LEY 1942 DE 2018
(diciembre 27)
Diario Oficial No. 50.819 de 27 de diciembre de 2018
PODER PÚBLICO – RAMA LEGISLATIVA
Por la cual se decreta el presupuesto del Sistema General de Regalías para el bienio del 1 de enero de 2019 al 31 de diciembre de 2020.
El Congreso de Colombia
DECRETA:
PRESUPUESTO DE INGRESOS DEL SISTEMA GENERAL DE REGALÍAS.
ARTÍCULO 1o. PRESUPUESTO DE INGRESOS DEL SISTEMA GENERAL DE REGALÍAS. Establézcase el presupuesto de ingresos del Sistema General de Regalías para el bienio del 1 de enero de 2019 al 31 de diciembre de 2020, en la suma de dieciocho billones quinientos sesenta y cuatro mil quinientos noventa y un millones quinientos veintinueve mil novecientos cincuenta y nueve pesos moneda legal ($18.564.591.529.959), según el siguiente detalle:

PRESUPUESTO DE GASTOS DEL SISTEMA GENERAL DE REGALÍAS.
MONTO TOTAL DEL PRESUPUESTO DE GASTOS DEL SISTEMA GENERAL DE REGALÍAS.
ARTÍCULO 2o. PRESUPUESTO DE GASTOS DEL SISTEMA GENERAL DE REGALÍAS. Establézcase el presupuesto de gastos con cargo al Sistema General de Regalías durante el bienio del 1 de enero de 2019 al 31 de diciembre de 2020, en la suma de dieciocho billones quinientos sesenta y cuatro mil quinientos noventa y un millones quinientos veintinueve mil novecientos cincuenta y nueve pesos moneda legal ($18.564.591.529.959).
PRESUPUESTO DE LOS ÓRGANOS DEL SISTEMA GENERAL DE REGALÍAS.
ARTÍCULO 3o. PRESUPUESTO DE LOS ÓRGANOS DEL SISTEMA GENERAL DE REGALÍAS. De conformidad con el monto total de gastos de Sistema General de Regalías definido en el artículo anterior, autorícese gastos con cargo a los Órganos del Sistema General de Regalías, durante el bienio del 1 de enero de 2019 al 31 de diciembre de 2020 por la suma de novecientos veintiocho mil doscientos veintinueve millones quinientos setenta y seis mil cuatrocientos noventa y ocho pesos moneda legal ($928.229.576.498), según el siguiente detalle:
PARÁGRAFO. Si durante la ejecución del presupuesto del Sistema General de Regalías del bienio 2019-2020, es necesario efectuar ajustes a los montos aprobados en gasto funcionamiento en la presente ley, las entidades del Gobierno nacional revisarán la estructura de la Planta de Personal, reduciendo, suprimiendo o refundiendo empleos para ajustarla a las nuevas disponibilidades presupuestales.


PRESUPUESTO DE LAS ASIGNACIONES A LOS FONDOS Y BENEFICIARIOS DEL SISTEMA GENERAL DE REGALÍAS.
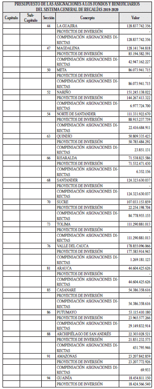
ARTÍCULO 4o. PRESUPUESTO DE LAS ASIGNACIONES A LOS FONDOS Y BENEFICIARIOS DEL SISTEMA GENERAL DE REGALÍAS. De conformidad con el monto del Sistema General de Regalías definido en el artículo segundo, autorícese gastos con cargo a las asignaciones a los fondos y beneficiarios del Sistema General de Regalías durante el bienio del 1 de enero de 2019 al 31 de diciembre de 2020 por la suma de quince billones quinientos sesenta y un mil trescientos treinta y nueve millones cuatrocientos sesenta y nueve mil ciento setenta y cuatro pesos moneda legal ($15.561.339.469.174), según el siguiente detalle:







PARÁGRAFO 1o. Fondo de Compensación Regional. En el SUBCAPÍTULO 3, correspondiente al Fondo de Compensación Regional, se incorporan la totalidad de las autorizaciones máximas de gasto estimadas para el bienio 2019-2020, las cuales se encuentran distribuidas en proyectos regionales 60% y en proyectos locales 40%.
PARÁGRAFO 2o. Recursos destinados para el Ahorro Pensional Territorial. En el SUBCAPÍTULO 5, correspondiente al Ahorro Pensional Territorial, se incorporan la totalidad de los recursos para ahorro pensional territorial estimados para el bienio 2019-2020, los cuales se encuentran distribuidos por Departamentos y Municipios.
Mediante documento Anexo número 3, que hace parte integral de la presente ley, se detallan los recursos asignados para el Ahorro Pensional Territorial en departamentos y en municipios.
PARÁGRAFO 3o. Fondo de Desarrollo Regional. En el SUBCAPÍTULO 2, correspondiente al Fondo de Desarrollo Regional se incorporan la totalidad de las autorizaciones máximas de gasto estimadas para el bienio 2019-2020, las cuales se encuentran distribuidas en proyectos de inversión y en compensación asignaciones directas.
PARÁGRAFO 4o. Mediante documento Anexo número 2, que hace parte integral de la presente ley, se detallan los recursos del Fondo de Compensación Regional distribuidos según lo dispuesto por los numerales 1 y 2 del artículo 34 de la Ley 1530 de 2012.
PRESUPUESTO DE LAS ENTIDADES RECEPTORAS DIRECTAS DE REGALÍAS Y COMPENSACIONES DEL SISTEMA GENERAL DE REGALÍAS.
ARTÍCULO 5o. PRESUPUESTO DE LAS ENTIDADES RECEPTORAS DIRECTAS DE REGALÍAS Y COMPENSACIONES DEL SISTEMA GENERAL DE REGALÍAS. De conformidad con el monto del Sistema General de Regalías definido en el artículo segundo, autorícese gastos con cargo a las entidades receptoras directas de regalías y compensaciones del Sistema General de Regalías, durante el bienio del 1 de enero 2019 al 31 de diciembre de 2020 por la suma de dos billones setenta y cinco mil veintidós millones cuatrocientos ochenta y cuatro mil doscientos ochenta y siete pesos moneda legal ($2.075.022.484.287), según el siguiente detalle:


PARÁGRAFO 1o. Asignaciones directas. En el SUBCAPÍTULO 1 del CAPÍTULO III, correspondiente a las asignaciones directas, se incorporan la totalidad de las autorizaciones máximas de gasto estimadas para el bienio 2019-2020.
PARÁGRAFO 2o. Mediante documento Anexo número 1, que hace parte integral de la presente ley, se detallan los recursos de las asignaciones directas por entidad beneficiaria.
INCORPORACIÓN DE RENDIMIENTOS FINANCIEROS ACTO LEGISLATIVO 04 DE 2017, MAYOR RECAUDO 2017-2018, RENDIMIENTOS FINANCIEROS ANTES DEL ACTO LEGISLATIVO 04 DE 2017, ORO Y CHATARRA DESPUÉS DEL ACTO LEGISLATIVO 01 DE 2015 Y DESAHORRO FAE.
ARTÍCULO 6o. INCORPORACIÓN DE RENDIMIENTOS FINANCIEROS.
1. Incorpórese al Presupuesto de Ingresos del Sistema General de Regalías para el bienio del 1 de enero de 2019 al 31 de diciembre de 2020, la suma de seiscientos treinta y nueve mil doscientos cuatro millones ciento ochenta y siete mil quinientos setenta y ocho pesos moneda legal ($639.204.187.578), provenientes de los rendimientos financieros que se generarán a 31 de diciembre de 2018 en la Cuenta Única del Sistema General de Regalías, así:

2. De los recursos incorporados en el numeral anterior, destínese la suma de cuatrocientos cuarenta y siete mil cuatrocientos cuarenta y dos millones novecientos treinta y un mil trescientos cinco pesos moneda legal ($447.442.931.305) al Presupuesto de las asignaciones a los fondos y beneficiarios, según el siguiente detalle:

