PROYECTO DE RESOLUCIÓN DE 2022 CRA
<Fuente: Archivo interno entidad emisora>
COMISIÓN DE REGULACIÓN DE AGUA POTABLE Y SANEAMIENTO BÁSICO -CRA-
“Por la cual se modifican los parágrafos 4 y 5 del artículo 2.1.2.1.10.1. de la Resolución CRA 943 de 2021, modificado por el artículo 1 de la Resolución CRA 950 de 2021, el artículo 2.1.2.1.10.2. de la Resolución CRA 943 de 2021 y se adiciona el artículo 2.1.2.1.10.2.A. a la Resolución CRA 943 de 2021 para regular la operatividad del encargo fiduciario que administra los recursos de la provisión por diferencias entre las inversiones planeadas y ejecutadas del Plan de Obras e Inversiones Regulado – POIR.”
LA COMISIÓN DE REGULACIÓN DE AGUA POTABLE Y SANEAMIENTO BÁSICO
En ejercicio de sus facultades legales, en especial de las conferidas por las Leyes 142 de 1994 y 1437 de 2011, los Decretos 1524 de 1994, 2882 y 2883 de 2007, modificado por el Decreto 2412 de 2015, el Decreto 1077 de 2015, la Resolución CRA 943 de 2021 y,
CONSIDERANDO:
Que el artículo 334 de la Constitución Política señala que la dirección general de la economía estará a cargo del Estado, el cual intervendrá para asegurar que todas las personas, en particular las de menores ingresos, tengan acceso efectivo a los bienes y servicios básicos;
Que el artículo 365 de la Constitución Política prevé que los servicios públicos son inherentes a la finalidad social del Estado y que es deber del mismo asegurar su prestación eficiente a todos los habitantes del territorio nacional. Adicionalmente, el citado artículo establece que los servicios públicos domiciliarios estarán sometidos al régimen jurídico que fije la ley, y el Estado mantendrá la regulación, el control y la vigilancia de dichos servicios;
Que el artículo 370 del ordenamiento constitucional prevé que corresponde al Presidente de la República señalar, con sujeción a la Ley, las políticas generales de administración y control de eficiencia de los servicios públicos domiciliarios y ejercer por medio de la Superintendencia de Servicios Públicos Domiciliarios - SSPD, el control, la inspección y vigilancia de las entidades que los presten;
Que el artículo 68 de la Ley 142 de 1994 establece la delegación de funciones presidenciales a las Comisiones de Regulación, en relación con las políticas generales de administración y control de eficiencia en los servicios públicos domiciliarios, las cuales fueron delegadas mediante Decreto 1524 de 1994;
Que en virtud de lo anterior, el Presidente de la República, mediante Decreto 1524 de 1994, delegó las funciones Presidenciales de señalar políticas generales de administración y control de eficiencia en los servicios públicos domiciliarios, en las Comisiones de Regulación;
Que el artículo 73 de la Ley 142 de 1994 y el artículo 1.2.1.1.1 del Decreto 1077 de 2015 establecen que la Comisión de Regulación de Agua Potable y Saneamiento Básico - CRA tiene la función de “(...) regular los monopolios en la prestación de los servicios públicos, cuando la competencia no sea, de hecho, posible; y, en los demás casos, la de promover la competencia entre quienes presten servicios públicos, para que las operaciones de los monopolistas o de los competidores sean económicamente eficientes, no impliquen abuso de la posición dominante, y produzcan servicios de calidad. (...)”;
Que de acuerdo con lo previsto en el numeral 73.11 del artículo 73 ídem, esta Comisión de Regulación tiene a su cargo la función de establecer fórmulas para la fijación de las tarifas de los servicios públicos de acueducto, alcantarillado y aseo;
Que la Comisión de Regulación de Agua Potable y Saneamiento Básico - CRA expidió la Resolución CRA 688 de 2014, “Por la cual se establece la metodología tarifaria para las personas prestadoras de los servicios públicos domiciliarios de acueducto y alcantarillado con más de 5.000 suscriptores en el área urbana", posteriormente compilada en la Resolución CRA 943 de 2021 “Por la cual se compila la regulación general de los servicios públicos de acueducto, alcantarillado y aseo, y se derogan unas disposiciones;
