RESOLUCIÓN CRA 688 DE 2014
(junio 24)
Diario Oficial No. 49.229 de 31 de julio de 2014
COMISIÓN DE REGULACIÓN DE AGUA POTABLE Y SANEAMIENTO BÁSICO
Por la cual se establece la metodología tarifaria para las personas prestadoras de los servicios públicos domiciliarios de acueducto y alcantarillado con más de 5.000 suscriptores en el área urbana.
LA COMISIÓN DE REGULACIÓN DE AGUA POTABLE Y SANEAMIENTO BÁSICO,
en ejercicio de sus facultades legales, en especial de las conferidas por la Ley 142 de 1994, los Decretos 1524 de 1994 y 2882 y 2883 de 2007, y
CONSIDERANDO:
Que el artículo 334 de la Constitución Política de Colombia consagra que la dirección general de la economía estará a cargo del Estado, el cual intervendrá por mandato de la ley, entre otras actividades, en los servicios públicos y privados, para racionalizar la economía con el fin de conseguir el mejoramiento de la calidad de vida de los habitantes, la distribución equitativa de las oportunidades y los beneficios del desarrollo y la preservación de un ambiente sano.
Que el artículo 365 ibídem dispone que los servicios públicos son inherentes a la finalidad social del Estado y que es deber de este asegurar su prestación eficiente a todos los habitantes del territorio nacional.
Que el artículo 367 ibídem determina que la ley fijará las competencias relativas a la prestación de los servicios públicos domiciliarios, su cobertura, calidad y financiación, el régimen tarifario y las entidades competentes para fijar las tarifas.
Que el artículo 370 de la Constitución Política de Colombia prevé que corresponde al Presidente de la República señalar, con sujeción a la ley, las políticas generales de administración y control de eficiencia de los servicios públicos domiciliarios, y ejercer por medio de la Superintendencia de Servicios Públicos Domiciliarios, el control, la inspección y vigilancia de las entidades que los presten.
Que el artículo 68 de la Ley 142 de 1994 establece que el señalamiento de las políticas a que hace referencia el artículo 370 de la Constitución Política de Colombia, se podrá delegar en las Comisiones de Regulación.
Que en virtud de lo anterior, el Presidente de la República mediante Decreto 1524 de 1994, delegó las funciones Presidenciales de señalar políticas generales de administración y control de eficiencia en los servicios públicos domiciliarios en las Comisiones de Regulación.
Que el artículo 73 de la Ley 142 de 1994 establece las funciones y facultades generales de las Comisiones de Regulación, y la misma norma dispone que estas unidades Administrativas Especiales: “(...) tienen la función de regular los monopolios en la prestación de los servicios públicos, cuando la competencia no sea, de hecho, posible; y, en los demás casos, la de promover la competencia entre quienes presten servicios públicos, para que las operaciones de los monopolistas o de los competidores sean económicamente eficientes, no impliquen abuso de la posición dominante, y produzcan servicios de calidad. (...)”;
Que el régimen tarifario aplicable a los servicios públicos domiciliarios, de conformidad con el numeral 86.4 del artículo 86 ibídem, está compuesto por reglas relativas a procedimientos, metodologías, fórmulas, estructuras, estratos, facturación, opciones, valores y, en general, todos los aspectos que determinan el cobro de las tarifas.
Que el artículo 87 ibídem preceptúa que el régimen tarifario estará orientado por los criterios de eficiencia, económica, neutralidad, solidaridad, redistribución, suficiencia financiera, simplicidad y transparencia.
Que en virtud del principio de eficiencia económica, establecido en el numeral 87.1 del artículo 87 de la Ley 142 de 1994, “(…) el régimen de tarifas procurará que estas se aproximen a lo que serían los precios de un mercado competitivo (…)”, (…) que las fórmulas tarifarias no pueden trasladar a los usuarios los costos de una gestión ineficiente, ni permitir que las empresas se apropien de las utilidades provenientes de prácticas restrictivas de la competencia (…)”;
Que de acuerdo con el principio de suficiencia financiera definido en el numeral 87.4 del artículo 87 ibídem, se debe garantizar a las empresas eficientes la recuperación de sus costos de inversión y sus gastos de administración, operación y mantenimiento, así como permitir la remuneración del patrimonio de los accionistas en la misma forma en la que lo habría remunerado una empresa eficiente en un sector de riesgo comparable.
Que el numeral 87.7 del artículo 87 ídem dispone que “(…) si llegare a existir contradicción entre el criterio de eficiencia y el de suficiencia financiera, deberá tomarse en cuenta que, para una empresa eficiente, las tarifas económicamente eficientes se definirán tomando en cuenta la suficiencia financiera”.
Que de conformidad con el numeral 87.8 del artículo 87 de la Ley 142 de 1994, “(…) toda tarifa tendrá un carácter integral en el sentido que supondrá una calidad y grado de cobertura del servicio, cuyas características definirán las comisiones reguladoras (…)”;
Que el numeral 87.9 del artículo 87 ibídem dispone que: “Las Entidades públicas podrán aportar bienes o derechos a las empresas de servicios públicos domiciliarios, siempre y cuando su valor no se incluya en el cálculo de las tarifas que hayan de cobrarse a los usuarios y que en el presupuesto de la entidad que autorice el aporte figure este valor. Las Comisiones de Regulación establecerán los mecanismos necesarios para garantizar la reposición y mantenimiento de estos bienes.
Lo dispuesto en el presente artículo no es aplicable cuando se realice enajenación o capitalización de dichos bienes o derechos”;
Que de conformidad con lo establecido en el artículo 88 de la ley antes citada, al fijar sus tarifas, las empresas de servicios públicos se someterán al régimen de regulación, definido por la respectiva Comisión de Regulación.
Que según lo dispuesto por el numeral 88.1 del artículo 88 ibídem, “(…) la comisión reguladora podrá establecer topes máximos y mínimos tarifarios, de obligatorio cumplimiento por parte de las empresas (…)”.
Que de conformidad con lo previsto en el artículo 90 ídem, los elementos de las fórmulas tarifarias, sin perjuicio de otras alternativas que puedan definir las Comisiones de Regulación, podrán incluir un cargo por unidad de consumo, un cargo fijo y un cargo por aportes de conexión, cuyo cobro en ningún caso podrá contradecir el principio de eficiencia, ni trasladar al usuario los costos de una gestión ineficiente o extraer beneficios de posiciones dominantes o de monopolio.
Que el artículo 91 de la precitada ley señala que “Para establecer las fórmulas de tarifas se calculará por separado, cuando sea posible, una fórmula para cada una de las diversas etapas del servicio”;
Que el artículo 92 ibídem dispone que: “En las fórmulas de tarifas las Comisiones de Regulación se garantizarán a los usuarios a lo largo del tiempo los beneficios de la reducción promedio de costos en las empresas que prestan el servicio; y, al mismo tiempo, darán incentivos a las empresas para ser más eficientes que el promedio, y para apropiarse los beneficios de la mayor eficiencia.
Con ese propósito, al definir en las fórmulas los costos y gastos típicos de operación de las empresas de servicios públicos, las comisiones utilizarán no solo la información propia de la empresa, sino la de otras empresas que operen en condiciones similares, pero que sean más eficientes…”.
Que el artículo 125 ídem establece los criterios para la actualización de las tarifas.
Que de conformidad con lo establecido en el artículo 126 de la Ley 142 de 1994, vencido el período de vigencia de las fórmulas tarifarias, estas continuarán rigiendo mientras la Comisión no fije las nuevas.
Que el artículo 163 ibídem dispone que: “Las fórmulas tarifarias, además de tomar en cuenta los costos de expansión y reposición de los sistemas de agua potable y saneamiento básico, incluirán los costos de administración, operación y mantenimiento asociados con el servicio. Además, tendrán en cuenta indicadores de gestión operacional y administrativa, definidos de acuerdo con indicadores de empresas comparables más eficientes que operen en condiciones similares. Incluirán también un nivel de pérdidas aceptable según la experiencia de otras empresas eficientes”.
Que el artículo 164 ibídem estipula que “Con el fin de garantizar el adecuado ordenamiento y protección de las cuencas y fuentes de agua, las fórmulas tarifarias de los servicios de acueducto y alcantarillado incorporarán elementos que garanticen el cubrimiento de los costos de protección de las fuentes de agua y la recolección, transporte y tratamiento de los residuos líquidos”. También dispone este artículo que “Las empresas de servicios del sector de agua potable y saneamiento básico pagarán las tasas a que haya lugar por el uso de agua y por el vertimiento de efluentes líquidos, que fije la autoridad competente de acuerdo con la ley”.
Que de conformidad con los numerales 2.3, 2.4., 2.5 y 2.8 del artículo 2o de la Ley 142 de 1994, el Estado intervendrá en los servicios públicos conforme a las reglas de competencia de que trata dicha ley, en el marco de lo dispuesto en los artículos 334, 336 y 365 a 370 de la Constitución Política, para la atención prioritaria de las necesidades básicas insatisfechas en materia de agua potable y saneamiento básico, la prestación continua e ininterrumpida, sin excepción alguna, salvo cuando existan razones de fuerza mayor o caso fortuito o de orden técnico o económico que así lo exijan, la prestación eficiente de los servicios y disponer mecanismos que garanticen a los usuarios el acceso a los servicios.
Que el numeral 5.1 del artículo 5o ibídem dispone que compete a los municipios asegurar que se presten a sus habitantes, de manera eficiente, los servicios domiciliarios de acueducto, alcantarillado y aseo, por empresas de servicios públicos de carácter oficial, privado o mixto, o directamente por la administración central del respectivo municipio en los casos previstos en el artículo 6o ídem.
Que de acuerdo con el artículo 7o de la Ley 1176 de 2007, uno de los criterios para la distribución de los recursos de la participación para agua potable y saneamiento básico de los distritos y municipios del Sistema General de Participaciones es el déficit de coberturas, el cual se calcula de acuerdo con el número de personas carentes del servicio de acueducto y alcantarillado de la respectiva entidad territorial, en relación con el número total de personas carentes del servicio en el país, para lo cual se podrá considerar el diferencial de los costos de provisión entre los diferentes servicios;
Que de acuerdo con el artículo 11 ibídem, los recursos del Sistema General de Participaciones para agua potable y saneamiento básico que se asignen a los distritos y municipios, se destinarán a financiar la prestación de los servicios públicos domiciliarios de agua potable y saneamiento básico, entre otras actividades para la “e) Construcción, ampliación, optimización y mejoramiento de los sistemas de acueducto y alcantarillado (…)”;
Que de conformidad con lo establecido en el numeral 79.1 del artículo 79 de la Ley 142 de 1994, es competencia de la Superintendencia de Servicios Públicos Domiciliarios “Vigilar y controlar el cumplimiento de las leyes y actos administrativos a los que estén sujetos quienes presten servicios públicos, en cuanto el cumplimiento afecte en forma directa e inmediata a usuarios determinados; y sancionar sus violaciones, siempre y cuando esta función no sea competencia de otra autoridad”.
Que de conformidad con la Ley 388 de 1997, el ordenamiento territorial es un instrumento para la administración del desarrollo y la ocupación del espacio físico clasificado como suelo urbano, suelo rural y suelo de expansión urbana.
Que en relación con el cobro del cargo fijo, la Corte Constitucional, en Sentencia C-041 de 2003, se refirió a su constitucionalidad, y entre otras consideraciones, indicó lo siguiente:
“De acuerdo con lo anterior, la Corte encuentra que con el cargo fijo contemplado en el artículo impugnado, el Estado no se despoja de su función de garantizar la prestación eficiente de los servicios públicos, pues la gratuidad de los servicios públicos domiciliarios no está contemplada por el Constituyente de 1991 y además dentro de los deberes de toda persona se encuentra el de contribuir al financiamiento de los gastos e inversiones del Estado. La tarifa que se paga por la prestación de un servicio público domiciliario está vinculada no solo con el nivel de consumo del usuario, sino con los costos en que incurre la empresa respectiva para poder brindar el bien o servicio en condiciones de competitividad y está determinada por el beneficio que finalmente recibe el usuario. El solo hecho de que el prestador del servicio esté disponible para brindar el mismo genera costos, los cuales son independientes del consumo real que se efectúe. A juicio de la Corte, la norma acusada, en cuanto contempla un cargo fijo que debe pagar el usuario, no vulnera la Carta Política toda vez que tal concepto se ve reflejado en su propio beneficio, es decir, en una prestación eficiente y permanente del servicio”.
Que la regulación aplicable a los servicios públicos domiciliarios de acueducto y alcantarillado corresponde a una de aquellas en las que se regulan los costos de prestación de los mismos y no los ingresos del prestador.
Que el Decreto 1575 de 2007 dispone el sistema para la protección y control de la calidad del agua para consumo humano.
Que el numeral 19 del artículo 31 de la Ley 99 de 1993 señala que las Corporaciones Autónomas Regionales ejercerán, entre otras funciones, la de “Promover y ejecutar obras de irrigación, avenamiento, defensa contra las inundaciones, regulación de cauces y corrientes de agua, y de recuperación de tierras que sean necesarias para la defensa, protección y adecuado manejo de las cuencas hidrográficas del territorio de su jurisdicción, en coordinación con los organismos directores y ejecutores del Sistema Nacional de Adecuación de Tierras, conforme a las disposiciones legales y a las previsiones técnicas correspondientes”.
Que el artículo 211 de la Ley 1450 de 2011, por el cual se modifica y adiciona el artículo 42 de la Ley 99 de 1993, contempla que “los recursos provenientes del recaudo de las tasas retributivas se destinarán a proyectos de inversión en descontaminación y monitoreo de la calidad del recurso respectivo. Para cubrir los gastos de implementación y seguimiento de la tasa, la autoridad ambiental competente podrá utilizar hasta el 10% de los recursos recaudados”;
Que el artículo 216 ibídem, por el cual se adiciona el artículo 43 de la Ley 99 de 1993, estipula la destinación de los recursos provenientes del recaudo de las tasas por utilización de agua.
Que los Decretos 155 de 2004 y 4742 de 2005 disponen la manera de establecer el valor a pagar por el usuario sujeto pasivo de la tasa por uso de agua señalada en el artículo 43 de la Ley 99 de 1993.
Que el Decreto 2667 de 2012 reglamenta la tasa retributiva por la utilización directa e indirecta del agua como receptor de los vertimientos puntuales.
Que la Ley 1523 de 2012 adoptó la Política Nacional de Gestión del Riesgo de Desastres y estableció el Sistema Nacional de Gestión del Riesgo de Desastres.
Que el artículo 1o de la citada ley estipula que “La gestión del riesgo de desastres, en adelante la gestión del riesgo, es un proceso social orientado a la formulación, ejecución, seguimiento y evaluación de políticas, estrategias, planes, programas, regulaciones, instrumentos, medidas y acciones permanentes para el conocimiento y la reducción del riesgo y para el manejo de desastres, con el propósito explícito de contribuir a la seguridad, el bienestar, la calidad de vida de las personas y al desarrollo sostenible”.
Que de acuerdo con el principio de autoconservación contemplado en el artículo 3o de la ley antes indicada, “Toda persona natural o jurídica, bien sea de derecho público o privado, tiene el deber de adoptar las medidas necesarias para una adecuada gestión del riesgo en su ámbito personal y funcional, con miras a salvaguardarse, que es condición necesaria para el ejercicio de la solidaridad social”.
Que la Resolución 1076 de 9 de octubre de 2003 del entonces Ministerio de Ambiente, Vivienda y Desarrollo Territorial, actualizó el Plan Nacional de Capacitación y Asistencia Técnica para el sector de Agua Potable, Saneamiento Básico y Ambiental.
Que de acuerdo con lo dispuesto en el artículo 2o de la citada resolución, “El Plan Nacional de Capacitación y Asistencia Técnica, es el conjunto de políticas, programas, estrategias, instrumentos e instituciones que orientan la capacitación, asistencia técnica y adquisición de competencia laboral, dirigida a los trabajadores vinculados a las entidades públicas y privadas prestadoras de los servicios públicos domiciliarios de acueducto, alcantarillado y aseo, para mejorar la calidad de dichos servicios en los ámbitos urbano y rural”.
Que el artículo 12 de la norma citada previamente establece que “A partir de la fecha de expedición de la presente resolución y mientras se implementa el plan de certificación de competencias laborales, las empresas prestadoras de los servicios públicos de acueducto, alcantarillado y aseo deberán exigir a los trabajadores que pretendan vincular a cargos de responsabilidad administrativa o técnico-operativa, la certificación o el diploma en la especialidad requerida para el cargo que se va a ocupar, expedido por una institución de educación legalmente constituida”.
Que el documento Conpes número 140 de 28 de marzo de 2011, denominado “Metas y estrategias de Colombia para el logro de los objetivos de desarrollo del milenio-2015”, establece como una de las metas reducir a la mitad, para el año 2015, el porcentaje de personas sin acceso sostenible al agua potable y a servicios básicos de saneamiento, de acuerdo con la meta universal 7c.
Que en el Diario Oficial número 47.582 de 4 de enero de 2010, se publicó la Resolución CRA 485 de 2009 “Por la cual se presenta el proyecto de resolución “por la cual se establece la metodología tarifaria para los prestadores de los servicios públicos domiciliarios de acueducto y alcantarillado que atiendan 2.500 o más suscriptores” y se da cumplimiento a lo previsto por el numeral 11.4 del artículo 11 del Decreto 2696 de 2004”;
Que en el Diario Oficial número 47.604 de 26 de enero de 2010, se publicó la Resolución CRA 486 de 2009 “Por la cual se presenta el proyecto de resolución “por la cual se establece la metodología tarifaria de los servicios públicos domiciliarios de acueducto y alcantarillado para prestadores que atiendan menos de 2.500 suscriptores” y se da cumplimiento a lo previsto por el numeral 11.4 del artículo 11 del Decreto 2696 de 2004”;
Que se recibieron 318 observaciones y/o propuestas presenciales y 610 escritas con ocasión de la publicación de las Resoluciones CRA 485 de 2009 y CRA 486 de 2009, las cuales fueron objeto de análisis y se tuvieron en cuenta en la elaboración de la presente resolución;
Que con respecto a los componentes tarifarios, la mayoría de las 610 inquietudes escritas recibidas corresponden al Costo Medio de Inversión (31%), mientras que en relación con las 318 observaciones presenciales recibidas, la mayoría corresponden a tópicos generales (31%) seguidas por consultas relacionadas con el Costo Medio de Inversión (16%) y con la Resolución CRA 486 de 2009, sobre la metodología para las personas prestadoras con menos de 2.500 suscriptores (17%);
Que se recibieron 111 observaciones escritas y presenciales referentes al Costo Medio de Administración y al Costo Medio de Operación definido por comparación, las cuales se clasificaron en 18 ejes temáticos;
Que las 46 observaciones escritas y presenciales correspondientes al Costo Medio de Operación particular se clasificaron en 11 ejes temáticos. La mayoría de observaciones estaban relacionadas con la implementación de los costos particulares;
Que las 243 observaciones correspondientes al componente CMI, se clasificaron en 25 ejes temáticos;
Que las 96 observaciones escritas y presenciales correspondientes al capítulo de Calidad y Descuentos, se clasificaron en 15 ejes temáticos;
Que de igual forma, en el Diario Oficial número 47.582 de 4 de enero de 2010 se publicó la Resolución CRA 487 de 2009, “por la cual se presenta el proyecto de resolución 'por la cual se modifica el artículo 2.4.3.14 de la Resolución CRA 151 de 2001' y se inicia el proceso de discusión directa con los usuarios y agentes del sector”;
Que se recibieron 78 comentarios relacionados con el nivel de pérdidas a reconocer en la metodología tarifaria aplicable a los servicios públicos domiciliarios de acueducto y alcantarillado;
Que la CRA presentó en el mes de febrero de 2013 la nueva propuesta de metodología tarifaria para los servicios públicos domiciliarios de acueducto y alcantarillado, contenida en las resoluciones de trámite CRA 632 de 15 de febrero de 2013, CRA 634 de 21 de marzo de 2013, complementadas con la Resolución CRA 646 de 16 de julio de 2013;
Que la Resolución CRA 632 de 2013 fue publicada en el Diario Oficial número 48.709 del 19 de febrero de 2013, la Resolución CRA 634 de 2013 en el Diario Oficial número 48.762 de 15 de abril de 2013 y, la Resolución CRA 646 de 2013 fue publicada en el Diario Oficial número 48.866 de 29 de julio de 2013;
Que el plazo de participación ciudadana inicial fue de 90 días (hasta el 20 de mayo de 2013), y mediante la Resolución CRA 641 de 17 de mayo de 2013 dicho término inicial de participación ciudadana se amplió hasta el 31 de julio de 2013. Así mismo, por medio de la expedición de la Resolución CRA 645 de 24 de junio de 2013, el término de participación ciudadana precitado se amplió nuevamente hasta el 31 de agosto de 2013;
Que finalmente, mediante la Resolución CRA 651 de 29 de agosto de 2013, el plazo se amplió hasta el 31 de octubre de 2013. Las anteriores resoluciones obedecieron a las solicitudes de ampliación de plazo recibidas de diversos agentes del sector;
Que a 31 de octubre de 2013 se recibieron 920 observaciones así: 697 observaciones en 75 comunicaciones enviadas por 48 participantes y 223 observaciones presenciales de 137 participantes;
Que del total de observaciones recibidas el 24% corresponden a temas generales de la resolución, representando un 24% de las observaciones escritas, y un 32% de las observaciones presenciales, para un total de 220 observaciones;
Que las observaciones generales corresponden a temas como: solicitudes de ampliación de plazo, reuniones y/o audiencias, respuesta a observaciones de la Resolución CRA 485 de 2009, vigilancia al comportamiento de los prestadores, mediciones de impacto y estudios socioeconómicos que acompañen la propuesta, mínimo vital, metodología para pequeños prestadores, entre otros;
Que con respecto a los componentes tarifarios, de las 920 inquietudes recibidas, el 19% corresponden al Costo Medio de Inversión con 175 observaciones, seguidas por las relacionadas con el Costo Medio de Administración y el Costo Medio de Operación con 158 observaciones que corresponden al 17%, mientras que sobre los estándares de servicio y eficiencia se recibieron 109 observaciones, que representan el 12% del total de las inquietudes;
Que las 175 observaciones escritas y presenciales correspondientes al Costo Medio de Inversión, se clasificaron en 23 ejes temáticos. La mayoría de observaciones estaban relacionadas con la autodeclaración de inversiones de la Resolución CRA 287 de 2004;
Que las 158 observaciones escritas y presenciales correspondientes al Costo Medio de Administración y el Costo Medio de Operación, se clasificaron en 14 ejes temáticos. La mayoría de observaciones estaban relacionadas con el reconocimiento de los costos laborales;
Que las 109 observaciones escritas y presenciales relacionadas con los estándares de servicio y eficiencia, se clasificaron en 10 ejes temáticos. La mayoría de observaciones estaban relacionadas con la meta de cobertura;
Que el total de las observaciones recibidas y clasificadas en ejes temáticos, se consideraron, se analizaron y la Comisión determinó su procedencia en la elaboración de la presente resolución;
Que el artículo 7o de la Ley 1340 de 2009 señala: “Además de las disposiciones consagradas en el artículo 2o del Decreto 2153 de 1992, la Superintendencia de Industria y Comercio podrá rendir concepto previo sobre los proyectos de regulación estatal que puedan tener incidencia sobre la libre competencia en los mercados. Para estos efectos las autoridades de regulación informarán a la Superintendencia de Industria y Comercio de los actos administrativos que se pretendan expedir. El concepto emitido por la Superintendencia de Industria y Comercio en este sentido no será vinculante. Sin embargo, si la autoridad respectiva se apartara de dicho concepto, la misma deberá manifestar de manera expresa dentro de las consideraciones de la decisión los motivos por los cuales se aparta”.
Que en virtud de lo anterior, la Comisión de Regulación de Agua Potable y Saneamiento Básico (CRA), remitió a la Superintendencia de Industria y Comercio (SIC) las Resoluciones CRA 632 de 2013, CRA 634 de 2013 y CRA 646 de 2013, contentivas del Proyecto del Nuevo Marco Tarifario de Acueducto y Alcantarillado para Grandes Prestadores, así como la matriz en formato Excel, mediante la cual se recopilaron en ejes temáticos, las 920 observaciones recibidas en el proceso de participación ciudadana surtido para las resoluciones precitadas, y
Que por medio de radicado 20143210022302 de 21 de mayo de 2014, la Superintendencia de Industria y Comercio (SIC) rindió el correspondiente concepto de abogacía de la competencia;
Que por lo expuesto, la Comisión de Regulación de Agua Potable y Saneamiento Básico,
RESUELVE
ASPECTOS GENERALES.
ARTÍCULO 1o. ÁMBITO DE APLICACIÓN. <Artículo integrado y unificado en el artículo 2.1.2.1.1.1 de la Resolución CRA 943 de 2021. Debe tenerse en cuenta lo dispuesto por el artículo 2.3.6.3.3.12 del Decreto 1077 de 2015> <Artículo modificado por el artículo 1 de la Resolución 735 de 2015. El nuevo texto es el siguiente:> Esta resolución aplica a todas las personas prestadoras de los servicios públicos domiciliarios de acueducto y alcantarillado que a 31 de diciembre de 2013 cumplan alguna de las siguientes condiciones en las Áreas de Prestación del Servicio (APS) que atienden: contar con más de 5.000 suscriptores en el área urbana de un municipio; con más de 5.000 suscriptores en el área urbana de más de un municipio mediante un mismo sistema interconectado; o con más de 5.000 suscriptores en el área urbana y rural de uno o más municipios mediante un mismo sistema interconectado, en los cuales más del 50% de sus suscriptores sean urbanos.
Lo anterior, salvo las excepciones contenidas en la ley, particularmente las señaladas en el parágrafo 1 del artículo 87 de la Ley 142 de 1994. En todo caso, cuando en los contratos suscritos por las personas prestadoras de los servicios públicos domiciliarios de acueducto y alcantarillado para la prestación de estos servicios, se pacte la sujeción del mismo a la metodología tarifaria que expida la Comisión de Regulación de Agua Potable y Saneamiento Básico (CRA), se aplicará la resolución vigente, siempre y cuando las partes del mismo sean prestadores que atiendan un número de suscriptores con las condiciones antes mencionadas.
En los casos que una persona prestadora provea ambos servicios, deberá tener en cuenta aquel en el que tiene un mayor número de suscriptores para definir si se encuentra dentro del ámbito de aplicación de la presente resolución.
PARÁGRAFO. Si una persona prestadora con APS sujetas a lo dispuesto en el presente artículo cuenta con otras APS que no hagan parte de este ámbito de aplicación, podrá aplicar en estas últimas la metodología establecida en la presente resolución teniendo en cuenta lo dispuesto en el parágrafo 3o del artículo 4o de la presente resolución.
ARTÍCULO 2o. OBJETO. <Artículo integrado y unificado en el artículo 2.1.2.1.1.2 de la Resolución CRA 943 de 2021. Debe tenerse en cuenta lo dispuesto por el artículo 2.3.6.3.3.12 del Decreto 1077 de 2015> La presente resolución tiene por objeto establecer la metodología tarifaria para las personas prestadoras de los servicios públicos domiciliarios de acueducto y alcantarillado, de acuerdo con su ámbito de aplicación.
ARTÍCULO 3. DEFINICIONES. <Artículo integrado y unificado en el artículo 2.1.2.1.1.3 de la Resolución CRA 943 de 2021. Debe tenerse en cuenta lo dispuesto por el artículo 2.3.6.3.3.12 del Decreto 1077 de 2015> Para la aplicación de la presente resolución se tendrán en cuenta las siguientes definiciones, además de las consignadas en la normativa vigente:
ac/al: <Definición adicionada por el artículo 2 de la Resolución 735 de 2015. El nuevo texto es el siguiente:> Expresión para determinar que la misma fórmula debe ser utilizada tanto para el servicio público domiciliario de acueducto (ac) como para el servicio público domiciliario de alcantarillado (al).
Año base: Es el período de doce (12) meses utilizado por la persona prestadora con el fin de realizar las comparaciones y verificaciones que correspondan para calcular los costos de prestación del servicio.
Año tarifario: <Definición adicionada por el artículo 2 de la Resolución 735 de 2015. El nuevo texto es el siguiente:> Para efectos de las proyecciones y de la aplicación de la metodología establecida en la presente resolución corresponde al periodo comprendido entre el primero (1) de julio y el treinta (30) de junio del año siguiente.