3. De los recursos incorporados en el numeral 1 del presente artículo, destínese la suma de ciento noventa y un mil setecientos sesenta y un millones doscientos cincuenta y seis mil doscientos setenta y tres pesos moneda legal ($191.761.256.273) al Presupuesto de Gastos de las Entidades Receptoras Directas de Regalías y Compensaciones del, según el siguiente detalle:

ARTÍCULO 7o. MAYOR RECAUDO 2017-2018.
1. Incorpórese al Presupuesto de Ingresos del Sistema General de Regalías para el bienio del 1 de enero de 2019 al 31 de diciembre de 2020, la suma de tres billones setecientos cuarenta y tres mil trescientos sesenta y ocho millones doscientos noventa y nueve mil ciento once pesos ($3.743.368.299.111), resultante de la diferencia entre el valor presupuesto para este bienio y el valor efectivamente recaudado en la Cuenta Única del Sistema General de Regalías, así:

2. De los recursos incorporados en el numeral anterior, destínese la suma de tres billones setecientos cuarenta y tres mil trescientos sesenta y ocho millones doscientos noventa y nueve mil ciento once pesos ($3.743.368.299.111) al Presupuesto de gastos, según el siguiente detalle:











PARÁGRAFO 1o. Mediante los documentos anexos 4, 5 y 6, que hacen parte integral de la presente ley, se detallan los recursos por departamentos y municipios de las asignaciones directas, del Fondo de Compensación Regional proyectos locales 40% y del Fondo de Ahorro Pensional Territorial, respectivamente.
PARÁGRAFO 2o. El Gobierno nacional mediante decreto hará los ajustes a que haya lugar una vez se realice el cierre y liquidación del presupuesto del bienio 2017-2018.
ARTÍCULO 8o. INCORPORACIÓN RENDIMIENTOS FINANCIEROS ANTES DEL ACTO LEGISLATIVO 04 DE 2017.
1. Incorpórese al Presupuesto de Ingresos del Sistema General de Regalías para el bienio del 1 de enero de 2019 al 31 de diciembre de 2020, la suma de quinientos veintidos mil ochocientos noventa y cuatro millones novecientos nueve mil cuatrocientos sesenta y tres pesos moneda legal ($522.894.909.463), provenientes de los rendimientos financieros que se fueron generados antes de la entrada en vigencia del Acto Legislativo 04 de 2017, así:

2. Los recursos incorporados en el numeral anterior, destínese la suma de quinientos veintidós mil ochocientos noventa y cuatro millones novecientos nueve mil cuatrocientos sesenta y tres pesos moneda legal ($522.894.909.463) al presupuesto de gastos de las entidades receptoras directas de Regalías y Compensaciones del Sistema General de Regalías para el bienio del 1 de enero de 2019 al 31 de diciembre de 2020, para financiar proyectos de gestión del riesgo, adaptación al cambio climático o situaciones de emergencia, según el siguiente detalle:

PARÁGRAFO. En desarrollo de los objetivos del Sistema General de Regalías contenidos en la Ley 1530 de 2012, los recursos de que trata el presente artículo serán distribuidos entre municipios y distritos donde se haya declarado la situación de emergencia o desastre, según la metodología definida por el Sistema Nacional de Gestión del Riesgo de Desastres para su aplicación y asignación.
ARTÍCULO 9o. Incorporación de regalías por comercialización de mineral sin identificación de origen después del Acto Legislativo número 05 de 2011.
1. Incorpórese al Presupuesto de Ingresos del Sistema General de Regalías para el bienio del 1 de enero de 2019 al 31 de diciembre de 2020, la suma de cuarenta y cuatro mil trescientos noventa y nueve millones novecientos ochenta y un mil trece pesos moneda legal ($44.399.981.013), provenientes de los recursos que luego de la entrada en vigencia del Acto Legislativo número 05 de 2011 fueron recaudados por la Autoridad Minera Nacional en virtud de la acreditación de pago de regalías en la exportación de minerales, productos o subproductos mineros de oro, plata y platino, cuyo origen de explotación no haya sido identificado por el exportador por proceder de la comercialización de material de chatarra o en desuso, según el siguiente detalle:

2. Los recursos incorporados en el numeral anterior, se destinarán en el Presupuesto de Gastos de las Entidades Receptoras Directas de Regalías y Compensaciones del Sistema General de Regalías para el bienio del 1 de enero de 2019 al 31 de diciembre de 2020, según el siguiente detalle

PARÁGRAFO. Los recursos a que hace referencia este artículo serán distribuidos y asignados por el Ministerio de Minas y Energía por una única vez, a los beneficiarios de las asignaciones directas y compensaciones.
ARTÍCULO 10. DESAHORRO DEL FONDO DE AHORRO Y ESTABILIZACIÓN (FAE).
1. Incorpórese al Presupuesto de Ingresos del Sistema General de Regalías para el bienio 1 de enero 2019 al 31 de diciembre de 2020, la suma de setecientos treinta y tres mil ciento cincuenta y ocho millones ciento setenta mil cuatrocientos catorce pesos moneda legal ($733.158.170.414), provenientes del desahorro de los saldos a 31 de diciembre de 2018 del Fondo de Ahorro y Estabilización del Sistema General de Regalías, para aquellos departamentos y municipios productores que no alcancen sus niveles de inversión en el presupuesto de los Fondos de Desarrollo Regional, de Compensación Regional y Asignaciones Directas del bienio 2017-2018, así:

2. De conformidad con los ingresos definidos en el numeral anterior, incorpórese al Presupuesto de Gastos de las Entidades receptoras de regalías directas y compensaciones del Sistema General de Regalías para el bienio 1 de enero de 2019 al 31 de diciembre de 2020, la suma de setecientos treinta y tres mil ciento cincuenta y ocho millones ciento setenta mil cuatrocientos catorce pesos moneda legal ($733.158.170.414), según el siguiente detalle:

PARÁGRAFO 1o. El monto a desahorrar del FAE de que trata el presente artículo para cada entidad territorial corresponde a la diferencia entre:
a) la suma de su apropiación en el presente presupuesto por conceptos de asignaciones directas, los Fondos de Desarrollo y Compensación Regional; y b) la apropiación del presupuesto 2017-2018 de asignaciones directas, los Fondos de Desarrollo y Compensación Regional incluyendo los rendimientos financieros del artículo 8o del Decreto 2190 de 2016, los recursos del desahorro FAE del artículo 7o del Decreto 2190 de 2016 y del exceso de ahorro FAE del artículo 5o del Decreto 1103 de 2017.
El monto a desahorrar se distribuirá entre cada entidad territorial beneficiaria de asignaciones directas que presenten diferencias negativas del cálculo de que trata el inciso anterior.
PARÁGRAFO 2o. Mediante documento Anexo número 7, que hace parte integral de la presente ley, se desagregan los recursos de las asignaciones directas por entidad beneficiaria a los que hace referencia el presente artículo.
ARTÍCULO 11. DIFERENDOS LIMÍTROFES.
1. Con el fin de dar cumplimiento a lo establecido en el artículo 153 de la Ley 1530 de 2012, respecto de los diferendos limítrofes entre los departamentos de Boyacá y Norte de Santander en el campo Gibraltar; Vichada y Meta en el campo Capella, y campo Toca, en el departamento de Boyacá, incorpórese al Presupuesto de Ingresos del Sistema General de Regalías para el bienio del 1 de enero de 2019 al 31 de diciembre de 2020, la suma de seis mil ochocientos treinta y cuatro millones cuarenta y cuatro mil seiscientos ochenta y tres pesos ($6.834.044.683), correspondientes a los montos de los recursos retenidos antes de la entrada en vigencia del Sistema General de Regalías, así:

2. De los recursos incorporados en el numeral anterior, destínese la suma de seis mil ochocientos treinta y cuatro millones cuarenta y cuatro mil seiscientos ochenta y tres pesos ($6.834.044.683) al Presupuesto de gastos, según el siguiente detalle:

