RESOLUCIÓN CRA 949 DE 2021
(junio 28)
Diario Oficial No. 51.729 de 8 de julio de 2021
COMISIÓN DE REGULACIÓN DE AGUA POTABLE Y SANEAMIENTO BÁSICO
Por la cual se adiciona la Parte 11 al Libro 5 y el TÍTULO 6 a la PARTE 3 del LIBRO 6 de la Resolución CRA 943 de 2021, en relación con los esquemas diferenciales de prestación del servicio público de aseo en áreas urbanas, se modifica el artículo 5.3.5.5.1.1, y se adiciona el 5.3.5.5.1.1.1, a la Resolución CRA 943 de 2021.
LA COMISIÓN DE REGULACIÓN DE AGUA POTABLE Y SANEAMIENTO BÁSICO,
en ejercicio de las facultades legales, en especial de las conferidas por las Leyes 142 de 1994, 1437 de 2011, 1753 de 2015 y 1955 de 2019, y los Decretos 1524 de 1994, 2882 y 2883 de 2007, modificado por el Decreto 2412 de 2015, el Decreto 1077 de 2015, adicionado por el Decreto 1272 de 2017, y
CONSIDERANDO:
En relación con el marco constitucional y legal del servicio público de aseo
Que el artículo 209 de la Constitución Política de Colombia dispone que la función administrativa está al servicio del interés general y el cumplimiento de sus objetivos se debe desarrollar, entre otros, de acuerdo con los principios de eficiencia, igualdad y eficacia;
Que el artículo 365 de la Constitución Política prevé que los servicios públicos son inherentes a la finalidad social del Estado y que es deber del mismo asegurar la prestación eficiente a todos los habitantes del territorio nacional;
Que el artículo 367 del ordenamiento constitucional determina que la ley fijará las competencias relativas a la prestación de los servicios públicos domiciliarios, su cobertura, calidad y financiación, el régimen tarifario y las entidades competentes para fijar las tarifas;
Que el artículo 370 ibídem, prevé que corresponde al Presidente de la República señalar, con sujeción a la ley, las políticas generales de administración y control de eficiencia de los servicios públicos domiciliarios y el artículo 68 de la Ley 142 de 1994 señala que éstas pueden delegarse en las comisiones de regulación;
Que mediante Decreto 1524 de 1994, el Presidente de la República delegó las funciones presidenciales de señalamiento de las políticas generales de administración y control de eficiencia de los servicios públicos domiciliarios, en las comisiones de regulación;
Que el artículo 2o de la Ley 142 de 1994 dispone que el Estado intervendrá en los servicios públicos, con la finalidad de la “(…) 2.2. Ampliación permanente de la cobertura mediante sistemas que compensen la insuficiencia de la capacidad de pago de los usuarios. 2.3. Atención prioritaria de las necesidades básicas insatisfechas en materia de agua potable y saneamiento básico. 2.4. Prestación continua e ininterrumpida, sin excepción alguna, salvo cuando existan razones de fuerza mayor o caso fortuito o de orden técnico o económico que así lo exijan. (…) 2.9. Establecer un régimen tarifario proporcional para los sectores de bajos ingresos de acuerdo con los preceptos de equidad y solidaridad”;
Que el artículo 3o de la misma ley señala que “constituyen instrumentos para la intervención estatal en los servicios públicos, todas las atribuciones y funciones asignadas a las entidades, autoridades y organismos de que trata dicha ley, especialmente las relativas”, entre otras, a la definición del régimen tarifario;
Que el artículo 15 de la Ley 142 de 1994, señala las personas que pueden prestar los servicios públicos;
Que de conformidad con el artículo 73 ibídem, “Las comisiones de regulación tienen la función de regular los monopolios en la prestación de los servicios públicos, cuando la competencia no sea, de hecho, posible; y, en los demás casos, la de promover la competencia entre quienes presten servicios públicos, para que las operaciones de los monopolistas o de los competidores sean económicamente eficientes, no impliquen abuso de la posición dominante, y produzcan servicios de calidad”, para lo cual, entre otras funciones, podrán: “73.3. Definir los criterios de eficiencia y desarrollar indicadores y modelos para evaluar la gestión financiera, técnica y administrativa de las empresas de servicios públicos y solicitar las evaluaciones que considere necesarias para el ejercicio de sus funciones” (…) 73.4. Fijar las normas de calidad a las que deben ceñirse las empresas de servicios públicos en la prestación del servicio. (…) 73.11. Establecer fórmulas para la fijación de las tarifas de los servicios públicos, cuando ello corresponda según lo previsto en el artículo 88; y señalar cuándo hay suficiente competencia como para que la fijación de las tarifas sea libre. (…) 73.12. Determinar para cada bien o servicio público las unidades de medida y de tiempo que deben utilizarse al definir el consumo; y definir, con bases estadísticas y de acuerdo con parámetros técnicos medibles y verificables, apropiados para cada servicio, quienes pueden considerarse “grandes usuarios”. 73.15. Determinar cuando una empresa oficial, pública o un municipio que preste en forma directa los servicios, no cumple los criterios e indicadores de eficiencia que determine y ordenar al municipio la entrega de la prestación de los servicios a un tercero (…) 73.20. Determinar, de acuerdo con la ley, cuándo se establece el régimen de libertad regulada o libertad vigilada o señalar cuándo hay lugar a la libre fijación de tarifas”;
Que el literal a) del numeral 74.2 del artículo 74 de la Ley 142 de 1994, dispone que dentro de las funciones especiales de la Comisión de Regulación de Agua Potable y Saneamiento Básico (CRA), está la de “(…) adoptar reglas de comportamiento diferencial, según la posición de las empresas en el mercado”;
Que el régimen tarifario aplicable a los servicios públicos, de conformidad con el numeral 86.4 del artículo 86 ibídem, está compuesto, entre otros, por las reglas relativas a procedimientos, metodologías, fórmulas, estructuras, estratos, facturación, opciones, valores y, en general, todos los aspectos que determinan el cobro de las tarifas;
Que el artículo 87 de la citada ley preceptúa que el régimen tarifario estará orientado por los criterios de eficiencia económica, neutralidad, solidaridad, redistribución, suficiencia financiera, simplicidad y transparencia;
Que en virtud del principio de eficiencia económica establecido en el numeral 87.1, del artículo 87 de la Ley 142 de 1994, “(…) el régimen de tarifas procurará que estas se aproximen a lo que serían los precios de un mercado competitivo (…)” y “las fórmulas tarifarias no pueden trasladar a los usuarios los costos de una gestión ineficiente, ni permitir que las empresas se apropien de las utilidades provenientes de prácticas restrictivas de la competencia (…)”;
Que de acuerdo con el principio de suficiencia financiera, definido en el numeral 87.4 del artículo 87 de la citada ley, “(…) las fórmulas de las tarifas garantizarán la recuperación de los costos y gastos propios de operación, incluyendo la expansión, la reposición y el mantenimiento; permitirán remunerar el patrimonio de los accionistas en la misma forma en la que lo habría remunerado una empresa eficiente en un sector de riesgo comparable (…)”;
Que el numeral 87.7 del artículo 87 de la misma ley dispone que “(…) si llegare a existir contradicción entre el criterio de eficiencia y el de suficiencia financiera, deberá tomarse en cuenta que, para una empresa eficiente, las tarifas económicamente eficientes se definirán tomando en cuenta la suficiencia financiera”;
Que según el numeral 87.8 del artículo 87 ibídem “(…) toda tarifa tendrá un carácter integral en el sentido que supondrá una calidad y grado de cobertura del servicio, cuyas características definirán las comisiones reguladoras (…)”;
Que el parágrafo 1 del mismo artículo, establece que: “Cuando se celebren contratos mediante invitación pública para que empresas privadas hagan la financiación, operación y mantenimiento de los servicios públicos domiciliarios de que trata esta ley, la tarifa podrá ser un elemento que se incluya como base para otorgar dichos contratos. Las fórmulas tarifarias, su composición por segmentos, su modificación e indexación que ofrezca el oferente, deberán atenerse en un todo a los criterios establecidos en los artículos 86, 87, 89, 90, 91, 92, 93, 94, 95 y 96, de esta ley (…)”;
Que de conformidad con lo establecido en el artículo 88 de la Ley 142 de 1994, al fijar sus tarifas, las empresas de servicios públicos se someterán al régimen de regulación definido por la respectiva Comisión de Regulación;
Que el numeral 9 del artículo 99 de la Ley 142 de 1994, prohíbe la gratuidad en los servicios públicos, al señalar que “(…) no existirá exoneración en el pago de los servicios de que trata esta ley, para ninguna persona natural o jurídica. (…)”.
En relación con el marco legal y reglamentario relativo a los esquemas diferenciales urbanos
Que la Ley 136 de 1994 en su artículo 3o numeral 19, modificado por el artículo 6o de la Ley 1551 de 2012, dispone que es deber de los municipios “Garantizar la prestación del servicio de agua potable y saneamiento básico a los habitantes de la jurisdicción de acuerdo con la normatividad vigente en materia de servicios públicos domiciliarios”.
Asimismo, frente a esta obligación de los entes territoriales, el Consejo de Estado indicó “El hecho de que la comunidad no tenga servicio de agua potable o alcantarillado, o lo tenga pero no funcionando adecuadamente, se constituye en un factor de riesgo grande para la salud de la comunidad expuesta a dicha situación. (...) No puede ignorarse el categórico mandato del artículo 366 de la Constitución Política ni tampoco pasarse por alto que para darle debido desarrollo se expidió la Ley 60 de 1993, derogada por la Ley 715 de 2001, que radica en los municipios responsabilidades concretas, entre otras, en materia de agua potable y saneamiento ambiental. (…).
De lo cual se establece más claramente que será la municipalidad colombiana la llamada a garantizar la prestación del servicio. Más aún, ha mantenido el tribunal de cierre que, cuando el servicio sea prestado por una empresa cualquiera que sea su naturaleza, esto no exime al municipio de responsabilidad y, por ende, deberá destinar dineros en el sector de agua potable y saneamiento básico, a fin de garantizar la efectiva y eficiente prestación.”(1);
Que en virtud de lo establecido en el artículo 31 de la Ley 388 de 1997, “(…) las zonas con procesos de urbanización incompletos, comprendidos en áreas consolidadas con edificación, que se definan como áreas de mejoramiento integral en los planes de ordenamiento territorial” podrán hacer parte del suelo urbano;
Que el artículo 35 de la Ley 388 de 1997, establece que el suelo de protección incluye “(…) las zonas y áreas de terrenos (…), que, por sus características geográficas, paisajísticas o ambientales, o por formar parte de las zonas de utilidad pública para la ubicación de infraestructuras para la provisión de servicios públicos domiciliarios o de las áreas de amenazas y riesgo no mitigable para la localización de asentamientos humanos, tiene restringida la posibilidad de urbanizarse”;
Que el artículo 14 de la Ley 689 de 2001, establece que el SUI contiene la información oficial reportada por las personas prestadoras y, en tal sentido, su propósito es servir de base a la SSPD en el cumplimiento de sus funciones de control, inspección y vigilancia, así como apoyar las funciones asignadas a las comisiones de regulación;
Que el artículo 18 de la Ley 1753 de 2015, vigente en los términos del artículo 336 de la Ley 1955 de 2019, creó, entre otros, los esquemas diferenciales de prestación de los servicios públicos de acueducto, alcantarillado y aseo en zonas urbanas, y en su inciso 4, facultó a la CRA para desarrollar la regulación necesaria para su implementación;
Que el artículo 279 de la Ley 1955 de 2019 señaló, entre otros aspectos, que “los municipios y distritos deben asegurar la atención de las necesidades básicas de agua para consumo humano y doméstico y de saneamiento básico de los asentamientos humanos de áreas urbanas de difícil gestión (…) mediante la prestación de los servicios públicos de acueducto, alcantarillado y aseo, de acuerdo con los esquemas diferenciales definidos por el Gobierno nacional y la reglamentación vigente en esta materia”;
Que el artículo 2.3.2.2.2.4.51 del Decreto 1077 de 2015, establece que la prestación de las actividades de barrido y limpieza urbana “deberá realizarse de acuerdo con la frecuencia y horarios establecidos en el programa para la prestación del servicio público de aseo, y cumpliendo con las exigencias establecidas en el PGIRS del respectivo municipio o distrito. La determinación de los kilómetros a barrer deberá tener en cuenta las frecuencias de barrido”; y a su turno, el artículo 2.3.2.2.2.5.63, establece igual disposición para la actividad de lavado de vías y áreas públicas. Estas disposiciones han quedado articuladas en todas las metodologías tarifarias vigentes definidas por la CRA;
Que el Gobierno nacional expidió el Decreto 1272 del 28 de julio de 2017, “por el cual se adiciona el Capítulo 2, al Título 7, de la Parte 3, del Libro 2 del Decreto 1077 de 2015, que reglamenta parcialmente el artículo 18 de la Ley 1753 de 2015, en lo referente a esquemas diferenciales para la prestación de los servicios de acueducto, alcantarillado y aseo en zonas de difícil acceso, áreas de difícil gestión y áreas de prestación, en las cuales por condiciones particulares no puedan alcanzarse los estándares de eficiencia, cobertura y calidad, establecidos en la ley”;
Que el artículo 2.3.7.2.1.1, del Decreto 1077 de 2015, señala que cuando no puedan alcanzarse los estándares de eficiencia, cobertura y calidad en la prestación de los servicios públicos de acueducto, alcantarillado y aseo establecidos en la normatividad vigente por condiciones particulares, dentro del suelo urbano de un municipio o distrito, se podrán establecer esquemas diferenciales en áreas de difícil gestión, zonas de difícil acceso y áreas de prestación con condiciones particulares;
Que el artículo 2.3.7.2.1.3, ibídem, define el esquema diferencial, como “(…) un conjunto de condiciones técnicas, operativas, jurídicas, sociales y de gestión para permitir el acceso al agua apta para el consumo humano y al saneamiento básico en un área o zona determinada del suelo urbano, atendiendo a sus condiciones particulares”;
Que los artículos 2.3.7.2.2.1.1, 2.3.7.2.2.2.1, y 2.3.7.2.2.3.1, del mismo decreto contienen las definiciones de “áreas de difícil gestión”, “zonas de difícil acceso” y “áreas de prestación con condiciones particulares”;
Que los artículos 2.3.7.2.2.1.2, 2.3.7.2.2.2.2, y 2.3.7.2.2.3.2, del Decreto 1077 de 2015 establecen los requisitos para adoptar el esquema de difícil gestión y solicitar la aceptación de los esquemas diferenciales en zonas de difícil acceso y en áreas de prestación con condiciones particulares, entre los cuales se destacan: i) el estudio de costos y tarifas, ii) el contrato de condiciones uniformes, y iii) el plan de gestión a aplicar en el esquema diferencial;
Que los artículos 2.3.7.2.2.2.2, y 2.3.7.2.2.3.2, del Decreto 1077 de 2015, señalan que las personas prestadoras interesadas en implementar esquemas diferenciales en una zona de difícil acceso y con condiciones particulares, deberán presentar una solicitud por escrito, ante la CRA, la cual mediante acto administrativo dispondrá la aceptación de la solicitud de manera previa a la aplicación del esquema diferencial respectivo;
Que, adicionalmente, el artículo 2.3.7.2.2.3.2, del Decreto 1077 de 2015, dispone que los municipios y distritos, también pueden realizar la solicitud del esquema diferencial con condiciones particulares;
Que los citados artículos facultan a la CRA, para establecer requisitos de metodología y documentación de soportes adicionales, para aceptar la solicitud de los esquemas diferenciales en una zona de difícil acceso y con condiciones particulares;
Que el parágrafo 1 del artículo 2.3.7.2.2.1.3, ibídem, establece que el esquema diferencial adoptado por parte de la persona prestadora en las áreas de difícil gestión no podrá afectar los estándares de prestación definidos por la regulación en las demás áreas o zonas del municipio que sean atendidas por el prestador, que no sean parte del esquema diferencial;
Que el parágrafo 1 del artículo 2.3.7.2.2.3.3, del Decreto 1077 de 2015 establece que el esquema diferencial adoptado para el servicio público de aseo en las áreas de prestación, con condiciones particulares, no podrá afectar los estándares de prestación definidos por la regulación en las demás áreas o municipios atendidos por el prestador, que no sean objeto de aplicación de dicho esquema;
Que cuando la persona prestadora del servicio público de aseo decida adoptar conjuntamente en el mismo municipio un esquema de difícil acceso y uno de difícil gestión, la implementación de este último no podrá afectar los estándares de prestación definidos por la regulación para el esquema de difícil acceso;
Que los artículos 2.3.7.2.2.1.4, 2.3.7.2.2.2.4, y 2.3.7.2.2.3.4, del decreto en mención establecen lo relacionado con la modificación y prórroga de los esquemas diferenciales en zona urbana;
Que los artículos 2.3.7.2.2.1.5, 2.3.7.2.2.2.5, y 2.3.7.2.2.3.5, del citado decreto, establecen lo relacionado con la terminación de los esquemas diferenciales en áreas de difícil gestión, zonas de difícil acceso y áreas de prestación con condiciones particulares, respectivamente;
Que tanto para las zonas de difícil acceso como para las áreas de prestación con condiciones particulares, los artículos 2.3.7.2.2.2.5, y 2.3.7.2.2.3.5, del Decreto 1077 de 2015, señalan que la CRA, podrá dar por terminados estos esquemas, ante el incumplimiento de las metas, indicadores, plazos, objetivos y acciones señalados en el plan de gestión del prestador del servicio;
Que los artículos 2.3.7.2.2.1.6, 2.3.7.2.2.2.6, y 2.3.7.2.2.3.6, del decreto ibídem establecen las condiciones diferenciales de prestación para el servicio público de aseo, las cuales deberán incluirse en los respectivos contratos de servicios públicos;
Que los artículos 2.3.7.2.2.1.8, 2.3.7.2.2.2.8, y 2.3.7.2.2.3.8, del decreto ídem establecen que el prestador deberá contar con un plan de gestión en donde se definan las metas, indicadores, plazos, objetivos, acciones y fuentes de financiación para el cumplimiento de las condiciones diferenciales y los estándares de prestación del servicio público de aseo definidos por la regulación;
Que los anteriores artículos también señalan que el plan de gestión estará compuesto del plan de obras e inversiones y el plan de aseguramiento de la prestación de los servicios públicos para el cumplimiento de los estándares de prestación del servicio;
Que el artículo 2.3.7.2.2.1.2, ibídem, señala que la persona prestadora interesada en aplicar un esquema diferencial en áreas de difícil gestión deberá reportar en el Sistema Único de Información (SUI), de la Superintendencia de Servicios Públicos Domiciliarios (SSPD), los requisitos para adoptar el esquema;
Que los artículos 2.3.7.2.2.2.9, y 2.3.7.2.2.3.9, del Decreto 1077 de 2015, disponen que una vez la CRA haya aceptado los esquemas diferenciales en zonas de difícil acceso y áreas de prestación con condiciones particulares, las personas prestadoras deberán registrar dicho esquema en el SUI, en las condiciones y plazos que establezca la SSPD;
Que el parágrafo 1 del artículo 2.3.7.2.3.1, del citado decreto establece que, para el esquema diferencial en áreas de difícil gestión, para efectos de la facturación y el otorgamiento de los subsidios por parte de la entidad territorial, los inmuebles residenciales se considerarán de estrato 1, mientras la entidad territorial de acuerdo con sus competencias legales asigne de manera provisional o definitiva el estrato correspondiente para el otorgamiento de subsidios. Asimismo, señala que los usuarios no residenciales estarán sujetos a la aplicación de la normatividad vigente sobre aportes solidarios;
Que el artículo 2.3.7.2.3.2, ibídem, señala que la SSPD, en ejercicio de sus competencias, vigilará, inspeccionará y controlará el cumplimiento de las condiciones diferenciales definidas en cada uno de los esquemas.
En relación con los marcos tarifarios del servicio público de aseo
Que, de conformidad con el artículo 2.3.7.2.2.3.1, del Decreto 1077 de 2015, los esquemas diferenciales en áreas de prestación con condiciones particulares corresponden a áreas de prestación en suelo urbano de un municipio o distrito que cuenta con una población urbana mayor a 25.000 y hasta 400.000 habitantes, por lo cual les sería aplicable la Resolución CRA 720 de 2015, estableció el régimen de regulación tarifaria al que deben someterse las personas prestadoras del servicio público de aseo que atiendan en municipios y/o distritos de más de 5.000 suscriptores en áreas urbanas y la metodología que deben utilizar para el cálculo de las tarifas del servicio;
Que, de conformidad con el artículo 2.3.7.2.2.2.1, del Decreto 1077 de 2015, los esquemas diferenciales en zonas de difícil acceso corresponden a áreas de prestación en municipios con una población urbana menor a 25.000 habitantes, por lo cual les sería aplicable la Resolución CRA 853 de 2018, la cual estableció el régimen tarifario y metodología tarifaría aplicable a las personas prestadoras del servicio público de aseo que atiendan en municipios de hasta 5.000 suscriptores, e incluyó en su ámbito de aplicación a las personas prestadoras que atiendan: i) municipios que a 31 de diciembre de 2018, tengan hasta 5.000 suscriptores en las áreas urbanas; ii) centros poblados rurales, que no fueron incluidos en un APS del ámbito de la Resolución CRA 720 de 2015; iii) rellenos sanitarios que reciban hasta un promedio mensual de 300 toneladas de residuos sólidos; y, iv) sistemas de tratamiento que reciban hasta un promedio mensual de 300 toneladas de residuos sólidos;
Que, de conformidad con el artículo 2.3.7.2.2.1.1, del Decreto 1077 de 2015, los esquemas diferenciales de difícil gestión corresponden a aquellas áreas dentro del suelo urbano de un municipio o distrito que reciben un tratamiento de mejoramiento integral en los planes de ordenamiento territorial; o hayan sido objeto o sean susceptibles de legalización urbanística, por lo cual les sería aplicable las Resoluciones CRA 720 de 2015 y 853 de 2018, debido a que se pueden presentar asentamientos subnormales en la totalidad de municipios y distritos del país;
Que será mantenido para cada uno de los esquemas diferenciales en zona urbana, el criterio regulatorio definido en las Resoluciones CRA 720 de 2015 y CRA 853 de 2018, compiladas en la Resolución CRA 943 de 2021, según el cual, las personas prestadoras sujetas a sus ámbitos de aplicación, deberán establecer para cada APS, los costos económicos de referencia para cada una de las actividades del servicio;
Que el Área de Prestación de Servicio (APS), se encuentra definida en el numeral 7 del artículo 2.3.2.1.1. del Decreto 1077 de 2015, así: “Corresponde a la zona geográfica del municipio o distrito debidamente delimitada donde la persona prestadora ofrece y presta el servicio de aseo. Esta deberá consignarse en el contrato de condiciones uniformes”. Concepto que ha sido aplicado en todas las metodologías tarifarias vigentes definidas por la CRA;
Que en correspondencia con el artículo 90 de la Ley 142 de 1994, las Resoluciones CRA 720 de 2015 y 853 de 2018, compiladas en la Resolución CRA 943 de 2021, establecieron como componentes de la fórmula tarifaria para el servicio público de aseo el costo fijo y la de costo variable. El costo fijo, se cobra en consideración a garantizar la prestación eficiente del servicio para los usuarios, independiente del nivel de producción de residuos sólidos; mientras que el costo variable se calcula en función de las toneladas de residuos no aprovechables y a la remuneración por tonelada de residuos aprovechados;
Que el régimen de regulación tarifaria aplicable al servicio público de aseo, corresponde al de libertad regulada, mediante el cual la Comisión de Regulación respectiva fija los criterios y la metodología con arreglo a los cuales las personas prestadoras de servicios públicos domiciliarios pueden determinar o modificar los precios máximos para los servicios ofrecidos al usuario o consumidor, condición regulatoria que debe atenderse en el caso concreto de los esquemas diferenciales en áreas urbanas;
Que los parágrafos 1 y 2 del artículo 5.3.2.2.3.1, y los parágrafos 2 y 3 del artículo 5.3.5.2.3.1, de la Resolución CRA 943 de 2021 establecen que las actividades de limpieza urbana corresponderán a lo definido en el programa para la prestación del servicio público de aseo, con base en lo establecido en el Plan de Gestión Integral de Residuos Sólidos (PGIRS), del municipio y/o distrito;
Que el CAPÍTULO 5 del TÍTULO 5 de la PARTE 3 del LIBRO 5 de la Resolución CRA 943 de 2021, establece el cálculo de la metodología tarifaria para esquemas de prestación en zonas de difícil acceso para el servicio público de aseo; y es necesario incorporar la remuneración de los costos asociados al Plan de Aseguramiento del Esquema Diferencial (PAED);
Que los artículos 5.3.2.3.6, y 5.3.5.9.4, de la Resolución CRA 943 de 2021 establecen que, cuando por imposibilidad operativa de entrada de vehículos o de los operarios del servicio, la recolección de residuos no aprovechables no se realice puerta a puerta, los suscriptores tendrán un descuento en el costo de recolección y transporte;
Que las mencionadas resoluciones establecieron una tasa de descuento anual y de capital de trabajo, la cual será la misma que se use para tal efecto en el marco de los esquemas diferenciales en zona urbana.
Consideraciones finales
Que con base en las disposiciones contenidas en el Decreto 1077 de 2015, el documento CONPES 3816 de 2014 “Mejora Normativa: Análisis de Impacto”, y en desarrollo de la Agenda Regulatoria Indicativa 2018-2019, la Comisión de Regulación de Agua Potable y Saneamiento Básico (CRA), llevó a cabo el Análisis de Impacto Normativo (AIN), del Proyecto “Regulación de esquemas diferenciales urbanos para los servicios públicos domiciliarios de acueducto, alcantarillado y aseo”;
Que en este marco, se realizó el diagnóstico sobre la prestación de los servicios públicos de acueducto, alcantarillado y aseo, en el contexto de los esquemas diferenciales de prestación en zona urbana;
Que con base en el diagnóstico realizado, se identificó que el problema central a ser abordado en las áreas de difícil gestión es la existencia de desincentivos para la prestación de los servicios públicos de acueducto, alcantarillado y aseo; y, para los esquemas en zonas de difícil acceso y áreas de prestación con condiciones particulares, el problema central es el incumplimiento de las metas para alcanzar los estándares regulatorios en los tiempos definidos en los marcos tarifarios vigentes, por parte de la persona prestadora de los servicios públicos de acueducto, alcantarillado y aseo;
Que el principio de progresividad se constituye en referente en la prestación del servicio bajo la implementación de los esquemas diferenciales puesto que, tal como lo señala Corte Constitucional(2) que es obligación del Estado “seguir hacia adelante” en la consecución del goce pleno de los derechos de las personas, particularmente el derecho de acceso al agua, por lo que “(…) Los Estados no pueden quedarse inmóviles ante la satisfacción de los mismos, sino que deben propender por el aumento de la cobertura y de las garantías que le son propios, hasta el máximo posible, a través del establecimiento de medidas legislativas y de cualquier otra índole. De otro lado, el principio de progresividad implica la prohibición correlativa de regresividad, de acuerdo con la cual una vez se ha llegado a determinado nivel de protección, el Estado encuentra vedado retroceder en esa garantía, salvo que se cumpla con un estricto juicio de proporcionalidad, el cual demuestre que la medida regresiva es imprescindible para cumplir con el fin constitucionalmente imperioso”;
Que en consideración a lo anterior, los esquemas diferenciales urbanos corresponden a una medida “progresiva” y “transitoria” de prestación del servicio público de aseo y, por ello, las personas prestadoras que decidan implementar un esquema diferencial, deben formular y ejecutar un plan de gestión, en el cual se identificarán las metas, indicadores, plazos, objetivos, acciones y fuentes de financiación para superar las condiciones diferenciales y cumplir con los estándares de prestación del servicio definidos por la regulación;
Que para cumplir estos objetivos, el presente acto administrativo incluye los criterios regulatorios para: i) la determinación del área de prestación del servicio diferencial, ii) la estimación de los costos económicos de referencia diferenciales, iii) el establecimiento de las condiciones diferenciales y metas y estándares de prestación del servicio, y iv) los demás requisitos de metodología y documentación de soporte para la implementación de los esquemas diferenciales de prestación del servicio público de aseo en áreas urbanas;
Que mediante Resolución CRA 897 de 2019, publicada en el Diario Oficial número 51.124 de 1 de noviembre de 2019, la CRA presentó para participación ciudadana el proyecto de Resolución, “por la cual se hace público el Proyecto de Resolución, “por la cual se establecen las condiciones diferenciales para la prestación de los servicios públicos de aseo en áreas urbanas”, se da cumplimiento a lo previsto en el artículo 2.3.6.3.3.9, del Decreto 1077 de 2015 y se inicia el proceso de discusión directa con los usuarios y agentes del sector”, por el término de quince (15) días hábiles, tal como lo señaló su artículo 2;
Que por medio de la Resolución CRA 903 de 22 de noviembre de 2019(3), se prorrogó hasta el dos (2) de diciembre de 2019, el término de participación ciudadana previsto para adelantar el proceso de discusión directa con los usuarios, personas prestadoras, gremios y demás agentes del sector e interesados;
Que en ejercicio de la función regulatoria que corresponde a la CRA, y como consecuencia del proceso de participación ciudadana de la Resolución CRA 897 de 2019, se recibieron 58 observaciones o sugerencias, de las cuales el 17%, fueron aceptadas, el 55% fueron objeto de aclaración y el 28% fueron rechazadas;
Que el Comité de Expertos elaboró el documento referido en el parágrafo del artículo 2.3.6.3.3.10, del Decreto 1077 de 2015, en donde se encuentran contenidas las razones por las cuales se aceptaron, aclararon o rechazaron las observaciones, reparos y sugerencias formuladas en el marco del proceso de participación ciudadana, documento que sirvió de base para la toma de la decisión definitiva contenida en el presente acto administrativo;
Que de acuerdo con lo establecido en el artículo 7o de la Ley 1340 de 2009, modificada por la Ley 1955 de 2019, por la cual se dictan normas en materia de protección a la competencia, la Superintendencia de Industria y Comercio (SIC), puede rendir concepto previo a solicitud o de oficio, sobre los proyectos de regulación que puedan incidir sobre la libre competencia en los mercados, para lo cual las autoridades de regulación informarán a la Superintendencia de Industria y Comercio de los actos administrativos que se pretendan expedir;
Que de acuerdo con lo dispuesto en el artículo 5o del Decreto 2897 de 2010 que fue compilado en el Decreto 1074 de 2015(4), por el cual se reglamenta el artículo 7o de la Ley 1340 de 2009 y habiendo diligenciado el cuestionario que para el efecto adoptó la Superintendencia de Industria y Comercio (SIC), mediante Resolución 44649 del 25 de agosto de 2010, se determinó que el contenido del presente acto administrativo no tiene incidencia sobre la libre competencia en los mercados, razón por la cual no fue puesto en conocimiento para efectos de la emisión del concepto de abogacía de la competencia por parte de esta entidad;
Que en mérito de lo expuesto,
RESUELVE:
ARTÍCULO 1o. Adiciónese una PARTE 11 al LIBRO 5 de la Resolución CRA 943 de 2021, que quedará así:
PARTE 11
TÍTULO 1
DISPOSICIONES COMUNES APLICABLES A LOS ESQUEMAS DIFERENCIALES DE ASEO EN ÁREA URBANA
Artículo 5.11.1.1. Ámbito de aplicación. La presente resolución aplica a las personas prestadoras del servicio público de aseo incluidas en el ámbito de aplicación a los que se refieren los artículos 5.3.2.1.1, y 5.3.5.1.1, de la presente resolución o aquellos que los modifiquen, adicionen o sustituyan, que decidan implementar los esquemas diferenciales en áreas urbanas; y a los municipios y distritos que soliciten a la CRA, la aceptación del esquema diferencial en áreas de prestación con condiciones particulares.
Las personas prestadoras que hubieren pactado tarifa contractual a la que hace referencia el parágrafo 1 del artículo 87 de la Ley 142 de 1994, y proyecten la prestación del servicio mediante uno de los esquemas diferenciales a los que hace referencia esta PARTE, deberán aplicarla, excepto las secciones relativas al cálculo de los costos económicos de referencia.
Artículo 5.11.1.2. Objeto. La presente PARTE tiene como objeto regular los esquemas diferenciales de prestación del servicio público de aseo en áreas urbanas, de que trata el Capítulo 2, del Título 7, de la Parte 3, del Libro 2 del Decreto 1077 de 2015, o aquel que lo modifique, adicione o sustituya.
Artículo 5.11.1.3. Definiciones. Para la aplicación de la presente PARTE se tendrán en cuenta las siguientes definiciones, además de las consignadas en la normativa vigente:
Área de Prestación del Servicio Diferencial (APSD): Zona geográfica localizada en suelo urbano de un municipio y/o distrito, en la cual la persona prestadora del servicio público de aseo atiende un conjunto de suscriptores y/o usuarios mediante un esquema diferencial de prestación.
Gestión social: Conjunto de acciones a desarrollar con los suscriptores y/o usuarios beneficiarios del esquema diferencial, que tienen como propósito promover su participación en las distintas fases de ejecución del Plan de Gestión del Esquema Diferencial (PGED), así como la valoración del servicio, el acompañamiento y asistencia técnica, la aceptación del esquema y la regularización de estos suscriptores y/o usuarios.
Plan de Aseguramiento del Esquema Diferencial (PAED): Componente del PGED, el cual corresponde al conjunto de acciones a ejecutar por la persona prestadora, el municipio o distrito, el departamento y/o la Nación para dar cumplimiento a las condiciones diferenciales y estándares de prestación en el plazo definido en el PGED, y promover la sostenibilidad de las inversiones incluidas en el Plan de Inversiones Diferenciales (PID), y de la viabilidad de la prestación del servicio.
Plan de Gestión del Esquema Diferencial (PGED): Instrumento compuesto por el PID y el PAED, en el cual la persona prestadora del servicio público de aseo establece el conjunto de metas, indicadores, plazos, objetivos, acciones y fuentes de financiación, con el fin de dar cumplimiento a las condiciones diferenciales y estándares de prestación.
Plan de Inversiones Diferenciales (PID): Componente del PGED, el cual corresponde al conjunto de inversiones para dar cumplimiento a las condiciones diferenciales y lograr las metas para los estándares de prestación, definidos para el esquema diferencial, a las que se hubiese comprometido la persona prestadora del servicio público aseo, el municipio o distrito, el departamento y/o la Nación, en el plazo definido en el PGED.
Artículo 5.11.1.4. Aplicación de los esquemas diferenciales en áreas urbanas. La aplicación de los esquemas diferenciales de prestación del servicio público de aseo en áreas urbanas es temporal, optativa y corresponde a una decisión empresarial de la persona prestadora de este servicio.
PARÁGRAFO. Los esquemas diferenciales en áreas de prestación con condiciones particulares pueden ser solicitados por los municipios o distritos directamente a la Comisión de Regulación de Agua Potable y Saneamiento Básico (CRA), de conformidad con el artículo 2.3.7.2.2.3.2, del Decreto 1077 de 2015, o aquel que lo modifique, adicione o sustituya.
Artículo 5.11.1.5. Contrato de servicios públicos para los esquemas diferenciales. La persona prestadora elaborará un contrato de servicios públicos para el esquema diferencial, en el cual se incluirán las condiciones diferenciales de prestación del servicio público de aseo, sin perjuicio de lo establecido en el artículo 128 de la Ley 142 de 1994, referente a los contratos de servicios públicos.
Artículo 5.11.1.6. Sustitución en la prestación del servicio. En el evento en que se sustituya la persona prestadora que hubiere adoptado cualquiera de los esquemas diferenciales en área urbana, la nueva persona prestadora podrá:
1. Continuar aplicando el esquema diferencial existente.
2. Modificar, prorrogar o terminar el esquema diferencial existente.
3. Adoptar o solicitar un nuevo esquema diferencial.
PARÁGRAFO 1o. Si la persona prestadora que sustituye decide continuar aplicando el esquema diferencial existente de difícil gestión, en las mismas condiciones que fue adoptado, deberá informar a la SSPD. En los demás casos deberá dar cumplimiento a lo dispuesto en esta PARTE.
PARÁGRAFO 2o. En el caso de los esquemas diferenciales en zonas de difícil acceso y condiciones particulares, si la persona prestadora que sustituye, decide continuar aplicando el esquema diferencial existente, en las mismas condiciones que fue aceptado, deberá informar a la Comisión de Regulación de Agua Potable y Saneamiento Básico (CRA), y a la SSPD. En los demás casos deberá dar cumplimiento a lo dispuesto en esta PARTE.
Artículo 5.11.1.7. Reporte de información. La persona prestadora deberá reportar la información de la implementación de los esquemas diferenciales en el área urbana de que trata la presente PARTE, en las condiciones, mecanismos y plazos que defina la SSPD.
Sin perjuicio de las acciones de inspección, vigilancia y control a que haya lugar por parte de la SSPD, cuando la persona prestadora no reporte al SUI, la información y los cálculos asociados a los indicadores establecidos en el PGED, el valor de estos indicadores al momento de evaluar el cumplimiento de las metas del PGED, corresponderá a cero (0).
Artículo 5.11.1.8. Inspección, vigilancia y control de los esquemas diferenciales. La SSPD, en ejercicio de sus competencias y de conformidad con el artículo 2.3.7.2.3.2, del Decreto 1077 de 2015, o aquel que lo modifique, adicione o sustituya, inspeccionará, vigilará y controlará la aplicación de cada uno de los esquemas diferenciales en área urbana, sin perjuicio de las facultades atribuidas a la CRA, en relación con la modificación, prórroga y terminación de los esquemas diferenciales de difícil acceso y con condiciones particulares.
PARÁGRAFO. En relación con las fuentes de financiación del PGED, la SSPD realizará inspección, control y vigilancia sobre los recursos que correspondan a los incluidos en la tarifa a cobrar a los suscriptores y/o usuarios del esquema diferencial.
Artículo 5.11.1.9. Evaluación y seguimiento de los esquemas diferenciales. El PGED al que hace referencia esta PARTE servirá de base para el control de gestión que ejerce la SSPD.
Las Áreas de Prestación del Servicio Diferenciales (APSD), a las que hace referencia esta PARTE, no serán objeto de clasificación del nivel de riesgo de que trata el TÍTULO 2 de la PARTE 6 del LIBRO 1, mientras se encuentre vigente el esquema diferencial adoptado.
Artículo 5.11.1.10. Aplicación de la fórmula tarifaria de los esquemas diferenciales. La fórmula tarifaria de los esquemas diferenciales de prestación del servicio público de aseo en áreas urbanas, de que trata el Capítulo 2, del Título 7, de la Parte 3, del Libro 2 del Decreto 1077 de 2015, o aquel que lo modifique, adicione o sustituya, se aplicará durante el plazo definido en el artículo 126 de la Ley 142 de 1994 y de conformidad con lo previsto en las metodologías tarifarias contenidas en los Títulos 2 y 5 de la Parte 3 del Libro 5 de la presente resolución, o aquellas que las modifiquen, adicionen o sustituyan.
Cuando la Comisión de Regulación en el marco de lo establecido en el artículo 126 de la Ley 142 de 1994 expida una nueva metodología tarifaria, el prestador deberá actualizar el estudio de costos del esquema diferencial manteniendo o mejorando las metas, indicadores, plazos, objetivos, acciones y fuentes de financiación para dar cumplimiento a las condiciones diferenciales y estándares de prestación del servicio previstas en el PGED, de lo cual deberá informar a la SSPD, y los suscriptores y/o usuarios y contar con los soportes respectivos para el ejercicio de vigilancia y control respectivo.
TÍTULO 2
ESQUEMAS DIFERENCIALES DE PRESTACIÓN DEL SERVICIO PÚBLICO DE ASEO APLICABLES A LAS PERSONAS PRESTADORAS INCLUIDAS EN EL ÁMBITO DE APLICACIÓN DEL ARTÍCULO 5.3.2.1.1, DE LA RESOLUCIÓN CRA 943 DE 2021, O AQUEL QUE LO MODIFIQUE, ADICIONE O SUSTITUYA
CAPÍTULO 1
Esquemas Diferenciales en Áreas de Difícil Gestión
SECCIÓN 1
ASPECTOS GENERALES DEL ESQUEMA DIFERENCIAL EN ÁREAS DE DIFÍCIL GESTIÓN
Artículo 5.11.2.1.1.1. Determinación del APSD del esquema diferencial en áreas de difícil gestión. La persona prestadora que adopte esquemas diferenciales de prestación para el servicio público de aseo en áreas de difícil gestión deberá establecer un (as) Área(s) de Prestación del Servicio Diferencial (APSD), en cada uno de los municipios o distritos, donde implementará el esquema diferencial, y reportarla(s) al ente territorial respectivo. Para el efecto, deberá elaborar un mapa geo-referenciado en formato shape, en el sistema de referencia MAGNA-SIRGAS o el sistema de coordenadas oficial que se encuentre vigente, delimitando exactamente el (las) área (s) del suelo urbano en la (s) cual (es) se compromete a cumplir el PGED.
Las personas prestadoras deberán definir el PGED, PID, PAED y los costos económicos de referencia diferenciales para cada APSD, de difícil gestión que atienda.
PARÁGRAFO 1o. El APSD de difícil gestión debe agrupar las áreas de difícil gestión que guarden correspondencia con la certificación municipal o distrital solicitada en el numeral 3 del artículo 2.3.7.2.2.1.2, así como también, atender las disposiciones de los parágrafos 1 y 2 del artículo 2.3.7.2.2.1.3, del Decreto 1077 de 2015, o aquel que lo modifique, adicione o sustituya.
PARÁGRAFO 2o. No podrán ser incluidos en el APSD de que trata el presente artículo, aquellos suscriptores que sean parte de un APS declarada por alguna persona prestadora del servicio público de aseo de conformidad con el artículo 5.3.2.1.6, de la presente resolución o aquel que lo modifique, adicione o sustituya. En consecuencia, las personas prestadoras deberán tener en cuenta que si dentro del APS, que definieron en los municipios y/o distritos, atienden suscriptores en áreas de difícil gestión y desean realizar la prestación del servicio público a estos suscriptores mediante el esquema de prestación diferencial, deberán excluir estos suscriptores de su APS e incluirlos en el APSD del esquema diferencial, lo cual deberá ser informado a la SSPD.
PARÁGRAFO 3o. En virtud del artículo 5o de la Ley 142 de 1994 y el numeral 19 del artículo 3o de la Ley 136 de 1994, modificado por el artículo 6o de la Ley 1551 de 2012, es responsabilidad del municipio o distrito garantizar la prestación del servicio público de aseo en aquellas áreas del suelo urbano que no sean reportadas como APS o APSD por alguna persona prestadora.
SECCIÓN 2
PLAN DE GESTIÓN DEL ESQUEMA DIFERENCIAL EN ÁREAS DE DIFÍCIL GESTIÓN
Artículo 5.11.2.1.2.1. Plan de Gestión del Esquema Diferencial (PGED), en áreas de difícil gestión. La persona prestadora que adopte el esquema diferencial de prestación para el servicio público de aseo en áreas de difícil gestión, deberá establecer un PGED, donde establezca las metas, indicadores, plazos, objetivos, acciones y fuentes de financiación para dar cumplimiento a las condiciones diferenciales y estándares de prestación del servicio definidos en la Sección 3 del presente capítulo.
El PGED, deberá contener como mínimo:
1. El Plan de Inversiones Diferencial (PID).
2. El Plan de Aseguramiento del Esquema Diferencial (PAED).
El PGED en áreas de difícil gestión debe estar articulado con los programas y proyectos incluidos por municipios, distritos, departamentos y/o la Nación en sus planes de desarrollo y con el Programa de Prestación del Servicio de la persona prestadora, el cual debe estar acorde con el Plan de Gestión Integral de Residuos Sólidos (PGIRS), del municipio o distrito y/o regional según el caso, de conformidad con el artículo 2.3.2.2.1.10, del Decreto 1077 de 2015 o aquel que lo modifique, adicione o sustituya.
De conformidad con el parágrafo del citado artículo, el Programa para la Prestación del Servicio público de Aseo debe revisarse y ajustarse de acuerdo con las actualizaciones del PGIRS, y ser enviado a la SSPD, para su vigilancia y control, conforme a lo establecido en el numeral 3.4 del artículo 3o de la Ley 142 de 1994.
PARÁGRAFO 1o. El PGED debe ser suscrito por el representante legal de la persona prestadora que adopte el esquema diferencial de prestación para el servicio público de aseo en áreas de difícil gestión.
PARÁGRAFO 2o. La persona prestadora del servicio público de aseo, acorde con lo establecido en el numeral 2 del artículo 2.3.7.2.2.1.6, del Decreto 1077 de 2015, o aquel que lo modifique, adicione o sustituya, establecerá en el Programa de Prestación del Servicio, la gradualidad para la incorporación de las diferentes actividades del servicio conforme con las condiciones municipales o distritales.
Artículo 5.11.2.1.2.2. Plan de Inversiones Diferencial (PID), en áreas de difícil gestión. El PID, en áreas de difícil gestión es el conjunto de inversiones para dar cumplimiento a las condiciones diferenciales y lograr las metas para los estándares de prestación, definidos en la Sección 3 del presente capítulo, a las que se compromete la persona prestadora del servicio público de aseo, el municipio o distrito, el departamento y/o la Nación, en el plazo definido en el PGED.
El PID para el servicio público de aseo será indicativo y corresponderá a las inversiones que la persona prestadora considere realizar para atender las directrices previstas en el Decreto 1077 de 2015, o aquel que lo modifique, adicione o sustituya, y estar orientadas al cumplimiento de las condiciones diferenciales y al logro de las metas para los estándares de prestación del servicio, definidos en la Sección 3 del presente capítulo, y considerando el siguiente indicador:
| Actividad | Indicador |
| Cobertura | Suscriptores atendidos APSD |
Las personas prestadoras deberán articular el PID, con las decisiones de uso de suelo contenidas en los Planes de Ordenamiento Territorial (POT), y los instrumentos que los desarrollen y complementen, de conformidad con el artículo 2.3.2.2.3.87, del Decreto 1077 de 2015, o aquel que lo modifique, adicione o sustituya.
Artículo 5.11.2.1.2.3. Plan de Aseguramiento del Esquema Diferencial (PAED) en áreas de difícil gestión. El PAED, en áreas de difícil gestión es el conjunto de acciones a ejecutar por la persona prestadora, el municipio o distrito, el departamento y/o la Nación para dar cumplimiento a las condiciones diferenciales y estándares de prestación en el plazo definido en el PGED, y promover la sostenibilidad de las inversiones incluidas en el PID, y la viabilidad de la prestación del servicio.
El PAED, en áreas de difícil gestión debe incluir, como mínimo, las siguientes actividades:
1. Asistencia técnica a los suscriptores y/o usuarios individuales o colectivos y comunidades organizadas en cuanto a:
a. Manejo y presentación de los residuos en los sitios indicados.
b. Presentación de residuos sólidos y separación en la fuente.
2. Diagnóstico institucional de las organizaciones sociales presentes en el APSD (en caso de existir).
3. Catastro de suscriptores y/o usuarios en el APSD.
4. Estudios de capacidad y disponibilidad de pago de los suscriptores y/o usuarios del APSD.
5. Acciones de gestión social a desarrollar con los suscriptores y/o usuarios beneficiarios del esquema diferencial, que se realizarán con el propósito de promover:
a. La participación de los suscriptores y/o usuarios beneficiarios del esquema diferencial en las distintas fases de ejecución del PGED.
b. La valoración del servicio, cultura de pago, aceptación del esquema diferencial y la regularización de los suscriptores y/o usuarios.
PARÁGRAFO. En el caso en que el municipio o distrito cuente con un plan de aseguramiento de la prestación del servicio elaborado por el gestor del programa Planes Departamentales para el Manejo Empresarial de los Servicios de Agua y Saneamiento (PDA), en concordancia con el artículo 2.3.3.1.5.4. del Decreto 1077 de 2015, o aquel que lo modifique, adicione o sustituya, la persona prestadora podrá emplear, para la formulación del PAED, las acciones relativas a estos servicios públicos que hayan sido incluidas en dicho instrumento. No obstante, en el Costo de Aseguramiento y Gestión Social (CMAG) no se remunerarán las actividades que estén financiadas a través del PDA.
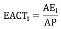
Artículo 5.11.2.1.2.4. Indicador de seguimiento al cumplimiento de las actividades programadas en el PAED definido en APSD de difícil gestión. La persona prestadora deberá definir metas para el cumplimiento de las actividades programadas en el PAED, y reportar al SUI anualmente su seguimiento a través del cálculo del indicador de cumplimiento, según lo establecido en la siguiente expresión matemática:

Donde:
IEACTi: Indicador de cumplimiento en la meta de ejecución de actividades programadas en el PAED en el año de análisis i.
EACTi: Indicador de ejecución de actividades programadas en el PAED en el año de análisis i. Este indicador se estima según lo establecido en la siguiente expresión matemática:

Donde:
AEi: Número de actividades ejecutadas en el año de análisis i de las programadas en el PAED del esquema diferencial.
AP: Número total de actividades programadas en el PAED del esquema diferencial.
M_EACTi: Meta establecida por el prestador para el indicador de ejecución de actividades programadas en el PAED del esquema diferencial para en el año de análisis i.
PARÁGRAFO. Teniendo en cuenta que este indicador evalúa el cumplimiento respecto a la meta propuesta por la persona prestadora, si se obtienen valores iguales a 1 para el IEACTi implica un cumplimiento del 100% de las actividades ejecutadas, respecto a la meta establecida por la persona prestadora. Por su parte, resultados con valores inferiores a 1 en el IEACTi indican que la persona prestadora ejecutó menos actividades de las que se había propuesto como meta realizar en el año de análisis i.
SECCIÓN 3
CONDICIONES, ESTÁNDARES Y METAS DE PRESTACIÓN DEL SERVICIO EN ESQUEMAS DIFERENCIALES EN ÁREAS DE DIFÍCIL GESTIÓN
Artículo 5.11.2.1.3.1. Determinación de las metas para los estándares de servicio en esquemas diferenciales en áreas de difícil gestión. La persona prestadora que adopte el esquema diferencial de prestación para el servicio público de aseo en áreas de difícil gestión, deberá proyectar metas anuales para cumplir con los siguientes estándares en los plazos y gradualidad definidos en el PGED:
| Nombre del estándar | Estándar | Meta servicio público de aseo | Meta y gradualidad diferencial |
| Cobertura | 100% | 100% cobertura en el APSD | El 100% de la diferencia entre el valor del indicador al inicio del esquema diferencial y el estándar debe lograrse en los plazos y gradualidad definidos en el PGED. |
Para la determinación de las metas anuales de los estándares de servicio, la persona prestadora deberá identificar el valor del indicador al inicio del esquema diferencial y proyectar las metas a las que se compromete en el plazo definido en el PGED para el APSD que defina, para alcanzar la meta para cada estándar. En todo caso, las metas proyectadas no podrán ser inferiores a las metas establecidas para el año inmediatamente anterior.
PARÁGRAFO 1o. Cuando la recolección de residuos sólidos no se realice puerta a puerta, se deberá implementar la recolección mediante sistemas colectivos de presentación y almacenamiento de residuos sólidos, de conformidad con el numeral 2.1. del artículo 2.3.7.2.2.1.6. del Decreto 1077 de 2015 o aquel que lo modifique, adicione o sustituya.
PARÁGRAFO 2o. La frecuencia de recolección de residuos no aprovechables se deberá considerar que el número de frecuencias para esta actividad corresponderá a aquel que optimice el costo de recolección y transporte de la persona prestadora, en relación con la cantidad de residuos generados en el APSD, sin que en ningún caso pueda ser inferior a dos (2) frecuencias semanales, de conformidad con el artículo 2.3.2.2.2.3.32. del Decreto 1077 de 2015 o aquel que lo modifique, adicione o sustituya.
PARÁGRAFO 3o. En calles no pavimentadas y en áreas donde por sus características físicas no sea posible realizar el barrido mecánico, se desarrollarán labores de limpieza manual a cargo de la persona prestadora, de conformidad con el numeral 2.2. del artículo 2.3.7.2.2.1.6. del Decreto 1077 de 2015 o aquel que lo modifique, adicione o sustituya. Así mismo, las frecuencias de barrido serán como mínimo las que establece el artículo 2.3.2.2.2.4.53. del Decreto 1077 de 2015 o aquel que lo modifique, adicione o sustituya.
Artículo 5.11.2.1.3.2. Cálculo del indicador de cumplimiento de la meta de cobertura. El indicador de cumplimiento de la meta de cobertura para el servicio público de aseo para esquemas diferenciales en áreas de difícil gestión se estima según lo establecido en la siguiente expresión matemática:

Donde:
CMCOBi,aseo: Cumplimiento metas de cobertura para el servicio público de aseo, en el año de análisis i evaluado, redondeado a dos (2) cifras decimales.
Reali,aseo: Número de suscriptores y/o usuarios individuales o colectivos del servicio público de aseo atendidos por la persona prestadora en el APSD de difícil gestión, en el año de análisis i.
Metai,aseo: Número de suscriptores y/o usuarios individuales o colectivos del servicio público de aseo correspondientes a la meta establecida por la persona prestadora en el PGED para el estándar de cobertura, en el año de análisis i.
i: Cada uno de los años de análisis que hacen parte del plazo establecido en el PGED
SECCIÓN 4
COSTOS ECONÓMICOS DE REFERENCIA Y TARIFA FINAL POR SUSCRIPTOR EN ESQUEMAS DIFERENCIALES EN ÁREAS DE DIFÍCIL GESTIÓN
Artículo 5.11.2.1.4.1. Costo Fijo Total en el APSD de difícil gestión (CFTADG). El costo fijo total por suscriptor en el APSD de difícil gestión se estima según lo establecido en la siguiente expresión matemática:
![]()
Donde:
CFTADG: Costo fijo total por suscriptor en el APSD de difícil gestión definida en el municipio y/o distrito (pesos de diciembre de 2014/suscriptor-mes).
CCSADG: Costo de comercialización por suscriptor del servicio público de aseo en el APSD de difícil gestión (pesos de diciembre de 2014/suscriptor-mes), calculado de conformidad con el ARTÍCULO 5.3.2.2.2.1. de la presente resolución o aquel que lo modifique, adicione o sustituya. En todo caso, el valor que se adopte, no podrá superar el CCS que la persona prestadora cobre en las APS del municipio y/o distrito donde se adopte el esquema diferencial de difícil gestión.
CMAGADG: Costo de aseguramiento y gestión social por suscriptor del servicio público de aseo en el APSD de difícil gestión, definido en el ARTÍCULO 5.11.2.1.4.3. de la presente resolución (pesos de diciembre de 2014/suscriptor-mes).
CLUS: Costo de limpieza urbana por suscriptor del servicio público de aseo (pesos de diciembre de 2014/suscriptor-mes), corresponderá al costo cobrado en las APS del municipio y/o distrito.
CBLS: Costo de barrido y limpieza por suscriptor (pesos de diciembre de 2014/ suscriptor-mes), corresponderá al costo cobrado en las APS del municipio y/o distrito.
PARÁGRAFO. En caso que alguna de las actividades del servicio público de aseo de que trata el presente artículo, no se esté prestando en atención a la gradualidad para su incorporación establecida en el programa de prestación del servicio, de conformidad con lo dispuesto en el numeral 2 del artículo 2.3.7.2.2.1.6. del Decreto 1077 de 2015 o aquel que lo modifique, adicione o sustituya, el costo asociado para dicha actividad será igual a cero.
Artículo 5.11.2.1.4.2. Costo variable por tonelada de residuos no aprovechables en el APSD de difícil gestión (CVNAADG) El costo variable por tonelada de residuos sólidos no aprovechables en el APSD de difícil gestión se estima según lo establecido en la siguiente expresión matemática:
![]()
Donde:
CVNAADG: Costo variable por tonelada de residuos sólidos no aprovechables en el APSD de difícil gestión definida en el municipio y/o distrito (pesos de diciembre de 2014/ tonelada).
CRTADG: Costo de recolección y transporte de residuos sólidos en el APSD de difícil gestión (pesos de diciembre de 2014/tonelada), calculado de conformidad con el ARTÍCULO 5.3.2.2.5.1. de la presente resolución o aquel que lo modifique, adicione o sustituya. En todo caso, el valor que se adopte no podrá superar el CRT que la persona prestadora cobre en las APS del municipio y/o distrito donde se adopte el esquema diferencial de difícil gestión.
CDF: Costo de disposición final por tonelada (pesos diciembre de 2014/tonelada), corresponderá al costo cobrado en las APS del municipio y/o distrito.
CTL: Costo de tratamiento de lixiviados por tonelada (pesos de diciembre de 2014/ tonelada), corresponderá al costo cobrado en las APS del municipio y/o distrito.
PARÁGRAFO. El cálculo del costo de recolección y transporte de residuos sólidos con aporte bajo condición en el APSD de difícil gestión deberá calcularse acorde con lo establecido en el ARTÍCULO 5.3.2.2.5.3. de la presente resolución o aquel que lo modifique, adicione o sustituya.
Artículo 5.11.2.1.4.3. Costo de aseguramiento y gestión social por suscriptor del servicio público de aseo en el APSD de difícil gestión (CMAGADG). El costo de aseguramiento y gestión social por suscriptor del servicio público de aseo en el APSD de difícil gestión, se estima según lo establecido en la siguiente expresión matemática:
![]()
Donde:
CMAGADG: Costo de aseguramiento y gestión social por suscriptor del servicio público de aseo en el APSD de difícil gestión definida en el municipio y/o distrito (pesos de diciembre de 2014/suscriptor-mes).
CPAEDADG: Costo total incurrido durante el semestre calendario inmediatamente anterior de las actividades del PAED realizadas por la persona prestadora en el APSD de difícil gestión, acorde con lo definido en el ARTÍCULO 5.11.2.1.2.3. de la presente resolución (pesos de diciembre de 2014/mes).
Promedio mensual de suscriptores totales en el APSD de difícil gestión del semestre calendario inmediatamente anterior acorde con lo establecido en el ARTÍCULO 5.3.2.1.4. de la presente resolución o aquel que lo modifique, adicione o sustituya (suscriptores/mes).
PARÁGRAFO 1o. El CPAEDADG incluirá los gastos de las actividades del PAED definido en el ARTÍCULO 5.11.2.1.2.3. de la presente resolución que se financien parcial o totalmente con cargo a la tarifa. No se podrán incluir costos de actividades que ya estén siendo remuneradas a través del costo de comercialización por suscriptor (CCSADG).
PARÁGRAFO 2o. La persona prestadora reportará la información solicitada en el ANEXO 6.3.6.1. de la presente resolución, así como los soportes de la estimación del CPAEDAGD al SUI en los términos y condiciones que la SSPD establezca.
PARÁGRAFO 3o. El costo de aseguramiento y gestión social CMAGADG se actualizará de acuerdo con el Índice de Precios al Consumidor (IPC), calculado por el DANE, teniendo en cuenta lo establecido en el artículo 125 de la Ley 142 de 1994.
Artículo 5.11.2.1.4.4. Tarifa final por suscriptor en el APSD de difícil gestión (TFSADG,uz, TFSAGDi,z). Para efecto de calcular la tarifa mensual final al suscriptor, la persona prestadora de recolección y transporte de residuos no aprovechables en el APSD de difícil gestión aplicará la siguiente expresión matemática:
1. Si el usuario no tiene aforo:
![]()
2. Si el usuario tiene aforo:
![]()
Donde:
TFSADG,u.z: Tarifa final por suscriptor tipo u, en el APSD z, de la persona prestadora en el APSD de difícil gestión (pesos/suscriptor-mes).
TFSADG,i,z: Tarifa final por suscriptor aforado i, en el APSD z, de la persona prestadora en el APSD de difícil gestión (pesos/suscriptor-mes).
CFTADG: Costo fijo total definido en el ARTÍCULO 5.11.2.1.4.1. de la presente resolución (pesos/suscriptor-mes).
CVNAADG: Costo variable por tonelada de residuos no aprovechables en el APSD de difícil gestión, definido en el ARTÍCULO 5.11.2.1.4.2. de la presente resolución (pesos/ tonelada).
VBA: Valor base de aprovechamiento por tonelada de residuos (pesos/tonelada), corresponderá al valor cobrado en las APS del municipio y/o distrito.
TAFAi,k: Toneladas de residuos aprovechables aforadas por suscriptor i en la Estación de Clasificación y Aprovechamiento de Residuos Sólidos-ECA k (toneladas/suscriptor-mes).
| _____ TRBL: | Toneladas de barrido y limpieza por suscriptor, definidas en el ARTÍCULO 5.3.2.3.2, de la presente resolución o aquel que lo modifique, adicione o sustituya (toneladas/sucriptor -mes) |
| _____ TRLU: | Toneladas de limpieza urbana por suscriptor, definidas en el ARTÍCULO 5.3.2.3.2, de la presente resolución o aquel que lo modifique, adicione o sustituya (toneladas/sucriptor -mes) |
| _____ TRRA: | Toneladas de rechazo del aprovechamiento por suscriptor, definidas en el definido en el ARTÍCULO 5.3.2.3.2, de la presente resolución o aquel que lo modifique, adicione o sustituya (toneladas/suscriptor - mes) |
| ____ TRA: | Toneladas efectivamente aprovechadas no aforadas por suscriptor, definidas definido en el ARTÍCULO 5.3.2.3.2 de la presente resolución o aquel lo modifique, adicione o sustituya (tonelas/suscriptor - mes) |
TRNAADG,u,z: Toneladas de residuos no aprovechables por suscriptor u en el APSD z, de la persona prestadora en el APSD de difícil gestión, de acuerdo con lo establecido en el ARTÍCULO 5.3.2.3.3. de la presente resolución o aquel que lo modifique, adicione o sustituya (toneladas/suscriptor-mes).
TAFNAADG,i,z: Toneladas de residuos no aprovechables aforadas por suscriptor i en el APSD z de la persona prestadora en el APSD de difícil gestión (toneladas/suscriptor- mes).
FCSu: Factor de contribución o subsidio correspondiente a cada suscriptor, aplicable para el servicio público de aseo, determinado por estrato o tipo de uso de acuerdo con la normatividad aplicable, subsidio con signo negativo y contribución con signo positivo. Teniendo en cuenta adicionalmente lo establecido en el parágrafo 1 del artículo 2.3.7.2.3.1. del Decreto 1077 de 2015 o aquel que lo modifique, adicione o sustituya.
u: Tipo de suscriptor, donde u = {1,2,3,4,5,6= estratos suscriptores residenciales, 7=pequeño productor, 8= inmuebles desocupados}.
z: Área de Prestación del Servicio en Zonas de Difícil Gestión (APSD), donde z ={1,2,3,4,...,Z}.
i: Suscriptor aforado, donde i ={1,2,3,4,..., I}..
k: Número de Estaciones de Clasificación y Aprovechamiento (ECA) en el municipio, donde k ={1,2,3,4,...,K}.
PARÁGRAFO. En caso que la actividad de aprovechamiento, no se esté prestando en el APSD, en atención a la gradualidad para su incorporación establecida en el programa de prestación del servicio que establezca la persona prestadora, de conformidad con lo dispuesto en el numeral 2 del artículo 2.3.7.2.2.1.6. del Decreto 1077 de 2015 o aquel que lo modifique, adicione o sustituya, el costo asociado para dicha actividad será igual a cero.
Artículo 5.11.2.1.4.5. Actualización de costos. Los costos económicos calculados por la persona prestadora en el APSD de difícil gestión según lo establecido en la presente resolución, se actualizarán acorde con lo establecido en el ARTÍCULO 5.3.2.2.8.1. de la presente resolución, o aquel que lo modifique, adicione o sustituya. Lo anterior, con excepción del CMAGADG para el cual se tendrá en consideración lo establecido en el parágrafo 3 del ARTÍCULO 5.11.2.1.4.3. de la presente resolución.
SECCIÓN 5
ADOPCIÓN, MODIFICACIÓN, PRÓRROGA Y TERMINACIÓN DEL ESQUEMA DIFERENCIAL EN ÁREAS DE DIFÍCIL GESTIÓN
Artículo 5.11.2.1.5.1. Adopción del esquema diferencial en áreas de difícil gestión. Para la aplicación del esquema diferencial en áreas de difícil gestión, la persona prestadora del servicio público de aseo deberá dar cumplimiento a los requisitos mínimos previstos en el artículo 2.3.7.2.2.1.2. del Decreto 1077 de 2015 o aquel que lo modifique, adicione o sustituya. Dicha adopción no estará sujeta a la aceptación de la CRA.
PARÁGRAFO 1o. El esquema diferencial en áreas de difícil gestión inicia una vez la persona prestadora haya socializado el PGED de manera simultánea con las tarifas diferenciales a aplicar, teniendo en cuenta lo previsto en el TÍTULO 4 de la PARTE 3 del LIBRO 5 de la presente resolución o la norma que la modifique, adicione o sustituya, para el reporte de las variaciones tarifarias.
PARÁGRAFO 2o. En el caso de esquemas diferenciales de difícil gestión que hubieren sido implementados con anterioridad a la expedición de la presente resolución, la persona prestadora, dentro de los doce (12) meses siguientes a la expedición de la presente resolución, deberá modificar el PGED y los costos económicos de referencia, de conformidad con lo previsto en el presente CAPÍTULO. Lo anterior deberá ser informado a los suscriptores y/o usuarios y reportado al SUI en las condiciones y plazos que defina la SSPD.
Artículo 5.11.2.1.5.2. Modificación y/o prórroga del esquema diferencial en áreas de difícil gestión. El esquema diferencial en áreas de difícil gestión podrá ser modificado y/o prorrogado por la persona prestadora antes del vencimiento del plazo señalado en el PGED, para lo cual deberá cumplir con lo establecido en el artículo 2.3.7.2.2.1.4. del Decreto 1077 de 2015 o aquel que lo modifique, adicione o sustituya, informarlo por escrito a la SSPD y reportarlo al SUI en los términos y condiciones que defina dicha entidad.
La persona prestadora que decida modificar el APSD en áreas de difícil gestión, podrá hacerlo previo cumplimiento de los requisitos mínimos previstos en el artículo 2.3.7.2.2.1.2. del Decreto 1077 de 2015 o aquel que lo modifique, adicione o sustituya, y deberá realizar los ajustes al PGED, PID, PAED, así como a las condiciones, metas y costos económicos de referencia diferenciales. Esto no implicará adelantar una actuación administrativa particular ante la CRA.
Artículo 5.11.2.1.5.3. Terminación del esquema diferencial en áreas de difícil gestión. Conforme a lo establecido en el artículo 2.3.7.2.2.1.5. del Decreto 1077 de 2015, el esquema diferencial en áreas de difícil gestión termina cuando se cumpla alguna de las siguientes dos (2) condiciones:
1. Se superen las condiciones del servicio que dieron origen a la prestación en condiciones diferenciales dentro del plazo fijado por la persona prestadora en el PGED.
2. Cuando culmine el plazo fijado por la persona prestadora en el PGED respecto de las metas y gradualidad para el logro de los estándares señalados por la regulación.
PARÁGRAFO. En todo caso, de conformidad con el artículo 2.3.7.2.2.1.5. del Decreto 1077 de 2015 o aquel que lo modifique, adicione o sustituya, cuando la SSPD en ejercicio de sus funciones de inspección, vigilancia y control encuentre que no se están cumpliendo las obligaciones en la aplicación del esquema diferencial, podrá imponer las sanciones y demás acciones para corregir la actuación del prestador.
Artículo 5.11.2.1.5.4. Integración de áreas de difícil gestión que hacen parte del APSD por superación de las condiciones del servicio que dieron origen a la prestación en condiciones diferenciales. Cuando en las áreas de difícil gestión, que hacen parte del APSD del esquema diferencial de difícil gestión, se superen las condiciones que dieron lugar a la prestación del servicio en condiciones diferenciales, se deberá tener en consideración lo siguiente:
1. Si la persona prestadora decide no integrarla(s) al APS atendida por la misma persona prestadora que implementó el esquema diferencial de difícil gestión, en el respectivo municipio o distrito, deberá aplicar la tarifa calculada por el prestador para el APS del municipio o distrito, cumplir con los estándares establecidos en la metodología tarifaria vigente y cumplir con lo previsto en el TÍTULO 4 de la PARTE 3 del Libro 5 de la presente resolución, o la norma que la modifique, adicione o sustituya para el reporte de las variaciones tarifarias.
2. Si la persona prestadora decide integrarla(s) al APS atendida por la misma persona prestadora que implementó el esquema diferencial de difícil gestión, en el respectivo municipio o distrito, deberá actualizar el estudio de costos del APS con la metodología tarifaria vigente y deberá cumplir con lo previsto el TÍTULO 4 de la PARTE 3 del LIBRO 5 de la presente resolución, o la norma que la modifique, adicione o sustituya para el reporte de las variaciones tarifarias.
CAPÍTULO 2
ESQUEMAS DIFERENCIALES EN ÁREAS DE PRESTACIÓN DEL SERVICIO – APS CON CONDICIONES PARTICULARES
SECCIÓN 1
ASPECTOS GENERALES DEL ESQUEMA DIFERENCIAL EN APS CON CONDICIONES PARTICULARES
Artículo 5.11.2.2.1.1. Determinación del APSD del esquema diferencial en APS con condiciones particulares. El APSD del esquema diferencial en Áreas de Prestación del Servicio (APS) con condiciones particulares corresponderá al APS definida por la persona prestadora del servicio público de aseo de conformidad con el ARTÍCULO 5.3.2.1.6. de la presente resolución, o aquel que lo modifique, adicione o sustituya, en aquellos municipios o distritos que cuentan con una población urbana mayor a 25.000 y hasta 400.000 habitantes y tenga un Índice de Necesidades Básicas Insatisfechas (NBI) en cabecera municipal mayor al 30%, de acuerdo con la información del Departamento Administrativo Nacional de Estadística (DANE).
Las personas prestadoras deberán definir el PGED, PID, PAED y los costos económicos de referencia diferenciales para cada APSD con condiciones particulares que atiendan.
PARÁGRAFO 1o. La persona prestadora que decida implementar el esquema diferencial en APS con condiciones particulares, podrá vincular a este esquema, otras APS ubicadas en otros municipios o distritos donde se preste el servicio, siempre que cuenten con una población urbana menor a 25.000 habitantes según la información censal del DANE y que se vinculen al esquema diferencial con condiciones particulares.
PARÁGRAFO 2o. La implementación de los esquemas diferenciales con condiciones particulares no podrá afectar los estándares de prestación definidos por la regulación en las demás áreas o municipios o distritos atendidos por la persona prestadora.
PARÁGRAFO 3o. En virtud del artículo 5o de la Ley 142 de 1994 y el numeral 19 del artículo 3o de la Ley 136 de 1994, modificado por el artículo 6o de la Ley 1551 de 2012, es responsabilidad del municipio o distrito garantizar la prestación del servicio público de aseo en aquellas áreas del suelo urbano que no sean reportadas como APS o APSD por alguna persona prestadora.
Artículo 5.11.2.2.1.2. Aplicación conjunta de esquemas diferenciales. En el caso en que la persona prestadora del servicio público de aseo decida aplicar en el mismo municipio o distrito el esquema diferencial en APS con condiciones particulares y el esquema diferencial en áreas de difícil gestión, deberá definir un APSD distinta para cada esquema diferencial, con el objetivo de no afectar los estándares de prestación de conformidad con lo previsto en los parágrafos 1 de los artículos 2.3.7.2.2.1.3. y 2.3.7.2.2.3.3. del Decreto 1077 de 2015 o aquel que lo modifique, adicione o sustituya.
Los criterios regulatorios para el esquema diferencial de difícil gestión se encuentran contenidos en el CAPÍTULO 1 DEL TÍTULO 2 de la presente PARTE y para el esquema diferencial en APS con condiciones particulares en el presente CAPÍTULO.
PARÁGRAFO. La persona prestadora del servicio público de aseo debe elaborar un mapa geo-referenciado en formato shape, en el sistema de referencia MAGNA-SIRGAS o el sistema de coordenadas oficial que se encuentre vigente, delimitando exactamente el APSD de difícil gestión y el APSD con condiciones particulares.
SECCIÓN 2
PLAN DE GESTIÓN DEL ESQUEMA DIFERENCIAL EN APS CON CONDICIONES PARTICULARES
Artículo 5.11.2.2.2.1. Plan de Gestión del Esquema Diferencial (PGED) en APS con condiciones particulares. La persona prestadora que implemente el esquema diferencial de prestación para el servicio público de aseo en APS con condiciones particulares, deberá establecer un PGED donde establezca las metas, indicadores, plazos, objetivos, acciones y fuentes de financiación para dar cumplimiento a las condiciones diferenciales y estándares de prestación del servicio definidos en la SECCIÓN 3 del presente CAPÍTULO.
El PGED deberá contener como mínimo:
1. El Plan de Inversiones Diferencial (PID).
2. El Plan de Aseguramiento del Esquema Diferencial (PAED).
El PGED en APSD con condiciones particulares debe estar articulado con los programas y proyectos incluidos por municipios, distritos, departamentos y/o la Nación en sus planes de desarrollo y con el Programa de Prestación del Servicio de la persona prestadora, el cual debe estar acorde con el Plan de Gestión Integral de Residuos Sólidos (PGIRS) del municipio o distrito y/o regional según el caso, de conformidad con el artículo 2.3.2.2.1.10. del Decreto 1077 de 2015 o aquel que lo modifique, adicione o sustituya.
De conformidad con el parágrafo del citado artículo, el Programa para la Prestación del Servicio público de Aseo debe revisarse y ajustarse de acuerdo con las actualizaciones del PGIRS y ser enviado a la SSPD para su vigilancia y control, conforme a lo establecido en el numeral 3.4 del artículo 3o de la Ley 142 de 1994.
PARÁGRAFO 1o. El PGED debe ser suscrito por el representante legal de la persona prestadora que implemente el esquema diferencial de prestación para el servicio público de aseo en APSD con condiciones particulares.
PARÁGRAFO 2o. La persona prestadora del servicio público de aseo, acorde con lo establecido en el numeral 2 del artículo 2.3.7.2.2.3.6. del Decreto 1077 de 2015 o aquel que lo modifique, adicione o sustituya, establecerá en el Programa de Prestación del Servicio, la gradualidad para la incorporación de las diferentes actividades del servicio conforme con las condiciones municipales o distritales.
Artículo 5.11.2.2.2.2. Plan de Inversiones Diferencial (PID) en APSD con condiciones particulares. El PID en APSD con condiciones particulares es el conjunto de inversiones para dar cumplimiento a las condiciones diferenciales y lograr las metas para los estándares de prestación, definidos en la SECCIÓN 3 del presente CAPÍTULO, a las que se compromete la persona prestadora del servicio público de aseo, el municipio o distrito, el departamento y/o la Nación, en el plazo definido en el PGED.
El PID para el servicio público de aseo será indicativo y corresponderá a las inversiones que la persona prestadora considere realizar para atender las directrices previstas en el Decreto 1077 de 2015, o aquel que lo modifique, adicione o sustituya, y estar orientadas al cumplimiento de las condiciones diferenciales y al logro de las metas para los estándares de prestación del servicio, definidos en la SECCIÓN 3 del presente CAPÍTULO, y considerando el siguiente indicador:
| Actividad | Indicador |
| Cobertura | Suscriptores atendidos APSD |
Las personas prestadoras deberán articular el PID con las decisiones de uso de suelo contenidas en los Planes de Ordenamiento Territorial (POT) y los instrumentos que los desarrollen y complementen, de conformidad con el artículo 2.3.2.2.3.87. del Decreto 1077 de 2015 o aquel que lo modifique, adicione o sustituya.
Artículo 5.11.2.2.2.3. Plan de Aseguramiento del Esquema Diferencial (PAED) en APS con condiciones particulares. El PAED en APSD con condiciones particulares es el conjunto de acciones a ejecutar por la persona prestadora, el municipio o distrito, el departamento y/o la Nación para dar cumplimiento a las condiciones diferenciales y estándares de prestación en el plazo definido en el PGED y promover la sostenibilidad de las inversiones incluidas en el PID y la viabilidad de la prestación del servicio.
El PAED en APSD con condiciones particulares debe incluir, como mínimo, las siguientes actividades:
1. Asistencia técnica a los suscriptores y/o usuarios en cuanto a:
a) Manejo y presentación de los residuos en los sitios indicados.
b) Presentación de residuos sólidos y la separación en la fuente.
2. Acciones de gestión social a desarrollar con los suscriptores y/o usuarios beneficiarios del esquema diferencial, que se realizarán con el propósito de promover:
a) La participación de los suscriptores y/o usuarios beneficiarios del esquema diferencial en las distintas fases de ejecución del PGED.
b) La valoración del servicio, cultura de pago, aceptación del esquema diferencial y la regularización de los suscriptores y/o usuarios.
PARÁGRAFO. En el caso en que el municipio o distrito cuente con un plan de aseguramiento de la prestación del servicio elaborado por el gestor del programa Planes Departamentales para el Manejo Empresarial de los Servicios de Agua y Saneamiento (PDA), en concordancia con el artículo 2.3.3.1.5.4. del Decreto 1077 de 2015, o aquel que lo modifique, adicione o sustituya, la persona prestadora podrá emplear, para la formulación del PAED, las acciones relativas a estos servicios públicos que hayan sido incluidas en dicho instrumento. No obstante, en el Costo de Aseguramiento y Gestión Social (CMAG) no se remunerarán las actividades que estén financiadas a través del PDA.
Artículo 5.11.2.2.2.4. Indicador de seguimiento al cumplimiento de las actividades programadas en el PAED definido en APSD con condiciones particulares. La persona prestadora deberá definir metas para el cumplimiento de las actividades programadas en el PAED, y reportar al SUI anualmente su seguimiento a través del cálculo del indicador de cumplimiento, según lo establecido en la siguiente expresión matemática:

Donde:
IEACTi: Indicador de cumplimiento en la meta de ejecución de actividades programadas en el PAED en el año de análisis i.
EACTi: Indicador de ejecución de actividades programadas en el PAED en el año de análisis i. Este indicador se estima según lo establecido en la siguiente expresión matemática:

Donde:
AEi: Número de actividades ejecutadas en el año de análisis i de las programadas en el PAED del esquema diferencial.
AP: Número total de actividades programadas en el PAED del esquema diferencial.
M_EACTi: Meta establecida por el prestador para el indicador de ejecución de actividades programadas en el PAED del esquema diferencial para en el año de análisis i.
PARÁGRAFO. Teniendo en cuenta que este indicador evalúa el cumplimiento respecto a la meta propuesta por la persona prestadora, si se obtienen valores iguales a 1 para el IEACTi implica un cumplimiento del 100% de las actividades ejecutadas, respecto a la meta establecida por la persona prestadora. Por su parte, resultados con valores inferiores a 1 en el indican que la persona prestadora ejecutó menos actividades de las que se había propuesto como meta realizar en el año de análisis i.
SECCIÓN 3
CONDICIONES, ESTÁNDARES Y METAS DE PRESTACIÓN DEL SERVICIO EN ESQUEMAS DIFERENCIALES EN APS CON CONDICIONES PARTICULARES
Artículo 5.11.2.2.3.1. Determinación de las metas para los estándares de servicio en esquemas diferenciales en APS con condiciones particulares. La persona prestadora que implemente el esquema diferencial de prestación para el servicio público de aseo en APSD con condiciones particulares, deberá proyectar metas anuales para cumplir con los siguientes estándares en los plazos y gradualidad definidos en el PGED:
| Nombre del estándar | Estándar | Meta servicio público de aseo | Meta y gradualidad diferencial |
| Cobertura | 100% | 100% cobertura en el APSD | El 100% de la diferencia entre el valor del indicador al inicio del esquema diferencial y el estándar debe lograrse en los plazos y gradualidad definidos en el PGED. |
| Calidad de la frecuencia de recolección de residuos sólidos no aprovechables | 100% | Frecuencia de recolección de residuos sólidos no aprovechables establecida en el respectivo Contrato de Condiciones Uniformes (CCU) para cada microrruta de recolección. | El 100% de la diferencia entre el valor del indicador al inicio del esquema diferencial y el estándar debe lograrse en los plazos y gradualidad definidos en el PGED. |
Para la determinación de las metas anuales de los estándares de servicio, la persona prestadora deberá identificar el valor del indicador al inicio del esquema diferencial y proyectar las metas a las que se compromete en el plazo definido en el PGED para el APSD que defina, para alcanzar la meta para cada estándar. En todo caso, las metas proyectadas no podrán ser inferiores a las metas establecidas para el año inmediatamente anterior.
Para la definición de dichas metas, la persona prestadora deberá tener en consideración que la frecuencia de recolección de residuos no aprovechables deberá considerar que el número de frecuencias para esta actividad corresponderá a aquel que optimice el costo de recolección y transporte de la persona prestadora, en relación con la cantidad de residuos generados en el APSD, sin que en ningún caso pueda ser inferior a dos (2) frecuencias semanales, de conformidad con el artículo 2.3.2.2.2.3.32. del Decreto 1077 de 2015 o aquel que lo modifique, adicione o sustituya.
Artículo 5.11.2.2.3.2. Cálculo del indicador de cumplimiento de la meta de cobertura. El indicador de cumplimiento de la meta de cobertura para el servicio público de aseo para esquemas diferenciales en APS con condiciones particulares se estima según lo establecido en la siguiente expresión matemática:

Donde:
CMCOBi,aseo: Cumplimiento metas de cobertura para el servicio público de aseo, en el año de análisis i evaluado, redondeado a dos (2) cifras decimales.
Reali,aseo: Número de suscriptores y/o usuarios del servicio público de aseo atendidos por la persona prestadora en el APSD de condiciones particulares en el año de análisis i.
Metai,aseo: Número de suscriptores y/o usuarios del servicio público de aseo correspondientes a la meta establecida por la persona prestadora en el PGED, para el estándar de cobertura en el año de análisis i
i: Cada uno de los años de análisis que hacen parte del plazo establecido en el PGED.
SECCIÓN 4
COSTOS ECONÓMICOS DE REFERENCIA Y TARIFA FINAL POR SUSCRIPTOR EN ESQUEMAS DIFERENCIALES EN APS CON CONDICIONES PARTICULARES
SUBSECCIÓN 1
PERSONAS PRESTADORAS EN ESQUEMAS DIFERENCIALES EN APS CON CONDICIONES PARTICULARES EN MUNICIPIOS CON MÁS DE 5.000 SUSCRIPTORES EN EL ÁREA URBANA
Artículo 5.11.2.2.4.1.1. Costo fijo total en el APSD con condiciones particulares (CFTACP). El Costo fijo total por suscriptor en el APSD con condiciones particulares se estima según lo establecido en la siguiente expresión matemática:
![]()
Donde:
CFTACP: Costo fijo total por suscriptor en el APSD con condiciones particulares definida en el municipio y/o distrito (pesos de diciembre de 2014/suscriptor-mes).
CCSACP: Costo de comercialización por suscriptor del servicio público de aseo en el APSD con condiciones particulares (pesos de diciembre de 2014/suscriptor-mes), calculado de conformidad con el ARTÍCULO 5.3.2.2.2.1. de la presente resolución, o aquel que lo modifique, adicione o sustituya. En todo caso, el valor que se adopte no podrá superar el CCS que la persona prestadora cobre en las APS del municipio y/o distrito donde se adopte el esquema diferencial de condiciones particulares.
CMAGACP: Costo de aseguramiento y gestión social por suscriptor del servicio público de aseo en el APSD con condiciones particulares, definido en el ARTÍCULO 5.11.2.2.4.1.3. de la presente resolución (pesos de diciembre de 2014/suscriptor-mes).
CLUS: Costo de limpieza urbana por suscriptor del servicio público de aseo (pesos de diciembre de 2014/suscriptor-mes), corresponderá al costo cobrado en las APS del municipio y/o distrito.
CBLS: Costo de barrido y limpieza por suscriptor (pesos de diciembre de 2014/ suscriptor-mes), corresponderá al costo cobrado en las APS del municipio y/o distrito.
PARÁGRAFO. En caso que alguna de las actividades del servicio público de aseo de que trata el presente artículo, no se esté prestando en atención a la gradualidad para su incorporación establecidas en el programa de prestación del servicio, de conformidad con lo dispuesto en el numeral 2 del artículo 2.3.7.2.2.3.6. del Decreto 1077 de 2015 o aquel que lo modifique, adicione o sustituya, el costo asociado para dicha actividad será igual a cero.
Artículo 5.11.2.2.4.1.2. Costo variable por tonelada de residuos no aprovechables en el APSD con condiciones particulares (CVNAACP). El costo variable por tonelada de residuos sólidos no aprovechables en el APSD con condiciones particulares se estima según lo establecido en la siguiente expresión matemática:
![]()
Donde:
CVNAACP: Costo variable por tonelada de residuos sólidos no aprovechables en el APSD con condiciones particulares definida en el municipio y/o distrito (pesos de diciembre de 2014/tonelada).
CRTACP: Costo de recolección y transporte de residuos sólidos en el APSD con condiciones particulares (pesos de diciembre de 2014/tonelada), calculado de conformidad con el ARTÍCULO 5.3.2.2.5.1. de la presente resolución o aquel que lo modifique, adicione o sustituya. En todo caso, el valor que se adopte no podrá superar el CRT que la persona prestadora cobre en las APS del municipio y/o distrito donde se adopte el esquema diferencial en condiciones particulares.
CDF: Costo de disposición final por tonelada (pesos diciembre de 2014/tonelada), corresponderá al costo cobrado en las APS del municipio y/o distrito.
CTL: Costo de tratamiento de lixiviados por tonelada (pesos de diciembre de 2014/ tonelada), corresponderá al costo cobrado en las APS del municipio y/o distrito.
PARÁGRAFO. El cálculo del costo de recolección y transporte de residuos sólidos con aporte bajo condición en el APSD con condiciones particulares deberá calcularse acorde con lo establecido en el ARTÍCULO 5.3.2.2.5.3. de la presente resolución o aquel que lo modifique, adicione o sustituya.
Artículo 5.11.2.2.4.1.3. Costo de aseguramiento y gestión social por suscriptor del servicio público de aseo en el APSD con condiciones particulares (CMAGACP). El costo de aseguramiento y gestión social por suscriptor del servicio público de aseo en el APSD con condiciones particulares, se estima según lo establecido en la siguiente expresión matemática:

Donde:
CMAGACP: Costo de aseguramiento y gestión social por suscriptor del servicio público de aseo en el APSD con condiciones particulares definida en el municipio y/o distrito (pesos de diciembre de 2014/suscriptor-mes).
CPAEDACP: Costo total incurrido durante el semestre calendario inmediatamente anterior de las actividades del PAED realizadas por la persona prestadora en el APSD con condiciones particulares, acorde con lo definido en el ARTÍCULO 5.11.2.2.2.3. de la presente Resolución (pesos de diciembre de 2014/mes).
Promedio mensual de suscriptores totales en el APSD con condiciones particulares del semestre calendario inmediatamente anterior acorde con lo establecido en el ARTÍCULO 5.3.2.1.4. de la presente resolución o aquel que lo modifique, adicione o sustituya (suscriptores/mes).
PARÁGRAFO 1o. El CPAEDACP incluirá los gastos de las actividades del PAED definido en el ARTÍCULO 5.11.2.2.2.3. de la presente resolución que se financien parcial o totalmente con cargo a la tarifa. No se podrán incluir costos de actividades que ya estén siendo remuneradas a través del costo de comercialización por suscriptor (CCSACP).
PARÁGRAFO 2o. La persona prestadora reportará la información solicitada en el ANEXO 6.3.6.1. de la presente resolución, así como los soportes de la estimación del CPAEDACP al SUI en los términos y condiciones que la SSPD establezca.
PARÁGRAFO 3o. El costo de aseguramiento y gestión social CMAGACP se actualizará de acuerdo con el Índice de Precios al Consumidor (IPC), calculado por el DANE, teniendo en cuenta lo establecido en el artículo 125 de la Ley 142 de 1994.
Artículo 5.11.2.2.4.1.4. Tarifa final por suscriptor en el APSD con condiciones particulares (TFSACPG,u,z, TFSACP,i,z). Para efecto de calcular la tarifa mensual final al suscriptor, los prestadores de recolección y transporte de residuos no aprovechables en el APSD con condiciones particulares aplicarán la siguiente expresión matemática:
Si el usuario no tiene aforo:
![]()
1. Si el usuario tiene aforo:
![]()
Donde:
TFSACP,u,z: Tarifa final por suscriptor tipo u, en el APSD z, de la persona prestadora en el APSD con condiciones particulares (pesos/suscriptor-mes).
TFSACP,i,z: Tarifa final por suscriptor aforado i, en el APSD z, de la persona prestadora en el APSD con condiciones particulares (pesos/suscriptor-mes).
CFTACP: Costo fijo total por suscriptor en el APSD con condiciones particulares definido en el ARTÍCULO 5.11.2.2.4.1.1 de la presente resolución (pesos/suscriptor-mes).
CVNAACP: Costo variable por tonelada de residuos no aprovechables definido en el ARTÍCULO 5.11.2.2.4.1.2 de la presente resolución (pesos/tonelada).
VBA: Valor base de aprovechamiento por tonelada de residuos aprovechables, (pesos/ tonelada), corresponderá al valor cobrado en las APS del municipio y/o distrito.
TAFAi,k: Toneladas de residuos aprovechables aforadas por suscriptor i en la ECA k (toneladas/suscriptor- mes).
Toneladas limpieza urbana por suscriptor, definidas en el ARTÍCULO 5.3.2.3.2 de la presente resolución o aquel que lo modifique, adicione o sustituya (toneladas/suscriptor-mes)
Toneladas de rechazo del aprovechamiento por suscriptor, definidas en el ARTÍCULO 5.3.2.3.2 de la presente resolución o aquel que lo modifique, adicione o sustituya (toneladas/suscriptor-mes)
Toneladas de rechazo del aprovechamiento por suscriptor, definidas en el ARTÍCULO 5.3.2.3.2 de la presente resolución o aquel que lo modifique, adicione o sustituya (toneladas/suscriptor-mes)
Toneladas efectivamente aprovechadas por suscriptor, definidas en el ARTÍCULO 5.3.2.3.2 de la presente resolución o aquel que lo modifique, adicione o sustituya (toneladas/suscriptor-mes)
TRNAACP,u,z: Toneladas de residuos no aprovechables por suscriptor u en el APSD z, de la persona prestadora, en el APSD con condiciones particulares, de acuerdo con lo establecido en el ARTÍCULO 5.3.2.3.3. de la presente resolución o aquel que lo modifique, adicione o sustituya (toneladas/suscriptor-mes).
TAFNAACP,i,z: Toneladas de residuos no aprovechables aforadas por suscriptor i en el APSD z de la persona prestadora en el APSD con condiciones particulares, (toneladas/ suscriptor- mes).
FCSu: Factor de contribución o subsidio correspondiente a cada suscriptor, aplicable para el servicio público de aseo, determinado por estrato o tipo de uso de acuerdo con la normatividad aplicable, subsidio con signo negativo y contribución con signo positivo.
u: Tipo de suscriptor, donde u = {1,2,3,4,5,6= estratos suscriptores residenciales, 7=pequeño productor, 8= inmuebles desocupados}.
z: Área de Prestación del Servicio con Condiciones Particulares (APSD), donde z ={1,2,3,4,...,Z}.
i: Suscriptor aforado, donde i ={1,2,3,4,...,I}.
k: Número de Estaciones de Clasificación y Aprovechamiento (ECA) en el municipio, donde k ={1,2,3,4,...,K}.
Artículo 5.11.2.2.4.1.5. Actualización de costos. Los costos económicos calculados por la persona prestadora en el APSD de condiciones particulares según lo establecido en la presente resolución, se actualizarán acorde con lo establecido en el ARTÍCULO 5.3.2.2.8.1. de la presente resolución, o aquel que lo modifique, adicione o sustituya. Lo anterior, con excepción del CMAGACP para el cual se tendrá en consideración lo establecido en el parágrafo 3 del ARTÍCULO 5.11.2.2.4.1.3. de la presente Resolución
SUBSECCIÓN 2
PERSONAS PRESTADORAS CON ESQUEMAS DIFERENCIALES EN APS CON CONDICIONES PARTICULARES UBICADAS EN MUNICIPIOS VINCULADOS A UN ESQUEMA DE PRESTACIÓN REGIONAL EN DONDE ALGUNA DE LAS APS SE ENCUENTRA EN UN MUNICIPIO CON MÁS DE 5.000 SUSCRIPTORES EN EL ÁREA URBANA.
Artículo 5.11.2.2.4.2.1. Áreas de prestación con condiciones particulares en suelo urbano de un municipio y/o distrito con una población urbana mayor a 25.000 y hasta 400.000 habitantes que vincule un área de prestación de un municipio con una población urbana menor a 25.000 habitantes. Cuando la persona prestadora del servicio público de aseo implemente el esquema diferencial en APS con condiciones particulares y vincule un área de prestación de un municipio con una población urbana menor a 25.000 habitantes, bajo un esquema de prestación regional del que trata el numeral 3 del ARTÍCULO 5.3.5.1.7. de la presente resolución o aquel que lo modifique, adicione o sustituya, el cálculo de los costos económicos deberá realizarse acorde con lo establecido en la presente SUBSECCIÓN.
Artículo 5.11.2.2.4.2.2. Costo fijo total en el área de prestación del servicio APS con condiciones particulares (CFTACPR). El costo fijo total por suscriptor del Área de Prestación del Servicio (APS) con condiciones particulares, incorporada dentro de un esquema de prestación regional del que trata el numeral 3 del ARTÍCULO 5.3.5.1.7. de la presente resolución o aquel que lo modifique, adicione o sustituya, se estima según lo establecido en la siguiente expresión matemática:
![]()
Donde:
CFTACPR: Costo fijo total por suscriptor en el APS con condiciones particulares definida en el municipio y/o distrito (pesos de julio de 2018/suscriptor-mes).
CCSACPR: Costo de comercialización por suscriptor del servicio público de aseo en el APS con condiciones particulares (pesos de julio de 2018/suscriptor-mes), calculado de conformidad con el ARTÍCULO 5.3.5.7.2.1. de la presente resolución o aquel que lo modifique, adicione o sustituya.
CMAGACPR: Costo de aseguramiento y gestión social por suscriptor del servicio público de aseo en el APS con condiciones particulares definido en el ARTÍCULO 5.11.2.2.4.2.4. de la presente resolución (pesos de julio de 2018/suscriptor-mes). Para el caso de las APS z que no apliquen esquemas diferenciales urbanos el valor de CMAGACPR será igual a cero.
CLUSz: Costo de limpieza urbana por suscriptor para el APS z (pesos de julio de 2018/ suscriptor-mes), corresponderá al costo cobrado en las APS del municipio y/o distrito.
CBLSz: Costo de barrido y limpieza por suscriptor para el APS z (pesos de julio de 2018/suscriptor-mes), corresponderá al costo cobrado en las APS del municipio y/o distrito.
z: Áreas de Prestación del Servicio (APS) que conforman el esquema de prestación, donde z = {1, 2, 3, 4,...,Z}.
ACPR: Áreas de Prestación del Servicio (APS) con condiciones particulares definida (s) en el (los) municipio(s) y/o distrito(s) que conforman el esquema de prestación regional, donde ACPR = {1, 2, 3, 4,...,ACPR}.
PARÁGRAFO. En caso que alguna de las actividades del servicio público de aseo de que trata el presente artículo, no se esté prestando en atención a la gradualidad para su incorporación establecidas en el programa de prestación del servicio, de conformidad con lo dispuesto en el numeral 2 del artículo 2.3.7.2.2.3.6. del Decreto 1077 de 2015 o aquel que lo modifique, adicione o sustituya, el costo asociado para dicha actividad será igual a cero.
Artículo 5.11.2.2.4.2.3. Costo variable por tonelada de residuos no aprovechables en el área de prestación del servicio APS con condiciones particulares (CVNAACPR). El costo variable por tonelada de residuos sólidos no aprovechables para el Área de Prestación del Servicio (APS) con condiciones particulares, incorporada dentro de un esquema de prestación regional, se estima según lo establecido en la siguiente expresión matemática:
![]()
Donde:
CVNAACPR: Costo variable por tonelada de residuos sólidos no aprovechables en el APS con condiciones particulares definida en el municipio y/o distrito perteneciente a un esquema de prestación regional (pesos de julio de 2018/tonelada).
CRTACPR: Costo de recolección y transporte de residuos sólidos en el APS con condiciones particulares (pesos de julio de 2018/tonelada), calculado de conformidad con el ARTÍCULO 5.3.5.7.5.1. de la presente resolución o aquel que lo modifique, adicione o sustituya. En todo caso, el valor que se adopte no podrá superar el CRT que la persona prestadora cobre en las APS z del municipio y/o distrito.
CDFT: Costo de disposición final total por tonelada (pesos de julio de 2018/tonelada), corresponderá al costo cobrado en las APS del municipio y/o distrito.
CTz: Costo de tratamiento por tonelada definido en el ARTÍCULO 5.3.5.7.7.2. de la presente resolución el que lo modifique, adicione o sustituya (pesos de julio de 2018/ tonelada).
z: Áreas de Prestación del Servicio (APS) que conforman el esquema de prestación, donde z = {1, 2, 3, 4,...,Z}.
ACPR: Áreas de Prestación del Servicio Diferencial (APSD) con condiciones particulares definida (s) en el (los) municipio(s) y/o distrito(s) que conforman el esquema de prestación regional, donde ACPR = {1, 2, 3, 4,...,ACPR}.
PARÁGRAFO. El cálculo del costo de recolección y transporte de residuos sólidos con aporte bajo condición en el APSD de condiciones particulares deberá calcularse acorde con lo establecido en el ARTÍCULO 5.3.5.7.5.3. de la presente resolución o aquel que lo modifique, adicione o sustituya.
Artículo 5.11.2.2.4.2.4. Costo de aseguramiento y gestión social por suscriptor del servicio público de aseo en el APSD con condiciones particulares (CMAGACPR). El costo de aseguramiento y gestión social por suscriptor del servicio público de aseo en el (las) APS con condiciones particulares, incluidas en el esquema de prestación regional, se estima según lo establecido en la siguiente expresión matemática:

Donde:
CMAGACPR: Costo de aseguramiento y gestión social por suscriptor del servicio público de aseo en el (las) APS con condiciones particulares definida (s) en el (los) municipio(s) y/o distrito(s) (pesos de julio de 2018//suscriptor-mes).
CPAEDACPR: Costo total incurrido durante el semestre calendario inmediatamente anterior de las actividades del PAED realizadas por el prestador en el (las) APS con condiciones particulares, acorde con lo definido en el ARTÍCULO 5.11.2.2.2.3. de la presente resolución (pesos de julio de 2018/mes).
Promedio mensual de suscriptores totales en el (las) APS con condiciones particulares del semestre calendario inmediatamente anterior acorde con lo establecido en el ARTÍCULO 5.3.5.7.1.4. de la presente resolución o aquel que lo modifique, adicione o sustituya (suscriptores/mes).
ACPR: Áreas de Prestación del Servicio Diferencial (APSD) con condiciones particulares definida (s) en el (los) municipio(s) y/o distrito(s) que conforman el esquema de prestación regional, donde ACPR = {1, 2, 3, 4,...,ACPR}.
PARÁGRAFO 1o. El CPAEDACPR, calculado por el prestador en el (las) APSD con condiciones particulares, deberá incluir las actividades que se incluyan de aseguramiento y gestión social del PAED a financiarse parcial o totalmente vía tarifa del servicio público de aseo. No se podrán incluir costos de actividades que ya estén siendo remunerados a través del Costo de Comercializador por Suscriptor (CCSACPR).
PARÁGRAFO 2o. La persona prestadora reportará la información solicitada en el ANEXO 6.3.6.2. de la presente resolución, así como los soportes de la estimación del CPAEDACPR al SUI en los términos y condiciones que la SSPD establezca.
PARÁGRAFO 3o. El costo de aseguramiento y gestión social CMAGACPR, se actualizará de acuerdo con el Índice de Precios al Consumidor (IPC), calculado por el DANE, teniendo en cuenta lo establecido en el artículo 125 de la Ley 142 de 1994.
Artículo 5.11.2.2.4.2.5. Tarifa final por suscriptor en áreas de prestación del servicio APSD del esquema diferencial con condiciones particulares. Para efecto de calcular la tarifa mensual final al suscriptor, los prestadores de recolección y transporte de residuos no aprovechables en el APSD con condiciones particulares aplicarán la siguiente expresión matemática:
1. Si el usuario no tiene aforo:
![]()
2. Si el usuario tiene aforo:
![]()
Donde:
TFSACPR,u: Tarifa Final por Suscriptor tipo u, de la persona prestadora en el APSD con condiciones particulares (pesos/suscriptor-mes).
TFSACPR,i: Tarifa Final por Suscriptor i de la persona prestadora en el APSD con condiciones particulares (pesos/suscriptor-mes).
CFTACPR: Costo Fijo Total por suscriptor en el APSD con condiciones particulares definido en el ARTÍCULO 5.11.2.2.4.2.2. de la presente resolución (pesos de julio de 2018/suscriptor-mes).
CVNAACPR: Costo Variable por tonelada de residuos sólidos no aprovechables en el APSD con condiciones particulares definido en el ARTÍCULO 5.11.2.2.4.2.3. de la presente resolución (pesos de julio de 2018/tonelada).
CVAz: Costo Variable por tonelada de residuos efectivamente aprovechados del APS z definido en el ARTÍCULO 5.3.5.7.1.3. de la presente resolución o aquel que lo modifique, adicione o sustituya (pesos/tonelada).
TAFAi,z: Toneladas de Residuos efectivamente aprovechados aforadas por suscriptor i en el APS z, definidas en el ARTÍCULO 5.3.5.7.10.2. de la presente resolución o el que lo modifique, adicione o sustituya (toneladas/suscriptor-mes).
Toneladas de Residuos sólidos de Barrido y Limpieza por suscriptor del APSz definidas en el ARTICULO 5.3.5.7.10.2 de la presente resolucion o aquel lo modifique, adicione o sustituya (toneladas/suscriptor-mes)
Toneladas de Residuos sólidos de Limpieza Urbana por suscriptor del APSz definidas en el ARTICULO 5.3.5.7.10.2 de la presente resolucion o aquel lo modifique, adicione o sustituya (toneladas/suscriptor-mes)
Toneladas de Residuos de Rechazo del Aprovechamiento por suscriptor del APSz definidas en el ARTICULO 5.3.5.7.10.2 de la presente resolucion o aquel lo modifique, adicione o sustituya (toneladas/suscriptor-mes)
Toneladas de Residuos Efectivamente Aprovechados no aforados por suscriptor del APSz definidas en el ARTICULO 5.3.5.7.10.2 de la presente resolucion o aquel lo modifique, adicione o sustituya (toneladas/suscriptor-mes)
TRNAACPR,u: Toneladas de Residuos Sólidos No Aprovechables por suscriptor u en el APSD con condiciones particulares, de la persona prestadora de acuerdo con lo establecido en el ARTÍCULO 5.3.5.7.10.2. de la presente Resolución o aquel que lo modifique, adicione o sustituya (toneladas/suscriptor-mes).
TAFNAACPR,i: Toneladas de Residuos sólidos No Aprovechables aforadas por suscriptor i del APSD con condiciones particulares, de la persona prestadora definidas en el ARTÍCULO 5.3.5.7.10.3. de la presente resolución o aquel que lo modifique, adicione o sustituya (toneladas/suscriptor-mes)
FCSuz: Factor de Contribución o Subsidio correspondiente a cada suscriptor, aplicable para el servicio público de aseo, determinado por estrato o tipo de uso de acuerdo con la normatividad aplicable, subsidio con signo negativo y contribución con signo positivo.
u: Tipo de suscriptor, donde = {1,2,3,4,5,6= estratos suscriptores residenciales, 7=pequeño productor, 8= inmuebles desocupados}.
z: Área de Prestación del Servicio con Condiciones Particulares (APSD), donde z ={1,2,3,4,...,Z}.
i: Suscriptor aforado, donde ={1,2,3,4,...,I}.
ACPR: Áreas de Prestación del Servicio Diferencial (APSD) con condiciones particulares definida (s) en el (los) municipio(s) y/o distrito(s) que conforman el esquema de prestación regional, donde ACPR = {1, 2, 3, 4,...,ACPR}.
Artículo 5.11.2.2.4.2.6. Actualización de costos. Los costos económicos calculados por la persona prestadora en el APSD de condiciones particulares según lo establecido en la presente resolución se actualizarán acorde con lo establecido en el ARTÍCULO 5.3.5.7.9.1. de la presente resolución, o aquel que lo modifique, adicione o sustituya. Lo anterior, con excepción del CMAGACPR para el cual se tendrá en consideración lo establecido en el parágrafo 3 del ARTÍCULO 5.11.2.2.4.2.4. de la presente Resolución.
SECCIÓN 5
ACEPTACIÓN, MODIFICACIÓN, PRÓRROGA Y TERMINACIÓN DEL ESQUEMA DIFERENCIAL EN APS CON CONDICIONES PARTICULARES
Artículo 5.11.2.2.5.1. Documentación adicional que debe acompañar la solicitud de aceptación del esquema diferencial en APS con condiciones particulares. Además de los requisitos mínimos establecidos en el artículo 2.3.7.2.2.3.2. del Decreto 1077 de 2015 o aquel que lo modifique, adicione o sustituya, para efectos de obtener la aceptación del esquema diferencial en APS con condiciones particulares, la persona prestadora del servicio público de aseo, el municipio o distrito, deberá anexar a la solicitud escrita ante la CRA, lo siguiente:
1. Copia de la inscripción al Registro Único de Prestadores de Servicios Públicos (RUPS) donde conste que la persona prestadora suministra el servicio público de aseo en el municipio o distrito donde se implementará el esquema diferencial.
2. Estudio de costos y tarifas vigente al momento de presentar la solicitud del esquema, en el APS atendida por la persona prestadora en el municipio o distrito donde se implementará el esquema diferencial.
3. Estudio de costos y tarifas a aplicar en el esquema diferencial con condiciones particulares.
4. Contrato vigente suscrito entre el ente territorial y la persona prestadora para la prestación del servicio público de aseo, cuando aplique.
5. En aquellos casos en que la prestación del servicio público de aseo esté a cargo del municipio o distrito como prestador directo, el acto administrativo donde se determinen las condiciones en que se prestará el servicio.
Artículo 5.11.2.2.5.2. Verificación y aceptación del esquema diferencial en APS con condiciones particulares. Para efectos de otorgar la aceptación del esquema diferencial en APS con condiciones particulares, la CRA verificará:
1. El cumplimiento de cada uno de los requisitos mínimos que deben acompañar la solicitud del esquema diferencial, a los que hace referencia el artículo 2.3.7.2.2.3.2. del Decreto 1077 de 2015 o aquel que lo modifique, adicione o sustituya.
2. l cumplimiento de la documentación adicional establecida en el ARTÍCULO 5.11.2.2.5.1. de la presente Resolución.
Para el trámite de la solicitud de aceptación del esquema diferencial en APS con condiciones particulares, la CRA dará inicio a una actuación administrativa, en los términos de los artículos 106 y siguientes de la Ley 142 de 1994, y en lo no previsto en ella, aplicará el procedimiento administrativo general de que trata el Código de Procedimiento Administrativo y de lo Contencioso Administrativo (CPACA), contenido en la Ley 1437 de 2011. La actuación administrativa será decidida mediante acto administrativo motivado.
Los esquemas diferenciales en APS con condiciones particulares deberán iniciar en un plazo no superior a dos (2) meses una vez agotado el trámite de la actuación administrativa, mediante el cual la CRA expida el acto administrativo de aceptación correspondiente.
PARÁGRAFO. Una vez aceptado el esquema diferencial en APS con condiciones particulares y antes de dar inicio al mismo, la persona prestadora deberá socializar el PGED de manera simultánea con las tarifas diferenciales a aplicar, teniendo en cuenta lo previsto en el TÍTULO 4 de la PARTE 3 del LIBRO 5 de la presente resolución o la norma que la modifique, adicione o sustituya, para el reporte de las variaciones tarifarias.
Artículo 5.11.2.2.5.3. Modificación y/o prórroga del esquema diferencial en APS con condiciones particulares. El esquema diferencial en APS con condiciones particulares podrá ser modificado y/o prorrogado por la persona prestadora antes del vencimiento del plazo, para lo cual se deberá remitir los soportes de los ajustes a realizar respecto a los requisitos previstos en el artículo 2.3.7.2.2.3.2. del Decreto 1077 de 2015 o aquel que lo modifique, adicione o sustituya y la remisión de la documentación adicional establecida en el ARTÍCULO 5.11.2.2.5.1. de la presente resolución.
La modificación y/o prórroga se podrá realizar de oficio por la CRA o a solicitud de parte debidamente sustentada, antes del vencimiento del plazo señalado para la terminación del esquema diferencial.
Para el trámite de la solicitud de modificación y/o prórroga del esquema diferencial en APS con condiciones particulares, la CRA dará inicio a una actuación administrativa, en los términos de los artículos 106 y siguientes de la Ley 142 de 1994, y en lo no previsto en esta, aplicará el procedimiento administrativo general de que trata el CPACA contenido en la Ley 1437 de 2011, la cual será decidida mediante acto administrativo motivado.
Una vez prorrogado el plazo y/o modificadas las metas, indicadores, plazos, objetivos y acciones para el cumplimiento de las condiciones diferenciales y estándares de prestación del servicio establecidas en la SECCIÓN 3 del presente CAPÍTULO, la persona prestadora deberá realizar el reporte al SUI en los términos y condiciones que defina la SSPD.
PARÁGRAFO. Para efectos de la modificación y/o prórroga de oficio, la SSPD informará anualmente a la CRA, a partir del segundo año de aplicación del esquema diferencial, las personas prestadoras que no logren como mínimo el 50% de cada una de las metas anuales de cobertura y calidad de la frecuencia de recolección de residuos sólidos no aprovechables programadas en el PGED y de ejecución de actividades programadas en el PAED respecto al año de análisis i evaluado. Con base en dicha información, la CRA podrá requerir a la persona prestadora para que suministre la información sobre el desarrollo del esquema diferencial y podrá iniciar las actuaciones administrativas correspondientes.
Artículo 5.11.2.2.5.4. Causales de modificación y/o prórroga de los esquemas diferenciales en APS con condiciones particulares. Son causales de modificación y/o prórroga de los esquemas diferenciales en APS con condiciones particulares las siguientes:
1. El ajuste de las metas, indicadores, plazos, objetivos y acciones para el cumplimiento de las condiciones diferenciales y estándares de prestación del servicio establecidas en la SECCIÓN 3 del presente CAPÍTULO.
2. La sustitución de la persona prestadora del servicio siempre y cuando quien sustituye decida realizar ajustes al esquema diferencial existente.
3. La adición de un nuevo municipio con población urbana menor a 25.000 habitantes al APSD con condiciones particulares.
La CRA evaluará la solicitud de la persona prestadora con base en los requisitos mínimos establecidos en el artículo 2.3.7.2.2.3.2. del Decreto 1077 de 2015 o aquel que lo modifique, adicione o sustituya, y la información indicada en el ARTÍCULO 5.11.2.2.5.1. de la presente resolución y aceptará o negará su modificación y/o prórroga.
Artículo 5.11.2.2.5.5. Terminación de los esquemas diferenciales en APS con condiciones particulares. El esquema diferencial en APS con condiciones particulares termina cuando se cumple alguna de las siguientes tres condiciones:
1. Se superen las condiciones del servicio que dieron origen a la prestación con condiciones diferenciales dentro del plazo fijado por la persona prestadora en el PGED.
2. Cuando culmine el plazo fijado por la persona prestadora en el PGED respecto de las metas y gradualidad para el logro de los estándares señalados por la regulación.
3. Cuando se evidencie el incumplimiento del esquema diferencial en los términos establecidos en el ARTÍCULO 5.11.2.2.5.6. de la presente Resolución.
Artículo 5.11.2.2.5.6. Terminación del esquema diferencial en APS con condiciones particulares por incumplimiento. La CRA terminará el esquema diferencial en APS con condiciones particulares, cuando la persona prestadora no logre como mínimo el 50% de cada una de las metas de cobertura y calidad de la frecuencia de recolección de residuos sólidos no aprovechables programadas en el PGED y de ejecución de actividades programadas en el PAED, en el periodo de evaluación de cumplimiento.
La SSPD informará a la CRA, las personas prestadoras que se encuentren en dicha condición, con el fin de que esta entidad de inicio a las actuaciones administrativas correspondientes, en los términos de los artículos 106 y siguientes de la Ley 142 de 1994, y en lo no previsto en esta, aplicará el procedimiento administrativo general de que trata el CPACA, contenido en la Ley 1437 de 2011.
Una vez declarada la terminación del esquema diferencial por incumplimiento, si la persona prestadora decide continuar prestando el servicio público de aseo en esta APS, deberá aplicar la metodología tarifaria vigente y cumplir con los estándares allí establecidos.
PARÁGRAFO. Para efectos de la terminación de oficio, la primera verificación de cumplimiento se realizará respecto al quinto (5) año, contado a partir del año en el cual inicie el esquema diferencial y, posteriormente, cada tres (3) años, en relación con la última verificación de cumplimiento realizada.
TÍTULO 3
ESQUEMAS DIFERENCIALES DE PRESTACIÓN DEL SERVICIO PÚBLICO DE ASEO APLICABLES A LAS PERSONAS PRESTADORAS INCLUIDAS EN EL ÁMBITO DE APLICACIÓN DEL ARTÍCULO 5.3.5.1.1 DE LA RESOLUCIÓN CRA 943 DE 2021 O AQUELLA QUE LA MODIFIQUE, ADICIONE O SUSTITUYA
CAPÍTULO 1
ESQUEMAS DIFERENCIALES EN ÁREAS DE DIFÍCIL GESTIÓN
SECCIÓN 1
ASPECTOS GENERALES DEL ESQUEMA DIFERENCIAL EN ÁREAS DE DIFÍCIL GESTIÓN
Artículo 5.11.3.1.1.1. Determinación del APSD del esquema diferencial en áreas de difícil gestión. La persona prestadora que adopte esquemas diferenciales de prestación para el servicio público de aseo en áreas de difícil gestión deberá establecer un (as) Área(s) de Prestación del Servicio Diferencial (APSD) en cada uno de los municipios, donde implementará el esquema diferencial, y reportarla(s) al ente territorial respectivo. Para el efecto, deberá elaborar un mapa georreferenciado en formato shape, en el sistema de referencia MAGNA-SIRGAS o el sistema de coordenadas oficial que se encuentre vigente, delimitando exactamente el (las) área(s) del suelo urbano en la(s) cual(es) se compromete a cumplir el PGED.
Las personas prestadoras deberán definir el PGED, PID, PAED y los costos económicos de referencia diferenciales para cada APSD de difícil gestión que atienda.
PARÁGRAFO 1o. El APSD de difícil gestión debe agrupar las áreas de difícil gestión que guarden correspondencia con la certificación municipal solicitada en el numeral 3 del artículo 2.3.7.2.2.1.2., así como también, atender las disposiciones de los parágrafos 1 y 2 del artículo 2.3.7.2.2.1.3. del Decreto 1077 de 2015, o aquel que lo modifique, adicione o sustituya.
PARÁGRAFO 2o. No podrán ser incluidos en el APSD de que trata el presente artículo, aquellos suscriptores que sean parte de un APS declarada por alguna persona prestadora del servicio público de aseo de conformidad con el ARTÍCULO 5.3.5.1.8. de la presente resolución o aquel que lo modifique, adicione o sustituya. En consecuencia, las personas prestadoras deberán tener en cuenta que si dentro del APS, que definieron en los municipios y/o distritos, atienden suscriptores en áreas de difícil gestión y desean realizar la prestación del servicio público a estos suscriptores mediante el esquema de prestación diferencial, deberán excluir estos suscriptores de su APS e incluirlos en el APSD del esquema diferencial, lo cual deberá ser informado a la SSPD.
PARÁGRAFO 3o. En virtud del artículo 5o de la Ley 142 de 1994 y el numeral 19 del artículo 3o de la Ley 136 de 1994, modificado por el artículo 6o de la Ley 1551 de 2012, es responsabilidad del municipio garantizar la prestación del servicio público de aseo en aquellas áreas del suelo urbano que no sean reportadas como APS o APSD por alguna persona prestadora.
SECCIÓN 2
PLAN DE GESTIÓN DEL ESQUEMA DIFERENCIAL EN ÁREAS DE DIFÍCIL GESTIÓN
Artículo 5.11.3.1.2.1. Plan de Gestión del Esquema Diferencial (PGED) en áreas de difícil gestión. La persona prestadora que adopte el esquema diferencial de prestación para el servicio público de aseo en áreas de difícil gestión, deberá establecer un PGED donde establezca las metas, indicadores, plazos, objetivos, acciones y fuentes de financiación para dar cumplimiento a las condiciones diferenciales y estándares de prestación del servicio definidos en la SECCIÓN 3 del presente CAPÍTULO.
El PGED deberá contener como mínimo:
1. El Plan de Inversiones Diferencial (PID).
2. El Plan de Aseguramiento del Esquema Diferencial (PAED).
El PGED en áreas de difícil gestión debe estar articulado con los programas y proyectos incluidos por municipios, departamentos y/o la Nación en sus planes de desarrollo y con el Programa de Prestación del Servicio de la persona prestadora, el cual debe estar acorde con el Plan de Gestión Integral de Residuos Sólidos (PGIRS) del municipio o distrito y/o regional según el caso, de conformidad con el artículo 2.3.2.2.1.10. del Decreto 1077 de 2015 o aquel que lo modifique, adicione o sustituya.
De conformidad con el parágrafo del citado artículo, el Programa para la Prestación del Servicio público de Aseo debe revisarse y ajustarse de acuerdo con las actualizaciones del PGIRS y ser enviado a la SSPD para su vigilancia y control, conforme a lo establecido en el numeral 3.4 del artículo 3o de la Ley 142 de 1994.
PARÁGRAFO 1o. El PGED debe ser suscrito por el representante legal de la persona prestadora que adopte el esquema diferencial de prestación para el servicio público de aseo en áreas de difícil gestión.
PARÁGRAFO 2o. La persona prestadora del servicio público de aseo, acorde con lo establecido en el numeral 2 del artículo 2.3.7.2.2.1.6. del Decreto 1077 de 2015 o aquel que lo modifique, adicione o sustituya, establecerá en el Programa de Prestación del Servicio, la gradualidad para la incorporación de las diferentes actividades del servicio conforme con las condiciones municipales.
Artículo 5.11.3.1.2.2. Plan de Inversiones Diferencial (PID) en áreas de difícil gestión. El PID en áreas de difícil gestión es el conjunto de inversiones para dar cumplimiento a las condiciones diferenciales y lograr las metas para los estándares de prestación, definidos en la SECCIÓN 3 del presente CAPÍTULO, a las que se compromete la persona prestadora del servicio público de aseo, el municipio, el departamento y/o la Nación, en el plazo definido en el PGED.
El PID para el servicio público de aseo será indicativo y corresponderá a las inversiones que la persona prestadora considere realizar para atender las directrices previstas en el Decreto 1077 de 2015, o aquel que lo modifique, adicione o sustituya, y estar orientadas al cumplimiento de las condiciones diferenciales y al logro de las metas para los estándares de prestación del servicio, definidos en la SECCIÓN 3 del presente CAPÍTULO, y considerando el siguiente indicador:
| Actividad | Indicador |
| Cobertura | Suscriptores atendidos APSD |
Las personas prestadoras deberán articular el PID con las decisiones de uso de suelo contenidas en los Planes de Ordenamiento Territorial (POT) y los instrumentos que los desarrollen y complementen, de conformidad con el artículo 2.3.2.2.3.87. del Decreto 1077 de 2015 o aquel que lo modifique, adicione o sustituya.
Artículo 5.11.3.1.2.3. Plan de Aseguramiento del Esquema Diferencial (PAED) en áreas de difícil gestión. El PAED en áreas de difícil gestión es el conjunto de acciones a ejecutar por la persona prestadora, el municipio, el departamento y/o la Nación para dar cumplimiento a las condiciones diferenciales y estándares de prestación en el plazo definido en el PGED y promover la sostenibilidad de las inversiones incluidas en el PID y la viabilidad de la prestación del servicio.
El PAED en áreas de difícil gestión debe incluir, como mínimo, las siguientes actividades:
1. Asistencia técnica a los suscriptores y/o usuarios individuales o colectivos y comunidades organizadas en cuanto a:
a) Manejo y presentación de los residuos en los sitios indicados.
b) Presentación de residuos sólidos y separación en la fuente.
2. Diagnóstico institucional de las organizaciones sociales presentes en el APSD (en caso de existir).
3. Catastro de suscriptores y/o usuarios en el APSD.
4. Estudios de capacidad y disponibilidad de pago de los suscriptores y/o usuarios del APSD.
5. Acciones de gestión social a desarrollar con los suscriptores y/o usuarios beneficiarios del esquema diferencial, que se realizarán con el propósito de promover:
a) La participación de los suscriptores y/o usuarios beneficiarios del esquema diferencial en las distintas fases de ejecución del PGED.
b) La valoración del servicio, cultura de pago, aceptación del esquema diferencial y la regularización de los suscriptores y/o usuarios.
PARÁGRAFO. En el caso en que el municipio o distrito cuente con un plan de aseguramiento de la prestación del servicio elaborado por el gestor del programa Planes Departamentales para el Manejo Empresarial de los Servicios de Agua y Saneamiento (PDA), en concordancia con el artículo 2.3.3.1.5.4. del Decreto 1077 de 2015, o aquel que lo modifique, adicione o sustituya, la persona prestadora podrá emplear, para la formulación del PAED, las acciones relativas a estos servicios públicos que hayan sido incluidas en dicho instrumento. No obstante, en el Costo de Aseguramiento y Gestión Social (CMAG) no se remunerarán las actividades que estén financiadas a través del PDA.
Artículo 5.11.3.1.2.4. Indicador de seguimiento al cumplimiento de las actividades programadas en el PAED definido en APSD de Difícil Gestión. La persona prestadora deberá definir metas para el cumplimiento de las actividades programadas en el PAED, y reportar al SUI anualmente su seguimiento a través del cálculo del indicador de cumplimiento, según lo establecido en la siguiente expresión matemática:

Donde:
IEACTi: Indicador de cumplimiento en la meta de ejecución de actividades programadas en el PAED en el año de análisis i.
EACTi: Indicador de ejecución de actividades programadas en el PAED en el año de análisis i. Este indicador se estima según lo establecido en la siguiente expresión matemática:

Donde:
AEi: Número de actividades ejecutadas en el año de análisis de las programadas en el PAED del esquema diferencial.
AP: Número total de actividades programadas en el PAED del esquema diferencial.
M_EACTi: Meta establecida por el prestador para el indicador de ejecución de actividades programadas en el PAED del esquema diferencial para en el año de análisis i.
PARÁGRAFO. Teniendo en cuenta que este indicador evalúa el cumplimiento respecto a la meta propuesta por la persona prestadora, si se obtienen valores iguales a 1 para el IEACTi implica un cumplimiento del 100% de las actividades ejecutadas, respecto a la meta establecida por la persona prestadora. Por su parte, resultados con valores inferiores a 1 en el IEACTi indican que la persona prestadora ejecutó menos actividades de las que se había propuesto como meta realizar en el año de análisis i.
SECCIÓN 3
CONDICIONES, ESTÁNDARES Y METAS DE PRESTACIÓN DEL SERVICIO EN ESQUEMAS DIFERENCIALES EN ÁREAS DE DIFÍCIL GESTIÓN
Artículo 5.11.3.1.3.1. Determinación de las metas para los estándares de servicio en esquemas diferenciales en áreas de difícil gestión. La persona prestadora que adopte el esquema diferencial de prestación para el servicio público de aseo en áreas de difícil gestión, deberá proyectar metas anuales para cumplir con los siguientes estándares en los plazos y gradualidad definidos en el PGED:
| Nombre del estándar | Estándar | Meta servicio público de aseo | Meta y gradualidad diferencial |
| Cobertura | 100% | 100% cobertura en el APSD | El 100% de la diferencia entre el valor del indicador al inicio del esquema diferencial y el estándar debe lograrse en los plazos y gradualidad definidos en el PGED. |
Para la determinación de las metas anuales de los estándares de servicio, la persona prestadora deberá identificar el valor del indicador al inicio del esquema diferencial y proyectar las metas a las que se compromete en el plazo definido en el PGED para el APSD que defina, para alcanzar la meta para cada estándar. En todo caso, las metas proyectadas no podrán ser inferiores a las metas establecidas para el año inmediatamente anterior.
PARÁGRAFO 1o. Cuando la recolección de residuos sólidos no se realice puerta a puerta, se deberá implementar la recolección mediante sistemas colectivos de presentación y almacenamiento de residuos sólidos, de conformidad con el numeral 2.1. del artículo 2.3.7.2.2.1.6. del Decreto 1077 de 2015 o aquel que lo modifique, adicione o sustituya.
PARÁGRAFO 2o. La frecuencia de recolección de residuos no aprovechables se deberá considerar que el número de frecuencias para esta actividad corresponderá a aquel que optimice el costo de recolección y transporte de la persona prestadora, en relación con la cantidad de residuos generados en el APSD, sin que en ningún caso pueda ser inferior a dos (2) frecuencias semanales, de conformidad con el artículo 2.3.2.2.2.3.32. del Decreto 1077 de 2015 o aquel que lo modifique, adicione o sustituya.
PARÁGRAFO 3o. En calles no pavimentadas y en áreas donde por sus características físicas no sea posible realizar el barrido mecánico, se desarrollarán labores de limpieza manual a cargo de la persona prestadora, de conformidad con el numeral 2.2. del artículo 2.3.7.2.2.1.6. del Decreto 1077 de 2015 o aquel que lo modifique, adicione o sustituya. Así mismo, las frecuencias de barrido serán como mínimo las que establece el artículo 2.3.2.2.2.4.53. del Decreto 1077 de 2015 o aquel que lo modifique, adicione o sustituya.
Artículo 5.11.3.1.3.2. Cálculo del indicador de cumplimiento de la meta de cobertura. El indicador de cumplimiento de la meta de cobertura para el servicio público de aseo para esquemas diferenciales en áreas de difícil gestión se estima según lo establecido en la siguiente expresión matemática:

Donde:
CMCOBi,aseo: Cumplimiento metas de cobertura para el servicio público de aseo, en el año de análisis i, redondeado a dos (2) cifras decimales.
Reali,aseo: Número de suscriptores y/o usuarios individuales o colectivos del servicio público de aseo atendidos por la persona prestadora en el APSD de difícil gestión, en el año de análisis i.
Metai,aseo: Número de suscriptores y/o usuarios individuales o colectivos del servicio público de aseo correspondientes a la meta establecida por la persona prestadora en el PGED para el estándar de cobertura, en el año de análisis i
i: Cada uno de los años de análisis que hacen parte del plazo establecido en el PGED.
SECCIÓN 4
COSTOS ECONÓMICOS DE REFERENCIA Y TARIFA FINAL POR SUSCRIPTOR EN ESQUEMAS DIFERENCIALES EN ÁREAS DE DIFÍCIL GESTIÓN
SUBSECCIÓN 1
PERSONAS PRESTADORAS DEL PRIMER SEGMENTO DE LA RESOLUCIÓN CRA 853 DE 2018
Artículo 5.11.3.1.4.1.1. Costo fijo total en el APSD de difícil gestión (CFTADG). El Costo fijo total por suscriptor en el APSD de difícil gestión se estima según lo establecido en la siguiente expresión matemática:
![]()
Donde:
CFTADG: Costo fijo total por suscriptor del servicio público de aseo en el APSD de difícil gestión definida en el municipio (pesos de julio de 2018/suscriptor-mes).
CCSADG: Costo de comercialización por suscriptor del servicio público de aseo en el APSD de difícil gestión (pesos de julio de 2018/suscriptor-mes), calculado de conformidad con el ARTÍCULO 5.3.5.2.2.1. de la presente resolución o aquel que lo modifique, adicione o sustituya. En todo caso, el valor que se adopte no podrá superar el CCS que la persona prestadora cobre en las APS del municipio donde se adopte el esquema diferencial de difícil gestión.
CMAGADG: Costo de aseguramiento y gestión social por suscriptor del servicio público de aseo en el APSD de difícil gestión, definido en el ARTÍCULO 5.11.3.1.4.1.3. de la presente resolución (pesos de julio de 2018/suscriptor-mes).
CRLUS: Costo de limpieza urbana por suscriptor del servicio público de aseo (pesos de julio de 2018/suscriptor-mes), corresponderá al costo cobrado en las APS del municipio.
CBLS: Costo de barrido y limpieza por suscriptor (pesos de julio de 2018/suscriptor-mes), corresponderá al costo cobrado en las APS del municipio.
PARÁGRAFO 1o. En caso que alguna de las actividades del servicio público de aseo de que trata el presente artículo, no se esté prestando en atención a la gradualidad para su incorporación establecida en el programa de prestación del servicio, de conformidad con lo dispuesto en el numeral 2 del artículo 2.3.7.2.2.1.6. del Decreto 1077 de 2015 o aquel que lo modifique, adicione o sustituya, el costo asociado para dicha actividad será igual a cero.
PARÁGRAFO 2o. El incremento en el CCSADG por la prestación de la actividad de aprovechamiento deberá calcularse acorde con lo establecido en el ARTÍCULO 5.3.5.2.2.2. de la presente resolución o aquel que lo modifique, adicione o sustituya.
Artículo 5.11.3.1.4.1.2. Costo variable por tonelada de residuos no aprovechables en el APSD de difícil gestión (CVNAADG). El costo variable por tonelada de residuos sólidos no aprovechables en el APSD de difícil gestión se estima según lo establecido en la siguiente expresión matemática:

Donde:
CVNAADG: Costo variable por tonelada de residuos sólidos no aprovechables en el APSD de difícil gestión definida en el municipio (pesos de julio de 2018/tonelada).
CRTADG: Costo de recolección y transporte de residuos sólidos en el APSD de difícil gestión (pesos de julio de 2018//tonelada), calculado de conformidad con el ARTÍCULO 5.3.5.2.5.1. de la presente resolución o aquel que lo modifique, adicione o sustituya. En todo caso, el valor que se adopte no podrá superar el CRT que la persona prestadora cobre en las APS del municipio donde se adopte el esquema diferencial de difícil gestión.
CDFT: Costo de disposición final total por tonelada (pesos de julio de 2018/tonelada), corresponderá al costo cobrado en las APS del municipio.
CT: Costo de tratamiento por tonelada (pesos de julio de 2018/tonelada), corresponderá al costo cobrado en las APS del municipio.
Promedio mensual de toneladas de residuos sólidos del APSD de dificil gestión recolectados y transportados al sitio de disposición final, de acuerdo con lo definido en el ARTICULO 5.3.5.2.1.4 de la presente resolución o aquel que lo modifique, adicione o sustituya (toneladas/mes)
Promedio mensual de residuos organicos biodegradables del APSD de dificil gestión recolectados y transportados al sitio de disposición final, de acuerdo con lo definido en el ARTICULO 5.3.5.2.1.4 de la presente resolución o aquel que lo modifique, adicione o sustituya (toneladas/mes)
PARÁGRAFO. El cálculo del costo de recolección y transporte de residuos sólidos con aporte bajo condición en el área de difícil gestión deberá calcularse acorde con lo establecido en el ARTÍCULO 5.3.5.2.5.2. de la presente resolución o aquel que lo modifique, adicione o sustituya
Artículo 5.11.3.1.4.1.3. Costo de aseguramiento y gestión social por suscriptor del servicio público de aseo en el APSD de difícil gestión (CMAGADG). El costo de aseguramiento y gestión social por suscriptor del servicio público de aseo en el APSD de difícil gestión, se estima según lo establecido en la siguiente expresión matemática:
![]()
Donde:
CMAGADG: Costo de aseguramiento y gestión social por suscriptor del servicio público de aseo en el APSD de difícil gestión definida en el municipio (pesos de julio de 2018//suscriptor-mes).
CPAEDADG: Costo total incurrido durante el año fiscal inmediatamente anterior de las actividades del PAED realizadas por la persona prestadora en el APSD de difícil gestión, acorde con lo definido en el ARTÍCULO 5.11.3.1.2.3. de la presente Resolución (pesos de julio de 2018/mes).
Promedio mensual de suscriptores totales en el APSD de dificil gestión del año fiscal inmediatamente anterior, acorde con lo establecido en el ARTICULO 5.3.5.2.1.4 de la presente resolución o aquel que lo modifique, adicione o sustituya (suscripotores/mes)
PARÁGRAFO 1o. El CPAEDADG incluirá los gastos de las actividades del PAED definido en el ARTÍCULO 5.11.3.1.2.3. de la presente resolución que se financien parcial o totalmente con cargo a la tarifa. No se podrán incluir costos de actividades que ya estén siendo remuneradas a través del costo de comercialización por suscriptor (CCSADG).
PARÁGRAFO 2o. La persona prestadora reportará la información solicitada en el ANEXO 6.3.6.3. de la presente resolución, así como los soportes de la estimación del CPAEDADG al SUI en los términos y condiciones que la SSPD establezca.
PARÁGRAFO 3o. El costo de aseguramiento y gestión social CMAGADG se actualizará de acuerdo con el Índice de Precios al Consumidor (IPC), calculado por el DANE, teniendo en cuenta lo establecido en el artículo 125 de la Ley 142 de 1994.
Artículo 5.11.3.1.4.1.4. Tarifa final por suscriptor en el APSD de difícil gestión (TFSADG,u, TFSADG,i). Para efecto de calcular la tarifa mensual final al suscriptor, la persona prestadora de recolección y transporte de residuos no aprovechables en el APSD de difícil gestión aplicará la siguiente expresión matemática:
1. Suscriptor no Aforado:
![]()
2. Suscriptor Aforado:
![]()
Donde:
TFSADG,u: Tarifa final por suscriptor tipo u, de la persona prestadora en el APSD de difícil gestión (pesos/suscriptor-mes).
TFSADG,i: Tarifa final por suscriptor i, de la persona prestadora en el APSD de difícil gestión (pesos/suscriptor-mes).
CFTADG: Costo fijo total por suscriptor en el APSD de difícil gestión definido en el ARTÍCULO 5.11.3.1.4.1.1. de la presente resolución (pesos/suscriptor-mes).
CVNAADG: Costo variable por tonelada de residuos sólidos no aprovechables en el APSD de difícil gestión definido en el ARTÍCULO 5.11.3.1.4.1.2. de la presente resolución (pesos/tonelada).
CVA: Costo variable por tonelada de residuos efectivamente aprovechados definido en el ARTÍCULO 5.3.5.2.1.3. de la presente Resolución o aquella que la modifique, adicione o sustituya (pesos/tonelada).
TRNADG: Toneladas de residuos sólidos no aprovechables por suscriptor en el APSD de difícil gestión, definidas en el ARTÍCULO 5.3.5.2.10.2. de la presente resolución o aquel que lo modifique, adicione o sustituya (toneladas/suscriptor-mes).
TRA: Toneladas de residuos efectivamente aprovechados por suscriptor, definidas en el ARTÍCULO 5.3.5.2.10.2. de la presente resolución o aquel que lo modifique, adicione o sustituya (toneladas/suscriptor-mes).
TFNADG,i: Toneladas de residuos sólidos no aprovechables aforadas por suscriptor i, en el en el APSD de difícil gestión, en el periodo de facturación (toneladas/suscriptor-mes).
TFAi: Toneladas de residuos efectivamente aprovechados aforadas por suscriptor i, en el periodo de facturación (toneladas/suscriptor-mes).
FCSu: Factor de contribución o subsidio correspondiente a cada suscriptor, aplicable para el servicio público de aseo, determinado por estrato o tipo de uso de acuerdo con la normatividad aplicable, subsidio con signo negativo y contribución con signo positivo. Teniendo en cuenta adicionalmente lo establecido en el parágrafo 1 del artículo 2.3.7.2.3.1 del Decreto 1077 de 2015 o aquel que lo modifique, adicione o sustituya.
u: Tipo de suscriptor, donde u = {1,2,3,4,5,6= estratos suscriptores residenciales, 7=pequeño productor, 8= inmuebles desocupados}.
i: Suscriptor aforado, donde = {1,2,3,…,I}.
PARÁGRAFO. En caso que la actividad de aprovechamiento, no se esté prestando en el APSD, en atención a la gradualidad para su incorporación establecida en el programa de prestación del servicio que establezca la persona prestadora, de conformidad con lo dispuesto en el numeral 2 del artículo 2.3.7.2.2.1.6. del Decreto 1077 de 2015 o aquel que lo modifique, adicione o sustituya, el costo asociado para dicha actividad será igual a cero.
Artículo 5.11.3.1.4.1.5. Actualización de costos. Los costos económicos calculados por la persona prestadora en el APSD de difícil gestión según lo establecido en la presente resolución, se actualizarán acorde con lo establecido en el ARTÍCULO 5.3.5.2.9.1. de la presente resolución, o aquel que lo modifique, adicione o sustituya. Lo anterior, con excepción del CMAGADG para el cual se tendrá en consideración lo establecido en el parágrafo 3 del ARTÍCULO 5.11.3.1.4.1.3. de la presente resolución.
SUBSECCIÓN 2
PERSONAS PRESTADORAS DEL SEGUNDO SEGMENTO DE LA RESOLUCIÓN CRA 853 DE 2018
Artículo 5.11.3.1.4.2.1. Costo fijo total en APSD de difícil gestión (CFTADG). El Costo fijo total por suscriptor en el APSD de difícil gestión se estima según lo establecido en la siguiente expresión matemática:
![]()
Donde:
CFTADG: Costo fijo total por suscriptor en el APSD de difícil gestión definida en el municipio (pesos de julio de 2018/suscriptor-mes).
CCSADG: Costo de comercialización por suscriptor del servicio público de aseo en el APSD de difícil gestión (pesos de julio de 2018/suscriptor-mes), calculado de conformidad con el ARTÍCULO 5.3.5.3.2.1. de la presente Resolución o aquel que lo modifique, adicione o sustituya. En todo caso, el valor que se adopte no podrá superar el CCS que la persona prestadora cobre en las APS del municipio donde se adopte el esquema diferencial de difícil gestión.
CMAGADG: Costo de aseguramiento y gestión social por suscriptor del servicio público de aseo en el APSD de difícil gestión, definido en el ARTÍCULO 5.11.3.1.4.2.3. de la presente resolución (pesos de julio de 2018/suscriptor-mes).
CBLUS: Costo de limpieza urbana por suscriptor del servicio público de aseo (pesos de julio de 2018/suscriptor-mes), corresponderá al costo cobrado en las APS del municipio.
PARÁGRAFO 1o. En caso que alguna de las actividades del servicio público de aseo de que trata el presente artículo, no se esté prestando en atención a la gradualidad para su incorporación establecida en el programa de prestación del servicio, de conformidad con lo dispuesto en el numeral 2 del artículo 2.3.7.2.2.1.6. del Decreto 1077 de 2015 o aquel que lo modifique, adicione o sustituya, el costo asociado para dicha actividad será igual a cero.
PARÁGRAFO 2o. El incremento en el CCSADG por la prestación de la actividad de aprovechamiento deberá calcularse acorde con lo establecido en el ARTÍCULO 5.3.5.3.2.2.2. de la presente resolución o aquel que la modifique, adicione o sustituya.
Artículo 5.11.3.1.4.2.2. Costo variable por tonelada de residuos no aprovechables en el APSD de difícil gestión (CVNAADG) El costo variable por tonelada de residuos sólidos no aprovechables en el APSD de difícil gestión se estima según lo establecido en la siguiente expresión matemática:

Donde:
CVNAADG: Costo variable por tonelada de residuos sólidos no aprovechables en el APSD de difícil gestión definida en el municipio (pesos de julio de 2018/tonelada).
CRTADG: Costo de recolección y transporte de residuos sólidos en el APSD de difícil gestión (pesos de julio de 2018/tonelada), calculado de conformidad con el ARTÍCULO 5.3.5.3.4.1. de la presente Resolución o aquel que lo modifique, adicione o sustituya. En todo caso, el valor que se adopte no podrá superar el CRT que la persona prestadora cobre en las APS del municipio donde se adopte el esquema diferencial de difícil gestión.
CDFT: Costo de disposición final total por tonelada (pesos de julio de 2018/tonelada), corresponderá al costo cobrado en las APS del municipio.
CT: Costo de tratamiento por tonelada (pesos de julio de 2018/tonelada), corresponderá al costo cobrado en las APS del municipio.
Promedio mensual de toneladas de resiudos sólidos del APSD de dificil gestión recolectados y transportados al sitio de disposición final, de acuerdo con lo definido en el ARTICULO 5.3.5.3.1.4 de la presente resolución o aquel que lo modifique, adicione o sustituya (toneladas/mes)
Promedio mensual de residuos organicos biodegradables del APSD de dificil gestión recolectados y transportados al sitio de disposición final, de acuerdo con lo definido en el ARTICULO 5.3.5.3.1.4 de la presente resolución o aquel que lo modifique, adicione o sustituya (toneladas/mes)
PARÁGRAFO. El cálculo del costo de recolección y transporte de residuos sólidos con aporte bajo condición en el área de difícil gestión deberá calcularse acorde con lo establecido en el ARTÍCULO 5.3.5.3.4.2. de la presente resolución o aquel que lo modifique, adicione o sustituya.
Artículo 5.11.3.1.4.2.3. Costo de aseguramiento y gestión social por suscriptor del servicio público de aseo en el APSD de difícil gestión (CMAGADG). El costo de aseguramiento y gestión social por suscriptor del servicio público de aseo en el APSD en áreas de difícil gestión, se estima según lo establecido en la siguiente expresión matemática:
![]()
Donde:
CMAGADG: Costo de aseguramiento y gestión social por suscriptor del servicio público de aseo en el APSD de difícil gestión definida en el municipio (pesos de julio de 2018//suscriptor-mes).
CPAEDADG: Costo total incurrido durante el año fiscal inmediatamente anterior de las actividades del PAED realizadas por la persona prestadora en el APSD de difícil gestión, acorde con lo definido en el ARTÍCULO 5.11.3.1.2.3. de la presente Resolución (pesos de julio de 2018/mes).
Promedio mensual de suscriptores totales en el APSD de dificil gestión recolectados y transportados al sitio de disposición final, de acuerdo con lo definido en el ARTICULO 5.3.5.3.1.4 de la presente resolución o aquel que lo modifique, adicione o sustituya (toneladas/mes)
PARÁGRAFO 1o. El CPAEDADG incluirá los gastos de las actividades del PAED definido en el ARTÍCULO 5.11.3.1.2.3. de la presente Resolución que se financien parcial o totalmente con cargo a la tarifa. No se podrán incluir costos de actividades que ya estén siendo remuneradas a través del costo de comercialización por suscriptor (CCSADG).
PARÁGRAFO 2o. La persona prestadora reportará la información solicitada en el ANEXO 6.3.6.3. de la presente resolución, así como los soportes de la estimación del CPAEDADG al SUI en los términos y condiciones que la SSPD establezca.
PARÁGRAFO 3o. El costo de aseguramiento y gestión social CMAGADG se actualizará de acuerdo con el Índice de Precios al Consumidor (IPC), calculado por el DANE, teniendo en cuenta lo establecido en el artículo 125 de la Ley 142 de 1994.
Artículo 5.11.3.1.4.2.4. Tarifa final por suscriptor en el APSD de difícil gestión. Para efecto de calcular la tarifa mensual final al suscriptor, la persona prestadora de recolección y transporte de residuos no aprovechables en el APSD de difícil gestión aplicará la siguiente expresión matemática:
1. Suscriptor no Aforado:
![]()
2. Suscriptor Aforado:
![]()
Donde:
TFSADG,u: Tarifa final por suscriptor tipo u, de la persona prestadora en el APSD de difícil gestión (pesos/suscriptor-mes).
TFSADG,i: Tarifa final por suscriptor i, de la persona prestadora en el APSD de difícil gestión (pesos/suscriptor-mes).
CFTADG: Costo fijo total por suscriptor en el APSD de difícil gestión definido en el ARTÍCULO 5.11.3.1.4.2.1. de la presente resolución (pesos/suscriptor-mes).
CVNAADG: Costo variable por tonelada de residuos sólidos no aprovechables en el APSD de difícil gestión definido en el ARTÍCULO 5.11.3.1.4.2.2. de la presente resolución (pesos/tonelada).
CVA: Costo variable por tonelada de residuos efectivamente aprovechados definido en el ARTÍCULO 5.3.5.3.1.3. de la presente resolución o aquel que lo modifique, adicione o sustituya (pesos/tonelada).
TRNADG: Toneladas de residuos sólidos no aprovechables por suscriptor en el APSD de difícil gestión, definidas en el ARTÍCULO 5.3.5.3.9.2. de la presente resolución o aquel que lo modifique, adicione o sustituya (toneladas/suscriptor-mes).
TRA: Toneladas de residuos efectivamente aprovechados por suscriptor, definidas en el artículo 5.3.5.3.9.2. de la presente resolución o aquel que lo modifique, adicione o sustituya (toneladas/suscriptor-mes).
TFNADG,i: Toneladas de residuos sólidos no aprovechables aforadas por suscriptor i, en el APSD de difícil gestión, en el periodo de facturación (toneladas/suscriptor-mes).
TFAi: Toneladas de residuos efectivamente aprovechados aforadas por suscriptor i, en el periodo de facturación (toneladas/suscriptor-mes).
FCSu: Factor de contribución o subsidio correspondiente a cada suscriptor, aplicable para el servicio público de aseo, determinado por estrato o tipo de uso de acuerdo con la normatividad aplicable, subsidio con signo negativo y contribución con signo positivo. Teniendo en cuenta adicionalmente lo establecido en el parágrafo 1 del artículo 2.3.7.2.3.1 del Decreto 1077 de 2015 o aquel que lo modifique, adicione o sustituya.
u: Tipo de suscriptor, donde u = {1,2,3,4,5,6= estratos suscriptores residenciales, 7=pequeño productor, 8= inmuebles desocupados}.
i: Suscriptor aforado, donde = {1,2,3,…,i}.
PARÁGRAFO. En caso que la actividad de aprovechamiento, no se esté prestando en el APSD, en atención a la gradualidad para su incorporación establecida en el programa de prestación del servicio que establezca la persona prestadora, de conformidad con lo dispuesto en el numeral 2 del artículo 2.3.7.2.2.1.6. del Decreto 1077 de 2015 o aquel que lo modifique, adicione o sustituya, el costo asociado para dicha actividad será igual a cero.
Artículo 5.11.3.1.4.2.5. Actualización de costos. Los costos económicos calculados por la persona prestadora en el APSD de difícil gestión según lo establecido en la presente resolución, se actualizarán acorde con lo establecido en el artículo 5.3.5.3.8.1. de la presente resolución, o aquel que lo modifique, adicione o sustituya. Lo anterior, con excepción del CMAGADG para el cual se tendrá en consideración lo establecido en el parágrafo 3 del artículo 5.11.3.1.4.2.3. de la presente resolución.
SUBSECCIÓN 3
ESQUEMA DE PRESTACIÓN REGIONAL EN DONDE TODAS LAS APS SE ENCUENTRAN EN MUNICIPIOS CON HASTA 5.000 SUSCRIPTORES EN EL ÁREA URBANA
Artículo 5.11.3.1.4.3.1. Aplicación del esquema de prestación regional en un APSD de difícil gestión. En el caso que el APSD se encuentre incorporada en un esquema de prestación regional constituido de conformidad con lo establecido en el parágrafo 2 del artículo 5.3.5.1.7. de la presente resolución o aquel que lo modifique, adicione o sustituya, para el cálculo de la tarifa final a cobrar por suscriptor deberá considerarse lo contemplado en la presente subsección.
Artículo 5.11.3.1.4.3.2. Costo fijo total en el APSD de difícil gestión (CFTADG). El Costo fijo total por suscriptor en el APSD de difícil gestión, incorporada dentro de un esquema de prestación regional, se estima según lo establecido en la siguiente expresión matemática:
![]()
Donde:
CFTADG: Costo fijo total por suscriptor en el APSD de difícil gestión definida en el municipio (pesos de julio de 2018/suscriptor-mes).
CCSADG: Costo de comercialización por suscriptor del servicio público de aseo en el en el APSD de difícil gestión (pesos de julio de 2018/suscriptor-mes), calculado de conformidad con el artículo 5.3.5.6.2.1. de la presente resolución o aquel que lo modifique, adicione o sustituya. En todo caso, el valor que se adopte no podrá superar el CCS que la persona prestadora cobre en las APS del municipio donde se adopte el esquema diferencial de difícil gestión.
CMAGADG: Costo de aseguramiento y gestión social por suscriptor del servicio público de aseo en el APSD de difícil gestión, definido en el artículo 5.11.3.1.4.3.4. de la presente resolución (pesos de julio de 2018/suscriptor-mes). Para el caso de las APS z que no apliquen esquemas diferenciales urbanos el valor de CMAGADG será igual a cero.
CBLUSz: Costo de barrido y limpieza de vías y áreas públicas y, limpieza urbana por suscriptor en el APSD z de difícil gestión (pesos de julio de 2018/suscriptor-mes), corresponderá al costo cobrado en las ASP z del municipio.
z: Áreas de Prestación del Servicio (APS) que conforman el esquema de prestación regional, donde z = {1, 2, 3, 4,...,Z}.
ADG: Áreas de Prestación del Servicio Diferencial (APSD) de difícil gestión definida (s) en el (los) municipio(s) y/o distrito(s) que conforman el esquema de prestación regional, donde ADG = {1, 2, 3, 4,...,ADG}.
PARÁGRAFO 1o. En caso que alguna de las actividades del servicio público de aseo de que trata el presente artículo, no se esté prestando en atención a la gradualidad para su incorporación establecida en el programa de prestación del servicio, de conformidad con lo dispuesto en el numeral 2 del artículo 2.3.7.2.2.1.6. del Decreto 1077 de 2015 o aquel que lo modifique, adicione o sustituya, el costo asociado para dicha actividad será igual a cero.
PARÁGRAFO 2o. El incremento en el CCSADG,z por la prestación de la actividad de aprovechamiento deberá calcularse acorde con lo establecido en el artículo 5.3.5.6.2.2. de la presente resolución o aquel que lo modifique, adicione o sustituya.
Artículo 5.11.3.1.4.3.3. Costo variable por tonelada de residuos no aprovechables en el APSD de difícil gestión (CVNAADG) El costo variable por tonelada de residuos sólidos no aprovechables en el APSD de difícil gestión, incorporada dentro de un esquema de prestación regional, se estima según lo establecido en la siguiente expresión matemática:
![]()
Donde:
CVNAADG: Costo variable por tonelada de residuos sólidos no aprovechables en el APSD de difícil gestión, definida en un municipio perteneciente a un esquema de prestación regional (pesos de julio de 2018/tonelada).
CRTADG: Costo de recolección y transporte de residuos sólidos en el APSD de difícil gestión (pesos de julio de 2018/tonelada), calculado de conformidad con el artículo 5.3.5.6.4.1. de la presente o aquel que lo modifique, adicione o sustituya. En todo caso, el valor que se adopte no podrá superar el CRT que la persona prestadora cobre en las APS del municipio donde se adopte el esquema diferencial de difícil gestión.
CDFT: Costo de disposición final total por tonelada (pesos de julio de 2018/tonelada), corresponderá al costo cobrado en las APS del municipio.
CT: Costo de tratamiento por tonelada (pesos de julio de 2018/tonelada), corresponderá al costo cobrado en las APS del municipio.
Promedio mensual de toneladas de residuos del APSD de dificil gestión recolectados y transportados al sitio de disposicion final, de acuerdo con lo definido en el ARTICULO 5.3.5.6.1.4 de la presente resolucion o aquel que lo modifique, adicione o sustituya (tonelada/mes)
Promedio mensual de residuos organicos biodegradables del APSD de dificil gestión recolectados y transportados al sitio de disposicion final, de acuerdo con lo definido en el ARTICULO 5.3.5.6.1.4 de la presente resolucion o aquel que lo modifique, adicione o sustituya (tonelada/mes)
ADG: Áreas de Prestación del Servicio Diferencial (APSD) de difícil gestión definida (s) en el (los) municipio(s) y/o distrito(s) que conforman el esquema de prestación regional, donde ADG = {1, 2, 3, 4,...,ADG}.
PARÁGRAFO. El cálculo del costo de recolección y transporte de residuos sólidos con aporte bajo condición en el área de difícil gestión deberá calcularse acorde con lo establecido en el artículo 5.3.5.3.4.2. de la presente resolución o aquel que lo modifique, adicione o sustituya.
Artículo 5.11.3.1.4.3.4. Costo de aseguramiento y gestión social por suscriptor del servicio público de aseo en el APSD de difícil gestión (CMAGADG). El costo de aseguramiento y gestión social por suscriptor del servicio público de aseo en el (las) APSD de difícil gestión, incluidas en el esquema de prestación regional, se estima según lo establecido en la siguiente expresión matemática:

Donde:
CMAGADG: Costo de aseguramiento y gestión social por suscriptor del servicio público de aseo en el (las) APSD de difícil gestión definida(s) en el municipio (pesos de julio de 2018//suscriptor-mes).
CPAEDADG: Costo total incurrido durante año fiscal inmediatamente anterior de las actividades del PAED realizadas por la persona prestadora en el (las) APSD de difícil gestión, acorde con lo definido en el artículo 5.11.3.1.2.3. de la presente resolución (pesos de julio de 2018/mes).
Promedio mensual de suscriptores totales en el o las APSD de dificil gestión recolectados y transportados al sitio de disposicion final, de acuerdo con lo definido en el ARTICULO 5.3.5.6.1.4 de la presente resolucion o aquel que lo modifique, adicione o sustituya (tonelada/mes)
ADG: Áreas de Prestación del Servicio Diferencial (APSD) de difícil gestión definida (s) en el (los) municipio(s) y/o distrito(s) que conforman el esquema de prestación regional, donde ADG = {1, 2, 3, 4,...,ADG}.
PARÁGRAFO 1o. El CPAEDADG incluirá los gastos de las actividades del PAED definido en el artículo 5.11.3.1.2.3. de la presente resolución que se financien parcial o totalmente con cargo a la tarifa. No se podrán incluir costos de actividades que ya estén siendo remuneradas a través del costo de comercialización por suscriptor (CCSADG).
PARÁGRAFO 2o. La persona prestadora reportará la información solicitada en el ANEXO 6.3.6.4. de la presente resolución, así como los soportes de la estimación del CPAEDADG, al SUI en los términos y condiciones que la SSPD establezca.
PARÁGRAFO 3o. El costo de aseguramiento y gestión social CMAGADG se actualizará de acuerdo con el Índice de Precios al Consumidor (IPC), calculado por el DANE, teniendo en cuenta lo establecido en el artículo 125 de la Ley 142 de 1994.
Artículo 5.11.3.1.4.3.5. Tarifa final por suscriptor en el APSD de difícil gestión. Para efecto de calcular la tarifa mensual final al suscriptor, la persona prestadora de recolección y transporte de residuos no aprovechables en el APSD de difícil gestión aplicará la siguiente expresión matemática:
1. Suscriptor no Aforado:
![]()
2. Suscriptor Aforado:
![]()
Donde:
TFSADG,u: Tarifa final por suscriptor tipo u de la persona prestadora en el APSD de difícil gestión (pesos/suscriptor-mes).
TFSADG,i: Tarifa final por suscriptor i, de la persona prestadora en el APSD de difícil gestión (pesos/suscriptor-mes).
CFTADG: Costo fijo total por suscriptor en el APSD de difícil gestión definido en el artículo 5.11.3.1.4.3.2. de la presente resolución (pesos/suscriptor-mes).
CVNAADG: Costo variable por tonelada de residuos sólidos no aprovechables en el APSD de difícil gestión, definido en el artículo 5.11.3.1.4.3.3. de la presente resolución (pesos/tonelada).
CVAz: Costo variable por tonelada de residuos efectivamente aprovechados del APS z definido en el artículo 5.3.5.6.1.3. de la presente resolución o aquel que lo modifique, adicione o sustituya (pesos/tonelada).
TRNADG,u: Toneladas de residuos sólidos no aprovechables por suscriptor u en el APSD de difícil gestión, definidas en el artículo 5.3.6.6.9.2. de la presente resolución o aquel que lo modifique, adicione o sustituya (toneladas/suscriptor-mes).
TRAz: Toneladas de residuos efectivamente aprovechados por suscriptor del APS z, definidas en el artículo 5.3.6.6.9.2. de la presente resolución o aquel que lo modifique, adicione o sustituya (toneladas/suscriptor-mes).
TFNADG,i: Toneladas de residuos sólidos no aprovechables aforadas por suscriptor i en el APSD de difícil gestión, en el periodo de facturación (toneladas/suscriptor-mes).
TFAiz: Toneladas de residuos efectivamente aprovechados aforadas por suscriptor i del APS z, en el periodo de facturación (toneladas/suscriptor-mes).
FCSuz: Factor de contribución o subsidio correspondiente a cada suscriptor, aplicable para el servicio público de aseo, determinado por estrato o tipo de uso de acuerdo con la normatividad aplicable, subsidio con signo negativo y contribución con signo positivo. Teniendo en cuenta adicionalmente lo establecido en el parágrafo 1 del artículo 2.3.7.2.3.1 del Decreto 1077 de 2015 o aquel que lo modifique, adicione o sustituya.
u: Tipo de suscriptor, donde u = (1,2,3,4,5,6= estratos suscriptores residenciales, 7=pequeño productor, 8= inmuebles desocupados).
i: Suscriptor aforado, donde i = (1,2,3,…,I).
z: Área de Prestación del Servicio (APS) que conforma el esquema de prestación Regional, donde z = {1,2,3,…,z}.
ADG: Áreas de Prestación del Servicio Diferencial (APSD) de difícil gestión definida (s) en el (los) municipio(s) y/o distrito(s) que conforman el esquema de prestación regional, donde ADG = {1, 2, 3, 4,...,ADG}.
PARÁGRAFO. En caso que la actividad de aprovechamiento, no se esté prestando en el APSD, en atención a la gradualidad para su incorporación establecida en el programa de prestación del servicio que establezca la persona prestadora, de conformidad con lo dispuesto en el numeral 2 del artículo 2.3.7.2.2.1.6. del Decreto 1077 de 2015 o aquel que lo modifique, adicione o sustituya, el costo asociado para dicha actividad será igual a cero.
Artículo 5.11.3.1.4.3.6. Actualización de costos. Los costos económicos calculados por la persona prestadora en el APSD de difícil gestión según lo establecido en la presente resolución se actualizarán acorde con lo establecido en el artículo 5.3.5.6.8.1. de la presente resolución, o aquel que lo modifique, adicione o sustituya. Lo anterior, con excepción del CMAGADG para el cual se tendrá en consideración lo establecido en el parágrafo 3 del artículo 5.11.3.1.4.3.4. de la presente resolución.
SUBSECCIÓN 4
ESQUEMA DE PRESTACIÓN REGIONAL EN DONDE ALGUNA DE LAS APS SE ENCUENTRA EN UN MUNICIPIO CON MÁS DE 5.000 SUSCRIPTORES EN EL ÁREA URBANA.
Artículo 5.11.3.1.4.4.1. Aplicación del esquema de prestación regional en un APSD de difícil gestión. En el caso que el APSD se encuentre incorporada en un esquema de prestación regional constituido de conformidad con lo establecido en el parágrafo 3 artículo 5.3.5.1.7. de la presente resolución o aquel que lo modifique, adicione o sustituya, para el cálculo de la tarifa final a cobrar por suscriptor deberá considerarse lo contemplado en la presente subsección.
Artículo 5.11.3.1.4.4.2. Costo fijo total en el APSD de difícil gestión (CFTADG). El costo fijo total por suscriptor del APSD de difícil gestión, incorporada dentro de un esquema de prestación regional, se estima según lo establecido en la siguiente expresión matemática:
![]()
Donde:
CFTADG: Costo fijo total por suscriptor en el APSD de difícil gestión definida en el municipio y/o distrito (pesos de julio de 2018/suscriptor-mes).
CCSADG: Costo de comercialización por suscriptor del servicio público de aseo en el en el APSD de difícil gestión (pesos de julio de 2018/suscriptor-mes), calculado de conformidad con el artículo 5.3.5.7.2.1. de la presente resolución o aquel que lo modifique, adicione o sustituya, el cual no podrá superar el CCS que se cobre en las APS del municipio y/o distrito donde se adopte el esquema diferencial de difícil gestión.
CMAGADG: Costo de aseguramiento y gestión social por suscriptor del servicio público de aseo en el APSD de difícil gestión definido en el artículo 5.11.3.1.4.4.4. de la presente resolución (pesos de julio de 2018/suscriptor-mes). Para el caso de las APS que no apliquen esquemas diferenciales urbanos el valor de CMAGADG será igual a cero.
CLUSz: Costo de limpieza urbana por suscriptor para el APS z (pesos de julio de 2018/ suscriptor-mes), corresponderá al costo cobrado en las APS del municipio y/o distrito.
CBLSz: Costo de barrido y limpieza por suscriptor para el APS z (pesos de julio de 2018/suscriptor-mes), corresponderá al costo cobrado en las APS del municipio y/o distrito.
z: APS que conforman el esquema de prestación regional, donde z = {1, 2, 3, 4,...,Z}.
ADG: Áreas de Prestación del Servicio Diferencial (APSD) de difícil gestión definida (s) en el (los) municipio(s) y/o distrito(s) que conforman el esquema de prestación regional, donde ADG = {1, 2, 3, 4,...,ADG}.
PARÁGRAFO 1o. En caso que alguna de las actividades del servicio público de aseo de que trata el presente artículo, no se esté prestando en atención a la gradualidad para su incorporación establecida en el programa de prestación del servicio, de conformidad con lo dispuesto en el numeral 2 del artículo 2.3.7.2.2.1.6. del Decreto 1077 de 2015 o aquel que lo modifique, adicione o sustituya, el costo asociado para dicha actividad será igual a cero.
PARÁGRAFO 2o. El incremento en el CCSADG por la prestación de la actividad de aprovechamiento deberá calcularse acorde con lo establecido en el artículo 5.3.5.7.2.2. de la presente resolución o aquel que lo modifique, adicione o sustituya.
Artículo 5.11.3.1.4.4.3. Costo variable por tonelada de residuos no aprovechables en el APSD de difícil gestión (CVNAADG). El costo variable por tonelada de residuos sólidos no aprovechables en el APSD de difícil gestión, incorporada dentro de un esquema de prestación regional, se estima según lo establecido en la siguiente expresión matemática:
![]()
Donde:
CVNAADG: Costo variable por tonelada de residuos sólidos no aprovechables en el APSD de difícil gestión definida en un municipio y/o distrito perteneciente a un esquema de prestación regional (pesos de julio de 2018/tonelada).
CRTADG: Costo de recolección y transporte de residuos sólidos en el APSD de difícil gestión (pesos de julio de 2018/tonelada), calculado de conformidad con el artículo 5.3.5.7.5.1. de la presente resolución o aquel que lo modifique, adicione o sustituya. En todo caso, el valor que se adopte no podrá superar el CRT que se cobre en las APS del municipio y/o distrito donde se adopte el esquema diferencial de difícil gestión.
CDFT: Costo de disposición final total por tonelada (pesos de julio de 2018/tonelada), corresponderá al costo cobrado en las APS del municipio.
CTz: Costo de tratamiento por tonelada (pesos de julio de 2018/tonelada), corresponderá al costo cobrado en las APS del municipio.
z: Área de Prestación del Servicio (APS) que conforman el esquema de prestación Regional, donde z = {1,2,3,…,z}.
ADG: Áreas de Prestación del Servicio Diferencial (APSD) de difícil gestión definida (s) en el (los) municipio(s) y/o distrito(s) que conforman el esquema de prestación regional, donde ADG = {1, 2, 3, 4,...,ADG}.
PARÁGRAFO. El cálculo del costo de recolección y transporte de residuos sólidos con aporte bajo condición en el área de difícil gestión deberá calcularse acorde con lo establecido en el artículo 5.3.5.7.5.3. de la presente resolución o aquel que lo modifique, adicione o sustituya.
Artículo 5.11.3.1.4.4.4. Costo de aseguramiento y gestión social por suscriptor del servicio público de aseo en el APSD de difícil gestión (CMAGADG). El costo de aseguramiento y gestión social por suscriptor del servicio público de aseo en el (las) APSD de difícil gestión, incluidas en el esquema de prestación regional, se estima según lo establecido en la siguiente expresión matemática:

Donde:
CMAGADG: Costo de aseguramiento y gestión social por suscriptor del servicio público de aseo en el (las) APSD de difícil gestión definida (s) en el municipio y/o distrito (pesos de julio de 2018//suscriptor-mes).
CPAEDADG: Costo total incurrido durante el semestre calendario inmediatamente anterior de las actividades del PAED realizadas por la persona prestadora en el (las) APSD de difícil gestión, acorde con lo definido en el ARTÍCULO 5.11.3.1.2.3. de la presente resolución (pesos de julio de 2018/mes).
Promedio mensual de suscriptores totales en el o las APSD de dificil gestión del año fiscal inmediatamente anterior, de acuerdo con lo establecido en el ARTICULO 5.3.5.7.1.4 de la presente resolución o aquel que lo modifique, adicione o sustituya (suscriptores/mes)
ADG: Áreas de Prestación del Servicio Diferencial (APSD) de difícil gestión definida (s) en el (los) municipio(s) y/o distrito(s) que conforman el esquema de prestación regional, donde ADG = {1, 2, 3, 4,...,ADG}.
PARÁGRAFO 1o. El CPAEDADG incluirá los gastos de las actividades del PAED definido en el artículo 5.11.3.1.2.3. de la presente resolución que se financien parcial o totalmente con cargo a la tarifa. No se podrán incluir costos de actividades que ya estén siendo remuneradas a través del costo de comercialización por suscriptor (CSSADG).
PARÁGRAFO 2o. La persona prestadora reportará la información solicitada en el ANEXO 6.3.6.3. de la presente resolución, así como los soportes de la estimación del CPAEDADG al SUI en los términos y condiciones que la SSPD establezca.
PARÁGRAFO 3o. El costo de aseguramiento y gestión social CMAGADG se actualizará de acuerdo con el Índice de Precios al Consumidor (IPC), calculado por el DANE, teniendo en cuenta lo establecido en el artículo 125 de la Ley 142 de 1994.
Artículo 5.11.3.1.4.4.5. Tarifa final por suscriptor en el APSD de difícil gestión. Para efecto de calcular la tarifa mensual final al suscriptor, las personas prestadoras de recolección y transporte de residuos no aprovechables en el APSD de difícil gestión aplicará la siguiente expresión matemática:
1. Suscriptor no Aforado:
![]()
2. Suscriptor Aforado:
![]()
Donde:
TFSADG,u: Tarifa final por suscriptor tipo u, de la persona prestadora en el APSD de difícil gestión (pesos/suscriptor-mes).
TFSADG,i: Tarifa final por suscriptor i de la persona prestadora en el APSD de difícil gestión (pesos/suscriptor-mes).
CFTADG: Costo fijo total por suscriptor en el APSD de difícil gestión definido en el ARTÍCULO 5.11.3.1.4.4.2. de la presente resolución (pesos/suscriptor-mes).
CVNAADG: Costo variable por tonelada de residuos sólidos no aprovechables en el APSD de difícil gestión definido en el artículo 5.11.3.1.4.4.3. de la presente resolución (pesos/tonelada).
CVAz: Costo variable por tonelada de residuos efectivamente aprovechados del APS z definido en el artículo 5.3.5.7.1.3. de la presente resolución o aquel que lo modifique, adicione o sustituya (pesos/tonelada).
TAFAi,z: Toneladas de residuos efectivamente aprovechados aforadas por suscriptor i en el APSD z, definidas en el artículo 5.3.5.7.10.2. de la presente resolución o aquel que lo modifique, adicione o sustituya (toneladas/suscriptor-mes).
Toneladas de residuos sólidos de barrido y limpieza por suscriptor del APSz, definidas en el ARTICULO 5.3.5.7.10.2 de la presente resolucion o aquel que lo modifique, adiciones o sustituya (toneladas/suscriptores-mes)
Toneladas de residuos sólidos de limpieza urbana por suscriptor del APSz, definidas en el ARTICULO 5.3.5.7.10.2 de la presente resolucion o aquel que lo modifique, adiciones o sustituya (toneladas/suscriptores-mes)
Toneladas de residuos de rechazo del aprovechamiento por por suscriptor del APSz, definidas en el ARTICULO 5.3.5.7.10.2 de la presente resolucion o aquel que lo modifique, adiciones o sustituya (toneladas/suscriptores-mes)
Toneladas de residuos efectivamente aprovechados no aforados por suscriptor del APSz, definidas en el ARTICULO 5.3.5.7.10.2 de la presente resolucion o aquel que lo modifique, adiciones o sustituya (toneladas/suscriptores-mes)
TRNAADG,u: Toneladas de residuos sólidos no aprovechables por suscriptor u en el APSD de difícil gestión, de la persona prestadora de acuerdo con lo establecido en el artículo 5.3.5.7.10.2. de la presente resolución o aquel que lo modifique, adicione o sustituya (toneladas/suscriptor-mes).
TAFNAADG,i: Toneladas de residuos sólidos no aprovechables aforadas por suscriptor i del APSD de difícil gestión, de la persona prestadora definidas en el artículo 5.3.5.7.10.3. de la presente resolución o aquel que lo modifique, adicione o sustituya (toneladas/ suscriptor-mes).
FCSuz: Factor de contribución o subsidio correspondiente a cada suscriptor, aplicable para el servicio público de aseo, determinado por estrato o tipo de uso de acuerdo con la normatividad aplicable, subsidio con signo negativo y contribución con signo positivo. Teniendo en cuenta adicionalmente lo establecido en el parágrafo 1 del artículo 2.3.7.2.3.1 del Decreto 1077 de 2015 o aquel que lo modifique, adicione o sustituya.
u: Tipo de suscriptor, donde u = (1,2,3,4,5,6= estratos suscriptores residenciales, 7=pequeño productor, 8= inmuebles desocupados).
i: Suscriptor aforado, donde = (1,2,3,…,I).
z: Área de Prestación del Servicio (APS) que conforman el esquema de prestación Regional, donde z = {1,2,3,…,z}.
ADG: Áreas de Prestación del Servicio Diferencial (APSD) de difícil gestión definida (s) en el (los) municipio(s) y/o distrito(s) que conforman el esquema de prestación regional, donde ADG = {1, 2, 3, 4,...,ADG}.
PARÁGRAFO. En caso que la actividad de aprovechamiento, no se esté prestando en el APSD, en atención a la gradualidad para su incorporación establecida en el programa de prestación del servicio que establezca la persona prestadora, de conformidad con lo dispuesto en el numeral 2 del artículo 2.3.7.2.2.1.6. del Decreto 1077 de 2015 o aquel que lo modifique, adicione o sustituya, el costo asociado para dicha actividad será igual a cero.
Artículo 5.11.3.1.4.4.6. Actualización de costos. Los costos económicos calculados por la persona prestadora en el APSD de difícil gestión según lo establecido en la presente resolución, se actualizarán acorde con lo establecido en el artículo 5.3.5.7.9.1. de la presente resolución, o aquel que lo modifique, adicione o sustituya. Lo anterior, con excepción del CMAGADG, para el cual se tendrá en consideración lo establecido en el parágrafo 3 del ARTÍCULO 5.11.3.1.4.4.4. de la presente resolución.
SECCIÓN 5
ADOPCIÓN, MODIFICACIÓN, PRÓRROGA Y TERMINACIÓN DEL ESQUEMA DIFERENCIAL EN ÁREAS DE DIFÍCIL GESTIÓN
Artículo 5.11.3.1.5.1. Adopción del esquema diferencial en áreas de difícil gestión. Para la aplicación del esquema diferencial en áreas de difícil gestión, la persona prestadora del servicio público de aseo deberá dar cumplimiento a los requisitos mínimos previstos en el artículo 2.3.7.2.2.1.2. del Decreto 1077 de 2015 o aquel que lo modifique, adicione o sustituya. Dicha adopción no estará sujeta a la aceptación de la CRA.
PARÁGRAFO 1o. El esquema diferencial en áreas de difícil gestión inicia una vez la persona prestadora haya socializado el PGED de manera simultánea con las tarifas diferenciales a aplicar, teniendo en cuenta lo previsto en el Título 4 de la Parte 3 del Libro 5 de la presente resolución o la norma que la modifique, adicione o sustituya, para el reporte de las variaciones tarifarias.
PARÁGRAFO 2o. En el caso de esquemas diferenciales de difícil gestión que hubieren sido implementados con anterioridad a la expedición de la presente resolución, la persona prestadora, dentro de los doce (12) meses siguientes a la expedición de la presente resolución, deberá modificar el PGED y los costos económicos de referencia, de conformidad con lo previsto en el presente CAPÍTULO. Lo anterior deberá ser informado a los suscriptores y/o usuarios y reportado al SUI en las condiciones y plazos que defina la SSPD.
Artículo 5.11.3.1.5.2. Modificación y/o prórroga del esquema diferencial en áreas de difícil gestión. El esquema diferencial en áreas de difícil gestión podrá ser modificado y/o prorrogado por la persona prestadora antes del vencimiento del plazo señalado en el PGED, para lo cual deberá cumplir con lo establecido en el artículo 2.3.7.2.2.1.4. del Decreto 1077 de 2015 o aquel que lo modifique, adicione o sustituya, informarlo por escrito a la SSPD y reportarlo al SUI en los términos y condiciones que defina dicha entidad.
La persona prestadora que decida modificar el APSD en áreas de difícil gestión, podrá hacerlo previo cumplimiento de los requisitos mínimos previstos en el artículo 2.3.7.2.2.1.2. del Decreto 1077 de 2015 o aquel que lo modifique, adicione o sustituya, y deberá realizar los ajustes al PGED, PID, PAED, así como a las condiciones, metas y costos económicos de referencia diferenciales. Esto no implicará adelantar una actuación administrativa particular ante la CRA.
Artículo 5.11.3.1.5.3. Terminación del esquema diferencial en áreas de difícil gestión. Conforme a lo establecido en el artículo 2.3.7.2.2.1.5. del Decreto 1077 de 2015, el esquema diferencial en áreas de difícil gestión termina cuando se cumpla alguna de las siguientes dos (2) condiciones:
1. Se superen las condiciones del servicio que dieron origen a la prestación en condiciones diferenciales dentro del plazo fijado por la persona prestadora en el PGED.
2. Cuando culmine el plazo fijado por la persona prestadora en el PGED respecto de las metas y gradualidad para el logro de los estándares señalados por la regulación.
PARÁGRAFO. En todo caso, de conformidad con el artículo 2.3.7.2.2.1.5. del Decreto 1077 de 2015 o aquel que lo modifique, adicione o sustituya, cuando la Superintendencia de Servicios Públicos Domiciliarios en ejercicio de sus funciones de inspección, vigilancia y control encuentre que no se están cumpliendo las obligaciones en la aplicación del esquema diferencial, podrá imponer las sanciones y demás acciones para corregir la actuación del prestador.
Artículo 5.11.3.1.5.4. Integración de áreas de difícil gestión que hacen parte del APSD por superación de las condiciones del servicio que dieron origen a la prestación en condiciones diferenciales. Cuando en las áreas de difícil gestión, que hacen parte del APSD del esquema diferencial de difícil gestión, se superen las condiciones que dieron lugar a la prestación del servicio en condiciones diferenciales, se deberá tener en consideración lo siguiente:
1. Si la persona prestadora decide no integrarla(s) al APS atendida por la misma persona prestadora que implementó el esquema diferencial de difícil gestión, en el respectivo municipio o distrito, deberá aplicar la tarifa calculada por el prestador para el APS del municipio o distrito, cumplir con los estándares establecidos en la metodología tarifaria vigente y cumplir con lo previsto en el Título 4 de la Parte 3 del Libro 5 de la presente resolución, o la norma que la modifique, adicione o sustituya para el reporte de las variaciones tarifarias.
2. Si la persona prestadora decide integrarla(s) al APS atendida por la misma persona prestadora que implementó el esquema diferencial de difícil gestión, en el respectivo municipio o distrito, deberá actualizar el estudio de costos del APS con la metodología tarifaria vigente y deberá cumplir con lo previsto en el Título 4 de la Parte 3 del Libro 5 de la presente resolución, o la norma que la modifique, adicione o sustituya para el reporte de las variaciones tarifarias
CAPÍTULO 2
ESQUEMAS DIFERENCIALES EN ZONAS DE DIFÍCIL ACCESO
SECCIÓN 1
ASPECTOS GENERALES DEL ESQUEMA DIFERENCIAL EN ZONAS DE DIFÍCIL ACCESO
Artículo 5.11.3.2.1.1. Determinación del APSD del esquema diferencial en zonas de difícil acceso. El APSD del esquema diferencial en zonas de difícil acceso corresponderá al Área de Prestación del Servicio (APS) definida por la persona prestadora del servicio público de aseo de conformidad con el numeral 1. del ARTÍCULO 5.3.5.1.5. de la presente resolución o aquella que la modifique, adicione o sustituya, en aquellos municipios o distritos que cuentan con una población urbana menor a 25.000 habitantes según la información censal del Departamento Administrativo Nacional de Estadística (DANE) y está ubicado en Zonas No Interconectadas (ZNI) del sistema eléctrico nacional de la Unidad de Planeación Minero Energética (UPME).
Las personas prestadoras deberán definir el PGED, PID, PAED y los costos económicos de referencia diferenciales para cada APSD de difícil acceso que atiendan.
PARÁGRAFO. En virtud del artículo 5o de la Ley 142 de 1994 y el numeral 19 del artículo 3o de la Ley 136 de 1994, modificado por el artículo 6o de la Ley 1551 de 2012, es responsabilidad del municipio garantizar la prestación del servicio público de aseo en aquellas áreas del suelo urbano que no sean reportadas como APS o APSD por alguna persona prestadora.
Artículo 5.11.3.2.1.2. Aplicación conjunta de esquemas diferenciales. En el caso en que la persona prestadora del servicio público de aseo decida aplicar en el mismo municipio el esquema diferencial en zonas de difícil acceso y el esquema diferencial en áreas de difícil gestión, deberá definir un APSD distinta para cada esquema diferencial, con el objetivo de no afectar los estándares de prestación de conformidad con lo previsto en el parágrafo 1 del artículo 2.3.7.2.2.1.3. del Decreto 1077 de 2015 o aquel que lo modifique, adicione o sustituya.
Los criterios regulatorios para el esquema diferencial de difícil gestión se encuentran contenidos en el CAPÍTULO 1 DEL TÍTULO 3 de la presente resolución y para el esquema diferencial en zonas de difícil acceso en el presente CAPÍTULO.
PARÁGRAFO. La persona prestadora del servicio público de aseo debe elaborar un mapa georreferenciado en formato shape, en el sistema de referencia MAGNA-SIRGAS o el sistema de coordenadas oficial que se encuentre vigente, delimitando exactamente el APSD de difícil gestión y el APSD en zonas de difícil acceso.
SECCIÓN 2
PLAN DE GESTIÓN DEL ESQUEMA DIFERENCIAL EN ZONAS DE DIFÍCIL ACCESO
Artículo 5.11.3.2.2.1. Plan de Gestión del Esquema Diferencial (PGED) en zonas de difícil acceso. La persona prestadora que implemente el esquema diferencial de prestación para el servicio público de aseo en zonas de difícil acceso deberá establecer un PGED donde establezca las metas, indicadores, plazos, objetivos, acciones y fuentes de financiación para dar cumplimiento a las condiciones diferenciales y estándares de prestación del servicio definidos en la SECCIÓN 3 del presente CAPÍTULO.
El PGED deberá contener como mínimo:
1. El Plan de Inversiones Diferencial (PID).
2. El Plan de Aseguramiento del Esquema Diferencial (PAED).
El PGED en zonas de difícil acceso debe estar articulado con los programas y proyectos incluidos por municipios, departamentos y/o la Nación en sus planes de desarrollo y con el Programa de Prestación del Servicio de la persona prestadora, el cual debe estar acorde con el Plan de Gestión Integral de Residuos Sólidos (PGIRS) del municipio o distrito y/o regional según el caso, de conformidad con el artículo 2.3.2.2.1.10. del Decreto 1077 de 2015 o aquel que lo modifique, adicione o sustituya.
De conformidad con el parágrafo del citado artículo, el Programa para la Prestación del Servicio público de Aseo debe revisarse y ajustarse de acuerdo con las actualizaciones del PGIRS y ser enviado a la SSPD para su vigilancia y control, conforme a lo establecido en el numeral 3.4 del artículo 3o de la Ley 142 de 1994.
PARÁGRAFO 1o. El PGED debe ser suscrito por el representante legal de la persona prestadora que implemente el esquema diferencial de prestación para el servicio público de aseo en zonas de difícil acceso.
PARÁGRAFO 2o. La persona prestadora del servicio público de aseo, acorde con lo establecido en el numeral 2 del artículo 2.3.7.2.2.3.6 del Decreto 1077 de 2015 o aquel que lo modifique, adicione o sustituya, establecerá en el Programa de Prestación del Servicio, la gradualidad para la incorporación de las diferentes actividades del servicio conforme con las condiciones municipales.
Artículo 5.11.3.2.2.2. Plan de Inversiones Diferencial (PID) en zonas de difícil acceso. El PID en zonas de difícil acceso es el conjunto de inversiones para dar cumplimiento a las condiciones diferenciales y lograr las metas para los estándares de prestación, definidos en la SECCIÓN 3 del presente CAPÍTULO, a las que se compromete la persona prestadora del servicio público de aseo, el municipio, el departamento y/o la Nación, en el plazo definido en el PGED.
El PID para el servicio público de aseo será indicativo y corresponderá a las inversiones que la persona prestadora considere realizar para atender las directrices previstas en el Decreto 1077 de 2015, o aquel que lo modifique, adicione o sustituya, y estar orientadas al cumplimiento de las condiciones diferenciales y al logro de las metas para los estándares de prestación del servicio, definidos en la SECCIÓN 3 del presente CAPÍTULO, y considerando el siguiente indicador:
| Actividad | Indicador |
| Cobertura | Suscriptores atendidos APSD |
Las personas prestadoras deberán articular el PID con las decisiones de uso de suelo contenidas en los Planes de Ordenamiento Territorial (POT) y los instrumentos que los desarrollen y complementen, de conformidad con el artículo 2.3.2.2.3.87. del Decreto 1077 de 2015 o aquel que lo modifique, adicione o sustituya.
Artículo 5.11.3.2.2.3. Plan de Aseguramiento del Esquema Diferencial (PAED) en zonas de difícil acceso. El PAED en zonas de difícil acceso es el conjunto de acciones a ejecutar por la persona prestadora, el municipio, el departamento y/o la Nación para dar cumplimiento a las condiciones diferenciales y estándares de prestación en el plazo definido en el PGED y promover la sostenibilidad de las inversiones incluidas en el PID y la viabilidad de la prestación del servicio.
El PAED en zonas de difícil acceso debe incluir, como mínimo, las siguientes actividades:
1. Asistencia técnica a los suscriptores y/o usuarios en cuanto a:
a. Manejo y presentación de los residuos en los sitios indicados.
b. Presentación de residuos sólidos y la separación en la fuente.
2. Acciones de gestión social a desarrollar con los suscriptores y/o usuarios beneficiarios del esquema diferencial, que se realizarán con el propósito de promover:
a. La participación de los suscriptores y/o usuarios beneficiarios del esquema diferencial en las distintas fases de ejecución del PGED.
b. La valoración del servicio, cultura de pago, aceptación del esquema diferencial y la regularización de los suscriptores y/o usuarios.
PARÁGRAFO. En el caso en que el municipio o distrito cuente con un plan de aseguramiento de la prestación del servicio elaborado por el gestor del programa Planes Departamentales para el Manejo Empresarial de los Servicios de Agua y Saneamiento (PDA), en concordancia con el artículo 2.3.3.1.5.4. del Decreto 1077 de 2015, o aquel que lo modifique, adicione o sustituya, la persona prestadora podrá emplear, para la formulación del PAED, las acciones relativas a estos servicios públicos que hayan sido incluidas en dicho instrumento. No obstante, en el Costo de Aseguramiento y Gestión Social (CMAG) no se remunerarán las actividades que estén financiadas a través del PDA.
Artículo 5.11.3.2.2.4. Indicador de seguimiento al cumplimiento de las actividades programadas en el PAED definido en zonas de difícil acceso. La persona prestadora deberá definir metas para el cumplimiento de las actividades programadas en el PAED, y reportar al SUI anualmente su seguimiento a través del cálculo del indicador de cumplimiento, según lo establecido en la siguiente expresión matemática:

Donde:
IEACTi: Indicador de cumplimiento en la meta de ejecución de actividades programadas en el PAED en el año de análisis i.
EACTi: Indicador de ejecución de actividades programadas en el PAED en el año de análisis i. Este indicador se estima según lo establecido en la siguiente expresión matemática:

Donde:
AEi: Número de actividades ejecutadas en el año de análisis de las programadas en el PAED del esquema diferencial.
AP: Número total de actividades programadas en el PAED del esquema diferencial.
M_EACTi: Meta establecida por el prestador para el indicador de ejecución de actividades programadas en el PAED del esquema diferencial para en el año de análisis i.
PARÁGRAFO. Teniendo en cuenta que este indicador evalúa el cumplimiento respecto a la meta propuesta por la persona prestadora, si se obtienen valores iguales a 1 para el implica un cumplimiento del 100% de las actividades ejecutadas, respecto a la meta establecida por la persona prestadora. Por su parte, resultados con valores inferiores a 1 en el IEACTi indican que la persona prestadora ejecutó menos actividades de las que se había propuesto como meta realizar en el año de análisis i.
SECCIÓN 3
CONDICIONES, ESTÁNDARES Y METAS DIFERENCIALES DE PRESTACIÓN DEL SERVICIO EN ZONAS DE DIFÍCIL ACCESO
Artículo 5.11.3.2.3.1. Condiciones de prestación del servicio en esquemas diferenciales en zonas de difícil acceso. La persona prestadora que implemente el esquema diferencial de prestación para el servicio público de aseo en zonas de difícil acceso deberá proyectar metas anuales para cumplir con los siguientes estándares en los plazos y gradualidad definidos en el PGED:
| Nombre del estándar | Estándar | Meta servicio público de aseo | Meta y gradualidad diferencial |
| Cobertura | 100% | 100% cobertura en el APSD | El 100% de la diferencia entre el valor del indicador al inicio del esquema diferencial y el estándar debe lograrse en los plazos y gradualidad definidos en el PGED. |
Para la determinación de las metas anuales de los estándares de servicio, la persona prestadora deberá identificar el valor del indicador al inicio del esquema diferencial y proyectar las metas a las que se compromete en el plazo definido en el PGED para el APSD que defina, para alcanzar la meta para cada estándar. En todo caso, las metas proyectadas no podrán ser inferiores a las metas establecidas para el año inmediatamente anterior.
PARÁGRAFO 1o. Cuando la recolección de residuos sólidos no se realice puerta a puerta, se deberá implementar la recolección mediante sistemas colectivos de presentación y almacenamiento de residuos sólidos, de conformidad con el numeral 2.1. del artículo 2.3.7.2.2.1.6. del Decreto 1077 de 2015 o aquel que lo modifique, adicione o sustituya.
PARÁGRAFO 2o. La frecuencia de recolección de residuos no aprovechables se deberá considerar que el número de frecuencias para esta actividad corresponderá a aquel que optimice el costo de recolección y transporte de la persona prestadora, en relación con la cantidad de residuos generados en el APSD, sin que en ningún caso pueda ser inferior a dos (2) frecuencias semanales, de conformidad con el artículo 2.3.2.2.2.3.32. del Decreto 1077 de 2015 o aquel que lo modifique, adicione o sustituya.
PARÁGRAFO 3o. En calles no pavimentadas y en áreas donde por sus características físicas no sea posible realizar el barrido mecánico, se desarrollarán labores de limpieza manual a cargo de la persona prestadora, de conformidad con el numeral 2.2. del artículo 2.3.7.2.2.1.6. del Decreto 1077 de 2015 o aquel que lo modifique, adicione o sustituya. Así mismo, las frecuencias de barrido serán como mínimo las que establece el artículo 2.3.2.2.2.4.53. del Decreto 1077 de 2015 o aquel que lo modifique, adicione o sustituya.
Artículo 5.11.3.2.3.2. Cálculo del indicador de cumplimiento de la meta de cobertura. El indicador de cumplimiento de la meta de cobertura para el servicio público de aseo para esquemas diferenciales en zonas de difícil acceso se estima según lo establecido en la siguiente expresión matemática:

Donde:
CMCOBi,aseo: Cumplimiento metas de cobertura para el servicio público de aseo, en el año de análisis i evaluado, redondeado a dos (2) cifras decimales.
Reali,aseo: Número de suscriptores y/o usuarios del servicio público de aseo atendidos por la persona prestadora en el APSD de difícil acceso en el año de análisis i
Metai,aseo: Número de suscriptores y/o usuarios del servicio público de aseo correspondientes a la meta establecida por la persona prestadora en el PGED, para el estándar de cobertura en el año de análisis i
i: Cada uno de los años de análisis que hacen parte del plazo establecido en el PGED.
SECCIÓN 4
COSTOS ECONÓMICOS DE REFERENCIA Y TARIFA FINAL POR SUSCRIPTOR DIFERENCIALES EN ZONAS DE DIFÍCIL ACCESO
Artículo 5.11.3.2.4.1. Cálculo de los costos económicos de referencia y tarifa final por suscriptor. El cálculo de los costos asociados a la prestación del servicio público de aseo en el esquema de prestación de zonas de difícil acceso deberá realizarse acorde con lo establecido en el Capítulo 5 del Título 5 de la Parte 3 del Libro 5 de la presente resolución.
Artículo 5.11.3.2.4.2. Modificar el contenido del artículo 5.3.5.5.1.1. de la Resolución CRA 943 de 2021-, el cual quedará así:
“Artículo 5.3.5.5.1.1. Costo Fijo Total (). El Costo fijo total por suscriptor se define de la siguiente manera:
![]()
Donde:
CFT: Costo fijo total por suscriptor del servicio público de aseo en el APSD en zonas de difícil acceso definida en el municipio (pesos de julio de 2018/suscriptor-mes).
CCS: Costo de comercialización por suscriptor del servicio público de aseo, definido en el artículo 5.3.5.5.2.1. de la presente resolución (pesos de julio de 2018/suscriptor-mes).
CMAGZDA: Costo de aseguramiento y gestión social por suscriptor del servicio público de aseo, definido en el artículo 5.3.5.5.1.1.1. de la presente resolución (pesos de julio de 2018/suscriptor-mes).
CBLUS: Costo de barrido y limpieza de vías y áreas públicas y limpieza urbana por suscriptor, definido en el artículo 5.3.5.5.3.1. de la presente resolución (pesos de julio de 2018/suscriptor-mes)”.
Artículo 5.11.3.2.4.3. Adicionar el siguiente artículo a la Resolución CRA 943 de 2021, el cual quedará así:
“Artículo 5.3.5.5.1.1.1. Costo de aseguramiento y gestión social por suscriptor del servicio público de aseo (CMAGZDA). El costo de aseguramiento y gestión social por suscriptor del servicio público de aseo, se determinará de acuerdo con la siguiente ecuación y, será el precio techo de cada prestador en el APSD en zonas de difícil acceso:
![]()
Donde:
CMAGZDA: Costo de aseguramiento y gestión social por suscriptor del servicio público de aseo en el APSD en zonas de difícil acceso definida en el municipio (pesos de julio de 2018//suscriptor-mes).
CPAEDZDA: Costo total incurrido durante el año fiscal inmediatamente anterior de las actividades del PAED realizadas por la persona prestadora, (pesos de julio de 2018/mes).
Promedio mensual de Número de suscriptores totales en el APSD en zonas de difícil acceso del año fiscal inmediatamente anterior, de acuerdo con lo establecido en el artículo 5.3.5.5.1.4. de la presente resolución o aquella que la modifique, adicione o sustituya (suscriptores/mes).
PARÁGRAFO 1o. El CPAEDZDAincluirá los gastos de las actividades del PAED que se financien parcial o totalmente con cargo a la tarifa. No se podrán incluir costos de actividades que ya estén siendo remuneradas a través del costo de comercialización por suscriptor (CCSZDA)
PARÁGRAFO 2o. El costo de aseguramiento y gestión social CMAGZDA se actualizará de acuerdo con el Índice de Precios al Consumidor (IPC), calculado por el DANE, teniendo en cuenta lo establecido en el artículo 125 de la Ley 142 de 1994.”
PARÁGRAFO 3o. La persona prestadora reportará la información de la tabla que se presenta a continuación, así como los soportes de la estimación del CPAEDZDA al SUI en los términos y condiciones que la SSPD establezca.
| Rubro* | Costo Total pesos del año fiscal inmediatamente anterior (a) | Porcentaje del tiempo que dedica a la actividad (Total días de dedicación / Total días al año) (b) | Proporción del costo asignado al rubro (a*b) |
| Gestión social (relaciones con la comunidad): sumatoria de gastos asociados a campañas informativas, capacitaciones, talleres, material comunicativo entre otros que no sean reconocidos en el CCS. | (i) | ||
| Personal (administrativos, atención PQR): sumatoria anual de los salarios pagados al personal (dotaciones y prestaciones sociales). | (ii) | ||
| Implementación de buenas prácticas: estrategias en la calidad de servicio, asistencia técnica, actualización de tecnologías para la operación y el cumplimiento de los estándares mínimos determinados en el Decreto 1077 de 2015, para la prestación del servicio público de aseo, control de fuga de residuos, articulación interinstitucional (programa, proyectos, convenios, planes de desarrollo); entre otros | (iii) | ||
| Otros (estudios, actualización de catastro): valor de todos los estudios de actualización de catastro en el APSD, estudios de capacidad y disponibilidad de pago de los usuarios del APSD, diagnóstico institucional, entre otros. | (iv) | ||
| Rubro* | Costo Total pesos del año fiscal inmediatamente anterior (a) | Porcentaje del tiempo que dedica a la actividad (Total días de dedicación / Total días al año) (b | Proporción del costo asignado al rubro (a*b) |
| Rendimiento capital trabajo | 2,70% | ||
| Impuesto a las transacciones financieras | 0,40% | ||
| TOTAL (c) | |||
| (pesos de julio de 2018) | (i+ii+iii+iv)*(1,0310) | ||
SECCIÓN 5
ACEPTACIÓN, MODIFICACIÓN, PRÓRROGA Y TERMINACIÓN DEL ESQUEMA DIFERENCIAL EN ZONAS DE DIFÍCIL ACCESO
Artículo 5.11.3.2.5.1. Documentación adicional que debe acompañar la solicitud de aceptación del esquema diferencial en zonas de difícil acceso. Además de los requisitos mínimos establecidos en el artículo 2.3.7.2.2.2.2. del Decreto 1077 de 2015 o aquel que lo modifique, adicione o sustituya, para efectos de obtener la aceptación del esquema diferencial en zonas de difícil acceso, la persona prestadora del servicio público de aseo deberá anexar a la solicitud escrita ante la CRA, lo siguiente:
1. Mapa(s) georreferenciado (s) presentado (s) en el sistema de referencia MAGNA-SIRGAS o el sistema de coordenadas oficial que se encuentre vigente, y el listado de coordenadas de los puntos que definen el polígono de la zona de difícil acceso, en la que se prestará el servicio en condiciones diferenciales de acuerdo con el PGED.
2. Copia de la inscripción al Registro Único de Prestadores de Servicios Públicos (RUPS) donde conste que la persona prestadora suministra el servicio público de aseo en el municipio donde se implementará el esquema diferencial.
3. Estudio de costos y tarifas vigente al momento de presentar la solicitud del esquema, en el APS atendida por la persona prestadora en el municipio donde se implementará el esquema diferencial.
4. Estudio de costos y tarifas a aplicar en el esquema diferencial en zonas de difícil acceso.
5. Contrato vigente suscrito entre el ente territorial y la persona prestadora para la prestación del servicio público de aseo, cuando aplique.
6. En aquellos casos en que la prestación del servicio público de aseo, esté a cargo del municipio como prestador directo, el acto administrativo donde se determinen las condiciones en que se prestará el servicio.
Artículo 5.11.3.2.5.2. Verificación y aceptación del esquema diferencial en zonas de difícil acceso. Para efectos de otorgar la aceptación del esquema diferencial en zonas de difícil acceso, la CRA verificará:
1. El cumplimiento de cada uno de los requisitos mínimos que deben acompañar la solicitud del esquema diferencial, a los que hace referencia el artículo 2.3.7.2.2.2.2. del Decreto 1077 de 2015 o aquel que lo modifique, adicione o sustituya.
2. El cumplimiento de la documentación adicional establecida en el artículo 5.11.3.2.5.1. de la presente resolución.
Para el trámite de la solicitud de aceptación del esquema diferencial en zonas de difícil acceso, la CRA dará inicio a una actuación administrativa, en los términos de los artículos 106 y siguientes de la Ley 142 de 1994, y en lo no previsto en ella, aplicará el procedimiento administrativo general de que trata el Código de Procedimiento Administrativo y de lo Contencioso Administrativo (CPACA), contenido en la Ley 1437 de 2011. La actuación administrativa será decidida mediante acto administrativo motivado.
Los esquemas diferenciales en zonas de difícil acceso deberán iniciar en un plazo no superior a dos (2) meses una vez agotado el trámite de la actuación administrativa, mediante el cual la CRA expida el acto administrativo de aceptación correspondiente.
PARÁGRAFO. Una vez aceptado el esquema diferencial de difícil acceso y antes de dar inicio al mismo, la persona prestadora deberá socializar el PGED de manera simultánea con las tarifas diferenciales a aplicar, teniendo en cuenta lo previsto en el TÍTULO 4 de la PARTE 3 del LIBRO 5 de la presente resolución o la norma que la modifique, adicione o sustituya, para el reporte de las variaciones tarifarias.
Artículo 5.11.3.2.5.3. Modificación y/o prórroga del esquema diferencial en zonas de difícil acceso. El esquema diferencial en zonas de difícil acceso podrá ser modificado y/o prorrogado por la persona prestadora antes del vencimiento del plazo, para lo cual se deberá remitir los soportes de los ajustes a realizar respecto a los requisitos previstos en el artículo 2.3.7.2.2.2.2. del Decreto 1077 de 2015 o aquel que lo modifique, adicione o sustituya, y a la remisión de la documentación adicional establecida en el artículo 5.11.3.2.5.1. de la presente resolución.
La modificación y/o prórroga se podrá realizar de oficio por la CRA o a solicitud de parte debidamente sustentada, antes del vencimiento del plazo señalado para la terminación del esquema diferencial.
Para el trámite de la solicitud de modificación y/o prórroga del esquema diferencial en zonas de difícil acceso, la CRA dará inicio a una actuación administrativa, en los términos de los artículos 106 y siguientes de la Ley 142 de 1994, y en lo no previsto en esta, aplicará el procedimiento administrativo general de que trata el CPACA contenido en la Ley 1437 de 2011, la cual será decidida mediante acto administrativo motivado.
Una vez prorrogado el plazo y/o modificadas las metas, indicadores, plazos, objetivos y acciones para el cumplimiento de las condiciones diferenciales y estándares de prestación del servicio establecidas en la SECCIÓN 3 del presente CAPÍTULO, la persona prestadora deberá realizar el reporte al SUI en los términos y condiciones que defina la SSPD.
PARÁGRAFO. Para efectos de la modificación y/o prórroga de oficio, la SSPD informará anualmente a la CRA, a partir del segundo año de aplicación del esquema diferencial, las personas prestadoras que no logren como mínimo el 50% de cada una de las metas anuales de cobertura programadas en su PGED y de ejecución de actividades programadas en el PAED respecto al año de análisis i evaluado. Con base en dicha información, la CRA podrá requerir a la persona prestadora para que suministre la información sobre el desarrollo del esquema diferencial y podrá iniciar las actuaciones administrativas correspondientes.
Artículo 5.11.3.2.5.4. Causales de modificación y/o prórroga de los esquemas diferenciales en zonas de difícil acceso. Son causales de modificación y/o prórroga de los esquemas diferenciales en zonas de difícil acceso las siguientes:
1. El ajuste de las metas, indicadores, plazos, objetivos y acciones para el cumplimiento de las condiciones diferenciales y estándares de prestación del servicio establecidas en la SECCIÓN 3 del presente CAPÍTULO.
2. La sustitución de la persona prestadora del servicio siempre y cuando quien sustituye decida realizar ajustes al esquema diferencial existente.
La CRA evaluará la solicitud de la persona prestadora con base en los requisitos mínimos establecidos en el artículo 2.3.7.2.2.2.2. del Decreto 1077 de 2015 o aquel que lo modifique, adicione o sustituya, y la información indicada en el artículo 5.11.3.2.5.1. de la presente resolución y aceptará o negará su modificación y/o prórroga.
Artículo 5.11.3.2.5.5. Terminación de los esquemas diferenciales en zonas de difícil acceso. El esquema diferencial en zonas de difícil acceso termina cuando se cumple alguna de las siguientes tres condiciones:
1. Se superen las condiciones del servicio que dieron origen a la prestación con condiciones diferenciales dentro del plazo fijado por la persona prestadora en el PGED.
2. Cuando culmine el plazo fijado por la persona prestadora en el PGED respecto de las metas y gradualidad para el logro de los estándares señalados por la regulación.
3. Cuando se evidencie el incumplimiento del esquema diferencial en los términos establecidos en el artículo 5.11.3.2.5.6. de la presente resolución.
Artículo 5.11.3.2.5.6. Terminación del esquema diferencial en zonas de difícil acceso por incumplimiento. La CRA terminará el esquema diferencial en zonas de difícil acceso, cuando la persona prestadora no logre como mínimo el 50% de cada una de las metas de cobertura programadas en el PGED y de ejecución de actividades programadas en el PAED, en el periodo de evaluación de cumplimiento.
La SSPD informará a la CRA, las personas prestadoras que se encuentren en dicha condición, con el fin de que esta entidad dé inicio a las actuaciones administrativas correspondientes, en los términos de los artículos 106 y siguientes de la Ley 142 de 1994, y en lo no previsto en esta, aplicará el procedimiento administrativo general de que trata el CPACA, contenido en la Ley 1437 de 2011.
Una vez declarada la terminación del esquema diferencial por incumplimiento, si la persona prestadora decide continuar prestando el servicio público de aseo en esta APS, deberá aplicar la metodología tarifaria vigente y cumplir con los estándares allí establecidos.
PARÁGRAFO. Para efectos de la terminación de oficio, la primera verificación de cumplimiento se realizará respecto al quinto (5) año, contado a partir del año en el cual inicie el esquema diferencial y, posteriormente, cada tres (3) años, en relación con la última verificación de cumplimiento realizada.
ARTÍCULO 2o. Adiciónese el TÍTULO 6 a la PARTE 3 del LIBRO 6 de la Resolución CRA 943 de 2021, que quedará así:
ANEXO 6.3.6.1 – CUADRO PARA REPORTE DE ESTIMACIÓN DEL CPAEDADG y CPAEDACP PARA PERSONAS PRESTADORAS DEL ÁMBITO DE APLICACIÓN DE LA RESOLUCIÓN 720 DE 2015
| Rubro* | Costo Total pesos del semestre calendario inmediatamente anterior (a) | Porcentaje del tiempo que dedica a la actividad (Total días de dedicación / Total días al año) (b) | Proporción del costo asignado al rubro (a*b) |
| Gestión social (relaciones con la comunidad): sumatoria de gastos asociados a campañas informativas, capacitaciones, talleres, material comunicativo entre otros que no sean reconocidos en el CCS. | (i) | ||
| Personal (administrativos, atención PQR): sumatoria de los salarios pagados al personal (dotaciones y prestaciones sociales). | (ii) | ||
| Rubro* | Costo Total pesos del semestre calendario inmediatamente anterior (a) | Porcentaje del tiempo que dedica a la actividad (Total días de dedicación / Total días al año) (b) | Proporción del costo asignado al rubro (a*b) |
| Implementación de buenas prácticas: estrategias en la calidad de servicio, asistencia técnica, actualización de tecnologías para la operación y el cumplimiento de los estándares mínimos determinados en el Decreto 1077 de 2015, para la prestación del servicio público de aseo, control de fuga de residuos, articulación interinstitucional (programa, proyectos, convenios, planes de desarrollo); entre otros. | (iii) | ||
| Otros (estudios, actualización de catastro): valor de todos los estudios de actualización de catastro en el APSD, estudios de capacidad y disponibilidad de pago de los usuarios del APSD, diagnostico institucional, entre otros. | (iv) | ||
| Rendimiento capital trabajo | 2,46% | ||
| Impuesto a las transacciones financieras | 0,40% | ||
TOTAL (c) (i+ii+iii+iv)*(1,0286)
(pesos de diciembre de 2014)
* Aquí se deberán incorporar únicamente los costos asociados al contenido mínimo del Plan de Aseguramiento del Esquema Diferencial (PAED), establecidos en la presente resolución, que no estén ya reconocidos en el Costo de Comercialización por Suscriptor (CCS).
ANEXO 6.3.6.2 – CUADRO PARA REPORTE DE ESTIMACIÓN DEL CPAEDACP y/o CPAEDADG PARA ESQUEMA DE PRESTACIÓN EN REGIONAL EN DONDE ALGUNA DE LAS APS SE ENCUENTRA EN UN MUNICIPIO CON MÁS DE 5.000 SUSCRIPTORES EN EL ÁREA URBANA.
| Rubro* | Costo Total pesos del semestre calendario inmediatamente anterior (a) | Porcentaje del tiempo que dedica a la actividad (Total días de dedicación / Total días al año) (b) | Proporción del costo asignado al rubro (a*b) |
| Gestión social (relaciones con la comunidad): sumatoria de gastos asociados a campañas informativas, capacitaciones, talleres, material comunicativo entre otros que no sean reconocidos en el CCS. | (i) | ||
| Personal (administrativos, atención PQR): sumatoria anual de los salarios pagados al personal (dotaciones y prestaciones sociale | (ii) | ||
| Implementación de buenas prácticas: estrategias en la calidad de servicio, asistencia técnica, actualización de tecnologías para la operación y el cumplimiento de los estándares mínimos determinados en el Decreto 1077 de 2015, para la prestación del servicio público de aseo, control de fuga de residuos, articulación interinstitucional (programa, proyectos, convenios, planes de desarrollo); entre otros. | (iii) | ||
| Otros (estudios, actualización de catastro): valor de todos los estudios de actualización de catastro en el APSD, estudios de capacidad y disponibilidad de pago de los usuarios del APSD, diagnóstico institucional, entre otros. | (iv) | ||
| Rendimiento capital trabajo | 2,70% | ||
| Impuesto a las transacciones financieras | 0,40% | ||
TOTAL (c) (i+ii+iii+iv)*(1,0310)
(pesos de julio de 2018)
* Aquí se deberán incorporar únicamente los costos asociados al contenido mínimo del Plan de Aseguramiento del Esquema Diferencial (PAED), establecidos en la presente resolución, que no estén ya reconocidos en el Costo de Comercialización por Suscriptor (CCS).
ANEXO 6.3.6.3– CUADRO PARA REPORTE DE ESTIMACIÓN DEL CPAEDADG EN MUNICIPIOS DEL PRIMER Y SEGUNDO SEGMENTO DE LA RESOLUCIÓN CRA 853 DE 2018
| Rubro* | Costo Total pesos del año fiscal inmediatamente anterior (a) | Porcentaje del tiempo que dedica a la actividad (Total días de dedicación / Total días al año) (b) | Proporción del costo asignado al rubro (a*b) |
| Gestión social (relaciones con la comunidad): sumatoria de gastos asociados a campañas informativas, capacitaciones, talleres, material comunicativo entre otros que no sean reconocidos en el CCS. | (i) | ||
| Personal (administrativos, atención PQR): sumatoria anual de los salarios pagados al personal (dotaciones y prestaciones sociales). | (ii) | ||
| Implementación de buenas prácticas: estrategias en la calidad de servicio, asistencia técnica, actualización de tecnologías para la operación y el cumplimiento de los estándares mínimos determinados en el Decreto 1077 de 2015, para la prestación del servicio público de aseo, control de fuga de residuos, articulación interinstitucional (programa, proyectos, convenios, planes de desarrollo); entre otros. | (iii) | ||
| Otros (estudios, actualización de catastro): valor de todos los estudios de actualización de catastro en el APSD, estudios de capacidad y disponibilidad de pago de los usuarios del APSD, diagnóstico institucional, entre otros. | (iv) | ||
| Rendimiento capital trabajo | 2,29% | ||
| Impuesto a las transacciones financieras | 0,40% | ||
TOTAL (c) (i+ii+iii+iv)*(1,0269)
(pesos de julio de 2018)
Aquí se deberán incorporar únicamente los costos asociados al contenido mínimo del Plan de Aseguramiento del Esquema Diferencial (PAED), establecidos en la presente resolución, que no estén ya reconocidos en el Costo de Comercialización por Suscriptor (CCS).
ANEXO 6.3.6.4 – CUADRO PARA REPORTE DE ESTIMACIÓN DEL CPAEDZDA y/o CPAEDADG PARA ESQUEMA DE PRESTACIÓN EN REGIONAL EN DONDE TODAS LAS APS SE ENCUENTRAN EN MUNICIPIOS CON HASTA 5.000 SUSCRIPTORES EN EL ÁREA URBANA.
| Rubro* | Costo Total pesos del año fiscal inmediatamente anterior (a) | Porcentaje del tiempo que dedica a la actividad (Total días de dedicación / Total días al año) (b) | Proporción del costo asignado al rubro (a*b) |
| Gestión social (relaciones con la comunidad): sumatoria de gastos asociados a campañas informativas, capacitaciones, talleres, material comunicativo entre otros que no sean reconocidos en el CCS. | (i) | ||
| Personal (administrativos, atención PQR): sumatoria anual de los salarios pagados al personal (dotaciones y prestaciones sociales). | (ii) | ||
| Implementación de buenas prácticas: estrategias en la calidad de servicio, asistencia técnica, actualización de tecnologías para la operación y el cumplimiento de los estándares mínimos determinados en el Decreto 1077 de 2015, para la prestación del servicio público de aseo, control de fuga de residuos, articulación interinstitucional (programa, proyectos, convenios, planes de desarrollo); entre otros. | (iii) | ||
| Otros (estudios, actualización de catastro): valor de todos los estudios de actualización de catastro en el APSD, estudios de capacidad y disponibilidad de pago de los usuarios del APSD, diagnóstico institucional, entre otros. | (iv) | ||
| Rendimiento capital trabajo | 2,70% | ||
| Impuesto a las transacciones financieras | 0,40% | ||
TOTAL (c) (i+ii+iii+iv)*(1,0310)
(pesos de julio de 2018)
* Aquí se deberán incorporar únicamente los costos asociados al contenido mínimo del Plan de Aseguramiento del Esquema Diferencial (PAED), establecidos en la presente resolución, que no estén ya reconocidos en el Costo de Comercialización por Suscriptor (CCS).
ARTÍCULO 3o. VIGENCIA. La presente resolución rige a partir de la fecha de su publicación en el Diario Oficial.
Publíquese y cúmplase.
Dada en Bogotá, D. C., a 28 de junio de 2021.
El Presidente,
José Luis Acero Vergel.
El Director Ejecutivo,
Diego Felipe Polanía Chacón
NOTAS AL FINAL:
1. Corte Constitucional, Sentencia T-223 de 2018. M. P. Gloria Stella Ortiz Delgado.
2. Corte Constitucional, Sentencia C-288 de 2012. M. P. Luis Ernesto Vargas Silva.
3. “Por la cual se prorroga el término de participación ciudadana señalado en las Resoluciones CRA 896, CRA 897 y CRA 898 de 2019”.
4. “Por medio del cual se expide el Decreto Único Reglamentario del Sector Comercio, Industria y Turismo”.