Que por medio del artículo 20 de la Resolución CRA 688 de 2014, compilado en el artículo 2.1.2.1.3.1. de la Resolución CRA 943 de 2021, se estableció la tasa de descuento para el cálculo del costo medio de inversión (r), estimada con la metodología de costo promedio ponderado de Capital - WACC, que se describe en el título 3 del documento de trabajo “Definición tasa de descuento” donde el costo de la deuda, dentro de la fórmula, representa el rendimiento mínimo que se debe pagar a los acreedores a cambio de los diferentes préstamos;
Que de acuerdo con el artículo 2.1.2.1.10.7. de la resolución ibídem, las tarifas comenzaron a aplicarse a partir del primero (1o) de julio de 2016, fecha en que inició el cobro a los suscriptores de los servicios públicos domiciliarios de acueducto y alcantarillado;
Que el artículo 2.1.2.1.10.1. de la Resolución CRA 943 de 2021, estableció la metodología de cálculo de la provisión de recursos por diferencias entre las inversiones planeadas y ejecutadas del POIR;
Que la Comisión de Regulación de Agua Potable y Saneamiento Básico – CRA expidió la Resolución CRA 950 de 2021 “Por la cual se modifica el artículo 2.1.2.1.10.1. de la Resolución CRA 943 de 2021 en lo relacionado con la provisión de recursos por diferencias entre las inversiones planeadas y ejecutadas del POIR”;
Que el parágrafo 4 del artículo 2.1.2.1.10.1. ibídem establece que “Los recursos de la provisión por diferencias entre las inversiones planeadas y ejecutadas del POIR deberán ser administrados en una cuenta individual de un encargo fiduciario. En caso que el prestador cuente con un encargo fiduciario previamente constituido, podrá hacer uso de este mediante una cuenta individual. Los costos relacionados con el encargo fiduciario deberán ser asumidos por la persona prestadora”;
Que el artículo 2.1.2.1.10.2. de la Resolución CRA 943 de 2021 indica la destinación que debe darse a los recursos de la provisión por diferencias entre las inversiones planeadas y ejecutadas del POIR disponibles en el encargo fiduciario, y específicamente señala que cuando posteriormente al cálculo del saldo del encargo fiduciario, la persona prestadora que ejecute una inversión pendiente del POIR actualizado, podrá descontar de dicho saldo, el valor correspondiente a la provisión de esa inversión al año p anterior;
Que el artículo ibídem prevé que cuando la persona prestadora hubiere ejecutado todas las inversiones pendientes del POIR actualizado y cuente con un saldo a favor en el encargo fiduciario, podrá destinar estos recursos para cubrir las inversiones realizadas diferentes a las incluidas en dicho POIR. Esto, siempre que dichas inversiones hayan entrado en operación entre el año tarifario i=1 y el año p; sean inversiones afectas a la prestación de los servicios públicos domiciliarios de acueducto y/o alcantarillado; cumplan con los principios de pertinencia, ajuste técnico y costos eficientes descritos en la Resolución CRA 688 de 2014, compilada en la Resolución CRA 943 de 2021 y permitan mantener o mejorar los indicadores de las metas establecidas en el estudio de costos. Dichas inversiones no harán parte del POIR, no generarán cambios en el Costo Medio de Inversión - CMI y serán tenidas en cuenta en la base de capital regulada cero para el siguiente marco tarifario;
Que cuando la persona prestadora no destine el saldo del encargo fiduciario de acuerdo con lo señalado en dicho artículo, o lo utilice parcialmente, deberá mantener el saldo remanente en el encargo fiduciario hasta el año t, definido en el artículo 2.1.2.1.10.3. de la Resolución CRA 943 de 2021;
Que aunque por medio de la Resolución CRA 950 de 2021 se amplió en un año el plazo para trasladar el saldo de la provisión de recursos por diferencias entre las inversiones planeadas y ejecutadas del POIR al encargo fiduciario, es necesario establecer algunas disposiciones relacionadas con el manejo de los recursos de dicho encargo que permitan la adecuada y oportuna destinación de los recursos obtenidos vía tarifa para el componente de inversión de los servicios públicos domiciliarios de acueducto y alcantarillado, y de esta manera cumplir el objetivo por el cual se creó la medida;