PARÁGRAFO 1o. Mediante documento Anexo número 8, que hace parte integral de la presente ley, se detallan los recursos de las asignaciones directas por entidad beneficiaria.
PARÁGRAFO 2o. Los proyectos de inversión a financiar con estos recursos, serán aprobados en los OCAD regionales a los que pertenezcan las entidades territoriales involucradas en el diferendo del límite territorial. El correspondiente órgano colegiado que defina y apruebe el proyecto, también designará la entidad pública ejecutora del mismo en los términos del artículo 6o de la Ley 1530 de 2012. En todo caso, esto no se entenderá como una resolución de los diferendos de límites territoriales, los cuales se seguirán rigiendo por las normas vigentes que regulan la materia.
DISPOSICIONES GENERALES.
ARTÍCULO 12. DISPOSICIONES GENERALES. Las disposiciones generales contenidas en el presente título constituyen las normas tendientes a cumplir con los objetivos y fines del Sistema General de Regalías.
ARTÍCULO 13. PROYECCIONES DE VARIABLES. Las variables utilizadas para la elaboración de la Ley de presupuesto del Sistema General de Regalías y la distribución de recursos entre fondos y beneficiarios se mantendrán durante la ejecución del respectivo presupuesto bienal del Sistema General de Regalías.
ARTÍCULO 14. RECURSOS DESTINADOS PARA AHORRO PENSIONAL TERRITORIAL. Con cargo al ahorro pensional territorial de que trata el inciso 4 del artículo 361 de la Constitución Política se podrá financiar el pago de todo tipo de obligaciones pensionales incluidas, mesadas pensionales, cuotas partes pensionales, pago de bonos pensionales y cuotas partes de bonos pensionales. Cuando una entidad territorial que recibe recursos del Sistema General de Regalías para el ahorro pensional territorial cubra sus pasivos pensionales, destinará los recursos excedentes de esta fuente a la financiación de proyectos de inversión de acuerdo con la reglamentación vigente.
ARTÍCULO 15. COMPENSACIONES PARA EL MANTENIMIENTO DEL PROMEDIO DE REGALÍAS DIRECTAS CON CARGO AL FONDO DE DESARROLLO REGIONAL. Con el fin de garantizar los promedios a que hace referencia el parágrafo 2 transitorio del artículo 361 de la Constitución Política, los recursos correspondientes al FONDO DE DESARROLLO REGIONAL que se incorporan en la presente ley, se encuentran desagregados en “PROYECTOS DE INVERSIÓN” y en “COMPENSACIÓN ASIGNACIONES DIRECTAS”.
PARÁGRAFO 1o. El Gobierno nacional, mediante decreto, durante el primer trimestre del primer año del bienio, adelantará la compensación del año 2018. Durante el primer trimestre del segundo año del bienio, el Gobierno nacional, mediante decreto, asignará la compensación correspondiente al año 2019.
PARÁGRAFO 2o. El Departamento Nacional de Planeación en las instrucciones de abono a cuenta de asignaciones directas descontará los valores pendientes de las compensaciones de bienios anteriores.
ARTÍCULO 16. DISTRIBUCIÓN DE LAS APROPIACIONES. Las apropiaciones destinadas para la fiscalización de la exploración y explotación de los yacimientos, el conocimiento y cartografía geológica del subsuelo, serán distribuidas mediante resolución proferida por el Ministro de Minas y Energía. Las apropiaciones destinadas para el funcionamiento del Sistema General de Regalías serán distribuidas mediante resolución proferida por la Comisión Rectora del Sistema.
PARÁGRAFO. Con fundamento en las respectivas resoluciones de que trata este artículo el Departamento Nacional de Planeación adelantará la instrucción de abono a cuenta de estos recursos.
ARTÍCULO 17. CERTIFICADO DE CUPO PRESUPUESTAL DEL MINISTERIO DE HACIENDA Y CRÉDITO PÚBLICO. El certificado a que hace referencia el inciso 1 del artículo 27 de la Ley 1530 de 2012 se entenderá surtido con la publicación de la Ley de Presupuesto del bienio 2019-2020 en el Diario Oficial y de los correspondientes decretos de ajuste presupuestal.
ARTÍCULO 18. PUBLICACIÓN DE CONTRATOS EN EL SECOP. Con el propósito de garantizar la eficacia en la utilización de los recursos del Sistema General de Regalías, las entidades ejecutoras y los beneficiarios de recursos de funcionamiento del mismo, al momento de afectar las apropiaciones en el Sistema de Presupuesto y Giros de Regalías (SPGR), que administra el Ministerio de Hacienda y Crédito Público, deberán publicar el proceso de contratación en el Sistema Electrónico para la Contratación Pública, Secop.
ARTÍCULO 19. DEL GIRO Y LA ORDENACIÓN DEL GASTO. Los órganos y demás entidades designadas como ejecutoras de recursos del Sistema General de Regalías deberán hacer uso del Sistema de Presupuesto y Giro de Regalías (SPGR) para realizar la gestión de ejecución de estos recursos y ordenar el pago de las obligaciones legalmente adquiridas directamente desde la cuenta única del SGR a las cuentas bancarias de los destinatarios finales.
El Ministerio de Hacienda y Crédito Público - Dirección de Crédito Público y Tesoro Nacional adelantará los giros de los recursos del Sistema General de Regalías observando los montos presupuestados, las disponibilidades de recursos en caja existentes y el cumplimiento de los requisitos de giro establecidos en la normatividad vigente.
Corresponde al jefe del órgano respectivo o a su delegado del nivel directivo de la entidad ejecutora designada por el Órgano Colegiado de Administración y Decisión, ordenar el gasto sobre apropiaciones que se incorporan al presupuesto de la entidad en desarrollo de los artículos anteriores, en consecuencia, serán responsables fiscal, penal y disciplinariamente por el manejo de tales apropiaciones, en los términos de las normas que regulan la materia.
ARTÍCULO 20. RENDIMIENTOS FINANCIEROS DE LAS REGALÍAS DIRECTAS Y COMPENSACIONES. Los rendimientos financieros que generen los recursos de Asignaciones Directas en la Cuenta Única del Sistema General de Regalías, serán incorporados en el Presupuesto del SGR del siguiente bienio para cada una de las entidades beneficiarias de que trata el inciso segundo del artículo 361 de la Constitución Política y deberán destinarse a las mismas finalidades definidas por la Constitución Política y la ley. Estos recursos no harán parte de los rendimientos financieros del Sistema General de Regalías.
ARTÍCULO 21. RENDIMIENTOS FINANCIEROS DE LOS RECURSOS DIFERENTES A REGALÍAS DIRECTAS Y COMPENSACIONES. Los rendimientos financieros de los recursos diferentes a regalías directas y compensaciones que se generen en las cuentas maestras de las entidades públicas ejecutoras a la entrada en vigencia de esta Ley, serán de propiedad del Sistema.
Dichos rendimientos deben ser reintegrados por el ejecutor a la Cuenta Única del Sistema en las condiciones y plazos que fije la Dirección de Crédito Público y Tesoro Nacional del Ministerio de Hacienda y Crédito Público para ser presupuestados en la bienalidad siguiente a aquella en la que se generaron.
ARTÍCULO 22. AJUSTES AL ANEXO DE REGALÍAS DIRECTAS Y COMPENSACIONES. Para garantizar el cumplimiento de los giros a las entidades receptoras de asignaciones directas, el Gobierno nacional podrá mediante decreto, adelantar ajustes al anexo de regalías directas y compensaciones del presupuesto del Sistema General de Regalías, cuando el Ministerio de Minas y Energía o la entidad delegada evidencie cambios en el recaudo frente a la apropiación de asignaciones directas y compensaciones y/o cuando se identifiquen nuevos beneficiarios.
Dicho ajuste procederá, siempre y cuando, no se modifique el monto total del Capítulo III de la distribución de que trata el artículo 5 de la presente ley. En caso contrario el Ministro de Hacienda y Crédito Público podrá presentar al Congreso de la República adiciones al presupuesto del Sistema General de Regalías.
