RESOLUCION 20 DE 1997
(Agosto 22)
COMISION DE REGULACION DE AGUA POTABLE Y SANEAMIENTO BASICO
<DEROGADA SEGÚN LO DISPUESTO EN LA RESOLUCIÓN 151 DE 2001>
"Por la cual se establecen los descuentos a realizar en las tarifas de los usuarios de los estratos subsidiables por bienes aportados bajo condición a las entidades prestadoras del servicio público domiciliario de acueducto con menos de ocho mil usuarios".
LA COMISION DE REGULACION DE AGUA POTABLE Y SANEAMIENTO BASICO
En ejercicio de las facultades que le confiere
la Ley 142 de 1994, el Decreto 1524 de 1994 y
Decreto 1738 de 1994
CONSIDERANDO:
Que el numeral 11 del artículo 73 de la Ley 142 de 1994, determina que las Comisiones de Regulación tienen competencia para establecer fórmulas para la fijación de las tarifas de los servicios públicos.
Que la Resolución No. 15 de 1996 de la Comisión de Regulación de Agua Potable y Saneamiento Básico establece los criterios y la metodología con arreglo a los cuales las empresas de servicios públicos domiciliarios de acueducto y alcantarillado con menos de ocho mil usuarios deben determinar las tarifas de prestación del servicio.
Que la citada Resolución estableció una aproximación al Costo Medio de Inversión, dependiendo de la tasa de crecimiento esperada de la demanda y el consumo promedio de los usuarios.
Que los bienes estatales aportados a las empresas de servicios públicos pueden descontarse de las tarifas de consumo básico de los usuarios de los estratos subsidiables a decisión de la entidad que realiza el aporte.
RESUELVE:
Bienes Aportados Bajo Condición: Son los aportes que se realizan a las entidades prestadoras de servicios públicos (y los derechos que dichos aportes confieren sobre el resto del patrimonio), con la condición de que los rendimientos que normalmente habrían producido, no se incluyan en el cálculo de las tarifas que se hayan de cobrar a los usuarios subsidiables en sus consumos básicos.
Estratos subsidiables: Para efectos de la aplicación de los descuentos en las tarifas del consumo básico de que trata esta resolución, se consideran subsidiables los usuarios pertenecientes a los estratos 1 y 2. Se podrá asignar subsidios al estrato 3, en caso de cobertura efectiva del servicio mayor al 95% en la localidad para la cual se hace el aporte.
ARTICULO 2o. AMBITO DE APLICACION. La presente resolución se aplica a las entidades que presten el servicio público domiciliario de acueducto, con menos de 8.000 usuarios, que hayan hecho uso de la tabla contenida en el Artículo 9 de la Resolución No. 15 de 1996 para el cálculo del Costo Medio de Inversión.
ARTICULO 3o. ESTIMACION DE LOS DESCUENTOS. <Artículo modificado por el artículo 1 de la Resolución CRA 78 de 1999. El nuevo texto es el siguiente> El cálculo del descuento en el consumo básico de los estratos subsidiables por efecto de los rendimientos de los Bienes Aportados Bajo Condición, se realizará de la siguiente manera:
Estrato I:
Sl1= RN * PRND * a1
Estrato 2:
Sl2=RN * PRND * a2
Estrato 3:
Sl3= RN * PRND * a3
Donde:
Sl1, Si2 Y Sl3: Descuentos en pesos por metro cúbico a los estratos 1,2 y 3 en el rango de consumo básico.
RN: Son los rendimientos netos en pesos por metro cúbico ($/m3) esperados por los Bienes Aportados Bajo Condición y que se calculan de acuerdo con lo establecido en el Artículo 4 de la Resolución 20 de 1997.
PRND: Porcentaje de los rendimientos netos a distribuir entre los estratos bajos. Corresponde a una decisión local.
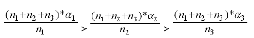
a1 , a2 , a3 : Son las proporciones de los rendimientos netos a distribuir, con destino a los estratos 1, 2 y 3 respectivamente. La suma de los ?i debe ser igual a 1.