Que durante los meses de julio a septiembre del año 2021, esta Comisión de Regulación realizó visitas a 8 empresas, que atienden el 63,3% del total del mercado de los prestadores incluidos en el ámbito de aplicación del artículo 2.1.2.1.1.1. de la Resolución CRA 943 de 2021, con el fin de evaluar la aplicación de la provisión de recursos por diferencias entre las inversiones planeadas y ejecutadas del POIR. Así mismo, en el mes de noviembre del mismo año se remitió a 16 prestadores, que atienden el 14,20% del total del mercado de los prestadores del ámbito de aplicación antes referido, un cuestionario sobre la proyección de inversiones, ejecución del POIR y cálculo de la provisión de recursos del artículo 2.1.2.1.10.2. de la Resolución CRA 943 de 2021;
Que existen proyectos finalizados o en ejecución que, aunque no entraron en operación en el año en que fueron planeados, significaron un esfuerzo financiero para la persona prestadora y por tal razón es necesario dar señales respecto del manejo de los recursos del encargo fiduciario para que respondan a la dinámica propia de la ejecución de proyectos de obra e infraestructura, en la que pueden presentarse situaciones que afectan el cumplimiento de la ejecución del POIR;
Que esta Comisión es competente para regular aspectos relacionados con la operatividad técnica y financiera de la administración de los recursos de la provisión por diferencias entre las inversiones planeadas y ejecutadas del POIR para que estos se destinen efectivamente en la ejecución de los proyectos necesarios para la prestación del servicio. En ese sentido, el manejo de los recursos en el encargo fiduciario permite asegurar la continuidad en la ejecución de las inversiones, logrando el cumplimiento de las metas propuestas y mejorando la eficiencia y la calidad de los servicios que se ofrece a los usuarios;
Que por lo anterior, se requiere modificar el artículo 2.1.2.1.10.2. de la Resolución CRA 943 de 2021 a fin de regular los recursos de la provisión por diferencia entre las inversiones planeadas y ejecutadas del POIR depositados en el encargo fiduciario para que respondan a la operatividad técnica y financiera de la prestación de los servicios públicos domiciliarios de acueducto y alcantarillado, incentivar la ejecución de las inversiones planeadas en el POIR y dar oportuna destinación de los dineros que fueron cobrados vía tarifa para el componente de inversión, sin que por ello se modifique la finalidad para la cual fue creada la provisión de recursos por diferencias entre las inversiones planeadas y ejecutadas del POIR;
Que se hace necesario establecer la forma en que podrán efectuarse los retiros de los recursos de la provisión por diferencia entre las inversiones planeadas y ejecutadas del POIR, depositados en el encargo fiduciario de acuerdo con lo previsto en el artículo 2.1.2.1.10.2. de la Resolución CRA 943 de 2021, es decir cuando la persona prestadora hubiere ejecutado todas las inversiones pendientes del POIR actualizado y cuente con un saldo a favor en el encargo fiduciario;
Que adicionalmente a lo antes previsto, se ha identificado la necesidad de establecer medidas regulatorias que permitan disponer de los recursos de la provisión por la diferencia entre las inversiones planeadas y ejecutadas del POIR depositados en el encargo fiduciario, para que las personas prestadoras de los servicios públicos domiciliarios de acueducto y alcantarillado puedan usarlos en los siguientes casos: i) cuando finalice una obra pendiente del POIR actualizado y esta no se encuentre en operación ii) cuando ejecute un avance físico de obra, de una inversión pendiente del POIR actualizado;
Que si bien los casos mencionados en el considerando anterior han significado un esfuerzo financiero por parte de las personas prestadoras, las obras no se encuentran en operación y por tal razón se contempla realizar un descuento al valor de la provisión por la diferencia entre las inversiones planeadas y ejecutadas del POIR, considerando en el cálculo dicho descuento una tasa inferior a la establecida para el Costo Medio de Inversión (r);
Que la tasa de rendimiento mínimo que se debe pagar a los acreedores a cambio de los diferentes préstamos kd representa el costo financiero asumido por la persona prestadora al conseguir los recursos para la ejecución de las obras que hacen parte del POIR, por tal razón esta Comisión de Regulación considera adecuado reconocer, hasta tanto las obras no entren en operación, un descuento a la provisión de inversiones que contemple el costo financiero asumido por el prestador, de acuerdo con la estructura de capital definida en el cálculo del WACC;