PARÁGRAFO. Si los ajustes de que trata el presente artículo conllevan una afectación de los demás componentes del presupuesto, el Gobierno nacional realizará los ajustes pertinentes en el decreto del cierre del bienio.
ARTÍCULO 23. PROYECTOS DE INVERSIÓN EN LOS FONDOS DE CIENCIA, TECNOLOGÍA E INNOVACIÓN, DE DESARROLLO REGIONAL, DEL 60% DE COMPENSACIÓN REGIONAL Y LA CORPORACIÓN AUTÓNOMA REGIONAL DEL RÍO GRANDE DE LA MAGDALENA. El Capítulo del presupuesto de gastos para asignaciones a Fondos de Ciencia, Tecnología e Innovación, de Desarrollo Regional, del 60% de Compensación Regional y la Corporación Autónoma Regional del Río Grande de la Magdalena para el bienio 2019-2020 financiará prioritariamente: i) los proyectos que cuenten con autorización de vigencias futuras por parte de los Órganos Colegiados de Administración y Decisión, y ii) los proyectos que hagan parte del anexo indicativo determinado en el artículo 79 de la Ley 1530 de 2012.
ARTÍCULO 24. CORRECCIONES AL PRESUPUESTO DEL SISTEMA GENERAL DE REGALÍAS. El Gobierno nacional mediante decreto podrá adelantar las correcciones necesarias para enmendar los errores de transcripción, aritméticos o de cálculo en la distribución del presupuesto del Sistema General de Regalías.
ARTÍCULO 25. Autorizaciones de Vigencias Futuras para Órganos y Ejecutores de proyectos financiados con los Fondos de Ciencia, Tecnología e Innovación, de Desarrollo Regional, de Compensación Regional 60%, Asignación Paz y con los recursos de los municipios del Río Grande de la Magdalena y Canal del Dique. Para los efectos previstos en el artículo 94 de la Ley 1530 de 2012, el Consejo Superior de Política Fiscal (Confis) dictará la política fiscal para la autorización de la afectación de presupuestos de posteriores bienalidades del Sistema General de Regalías.
Con base en dicha política, el Confis, aprobará las vigencias futuras de los Órganos del Sistema de que trata el artículo 3 de la presente ley y el monto máximo de recursos que por este concepto soliciten los Órganos Colegiados de Administración y Decisión con cargo a los cupos departamentales en los Fondos de Ciencia, Tecnología e Innovación, de Desarrollo Regional, del 60% del Fondo de Compensación Regional, Asignación Paz y al cupo de la Corporación Autónoma Regional del Río Grande de la Magdalena para la respectiva aprobación de proyectos. La Dirección General del Presupuesto Público Nacional del Ministerio de Hacienda y Crédito Público autorizará las vigencias futuras a los Órganos del Sistema de que trata el artículo 3 de la presente ley y el monto máximo de recursos que soliciten los Órganos Colegiados, de acuerdo con lo aprobado por el Confis.
Los Órganos Colegiados de Administración y Decisión aprobarán, hasta por el monto máximo autorizado, las vigencias futuras solicitadas por las entidades designadas como ejecutoras de los proyectos de inversión que requieran recursos de posteriores bienalidades del Sistema General de Regalías para la recepción de bienes y servicios por fuera de la bienalidad respectiva.
PARÁGRAFO 1o. La Comisión Rectora emitirá concepto previo no vinculante respecto de las solicitudes de vigencias futuras presentadas por los órganos del Sistema General de Regalías, de que trata el artículo 3 de la presente ley.
PARÁGRAFO 2o. Las vigencias futuras autorizadas por los Órganos Colegiados de Administración y Decisión con cargo al monto máximo de recursos que se pueda afectar de posteriores bienalidades, deberán ser reportadas por la Secretaría Técnica del respectivo Órgano Colegiado de Administración y Decisión, a la Dirección General del Presupuesto Público Nacional del Ministerio de Hacienda y Crédito Público para su registro, dentro del mes siguiente a la aprobación correspondiente.
Los proyectos de inversión aprobados con cargo a las vigencias futuras autorizadas serán incluidos obligatoriamente por los Órganos Colegiados de Administración y Decisión en el anexo de proyectos que acompañe el siguiente presupuesto bienal correspondiente.
La ejecución de dichos proyectos tendrá prelación sobre nuevos proyectos aprobados por el Órgano Colegiado de Administración y Decisión respectivo.
PARÁGRAFO 3o. Le corresponde al Órgano Colegiado de Administración y Decisión que apruebe el respectivo proyecto, dar las autorizaciones para la asunción de compromisos en los que se prevea la provisión de bienes y servicios por fuera de la bienalidad respectiva por parte de las entidades ejecutoras, y estas dispongan de apropiación suficiente con cargo al presupuesto del respectivo bienio del Sistema General de Regalías. Los órganos o entidades a quienes el órgano competente les haya distribuido recursos de los que trata el artículo 3 de la presente ley, podrán asumir compromisos en los que se prevea la provisión de bienes y servicios por fuera de la bienalidad respectiva y dispongan de apropiación suficiente con cargo al presupuesto del respectivo bienio del Sistema General de Regalías, previo concepto no vinculante de la Comisión Rectora.
ARTÍCULO 26. AUTORIZACIÓN DE VIGENCIAS FUTURAS PARA PROYECTOS FINANCIADOS CON ASIGNACIONES DIRECTAS Y ASIMILADAS. Para efectos de lo dispuesto por el artículo 97 de la Ley 1530 de 2012, se entiende que el Órgano Colegiado de Administración y Decisión competente para otorgar autorizaciones de vigencias futuras, es el Órgano Colegiado de Administración y Decisión para asignaciones directas y asimiladas del nivel departamental, municipal o distrital, respectivo.
Para la autorización de vigencias futuras se requerirá únicamente la autorización del respectivo Órgano Colegiado de Administración y Decisión, los cuales para impartir dicha aprobación observarán los requisitos que se encuentran en el artículo 97 de la Ley 1530 de 2012, y los demás requisitos del artículo 12 de la Ley 819 de 2003 que le sean aplicables y que no le sean contrarios a las normas que regulan el Sistema General de Regalías.
PARÁGRAFO 1o. Las Corporaciones Autónomas Regionales podrán solicitar autorización de Vigencias Futuras a los Órganos Colegiados de Administración y Decisión previa aprobación de sus Consejos Directivos.
PARÁGRAFO 2o. Le corresponde al Órgano Colegiado de Administración y Decisión que apruebe el respectivo proyecto, dar las autorizaciones para la asunción de compromisos en los que se prevea la provisión de bienes y servicios por fuera de la bienalidad respectiva por parte de las entidades ejecutoras, y estas dispongan de apropiación suficiente con cargo al presupuesto del respectivo bienio del Sistema General de Regalías.
PARÁGRAFO 3o. Las autorizaciones de vigencias futuras y las autorizaciones para la asunción de compromisos en los que se prevea la provisión de bienes y servicios por fuera de la bienalidad respectiva por parte de las entidades ejecutoras, y estas dispongan de apropiación suficiente con cargo al presupuesto del respectivo bienio para los recursos de que trata el parágrafo 10 transitorio del artículo 361 de la Constitución Política serán aprobadas para las entidades territoriales por sus Asambleas o Concejos respectivos y para el caso de las Corporaciones Autónomas Regionales por sus Consejos Directivos.
ARTÍCULO 27. RESPONSABILIDADES DE LOS MIEMBROS DE LOS ÓRGANOS COLEGIADOS DE ADMINISTRACIÓN Y DECISIÓN. Los miembros de los Órganos Colegiados de Administración y Decisión son responsables de evaluar, viabilizar, aprobar, priorizar los proyectos observando la pertinencia de los mismos, su relevancia, el impacto y su coherencia con el Plan Nacional de Desarrollo o los Planes de Desarrollo de las Entidades Territoriales, así como decidir sobre los ajustes que se sometan a su consideración. En consecuencia, los miembros de los Órganos Colegiados de Administración y Decisión no son responsables por la ejecución de los proyectos.
