RESOLUCION 59 DE 1998
(26 DE JUNIO)
COMISION DE REGULACION DE AGUA POTABLE Y SANEAMIENTO BASICO
<DEROGADA SEGÚN LO DISPUESTO EN LA RESOLUCIÓN 151 DE 2001>
Por la cual se reglamenta el cobro que por aportes de conexión pueden realizar las entidades prestadoras de los servicios de Acueducto y Alcantarillado a sus usuarios
LA COMISION DE REGULACION DE AGUA POTABLE Y SANEAMIENTO BASICO
En ejercicio de sus atribuciones legales,
en especial las conferidas por la Ley 142 de 1994,
el Decreto 1524 de 1994 y el Decreto 1738 de 1994, y
CONSIDERANDO:
PRIMERO: Que el numeral 11 del Artículo 73 de la Ley 142 de 1994, determina que las Comisiones de Regulación tienen competencia para establecer fórmulas para la fijación de las tarifas de los servicios públicos.
SEGUNDO: Que la recuperación de los costos del servicio debe realizarse, fundamentalmente, mediante cobros a los usuarios en función de sus consumos, así como en los demás costos directos que debe realizar la empresa a sus nuevos usuarios para garantizar la prestación del servicio, al menos bajo las mismas condiciones que se ofrecen a los usuarios actuales.
TERCERO: Que a pesar de lo anterior, el Artículo 95 de la Ley 142 de 1994, determina la posibilidad de exigir aportes de conexión, los cuales podrán ser parte de la tarifa, existiendo diversas formas para su pago.
CUARTO: Que adicionalmente, el Artículo 90.3 de la Ley 142 de 1994, establece la posibilidad de cobrar un cargo por aportes de conexión el cual podrá cubrir los costos involucrados en la conexión del usuario al servicio. También podrá cobrarse cuando por razones de suficiencia financiera, sea necesario acelerar la recuperación de las inversiones en infraestructura, siempre y cuando estas correspondan a un plan de expansión de costo mínimo.
QUINTO: Que el Artículo 97 de la Ley 142 de 1994, determina la posibilidad de otorgar plazos para amortizar los cargos de conexión.
SEXTO: Que la Comisión estableció mediante las Resoluciones 26 de 1997 y 40 de 1998 el procedimiento y los requisitos para la solicitud de modificación de las fórmulas tarifarias aplicables para los servicios de acueducto, alcantarillado y aseo.
RESUELVE:
ARTICULO 1o. DEFINICIONES. Para los efectos de la presente Resolución se adoptan las siguientes definiciones:
1. Aportes de Conexión: Son los pagos que realiza el suscriptor o suscriptor potencial para conectar un inmueble por primera vez, o para cambiar el diámetro de la acometida, al sistema o red existente. Están compuestos por los Costos Directos de Conexión y por los Cargos por Expansión del Sistema.
2. Cargos por Expansión del Sistema (CES): Son los cobros que la entidad prestadora realiza cuando por razones de suficiencia financiera, sea necesario acelerar la recuperación de las inversiones en infraestructura.
3. Costos Directos de Conexión: Son los costos en que incurre la entidad prestadora del servicio de acueducto o alcantarillado para conectar un inmueble al sistema o red de distribución existente, por concepto de medidor, materiales, accesorios, mano de obra y demás gastos necesarios.
También se deben considerar como Costos Directos de Conexión los de diseño, interventoría, restauración de vías y del espacio público deteriorado por las obras de conexión, así como los Estudios particularmente complejos, en caso de presentarse. En todo caso sólo se podrán incluir, los costos directos relacionados con la conexión por primera vez de un inmueble o grupo de inmuebles.
4. Estudios particularmente complejos: Son todos aquellos estudios necesarios para atender una solicitud de conexión de un inmueble o grupo de inmuebles al servicio que dadas las razones técnicas, económicas y las características particulares del sitio de ubicación de la conexión, son adicionales a los normalmente realizados por la entidad prestadora.