Área de Prestación del Servicio (APS): Corresponde a las áreas geográficas del municipio en las cuales la persona prestadora proporciona los servicios públicos domiciliarios de acueducto y alcantarillado cubiertas por su infraestructura existente, más aquella planificada en su Plan de Obras e Inversiones Regulado (POIR).
Área rural: <Definición adicionada por el artículo 2 de la Resolución 735 de 2015. El nuevo texto es el siguiente:> Para efectos de la presente resolución corresponde al total del área municipal, exceptuando su cabecera.
Área urbana: <Definición adicionada por el artículo 2 de la Resolución 735 de 2015. El nuevo texto es el siguiente:> Para efectos de la presente resolución, corresponde a las cabeceras municipales.
Base de Capital Regulada (BCR): Corresponde al valor de los activos afectos a la prestación del servicio, netos de depreciaciones y bajas.
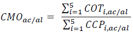
Consumo Corregido por Pérdidas (CCP): Es el volumen de agua suministrada ajustado por el volumen de pérdidas permitidas para cada uno de los años de proyección, medido en metros cúbicos (m3).
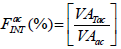
Costo económico de referencia: Corresponderá a los costos eficientes de las actividades asociadas a la prestación de los servicios públicos domiciliarios de acueducto y alcantarillado, en concordancia con las metas de servicio y de eficiencia, establecidos en el Título IV de la presente resolución.
Costos de prestación unificados: <Definición adicionada por el artículo 2 de la Resolución 735 de 2015. El nuevo texto es el siguiente:> Corresponden a los costos totales de prestación de varias APS atendidas por un mismo prestador mediante un sistema interconectado. Los costos de prestación unificados serán calculados para todos los componentes de la fórmula tarifaria, es decir, se deberá unificar los costos de administración, operación, inversión y de tasas ambientales del sistema interconectado.
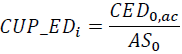
Costos Unitarios Particulares (CUP): Representa el costo por metro cúbico correspondiente a insumos químicos, energía eléctrica y la parte correspondiente de contratos de suministro de agua potable, en caso de existir, para el servicio público domiciliario de acueducto; así como a energía eléctrica y tratamiento de aguas residuales para el servicio público domiciliario de alcantarillado, medido en pesos por metro cúbico ($/m3).
Fórmula tarifaria general: Expresión que permite a las personas prestadoras de los servicios públicos domiciliarios de acueducto y alcantarillado calcular los costos económicos de la prestación de estos servicios.
Índice de Consumo de Agua Facturada por Suscriptor (ICUF): Representa el volumen de agua facturada por suscriptor, medido en m3/suscriptor/mes.
Índice de Pérdidas por Suscriptor Facturado (IPUF): Representa el volumen de pérdidas de agua por suscriptor, medido en metros cúbicos por suscriptor al mes (m3/suscriptor/mes).
Índice de Agua Suministrada por Suscriptor Facturado (ISUF): Representa el volumen de agua suministrada por suscriptor, medido en metros cúbicos por suscriptor al mes (m3/suscriptor/mes). Para un mismo período, es el resultado de la suma de los indicadores IPUF e ICUF.
Indicador de Calidad del Agua Potable (ICAP): Refleja si el agua suministrada por la persona prestadora durante un período de seis (6) meses es apta para el consumo humano, con base en el promedio de los valores mensuales del Índice de Riesgo de la Calidad del Agua (IRCA).
Indicador de Continuidad (ICON): Refleja la continuidad en la prestación del servicio público domiciliario de acueducto, con base en los días de suspensión del servicio durante un período de seis (6) meses.
Indicador de Reclamos Comerciales (IQR): Evalúa el comportamiento de una empresa prestadora del servicio público domiciliario de acueducto, en relación con los reclamos comerciales por facturación, resueltos a favor del suscriptor en segunda instancia durante un período de evaluación de seis (6) meses.
Nivel Económico de Pérdidas (NEP): Representa el volumen de pérdidas por suscriptor (IPUF) que se obtiene con la ejecución de todos los programas de reducción de pérdidas con una relación beneficio/costo mayor a uno (1).
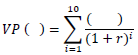
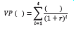
Período de análisis: El periodo de análisis de las proyecciones será de diez (10) años.
Período de ejecución de inversiones de la Resolución CRA número 287 de 2004: <Definición adicionada por el artículo 2 de la Resolución 735 de 2015. El nuevo texto es el siguiente:> Período comprendido entre el primer año fijado en el VPIRER de la persona prestadora y el 30 de junio de 2016, para la ejecución del VPIRER.
Plan de Calidad: Está conformado por el conjunto de metas de calidad del agua definido en el grupo de proyectos del POIR para la dimensión de calidad del agua. Para el servicio público domiciliario de alcantarillado corresponde a las metas de cumplimiento del Plan de Saneamiento y Manejo de Vertimientos (PSMV) a cargo de la persona prestadora y definidos en el POIR.
Plan de Cobertura: Está conformado por el conjunto de metas de cobertura del servicio en el APS, alcanzado por el grupo de proyectos definidos en el POIR para la dimensión de cobertura.
Plan de Continuidad: Está conformado por el conjunto de metas de continuidad del servicio, alcanzado por el grupo de proyectos definidos en el POIR para la dimensión de continuidad.
Plan de Obras e Inversiones Regulado (POIR): Conjunto de proyectos que la persona prestadora considera necesario llevar a cabo, para cumplir con las metas frente a los estándares del servicio exigidos durante el período de análisis.
Plan de Reducción de Pérdidas: Es el conjunto de actividades programadas, por parte de las personas prestadoras del servicio público domiciliario de acueducto, para la reducción de las pérdidas técnicas y comerciales, que tienen por objeto alcanzar el estándar de eficiencia.
Sistema interconectado: <Definición adicionada por el artículo 2 de la Resolución 735 de 2015. El nuevo texto es el siguiente:> Para efectos de la presente resolución, corresponde a la infraestructura de acueducto y/o alcantarillado, de un mismo prestador, que se encuentra físicamente conectada entre sí para la prestación de estos servicios en un conjunto de municipios, es decir, dos (2) o más municipios.
Sistemas Urbanos de Drenaje Sostenible (SUDS): son aquellos sistemas que se utilizan en las ciudades para recolectar, reducir y transportar controladamente los flujos de escorrentía.
ARTÍCULO 4o. SEGMENTACIÓN. <Artículo integrado y unificado en el artículo 2.1.2.1.1.4 de la Resolución CRA 943 de 2021. Debe tenerse en cuenta lo dispuesto por el artículo 2.3.6.3.3.12 del Decreto 1077 de 2015> <Artículo modificado por el artículo 3 de la Resolución 735 de 2015. El nuevo texto es el siguiente:> Para efectos de la aplicación de lo establecido en la presente resolución, la persona prestadora deberá identificar a que segmento pertenece cada una de las APS que atiende, teniendo en cuenta lo siguiente:
Primer segmento. Se aplicará la metodología establecida para el primer segmento en:
-- Las APS con más de 100.000 suscriptores en el área urbana.
-- Las APS atendidas mediante un mismo sistema interconectado y que en conjunto sumen más de 100.000 suscriptores.
-- Las APS que atiendan más del 10% de los suscriptores del área urbana de las siguientes ciudades capitales: Armenia, Manizales, Montería, Neiva, Pasto, Popayán, Santa Marta, Sincelejo, Tunja, Valledupar y Villavicencio. Si alguna persona prestadora atiende estas APS y adicionalmente atiende otras APS con el mismo sistema interconectado, estas últimas también pertenecerán al primer segmento.
Segundo segmento. Se aplicará la metodología establecida para el segundo segmento en las siguientes APS, con excepción de las ya incluidas en el primer segmento:
-- Las APS que tengan entre 5.001 y 100.000 suscriptores en el área urbana.
-- Las APS que tengan entre 5.001 y 100.000 suscriptores en el área urbana y rural, en las cuales más del 50% de sus suscriptores pertenecen al área urbana.
-- Las APS atendidas mediante un mismo sistema interconectado y que en conjunto sumen entre 5.001 y 100.000 suscriptores en el área urbana.
-- Las APS atendidas mediante un mismo sistema interconectado y que en conjunto sumen entre 5.001 y 100.000 suscriptores en el área urbana y rural, en las cuales más del 50% de sus suscriptores sean urbanos.
PARÁGRAFO 1o. Las personas prestadoras con APS del segundo segmento podrán aplicar en estas la metodología correspondiente al primer segmento, para ello deberán tener en cuenta lo establecido en el parágrafo 3o del artículo 104 de la presente resolución. Una vez la persona prestadora informe que elige esta opción no podrá, en ningún caso, aplicar la metodología para el segundo segmento.
PARÁGRAFO 2o. En aquellos casos en que con un mismo sistema la persona prestadora atienda suscriptores del área urbana y del área rural, deberá agregarlos para determinar el segmento que le corresponde.
PARÁGRAFO 3o. Las personas prestadoras que opten por lo establecido en el parágrafo del artículo 1o de la presente resolución, deberán hacerlo utilizando en las APS que no hagan parte de este ámbito de aplicación, la metodología de cualquiera de los dos segmentos, teniendo en cuenta lo establecido en el parágrafo 4o del artículo 104 de la presente resolución. Una vez la persona prestadora informe que elige esta opción no podrá, en ningún caso, aplicar la metodología que le correspondía inicialmente.
ARTÍCULO 5o. AÑO BASE. <Artículo integrado y unificado en el artículo 2.1.2.1.1.5 de la Resolución CRA 943 de 2021. Debe tenerse en cuenta lo dispuesto por el artículo 2.3.6.3.3.12 del Decreto 1077 de 2015>
<Inciso modificado por el artículo 4 de la Resolución 735 de 2015. El nuevo texto es el siguiente:> Para efectos de la presente resolución, se considerará como año base el 2014. Las personas prestadoras deberán expresar los costos de referencia en pesos de diciembre de dicho año.
PARÁGRAFO 1o. Las personas prestadoras que tengan menos de un año de operación, podrán establecer los costos del año base estimando los costos del servicio con la información correspondiente al tiempo durante el cual hayan operado y teniendo en cuenta el cumplimiento de estándares de eficiencia y de servicio.
PARÁGRAFO 2o. <Parágrafo modificado por el artículo 4 de la Resolución 735 de 2015. El nuevo texto es el siguiente:> En aquellos casos en que por la entrada en operación de un prestador, no existiera información para el año base, éste deberá aplicar de forma integral la metodología establecida en la presente resolución, teniendo en cuenta que el año base se entenderá como el año anterior de aplicación de la metodología tarifaria a partir del cual inicia la proyección de sus costos. En todo caso, deberá expresar los costos de referencia en pesos de diciembre de 2014.
PARÁGRAFO 3o. En caso que un nuevo prestador entre a sustituir a un prestador anterior utilizando la misma infraestructura, deberá continuar con los mismos costos de referencia aprobados por la entidad tarifaria local, teniendo en cuenta la información relacionada con el cumplimiento de las metas y estándares de eficiencia a alcanzar en este período tarifario. Si la persona prestadora lo considera necesario, para efectos de garantizar la aplicación de los criterios señalados en el artículo 87 de la Ley 142 de 1994, podrá realizar un nuevo estudio de costos.
PARÁGRAFO 4o. <Parágrafo modificado por el artículo 4 de la Resolución 735 de 2015. El nuevo texto es el siguiente:> Para expresar los costos administrativos y operativos del año 2013 en pesos de diciembre 2014, se tomarán los costos registrados en los estados financieros y se les aplicará un factor de 1,0387. Para expresar los costos administrativos y operativos del año 2014 en pesos de diciembre de 2014 se aplicará un factor de 1,0106.
PARÁGRAFO 5o. <Parágrafo modificado por el artículo 4 de la Resolución 735 de 2015. El nuevo texto es el siguiente:> Para efectos de la aplicación de la presente resolución, se entiende como año 0 el año 2014. Para efectos del cálculo de los costos eficientes estándar del primer segmento, el valor base corresponde al promedio del año 2013 y del año 2014. El valor de la Base de Capital Regulada del Año Base corresponderá al saldo al 30 de junio de 2016, expresándola en pesos de diciembre de 2014
ARTÍCULO 6o. PERIODO PREVIO A LA APLICACIÓN DEL MARCO TARIFARIO. <Artículo integrado y unificado en el artículo 2.1.2.1.1.6 de la Resolución CRA 943 de 2021. Debe tenerse en cuenta lo dispuesto por el artículo 2.3.6.3.3.12 del Decreto 1077 de 2015> <Artículo modificado por el artículo 5 de la Resolución 735 de 2015. El nuevo texto es el siguiente:> El año 2015 y el primer semestre del año 2016, se consideran el periodo para realizar los estudios y acciones previas para la aplicación de la metodología tarifaria contenida en la presente resolución.
Las metas para los estándares de servicio y de eficiencia establecidos en el artículo 9o de la presente resolución deberán definirse a partir del mes de julio del año 2016, e incluirán el avance logrado en el cumplimiento de las mismas hasta el mes de junio del 2016.
Para efectos de la proyección de que trata la presente resolución, se entenderá que cada año i corresponde a cada año tarifario.
ARTÍCULO 7o. ÁREA DE PRESTACIÓN DEL SERVICIO (APS). <Artículo integrado y unificado en el artículo 2.1.2.1.1.7 de la Resolución CRA 943 de 2021. Debe tenerse en cuenta lo dispuesto por el artículo 2.3.6.3.3.12 del Decreto 1077 de 2015>
<Inciso modificado por el artículo 6 de la Resolución 735 de 2015. El nuevo texto es el siguiente:> Las personas prestadoras deberán definir un Área de Prestación del Servicio (APS) en cada uno de los municipios que atiende, en concordancia con los Planes de Ordenamiento Territorial (POT) y con los Planes Maestros de Acueducto y Alcantarillado, y reportarla al municipio respectivo. En los casos en que la persona prestadora atienda más de un municipio, independiente de si lo hace mediante sistemas interconectados o no, definirá un APS por cada municipio. Dicha definición consistirá en la presentación de un mapa geo-referenciado en formato shape, el cual deberá presentarse en el sistema de referencia Magna-Sirgas o el sistema de coordenadas oficial que se encuentre vigente, delimitando exactamente el área en la cual cada persona prestadora prestará los servicios públicos domiciliarios de acueducto y alcantarillado, y dentro de la cual se compromete a cumplir los estándares de servicio establecidos en la presente resolución, así como a dar cumplimiento al Decreto número 1077 del 26 de mayo de 2015, siempre que se den las condiciones previstas en el mismo, o la norma que lo modifique, adicione, sustituya o derogue.
PARÁGRAFO 1o. El APS que definan las personas prestadoras en ningún caso podrá ser menor al área en la que presta los servicios antes de la aplicación de la presente resolución.
PARÁGRAFO 2o. Es responsabilidad del municipio garantizar la prestación de los servicios públicos domiciliarios de acueducto y alcantarillado en aquellas áreas que no sean reportadas como APS por ningún prestador.
PARÁGRAFO 3. <Parágrafo modificado por el artículo 6 de la Resolución 735 de 2015. El nuevo texto es el siguiente:> Las personas prestadoras deberán articular el POIR y la infraestructura existente con las decisiones de uso de suelo contenidas en los planes de ordenamiento territorial y los instrumentos que los desarrollen y complementen.
PARÁGRAFO 4. <Parágrafo adicionado por el artículo 6 de la Resolución 735 de 2015. El nuevo texto es el siguiente:> Las personas prestadoras deberán calcular los costos de referencia de que trata la presente resolución para cada APS, salvo en aquellos eventos en que con un mismo sistema interconectado atienda varias APS, en cuyo caso podrá calcular los costos de prestación unificados para dicho sistema teniendo en cuenta que: el número de suscriptores, el ICTA, el ITO, la determinación de las metas para los estándares de servicio y el Plan de Obras e Inversiones Regulado (POIR), deberán proyectarse por APS.
PARÁGRAFO 5. <Parágrafo modificado por el artículo 9 de la Resolución 864 de 2018. El nuevo texto es el siguiente:> En el caso en el que se genere una variación menor o igual al 10% del valor presente del POIR del APS definido para el cálculo de las tarifas, como efecto de una modificación en las normas urbanísticas o de lo establecido en el Decreto 1077 de 2015 o aquel que lo modifique, adicione, sustituya o derogue, este podrá ser ajustado por la persona prestadora. Para tal efecto, deberá cumplir con las disposiciones contenidas en la sección 5.1.1. de la Resolución CRA 151 de 2001, o la norma que la modifique, adicione, sustituya o derogue, para el reporte de las variaciones tarifarias, y así mismo deberá remitir a la Superintendencia de Servicios Públicos Domiciliarios los soportes que hayan generado tal variación.
PARÁGRAFO 6. <Parágrafo adicionado por el artículo 6 de la Resolución 735 de 2015. El nuevo texto es el siguiente:> Las personas prestadoras podrán definir APS diferentes para cada servicio únicamente en estos casos: cuando la empresa sólo preste uno de los dos servicios públicos domiciliarios, o cuando atienda suscriptores del servicio público domiciliario de alcantarillado que no sean suscriptores del servicio de acueducto porque disponen de fuentes alternas de abastecimiento, o cuando atienda suscriptores del servicio público domiciliario de acueducto pero estos dispongan de soluciones particulares de vertimientos que cumplan con los criterios ambientales establecidos por las autoridades competentes.
ARTÍCULO 8o. IDENTIFICACIÓN DE VIVIENDAS SIN SERVICIO. <Artículo integrado y unificado en el artículo 2.1.2.1.1.8 de la Resolución CRA 943 de 2021. Debe tenerse en cuenta lo dispuesto por el artículo 2.3.6.3.3.12 del Decreto 1077 de 2015> La persona prestadora deberá identificar, en el año base, las viviendas sin servicio en su APS.
ARTÍCULO 9o. DETERMINACIÓN DE LAS METAS PARA LOS ESTÁNDARES DE SERVICIO Y LOS ESTÁNDARES DE EFICIENCIA. <Artículo integrado y unificado en el artículo 2.1.2.1.1.9 de la Resolución CRA 943 de 2021. Debe tenerse en cuenta lo dispuesto por el artículo 2.3.6.3.3.12 del Decreto 1077 de 2015> Para efectos de calcular las proyecciones que permiten determinar los costos de prestación, las personas prestadoras deberán establecer metas anuales para reducir la diferencia entre el valor del año base y el estándar de servicio, con la gradualidad exigida, dentro de su APS:
| Estándar de Servicio | Servicio público domiciliario de Acueducto | Servicio público domiciliario de Alcantarillado | Meta y Gradualidad (a partir de la entrada en vigencia de la presente resolución) |
| Cobertura | Primer segmento 100% | Primer segmento 100% | El 100% de la diferencia debe lograrse en 5 años, y gradualidad según la ejecución programada para el POIR. |
| Segundo segmento 100% | Segundo segmento 100% | El 70% de la diferencia debe lograrse en 5 años y el 100% de la diferencia en el año 7, y gradualidad según la ejecución programada para el POIR. | |
| Continuidad | Primer segmento >= 98,36% | Primer segmento >= 98,36% para el alcantarillado sanitario | El 100% de la diferencia debe lograrse en 5 años, y gradualidad según la ejecución programada para el POIR. |
| Segundo segmento >= 98,36% | Segundo segmento >= 98,36% para el alcantarillado sanitario | El 70% de la diferencia debe lograrse en 5 años y el 100% de la diferencia en el año 7, y gradualidad según la ejecución programada para el POIR. | |
| Calidad | IRCA<=5% | 100% del cumplimiento de las obras a cargo del prestador estipuladas en el Plan de Saneamiento y Manejo de Vertimientos (PSMV) | Para el servicio de acueducto la meta será el 100% desde la entrada en vigencia de la presente resolución. Para el servicio de alcantarillado el 100% de la meta debe lograrse en 5 años. La gradualidad según la ejecución programada para el POIR. |
| Estándar de Servicio | Servicio público domiciliario de Acueducto | Servicio público domiciliario de Alcantarillado | Meta y Gradualidad (a partir de la entrada en vigencia de la presente resolución) |
| Reclamos comerciales (reclamos/1.000 suscriptores/por período de tiempo analizado). | <=4 reclamaciones comerciales por facturación resueltas a favor del suscriptor en segunda instancia por cada 1.000 suscriptores por año o <=2 reclamaciones comerciales por facturación resueltas a favor del suscriptor en segunda instancia por cada 1.000 suscriptores por semestre. | El 100% de la meta debe lograrse en 5 años, y gradualidad según avance programado por la persona prestadora. | |
En la determinación de las proyecciones para calcular los costos de prestación, las personas prestadoras de los servicios públicos domiciliarios de acueducto y alcantarillado, en el ámbito de aplicación de la presente resolución, deberán alcanzar las siguientes metas frente a los estándares de eficiencia. Para lo anterior, es preciso que se establezcan metas anuales para reducir la diferencia entre el valor del año base y el estándar de eficiencia, con la gradualidad exigida, en los siguientes criterios:
| Acueducto | Alcantarillado | Estándar de eficiencia | Meta y gradualidad (a partir de la entrada en vigencia de la presente resolución) |
| Dimensión de Cobertura POIR – personas prestadoras primer segmento. | Para el año 5 debe lograrse el 100% de la diferencia, y gradualidad según la ejecución programada para el POIR. | ||
| Dimensión de Cobertura POIR – personas prestadoras segundo segmento. | Para el año 5 debe lograrse el 70% de la diferencia y para el año 7 debe lograrse el 100%, y gradualidad según la ejecución programada para el POIR. | ||
| DACAL- Diferencia entre suscriptores de Acueducto y Alcantarillado (Suscriptores) | Disminución de la diferencia entre suscriptores de acueducto y alcantarillado. | Reducir el 100% de la diferencia, y gradualidad según la ejecución programada para el POIR y el plan de incorporación de suscriptores. | |
| IPUF* - Índice de Pérdidas por Suscriptor Facturado estándar (m3/suscriptor/mes) | <=6 m³/suscriptor/mes | Para el año 5 debe lograrse el 50% de la diferencia, y para el año 10 debe lograrse el 75%. En caso de utilizar NEP, debe lograrse el 100% para el año 5 y debe mantenerlo. La gradualidad es de acuerdo con las metas de la persona prestadora. | |
| CAU* – Costos administrativos eficientes estándar por suscriptor mensual de acueducto ($/suscriptor/mes). | CAU* – Costos administrativos eficientes estándar por suscriptor mensual de alcantarillado ($/suscriptor/mes). | Alcanzar el valor de referencia establecido en el Artículo 26 de la presente resolución. | Para el año 5 debe lograrse el 100% de la diferencia, con un avance de 1/5 cada año. |
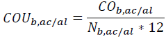
| COU* – Costos operativos eficientes estándar por suscriptor mensual de acueducto ($/suscriptor/mes). | COU* – Costos operativos eficientes estándar por suscriptor mensual de alcantarillado ($/suscriptor/mes). | Alcanzar el valor de referencia establecido en el artículo 33 de la presente resolución. | Para el año 5 debe lograrse el 100% de la diferencia, con un avance de 1/5 cada año. |
| CUP - Costos Unitarios Particulares de acueducto ($/m3) | CUP - Costos Unitarios Particulares de alcantarillado ($/m3). | Costos particulares: Mantener los actuales o reducirlos. | No incrementar los costos. |
PARÁGRAFO 1o. Las metas establecidas en el presente artículo tendrán un carácter integral con la tarifa y harán parte de los indicadores que se definirán para evaluar la gestión y resultados de las personas prestadoras, así mismo para clasificarlas de acuerdo con el nivel de riesgo.
PARÁGRAFO 2o. La diferencia en el estándar de servicio y en el estándar de eficiencia para cada indicador, a que se refiere el cuadro del presente artículo en la columna meta, corresponde al resultado de comparar el valor del estándar y el valor del año base.
PARÁGRAFO 3o. Cuando no se especifique una meta diferente para cada segmento, la meta propuesta aplicará para ambos segmentos.
PARÁGRAFO 4o. <Parágrafo modificado por el artículo 1 de la Resolución 798 de 2017. El nuevo texto es el siguiente:> El estándar de continuidad corresponde a seis (6) días por año sin servicio, incluyendo suspensiones por mantenimientos preventivos y fallas de servicio
PARÁGRAFO 5o. La persona prestadora que no le sea aplicable el estándar de eficiencia DACAL porque presta solo uno de los dos servicios públicos domiciliarios, deberá informar tal situación en su estudio de costos.
PARÁGRAFO 6o. Todas las personas prestadoras deberán establecer un Plan de Reducción de Pérdidas detallado para los índices IPUF, ICUF e ISUF con metas anuales y discriminadas para el sector residencial y no residencial. Las personas prestadoras que hayan presentado emergencias de abastecimiento de agua en los últimos 5 años deberán establecer adicionalmente el Plan de Reducción de Pérdidas con metas semestrales.
PARÁGRAFO 7o. Los planes y el cumplimiento de las metas señaladas en el presente artículo deberán ser reportados por las personas prestadoras en los formatos diseñados para tal fin en el esquema de reporte de información determinado por la Superintendencia de Servicios Públicos Domiciliarios, de conformidad con lo establecido en el artículo 112 de la presente resolución.
PARÁGRAFO 8o. Las metas proyectadas por la persona prestadora para los estándares de servicio y los estándares de eficiencia deberán incluirse como parte del Contrato de Condiciones Uniformes.
PARÁGRAFO 9o. Los proyectos que se establezcan en el POIR, deberán ser concordantes con las metas planteadas en el presente artículo y con el APS reportada al municipio respectivo.
PARÁGRAFO 10. En caso que la persona prestadora cuente con el cálculo del nivel económico de pérdidas (NEP), podrá utilizarlo en reemplazo del índice de pérdidas por usuario facturado estándar (IPUF*). Dicho estudio deberá considerar como mínimo lo establecido en el Anexo I de la presente resolución, formará parte del estudio de costos y deberá quedar a disposición de la Superintendencia de Servicios Públicos Domiciliarios.
DE LA PROYECCIÓN DE SUSCRIPTORES, EL CONSUMO FACTURADO Y LAS PÉRDIDAS.
DE LA PROYECCIÓN DE SUSCRIPTORES DE ACUEDUCTO Y ALCANTARILLADO.
ARTÍCULO 10. NÚMERO DE SUSCRIPTORES PROMEDIO POR FACTURAR EN EL AÑO i .
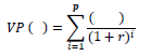
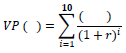
<Artículo integrado y unificado en el artículo 2.1.2.1.2.1.1 de la Resolución CRA 943 de 2021. Debe tenerse en cuenta lo dispuesto por el artículo 2.3.6.3.3.12 del Decreto 1077 de 2015> La persona prestadora deberá proyectar el número de suscriptores promedio para cada año i, en un periodo de diez (10 años) de acuerdo con la siguiente fórmula:
![]()
Donde:
| Número de suscriptores promedio por facturar en el año i para cada servicio público domiciliario. | |
| Número de suscriptores residenciales promedio por facturar en el año i para cada servicio público domiciliario: | |
| Número de suscriptores residenciales por facturar al cierre del año i para cada servicio público domiciliario, según lo definido en el Artículo 11 de la presente resolución. | |
| Número de suscriptores no residenciales promedio por facturar en el año i para cada servicio público domiciliario: | |
| Número de suscriptores no residenciales por facturar al cierre del año i para cada servicio público domiciliario, según lo definido en el Artículo 12 y en el Artículo 13 de la presente resolución. | |
| Cada uno de los diez (10) años de proyección, corresponde a un valor entre uno (1) y diez (10). |
PARÁGRAFO. El número de suscriptores al cierre de cada año corresponde a los suscriptores del último periodo de facturación.
ARTÍCULO 11. NÚMERO DE SUSCRIPTORES RESIDENCIALES POR FACTURAR AL CIERRE DEL AÑO i PARA ACUEDUCTO Y ALCANTARILLADO.
. <Artículo integrado y unificado en el artículo 2.1.2.1.2.1.2 de la Resolución CRA 943 de 2021. Debe tenerse en cuenta lo dispuesto por el artículo 2.3.6.3.3.12 del Decreto 1077 de 2015> El número al cierre del año i se calcula como el número de suscriptores al cierre del año anterior más la meta de nuevos suscriptores residenciales por facturar del año proyectado
, determinados así:
![]()
Donde:
| Número de suscriptores residenciales por facturar al cierre del año i para cada servicio público domiciliario. | |
| Metas de nuevos suscriptores residenciales por facturar del año i para cada servicio público domiciliario. |
Para el cálculo de las metas de nuevos suscriptores residenciales por facturar del año proyectado
, la persona prestadora deberá elaborar un plan anual de incorporación de suscriptores para su APS. En este plan, identificará, tanto las viviendas sin servicio, como aquellas que cuentan con conexión pero que no son facturadas y estimará los crecimientos vegetativos.
La persona prestadora deberá verificar, que la sumatoria de las metas anuales de nuevos suscriptores corresponda a la totalidad de la meta para alcanzar el 100% de cobertura, según lo establecido en el Artículo 9 de la presente resolución, en el año mc. Para lo anterior deberá considerar la siguiente expresión:
<Fórmula modificada por el artículo 7 de la Resolución 735 de 2015. El nuevo texto es el siguiente:>

