DatosDATOS
BúsquedaBUSCAR
ÍndiceÍNDICE
MemoriaDESCARGAS
DesarrollosDESARROLLOS
ModificacionesMODIFICACIONES
ConcordanciasCONCORDANCIAS
NotificacionesNOTIFICACIONES
Actos de trámiteACTOS DE TRÁMITE
AbogacíaABOGACÍA
VideosVIDEOS

RESOLUCIÓN CRA 709 DE 2015

(febrero 26)

Diario Oficial No. 49.449 de 10 de marzo de 2015

COMISIÓN DE REGULACIÓN DE AGUA POTABLE Y SANEAMIENTO

<NOTA DE VIGENCIA: Resolución derogada por el artículo 15 de la Resolución 900 de 2019>

Por la cual se regulan las condiciones generales de los acuerdos de barrido y limpieza, que los prestadores suscriban y se establece una metodología que permita calcular y asignar geográficamente los kilómetros de barrido y limpieza que corresponden a cada prestador en los casos en que se deben resolver controversias suscitadas entre los prestadores del servicio público de aseo que realicen la actividad de barrido y limpieza de vías y áreas públicas en un área de confluencia.

LA COMISIÓN DE REGULACIÓN DE AGUA POTABLE Y SANEAMIENTO BÁSICO,

en ejercicio de las facultades legales, en especial de las conferidas por los artículos 73 y 74 de la Ley 142 de 1994, la Resolución CRA 351 de 2005, los Decretos 2882 de 2007, 2981 de 2013 y,

CONSIDERANDO:

Que el artículo 365 de la Constitución Política dispone que los servicios públicos sean inherentes a la finalidad social del Estado y que es su deber asegurar la prestación eficiente a todos los habitantes del territorio nacional;

Que el artículo 370 superior prevé que corresponde al Presidente de la República señalar, con sujeción a la ley, las políticas generales de administración y control de eficiencia de los servicios públicos domiciliarios y ejercer, por medio de la Superintendencia de Servicios Públicos Domiciliarios, el control, la inspección y vigilancia de las entidades que los presten;

Que el artículo 68 de la Ley 142 de 1994 establece que el señalamiento de tales políticas, se podrá delegar en las Comisiones de Regulación;

Que en cumplimiento de lo anterior, el Presidente de la República mediante Decreto 1524 de 1994, delegó en las Comisiones de Regulación, la función de señalar políticas generales de administración y control de eficiencia en los servicios públicos domiciliarios;

Que el artículo 2o de la Ley 142 de 1994 dispone que el Estado intervendrá en los servicios públicos en el marco de lo dispuesto en los artículos 334, 336, y 365 a 370 de la Constitución Política, entre otras razones, para asegurar su prestación eficiente;

Que en igual sentido, el artículo 11 ibídem, dispone que para cumplir con la función social de la propiedad, pública o privada, las entidades que presten servicios públicos tienen, entre otras, la obligación de asegurar que el servicio se preste en forma continua y eficiente, y sin abuso de la posición dominante;

Que el numeral 18 del artículo 14 de la Ley 142 de 1994, establece que la regulación de los servicios públicos domiciliarios es la facultad de dictar normas de carácter general o particular en los términos de la Constitución y de la citada ley, para someter la conducta de las personas que prestan los servicios públicos domiciliarios a las reglas, normas, principios y deberes establecidos por la ley y los reglamentos;

Que el artículo 73 de la Ley 142 de 1994, establece como función general de las Comisiones de Regulación la de “regular los monopolios en la prestación de los servicios públicos, cuando la competencia no sea, de hecho, posible; y, en los demás casos, la de promover la competencia entre quienes presten servicios públicos, para que las operaciones de los monopolistas o de los competidores sean económicamente eficientes, no impliquen abusos de la posición dominante, y produzcan servicios de calidad…” ;