Estos estudios deben estar plenamente justificados por la empresa y a disponibilidad de las verificaciones que realice la Superintendencia de Servicios Públicos Domiciliarios, en cumplimiento de sus funciones de inspección, vigilancia y control.
ARTICULO 2o. AMBITO DE APLICACION. La presente resolución se aplica a todas las entidades prestadoras de los servicios de Acueducto y Alcantarillado, con excepción de los sistemas administrados por organizaciones comunitarias que atienden menos de 2.400 usuarios.
ARTICULO 3o. CALCULO DE LOS COSTOS DIRECTOS DE CONEXION. Las entidades prestadoras de los servicios públicos domiciliarios de acueducto y alcantarillado podrán cobrar al suscriptor por cada inmueble los costos en que incurren para su conexión al sistema o red existentes. Para determinar dichos costos, tendrán en cuenta los siguientes elementos:
a. Un análisis de costos unitarios.
b. Hasta un 20% por concepto de administración, depreciación de los instrumentos y herramientas, imprevistos y utilidad (A.I.U).
c. El medidor, si la empresa lo suministra. En el caso que el usuario o suscriptor lo adquiera con otro proveedor, el mismo deberá cumplir con las especificaciones técnicas establecidas por la empresa. Para la verificación del cumplimiento de dichas especificaciones y la calibración del medidor, la empresa podrá aumentar el costo directo de conexión hasta en el equivalente al 10 % del valor al cual la empresa vende ese tipo de medidor a sus usuarios.
PARAGRAFO. Si una solicitud de conexión implicara estudios particularmente complejos, su costo debidamente justificado, podrá cobrarse al interesado, salvo que se trate de un usuario residencial perteneciente a los estratos 1,2 y 3.
ARTICULO 4o. AUTORIZACION DE LOS CARGOS POR EXPANSION DEL SISTEMA (CES). Excepcionalmente, en aquellos casos en que las entidades prestadoras de los servicios públicos de acueducto y/o alcantarillado, demuestren ante esta Comisión, que se presenta la Situación de Suficiencia Financiera Requerida (SSFR) para acelerar la recuperación de inversiones en infraestructura, podrán establecer Cargos por Expansión del Sistema (CES), siempre y cuando correspondan a un plan de expansión de costo mínimo.
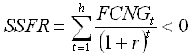
ARTICULO 5o. DETERMINACION DE LA SITUACION DE SUFICIENCIA FINANCIERA REQUERIDA (SSFR). En forma independiente para los servicios de acueducto y alcantarillado, se presenta la Situación de Suficiencia Financiera Requerida (SSFR) para el cobro de los cargos por expansión del sistema (CES), si el valor presente del Flujo de Caja Neto Generado (FCNG) por la entidad prestadora para un horizonte mínimo de 30 años es negativo, cuando se calcule con la misma tasa de descuento ( r ) utilizada por la entidad en el cálculo de sus costos, es decir:

La proyección del flujo de caja se realizará en pesos constantes del año cero.
Donde :
SSFR: Situación de Suficiencia Financiera Requerida
t: Año de proyección
h: Horizonte mínimo de proyección = 30 años
r: Tasa de Descuento
FCNGt: es el flujo de caja neto generado en el año t, calculado como:
FCNGt = Yt +Yct +Yat - Got - Gat - SDat - SDct - It
Donde:
Yt = Ingresos por el servicio, calculados como la suma de los ingresos por consumo y por cargo fijo, a partir de las tarifas planeadas para cada período y la proyección de usuarios y consumos.
Yct = Ingresos financieros incluidos los desembolsos por créditos obtenidos para financiar las inversiones.
Yat = Aportes esperados de entidades gubernamentales de los cuales exista certeza de que se van a recibir.