Donde:
| Número de suscriptores residenciales facturados al cierre del año base para cada servicio público domiciliario. | |
| Número de suscriptores residenciales por facturar con posibilidad de servicio en el año mc para el servicio público domiciliario de acueducto. | |
![]()
| VSS: | Viviendas sin servicio al momento de la declaración del APS de acuerdo con lo definido en el artículo 8o de la presente resolución. |
| VNF: | Viviendas no facturadas con conexión identificadas por la persona prestadora al momento de la declaración del APS. |
| fVR: | Factor de crecimiento vegetativo de las viviendas en el APS, para lo cual la persona prestadora podrá tomar como información de referencia las proyecciones de población elaboradas por el DANE, realizando las estimaciones correspondientes de acuerdo con su propio conocimiento y situación de crecimiento poblacional. |
| mc: | Año en que alcanza la meta de cobertura definida para cada segmento, de acuerdo con lo establecido en el artículo 9o de la presente resolución, es decir que será, como máximo cinco (5) años en las APS del primer segmento y siete (7) años en las del segundo segmento. |
| Número de suscriptores residenciales por facturar con posibilidad de servicio en el año mc para el servicio público domiciliario de alcantarillado, el cual será igual al del servicio público domiciliario de acueducto, con excepción de los suscriptores que dispongan de fuentes alternas de abastecimiento y/o soluciones particulares de vertimientos que cumplan los criterios ambientales establecidos por las autoridades competentes. | |
PARÁGRAFO 1. <Parágrafo modificado por el artículo 7 de la Resolución 735 de 2015. El nuevo texto es el siguiente:> Para la proyección de los años siguientes al año en que la persona prestadora alcanza su meta de cobertura (año mc), se tomará como meta anual de suscriptores únicamente el crecimiento vegetativo.
PARÁGRAFO 2. Con base en la identificación de viviendas sin servicio y el crecimiento vegetativo se establecerá el POIR y los programas necesarios para la incorporación de suscriptores que permitan dar cobertura universal sobre su APS.
PARÁGRAFO 3. En caso que la persona prestadora haya realizado estudios para determinar el número de suscriptores residenciales, podrá optar por ellos dejándolos a disposición de las autoridades de control.
ARTÍCULO 12. NÚMERO DE SUSCRIPTORES NO RESIDENCIALES POR FACTURAR AL CIERRE DEL AÑO i PARA ACUEDUCTO.
. <Artículo integrado y unificado en el artículo 2.1.2.1.2.1.3 de la Resolución CRA 943 de 2021. Debe tenerse en cuenta lo dispuesto por el artículo 2.3.6.3.3.12 del Decreto 1077 de 2015> El número de suscriptores no residenciales por facturar al cierre de cada año de proyección para el servicio público domiciliario de acueducto se calcula de acuerdo con la siguiente fórmula:
![]()
Donde:
| Número de suscriptores no residenciales por facturar al cierre del año i para el servicio público domiciliario de acueducto. | |
| <Factor modificado por el artículo 8 de la Resolución 735 de 2015. El nuevo texto es el siguiente:> Factor de crecimiento anual de los suscriptores no residenciales del servicio público domiciliario de acueducto en el año i, el cual la persona prestadora podrá estimar con base en la tasa de crecimiento del PIB departamental calculada por el DANE, o en caso de tener estimación propia, podrá incorporarla dejando soporte suficiente del estudio realizado para revisión de la autoridad de vigilancia y control. |
ARTÍCULO 13. NÚMERO DE SUSCRIPTORES NO RESIDENCIALES POR FACTURAR AL CIERRE DEL AÑO i PARA ALCANTARILLADO.
. <Artículo integrado y unificado en el artículo 2.1.2.1.2.1.4 de la Resolución CRA 943 de 2021. Debe tenerse en cuenta lo dispuesto por el artículo 2.3.6.3.3.12 del Decreto 1077 de 2015> El número de suscriptores no residenciales por facturar al cierre de cada año de proyección para el servicio público domiciliario de alcantarillado se calcula de acuerdo con la siguiente fórmula:
![]()
Donde:
| Número de suscriptores no residenciales por facturar al cierre del año i para el servicio público domiciliario de alcantarillado. | |
| Número de suscriptores no residenciales por facturar al cierre del año i para el servicio público domiciliario de acueducto, según lo definido en el Artículo 12 de la presente resolución. | |
| Diferencia entre el número de suscriptores no residenciales de los servicios públicos domiciliarios de acueducto y alcantarillado en el año i. La persona prestadora establecerá la gradualidad de reducción del de |
DEL CONSUMO FACTURADO Y LAS PÉRDIDAS.
ARTÍCULO 14. ÍNDICE DE AGUA SUMINISTRADA POR SUSCRIPTOR FACTURADO EN EL AÑO i.
. <Artículo integrado y unificado en el artículo 2.1.2.1.2.2.1 de la Resolución CRA 943 de 2021. Debe tenerse en cuenta lo dispuesto por el artículo 2.3.6.3.3.12 del Decreto 1077 de 2015> La persona prestadora deberá proyectar el índice de agua suministrada por suscriptor facturado con base en la siguiente expresión:
![]()
Donde:
| Índice de agua suministrada por suscriptor facturado en el año i (m3/suscriptor/mes). | |
| Índice de consumo de agua facturada por suscriptor del servicio público domiciliario de acueducto en el año i (m3/suscriptor/mes), según lo definido en el Artículo 15 de la presente resolución. | |
| Índice de pérdidas por suscriptor facturado del año i (m3/suscriptor/mes), según lo definido en el Artículo 17 de la presente resolución. |
ARTÍCULO 15. ÍNDICE DE CONSUMO DE AGUA FACTURADA POR SUSCRIPTOR DE ACUEDUCTO Y ALCANTARILLADO EN EL AÑO i.
. <Artículo integrado y unificado en el artículo 2.1.2.1.2.2.2 de la Resolución CRA 943 de 2021. Debe tenerse en cuenta lo dispuesto por el artículo 2.3.6.3.3.12 del Decreto 1077 de 2015> La persona prestadora deberá determinar la meta del índice de consumo de agua facturada por suscriptor de acueducto
y del índice de consumo de agua facturada por suscriptor de alcantarillado
para cada año i de acuerdo con sus propias estimaciones. Se expresa en m3/suscriptor/mes.
PARÁGRAFO 1. Los incrementos anuales del índice de consumo de agua facturada por suscriptor (ICUF) deben ser concordantes con las actividades, programas y proyectos definidos dentro del Plan de Reducción de Pérdidas que la persona prestadora deberá elaborar como parte del estudio de costos, para lo cual podrán emplear la metodología que se presenta en el ANEXO I de la presente resolución.
PARÁGRAFO 2. El consumo de agua facturada para el servicio público domiciliario de alcantarillado corresponderá al consumo facturado del servicio público domiciliario de acueducto más el estimativo de la disposición de aguas residuales de aquellos usuarios que posean fuentes alternas o adicionales de abastecimiento de agua que viertan al alcantarillado.
ARTÍCULO 16. ÍNDICE DE CONSUMO DE AGUA FACTURADA POR SUSCRIPTOR EN EL AÑO BASE.
. <Artículo integrado y unificado en el artículo 2.1.2.1.2.2.3 de la Resolución CRA 943 de 2021. Debe tenerse en cuenta lo dispuesto por el artículo 2.3.6.3.3.12 del Decreto 1077 de 2015> El índice de consumo de agua facturada por suscriptor en el año base corresponderá al promedio ponderado del ICUF residencial y no residencial de acuerdo con la siguiente fórmula:
![]()
Donde:
| Índice de consumo de agua facturada por suscriptor en el año base (m3/suscriptor/mes) para cada servicio público domiciliario. | |
| Índice de consumo de agua facturada por suscriptor residencial en el año base (m3/suscriptor/mes) para cada servicio público domiciliario. |