ARTÍCULO 28. CORPORACIONES AUTÓNOMAS REGIONALES. De acuerdo con lo dispuesto en el artículo 39 de la Ley 1530 de 2012, las Corporaciones Autónomas Regionales (CAR), recibirán las compensaciones en los términos establecidos en los artículos 40, 41, 46, 47 y 48 de la Ley 141 de 1994.
El Ministerio de Minas y Energía a través de la Agencia Nacional de Hidrocarburos y la Agencia Nacional de Minería, informarán al Departamento Nacional de Planeación la determinación de los ingresos por este concepto, para que este los incluya dentro de las instrucciones de abono a cuenta que envía al Ministerio de Hacienda y Crédito Público para el respectivo giro, conforme con las disposiciones legales que regulan la materia.
En concordancia con el parágrafo del artículo 80 de la Ley 1530 de 2012, las Corporaciones Autónomas Regionales beneficiarias de recursos del Sistema General de Regalías podrán presentar directamente a sus respectivos Órganos Colegiados de Administración y Decisión, proyectos de inversión que sean concordantes con los planes de acción institucionales aprobados por sus Consejos Directivos, de conformidad con las reglas establecidas para las entidades territoriales en el artículo 25 de la Ley 1530 de 2012. Dichas Corporaciones tendrán derecho a ejecutar directamente los proyectos de inversión financiados con cargo a los recursos que reciben por concepto de asignaciones directas de regalías y compensaciones.
Lo previsto en el artículo 144 de la Ley 1530 de 2012, será aplicable a las Corporaciones Autónomas Regionales beneficiarias de asignaciones directas de regalías y compensaciones que hayan soportado compromisos futuros con cargo a dichos recursos.
ARTÍCULO 29. APROBACIÓN DE PROYECTOS EN LOS FONDOS DEL SISTEMA GENERAL DE REGALÍAS. En desarrollo del mandato previsto en el inciso 8 del artículo 361 de la Constitución Política, los proyectos de inversión susceptibles de financiamiento por los fondos de desarrollo regional y del Fondo de Ciencia, Tecnología e Innovación, para su aprobación y designación de la entidad pública ejecutora deberán ser acordados entre las entidades territoriales y el Gobierno nacional. Sin perjuicio de lo dispuesto en el Acto Legislativo 04 de 2017 para el Fondo de Ciencia, Tecnología e Innovación.
ARTÍCULO 30. DESIGNACIÓN DE EJECUTOR. Para los efectos previstos en el artículo 22 de la presente ley y en concordancia con el parágrafo del artículo 6o y el artículo 28 de la Ley 1530 de 2012 y las normas vigentes, los Órganos Colegiados de Administración y Decisión designarán los ejecutores de los proyectos de inversión y la entidad pública designada para adelantar la contratación de la interventoría considerando, entre otros criterios, la zona de influencia del proyecto y la entidad territorial formuladora del mismo. De conformidad con el parágrafo 5 y parágrafo 10 transitorio del artículo 361 de la Constitución Política el Fondo de Ciencia Tecnología e Innovación (FCTeI) y las entidades beneficiarias se regirán por la normatividad que les sea aplicable.
PARÁGRAFO. Si una entidad designada ejecutora por el Órgano Colegiado de Administración y Decisión no expide el acto administrativo que ordena la apertura del proceso de selección o acto administrativo unilateral que decreta el gasto con cargo a los recursos asignados, a más tardar seis (6) meses después de aprobado el proyecto de inversión, el OCAD liberará automáticamente los recursos para la aprobación de nuevos proyectos de inversión. La secretaría técnica del OCAD reportará estos casos al Sistema de Monitoreo, Seguimiento, Control y Evaluación para que se tengan en cuenta en la medición del desempeño en la gestión de los recursos del SGR y a los órganos de control. Se exceptúan los casos en los que por causas no atribuibles a la entidad designada ejecutora no se logre completar los requisitos previos al inicio de la ejecución en ese plazo, caso en el cual el OCAD podrá prorrogar hasta por doce (12) meses más lo estipulado en este parágrafo. La Comisión Rectora de Regalías reglamentará estos casos.
ARTÍCULO 31. PLANTAS DE PERSONAL DE CARÁCTER TEMPORAL PARA LOS ÓRGANOS DEL SISTEMA GENERAL DE REGALÍAS. Los empleos temporales de las plantas de personal requeridos para el cumplimiento de las funciones de los órganos definidos en el artículo 3o de la Ley 1530 de 2012, son de libre nombramiento y remoción, independientemente del nivel y dependencia a los cuales pertenezcan y tendrán todos los derechos que la ley le otorga.
ARTÍCULO 32. PLANEACIÓN DE LA INVERSIÓN. El presupuesto del Sistema General de Regalías es de caja. La planeación de la inversión, tendrá en cuenta la apropiación vigente, el recaudo efectivo generado por la explotación de recursos naturales no renovables, el plan bienal de caja, y para el caso de asignaciones directas y específicas, los recursos que hayan sido girados contra presupuestos de bienios anteriores con cargo a los cuales no se hayan aprobado proyectos de inversión o la financiación de compromisos de los que trata el artículo 144 de la Ley 1530 de 2012.
ARTÍCULO 33. ADMINISTRACIÓN DEL FIDEICOMISO FAE. Hacen parte de las facultades que se le han otorgado al Banco de la República para la administración del fideicomiso FAE contratar los asesores que el comité de inversiones requiera para el ejercicio de sus funciones. En cada caso, el comité de inversiones establecerá los criterios de selección.
Todos los costos y gastos asociados al proceso de selección y contratación de los asesores se pagarán con cargo a la comisión de administración del fideicomiso FAE.
Tratándose de asesorías en políticas de inversión, los asesores deberán tener experiencia con fondos soberanos en el ámbito internacional.
ARTÍCULO 34. PRESUPUESTO DE CAJA. En concordancia con lo dispuesto en el artículo 75 de la Ley 1530 de 2012, los recursos que se encuentran en la cuenta única del Sistema General de Regalías, se podrán girar, independientemente del periodo fiscal a que correspondan, siempre y cuando, se cuente con apropiación presupuestal vigente al momento del giro.
ARTÍCULO 35. CAJAS MENORES. La constitución y funcionamiento de las cajas menores con cargo a los recursos del Sistema General de Regalías en los órganos encargados de la Fiscalización de la Exploración y Explotación de los Yacimientos, el conocimiento y cartografía geológica del subsuelo, del funcionamiento del Sistema de Monitoreo, Seguimiento, Control y Evaluación y del Sistema General de Regalías, se rigen por el Decreto 1082 de 2015 y demás normas que lo modifiquen o adicionen.
ARTÍCULO 36. PRECIO BASE DE ANTICIPO DE LIQUIDACIÓN. El precio base de anticipo de liquidación de las regalías y compensaciones producto de la explotación de los recursos naturales no renovables, será utilizado con el fin de determinar el monto de los avances o anticipos mensuales que garanticen el flujo oportuno de recursos al Sistema General de Regalías, hasta tanto se realizan las liquidaciones definitivas trimestrales de los precios base de liquidación a los que hace referencia el artículo 15 de la Ley 1530 de 2012.
La Agencia Nacional de Hidrocarburos y la Agencia Nacional de Minería podrán señalar, mediante actos administrativos de carácter general, los términos y condiciones para la determinación de los precios base de anticipo, buscando que con la mejor información disponible dicho precio base no pueda ser inferior en más de un 25% al precio base de liquidación con el que se realizará cada liquidación definitiva, sin perjuicio de lo pactado en los contratos vigentes a la fecha de promulgación de la presente ley.
ARTÍCULO 37. RENDICIÓN DE CUENTAS DE LOS ÓRGANOS COLEGIADOS DE ADMINISTRACIÓN Y DECISIÓN. Rendición de cuentas de los Órganos Colegiados de Administración y Decisión. Con miras a garantizar un adecuado control y seguimiento al Sistema General de Regalías (SGR), los Órganos Colegiados de Administración y Decisión (OCAD) y las entidades beneficiarias de que trata el parágrafo 10 transitorio del artículo 361 de la Constitución Política, rendirán un informe público de gestión anual, el cual especificará el número de proyectos aprobados y no aprobados, los puntajes obtenidos por aquellos, el impacto y la pertinencia de los mismos, así como su estado y ejecución.