Que el artículo 74, señala las funciones especiales de las comisiones de regulación y de manera específica para la Comisión de Regulación de Agua Potable y Saneamiento Básico en el numeral 74.2 literal a), establece la de promover la competencia entre quienes presten los servicios de agua potable y saneamiento básico o regular los monopolios en la prestación de tales servicios, cuando la competencia no sea posible, todo ello con el propósito de que las operaciones de los monopolistas y de los competidores sean económicamente eficientes, se prevenga el abuso de posiciones dominantes y se produzcan servicios de calidad. La comisión podrá adoptar reglas de comportamiento diferencial, según la posición de las empresas en el mercado;

Que el artículo 1o de la Ley 155 de 1959 y los artículos 46 y 47 del Decreto 2153 de 1992, establecen aquellos acuerdos que se consideran contrarios a la libre competencia;

Que para efectos de la presente resolución, se entenderá como información sensible las estrategias de negocio, las inversiones, los gastos en publicidad, los costos, entre otros. También será información sensible la relacionada con los canales de distribución y las estrategias de mercadeo. En general se considerará como sensible toda información que sea estratégicamente útil para un agente en el mercado;

Que los artículos 106 y siguientes de la Ley 142 de 1994 contemplan el procedimiento que debe ser adelantado en todas aquellas actuaciones de las autoridades que tengan el propósito de producir actos administrativos unilaterales cuyo objeto sea el cumplimiento del régimen de servicios públicos, y que no haya sido objeto de normas especiales, sin perjuicio de la aplicación de las normas procedimentales a que haya lugar;

Que de igual forma, el numeral 24 del artículo 14 ibídem, modificado por el artículo 1o de la Ley 632 de 2000 y por el artículo 1o de la Ley 689 de 2001, determina que el servicio público de aseo “es el servicio de recolección municipal de residuos, principalmente sólidos” y define que “también se aplicará esta ley a las actividades complementarias de transporte, tratamiento, aprovechamiento y disposición final de tales residuos”;

Que el Decreto 2981 de 2013 en su artículo 2 define cuneta de la siguiente forma: “Zanja, revestida o no, ubicada a cada lado de las vías, destinadas a facilitar el drenaje superficial longitudinal de las mismas y que son objeto de barrido o limpieza por parte del prestador del servicio de aseo en su área de atención”.

Que el Decreto 2981 de 2013, “Por el cual se reglamenta la prestación del servicio público de aseo”, derogó los Decretos 1713 de 2002, 1140 de 2003 y 1505 de 2003 y el capítulo I del título IV del Decreto 605 de 1996, así como todas las disposiciones que le sean contrarias;

Que el artículo 12 del Decreto 2981 de 2013 dispone que salvo en los casos expresamente consagrados en la Constitución Política y en la ley, existe libertad de competencia en la prestación del servicio público de aseo y sus actividades complementarias, para lo cual, quienes deseen prestarlo, deberán adoptar cualquiera de las formas señaladas en el artículo 15 de la Ley 142 de 1994;

Que de conformidad con el artículo 14 del mismo decreto, se consideran como actividades del servicio público de aseo, las siguientes: recolección, transporte, barrido, limpieza de vías y áreas públicas, corte de césped, poda de árboles en las vías y áreas públicas, transferencia, tratamiento, aprovechamiento, disposición final, y lavado de áreas públicas;

Que el artículo 52 ibídem señala que: “Las labores de barrido y limpieza de vías y áreas públicas son responsabilidad de la persona prestadora del servicio público de aseo en el área de prestación donde realice las actividades de recolección y transporte”;

Que el parágrafo 2 del mencionado artículo señala que “Cuando en un área confluya más de un prestador, estos serán responsables de la actividad de barrido y limpieza en proporción al número de usuarios que cada prestador atienda en dicha área. La Comisión de Regulación de Agua Potable y Saneamiento Básico determinará la metodología de cálculo de los kilómetros a barrer por cada prestador en función del número de usuarios que cada uno atienda en el área de confluencia”;