| Consumo de agua facturada a suscriptores residenciales en el año base (m3/año) para cada servicio público domiciliario. | |
| Número de suscriptores residenciales facturados promedio en el año base. En el caso de facturación mensual, corresponde al promedio de los doce meses del año base. En el caso de facturación bimestral, corresponde al promedio de los seis bimestres del año base. | |
| Índice de consumo de agua facturada por suscriptor no residencial en el año base (m3/suscriptor/mes) para cada servicio público domiciliario. |

| Consumo de agua facturada a suscriptores no residenciales en el año base (m3/año) para cada servicio público domiciliario. | |
| Número de suscriptores no residenciales facturados promedio en el año base para cada servicio público domiciliario. En el caso de facturación mensual, corresponde al promedio de los doce meses del año base. En el caso de facturación bimestral, corresponde al promedio de los seis bimestres del año base. | |
| Participación (%) de los suscriptores residenciales promedio |
ARTÍCULO 17. ÍNDICE DE PÉRDIDAS POR SUSCRIPTOR FACTURADO DEL AÑO i.
. <Artículo integrado y unificado en el artículo 2.1.2.1.2.2.4 de la Resolución CRA 943 de 2021. Debe tenerse en cuenta lo dispuesto por el artículo 2.3.6.3.3.12 del Decreto 1077 de 2015> El índice de pérdidas por suscriptor facturado (IPUF) del año i corresponde a las metas y gradualidad definidas por la persona prestadora de acuerdo con los estándares de eficiencia establecidos en el Artículo 9 de la presente resolución. Se expresa en m3/suscriptor/mes.
PARÁGRAFO. Si el IPUF del año base
es menor al IPUF estándar
, la persona prestadora podrá utilizar para el cálculo tarifario cualquier valor que se encuentre entre el
y el promedio del
y el
.
ARTÍCULO 18. ÍNDICE DE PÉRDIDAS POR SUSCRIPTOR FACTURADO EN EL AÑO BASE.
. <Artículo integrado y unificado en el artículo 2.1.2.1.2.2.5 de la Resolución CRA 943 de 2021. Debe tenerse en cuenta lo dispuesto por el artículo 2.3.6.3.3.12 del Decreto 1077 de 2015> El Índice de pérdidas por suscriptor facturado en el año base se calcula de acuerdo con la siguiente fórmula:

Donde:
| Índice de pérdidas por suscriptor facturado en el año base (m3/suscriptor/mes). | |
| Consumo de agua facturada para el servicio público domiciliario de acueducto en el año base (m3/año). | |
| Número de suscriptores facturados promedio en el año base para el servicio público domiciliario de acueducto. En el caso de facturación mensual corresponde al promedio de los doce meses del año base. En el caso de facturación bimestral, corresponde al promedio de los seis bimestres del año base. | |
| Agua potable suministrada en el año base (m3/año). | |
| Agua producida en el año base (m3/año). | |
| Volumen recibido por contratos de suministro de agua potable en el año base (m3/año). | |
| Volumen entregado por contratos de suministro de agua potable en el año base (m3/año). |
ARTÍCULO 19. CÁLCULO DEL CONSUMO CORREGIDO POR PÉRDIDAS.
. <Artículo integrado y unificado en el artículo 2.1.2.1.2.2.6 de la Resolución CRA 943 de 2021. Debe tenerse en cuenta lo dispuesto por el artículo 2.3.6.3.3.12 del Decreto 1077 de 2015> La persona prestadora deberá proyectar para cada uno de los años del periodo de análisis el consumo corregido por pérdidas para cada servicio, de acuerdo con la siguiente fórmula:
Para el servicio público domiciliario de acueducto:
![]()
Para el servicio público domiciliario de alcantarillado:

Donde:
| Consumo corregido por pérdidas en el año i para cada servicio público domiciliario (m3/año). | |
| Índice de agua suministrada por suscriptor facturado en el año i (m3/suscriptor/mes), según lo definido en el Artículo 14 de la presente resolución. | |
| Índice de consumo de agua facturada por suscriptor en el año i (m3/suscriptor/mes) para el servicio público domiciliario de alcantarillado, según lo definido en el Artículo 15 de la presente resolución. | |
| Índice de consumo de agua facturada por suscriptor en el año i (m3/suscriptor/mes) para el servicio público domiciliario de acueducto, según lo definido en el Artículo 15 de la presente resolución. | |
| Índice de pérdidas por suscriptor facturado estándar (m3/suscriptor/mes), según lo definido en el Artículo 9 de la presente resolución. | |
| Número de suscriptores facturados promedio del año i para cada servicio público domiciliario, según lo definido en el Artículo 10 de la presente resolución. | |
| Cada uno de los diez (10) años de proyección, corresponde a un valor entre uno (1) y diez (10). |
TASA DE DESCUENTO APLICABLE A LOS SERVICIOS PÚBLICOS DOMICILIARIOS DE ACUEDUCTO Y ALCANTARILLADO.
ARTÍCULO 20. TASA DE DESCUENTO PARA EL CÁLCULO DEL COSTO MEDIO DE INVERSIÓN (r). <Artículo integrado y unificado en el artículo 2.1.2.1.3.1 de la Resolución CRA 943 de 2021. Debe tenerse en cuenta lo dispuesto por el artículo 2.3.6.3.3.12 del Decreto 1077 de 2015> La tasa de descuento aplicable a los servicios públicos domiciliarios de acueducto y alcantarillado obtenida con la metodología del Costo Promedio Ponderado de Capital (WeightedAverageCost of Capital – WACC) antes de impuestos, calculada para cada uno de los segmentos establecidos en el Artículo 4 de la presente resolución, será de la siguiente forma:
- Para el primer segmento: La tasa de descuento anual será de 12,28%.
- Para el segundo segmento: La tasa de descuento anual será de 12,76%.
ARTÍCULO 21. TASA DE CAPITAL DE TRABAJO PARA EL CÁLCULO DEL COSTO MEDIO DE ADMINISTRACIÓN Y DEL COSTO MEDIO DE OPERACIÓN (RCT). <Artículo integrado y unificado en el artículo 2.1.2.1.3.2 de la Resolución CRA 943 de 2021. Debe tenerse en cuenta lo dispuesto por el artículo 2.3.6.3.3.12 del Decreto 1077 de 2015> La tasa de capital de trabajo a utilizar para el cálculo del Costo Medio de Administración y del Costo Medio de Operación será:
- Para el primer segmento: La tasa anual será de 2,61%.
- Para el segundo segmento: La tasa anual será de 2,43%.
DE LOS COSTOS DE PRESTACIÓN.
DEL COSTO MEDIO DE ADMINISTRACIÓN.
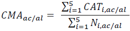
ARTÍCULO 22. COSTO MEDIO DE ADMINISTRACIÓN. CMA. <Artículo integrado y unificado en el artículo 2.1.2.1.4.1.1 de la Resolución CRA 943 de 2021. Debe tenerse en cuenta lo dispuesto por el artículo 2.3.6.3.3.12 del Decreto 1077 de 2015> El Costo Medio de Administración de los servicios públicos domiciliarios de acueducto y alcantarillado se define de la siguiente manera:

Donde:
| Costo medio de administración para cada uno de los servicios públicos domiciliarios (pesos de diciembre del año base/suscriptor/mes). | |
| Costos administrativos totales en el año i (pesos de diciembre del año base/por mes) para cada servicio público domiciliario, según lo definido en el Artículo 23 de la presente resolución. | |
| Número de suscriptores facturados promedio del año i para cada servicio público domiciliario, según lo definido en el Artículo 10 de la presente resolución. | |
| Cada uno de los cinco (5) años del presente marco tarifario, corresponde a un valor entre uno (1) y cinco (5). |
PARÁGRAFO. <Parágrafo modificado por el artículo 9 de la Resolución 735 de 2015. El nuevo texto es el siguiente:> A partir del año seis (6), y mientras la CRA no fije una nueva fórmula tarifaria, se aplicará la siguiente fórmula con base en los valores eficientes proyectados para el año cinco (5):

Donde:
| CAT5,ac/al: | Costos administrativos totales en el año 5 (pesos de diciembre del año base/por mes) para cada servicio público domiciliario, según lo definido en el artículo 23 de la presente resolución. |
| N5,ac/al: | Número de suscriptores facturados promedio del año 5 para cada servicio público domiciliario, según lo definido en el artículo 10 de la presente resolución. |
ARTÍCULO 23. COSTOS ADMINISTRATIVOS TOTALES.
. <Artículo integrado y unificado en el artículo 2.1.2.1.4.1.2 de la Resolución CRA 943 de 2021. Debe tenerse en cuenta lo dispuesto por el artículo 2.3.6.3.3.12 del Decreto 1077 de 2015> Los costos administrativos totales proyectados se determinan de acuerdo con la siguiente fórmula:

Donde:
| Costos administrativos totales en el año i (pesos de diciembre del año base/por mes) para cada servicio público domiciliario. | |
| Costos administrativos eficientes del año i (pesos de diciembre del año base) para cada servicio público domiciliario, según lo definido en el Artículo 24 de la presente resolución. | |
| Tasa de capital de trabajo definida en el Artículo 21 de la presente resolución. | |
| Costos de impuestos, contribuciones y tasas administrativas del año i (pesos de diciembre del año base) para cada servicio público domiciliario, según lo definido en el Artículo 28 de la presente resolución. |
ARTÍCULO 24. COSTOS ADMINISTRATIVOS EFICIENTES.
. <Artículo integrado y unificado en el artículo 2.1.2.1.4.1.3 de la Resolución CRA 943 de 2021. Debe tenerse en cuenta lo dispuesto por el artículo 2.3.6.3.3.12 del Decreto 1077 de 2015> Los costos administrativos eficientes proyectados se determinan de acuerdo con la siguiente fórmula:
![]()
Donde:
| Costos administrativos eficientes del año i (pesos de diciembre del año base) para cada servicio público domiciliario. | |
| Costos administrativos eficientes por suscriptor mensual del año i (pesos/suscriptor/mes) para cada servicio público domiciliario, según lo definido en el Artículo 25 de la presente resolución. | |
| Número de suscriptores facturados promedio del año i para cada servicio público domiciliario, según lo definido en el Artículo 10 de la presente resolución. |
ARTÍCULO 25. COSTOS ADMINISTRATIVOS EFICIENTES POR SUSCRIPTOR MENSUAL.
. <Artículo integrado y unificado en el artículo 2.1.2.1.4.1.4 de la Resolución CRA 943 de 2021. Debe tenerse en cuenta lo dispuesto por el artículo 2.3.6.3.3.12 del Decreto 1077 de 2015> Los costos administrativos por suscriptor mensual se determinan de acuerdo con la siguiente fórmula:

Donde:
| Costos administrativos eficientes por suscriptor mensual del año i (pesos/suscriptor/mes) para cada servicio público domiciliario. | |
Costos administrativos por suscriptor mensual del año base (pesos/suscriptor/mes). ![]() | |
| Costos administrativos del año base (pesos de diciembre del año base) para cada servicio público domiciliario, según los criterios definidos en el Artículo 27 de la presente resolución. | |
| Número de suscriptores facturados promedio en el año base. En el caso de facturación mensual, corresponde al promedio de los doce meses del año base. En el caso de facturación bimestral, corresponde al promedio de los seis bimestres del año base. | |
| Costos administrativos eficientes estándar por suscriptor mensual (pesos/suscriptor/mes) para cada servicio público domiciliario, según lo definido en el Artículo 26 de la presente resolución. |
PARÁGRAFO. Para el cálculo de los costos administrativos eficientes por suscriptor mensual del año 1
la persona prestadora deberá tomar como costo administrativo eficiente por suscriptor mensual del año anterior
el costo administrativo por suscriptor mensual del año base
.
ARTÍCULO 26. COSTOS ADMINISTRATIVOS EFICIENTES ESTÁNDAR POR SUSCRIPTOR MENSUAL.
. <Artículo integrado y unificado en el artículo 2.1.2.1.4.1.5 de la Resolución CRA 943 de 2021. Debe tenerse en cuenta lo dispuesto por el artículo 2.3.6.3.3.12 del Decreto 1077 de 2015> Los costos administrativos eficientes estándar por suscriptor mensual se determinan según el segmento que corresponda, así:
Primer segmento:
![]()
Donde:
| Costos administrativos eficientes estándar por suscriptor mensual (pesos/suscriptor/mes) para cada servicio público domiciliario. | |
Costos administrativos por suscriptor mensual base (pesos/suscriptor/mes) para cada servicio público domiciliario. ![]() | |
| Costos administrativos base (pesos de diciembre del año base) para cada servicio público domiciliario. Corresponden al promedio de los costos administrativos del año base y los del año inmediatamente anterior, calculados según los criterios definidos en el Artículo 27 de la presente resolución. | |
| Número de suscriptores facturados promedio base. Corresponde al promedio de suscriptores del año base y los del año inmediatamente anterior. Para calcular el promedio de cada año se deberá tomar el promedio de los doce meses del año. En el caso de facturación bimestral se tomará el promedio de los seis bimestres del año. | |
| Puntaje de eficiencia (%) en costos administrativos resultante de la aplicación del modelo de eficiencia comparativa con la metodología de Análisis Envolvente de Datos (DEA), según lo establecido en el ANEXO II de la presente resolución. | |
| Porcentaje de particularidades no captadas en el modelo DEA, según lo establecido en el ANEXO II de la presente resolución. |
Segundo segmento:
Los costos administrativos eficientes estándar por suscriptor mensual del segundo segmento para cada servicio público domiciliario son:
<Tabla actualizada por el artículo 10 de la Resolución 735 de 2015. El nuevo texto es el siguiente:>
Costos administrativos eficientes estándar por suscriptor mensual para el segundo segmento (pesos de diciembre de 2014)
| CAU*ac | $4.402 suscriptor/mes |
| CAU*al | $2.522 suscriptor/mes |
PARÁGRAFO 1. Las personas prestadoras del primer segmento que presten los servicios públicos domiciliarios de acueducto y alcantarillado por separado y que tengan en común por lo menos el 60% de sus suscriptores, se unirán para efectos de calcular el puntaje de eficiencia comparativa
simulando una empresa prestadora de los dos servicios mediante el siguiente tratamiento:
a. Se sumarán los costos administrativos de cada prestador para generar la variable insumo del modelo DEA.
b. Al insumo de costos administrativos del modelo DEA se le asociarán los productos de cada prestador definidos en el ANEXO II de la presente resolución, según corresponda, de tal forma que se constituya una unidad completa para incorporar al modelo.
c. El puntaje resultante de la empresa simulada se asignará a los respectivos
de cada prestador.
PARÁGRAFO 2. Las personas prestadoras del primer segmento que no cumplan los parámetros mínimos de inclusión al modelo DEA, establecidos en el ANEXO II de la presente resolución, deberán tomar el menor
resultante de las empresas que hagan parte del modelo, hasta tanto cumplan con dichos parámetros.
PARÁGRAFO 3o. <Parágrafo adicionado por el artículo 10 de la Resolución 735 de 2015. El nuevo texto es el siguiente:> Para el cálculo del PDEA, la CRA evaluará la información reportada por las personas prestadoras con APS pertenecientes al primer segmento que se encuentran relacionadas en el numeral 8 del Anexo II de la presente resolución. A partir del cumplimiento de los parámetros mínimos para la inclusión en el modelo y la no presentación de datos atípicos en la información reportada en el SUI de cinco (5) o más personas prestadoras se realizará el cálculo del PDEA, las cuales constituirán el grupo básico para el cálculo del PDEA. Si entre una (1) y cuatro (4) personas prestadoras cumplen con los parámetros mínimos para la inclusión en el modelo y no presentan datos atípicos en la información reportada en el SUI, no se aplicará la metodología del DEA. Estas personas prestadoras tendrán un PDEA del 100% y el menor CAU* resultante de ellas deberá ser aplicado por las demás personas prestadoras que cuenten con APS en las que apliquen la metodología del primer segmento.
PARÁGRAFO 4o. <Parágrafo adicionado por el artículo 10 de la Resolución 735 de 2015. El nuevo texto es el siguiente:> En el evento que ningún prestador cumpla con los parámetros mínimos y se presenten datos atípicos en la información reportada en el SUI para la inclusión en el modelo, las personas prestadoras con APS del primer segmento y las que opten por aplicar la metodología correspondiente al primer segmento, deberán aplicar los siguientes costos administrativos eficientes estándar por suscriptor mensual para cada servicio público domiciliario, en la fórmula del artículo 25 de la presente resolución:
Costos administrativos eficientes estándar por suscriptor mensual para el primer segmento (pesos de diciembre de 2014)
| CAU*ac | $2.612 suscriptor/mes |
| CAU*al | $1.517 suscriptor/mes |
PARÁGRAFO 5o. <Parágrafo adicionado por el artículo 10 de la Resolución 735 de 2015. El nuevo texto es el siguiente:> Aquellas personas prestadoras que atienden APS en las que opten por aplicar la metodología correspondiente al primer segmento, según lo establecido en los parágrafos 3 o 4 del artículo 104 de la presente resolución, y adicionalmente cuenten con APS del primer segmento, deberán aplicar el CAU* obtenido por estas últimas.
PARÁGRAFO 6o. <Parágrafo adicionado por el artículo 10 de la Resolución 735 de 2015. El nuevo texto es el siguiente:> El PDEA de costos administrativos para aquellas personas prestadoras con APS del segundo segmento, que optaron por aplicar la metodología correspondiente al primero, dando cumplimiento a lo establecido en el parágrafo 3o del artículo 104 de la presente resolución, se calculará de la siguiente manera:
i) Si existe grupo básico y la persona prestadora cumple con los parámetros mínimos establecidos en el Anexo II de la presente resolución y no presenta datos atípicos en la información reportada en el SUI, el PDEA será estimado e informado por la CRA, sin modificar los puntajes de las APS pertenecientes al grupo básico. En el evento de no cumplir con los parámetros mínimos aplicará el menor CAU* resultante del grupo básico.
ii) Si no existe grupo básico y entre una (1) y cuatro (4) personas prestadoras cumplieron con los parámetros mínimos para la inclusión en el modelo, deberá aplicar el menor CAU* resultante de ellas. Si ninguna persona prestadora cumplió con los parámetros mínimos, entonces aplicará el CAU* definido en el parágrafo 4 del presente artículo.
PARÁGRAFO 7o. <Parágrafo adicionado por el artículo 10 de la Resolución 735 de 2015. El nuevo texto es el siguiente:> Las personas prestadoras que cuenten con APS del primer segmento y/o con APS en las que optaron por aplicar la metodología correspondiente al primer segmento dando cumplimiento a lo establecido en los parágrafos 3o o 4o del artículo 104 de la presente resolución, deberán aplicar el PDEA utilizado para el cálculo de las tarifas de la Resolución CRA número 287 de 2004 en la fórmula del presente artículo, hasta tanto la CRA informe mediante resolución si se aplicó el modelo del DEA, los puntajes definitivos así como la fecha a partir de la cual regirán o si los prestadores deberán aplicar lo establecido en los parágrafos 3o o 4o del presente artículo, según corresponda.
PARÁGRAFO 8o. <Parágrafo adicionado por el artículo 10 de la Resolución 735 de 2015. El nuevo texto es el siguiente:> Una vez la persona prestadora cumpla con los parámetros mínimos y no presente datos atípicos en la información reportada en el SUI para calcular los PDEA, podrá presentar una solicitud particular para modificar los costos administrativos eficientes estándar por suscriptor mensual, de conformidad con lo establecido en el artículo 126 de la Ley 142 de 1994, siempre y cuando se haya realizado el cálculo del PDEA.
ARTÍCULO 27. CRITERIOS PARA CALCULAR LOS COSTOS ADMINISTRATIVOS. <Artículo integrado y unificado en el artículo 2.1.2.1.4.1.6 de la Resolución CRA 943 de 2021. Debe tenerse en cuenta lo dispuesto por el artículo 2.3.6.3.3.12 del Decreto 1077 de 2015> Los costos administrativos se calculan teniendo en cuenta los siguientes criterios:
a. Deberán incluirse todos los gastos de personal que realice labores administrativas relacionadas directamente con la prestación de los servicios públicos domiciliarios de acueducto y alcantarillado, tales como sueldos, jornales, horas extras y festivos, personal supernumerario, honorarios, contratos de personal temporal, auxilio de transporte, dotación y suministro a trabajadores, salario integral, viáticos y gastos de viaje, riesgos profesionales, así como todos los demás gastos relacionados con los pagos a empleados del área administrativa como los gastos por prestaciones sociales, tales como cesantías, intereses de cesantías, prima de servicios y vacaciones. Los gastos relacionados en este criterio corresponden a la cuenta 5101 – Sueldos y salarios del Plan Único de Cuentas (PUC) establecido por la Superintendencia de Servicios Públicos Domiciliarios mediante Resolución 33635 de 2005.
b. Deberán incluirse todos los gastos relacionados con contribuciones imputadas y efectivas. No se podrán incluir gastos relacionados con pensiones de jubilación, indemnizaciones sustitutas, amortización de cálculo actuarial y amortización y cuotas parte de bonos pensionales. Los gastos relacionados en este criterio corresponden a la cuenta 5102 – Contribuciones imputadas y a la cuenta 5103 – Contribuciones efectivas del PUC.
c. Deberán incluirse los gastos de aportes a parafiscales de todo el personal de la empresa que realiza labores administrativas. Los gastos relacionados en este criterio corresponden a la cuenta 5104 – Aportes sobre la nómina del PUC.
d. <Literal modificado por el artículo 11 de la Resolución 735 de 2015. El nuevo texto es el siguiente:> Deberán incluirse los gastos generales relacionados con el funcionamiento, incluyendo los gastos por contratos administrativos que realice la persona prestadora para desarrollar actividades de negocio relacionadas directamente con la prestación de los servicios públicos domiciliarios de acueducto y alcantarillado. No se podrán incluir gastos relacionados con implementos deportivos, organización de eventos, eventos culturales, sostenimiento de semovientes y relaciones públicas. Los gastos relacionados en este criterio corresponden a la cuenta 5111 – Generales del PUC.
e. Deberán incluirse únicamente las amortizaciones administrativas directamente relacionadas con la prestación de los servicios públicos domiciliarios de acueducto y alcantarillado, tales como licencias, software y servidumbres. Los gastos relacionados en este criterio corresponden a la cuenta 5345 – Amortización de intangibles del PUC.
f. Deberán incluirse los gastos comerciales propios de la prestación de los servicios públicos domiciliarios de acueducto y alcantarillado, tales como toma de lecturas, entrega de facturas, entre otras.
g. Deberán incluir la remuneración de los activos administrativos de propiedad de la persona prestadora, los cuales se calcularán de acuerdo con la siguiente fórmula:
![]()
Donde:
| Remuneración de los activos administrativos de propiedad de la persona prestadora. | |
| Depreciación anual de los activos administrativos. Se deberán incluir las depreciaciones de activos administrativos tales como edificaciones, muebles, maquinaria y equipos de oficina, de comunicación y computación, y equipos de transporte, así como de los bienes para uso administrativo, adquiridos en leasing financiero. Los gastos relacionados en este criterio corresponden a las cuentas 5330 – Depreciación de propiedades, planta y equipo y 5331 – Depreciación de bienes adquiridos en leasing financiero del PUC. | |
| Factor de recuperación del capital, el cual corresponderá: | |
| Para el primer segmento: 27,93% Para el segundo segmento: 28,27% | |
PARÁGRAFO 1. No se podrán incluir dentro de los costos administrativos aquellos que no guarden relación directa con la prestación de los servicios públicos domiciliarios de acueducto y alcantarillado, o aquellos que explícitamente se excluyan por disposición de esta resolución.
PARÁGRAFO 2. Se deberán excluir todos los gastos que correspondan a gastos de actividades con ingreso asociado, tales como suministro de medidores, acometidas, conexiones, reconexiones, entre otros.
PARÁGRAFO 3. <Parágrafo modificado por el artículo 11 de la Resolución 735 de 2015. El nuevo texto es el siguiente:> Las personas prestadoras podrán utilizar el criterio que consideren más idóneo para separar los costos administrativos por APS. En todo caso, la sumatoria de los costos administrativos por APS deberá corresponder a la totalidad de los costos antes de la separación.
PARÁGRAFO 4. <Parágrafo adicionado por el artículo 11 de la Resolución 735 de 2015. El nuevo texto es el siguiente:> Las personas prestadoras podrán agregar la información de la totalidad de las APS que pertenezcan al mismo segmento, correspondan o no a sistemas interconectados, para que el cálculo del Costo Medio de Administración sea realizado de forma unificada por segmento. Para ello, calculará los costos administrativos con la metodología establecida para cada segmento y tendrá en cuenta que la proyección del número de suscriptores, así como la proyección del ICTA, deberá realizarse por APS manteniendo las condiciones de proyección que le corresponda a cada una.
ARTÍCULO 28. COSTOS DE IMPUESTOS, CONTRIBUCIONES Y TASAS.
. <Artículo integrado y unificado en el artículo 2.1.2.1.4.1.7 de la Resolución CRA 943 de 2021. Debe tenerse en cuenta lo dispuesto por el artículo 2.3.6.3.3.12 del Decreto 1077 de 2015> La persona prestadora deberá proyectar el costo de impuestos, contribuciones y tasas para cinco (5) años, en el APS de cada uno de los municipios que atiende, tomando como referencia el promedio del año base y del año inmediatamente anterior del ICTA para cada servicio. Para esto, se deberán incluir únicamente los impuestos administrativos relacionados directamente con la prestación de los servicios públicos domiciliarios de acueducto y alcantarillado, como las cuotas de fiscalización y auditaje, las contribuciones a las entidades de regulación y control, las tasas que no correspondan a tasas pagadas a las autoridades ambientales, registro, notariales, el impuesto a las ventas (IVA), el impuesto al patrimonio y el impuesto de timbre.
PARÁGRAFO. <Ver modificaciones temporales en Notas de Vigencia> Los aumentos o disminuciones en impuestos, tasas y contribuciones administrativas que no son captados al momento de la proyección del ICTA podrán ser ajustados por la persona prestadora. Para el efecto, la persona prestadora deberá cumplir con las disposiciones contenidas en la sección 5.1.1 de la Resolución CRA 151 de 2001, o la norma que la modifique, adicione o derogue, para el reporte de las variaciones tarifarias, y así mismo, deberá remitir a la Comisión de Regulación de Agua Potable y Saneamiento Básico y a la Superintendencia de Servicios Públicos Domiciliarios el acto administrativo o Ley que haya generado el mayor o menor valor referido en el presente parágrafo.
DEL COSTO MEDIO DE OPERACIÓN.
ARTÍCULO 29. COSTO MEDIO DE OPERACIÓN.
. <Artículo integrado y unificado en el artículo 2.1.2.1.4.2.1 de la Resolución CRA 943 de 2021. Debe tenerse en cuenta lo dispuesto por el artículo 2.3.6.3.3.12 del Decreto 1077 de 2015> El Costo Medio de Operación de los servicios públicos domiciliarios de acueducto y alcantarillado se define de la siguiente manera:

Donde:
| Costo medio de operación para cada uno de los servicios públicos domiciliarios (pesos de diciembre del año base/m3). | |
| Costos operativos totales del año i (pesos de diciembre del año base) para cada servicio público domiciliario, según lo definido en el Artículo 30 de la presente resolución. | |
| Consumo corregido por pérdidas en el año i para cada servicio público domiciliario (m3/año), según lo definido en el Artículo 19 de la presente resolución. | |
| Cada uno de los cinco (5) años del presente marco tarifario, corresponde a un valor entre uno (1) y cinco (5). |
PARÁGRAFO. <Parágrafo modificado por el artículo 12 de la Resolución 735 de 2015. El nuevo texto es el siguiente:> A partir del año seis (6), y mientras la CRA no fije una nueva fórmula tarifaria, se aplicará la siguiente fórmula con base en los valores eficientes proyectados para el año cinco (5):
![]()
Donde:
| COT5,ac/al: | Costos operativos totales del año 5 (pesos de diciembre del año base) para cada servicio público domiciliario, según lo definido en el artículo 30 de la presente resolución. |
| CCP5,ac/al: | Consumo corregido por pérdidas en el año 5 para cada servicio público domiciliario (m3/año), según lo definido en el artículo 19 de la presente resolución. |
ARTÍCULO 30. COSTOS OPERATIVOS TOTALES. <Artículo integrado y unificado en el artículo 2.1.2.1.4.2.2 de la Resolución CRA 943 de 2021. Debe tenerse en cuenta lo dispuesto por el artículo 2.3.6.3.3.12 del Decreto 1077 de 2015> Los costos operativos totales proyectados se determinan de acuerdo con la siguiente fórmula:
![]()
Donde:
| Costos operativos totales del año i (pesos de diciembre del año base) para cada servicio público domiciliario. | |
| Costos operativos eficientes comparables del año i (pesos de diciembre del año base) para cada servicio público domiciliario, según lo definido en el Artículo 31 de la presente resolución. | |
| Costos operativos particulares del año i (pesos de diciembre del año base) para cada servicio público domiciliario, según lo definido en el Artículo 35 de la presente resolución. | |
| Tasa de descuento de capital de trabajo establecida en el Artículo 21 de la presente resolución. | |
| Costos de impuestos y tasas operativas del año i (pesos de diciembre del año base) para cada servicio público domiciliario, según lo definido en el Artículo 42 de la presente resolución. |
ARTÍCULO 31. COSTOS OPERATIVOS EFICIENTES COMPARABLES.
. <Artículo integrado y unificado en el artículo 2.1.2.1.4.2.3 de la Resolución CRA 943 de 2021. Debe tenerse en cuenta lo dispuesto por el artículo 2.3.6.3.3.12 del Decreto 1077 de 2015> Los costos operativos eficientes comparables se determinan de acuerdo con la siguiente fórmula:
![]()
Donde:
| Costo operativo eficiente comparable del año i (pesos de diciembre del año base) para cada servicio público domiciliario. | |
| Costos operativos comparables eficientes por suscriptor mensual del año i (pesos/suscriptor/mes) para cada servicio público domiciliario, según lo definido en el Artículo 32 de la presente resolución. | |
| Número de suscriptores facturados promedio del año i para cada servicio público domiciliario, según lo definido en el Artículo 10 de la presente resolución. |
ARTÍCULO 32. COSTOS OPERATIVOS COMPARABLES EFICIENTES POR SUSCRIPTOR MENSUAL.
. <Artículo integrado y unificado en el artículo 2.1.2.1.4.2.4 de la Resolución CRA 943 de 2021. Debe tenerse en cuenta lo dispuesto por el artículo 2.3.6.3.3.12 del Decreto 1077 de 2015> Los costos operativos comparables eficientes por suscriptor mensual se determinan de acuerdo con la siguiente fórmula:

Donde:
| Costos operativos comparables eficientes por suscriptor mensual del año i (pesos/suscriptor/mes) para cada servicio público domiciliario. | |
Costos operativos comparables por suscriptor mensual del año base (pesos/suscriptor/mes) para cada servicio público domiciliario. ![]() | |
| Costos operativos comparables del año base (pesos de diciembre del año base) para cada servicio público domiciliario, calculados según los criterios definidos en el Artículo 34 de la presente resolución. | |
| Número de suscriptores facturados promedio en el año base para cada servicio público domiciliario. En el caso de facturación mensual, corresponde al promedio de los doce meses del año base. En el caso de facturación bimestral, corresponde al promedio de los seis bimestres del año base. | |
| Costos operativos comparables eficientes estándar por suscriptor mensual (pesos/suscriptor/mes) para cada servicio público domiciliario, según lo definido en el Artículo 33 de la presente resolución. |
PARÁGRAFO. Para el cálculo de los costos operativos comparables eficientes por suscriptor mensual del año 1
la persona prestadora deberá tomar como costo operativo comparable eficiente por suscriptor mensual del año anterior
el costo operativo comparable por suscriptor mensual del año base
.
ARTÍCULO 33. COSTOS OPERATIVOS COMPARABLES EFICIENTES ESTÁNDAR POR SUSCRIPTOR MENSUAL.
. <Artículo integrado y unificado en el artículo 2.1.2.1.4.2.5 de la Resolución CRA 943 de 2021. Debe tenerse en cuenta lo dispuesto por el artículo 2.3.6.3.3.12 del Decreto 1077 de 2015> Los costos operativos comparables eficientes estándar por suscriptor mensual se determinan según el segmento que corresponda, así:
Primer segmento:
![]()
Donde:
| Costos operativos comparables eficientes estándar por suscriptor mensual (pesos/suscriptor/mes) para cada servicio público domiciliario. | |
Costos operativos comparables por suscriptor mensual base (pesos/suscriptor/mes) para cada servicio público domiciliario. ![]() | |
| Costos operativos comparables base (pesos de diciembre del año base) para cada servicio público domiciliario. Corresponden al promedio de los costos operativos comparables del año base y los del año inmediatamente anterior, calculados según los criterios definidos en el Artículo 34 de la presente resolución. | |
| Número de suscriptores facturados promedio base para cada servicio público domiciliario. Corresponde al promedio de suscriptores del año base y los del año inmediatamente anterior. Para calcular el promedio de cada año se deberá tomar el promedio de los doce meses del año. En el caso de facturación bimestral se tomará el promedio de los seis bimestres del año. | |
| Puntaje de eficiencia (%), en costos operativos comparables resultante de la aplicación del modelo de eficiencia comparativa con la metodología de Análisis Envolvente de Datos (DEA), que se encuentra establecido en el ANEXO II de la presente resolución. | |
| Porcentaje de particularidades no captadas en el modelo DEA, según lo establecido en el ANEXO II de la presente resolución. |
Segundo segmento:
Los costos operativos comparables eficientes estándar por suscriptor mensual del segundo segmento para cada servicio público domiciliario son:
<Tabla actualizada por el artículo 13 de la Resolución 735 de 2015. El nuevo texto es el siguiente:>
Costos operativos comparables eficientes estándar por suscriptor mensual para el segundo segmento (pesos de diciembre de 2014)
| COU*ac | $10.654 suscriptor/mes |
| COU*al | $4.154 suscriptor/mes |
PARÁGRAFO 1. Las personas prestadoras del primer segmento que presten los servicios públicos domiciliarios de acueducto y alcantarillado por separado y que tengan en común por lo menos el 60% de sus suscriptores, se unirán para efectos de calcular el puntaje de eficiencia comparativa
simulando una empresa prestadora de los dos servicios mediante el siguiente tratamiento:
a. Se sumarán los costos operativos comparables de cada prestador para generar la variable insumo del modelo DEA.
b. Al insumo de costos operativos comparables del modelo DEA se le asociarán los productos de cada prestador definidos en el ANEXO II de la presente resolución, según corresponda, de tal forma que se constituya una unidad completa para incorporar al modelo.
c. El puntaje resultante de la empresa simulada se asignará a los respectivos
de cada prestador.
PARÁGRAFO 2. Las personas prestadoras del primer segmento que no cumplan los parámetros mínimos de inclusión al modelo DEA, establecidos en el ANEXO II de la presente resolución, deberán tomar el menor
resultante de las empresas que hagan parte del modelo, hasta tanto cumplan con dichos parámetros.
PARÁGRAFO 3o. <Parágrafo adicionado por el artículo 13 de la Resolución 735 de 2015. El nuevo texto es el siguiente:> Para el cálculo del PDEA la CRA evaluará la información reportada por las personas prestadoras con APS pertenecientes al primer segmento que se encuentran relacionadas en el numeral 8 del Anexo II de la presente resolución. A partir del cumplimiento de los parámetros mínimos para la inclusión en el modelo y la no presentación de datos atípicos en la información reportada en el SUI de cinco (5) o más personas prestadoras se realizará el cálculo del PDEA, las cuales constituirán el grupo básico para el cálculo del PDEA. Si entre una (1) y cuatro (4) personas prestadoras cumplen con los parámetros mínimos para la inclusión en el modelo y no presentan datos atípicos en la información reportada en el SUI, no se aplicará la metodología del DEA. Estas personas prestadoras tendrán un PDEA del 100% y el menor COU* resultante de ellas deberá ser aplicado por las demás personas prestadoras que cuenten con APS en las que apliquen la metodología del primer segmento.
PARÁGRAFO 4o. <Parágrafo adicionado por el artículo 13 de la Resolución 735 de 2015. El nuevo texto es el siguiente:> En el evento que ningún prestador cumpla con los parámetros mínimos y se presenten datos atípicos en la información reportada en el SUI para la inclusión en el modelo, las personas prestadoras con APS del primer segmento y las que opten por aplicar la metodología correspondiente al primer segmento, deberán aplicar los siguientes costos operativos comparables eficientes estándar por suscriptor mensual para cada servicio público domiciliario, en la fórmula del artículo 32 de la presente resolución:
Costos operativos comparables eficientes estándar por suscriptor mensual para el primer segmento (pesos de diciembre de 2014)
| COU*ac | $4.925 suscriptor/mes |
| COU*al | $2.179 suscriptor/mes |
PARÁGRAFO 5o. <Parágrafo adicionado por el artículo 13 de la Resolución 735 de 2015. El nuevo texto es el siguiente:> Aquellas personas prestadoras que atienden APS en las que opten por aplicar la metodología correspondiente al primer segmento, según lo establecido en los parágrafos 3 o 4 del artículo 104 de la presente resolución, y adicionalmente cuenten con APS del primer segmento, deberán aplicar el COU* obtenido por estas últimas.
PARÁGRAFO 6o. <Parágrafo adicionado por el artículo 13 de la Resolución 735 de 2015. El nuevo texto es el siguiente:> El PDEA de costos operativos comparables para aquellas personas prestadoras con APS del segundo segmento, que optaron por aplicar la metodología correspondiente al primero, dando cumplimiento a lo establecido en el parágrafo 3o del artículo 104 de la presente resolución, se calculará de la siguiente manera:
i) Si existe grupo básico y la persona prestadora cumple con los parámetros mínimos establecidos en el Anexo II de la presente resolución y no presenta datos atípicos en la información reportada en el SUI, el PDEA, será estimado e informado por la CRA sin modificar los puntajes de las APS pertenecientes al grupo básico. En el evento de no cumplir con los parámetros mínimos aplicará el menor COU* resultante del grupo básico.
ii) Si no existe grupo básico y entre una (1) y cuatro (4) personas prestadoras cumplieron con los parámetros mínimos para la inclusión en el modelo, deberá aplicar el menor COU* resultante de ellas. Si ninguna persona prestadora cumplió con los parámetros mínimos, entonces aplicará el COU* definido en el parágrafo 4o del presente artículo.
PARÁGRAFO 7o. <Parágrafo adicionado por el artículo 13 de la Resolución 735 de 2015. El nuevo texto es el siguiente:> Las personas prestadoras que cuenten con APS del primer segmento y/o con APS en las que optaron por aplicar la metodología correspondiente al primer segmento, dando cumplimiento a lo establecido en los parágrafos 3o o 4o del artículo 104 de la presente resolución, deberán aplicar el PDEA utilizado para el cálculo de las tarifas de la Resolución CRA número 287 de 2004 en la fórmula del presente artículo, hasta tanto la CRA informe mediante resolución si se aplicó el modelo del DEA, los puntajes definitivos así como la fecha a partir de la cual regirán o si los prestadores deberán aplicar lo establecido en los parágrafos 3o o 4o del presente artículo, según corresponda.
PARÁGRAFO 8o. <Parágrafo adicionado por el artículo 13 de la Resolución 735 de 2015. El nuevo texto es el siguiente:> Una vez la persona prestadora cumpla con los parámetros mínimos y no presente datos atípicos en la información reportada en el SUI para calcular los PDEA, podrá presentar una solicitud particular para modificar los costos operativos comparables eficientes estándar por suscriptor mensual, de conformidad con lo establecido en el artículo 126 de la Ley 142 de 1994, siempre y cuando se haya realizado el cálculo del PDEA.
ARTÍCULO 34. CRITERIOS PARA CALCULAR LOS COSTOS OPERATIVOS COMPARABLES. <Artículo integrado y unificado en el artículo 2.1.2.1.4.2.6 de la Resolución CRA 943 de 2021. Debe tenerse en cuenta lo dispuesto por el artículo 2.3.6.3.3.12 del Decreto 1077 de 2015> Los costos operativos comparables se calculan teniendo en cuenta los siguientes criterios:
a. Deberán incluirse los costos correspondientes a sueldos y salarios del personal de la empresa que realiza labores operativas relacionadas directamente con la prestación de los servicios públicos domiciliarios de acueducto y alcantarillado, tales como sueldos, jornales, horas extras y festivos, personal supernumerario, personal temporal, honorarios, auxilio de transporte, dotación y suministro a trabajadores, salario integral, viáticos y gastos de viaje, así como todos los demás costos relacionados con los pagos a empleados del área operativa. Así mismo, deberán incluirse todos los costos relacionados con los aportes legales a seguridad social, tales como subsidio familiar, aportes a cajas de compensación familiar, cotizaciones de seguridad social en salud y riesgos profesionales, y las correspondientes al régimen de prima media y ahorro individual. Deberán incluirse los costos por prestaciones sociales, tales como cesantías, intereses de cesantías, prima de servicios y vacaciones. Asimismo, deberán incluirse los costos de aportes a parafiscales del personal de la empresa que realiza labores operativas relacionadas directamente con la prestación de los servicios públicos domiciliarios. No se podrán incluir costos relacionados con pensiones de jubilación, indemnizaciones sustitutas, amortización de cálculo actuarial, y amortización y cuotas parte de bonos pensionales. Los costos relacionados en este criterio corresponden a la cuenta 7505 – Servicios personales del PUC establecido por la Superintendencia de Servicios Públicos Domiciliarios mediante Resolución 33635 de 2005.
b. Deberán incluirse todos los costos generales relacionados con el funcionamiento y con la prestación del servicio. En todo caso, no se podrán incluir costos relacionados con implementos deportivos, eventos culturales, sostenimiento de semovientes y relaciones públicas. Los costos relacionados en este criterio corresponden a la cuenta 7510 – Generales del PUC.
c. <Literal modificado por el artículo 14 de la Resolución 735 de 2015. El nuevo texto es el siguiente:> Sólo podrán incluirse los costos relacionados con los pagos por contribuciones a Comités de Estratificación, que corresponden a la cuenta 753513 - Licencias, contribuciones y regalías del PUC.
d. Deberán incluirse los costos de insumos directos, excluyendo los costos de productos químicos y energía eléctrica. Los costos relacionados en este criterio corresponden a la cuenta 7537 – Consumo de insumos directos del PUC.
e. Deberán incluirse los costos por mantenimientos y reparaciones de maquinaria y equipo afecto a la prestación del servicio, equipo de oficina, computación y comunicación, equipo de transporte, tracción y elevación, terrenos, redes líneas y ductos, plantas, construcciones y edificaciones, elementos y accesorios de acueducto y alcantarillado. Los costos relacionados en este criterio corresponden a la cuenta 7540 – Órdenes y contratos de mantenimiento y reparaciones del PUC.
f. Deberán incluirse los costos por contratos operativos que realice la persona prestadora para desarrollar actividades operativas relacionadas directamente con la prestación de los servicios públicos domiciliarios, tales como avalúos, asesoría técnica, diseños y estudios, entre otros. Se deberán excluir aquellos relacionados con proyectos de inversión, los cuales deberán incluirse en el CMI como un mayor valor de dicha inversión. Los costos relacionados en este criterio corresponden a la cuenta 7542 – Honorarios del PUC.
g. Deberán incluirse los costos generales de operación relacionados con la prestación del servicio, tales como materiales y servicios públicos, excluyendo el costo del servicio público de energía eléctrica. Los costos relacionados en este criterio corresponden a la cuenta 7545 – Servicios públicos y 7550 – Materiales y otros costos de operación del PUC.
h. Deberán incluirse los costos de los seguros requeridos para garantizar la operación, tales como cumplimiento, corriente débil, incendio, terremoto, sustracción y hurto, flota y equipo de transporte, responsabilidad civil y extracontractual, terrorismo, vida colectiva, entre otros. Se deberá excluir el seguro de manejo. Los costos relacionados en este criterio corresponden a la cuenta 7560 – Seguros del PUC.
i. Deberán incluirse los costos de órdenes y contratos de aseo, vigilancia, seguridad y cafetería, suministros y servicios informáticos, servicios de instalación y desinstalación, administración de infraestructura informática y ventas de derecho por Comisión. No se podrán incluir los gastos comerciales tales como toma de lecturas y entrega de facturas que se reconocen en los costos administrativos. Los costos relacionados en este criterio corresponden a la cuenta 7570 – Órdenes y contratos por otros servicios del PUC.
j. Deberán incluirse las amortizaciones de propiedades, planta y equipo, como las de vías de comunicación y acceso internas. Se deberá excluir la de semovientes. Los costos relacionados en este criterio corresponden a la cuenta 5340 – Amortización de propiedades, planta y equipo del PUC.
k. <Literal modificado por el artículo 14 de la Resolución 735 de 2015. El nuevo texto es el siguiente:> Deberán incluir la remuneración de los activos operativos de propiedad de la persona prestadora, la cual se calculará con la siguiente fórmula:
![]()
Donde:
| RACTOPER: | Remuneración de los activos operativos de propiedad de la persona prestadora. |
| dOPER: | Depreciación anual de los activos operativos. Deberá incluirse la depreciación de activos operativos tales como edificaciones, muebles, enseres y equipo de oficina, equipo de comunicación y computación, equipos de transporte, tracción y elevación, equipo de comedor, cocina y hotelería y bienes adquiridos en leasing financiero, entre otras. Se deberán excluir las depreciaciones de los activos que se encuentren incluidos en el CMA o en el CMI. Los costos relacionados en este criterio corresponden a la cuenta 7515 – Depreciaciones del PUC. |
| FRC: | Factor de recuperación del capital, el cual corresponderá: |
Para el primer segmento: 27,93%
Para el segundo segmento: 28,27%
l. <Literal adicionado por el artículo 14 de la Resolución 735 de 2015. El nuevo texto es el siguiente:> Deberán incluirse los costos de arrendamiento de los activos operativos afectos a la prestación del servicio que no sean de propiedad de la persona prestadora tales como terrenos, construcciones y edificaciones, maquinaria y equipo, equipo de oficina, equipo de computación y comunicación, equipo científico, flota y equipo de transporte y otros activos operativos. Se deberán excluir los arrendamientos de los activos que se encuentren incluidos en el CMA o en el CMI. Los costos relacionados en este criterio corresponden a la cuenta 7517 – Arrendamientos del PUC.
PARÁGRAFO 1. No se podrán incluir dentro del costo operativo comparable, aquellos costos que no guarden relación directa con la prestación de los servicios públicos domiciliarios de acueducto y alcantarillado, o aquellos que explícitamente se excluyan por disposición de esta resolución.
PARÁGRAFO 2. Se deberán excluir todos los gastos que correspondan a gastos de actividades con ingreso asociado, tales como suministro de medidores, acometidas, conexiones, reconexiones, entre otros.
PARÁGRAFO 3. Se deben excluir, para efectos del cálculo del costo operativo comparable, aquellos costos relacionados con proyectos de inversión, los cuales se incluirán en el Costo Medio de Inversión (CMI). Así mismo, deberán excluirse todos los costos operativos incluidos en el costo de operación particular.
PARÁGRAFO 4. Se deben excluir, para efectos del cálculo del costo operativo comparable, los costos operativos asociados al tratamiento de aguas residuales, los cuales se incluirán en el Costo de Tratamiento de Aguas Residuales (CTR) definido en el Artículo 40 de la presente resolución.
PARÁGRAFO 5. Las personas prestadoras beneficiarias en los contratos de suministro de agua potable y/o interconexión de acueducto y alcantarillado, deberán incluir el valor correspondiente al costo operativo comparable indicado por el proveedor
el cual se calcula con base en la siguiente fórmula:
![]()
Donde:
| Pagos por concepto de contratos de suministro de agua potable y/o contratos de interconexión correspondiente al costo operativo comparable. | |
| Pago total por concepto de contratos de suministro de agua potable y/o contratos de interconexión. | |
| Porcentaje de costos operativos comparables reportado por el proveedor de acuerdo con lo establecido en el Artículo 57 de la presente resolución. |
PARÁGRAFO 6. Las personas prestadoras proveedoras en los contratos de suministro de agua potable y/o interconexión de acueducto y alcantarillado, deberán descontar el valor correspondiente a costos operativos comparables por dichos contratos, pactados con base en lo establecido en la Resolución CRA 608 de 2012 o aquella que la modifique, adicione o derogue.
PARÁGRAFO 7. Las personas prestadoras que cuenten con diferentes sistemas de acueducto y alcantarillado no interconectados, deberán desagregar la información para que la metodología sea aplicada de forma independiente.
PARÁGRAFO 8. <Parágrafo adicionado por el artículo 14 de la Resolución 735 de 2015. El nuevo texto es el siguiente:> Las personas prestadoras podrán utilizar el criterio que consideren más idóneo para separar los costos operativos comparables por APS. En todo caso, la sumatoria de los costos operativos comparables por APS deberá corresponder a la totalidad de los costos antes de la separación.
ARTÍCULO 35. COSTOS OPERATIVOS PARTICULARES (CP). <Artículo integrado y unificado en el artículo 2.1.2.1.4.2.7 de la Resolución CRA 943 de 2021. Debe tenerse en cuenta lo dispuesto por el artículo 2.3.6.3.3.12 del Decreto 1077 de 2015> Los costos operativos particulares se determinan, de acuerdo con la siguiente fórmula:
Para el servicio público domiciliario de acueducto,
![]()
Para el servicio público domiciliario de alcantarillado,
![]()
Donde:
| Costos operativos particulares del año i (pesos de diciembre del año base) para cada servicio público domiciliario. | |
| Costo de energía eléctrica consumida en procesos operativos del año i (pesos de diciembre del año base) para cada servicio público domiciliario, según lo definido en el Artículo 36 y en el Artículo 37 de la presente resolución. | |
| Costo de insumos químicos para potabilización del año i (pesos de diciembre del año base), según lo definido en el Artículo 39 de la presente resolución. | |
| Costo de tratamiento de aguas residuales del año i (pesos de diciembre del año base), según lo definido en el Artículo 40 de la presente resolución. |
PARÁGRAFO 1. Las personas prestadoras beneficiarias en los contratos de suministro de agua potable y/o interconexión de acueducto y alcantarillado deberán aplicar la siguiente fórmula:
Para el servicio público domiciliario de acueducto:
![]()
Para el servicio público domiciliario de alcantarillado:
![]()
Donde:
| Pago total por concepto de contratos de suministro de agua potable y/o contratos de interconexión del año i (pesos de diciembre del año base), de acuerdo con lo establecido en el Artículo 56 de la presente resolución. | |
| Porcentaje de costos operativos particulares reportado por el proveedor de acuerdo con lo establecido en el Artículo 57 de la presente resolución. |
PARÁGRAFO 2. Las personas prestadoras proveedoras en los contratos de suministro de agua potable y/o interconexión de acueducto y alcantarillado deberán descontar el valor correspondiente a costos operativos particulares por dichos contratos, pactados con base en lo establecido en la Resolución CRA 608 de 2012 o aquella que la modifique, adicione o derogue.
PARÁGRAFO 3. <Parágrafo modificado por el artículo 10 de la Resolución 864 de 2018. El nuevo texto es el siguiente:> Cuando un nuevo activo genere costos operativos particulares no incluidos en el cálculo de las tarifas, la inclusión de dichos costos, se efectuará de conformidad con los artículos 36, 37, 38, 39, 40 y 41 de la presente resolución, para lo cual se podrá realizar una proyección de dichos costos, en los casos en que no se cuente con información histórica, sin modificar la información de las variables asociadas a la demanda, incluidas en el estudio de costos del prestador.
Cuando se trate de la entrada en operación de una Planta de Tratamiento de Aguas Residuales (PTAR), para la inclusión de los costos operativos particulares deberá contar con la certificación de la Autoridad Ambiental correspondiente, respecto del caudal a tratar o el nivel de eficiencia de remoción de carga contaminante en cualquiera de sus componentes.
Estos costos podrán ser incluidos en el Costo Medio de Operación a partir del momento en que el activo entre en operación, para lo cual se deberán deflactar a precios del año base, e indexar a pesos del mes de aplicación del costo de referencia ajustado. Lo anterior, sin perjuicio del cumplimiento de las disposiciones contenidas en la sección 5.1.1 de la Resolución CRA 151 de 2001 o la norma que la modifique, adicione o derogue en relación con el reporte de las variaciones tarifarias. Adicionalmente, la persona prestadora deberá remitir a la Superintendencia de Servicios Públicos Domiciliarios los soportes de cálculo.
PARÁGRAFO 4. <Parágrafo modificado por el artículo 11 de la Resolución 864 de 2018. El nuevo texto es el siguiente:> Cada vez que, en un periodo de doce (12) meses continuos, correspondiente al año tarifario i, se acumule un aumento o disminución de mínimo el 5% en pesos constantes en alguno de los costos operativos unitarios particulares de energía eléctrica y/o insumos químicos, estos deberán ser ajustados por la persona prestadora.
Lo anterior, sin perjuicio del cumplimiento de las disposiciones contenidas en la sección 5.1.1 de la Resolución CRA 151 de 2001 o la norma que la modifique, adicione o derogue en relación con el reporte de las variaciones tarifarias. Adicionalmente, la persona prestadora deberá remitir a la Superintendencia de Servicios Públicos Domiciliarios los soportes que generaron tales variaciones.
ARTÍCULO 36. COSTO DE ENERGÍA ELÉCTRICA CONSUMIDA PARA EL SERVICIO PÚBLICO DOMICILIARIO DE ACUEDUCTO (CEI,AC).
. <Artículo integrado y unificado en el artículo 2.1.2.1.4.2.8 de la Resolución CRA 943 de 2021. Debe tenerse en cuenta lo dispuesto por el artículo 2.3.6.3.3.12 del Decreto 1077 de 2015> El costo de energía eléctrica consumida para el servicio público domiciliario de acueducto se determina de acuerdo con la siguiente fórmula:
![]()
Donde:
| Costo de energía eléctrica consumida en procesos operativos del año i (pesos de diciembre del año base) para el servicio público domiciliario de acueducto. | |
| Costo de energía eléctrica asociado al proceso de producción del año i (pesos de diciembre del año base) para el servicio público domiciliario de acueducto. | |
| Agua producida en el año i (m3/año). | |
| Índice de agua suministrada por suscriptor facturado en el año i (m3/suscriptor/mes), según lo definido en el Artículo 14 de la presente resolución. | |
| Volumen entregado por contratos de suministro de agua potable en el año i (m3/año). | |
| Volumen recibido por contratos de suministro de agua potable en el año i (m3/año). | |
Costo unitario particular de energía eléctrica asociado al proceso de producción (pesos de diciembre del año base/m3). ![]() | |
| Costo de energía eléctrica asociado al proceso de producción del año base (pesos de diciembre del año base) para el servicio público domiciliario de acueducto, según lo definido en el Artículo 38 de la presente resolución. | |
| Agua producida en el año base (m3/año). | |
| Costo de energía eléctrica asociado al proceso de distribución del año i (pesos de diciembre del año base) para el servicio público domiciliario de acueducto. | |
| Agua potable suministrada en el año i (m3/año). | |
Costo unitario particular de energía eléctrica asociado al proceso de distribución (pesos de diciembre del año base/m3). ![]() | |
| Costo de energía eléctrica asociado al proceso de distribución del año base (pesos de diciembre del año base) para el servicio público domiciliario de acueducto, definido en el Artículo 38 de la presente resolución. | |
| Agua potable suministrada en el año base (m3/año). | |
ARTÍCULO 37. COSTO DE ENERGÍA ELÉCTRICA CONSUMIDA PARA EL SERVICIO PÚBLICO DOMICILIARIO DE ALCANTARILLADO.
. <Artículo integrado y unificado en el artículo 2.1.2.1.4.2.9 de la Resolución CRA 943 de 2021. Debe tenerse en cuenta lo dispuesto por el artículo 2.3.6.3.3.12 del Decreto 1077 de 2015> El costo de energía eléctrica consumida para el servicio público domiciliario de alcantarillado se determina de acuerdo con la siguiente fórmula:
![]()
Donde:
| Costo de energía eléctrica consumida en procesos operativos del año i (pesos de diciembre del año base) para el servicio público domiciliario de alcantarillado. | |
| Consumo de agua facturada del servicio público domiciliario de alcantarillado en el año i (m3/año). | |
| Índice de consumo de agua facturada por suscriptor del servicio público domiciliario de alcantarillado en el año i (m3/suscriptor/mes), según lo definido en el Artículo 15 de la presente resolución. | |
Costo unitario particular de energía eléctrica consumida en alcantarillado (pesos de diciembre del año base/m3). ![]() | |
| Costo de energía eléctrica consumida en el año base (pesos de diciembre del año base) para el servicio público domiciliario de alcantarillado, definido en el Artículo 38 de la presente resolución. | |
| Consumo de agua facturada del servicio público domiciliario de alcantarillado en el año base (m3/año). |
ARTÍCULO 38. COSTO DE ENERGÍA ELÉCTRICA CONSUMIDA EN EL AÑO BASE.
. <Artículo integrado y unificado en el artículo 2.1.2.1.4.2.10 de la Resolución CRA 943 de 2021. Debe tenerse en cuenta lo dispuesto por el artículo 2.3.6.3.3.12 del Decreto 1077 de 2015> Corresponde al costo de energía eléctrica consumida en el año base, expresado en pesos de diciembre del año base, determinado así:

![]()