Que el reconocimiento proporcional al avance de las obras permitirá que las personas prestadoras de los servicios públicos domiciliarios de acueducto y alcantarillado puedan garantizar la continuidad, cobertura y calidad del servicio y las metas establecidas en el POIR, sin desconocer la finalidad prevista en el artículo 2.1.2.1.10.1 de la Resolución CRA 943 de 2021, en tanto se busca la ejecución de las inversiones del POIR y la protección de los recursos que han sido facturados a los suscriptores por concepto de inversiones no ejecutadas;
Que además de habilitar mecanismos para que las personas prestadoras de los servicios públicos domiciliarios de acueducto y alcantarillado puedan actualizar el saldo de los recursos y disponer de ellos, se deben regular aspectos relacionados con la operatividad de los recursos de la provisión por diferencias entre las inversiones planeadas y ejecutadas del POIR para que los mismos atiendan las reglas y finalidades previstas con la figura de la provisión, asegurando con esto la transparencia y control en la gestión de estos recursos;
Que la facultad de las personas prestadoras de los servicios públicos domiciliarios de acueducto y alcantarillado para disponer de los recursos de la provisión, cuando se den las condiciones para ello, tiene un impacto positivo en los usuarios toda vez que dichos recursos deberán destinarse a la ejecución de obras que favorezcan el cumplimiento de metas asociadas a la continuidad y calidad del servicio;
Que el Capítulo 3, del Título 6, Parte 3, del Libro 2, del Decreto 1077 de 2015, señala las reglas mínimas para garantizar la divulgación y participación en las actuaciones de las Comisiones de Regulación;
Que de acuerdo con lo establecido en el artículo 7 de la Ley 1340 de 2009, por la cual se dictan normas en materia de protección a la competencia, modificado por el artículo 146 de la Ley 1955 de 2019, la Superintendencia de Industria y Comercio - SIC puede rendir concepto previo sobre los proyectos de regulación que puedan incidir sobre la libre competencia en los mercados, para lo cual las autoridades de regulación informarán a la Superintendencia de Industria y Comercio de los actos administrativos que se pretendan expedir;
Que teniendo en cuenta lo dispuesto en el artículo 5 del Decreto 2897 de 2010 compilado en el Decreto 1074 de 2015, y habiendo diligenciado el cuestionario que para el efecto adoptó la Superintendencia de Industria y Comercio mediante Resolución No. 44649 del 25 de agosto de 2010, se determinó que el contenido del presente acto administrativo no tiene incidencia sobre la libre competencia en los mercados, razón por la cual no fue puesto en conocimiento para efectos de la emisión del concepto de abogacía de la competencia por parte de la Superintendencia de Industria y Comercio;
Que en mérito de lo expuesto,
RESUELVE:
ARTÍCULO 1. MODIFICAR los parágrafos 4 y 5 del artículo 2.1.2.1.10.1. de la Resolución CRA 943 de 2021, modificado por el artículo 1 de la Resolución CRA 950 de 2021, los cuales quedarán así:
“Parágrafo 4. Los recursos de la provisión por diferencias entre las inversiones planeadas y ejecutadas del POIR deberán ser administrados en una cuenta individual de un encargo fiduciario que tenga como finalidad la administración y pago de los recursos de dicha provisión. El ingreso y retiro de los recursos del encargo se sujetará a lo dispuesto en el artículo 2.1.2.1.10.2.A de la presente resolución. En caso que el prestador cuente con un encargo fiduciario previamente constituido, podrá hacer uso de éste mediante una cuenta individual, garantizando que dicha cuenta individual tenga como finalidad la administración y pago de los recursos de la provisión por diferencias entre las inversiones planeadas y ejecutadas del POIR y que la disposición de dichos recursos esté sujeta a los términos previstos en la presente resolución. Los costos relacionados con el encargo fiduciario deberán ser asumidos por la persona prestadora.
PARÁGRAFO 5. A partir del sexto año tarifario (p=6), y a más tardar al 31 de diciembre siguiente al cierre de cada año tarifario p, el saldo del encargo fiduciario deberá calcularse de acuerdo con lo establecido en el artículo 2.1.2.1.10.2. de la presente resolución.”