Got = Gastos de funcionamiento para operación del sistema, calculados a partir de la demanda proyectada y el Costo Medio de Operación (CMO), resultante de la aplicación de la metodología de costos. Se excluyen los gastos de operación y mantenimiento cobrados por separado: gastos de las acometidas domiciliarias, costos de medidores, gastos de personal de conexión, costos de reconexión, reinstalación, reparación de micromedidores, etc.
Gat = Gastos de administración, determinados con los usuarios proyectados y correspondientes al Costo Medio de Administración (CMA), resultante de la aplicación de la metodología de costos.
SDat = Servicio de deuda proyectado sobre las obligaciones existentes a la fecha de realizar el cálculo.
SDct = Servicio de deuda nueva destinada a inversión en infraestructura, determinado con las características de financiación estipuladas en el artículo 6o. de esta resolución.
It = Egresos de cada año por las inversiones previstas dentro del plan de inversiones presentado en el estudio de costos.
PARAGRAFO 1o. El horizonte mínimo de proyección (h) será de 30 años, pero las entidades prestadores que atienden menos de 8000 usuarios, podrán utilizar un horizonte de 15 años.
PARAGRAFO 2o. La proyección debe incluir una financiación del valor de las inversiones planeadas en condiciones no más exigentes que las establecidas en el Artículo 6o. de esta Resolución.
PARAGRAFO 3o. Para la estimación de la Situación de Suficiencia Financiera Requerida, la empresa deberá considerar:
1. Una eficiencia mínima en el recaudo del 85%.
2. Las tarifas a utilizar deben ser las correspondientes a las metas resultantes de aplicar las metodologías establecidas por ésta Comisión en las Resoluciones Nos. 8 y 9 de 1995 y No. 15 de 1996 y aquellas que las modifiquen o adicionen, y que hayan sido aprobadas por la Junta Directiva de la entidad y notificadas a la Comisión y la Superintendencia de Servicios Públicos Domiciliarios.
PARAGRAFO 4o. Dentro de las proyecciones con base en las cuales se calcula la Situación de Suficiencia Financiera Requerida se debe incluir lo previsto en el estudio de costos presentado a la Comisión, teniendo en cuenta además, las otras condiciones mencionadas en el presente artículo. Estas proyecciones deben ir certificadas por el Representante Legal de la empresa y presentarse ante la Comisión en el formato establecido en el anexo 1, que forma parte integral de esta Resolución.
ARTICULO 6o. CONDICIONES FINANCIERAS DEL SERVICIO DE LA DEUDA NUEVA. Las condiciones financieras más exigentes que se pueden contemplar son:
1. Plazo total mínimo de 10 años.
2. Período de gracia sobre capital: mínimo de 2 años.
3. Tasa de interés efectiva anual: DTF+5%. El DTF se calculará como el DTF vigente reportado por la Superintendencia Bancaria para el trimestre en que se realizan las proyecciones, descontado por la tasa de inflación esperada para ese mismo año.
ARTICULO 7o. ESTABLECIMIENTO DEL CARGO POR EXPANSION DEL SISTEMA (CES). El cargo por expansión del sistema (CES) a cobrar a cada usuario de cada servicio, será el valor absoluto resultante del siguiente cálculo:

Donde:
SSFR: Es la Situación de Suficiencia Financiera Requerida que se calcula como se indica en el Artículo 5o. de la presente Resolución.
Ut : Nuevos usuarios del servicio a conectar en el período t.
r: Tasa de Descuento
PARAGRAFO 1o. Las entidades podrán cobrar los CES calculados de la forma indicada en este artículo, desde el momento en que demuestren la Situación de Suficiencia Financiera Requerida y ésta sea aprobada por la Comisión.
PARAGRAFO 2o. La vigencia de los CES corresponderá a la del horizonte mínimo de proyección utilizado por la empresa, sin perjuicio de ser suspendidos o modificados como resultado de la revisión de las fórmulas tarifarias que realice la Comisión según lo establece el parágrafo primero del artículo 87.9 y el procedimiento señalado de conformidad con el artículo 126 de la Ley 142 de 1994 en las Resoluciones 26 de 1997 y 40 de 1998.