ARTÍCULO 38. <Artículo INEXEQUIBLE. Efectos diferidos a partir del 1o. de enero de 2021>
ARTÍCULO 39. EVALUACIÓN DE PROYECTOS POR PARTE DE LOS ÓRGANOS COLEGIADOS DE ADMINISTRACIÓN Y DECISIÓN. Con el propósito de mejorar el proceso de selección, evaluación, viabilidad, priorización y aprobación de proyectos en los Órganos Colegiados de Administración y Decisión, OCAD, la Comisión Rectora implementará un Sistema de Evaluación basado en Puntajes, el cual estará fundamentado en criterios de relevancia, objetividad, pertinencia, sostenibilidad, impacto social y consistencia con las prioridades señaladas por los planes de desarrollo de los respectivos entes territoriales.
EI sistema de evaluación por puntajes consolidará la información pertinente y necesaria para consulta, así como las razones y criterios para la aprobación o desaprobación de los proyectos sometidos a consideración de los OCAD.
ARTÍCULO 40. LÍMITES PARA LA APROBACIÓN DE PROYECTOS EN LA PRIMERA PARTE DE LA VIGENCIA 2019-2020. <Ver Notas del Editor> Durante el año 2019, los órganos colegiados de administración y decisión podrán aprobar proyectos hasta por el 50% de la apropiación de la vigencia 2019-2020 de los ingresos corrientes que les corresponda. Un 10% adicional podrá ser utilizado si la Comisión Rectora determina que existe un mayor recaudo frente a la proyección de ingresos determinada en el Plan de Recursos vigente, una vez finalice el primer trimestre del año 2019.
ARTÍCULO 41. INCENTIVOS CORRESPONDIENTES A RENDIMIENTOS FINANCIEROS. El 30% de los rendimientos financieros generados luego de la expedición del Acto Legislativo 04 de 2017 en las cuentas del Sistema General de Regalías, a excepción de los correspondientes a las asignaciones directas, se destinarán en un 90% a incentivar la producción de municipios en cuyos territorios se exploten los recursos naturales no renovables y en un 10% a los municipios y distritos con puertos marítimos y fluviales por donde se transportan estos recursos o derivados de los mismos, los cuales deberán destinarse a las áreas de influencia de los municipios beneficiarios.
El Ministerio de Minas y Energía, en el marco de sus competencias determinará la metodología para distribuir el recurso entre los municipios productores de recursos naturales no renovables, así como los portuarios, teniendo en cuenta la participación de las asignaciones directas de cada entidad productora y portuaria en el presupuesto de la bienalidad 2019-2020.
La metodología deberá tener en cuenta los siguientes criterios de priorización: producción de recursos no renovables, pobreza rural, economías ilegales, debilidad institucional y conflicto armado.
PARÁGRAFO. Con fundamento en las respectivas resoluciones de distribución que expida el Ministerio de Minas y Energía de que trata este artículo, el Departamento Nacional de Planeación comunicará la Instrucción de Abono a Cuenta de estos recursos de conformidad con la normatividad vigente.
ARTÍCULO 42. RECURSOS DIFERENDOS LIMÍTROFES GENERADOS DESPUÉS DEL 31 DE DICIEMBRE DE 2011. Aquellos recursos provenientes de las regalías y compensaciones, generados en explotaciones ubicadas en zonas respecto de las cuales no se ha definido la jurisdicción de la entidad territorial a la que pertenecen, y que no se hayan distribuido podrán destinarse a financiar los proyectos que en conjunto y concertadamente presenten las entidades involucradas en el diferendo limítrofe. Los proyectos de inversión a financiar con estos recursos, serán aprobados en los OCAD regionales a los que pertenezcan las entidades territoriales involucradas en el diferendo del límite territorial. El correspondiente órgano colegiado que defina y apruebe el proyecto, también designará la entidad pública ejecutora del mismo en los términos del artículo 6o de la Ley 1530 de 2012. En todo caso, esto no se entenderá como una resolución de los diferendos de límites territoriales, los cuales se seguirán rigiendo por las normas vigentes que regulan la materia.
ARTÍCULO 43. OPERACIONES DE CRÉDITO PÚBLICO CON CARGO A LAS ASIGNACIONES DIRECTAS. De conformidad con el inciso 4 del artículo 40 y el artículo 133 de la Ley 1530 de 2012, las entidades territoriales podrán contratar operaciones de crédito público con cargo a las asignaciones directas del Sistema General de Regalías, para lo cual deberán tener en cuenta:
1. Las operaciones de crédito público no podrán superar el periodo de gobierno del respectivo Gobernador o Alcalde. Se exceptúan los proyectos de inversión en aquellos casos en que el Consejo de Gobierno previamente los declare de importancia estratégica, sin que en ningún evento pueda superarse 2 bienalidades que deberá corresponder al plazo máximo de ejecución de los proyectos de inversión.
2. En el último año del periodo de gobierno del respectivo Gobernador o Alcalde, no se podrán celebrar operaciones de crédito público con cargo a los recursos de asignaciones directas.
3. Se podrá celebrar operaciones de crédito público cuando los recursos disponibles de las asignaciones directas no sean suficientes para la financiación de un proyecto de inversión.
Los Órganos Colegiados de Administración y Decisión podrán aprobar el proyecto de inversión financiado con operaciones de crédito público con cargo a las asignaciones directas, siempre y cuando la suma de los recursos aprobados a la entidad por concepto de i) servicio de la deuda, ii) vigencias futuras y iii) el crédito que financiará el respectivo proyecto de inversión, no exceda el 50% de las proyecciones de ingresos del Plan de Recursos para cada año.
ARTÍCULO 44. RECURSOS DE FUNCIONAMIENTO DEL SISTEMA GENERAL DE REGALÍAS (SGR). La Comisión Rectora del Sistema General de Regalías (SGR) con cargo a los recursos de que trata el artículo 11 de la Ley 1530 de 2012, asignará recursos para: i) Fortalecer las labores preventivas, de intervención y disciplinarias ejercidas por la Procuraduría General de la Nación; ii) Incentivar el aprovechamiento y explotación integral de los recursos naturales no renovables en las entidades territoriales, de conformidad con la metodología para la distribución y asignación que defina el Ministerio de Minas y Energía; iii) Fortalecer la capacidad de las Secretarías de Planeación a través de entidades públicas de carácter financiero del orden nacional en la estructuración y formulación de proyectos de inversión en cumplimiento de lo dispuesto en el artículo 197 de la Ley 1753 de 2015 como capital semilla para las mismas y iv) Apoyar las labores de monitoreo, control y licenciamiento ambiental de aquellos proyectos de exploración y explotación de recursos naturales no renovables.
PARÁGRAFO 1o. Las entidades territoriales beneficiarias del incentivo incorporarán los recursos que le sean asignados en su capítulo presupuestal independiente como recursos de funcionamiento y en el presupuesto de gastos como una apropiación adicional de los gastos operativos de inversión.
ARTÍCULO 45. BECAS DE EXCELENCIA DOCTORAL DEL BICENTENARIO. Con el objeto de fomentar el programa de investigación con calidad e impacto se podrán financiar proyectos de inversión con recursos del Fondo de Ciencia, Tecnología e Innovación hasta por doscientos cincuenta mil millones de pesos ($250.000.000.000.00), cuyo objeto corresponda al otorgamiento de “Becas de excelencia doctoral del Bicentenario”. Estos proyectos de inversión podrán ser presentados y ejecutados por el Departamento Administrativo de Ciencia, Tecnología e Innovación (Colciencias) como actor del Sistema Nacional de Ciencia, Tecnología e Innovación.