Que como consecuencia de lo anterior, el artículo 53 ibídem dispone que: “Las personas prestadoras deberán suscribir acuerdos de barrido y limpieza en los que se determinen las vías y áreas públicas que cada persona prestadora vaya a atender en el respectivo municipio, (…)”;

Que en el mencionado artículo, se establece que “En el evento que habiéndose firmado el acuerdo de que trata el presente artículo, ingrese o se retire una determinada persona prestadora dentro del área de confluencia, se deberá revisar y ajustar el acuerdo de barrido celebrado, para lo cual los prestadores tendrán un plazo máximo de tres (3) meses contados a partir del ingreso o retiro del prestador, so pena de la imposición de las sanciones, por parte de la Superintendencia de Servicios Públicos Domiciliarios, en ejercicio de la competencia establecida en el artículo 81 de la Ley 142 de 1994”;

Que el parágrafo del citado artículo 53 dispone que “En el evento que no se logre un acuerdo entre las personas prestadoras en los términos previstos en el presente artículo, cualquiera de ellas podrá solicitar a la Comisión de Regulación de Agua Potable y Saneamiento Básico la resolución de dicha controversia, en los términos del artículo 73, numeral 73.9, de la Ley 142 de 1994”;

Que el numeral 9 del artículo 73 de la Ley 142 de 1994, señala como una de las funciones y facultades generales de las Comisiones de Regulación la de: “Resolver, a petición de cualquiera de las partes, los conflictos que surjan entre empresas, y que no corresponda decidir a otras autoridades administrativas, acerca de quién debe servir a usuarios específicos, o en qué regiones deben prestar sus servicios. La resolución que se adopte estará sujeta al control jurisdiccional de legalidad. La resolución debe atender, especialmente, al propósito de minimizar los costos en la provisión del servicio”;

Que dado lo anterior, es competencia de esta Comisión de Regulación, la de establecer la metodología de cálculo de los kilómetros de barrido y limpieza por cada prestador, en función del número de usuarios que cada uno atienda en el área de confluencia;

Que en este sentido, y de acuerdo con lo dispuesto en el artículo 54 del Decreto 2981 de 2013, la frecuencia mínima de barrido y limpieza del área de prestación a cargo del prestador será de dos (2) veces por semana para municipios y/o distritos de primera categoría o especiales, y de una (1) vez por semana para las demás categorías establecidas en la ley. Así mismo, el establecimiento de mayores frecuencias definidas en el PGIRS para la totalidad del área urbana del municipio y/o distrito o partes específicas de la misma, deberá ser solicitado por el ente territorial al prestador;

Que aunado a lo anterior, el parágrafo del artículo 54 citado, indica que “el prestador de la actividad de recolección y transporte de residuos sólidos deberá garantizar la frecuencia mínima de barrido y limpieza, o la que determine el PGIRS en toda el área de prestación a su cargo”;

Que de conformidad con el artículo 88 del mencionado decreto, “Los municipios y distritos, deberán elaborar, implementar y mantener actualizado un plan municipal o distrital para la gestión integral de residuos o desechos sólidos en el ámbito local y/o regional según el caso, en el marco de la gestión integral de los residuos, el presente decreto y la metodología para la elaboración de los PGIRS”;

Que el parágrafo 3 del mencionado artículo señala que: “Los Ministerios de Vivienda, Ciudad y Territorio y Ambiente y Desarrollo Sostenible deberán adoptar la metodología para la elaboración de los PGIRS. Mientras se expide la nueva metodología, se seguirá aplicando la Resolución 1045 de 2003, en lo que no sea contrario a lo dispuesto en el presente decreto”;

Que mediante la Resolución 1045 de 2003, expedida por el entonces Ministerio de Ambiente, Vivienda y Desarrollo Territorial, se adoptó la metodología para la elaboración de los Planes de Gestión Integral de Residuos Sólidos, PGIRS, y se tomaron otras determinaciones. Es así, como el numeral 5.4.3 del anexo de la citada resolución establece aspectos relacionados con el componente de barrido y limpieza;