ARTÍCULO 2. MODIFICAR el artículo 2.1.2.1.10.2. de la Resolución CRA 943 de 2021, el cual quedará así:
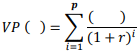
“Artículo 2.1.2.1.10.2. Administración de los recursos de la provisión por diferencias entre las inversiones planeadas y ejecutadas del POIR disponibles en el encargo fiduciario. A partir del sexto año tarifario (p=6), y a más tardar al 31 de diciembre siguiente al cierre de cada año tarifario p, el saldo del encargo fiduciario debe corresponder al valor resultante de la aplicación de la siguiente fórmula:
![]()
Donde:
| Saldo en el encargo fiduciario de los recursos por diferencias entre las inversiones planeadas y ejecutadas del POIR, para cada uno de los servicios públicos domiciliarios de acueducto y/o alcantarillado (pesos de junio del año tarifario | |
| Provisión de recursos por diferencias entre las inversiones planeadas y ejecutadas del POIR al cierre del año tarifario | |
| Tasa de descuento según lo establecido en el artículo 2.1.2.1.3.1. de la presente resolución. | |
| Factor de indexación de los pesos de diciembre de 2014 a pesos de junio del año tarifario | |
| Año tarifario para el que se calcula el valor de la provisión disponible en el encargo fiduciario, desde el año tarifario (i=6) y subsiguientes. | |
| Descuento a la Provisión de recursos por diferencias entre las inversiones planeadas y ejecutadas del POIR al cierre del año tarifario p, para cada uno de los servicios públicos domiciliarios de acueducto y/o alcantarillado (pesos de diciembre de 2014), de acuerdo con las condiciones establecidas en el parágrafo 1 del presente artículo, y calculados aplicando la siguiente fórmula: |

| Implica la aplicación de la función de valor presente del año tarifario uno (1) al año (p), descontando cada variable a analizar con la tasa de descuento (r) definida en el artículo 2.1.2.1.3.1 de la presente resolución, así: |

| Valor presente del Costo de inversión Ajustado, dividido por el valor presente del Consumo Corregido por Pérdidas – CCP para cada uno de los activos j en el año i, para cada uno de los servicios públicos domiciliarios de acueducto y/o alcantarillado. Dicho cálculo solo se realizará para las inversiones que cumplan con las condiciones establecidas en el parágrafo 1 del presente artículo. La persona prestadora podrá realizar el cálculo del |

| Costo de inversión Ajustado del activo j en el año i según el porcentaje de avance físico de obra multiplicado por el valor planeado del POIR, para cada una de las inversiones que cumplan con la condición establecida en el parágrafo 1 del presente artículo, para cada uno de los servicios públicos domiciliarios de acueducto y/o alcantarillado (pesos de diciembre de 2014). Para calcular el CIAPOIR se deberán emplear las fórmulas establecidas en el artículo 2.1.2.1.4.3.2. de la presente resolución reemplazando la r por la tasa de descuento | |
| Tasa de descuento aplicable para el cálculo del Costo de inversión Ajustado del activo j en el mes m del año i. El valor de | |
| Consumo corregido por pérdidas del año i (m3), según lo definido en el estudio de costos, para cada servicio público domiciliario. | |
| Implica la aplicación de la función de valor presente del año tarifario uno (1) al diez (10), descontando cada variable a analizar con la tasa de descuento (r) definida en el artículo 2.1.2.1.3.1. de la presente resolución, así: |

| Metros cúbicos facturados en los años tarifarios del uno (1) hasta el año tarifario p, para cada uno de los servicios públicos domiciliarios de acueducto y/o alcantarillado. | |
| Año tarifario que corresponde a un valor entre uno (1) y diez (10). | |
| Año tarifario para el que se calcula la Provisión de recursos por diferencias entre las inversiones planeadas y ejecutadas del POIR, desde el año tarifario (i=6) y subsiguientes.En los casos en que un prestador entre en operación con posterioridad al primero (1) de julio de 2016, la variable | |
| Cada uno de los activos programados en el POIR actualizado, que hacen parte de la BCR hasta |
PARÁGRAFO 1. La persona prestadora podrá efectuar descuentos al saldo de la provisión por diferencias entre las inversiones planeadas y ejecutadas del POIR aplicando la fórmula del
cuando posteriormente al cálculo de la provisión se presente alguno de los siguientes casos: i) cuando finalice una obra pendiente del POIR actualizado y esta no se encuentre en operación ii) cuando ejecute un avance físico de obra, de una inversión pendiente del POIR actualizado. En ningún caso el valor de los avances de obra que presente la persona prestadora para efectos del cálculo del
podrá superar el valor planeado en el POIR actualizado.