ARTÍCULO 46. OBRAS DE INFRAESTRUCTURA FÍSICA EN INSTITUCIONES PÚBLICAS DE EDUCACIÓN SUPERIOR. En desarrollo de lo previsto en el inciso primero del artículo 361 de la Constitución Política, se podrán financiar con recursos del Sistema General de Regalías y hasta por un billón de pesos ($1.000.000.000.000.00), proyectos de inversión que tengan por objeto la realización de obras de infraestructura física en Instituciones Públicas de educación superior. Estos proyectos de inversión tendrán el máximo puntaje en el Sistema de Evaluación por Puntajes. Para lo anterior, el Departamento Nacional de Planeación realizará las modificaciones a que haya lugar en dicho Sistema, de lo cual informará a la Comisión Rectora del SGR.
ARTÍCULO 47. SUSPENSIÓN CAUTELAR DE GIROS EN EL PROCEDIMIENTO PREVENTIVO. Con el fin de proteger de manera inmediata los recursos del SGR, el DNP como administrador del Sistema de Monitoreo, Seguimiento, Control y Evaluación (SMSCE) podrá suspender los giros y pagos pendientes con estos recursos, en cualquier etapa del procedimiento preventivo. Esta medida se adoptará mediante acto administrativo motivado y contra el mismo procederá recurso de apelación en el efecto devolutivo.
ARTÍCULO 48. TRANSICIÓN PROYECTOS DE INVERSIÓN FCTEI PRESENTADOS ANTES DEL 18 DE JULIO DE 2018. De conformidad con lo señalado en el artículo 8o de la Ley 1923 de 2018, la transición dispuesta en el referido artículo se aplicará a los proyectos de inversión presentados antes del 18 de julio de 2018 ante el Órgano Colegiado de Administración y Decisión (OCAD) del Fondo de Ciencia, Tecnología e Innovación.
ARTÍCULO 49. CREACIÓN DE COMITÉS CONSULTIVOS. En desarrollo de lo previsto en el inciso 5 del parágrafo 2 del artículo 361 de la Constitución Política los órganos colegiados de administración y decisión podrán crear comités consultivos con el propósito de analizar la conveniencia, oportunidad o solidez técnica, financiera y ambiental de los proyectos de inversión, cuando así lo consideren.
ARTÍCULO 50. PROYECTOS DE INVERSIÓN FORMULADOS EN MGA WEB. Los proyectos de inversión que se encuentren formulados en MGA Web y hayan surtido proceso de viabilización y registro en los Bancos de Proyectos territoriales o en el Banco Único de Proyectos podrán financiarse con recursos del Sistema General de Regalías, una vez se verifique por el Secretario de Planeación o quien haga sus veces, el cumplimiento de los requisitos de viabilización señalados por la Comisión Rectora del SGR. El Gobierno nacional reglamentará lo aquí dispuesto.
PARÁGRAFO. Lo dispuesto en el presente artículo no aplica para los proyectos de inversión a ser financiados con recursos del Fondo de Ciencia, Tecnología e Innovación y del Presupuesto General de la Nación.
ARTÍCULO 51. OBRAS POR REGALÍAS PARA EL DESARROLLO DE LAS ENTIDADES TERRITORIALES. Con el objeto de promover la inversión y desarrollo de las entidades territoriales productoras, y en concordancia con el numeral 8 del artículo 2o de la Ley 1530 de 2012, los representantes legales de las Entidades Territoriales beneficiarias de asignaciones directas, podrán de manera voluntaria y como estrategia de ejecución, acordar con las personas jurídicas que desarrollen actividades de explotación de recursos naturales no renovables que hayan obtenido ingresos brutos superiores a 33.610 UVT, durante la vigencia fiscal anterior, que como parte del pago de las regalías puedan formular, presentar y ejecutar proyectos de inversión, con cargo a las asignaciones directas, previo cumplimiento de las normas que rigen el Sistema General de Regalías, priorizando proyectos de infraestructura en servicios públicos, vías terciarias, proyectos agrícolas, y proyectos productivos.
Una vez aprobado el proyecto en el OCAD, la incorporación en el presupuesto de la entidad territorial se realizará sin situación de fondos.
La persona jurídica deberá depositar de manera gradual en una fiducia mercantil constituida para tal fin, el monto del proyecto aprobado por dicho órgano con destino exclusivo a su ejecución. El depósito se hará a título de pago de las regalías correspondientes indicando el periodo. Si el proyecto o fases del proyecto, según corresponda, no se ejecutan, la persona jurídica deberá cancelar la totalidad de las regalías que le hubiera correspondido pagar como si el proyecto no se hubiese aprobado.
Una vez se realice el cierre del proyecto y sea certificada su completa ejecución por parte del ente territorial beneficiario de la obra, previo concepto de la interventoría o supervisión, su valor total será descontado del pago de las regalías a cargo de la persona jurídica que explota los recursos naturales no renovables y que en el Fideicomiso obre como Fideicomitente.
Para estos efectos, el representante legal de la Entidad Territorial verificará si la persona jurídica ejecutora cumplió con lo aprobado en el OCAD y emitirá las correspondientes certificaciones para que la Agencia Nacional de Minería o la Agencia Nacional de Hidrocarburos, o quien haga sus veces, según corresponda, reconozcan la obra ejecutada como pago de la regalía a cargo de la persona jurídica que explota los recursos naturales no renovables.
Los proyectos podrán ser cofinanciados con otras fuentes de recursos públicos y privados.
PARÁGRAFO 1o. Con miras a garantizar la transparencia en la selección del ejecutor de la obra, toda contratación mediante la cual se pretenda desarrollar los proyectos de que trata el presente artículo, deberá efectuarse a través de la fiducia, en donde el ente territorial figure como beneficiario y la persona jurídica que explote recursos naturales no renovables como Fideicomitente, mediante el régimen de contratación aplicable a esta y en todo caso aplicando los principios de la contratación pública, tales como la selección objetiva, la pluralidad de oferentes, y la libertad de concurrencia.
El Departamento Nacional de Planeación, en coordinación con el Ministerio de Hacienda y Crédito Público, y con el Ministerio de Minas y Energía, determinará la entidad del orden nacional que ejerza la interventoría para los proyectos de que trata el presente artículo, según el tipo de proyecto.
PARÁGRAFO 2o. El Gobierno nacional reglamentará la materia dentro de los seis meses siguientes a la publicación de esta ley.
ARTÍCULO 52. PROYECTOS PARA APOYAR A LAS INSTITUCIONES EDUCATIVAS A CONTAR CON LA CONECTIVIDAD Y ADECUACIONES DE INFRAESTRUCTURA. En desarrollo de lo previsto en el inciso primero del artículo 361 de la Constitución Política, se podrán financiar con recursos del fondo de desarrollo regional y hasta por doscientos mil millones de pesos ($200.000.000.000,00), proyectos de inversión que tengan por objeto apoyar a las instituciones educativas a contar con la conectividad y las adecuaciones de infraestructura para desarrollar una educación basada en la innovación que promueva el desarrollo social y regional, con el objetivo de responder a las necesidades del territorio y cerrar brechas sociales en materia educativa.
ARTÍCULO 53. PROYECTOS DE INVERSIÓN PARA EL FORTALECIMIENTO INSTITUCIONAL Y DE INVESTIGACIÓN DE LAS LES PÚBLICAS. En desarrollo de lo previsto en el inciso primero del artículo 361 de la Constitución Política, se podrán financiar con recursos del Fondo de Ciencia, Tecnología e Innovación y hasta por doscientos cincuenta mil millones de pesos ($250.000.000.000,00), para promover el fomento de la oferta y la demanda de la educación superior pública a través de la financiación de proyectos de inversión encaminados al fortalecimiento institucional y de investigación de las IES públicas de acuerdo con las necesidades territoriales y apuestas productivas regionales; o de proyectos de infraestructura relacionada con ciencia, tecnología e innovación. Estos proyectos podrán ser presentados y ejecutados por el Ministerio de Educación Nacional, como actor del Sistema Nacional de Ciencia, Tecnología e Innovación.