Para garantizar la progresividad en los descuentos, los factores se determinan de forma que:

ARTICULO 4o. RENDIMIENTOS NETOS ESPERADOS ($/M3). Las entidades que presten el servicio de acueducto y que para calcular el Costo Medio de Inversión hayan utilizado la tabla de que trata el Artículo 9 de la Resolución No. 15 de 1996, tomaran el Rendimiento Neto Esperado por m3 de la siguiente tabla, utilizando los mismos parámetros de "tasa de crecimiento esperada de la demanda" y "consumo promedio" con los cuales obtuvieron su Costo Medio de Inversión:
| Demanda | m3/usuario/ mes | |||||
| Tasa de crecimiento | 15 - 19 | 20 - 24 | 25 - 29 | 30 - 34 | 35 - 39 | 40 - ... |
| 0% - 1% | 278,81 | 209,11 | 167,29 | 139,41 | 119,49 | 104,55 |
| >1% - 2% | 266,87 | 200,15 | 160,12 | 133,44 | 114,37 | 100,08 |
| >2% - 3% | 253,61 | 190,21 | 152,16 | 126,8 | 108,69 | 95,1 |
| >3% - 4% | 239,22 | 179,42 | 143,53 | 119,61 | 102,52 | 89,71 |
| >4% - 5% | 223,94 | 167,96 | 134,37 | 111,97 | 95,98 | 83,98 |
| >5% - 6% | 208,04 | 156,03 | 124,82 | 104,02 | 89,16 | 78,01 |
| >6% - 7% | 191,78 | 143,84 | 115,07 | 95,89 | 82,19 | 71,92 |
| >7% - 8% | 175,44 | 131,58 | 105,27 | 87,72 | 75,19 | 65,79 |
| >8% -9% | 159,29 | 119,47 | 95,58 | 79,65 | 68,27 | 59,73 |
| >9% - 10% | 143,57 | 107,67 | 86,14 | 71,78 | 61,53 | 53,84 |
| >10% | 128,47 | 96,35 | 77,08 | 64,23 | 55,06 | 48,18 |
PARAGRAFO 1. En el caso de entidades donde parte de sus activos no sean Bienes Aportados Bajo Condición, el valor presentado en esta tabla se multiplicará por el porcentaje que represente el valor de los Bienes Aportados Bajo Condición dentro del valor total del sistema.
PARAGRAFO 2. Aquellas entidades que junto con los Bienes Aportados Bajo Condición deban asumir servicios de deuda, multiplicarán el valor de la tabla, o del resultado anterior en caso de aplicarse, por uno (1) menos el porcentaje que represente el valor de la deuda asumida sobre el valor de los Bienes Aportados Bajo Condición.
PARAGRAFO 3. Para la aplicación de los casos señalados en los parágrafos 1 y 2, las entidades prestadoras deberán contar con y tener a disposición, para los organismos de control y vigilancia, los soportes que llevaron a determinar los porcentajes correspondientes.
ARTICULO 5o. TARIFA DEL CONSUMO BASICO PARA ESTRATOS SUBSIDIABLES. La tarifa (o cargo por unidad) del consumo básico de los estratos subsidiables se calculará así:
![]()
Donde:
CBi: Tarifa para consumo básico del estrato i.
CMLP: Es el Costo Medio de Largo Plazo que se determina como la suma del Costo Medio de Inversión más el Costo Medio de Operación.
Fij: Factor de subsidio aplicado a los estratos 1, 2 y 3 en el rango de consumo básico, estimado según lo indicado en la Resolución No. 15 de 1995.
SIi: Descuento por aportes de inversión social para los estratos subsidiables,
calculados como se estipula en esta Resolución.
ARTICULO 6o. VIGENCIA. La presente resolución rige a partir de la fecha de su publicación, en la gaceta del Ministerio de Desarrollo Económico.
PUBLIQUESE Y CUMPLASE
Dada en Santa Fe de Bogotá, D.C., a los días del mes de de 1997.
ORLANDO CABRALES MARTINEZ
Presidente
FABIO GIRALDO ISAZA
Coordinador General