PARAGRAFO 3o. Si una vez autorizada la aplicación de los CES, la entidad prestadora requiere modificar su valor, deberá realizar nuevamente las estimaciones y demostrar la Situación de Suficiencia Financiera Requerida ante la Comisión.
PARAGRAFO 4o. La vigencia de los primeros CES que autorice la Comisión a partir de la entrada en aplicación de esta Resolución, no superará el período máximo para alcanzar los factores de contribución, tarifas y subsidios definido en el artículo 1o. de la Ley 286 de 1996, que corresponde a diciembre 31 del 2.001.
ARTICULO 8o. CRITERIO DE SOLIDARIDAD. Para la definición de los cargos por expansión del sistema, las entidades prestadoras de los servicios podrán aplicar los factores de sobreprecio y subsidios señalados en los Artículos Nos. 89.1 y 99.6 de la Ley 142 de 1994.
ARTICULO 9o. VIGENCIA DE LOS COBROS ACTUALES. Para no afectar su situación de suficiencia financiera, las entidades prestadoras podrán continuar efectuando cobros por derechos de conexión, derechos de red, cargos de red, derechos de suministro o matrícula, entre otros, distintos a los costos directos de conexión definidos en el numeral 3. del Artículo 1. de esta Resolución, siempre y cuando hagan parte del monto estimado en el porcentaje del plan de inversiones a recuperar por aportes de conexión, calculado de conformidad con el Artículo 9o. de la Resolución 08 de 1995.
Los cobros a los que se refiere este Artículo podrán continuar realizándose hasta el 31 de diciembre de 1998. A partir del 1o. de enero de 1999, las entidades prestadoras podrán cobrar Cargos por Expansión del Sistema (CES), en los términos definidos en esta Resolución, únicamente si demuestran ante la CRA la Situación de Suficiencia Financiera Requerida, SSFR, definida en el artículo 7 de la presente Resolución.
PARAGRAFO 1o. A partir de la entrada en vigencia de la presente Resolución, las entidades prestadoras que consideren necesario acelerar la recuperación de las inversiones podrán cobrar los Cargos por Expansión del Sistema (CES), siempre y cuando demuestren ante la CRA la Situación de Suficiencia Financiera Requerida, SSFR.
PARAGRAFO 2o. Cuando las entidades prestadoras hayan convenido con anterioridad a la vigencia de la presente Resolución, cobros por conectar usuarios al servicio, distintos de los Costos Directos de Conexión que hayan sido expresamente aceptados por el propietario del inmueble o grupo de inmuebles urbanos, suburbanos o urbanizables, los podrá seguir cobrando en los términos pactados.
ARTICULO 10. ESTANDARIZACION DE DENOMINACIONES DE COBROS POR CONEXION. Una vez cumplido el plazo establecido en el inciso segundo del Artículo 9. de la presente Resolución, deberán eliminarse los cobros denominados "Derechos de Conexión", "Derechos de Red", "Cargos de Redes", "Derechos de Suministro" o "Matrícula", entre otros. A partir del 1 de enero de 1999, los cobros que realicen las entidades prestadoras por conectar un inmueble o grupo de inmuebles solo podrán ser denominados "Costos Directos de Conexión" o "Cargos por Expansión del Sistema".
ARTICULO 11. PROYECTOS DE INVERSION QUE SE PUEDEN INCLUIR. Los proyectos de inversión que se pueden incluir en el Plan de Inversiones, al determinar la Situación de Suficiencia Financiera Requerida, deben estar sustentados en sus respectivos estudios de factibilidad, corresponder a la alternativa de mínimo costo y al contenido estructural del componente general de los Planes de Ordenamiento Territorial de que trata el artículo 12o. de la Ley 388 de 1997, en lo relacionado con la identificación de la naturaleza de las infraestructuras y redes de servicios.