Que el parágrafo 1 de la Resolución CRA 351 de 2005, señala que: “Los kilómetros de cuneta, cuyo barrido deberá garantizar cada prestador del servicio de recolección y transporte, serán proporcionales al número de suscriptores atendidos por cada uno de ellos”;

Que en este mismo sentido, el artículo 31 de la mencionada resolución establece que: “El área de barrido y limpieza de vías y áreas públicas que corresponde a cada prestador puede o no coincidir con el área geográfica de prestación del servicio de recolección y transporte, en los eventos en que exista más de un prestador en el mismo municipio. En tal caso, la responsabilidad por la prestación del barrido y limpieza de la totalidad de las vías y áreas públicas corresponde conjuntamente a todos los prestadores de dicho servicio, quienes podrán acordar los mecanismos a que haya lugar para garantizar la efectiva prestación del servicio en toda el área urbana del respectivo municipio;

En tal sentido, deberán delimitar claramente las vías y áreas públicas del suelo urbano cuyo barrido y limpieza son responsabilidad de cada uno de los prestadores así como las frecuencias correspondientes, señalar el responsable de la recolección y transporte de dichos residuos, y la forma de distribuir los costos correspondientes entre prestadores”;

Que teniendo en cuenta que los acuerdos de barrido a los que lleguen las partes, se rigen por las normas del derecho privado, la CRA adelantará actuación administrativa tendiente a resolver dicha controversia, únicamente cuando medie petición de parte y en el caso en que las mismas no hayan logrado un acuerdo;

Que mediante la Resolución CRA 690 de 2014 “por la cual se presenta el proyecto de Resolución “Por la cual se establece una metodología que permita calcular los kilómetros de barrido que corresponden a cada prestador en los casos en que se deben resolver controversias suscitadas entre los prestadores del servicio público de aseo que realicen la actividad de barrido y limpieza de vías y áreas públicas en una misma área de confluencia”, la cual fue publicada en el Diario Oficial número 49.229 de 31 de julio de 2014, se dio cumplimiento a lo establecido en el Decreto 2696 de 2004;

Que el plazo de participación ciudadana fue de 30 días hábiles (hasta el 15 de septiembre de 2014), en el cual esta Comisión de Regulación recibió por correo electrónico, y por medio escrito, cinco comunicaciones con un total de treinta y tres (33) observaciones, reparos y sugerencias, de las cuales 75% fueron enviadas por empresas prestadoras, el 9,38% por el gremio de las empresas de servicios públicos y el 15,62% por una entidad pública del sector;

Que las observaciones recibidas fueron analizadas por parte de esta Comisión de Regulación con el fin de determinar su inclusión en la elaboración de la presente resolución;

Que el artículo 7o de la Ley 1340 de 2009 señala: “Además de las disposiciones consagradas en el artículo 2o del Decreto 2153 de 1992, la Superintendencia de Industria y Comercio podrá rendir concepto previo sobre los proyectos de regulación estatal que puedan tener incidencia sobre la libre competencia en los mercados. Para estos efectos las autoridades de regulación informarán a la Superintendencia de Industria y Comercio de los actos administrativos que se pretendan expedir. El concepto emitido por la Superintendencia de Industria y Comercio en este sentido no será vinculante. Sin embargo, si la autoridad respectiva se apartara de dicho concepto, la misma deberá manifestar de manera expresa dentro de las consideraciones de la decisión los motivos por los cuales se aparta”;

Que por medio de radicado 2014-321-005195-2 de 20 de noviembre de 2014, la Superintendencia de Industria y Comercio (SIC) rindió el correspondiente concepto de abogacía de la competencia, en él recomendó:

“La SIC invita a la CRA a que se tomen estas inquietudes de la Superintendencia como un punto de partida para iniciar un diálogo interinstitucional entre las autoridades involucradas, con el fin de explorar alternativas al problema de la falla de mercado que salvaguarde los intereses del mercado, de la libre competencia, de los prestadores y, como fin último, de los usuarios.