Para determinar el valor del avance de obra la persona prestadora deberá multiplicar el valor planeado en el POIR actualizado para el activo j por el porcentaje de avance físico debidamente soportado. Para cada activo que cumpla con la condición del presente parágrafo, la persona prestadora deberá tener a disposición de la SSPD los soportes del valor planeado en el POIR actualizado, del valor ejecutado a la fecha del cálculo, del porcentaje de avance físico de la obra y del valor a descontar de la provisión por este activo.
En aquellos casos en que se certifique un porcentaje de avance físico inferior al 100%, la persona prestadora tendrá que indicar además si la obra se encuentra en ejecución, teniendo en cuenta que si la obra está suspendida no es posible realizar los descuentos a los que se refiere el presente artículo.
PARÁGRAFO 2. En los casos en que la persona prestadora hubiere ejecutado todas las inversiones pendientes del POIR actualizado y cuente con un saldo a favor en el encargo fiduciario, podrá destinar estos recursos para cubrir las inversiones realizadas diferentes a las incluidas en dicho POIR. Esto, siempre que dichas inversiones hayan entrado en operación entre el año tarifario i=1 y el año p; sean inversiones afectas a la prestación de los servicios públicos domiciliarios de acueducto y/o alcantarillado; cumplan con los principios de pertinencia, ajuste técnico y costos eficientes descritos en el ARTÍCULO 2.1.2.1.4.3.8 de la presente resolución y permitan mantener o mejorar los indicadores de las metas establecidas en el estudio de costos.
Los aportes bajo condición de que trata el numeral 87.9 del artículo 87 de la Ley 142 de 1994, modificado por el artículo 143 de la Ley 1151 de 2007 y por el artículo 99 de la Ley 1450 de 2011, no podrán tenerse en cuenta como inversiones diferentes a las incluidas en el POIR actualizado.
Las nuevas inversiones no harán parte del POIR, no generan cambios en el Costo Medio de Inversión - CMI y serán tenidas en cuenta en la base de capital regulada cero para el siguiente marco tarifario-
, definida en el artículo 2.1.2.1.10.3. de la presente resolución. La persona prestadora deberá reportarlas al Sistema Único de Información – SUI.
PARÁGRAFO 3. En los casos en que la persona prestadora no destine el saldo del encargo fiduciario de acuerdo con lo señalado en el presente artículo, o lo utilice parcialmente, deberá mantener el saldo remanente en dicho encargo hasta el año t, definido en el artículo 2.1.2.1.10.3. de la presente resolución.”
ARTICULO 3. ADICIONAR el artículo 2.1.2.1.10.2.A. a la Resolución CRA 943 de 2021 el cual quedará así:
“Artículo 2.1.2.1.10.2.A. Certificación de los recursos del encargo fiduciario. Cuando el valor del
sea mayor a cero, la persona prestadora de los servicios públicos domiciliarios de acueducto y alcantarillado deberá, a partir del sexto año tarifario (p=6), y a más tardar al 31 de diciembre siguiente al cierre de cada año tarifario p, presentar a la sociedad fiduciaria una certificación suscrita por el representante legal que contenga el valor del
.
PARÁGRAFO 1. Cuando la persona prestadora pretenda realizar un ingreso o un retiro de recursos del encargo fiduciario, en los casos establecidos en el parágrafo 1 del artículo 2.1.2.1.10.2. de la presente resolución deberá presentar a la sociedad fiduciaria una certificación suscrita por el representante legal que contenga el valor del
.
PARÁGRAFO 2. Cuando la persona prestadora pretenda realizar un retiro de recursos después de haber ejecutado todas las inversiones pendientes del POIR actualizado, de conformidad con lo establecido en el parágrafo 2 del artículo 2.1.2.1.10.2 de la presente resolución, deberá presentar a la sociedad fiduciaria la certificación suscrita por el representante legal del saldo a favor en el encargo fiduciario.
En todos los casos la persona prestadora deberá contar con los soportes utilizados para la expedición de las certificaciones de que trata el presente artículo. Los soportes deberán quedar a disposición de la Superintendencia de Servicios Públicos Domiciliarios – SSPD en ejercicio de sus funciones de inspección, vigilancia y control.”
ARTÍCULO 4. VIGENCIA. La presente resolución rige a partir de la fecha de su publicación en el Diario Oficial.
PUBLÍQUESE Y CÚMPLASE
Dada en Bogotá, D.C., a los xxx (xx) días del mes de mayo de 2022.
JOSE LUIS ACERO VERGEL
Presidente
LEONARDO ENRIQUE NAVARRO JIMÉNEZ
Director Ejecutivo