANCIONES. <Decreto derogado por el artículo 75 del Decreto 1160 de 2010> El hogar sancionado con la pérdida y restitución del subsidio quedará inhabilitado para presentar nueva solicitud al mismo, por un término de diez (10) años.
No habrá lugar a pérdida y restitución del subsidio en aquellos casos en que previamente se compruebe la existencia de fuerza mayor por parte de la entidad otorgante del subsidio.
Cuando proceda la exclusión de un hogar, una vez se haya entregado el subsidio, la entidad otorgante no podrá sustituir dicha familia y se aplicarán las sanciones establecidas. Tal exclusión solo afectará a la familia y no al grupo postulante.
ARTÍCULO 54. DISPOSICIONES TRANSITORIAS. <Decreto derogado por el artículo 75 del Decreto 1160 de 2010> Los proyectos de vivienda de interés social rural que se encuentren en ejecución o hayan sido objeto de la asignación del subsidio continuarán su trámite normal, hasta la terminación respectiva, con la aplicación de las disposiciones vigentes antes de la publicación del presente decreto.
Los convenios o contratos que se encuentren en ejecución y que se hayan celebrado con anterioridad a la entrada en vigencia del presente decreto, cuyo objeto sea derivado o conexo a la ejecución del subsidio ya adjudicado, igualmente se regirán por las normas vigentes al momento de su celebración.
ARTÍCULO 55. VIGENCIA Y DEROGATORIAS. <Decreto derogado por el artículo 75 del Decreto 1160 de 2010> El presente decreto rige a partir de su publicación y deroga los Decretos 1267 de 2001, 1042 de 2003, 1811 de 2003 y el 3775 de 2004.
Publíquese y cúmplase.
Dado en Bogotá, D. C., a 31 de marzo de 2005.
ÁLVARO URIBE VÉLEZ
El Ministro de Agricultura y Desarrollo Rural,
ANDRÉS FELIPE ARIAS LEIVA.
La Ministra de Ambiente, Vivienda y Desarrollo Territorial,
SANDRA SUÁREZ PÉREZ.