Que de acuerdo con las recomendaciones de la Superintendencia de Industria y Comercio (SIC), se realizaron mesas de trabajo con esa entidad, con el fin de armonizar el proyecto de resolución al régimen general de protección de la competencia;

Que esta Comisión de Regulación remitió nuevamente el proyecto de resolución a la Superintendencia de Industria y Comercio (SIC), con el objeto que rinda el concepto de abogacía de la competencia;

Que por medio de radicado CRA 2015-321-000609-2 de 5 de febrero de 2015, la Superintendencia de Industria y Comercio (SIC) rindió el correspondiente concepto de abogacía de la competencia, en el que de manera textual señaló: “En opinión de la SIC, estos ajustes son suficientes para mitigar las preocupaciones que en materia de competencia tenía la SIC, por lo que la actual versión del proyecto no amerita comentarios al respecto… ”;

Que atendiendo los anteriores considerandos, así como la evolución de la actividad regulatoria, se hace necesario regular las condiciones generales de los acuerdos de barrido y limpieza, que los prestadores suscriban en virtud de su autonomía de la voluntad y expedir una metodología de cálculo de los kilómetros a barrer por cada prestador de la actividad de barrido y limpieza de vías y áreas públicas, en proporción al número de usuarios que cada uno atienda, cuando en una misma área de confluencia exista más de un prestador;

Que en mérito de lo expuesto, la Comisión de Regulación de Agua Potable y Saneamiento Básico;

RESUELVE:

ARTÍCULO 1o. OBJETO. <Resolución derogada por el artículo 15 de la Resolución 900 de 2019> La presente resolución tiene por objeto regular las condiciones generales de los acuerdos de barrido y limpieza, que los prestadores suscriban en virtud de su autonomía de la voluntad y definir una metodología que permita calcular y asignar geográficamente los kilómetros de barrido y limpieza que corresponden a cada prestador en los casos en que se deben resolver controversias suscitadas entre los prestadores del servicio público de aseo que realicen la actividad de barrido y limpieza de vías y áreas públicas en un área de confluencia.

PARÁGRAFO. La metodología del artículo 4o y siguientes, podrá ser parte de los acuerdos de barrido y limpieza de vías y áreas públicas que las personas prestadoras deberán suscribir para atender dicha actividad en el respectivo municipio o podrán utilizar una metodología diferente que cumpla con las condiciones generales del artículo 2o de la presente resolución.

ARTÍCULO 2o. CONDICIONES GENERALES PARA LOS ACUERDOS DE BARRIDO Y LIMPIEZA. <Resolución derogada por el artículo 15 de la Resolución 900 de 2019> En virtud de la autonomía de la voluntad de las partes y considerando la normatividad legal vigente, las personas prestadoras que confluyan en un área de prestación de servicio, pueden suscribir acuerdos de barrido y limpieza, los cuales deben observar, al momento de la celebración del respectivo acuerdo, lo siguiente:

1. Los kilómetros de barrido y limpieza de vías y áreas públicas estarán dados en función del número de suscriptores del área de confluencia, de conformidad con lo señalado en el parágrafo 2 del artículo 52 del Decreto 2981 de 2013.

2. Las partes deben estar legalmente constituidas como personas prestadoras del servicio público de aseo.

3. Un plano o mapa de localización en el que se delimite la(s) zona(s) geográfica(s) en donde se presta el servicio público de aseo en la actividad de recolección y transporte, acorde con lo contemplado en la cláusula 42 de la Resolución CRA 376 de 2006 y demarcando el(las) área(s) de confluencia.

4. Descripción de macro, microrrutas y frecuencias de barrido de acuerdo con lo dispuesto en el artículo 54 del Decreto 2981 de 2013, en el área de confluencia, conforme con las definiciones del artículo 2o del mencionado Decreto, que deben seguir cada una de las cuadrillas de barrido y limpieza de vías y áreas públicas.