ARTÍCULO 54. PROYECTOS DE INVERSIÓN PARA DOTAR LAS INSTITUCIONES DE EDUCACIÓN PRESCOLAR, BÁSICA Y MEDIA. En desarrollo de lo previsto en el inciso primero del artículo 361 de la Constitución Política, se podrán financiar con recursos del Fondo de Desarrollo Regional y hasta por trescientos mil millones de pesos ($300.000.000.000,00), proyectos de inversión que tengan por objeto dotar las instituciones de educación prescolar, básica y media; así como la construcción de infraestructura nueva, adecuación y mejoramiento de la infraestructura educativa, que podrán ser presentados y ejecutados por el Ministerio de Educación Nacional, con el objetivo de responder a las necesidades regionales y cerrar brechas sociales en materia de educación.
ARTÍCULO 55. RENDICIÓN DE CUENTAS DE LOS PROYECTOS APROBADOS. Las entidades territoriales municipales y departamentales que ejecuten recursos del Sistema General de Regalías, deberán realizar anualmente una rendición de cuentas de los proyectos aprobados, relacionando los recursos ejecutados. El informe deberá presentarse a la ciudadanía, con copia al Congreso de la República en el mes de enero.
Las entidades que ejerzan la secretaría técnica del Fondo de Ciencia, Tecnología e Innovación; del Fondo Desarrollo Regional; del Fondo de Compensación Regional; deberán realizar una rendición de cuentas anualizada que incluya la evaluación técnica de los proyectos de inversión. El informe deberá presentarse cada mes de febrero al Departamento Nacional de Planeación, con copia al Congreso de la República.
ARTÍCULO 56. REGLAMENTACIÓN A LAS OPERACIONES DE CRÉDITO PÚBLICO. El Ministerio de Hacienda y Crédito Público tendrá tres meses para realizar una reglamentación a las operaciones de crédito público base normativa para los presupuestos bianuales del Sistema General de Regalías.
ARTÍCULO 57. DIFERENDOS LIMÍTROFES DE LOS MUNICIPIOS DE TOLEDO Y CUBARÁ Y LOS DE NORTE DE SANTANDER Y BOYACÁ. De conformidad con el artículo 153 de la Ley 1530 de 2012, se apropiarán por concepto de regalías, rendimientos financieros e impuesto de transporte los recursos que corresponden al diferendo limítrofe de los municipios de Toledo y Cubará y los de Norte de Santander y Boyacá donde se encuentra ubicado el campo de gas Gibraltar.
ARTÍCULO 58. IMPACTO REGIONAL DE LOS PROYECTOS DEL FONDO DE DESARROLLO REGIONAL. Los proyectos que se aprueben con recursos del Fondo de Desarrollo Regional, deberán garantizar un verdadero impacto regional. Para lo anterior, el Departamento Nacional de Planeación presentará a aprobación de la Comisión Rectora del Sistema General de Regalías una metodología para este fin, la cual será aplicada por las secretarías técnicas de los OCAD.
Los proyectos de inversión a ser financiados con recursos del Fondo de Desarrollo Regional que sean presentados por dos o más representantes legales de entidades territoriales, tendrán un puntaje adicional de 30 puntos en el Sistema de Evaluación por Puntajes. El Departamento Nacional de Planeación realizará los ajustes al Sistema e informará a la Comisión Rectora del SGR.
ARTÍCULO 59. PROYECTOS DE LOS PLANES NACIONALES Y TERRITORIALES DE DESARROLLO EN EL ANEXO INDICATIVO DE PROYECTOS DE INVERSIÓN. En desarrollo de lo previsto en el parágrafo 2 del artículo 361 de la Constitución Política, los proyectos incorporados en el Plan Nacional de Desarrollo y los planes de desarrollo de las entidades territoriales harán parte del anexo indicativo de proyectos de inversión y serán susceptibles de financiación con cargo al Sistema General de Regalías. Igualmente, podrán hacer parte de los proyectos contenidos en la ley del Plan Nacional de Desarrollo, que se encuentren en el correspondiente banco de programas y proyectos, a la fecha de aprobación de la presente ley.
ARTÍCULO 60. PROYECTOS DE INVERSIÓN DE SECTORES DE AGUA POTABLE O SANEAMIENTO BÁSICO, E INFRAESTRUCTURA EN SALUD. Los proyectos de inversión relacionados con los sectores de agua potable o saneamiento básico, e infraestructura en salud, tendrán un porcentaje relevante en el sistema de evaluación por puntajes, el Departamento Nacional de Planeación realizará las modificaciones a las que haya lugar en el Sistema General de Regalías.
ARTÍCULO 61. PROHIBICIÓN DE PRESENTAR PROYECTOS PARA CAPACITACIÓN. No podrán presentarse y aprobarse proyectos a los distintos fondos o para acceder a los recursos de regalías directas del Sistema General de Regalías que tengan como objeto la realización de capacitaciones.
ARTÍCULO 62. PRONUNCIAMIENTO SECTORIAL. <Artículo modificado por el artículo 152 del Decreto Ley 2106 de 2019. El nuevo texto es el siguiente:> El Departamento Nacional de Planeación presentará para aprobación de la Comisión Rectora del Sistema General de Regalías una propuesta de regulación del pronunciamiento sectorial a los proyectos de inversión que se pretendan financiar con recursos del Sistema General de Regalías.
PARÁGRAFO TRANSITORIO. La propuesta de regulación del pronunciamiento sectorial deberá ser presentada dentro de los (3) meses contados a partir de la expedición del presente decreto ley.
ARTÍCULO 63. Con el propósito de propiciar el desarrollo social y económico de las familias campesinas cafeteras, con cargo a los recursos del Sistema General de Regalías se podrán financiar proyectos para apoyar mecanismos que permitan la estabilización del ingreso de los productores de café colombiano para protegerlos de precios extremadamente bajos.
ARTÍCULO 64. RECURSOS PARA EL PAGO DE OBLIGACIONES POR LA PRESTACIÓN DE TECNOLOGÍAS EN SALUD NO INCLUIDAS EN PLAN DE BENEFICIOS EN SALUD. Los departamentos y distritos, por una única vez y atendiendo lo previsto en el artículo 144 de la Ley 1530 de 2012, podrán atender el pago de las obligaciones derivadas de la prestación de tecnologías en salud no financiadas por el Plan de Beneficios en Salud con cargo a la UPC del régimen subsidiado a la entrada en vigencia de la presente ley, a las Instituciones Prestadoras de Servicios de Salud que hayan surtido el trámite de auditoría y se encuentren debidamente certificadas por el representante legal de la entidad territorial y con el concepto técnico de pertinencia del Ministerio de Salud y Protección Social. La Nación podrá concurrir con recursos para la cofinanciación de estas obligaciones y se privilegiará el pago de los Hospitales Públicos.
ARTÍCULO 65. Podrán destinarse recursos con cargo al Fondo de Desarrollo Regional, por la suma de hasta cien mil millones de pesos ($100.000.000.000) para la protección y recuperación de ciénagas en el país.
ARTÍCULO 66. VIGENCIA. La presente ley rige a partir de la fecha de su publicación y surte efectos fiscales a partir del 1 de enero de 2019.
El Presidente del Honorable Senado de la República,
Ernesto Macías Tovar.
El Secretario General del Honorable Senado de la República,
Gregorio Eljach Pacheco.
El Presidente de la Honorable Cámara de Representantes,
Alejandro Carlos Chacón Camargo.
El Secretario General de la Honorable Cámara de Representantes,
Jorge Humberto Mantilla Serrano
<ANEXO NO INCLUIDO. VER ORIGINAL EN DIARIO OFICIAL No. 50.819 de 27 de diciembre de 2018, PUBLICADO EN LA PÁGINA WEB www.imprenta.gov.co>
REPÚBLICA DE COLOMBIA – GOBIERNO NACIONAL
Publíquese y cúmplase.
Dada en Bogotá, D. C., a 27 de diciembre de 2018.
IVÁN DUQUE MÁRQUEZ
El Ministro de Hacienda y Crédito Público,
Alberto Carrasquilla Barrera.
El Viceministro de Energía del Ministerio de Minas y Energía, encargado de las funciones del despacho de la Ministra de Minas y Energía,
Diego Mesa Puyo.
La Directora del Departamento Nacional de Planeación,
Gloria Amparo Alonso Másmela.