PARAGRAFO. Mientras la entidad territorial culmina el primer proceso de elaboración y aprobación del Plan de Ordenamiento Territorial a partir de la entrada en vigencia de la Ley 388 de 1997, los proyectos de inversión que incluyan las entidades prestadoras al determinar la Situación de Suficiencia Financiera Requerida, corresponderán únicamente a la alternativa de mínimo costo y contarán con sus respectivos estudios de factibilidad.
Una vez se cuente con el Plan de Ordenamiento Territorial, la entidad prestadora deberá actualizar, si hay cambios que así lo ameriten, la inclusión de proyectos de inversión para modificar el plan de inversiones y presentar la solicitud de modificación de fórmulas tarifarias en los términos señalados en el artículo décimo segundo de la presente Resolución.
ARTICULO 12. FINANCIACION DE LOS APORTES DE CONEXION A LOS USUARIOS. Las entidades prestadoras podrán otorgar plazos para amortizar los aportes de conexión en los términos del Artículo 97 de la Ley 142 de l994. En el caso de los estratos 1, 2 y 3 este plazo es de carácter obligatorio y no podrá ser inferior a tres (3) años, excepto por renuncia expresa del usuario.
Para los estratos 1, 2 y 3 los aportes de conexión podrán ser cubiertos por entidades gubernamentales de cualquier orden a través de aportes presupuestales para su financiación. Si existe un saldo a cubrir por parte del usuario, se deben aplicar los plazos mencionados.
PARAGRAFO. Las entidades prestadoras no están obligadas a conceder los mencionados plazos para amortizar los aportes de conexión, cuando se trate de urbanizadores de viviendas o inmuebles así estos correspondan a los estratos 1, 2 y 3.
ARTICULO 13. ATENCION DE SOLICITUDES DE MODIFICACION DE FORMULAS TARIFARIAS. Las entidades prestadoras de los servicios de acueducto y alcantarillado que al aplicar lo dispuesto en esta Resolución y demás normas concordantes, encuentren razones que ameriten la no aplicación de alguno de los parámetros o fórmulas que ellas establecen, podrán tramitar la solicitud de modificación de fórmulas tarifarias a esta Comisión en los términos señalados en las Resoluciones 26 de 1997 y 40 de 1998.
PARAGRAFO 1o. Las entidades prestadoras que incluyeron un porcentaje a descontar del plan de inversiones por tarifas de conexión (C), en el cálculo del CMI, y encuentren que se modifica este costo de referencia, podrán solicitar la modificación de fórmulas tarifarias reglamentada por esta Comisión, la cual deberá venir acompañada de los respectivos estudios o documentos que la sustenten de conformidad con lo establecido en el artículo 124.2 de la Ley 142 de 1994.
PARAGRAFO 2o. Si la solicitud de modificación de fórmulas tarifarias corresponde a la eliminación de los límites de aumento tarifario establecidos en las Resoluciones 23 y 25 de 1996, la empresa debe justificar ante la Comisión una Situación de Suficiencia Financiera distinta a la señalada en el artículo 5o. de la presente Resolución y en la cual se muestre claramente el déficit en el flujo de fondos generado por el rezago tarifario entre los ingresos por tarifas actuales y las tarifas meta a alcanzar al final del período de transición establecido por el artículo 1o. de la Ley 286 de 1996.
ARTICULO 14. VIGENCIA. La presente resolución rige a partir de la fecha de su publicación en la Gaceta del Ministerio de Desarrollo Económico, y deroga expresamente la Resolución 28 de 1997 y las demás disposiciones que le sean contrarias.
PUBLIQUESE Y CUMPLASE.
Dada en Santa Fe de Bogotá, D.C., a los 26 de Junio de 1.998
CARLOS JULIO GAITAN GONZALEZ
Ministro de Desarrollo Económico
GUSTAVO JIMENEZ PERDOMO
Coordinador General