5. Número total de suscriptores atendidos por cada persona prestadora del servicio público de aseo en la actividad de recolección y transporte en el área de confluencia en el periodo de facturación inmediatamente anterior a la celebración del acuerdo, al cual se le deberá relacionar la dirección de todos los suscriptores del área de confluencia con los usuarios del maestro de facturación.

PARÁGRAFO 1o. En todo caso, los acuerdos de barrido y limpieza que suscriban las personas prestadoras deberán tener como única finalidad solucionar la controversia originada en el artículo 53 del Decreto 2981 de 2013. Adicionalmente, los acuerdos de barrido y limpieza no deberán tener por objeto ni por efecto la ejecución de prácticas que constituyan una infracción al régimen general de protección de la competencia o al régimen especial de la competencia de la Ley 142 de 1994.

PARÁGRAFO 2o. Para efectos de la suscripción del acuerdo, independientemente de la metodología que se aplique, las partes no podrán compartir información sensible diferente a la señalada en el presente artículo.

ARTÍCULO 3o. SOLICITUD PARA RESOLVER CONTROVERSIA. <Resolución derogada por el artículo 15 de la Resolución 900 de 2019> En el evento en que las partes no hayan logrado convenir la celebración del acuerdo de barrido en los términos de los artículos 52 y 53 del Decreto 2981 de 2013, la Comisión de Regulación de Agua Potable y Saneamiento Básico podrá dar inicio a solicitud de parte, en los términos de los artículos 106 y siguientes de la Ley 142 de 1994, a una actuación administrativa tendiente a resolver dicha controversia, sin perjuicio de la aplicación de las normas procedimentales a que haya lugar.

ARTÍCULO 4o. METODOLOGÍA PARA RESOLVER CONTROVERSIAS EN EL CÁLCULO DE LOS KILÓMETROS DE BARRIDO Y LIMPIEZA QUE LE CORRESPONDEN A CADA PRESTADOR. <Resolución derogada por el artículo 15 de la Resolución 900 de 2019> Los kilómetros de barrido y de limpieza de vías y áreas públicas, que en el área de confluencia deberá atender cada prestador de la actividad de recolección y transporte, corresponderán a una proporción de la longitud total de las vías expresada en kilómetros.

Los kilómetros de vías y áreas públicas al mes KPic, corresponde como máximo, al resultante de la siguiente expresión:

Donde:

KPic: Kilómetros de barrido y limpieza al mes del prestador i en el área de confluencia
 
PNtc: Porcentaje de suscriptores del prestador i de recolección y transporte, en el área de confluencia.
 
LTVc: Longitud total de vías a barrer en el área de confluencia, teniendo en cuenta las frecuencias de barrido, expresada en kilómetros al mes. Dicha longitud equivale a la suma de la longitud de vías barridas manual y mecánicamente, determinadas por los prestadores del servicio en la actividad de recolección y transporte, de acuerdo con lo establecido en el Anexo del componente de barrido y limpieza del Plan de Gestión Integral de Residuos Sólidos Municipal (PGIRS), multiplicados por la frecuencia semanal de barrido y por el número de semanas en el mes (4,3452 semanas/mes), según la siguiente expresión:

KVj: Kilómetros de vías y áreas públicas a barrer, de acuerdo con lo definido en el PGIRS, en el tramo j dentro de la zona de confluencia.
 
Fj: Frecuencia semanal de barrido de la vía en el tramo j, de acuerdo con lo definido en el PGIRS, dentro de la zona de confluencia.

De conformidad con lo establecido en el artículo 2o del Decreto 2981 de 2013, se debe tener en cuenta que la actividad de barrido o limpieza se realiza en las cunetas de estas.

Para el caso de áreas públicas, estas deberán ser convertidas a kilómetros lineales, multiplicando el área (m2) total a barrer por 0,002 km/m2.

El porcentaje de suscriptores del prestador i de recolección y transporte en el área de confluencia, corresponderá a la relación entre el número de suscriptores de cada prestador del servicio público de aseo y el número total de suscriptores atendidos por los prestadores, dentro de esta área, de acuerdo con la siguiente expresión.

Donde:

Nic: Número total de suscriptores del prestador i de recolección y transporte del servicio público de aseo, en el área de confluencia de la actividad.
 
NBc: Número total de suscriptores, atendidos por los prestadores de recolección y transporte, en el área de confluencia del servicio con el cual existe un contrato de condiciones uniformes.

ARTÍCULO 5o. METODOLOGÍA PARA LA ASIGNACIÓN GEOGRÁFICA DE LOS KILÓMETROS DE BARRIDO Y LIMPIEZA QUE LE CORRESPONDEN A CADA PRESTADOR. <Resolución derogada por el artículo 15 de la Resolución 900 de 2019> Una vez establecidos los kilómetros de barrido y limpieza que deberá atender cada prestador de recolección y transporte en el área de confluencia, se tendrán que considerar los siguientes lineamientos de distribución:

1. Definir en el plano urbano del municipio, el polígono que delimita el área de confluencia especificada por los operadores.

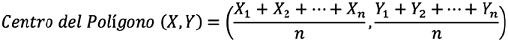
2. Calcular el centro del polígono que forma el área de confluencia, para lo cual se deben determinar las coordenadas (X,Y) de diferentes puntos que delimiten el polígono y reemplazarlos en la siguiente fórmula, la cual permitirá promediar y hallar las coordenadas de dicho centro.

3. Ubicar el centro del polígono en el plano y trazar una línea en sentido norte (línea norte), partiendo desde este punto hasta intersecarse con la frontera del polígono del área de confluencia.

4. Reubicar en el plano el trazado de la línea norte, de forma tal que este quede situado sobre las vías; para ello se deben seguir los siguientes pasos:

i. El punto de inicio del trazado será la intersección entre la línea norte y la frontera del polígono del área de confluencia.

ii. Identificar las vías que son intersecadas por la línea norte.

iii. Trazar el recorrido más corto en dirección al centro del polígono uniendo las vías identificadas anteriormente.

iv. El trazado deberá terminar en la última calle intersecada por la línea norte.

v. Si el punto de intersección en la última calle se encuentra a más del 50% de la longitud total de dicha calle, deberá continuar el trazado hasta finalizar la cuadra, de lo contrario, concluirá en la cuadra anterior.

5. Asignar geográficamente los kilómetros de barrido y limpieza que le corresponden a cada prestador, según el porcentaje de usuarios que cada uno atiende en el área de confluencia, para lo cual se deben seguir los siguientes pasos:

i. Ordenar de mayor a menor los prestadores involucrados en el conflicto, de acuerdo al número de suscriptores que atienda cada uno en el área de confluencia.

ii. La distribución de kilómetros a barrer entre prestadores se hace siguiendo el orden resultante del paso anterior.

iii. La asignación se hace de norte a sur y en el sentido de las manecillas del reloj, partiendo de la línea norte trazada sobre las vías. Para ello se procede a llenar manzanas completas y que sean adyacentes unas a otras, hasta completar los kilómetros totales de barrido y limpieza asignados al operador teniendo en cuenta para cada tramo las frecuencias de prestación.

iv. Desde el punto en el que el operador que atiende un mayor número de suscriptores en el área de confluencia completa su cuota de kilómetros a barrer, se repite el procedimiento del paso anterior para el siguiente operador, y así sucesivamente hasta asignar el total del área de confluencia entre los diferentes operadores involucrados.

v. En la última manzana, se deberá tener en cuenta que el lado de manzana (o cuadra) deberá ser prestada por un solo operador. Para ello, si un operador finaliza sus kilómetros correspondientes a más del 50% del lado de manzana, este operador prestará la actividad en la totalidad del lado de manzana o cuadra, de lo contrario, finalizará en la cuadra anterior. Este criterio también se deberá adoptar en los casos en que la última manzana sea un área pública, expresada en kilómetros lineales.

6. El prestador de barrido y limpieza de vías y áreas públicas, será el responsable de la recolección y transporte de los residuos de barrido y limpieza hasta el sitio de disposición final.

7. El prestador de la actividad de recolección y transporte de residuos sólidos deberá garantizar la frecuencia mínima de barrido y limpieza que determine el PGIRS en toda el área de prestación a su cargo dentro del área de confluencia.

ARTÍCULO 6o. CONDICIONES GENERALES PARA ESTABLECER LOS KILÓMETROS A BARRER POR CADA PRESTADOR Y VERIFICACIÓN DE DICHAS CONDICIONES EN CASO DE DESACUERDO. <Resolución derogada por el artículo 15 de la Resolución 900 de 2019> En virtud de la autonomía de la voluntad, los prestadores del servicio público de aseo en la actividad de recolección y transporte en un área de confluencia, establecerán las condiciones en las que se determinen las vías y áreas públicas que cada uno de ellos vaya a realizar las actividades de barrido y limpieza de vías y áreas públicas en la respectiva área de confluencia.

En tal sentido, las personas prestadoras deberán suscribir acuerdos de barrido y limpieza en los que se determinen las vías y áreas públicas que cada persona prestadora vaya a atender en el respectivo municipio y/o en el área de confluencia.

En el evento que no se logre un acuerdo entre las personas prestadoras en los términos previstos en el artículo 53 del Decreto 2981 de 2013, cualquiera de ellas podrá solicitar a la Comisión de Regulación de Agua Potable y Saneamiento Básico la resolución de dicha controversia, anexando como mínimo lo siguiente:

a) Un informe y los soportes del trámite adelantado por las partes en controversia, para la suscripción del acuerdo de barrido y limpieza de vías y áreas públicas en los términos del artículo 53 del Decreto 2981 de 2013, que incluya los acuerdos y desacuerdos en la etapa de arreglo directo.

b) Un plano o mapa de localización en el que se delimite la o las zonas geográficas en donde se presta el servicio público de aseo en la actividad de recolección y transporte, acorde con lo contemplado en la cláusula 42 de la Resolución CRA 376 de 2006 y demarcando el(las) área(s) de confluencia.

c) Copia del programa de prestación del servicio público de aseo y su constancia de presentación ante la Superintendencia de Servicios Públicos Domiciliarios de acuerdo con lo indicado en el artículo 11 del Decreto 2981 de 2013.

d) Relación del número total de suscriptores atendidos por la persona prestadora del servicio público de aseo en la actividad de recolección y transporte en el área de confluencia en el periodo de producción de residuos sólidos inmediatamente anterior a la presentación de la solicitud, al cual se le deberá relacionar la dirección de todos los suscriptores del área de confluencia con los usuarios del maestro de facturación.

e) Descripción de macro, microrrutas y frecuencias de barrido de acuerdo con lo dispuesto en el artículo 54 del Decreto 2981 de 2013 en el área de confluencia, de acuerdo con las definiciones del artículo 2o del mismo Decreto , que deben seguir cada una de las cuadrillas de barrido y limpieza de vías y áreas públicas.

PARÁGRAFO. Para efectos de la presentación del programa de prestación del servicio público de aseo, debe tenerse en cuenta lo dispuesto en el artículo 11 del Decreto 2981 de 2013, que consagra una transición para la implementación de lo dispuesto en dicha normativa.

ARTÍCULO 7o. VIGENCIA. La presente resolución rige a partir de la fecha de su publicación en el Diario Oficial y deroga las disposiciones que le sean contrarias.

Publíquese y cúmplase.

Dada en Bogotá D. C. a 26 de febrero de 2015.

La Presidenta,

MARÍA CAROLINA CASTILLO AGUILAR.

El Director Ejecutivo,

JULIO CÉSAR AGUILERA WILCHES.

×