Donde:
| Costo eficiente de energía eléctrica consumida del año base (pesos de diciembre del año base) para cada servicio público domiciliario. | |
| Consumo eficiente de energía eléctrica utilizada en bombeos en el punto j de toma (kWh/año). | |
| Consumo de energía eléctrica utilizada en procesos operativos diferentes al bombeo, en el punto k de toma (kWh/año). | |
| Consumo real de energía eléctrica utilizada en bombeo en el punto de toma j (kWh/año). | |
| Precio eficiente de la energía eléctrica en el punto de toma j del sistema de bombeo j, correspondiente a la alternativa de mínimo costo, de acuerdo con lo establecido en el parágrafo 2 del presente artículo (pesos de diciembre del año base/kWh). | |
| Precio eficiente de la energía eléctrica en el punto de toma k a partir del cual se obtiene la energía eléctrica consumida en procesos operativos diferentes al bombeo (pesos de diciembre del año base/kWh). | |
| Factor de energía eléctrica de cada punto de toma j de bombeo (kN/m3). | |
| Volumen bombeado en cada punto de toma j (m3/año). | |
| Altura dinámica total del sistema de bombeo conectado al punto de toma j (m). | |
| n: | Número de puntos de toma a los que se conectan los sistemas de bombeo de la persona prestadora. |
| m: | Número de puntos de toma para obtener la energía eléctrica consumida en procesos operativos diferentes al bombeo. |
| Eficiencia mínima de bombeo de 60%. | |
| j: | Peso unitario del fluido bombeado, en el punto de toma j del sistema (kN/m3). Máximo 10,5 para aguas residuales y combinadas. |
PARÁGRAFO 1. Toda la energía eléctrica consumida por la persona prestadora en procesos operativos se considera costo particular.
PARÁGRAFO 2. La contratación del suministro de energía eléctrica se deberá hacer según los procedimientos establecidos por la ley. En todo caso, la persona prestadora incorporará los soportes de precios de compra dentro del estudio de costos.
PARÁGRAFO 3. La persona prestadora deberá distribuir, según corresponda, el costo eficiente de energía consumida del año base para el servicio público domiciliario de acueducto
entre el valor correspondiente al costo de energía eléctrica asociado al proceso de producción
y al costo de energía asociado al proceso de distribución
.
PARÁGRAFO 4. Se debe excluir, para efectos del cálculo del costo de energía eléctrica consumida en el año base del servicio público domiciliario de alcantarillado
, el costo de energía eléctrica asociada al tratamiento de aguas residuales, el cual se incluye en el Costo de Tratamiento de Aguas Residuales
definido en el Artículo 40 de la presente resolución.
ARTÍCULO 39. COSTO DE INSUMOS QUÍMICOS PARA POTABILIZACIÓN.
. <Artículo integrado y unificado en el artículo 2.1.2.1.4.2.11 de la Resolución CRA 943 de 2021. Debe tenerse en cuenta lo dispuesto por el artículo 2.3.6.3.3.12 del Decreto 1077 de 2015> El costo de insumos químicos para potabilización se determina de acuerdo con la siguiente fórmula:
![]()
Donde:
| Costo de insumos químicos para potabilización del año i (pesos de diciembre del año base). | |
| Costo unitario particular de insumos químicos (pesos de diciembre del año base/m3). | |
| Costos de insumos químicos para potabilización en el año base (pesos de diciembre del año base). Corresponde al costo de insumos químicos teniendo en cuenta las cantidades y precios eficientes de estos para potabilización. La persona prestadora deberá incorporar en sus estudios de costos los análisis de dosificaciones óptimas y el soporte del precio de compra de estos. | |
| Agua producida en el año base (m3/año). | |
| Agua producida en el año i (m3/año). | |
| Índice de agua suministrada por suscriptor facturado en el año i (m3/suscriptor/mes), según lo definido en el Artículo 14 de la presente resolución. | |
| Volumen entregado por contratos de suministro de agua potable en el año i (m3/año). | |
| Volumen recibido por contratos de suministro de agua potable en el año i (m3/año). |
ARTÍCULO 40. COSTO DE TRATAMIENTO DE AGUAS RESIDUALES.
. <Artículo integrado y unificado en el artículo 2.1.2.1.4.2.12 de la Resolución CRA 943 de 2021. Debe tenerse en cuenta lo dispuesto por el artículo 2.3.6.3.3.12 del Decreto 1077 de 2015> El costo de tratamiento de aguas residuales se determina de acuerdo con la siguiente fórmula:
![]()
Donde:
| Costo de tratamiento de aguas residuales del año i (pesos de diciembre del año base). | |
| Costo unitario particular de tratamiento de aguas residuales (pesos de diciembre del año base/m3). | |
| Costo de tratamiento de aguas residuales base (pesos de diciembre del año base), según lo definido en el Artículo 41 de la presente resolución. | |
| Consumo de agua facturada del servicio público domiciliario de alcantarillado base, calculado mediante el promedio del año base y del año inmediatamente anterior (m3/año). | |
| Consumo de agua facturada del servicio público domiciliario de alcantarillado en el año i (m3/año). |
ARTÍCULO 41. COSTO DE TRATAMIENTO DE AGUAS RESIDUALES BASE.
. <Artículo integrado y unificado en el artículo 2.1.2.1.4.2.13 de la Resolución CRA 943 de 2021. Debe tenerse en cuenta lo dispuesto por el artículo 2.3.6.3.3.12 del Decreto 1077 de 2015> El costo de tratamiento de aguas residuales base corresponde al promedio de los costos operativos asociados al tratamiento de aguas residuales del año base y del año inmediatamente anterior, expresado en pesos de diciembre del año base. Dichos costos operativos se relacionan con los siguientes aspectos:
a) Costos de energía eléctrica.
b) Costos de insumos químicos.
c) Costos de servicios personales.
d) Otros costos de operación y mantenimiento.
PARÁGRAFO 1. La persona prestadora deberá estimar cantidades y precios eficientes de energía eléctrica e insumos químicos, para lo cual incorporará en su estudio de costos los estudios de dosificaciones óptimas y los soportes de precios de compra de energía eléctrica de acuerdo con lo establecido en el Artículo 38 de la presente resolución. En este mismo sentido, la persona prestadora deberá soportar en su estudio de costos el precio de compra de los insumos químicos.
PARÁGRAFO 2. La persona prestadora deberá sustentar, en su estudio de costos, la cantidad e idoneidad de la planta de personal, así como su remuneración.
PARÁGRAFO 3. La persona prestadora deberá soportar los otros costos de operación y mantenimiento de tal manera que sean eficientes de acuerdo con las características propias del subsistema de tratamiento de aguas residuales.
PARÁGRAFO 4. <Parágrafo modificado por el artículo 13 de la Resolución 864 de 2018. El nuevo texto es el siguiente:> Cada vez que, en un periodo de doce (12) meses continuos correspondiente al año tarifario i, se acumule un aumento o disminución de mínimo 5%, en pesos constantes, en el Costo de Tratamiento de Aguas Residuales (CTR), este deberá ser ajustado por la persona prestadora.
Lo anterior, sin perjuicio del cumplimiento de las disposiciones contenidas en la sección 5.1.1 de la Resolución CRA 151 de 2001 o la norma que la modifique, adicione o derogue en relación con el reporte de las variaciones tarifarias. Adicionalmente, la persona prestadora deberá remitir a la Superintendencia de Servicios Públicos Domiciliarios los soportes que generaron tales variaciones.
ARTÍCULO 42. COSTOS DE IMPUESTOS Y TASAS OPERATIVOS.
. <Artículo integrado y unificado en el artículo 2.1.2.1.4.2.14 de la Resolución CRA 943 de 2021. Debe tenerse en cuenta lo dispuesto por el artículo 2.3.6.3.3.12 del Decreto 1077 de 2015> La persona prestadora deberá proyectar el costo de impuestos, contribuciones y tasas para cinco (5) años, en el APS de cada uno de los municipios que atiende, tomando como referencia para esta proyección el promedio del año base y del año inmediatamente anterior del ITO para cada servicio. Para esto, deberá incluir únicamente los impuestos operativos relacionados directamente con la prestación de los servicios públicos domiciliarios de acueducto y alcantarillado, como timbres, registro, el gravamen a los movimientos financieros, impuesto de vehículos (operativos), peajes (operativos) y otros impuestos pagados en la operación del servicio.
PARÁGRAFO. <Ver modificaciones temporales en Notas de Vigencia> Los aumentos o disminuciones en impuestos, tasas y contribuciones que no son captados al momento de la proyección del ITO, podrán ser ajustados por la persona prestadora. Para el efecto, deberá cumplir con las disposiciones contenidas en la sección 5.1.1 de la Resolución CRA 151 de 2001, o la norma que la modifique, adicione o derogue, en relación con el reporte de las variaciones tarifarias, y adicionalmente, remitir a la Comisión de Regulación de Agua Potable y Saneamiento Básico y a la Superintendencia de Servicios Públicos Domiciliarios el acto administrativo o ley que haya generado el mayor o menor valor referido en el presente parágrafo.
DEL COSTO MEDIO DE INVERSIÓN.
ARTÍCULO 43. COSTO MEDIO DE INVERSIÓN (CMI). <Artículo integrado y unificado en el artículo 2.1.2.1.4.3.1 de la Resolución CRA 943 de 2021. Debe tenerse en cuenta lo dispuesto por el artículo 2.3.6.3.3.12 del Decreto 1077 de 2015> El Costo Medio de Inversión de los servicios públicos domiciliarios de acueducto y alcantarillado, en el APS de cada uno de los municipios que atiende la persona prestadora, se determina de acuerdo con la siguiente fórmula:
![]()
Donde:
| Costo medio de inversión (pesos de diciembre del año base/m3) para cada servicio público domiciliario. | |
| Costo de inversión del año i (pesos de diciembre del año base) para cada servicio público domiciliario, definido en el Artículo 44 de la presente resolución. | |
| Consumo corregido por pérdidas del año i (m3) para cada servicio público domiciliario, según lo definido en el Artículo 19 de la presente resolución. | |
| Implica la aplicación de la función de valor presente, descontando los valores incluidos en el periodo de análisis, utilizando para ello la tasa de descuento (r) definida en el Artículo 20 de la presente resolución, así: |

Es cada uno de los años que hacen parte del período de análisis. Corresponde a un valor entre uno (1) y diez (10).
ARTÍCULO 44. COSTO DE INVERSIÓN DEL AÑO i.
. <Artículo integrado y unificado en el artículo 2.1.2.1.4.3.2 de la Resolución CRA 943 de 2021. Debe tenerse en cuenta lo dispuesto por el artículo 2.3.6.3.3.12 del Decreto 1077 de 2015> El costo de las inversiones del año i para los servicios públicos domiciliarios de acueducto y alcantarillado se calcula de acuerdo con la siguiente fórmula:
![]()
Donde:
| Costo de inversión del año i (pesos de diciembre del año base) para cada servicio público domiciliario. | |
| Depreciación del año i (pesos de diciembre del año base) para cada servicio público domiciliario, calculada según lo definido en el Artículo 48 de la presente resolución. | |
| Tasa de descuento según lo establecido en el Artículo 20 de la presente resolución. | |
| Base de capital regulada del año anterior (pesos de diciembre del año base) para cada servicio público domiciliario, definida en el Artículo 45 de la presente resolución. |
PARÁGRAFO 1. La remuneración de los activos relacionados con la prestación de los servicios públicos domiciliarios de acueducto y alcantarillado se realiza únicamente a través de su inclusión en la BCR.
PARÁGRAFO 2. Las personas prestadoras beneficiarias en los contratos de suministro de agua potable y/o interconexión de acueducto y alcantarillado deberán aplicar la siguiente fórmula:
![]()
Donde:
| Pago total por concepto de contratos de suministro de agua potable y/o contratos de interconexión del año i (pesos de diciembre del año base), de acuerdo con el Artículo 56 de la presente resolución. | |
| Porcentaje de costos de inversión reportado por el proveedor de acuerdo con el Artículo 57 de la presente resolución. |
PARÁGRAFO 3. Las personas prestadoras proveedoras en los contratos de suministro de agua potable y/o interconexión de acueducto y alcantarillado, deberán descontar el valor correspondiente a costos de inversión por dichos contratos, pactados con base en lo establecido en la Resolución CRA 608 de 2012 o aquella que la modifique, adicione o derogue.
ARTÍCULO 45. BASE DE CAPITAL REGULADA DEL AÑO i.
. <Artículo integrado y unificado en el artículo 2.1.2.1.4.3.3 de la Resolución CRA 943 de 2021. Debe tenerse en cuenta lo dispuesto por el artículo 2.3.6.3.3.12 del Decreto 1077 de 2015> La base de capital regulada del año i para los servicios públicos domiciliarios de acueducto y alcantarillado se determina de acuerdo con la siguiente fórmula:

![]()
![]()
Donde:
| Base de capital regulada del año i (pesos de diciembre del año base) para cada servicio público domiciliario. | |
| Valor del activo j al año i (pesos de diciembre del año base) para cada servicio público domiciliario. El valor del activo j para el año 0, corresponderá al valor de los activos incluidos en la Base de Capital Regulada del Año Base | |
| Plan de obras e inversiones regulado del activo j del año i (pesos de diciembre del año base) para cada servicio público domiciliario, según lo definido en el Artículo 50 de la presente resolución. | |
| Depreciación acumulada del activo j al año i (pesos de diciembre del año base) para cada servicio público domiciliario. | |
| Depreciación del activo j en el año i (pesos de diciembre del año base) para cada servicio público domiciliario, según lo definido en el Artículo 48 de la presente resolución. | |
| Cada uno de los activos que hace parte de la BCR. Incluye los activos del VA así como los activos del POIR. |
PARÁGRAFO 1. La BCR corresponde al valor de los activos afectos a la prestación del servicio, netos de depreciaciones y bajas. Los activos que se pueden incluir serán aquellos que permitan lograr los estándares de los servicios públicos domiciliarios de acueducto y alcantarillado en cobertura, continuidad y calidad.
PARÁGRAFO 2. Los activos que se incluyen en la BCR son clasificados de acuerdo con la agrupación de activos definida en el Artículo 49 de la presente resolución.
PARÁGRAFO 3. Los terrenos serán incluidos en la BCR por su valor de adquisición, y sobre ellos únicamente se reconocerá su rentabilidad.
PARÁGRAFO 4. No se podrán incluir en la BCR los activos relacionados con actividades no operativas, entendidas estas como todas aquellas que no guarden relación directa con la prestación de los servicios públicos domiciliarios de acueducto y alcantarillado o aquellas que explícitamente se excluyan por disposición de esta resolución.
PARÁGRAFO 5. Para el caso de proyectos multipropósito, es decir, que benefician a varios sectores, solamente se podrán incluir los activos que tengan relación directa con la prestación de los servicios públicos domiciliarios de acueducto y alcantarillado, y en la parte proporcional de la inversión de aquellos activos que sean de uso común. Los costos en que incurra la persona prestadora para la ejecución de los proyectos de inversión nuevos que utilicen esta modalidad y que se transfieran a los servicios públicos domiciliarios de acueducto y alcantarillado, en ningún caso podrán exceder la alternativa de mínimo costo del proyecto individual del sector de agua potable o alcantarillado. En tal evento, la Superintendencia de Servicios Públicos Domiciliarios podrá requerir los criterios y el detalle de los análisis de costos del proyecto multipropósito realizados por la persona prestadora.
PARÁGRAFO 6. Solo se permitirá la recuperación de las inversiones ambientales en los casos que determine la ley, esto es, en aquellos casos que sea responsabilidad de la persona prestadora de los servicios públicos domiciliarios de acueducto y alcantarillado y que no corresponda a la competencia de otra entidad. De igual forma, se permitirá la recuperación de las inversiones que sean responsabilidad de la persona prestadora por decisiones o mandatos de las autoridades judiciales. En todo caso, deberá quedar a disposición de la Superintendencia de Servicios Públicos Domiciliarios el acto administrativo con el que la autoridad competente ordena dichas inversiones.
PARÁGRAFO 7. Todo proyecto de inversión podrá incluir las consideraciones asociadas a la gestión del riesgo. Para lo anterior, la persona prestadora de los servicios públicos domiciliarios de acueducto y alcantarillado deberá formular sus planes de gestión del riesgo de desastres de acuerdo con la normativa vigente y lo que establezca el Ministerio de Vivienda, Ciudad y Territorio sobre el tema. En todo caso, deberá contar por lo menos con los estudios de conocimiento del riesgo, donde se determinen las amenazas y vulnerabilidades que conforman los escenarios de riesgo de los sistemas de prestación de los citados servicios.
ARTÍCULO 46. BASE DE CAPITAL REGULADA DEL AÑO BASE.
. <Artículo integrado y unificado en el artículo 2.1.2.1.4.3.4 de la Resolución CRA 943 de 2021. Debe tenerse en cuenta lo dispuesto por el artículo 2.3.6.3.3.12 del Decreto 1077 de 2015> La base de capital regulada del año base para los servicios públicos domiciliarios de acueducto y alcantarillado se define de acuerdo con la siguiente expresión:
<Fórmula modificada por el artículo 15 de la Resolución 735 de 2015. El nuevo texto es el siguiente:>

Donde:
| BCR0,ac/al: | Base de capital regulada del año base estimada al día anterior a la fecha de inicio de la aplicación de la metodología tarifaria (expresada en pesos de diciembre del año 2014) para cada servicio público domiciliario. |
| VI287,z,ac/al: | Valor por cobrar de los activos o los proyectos z construidos con el plan de inversiones de la Resolución CRA número 287 de 2004 (VPIRER) para cada servicio público domiciliario. Para su cálculo se seguirá el procedimiento previsto en el Anexo III de la presente resolución. |
| VIDif287,j,ac/al: | Valor por cobrar del activo j afecto a la prestación del servicio que se encuentra en funcionamiento al día anterior a la fecha de inicio de aplicación de las tarifas resultantes de la presente metodología tarifaria, diferentes al valor de las inversiones ejecutadas a partir de los planes de inversión de la Resolución CRA número 287 de 2004 (VPIRER) para cada servicio público domiciliario. Para su cálculo se seguirá lo dispuesto en el parágrafo 4o del presente artículo. |
| j: | Cada uno de los activos que hace parte de la BCR0 al día anterior a la fecha de inicio de aplicación de las tarifas resultantes de la presente metodología tarifaria, y son diferentes a los ejecutados a partir del plan de inversiones de la Resolución CRA número 287 de 2004 (VPIRER). |
| z: | Cada uno de los activos o proyectos ejecutados por el prestador al día anterior a la fecha de inicio de aplicación de las tarifas resultantes de la presente metodología tarifaria, y son del plan de inversiones de la Resolución CRA número 287 de 2004 (VPIRER). |
| nj: | Número total de activos que hacen parte de la BCR0 al día anterior a la fecha de inicio de aplicación de las tarifas resultantes de la metodología tarifaria, y son diferentes a los ejecutados a partir del plan de inversiones de la Resolución CRA número 287 de 2004 (VPIRER). |
| nz: | Número total de los activos o proyectos ejecutados por el prestador al día anterior a la fecha de inicio de aplicación de las tarifas resultantes de la presente metodología tarifaria, y son del plan de inversiones de la Resolución CRA número 287 de 2004 (VPIRER). |
PARÁGRAFO 1. La base de capital regulada del año base (BCR0) incluye todos los activos en uso afectos a la prestación del servicio, exceptuando los activos aportados bajo la condición de que su valor no se incluya en el cálculo de las tarifas que hayan de cobrarse a los usuarios, conforme lo estipula el artículo 87.9 de la Ley 142 de 1994 modificado por el artículo 143 de la Ley 1151 de 2007 y por el artículo 99 de la Ley 1450 de 2011. En todo caso la persona prestadora deberá identificar dentro de los activos afectos en uso que opera, el valor de los activos aportados bajo condición. También se exceptúan de la BCR0 los activos entregados por urbanizadores y constructores.
PARÁGRAFO 2. En el evento en que existan activos aportados bajo condición, así como activos entregados por urbanizadores y/o constructores, con el fin de garantizar la rehabilitación y reposición de los mismos, la persona prestadora podrá incluir en el POIR su reposición y rehabilitación, teniendo en cuenta las necesidades del servicio o lo pactado en el contrato.
PARÁGRAFO 3. En los contratos que celebre la persona prestadora para el uso y goce de los activos de terceros que se incluyen en la BCR, deberán pactarse claramente las condiciones referentes a la remuneración (rentabilidad del capital invertido y recuperación de capital) del propietario de los activos, así como las condiciones para su rehabilitación y reposición.
PARÁGRAFO 4. <Parágrafo modificado por el artículo 15 de la Resolución 735 de 2015. El nuevo texto es el siguiente:> El valor por cobrar del activo j afecto a la prestación del servicio
, se determinará de acuerdo con uno de los siguientes métodos: i) El valor registrado en los estados financieros, depreciado hasta el día anterior a la fecha de inicio de aplicación de las tarifas resultantes de la presente metodología tarifaria, ajustado por inflación a diciembre de 2014, sin incluir valorizaciones o ii) Con una valoración técnica, realizada según lo establecido en el Anexo IV de la presente resolución y depreciada hasta el día anterior a la fecha de inicio de aplicación de las tarifas resultantes de la presente metodología tarifaria, expresada en pesos de diciembre de 2014, con base en las condiciones de vida útil y método de depreciación utilizados en la vigencia de las tarifas de la Resolución CRA número 287 de 2004. A partir de la fecha de aplicación de las tarifas resultantes de la presente resolución, el cálculo de la rentabilidad se realizará con base en la tasa de descuento, vidas útiles y método de depreciación lineal del presente marco tarifario.
PARÁGRAFO 5. <Parágrafo modificado por el artículo 15 de la Resolución 735 de 2015. El nuevo texto es el siguiente:> Las personas prestadoras que cuenten con una valoración de activos respecto de la cual la Comisión de Regulación de Agua Potable y Saneamiento Básico dispuso su aceptación mediante acto administrativo antes de la entrada en vigencia de las tarifas resultantes de la presente resolución, deberán tomarla para efectos de calcular el valor por cobrar de cada uno de los activos afectos a la prestación del servicio, ajustándola de la siguiente manera:
i. Adicionar el valor de los activos que entraron en operación entre el año base de la valoración y la fecha de inicio de aplicación de las tarifas resultantes de la metodología tarifaria definida en la presente resolución, diferentes de las inversiones ejecutadas con base en los planes de inversiones de la Resolución CRA número 287 de 2004.
ii. Restar las bajas de activos y las depreciaciones hasta el día anterior a la fecha de inicio de aplicación de las tarifas resultantes de la presente metodología tarifaria, tanto de los activos existentes como de los activos incorporados.
iii. Indexar cada uno de los valores de los activos, de acuerdo a la fecha que corresponda, para llevar toda la valoración de activos a pesos de diciembre del año 2014.
PARÁGRAFO 6. <Parágrafo modificado por el artículo 15 de la Resolución 735 de 2015. El nuevo texto es el siguiente:> La BCR deberá ser calculada por APS, por lo anterior las personas prestadoras que atiendan con un mismo sistema interconectado dos o más APS, deberán calcular separadamente la BCR de cada APS incluyendo por una parte, el valor asignado a cada APS de los activos compartidos y por otra parte el valor de los activos no compartidos que le correspondan a cada APS. Para realizar la asignación podrá utilizar el criterio que considere más idóneo o, en su defecto podrá utilizar el número de suscriptores atendidos o el volumen de metros cúbicos facturados en cada APS, entre otros. En todo caso, el criterio utilizado deberá quedar a disposición de la Comisión de Regulación de Agua Potable y Saneamiento Básico y de la Superintendencia de Servicios Públicos Domiciliarios.
PARÁGRAFO 6o. <Parágrafo adicionado por el artículo 15 de la Resolución 735 de 2015. El nuevo texto es el siguiente:> La BCR deberá ser calculada por APS, por lo anterior las personas prestadoras que atiendan con un mismo sistema interconectado dos o más APS, deberán calcular separadamente la BCR de cada APS incluyendo por una parte, el valor asignado a cada APS de los activos compartidos y por otra parte el valor de los activos no compartidos que le correspondan a cada APS. Para realizar la asignación podrá utilizar el criterio que considere más idóneo o, en su defecto podrá utilizar el número de suscriptores atendidos o el volumen de metros cúbicos facturados en cada APS, entre otros. En todo caso, el criterio utilizado deberá quedar a disposición de la Comisión de Regulación de Agua Potable y Saneamiento Básico y de la Superintendencia de Servicios Públicos Domiciliarios.
PARÁGRAFO 7o. <Parágrafo adicionado por el artículo 15 de la Resolución 735 de 2015. El nuevo texto es el siguiente:> En el caso que la persona prestadora hubiese optado por calcular los costos de prestación unificados del sistema interconectado, deberá realizar el cálculo de la BCR de forma unificada teniendo en cuenta que el Plan de Obras e Inversiones Regulado (POIR) deberá proyectarse para cada APS, incluyendo los proyectos que la persona prestadora considera necesario llevar a cabo para disminuir las diferencias frente a los estándares de servicio de cada APS.
PARÁGRAFO 8o. <Parágrafo adicionado por el artículo 15 de la Resolución 735 de 2015. El nuevo texto es el siguiente:> Las personas prestadoras no podrán incluir dentro de la BCR0 los activos incluidos en el CMA y en el CMO.
ARTÍCULO 47. DESCUENTO EN EL CMI DE LOS APORTES BAJO CONDICIÓN. <Artículo integrado y unificado en el artículo 2.1.2.1.4.3.5 de la Resolución CRA 943 de 2021. Debe tenerse en cuenta lo dispuesto por el artículo 2.3.6.3.3.12 del Decreto 1077 de 2015> En el caso que una persona prestadora incluya en el cálculo del componente del CMI, los aportes de que trata el artículo 87.9 de la Ley 142 de 1994, modificado por el artículo 143 de la Ley 1151 de 2007 y por el artículo 99 de la Ley 1450 de 2011, deberá ajustar el CMI restándole el valor del Aporte Ajustado
, de la siguiente forma:
![]()
Donde:
| VP(CIi, ac/al) : | Valor presente del costo de inversión del año i (pesos de diciembre del año base) para cada servicio público domiciliario, definido en el ARTICULO 44 de la presente Resolución. |
| Valor presente del valor del aporte bajo condición ajustado, en pesos de diciembre del año base. | |
| Es el valor del aporte bajo condición en pesos de diciembre del año base. | |
| Es el término de ajuste del aporte que se aplicará en los contratos celebrados con posterioridad a la aplicación del estudio de costos, donde el aporte se encuentra dentro de las inversiones programadas. Este término de ajuste será calculado con la siguiente fórmula: |

| Es el valor proyectado del consumo facturado para el año i, de conformidad con el estudio de costos presentado en desarrollo de lo establecido en la presente resolución. | |
| Tasa de descuento según lo establecido en el Artículo 20 de la presente resolución. | |
| k : | Es el año en el que se celebra el contrato o acuerdo del aporte bajo condición. |
| Valor presente del consumo corregido por pérdidas del año i (m3) para cada servicio público domiciliario, según lo definido en el Artículo 19 de la presente resolución. |
PARÁGRAFO. El ajuste al valor del CMI por los aportes bajo condición se establece sin perjuicio de las sanciones a que haya lugar por parte de las entidades de vigilancia y control por la inadecuada aplicación de la metodología tarifaria.
ARTÍCULO 48. DEPRECIACIÓN DEL AÑO i. <Artículo integrado y unificado en el artículo 2.1.2.1.4.3.6 de la Resolución CRA 943 de 2021. Debe tenerse en cuenta lo dispuesto por el artículo 2.3.6.3.3.12 del Decreto 1077 de 2015> <Artículo modificado por el artículo 16 de la Resolución 735 de 2015. El nuevo texto es el siguiente:> La depreciación del año i corresponderá a la suma de todas las depreciaciones anuales de cada uno de los activos que hacen parte de la BCR de cada año i, calculadas con el método de depreciación lineal, de acuerdo con la siguiente fórmula:

Donde:
| di,ac/al: | Depreciación anual de los activos que hacen parte de la Base de Capital Regulada del año i (Expresada en pesos de diciembre del año 2014) para cada servicio público domiciliario. Para el año 1 la depreciación anual de los activos será igual a la depreciación acumulada (DA) del año 1. |
| VAj,ac/al: | Valor del activo j al momento de su inclusión en la BCR para cada servicio público domiciliario (Expresado en pesos de diciembre del año 2014). En caso de activos que se encuentran en operación al día anterior a la fecha de inicio de aplicación de las tarifas resultantes de la presente metodología tarifaria corresponderá al valor incluido en la BCR0. |
| VAz,ac/al: | Valor del activo o proyecto z al momento de su inclusión en la BCR de cada servicio público domiciliario (Expresado en pesos de diciembre del año 2014). En caso de activos o proyectos que se encuentran en operación al día anterior a la fecha de inicio de aplicación de las tarifas resultantes de la presente metodología tarifaria corresponderá al valor incluido en la BCR0. |
| VURj,ac/al: | Vida útil remanente del activo j en años, para cada servicio público domiciliario calculada de acuerdo con la siguiente fórmula: |
![]()
| VUj,ac/al: | Vida útil regulada del activo j definida de acuerdo con lo establecido en el artículo 49 de la presente resolución. |
| TOj,ac/al: | Tiempo de operación del activo j en años, calculado como el tiempo transcurrido en días desde la entrada en operación del activo hasta el inicio de aplicación de las tarifas resultantes de la presente metodología tarifaria, divididos entre 365. Para los activos resultantes del POIR, el valor del tiempo en operación es igual a cero. |
| VURz,ac/al: | Vida útil remanente del activo o proyecto z (en años) para cada servicio público domiciliario calculada de la misma forma en que se calcula la VURz,ac/al: |
PARÁGRAFO 1o. En el caso que la vida útil remanente del activo j sea menor a un (1) año, el valor de la depreciación del año 1, corresponderá al valor del activo o del proyecto.
PARÁGRAFO 2o. En caso que el prestador opte por determinar el VI287,z,ac/al por proyectos, deberá identificar el activo principal que lo conforma. Para calcular la depreciación anual de cada proyecto deberá tomar la vida útil regulada del activo principal, de acuerdo con lo establecido en el artículo 49 de la presente resolución, para determinar el VURz,ac/al. De igual forma el tiempo de operación del proyecto TOz,ac/al será el mismo del activo principal.
ARTÍCULO 49. CLASIFICACIÓN DE ACTIVOS E INVERSIONES POR GRUPO DE ACTIVOS Y ASIGNACIÓN DE SU VIDA ÚTIL REGULADA. <Artículo integrado y unificado en el artículo 2.1.2.1.4.3.7 de la Resolución CRA 943 de 2021. Debe tenerse en cuenta lo dispuesto por el artículo 2.3.6.3.3.12 del Decreto 1077 de 2015> Los activos e inversiones que conforman la BCR para los servicios públicos domiciliarios de acueducto y alcantarillado se clasifican, de acuerdo con los grupos de la tabla que se presenta a continuación y les corresponderá la vida útil que tiene asignado dicho grupo de activos.
ACUEDUCTO
| SUBSISTEMA | ACTIVIDAD | ACTIVO | VIDA ÚTIL (años) |
| Producción de agua potable | Captación | Embalses | 58 |
| Bocatoma Subterránea | 23 | ||
| Bocatoma Superficial | 33 | ||
| Estación de bombeo | 23 | ||
| Macromedición | 23 | ||
| Trasvases | 40 | ||
| Presas | 55 | ||
| Torre de captación | 55 | ||
| Aducción | Tubería flujo libre o presión | 30 | |
| Túneles, viaductos, anclaje | 51 | ||
| Canales abiertos-cerrados | 35 | ||
| Cámara rompe presión | 35 | ||
| Tanque de almacenamiento | 35 | ||
| Pretratamiento | Desarenador, presedimentador | 45 | |
| Aireador | 30 | ||
| Separador grasa-aceite | 40 | ||
| Precolaración | 30 | ||
| Macromedición | 23 | ||
| Tratamiento | Plantas | 40 | |
| Tanques cloro y almacenamiento | 40 | ||
| Laboratorio | 30 | ||
| manejo de lodos y vertimiento | 35 | ||
| Estación de bombeo | 25 | ||
| Tanques de aquietamiento | 45 | ||
| Bodega de insumos químicos | 35 | ||
| Taller | 35 | ||
| Tuberías y accesorios | 45 | ||
| Trasnporte de agua potable | Conducción | Estación de bombeo | 25 |
| Centro control acueducto | 35 | ||
| Tubería y accesorios | 45 | ||
| Distribución de agua potable | Distribución | Tanques Compensación, Almacenamiento, Distribución | 45 |
| Tuberías y accesorios | 45 | ||
| Estación de bombeo | 25 | ||
| Estación de recloración | 25 | ||
| Punto muestreo | 15 | ||
| Macromedición | 23 | ||
| Estación Reductora de presión | 35 | ||
| Laboratorio medidores | 35 | ||
| Laboratorio calidad aguas | 30 | ||
ALCANTARILLADO
| SUBSISTEMA | ACTIVIDAD | ACTIVO | VIDA ÚTIL (años) |
| Recolección y transporte de aguas residuales | Recolección y trasnporte | Tubería y accesorios | 45 |
| Canales y box culvert | 35 | ||
| Interceptores | 45 | ||
| Colectores | 40 | ||
| Elevación y bombeo | Estación elevadora | 25 | |
| Estación de Bombeo | 25 | ||
| Pondajes y laguna de amortiguación | 45 | ||
| Tratamiento y/o disposición final de aguas residuales | Pretratamiento | Desarenación | 35 |
| Presidemientación | 35 | ||
| Rejillas | 20 | ||
| Medición | 23 | ||
| Tratamiento | Plantas FQ y Biológicas | 40 | |
| Tanques homog y Almacenamiento | 45 | ||
| Laboratorio | 30 | ||
| manejo lodos y vertimiento | 23 | ||
| Estación de bombeo | 25 | ||
| Disposición final | Tubería y accesorios | 40 | |
| Estructura vertimiento | 30 | ||
| Manejo lodos | 23 | ||
| Estación bombeo | 25 | ||
PARÁGRAFO 1. <Parágrafo modificado por el artículo 17 de la Resolución 735 de 2015. El nuevo texto es el siguiente:> Las vidas útiles de los equipos electromecánicos y otros activos serán incluidas por la persona prestadora dependiendo de cada caso. Estás vidas útiles deberán estar debidamente soportadas por al menos tres (3) fabricantes o la vida útil definida para efectos contables. Estos soportes estarán a disposición de la Superintendencia de Servicios Públicos Domiciliarios. En el evento en que para un mismo activo exista una vida útil diferente por cada proveedor, se deberá escoger la de mayor plazo.
PARÁGRAFO 2. En ningún caso deberán incluirse activos administrativos u operativos que no hacen parte de la infraestructura prevista en la tabla anterior. Estos activos se remunerarán mediante los costos incluidos en los componentes CMA y CMO de la presente metodología tarifaria.
PARÁGRAFO 3. En caso que la persona prestadora solicite incluir activos diferentes a los señalados en el presente artículo, deberá adjuntar al estudio de costos la respectiva justificación. Si estas inversiones buscan disminuir la vulnerabilidad del sistema, la persona prestadora deberá soportarlo mediante el estudio de vulnerabilidad correspondiente. En todo caso, deberá quedar a disposición de la Superintendencia de Servicios Públicos Domiciliarios los soportes correspondientes a la inclusión de tales activos.
ARTÍCULO 50. PLAN DE OBRAS E INVERSIONES REGULADO (POIR). <Artículo integrado y unificado en el artículo 2.1.2.1.4.3.8 de la Resolución CRA 943 de 2021. Debe tenerse en cuenta lo dispuesto por el artículo 2.3.6.3.3.12 del Decreto 1077 de 2015> El Plan de Obras e Inversiones Regulado (POIR) es el conjunto de proyectos que la persona prestadora considera necesario llevar a cabo para disminuir las diferencias frente a los estándares del servicio exigidos durante el período de análisis, en el APS de cada uno de los municipios que atiende. La persona prestadora deberá tener en cuenta en la definición de cada uno de los proyectos incluidos en el POIR los componentes técnicos, de gestión ambiental y gestión de riesgos.
Los proyectos incluidos en el POIR se deben clasificar por servicio y por los siguientes grupos:
Proyectos del servicio público domiciliario de acueducto:
Grupo 1 - Proyectos relacionados con la dimensión de cobertura del servicio público domiciliario de acueducto: Son aquellos proyectos que conectan suscriptores nuevos.
Grupo 2 - Proyectos relacionados con la dimensión calidad del agua: Son aquellos proyectos que reducen el indicador IRCA.
Grupo 3 - Proyectos relacionados con la dimensión de continuidad: Son todos los demás proyectos de acueducto incluidos en el POIR. Es responsabilidad del Representante Legal de la persona prestadora identificar las inversiones en el POIR que se requieren para mitigar los riesgos que puedan comprometer la continuidad del servicio.
Así mismo se deben incluir los proyectos que permitan alcanzar las metas del programa de pérdidas técnicas relacionadas en el anexo 1, subtitulo 2. Definición de metas anuales.
Proyectos del servicio público domiciliario de alcantarillado:
Grupo 4 - Proyectos relacionados con la dimensión de cobertura del servicio público domiciliario de alcantarillado: Son aquellos proyectos que conectan suscriptores nuevos.
Grupo 5 - Proyectos relacionados con la dimensión calidad del agua vertida: Son aquellos proyectos incluidos en el Plan de Saneamiento y Manejo de Vertimientos (PSMV) que son responsabilidad de la persona prestadora del servicio público domiciliario de alcantarillado.
Grupo 6 - Proyectos relacionados con la dimensión de continuidad de alcantarillado: Son todos los demás proyectos de alcantarillado incluidos en el POIR. Es responsabilidad del Representante Legal de la persona prestadora identificar las inversiones en el POIR que se requieren para mitigar los riesgos que puedan comprometer la continuidad del servicio.
Las personas prestadoras deberán tener en cuenta para la definición del POIR del período de análisis, los principios de pertinencia, ajuste técnico, costos eficientes, visión de largo plazo y viabilidad financiera, definidos a continuación:
1. Pertinencia: Toda obra o inversión debe resolver una necesidad actual o futura del servicio. En caso de obras de respaldo, deberá definirse el margen que ésta brindará al sistema en la etapa específica del servicio y el impacto que tendrá frente a los suscriptores.
2. Ajuste técnico: Las obras deben ser planeadas, diseñadas y construidas de acuerdo con los requerimientos reales del servicio en el corto y mediano plazo, atendiendo las directrices contenidas en el Reglamento Técnico del Sector de Agua Potable y Saneamiento Básico - RAS vigente o en la norma que lo modifique, adicione o derogue.
3. Costos eficientes: Los costos unitarios a utilizar para la estimación del valor de las inversiones deberán corresponder a los menores precios entre:
- Compra reciente por parte de la persona prestadora de los bienes y servicios (o similares) involucrados en el proyecto a costear, o
- Precios de Lista.
4. Visión de largo plazo: Es necesario que cada período de vigencia de las fórmulas tarifarias, no sea apreciado como un proceso aislado y totalmente independiente de los procesos pasados y futuros. De manera específica, el nivel de cumplimiento del POIR, deberá tener implicaciones directas y proporcionales (incluyendo el costo del capital) sobre el siguiente período tarifario.
5. Viabilidad financiera: La persona prestadora cuenta con la capacidad financiera para llevar a cabo las inversiones proyectadas en el horizonte de 10 años.
En todo caso, los proyectos que se incluyan en el POIR corresponderán a aquellos que se financien exclusivamente vía tarifa.
<Inciso adicionado por el artículo 18 de la Resolución 735 de 2015. El nuevo texto es el siguiente:> En el evento que una entidad pública realice aportes de los que trata el artículo 87.9 de la Ley 142 de 1994, modificado por el artículo 99 de la Ley 1450 de 2011 que reemplace un proyecto incluido en el POIR, la persona prestadora deberá descontar estos activos de la tarifa una vez entren en operación, de lo cual informará a la SSPD y a la CRA. En todo caso, las metas definidas en el artículo 107 de la presente resolución no se modificarán como consecuencia de aportes de este tipo.
Para cada proyecto incluido en el POIR, se deberán especificar como mínimo, los siguientes elementos:
1. Nombre del proyecto.
2. Servicio.
3. Subsistema.
4. Actividad.
5. Descripción física que incluya la geo-referenciación del mismo.
6. Breve descripción del proyecto.
7. Cronograma de diseño y ejecución del proyecto, durante el horizonte de proyección de las inversiones.
8. Montos anuales de inversión del proyecto.
9. Dimensión con la que se relaciona el proyecto.
10. Aporte del proyecto a la(s) meta(s) definida(s) por la persona prestadora para la dimensión o dimensiones a las que está relacionado el proyecto.
11. Identificación clara del aporte del proyecto para cumplir los estándares del servicio.
12. Soporte del análisis sobre la capacidad financiera de la persona prestadora para llevar a cabo el proyecto, frente a la disponibilidad de recursos.
13. Municipio beneficiado por el proyecto.
14. Suscriptores afectados.
PARÁGRAFO 1. En el evento que un proyecto incluido en el POIR requiera la aprobación de una licencia ambiental, en el valor del proyecto deberán tenerse en cuenta los costos de seguimiento y control realizados por la respectiva autoridad ambiental.
PARÁGRAFO 2. Si un proyecto abarca más de un periodo tarifario, la persona prestadora deberá identificarlo claramente para realizar el seguimiento al cumplimiento de las metas definidas dentro de cada período.
ARTÍCULO 51. FORMULACIÓN DEL POIR. <Artículo integrado y unificado en el artículo 2.1.2.1.4.3.9 de la Resolución CRA 943 de 2021. Debe tenerse en cuenta lo dispuesto por el artículo 2.3.6.3.3.12 del Decreto 1077 de 2015> Este plan de inversiones debe ser el resultado de la identificación y proyección de las necesidades del servicio asociadas a la expansión, reposición y rehabilitación del sistema, para un horizonte de proyección de diez (10) años, expresadas en pesos de diciembre del año base y clasificadas por proyecto, grupo de activos, servicio y actividad, teniendo en cuenta los lineamientos del Plan de Ordenamiento Territorial y en particular lo dispuesto en la Ley 1537 de 2012 o la que la modifique, adicione o derogue.
La ejecución anual de este plan de obras e inversiones, las depreciaciones anuales y las bajas proyectadas de los activos, permitirán calcular la Base de Capital Regulada para cada año del periodo tarifario.
Cada uno de los proyectos incluidos en el POIR debe tener un objetivo claro y preciso que pueda ser objeto de medición y seguimiento a través del cumplimiento de metas anuales proyectadas por la persona prestadora, las cuales estarán asociadas a una o más de una de las siguientes dimensiones del servicio:
1. Cobertura.
2. Calidad del agua potable y las aguas residuales.
3. Continuidad del servicio.
La persona prestadora deberá tener en cuenta en la definición de cada uno de los proyectos incluidos en el POIR los componentes técnicos, de gestión ambiental y gestión de riesgos.
El seguimiento al cumplimiento de las metas definidas para cada uno de los proyectos incluidos en el POIR, se realizará a través de indicadores de gestión anual, definidos de conformidad con el Artículo 53 de la presente resolución.
ARTÍCULO 52. CRITERIOS PARA DEFINIR LOS PROYECTOS EN EL POIR. <Artículo integrado y unificado en el artículo 2.1.2.1.4.3.10 de la Resolución CRA 943 de 2021. Debe tenerse en cuenta lo dispuesto por el artículo 2.3.6.3.3.12 del Decreto 1077 de 2015>
<Inciso modificado por el artículo 19 de la Resolución 735 de 2015. El nuevo texto es el siguiente:> Para definir los proyectos que se incluirán en el POIR, las personas prestadoras deberán realizar un ejercicio de planeación, enfocándose en aquellas inversiones que permitan disminuir las diferencias frente a los estándares del servicio relacionados con las dimensiones de cobertura, calidad y continuidad. El conjunto de proyectos de cada grupo, definido en el artículo 50, debe disminuir las diferencias hasta alcanzar los estándares de servicio de cada dimensión, en concordancia con el artículo 9o de la presente resolución.
<Inciso modificado por el artículo 19 de la Resolución 735 de 2015. El nuevo texto es el siguiente:> Los recursos facturados a través del CMI que corresponden al POIR, deben enfocarse a financiar proyectos que permitan disminuir las diferencias frente a los estándares del servicio, dando prioridad a aquellos que logren en el menor tiempo, y a los menores costos posibles, mejoras en el cumplimiento de las metas proyectadas para cada dimensión. Para lo anterior, se deberá atender, entre otras, la reglamentación que sobre el orden de prioridades se encuentra definida en el Reglamento Técnico del Sector de Agua Potable y Saneamiento Básico RAS - 2000 o en la norma que lo modifique, adicione, sustituya o derogue.
<Inciso modificado por el artículo 19 de la Resolución 735 de 2015. El nuevo texto es el siguiente:> Se deberán incluir dentro del POIR proyectos de expansión de abastecimiento con una anticipación suficiente para no afectar la continuidad del servicio de acueducto, antes de que la proyección del agua producida sea mayor a la capacidad existente.
Para admitir proyectos relacionados con la calidad de las aguas residuales, estos deberán estar soportados en un acto administrativo expedido por la autoridad ambiental correspondiente. Asimismo, solo se podrán incluir aquellos proyectos que se encuentran dentro del Plan de Saneamiento y Manejo de Vertimientos - PSMV aprobado por la autoridad ambiental.
Las personas prestadoras podrán realizar estudios de beneficio/costo para la implementación de Sistemas Urbanos de Drenaje Sostenible (SUDS) que se enmarquen en el servicio público domiciliario de alcantarillado. Su inclusión en el POIR estará sujeta a la aprobación de la entidad territorial respectiva, al cierre financiero de los proyectos y a que su relación beneficio/costo sea mayor o igual a uno (1).
En aquellos casos en los cuales una nueva persona prestadora entre a sustituir a una persona prestadora anterior pero con la utilización de la misma infraestructura para la prestación del servicio, se deben mantener los proyectos y las metas asociadas al POIR definido por el antiguo operador de la infraestructura.
Se permitirá a la persona prestadora realizar cambios al POIR, sin modificar el valor presente del plan de inversiones del estudio tarifario, teniendo en cuenta que los proyectos a modificar cumplan las mismas metas que aquellos inicialmente definidos. En todo caso, la persona prestadora deberá soportar adecuadamente con base en análisis técnicos y financieros los cambios realizados frente a los proyectos incluidos en el POIR. Los análisis deben estar documentados y deberán ser reportados al SUI, así como el POIR inicial, en la forma y plazos que se defina por parte de la Superintendencia de Servicios Públicos Domiciliarios y la Comisión de Regulación de Agua Potable y Saneamiento Básico.
En todos los casos las personas prestadoras deberán contar con los soportes de los análisis técnicos y financieros utilizados para la formulación de los proyectos incluidos de su POIR, los cuales podrán ser revisados por la Superintendencia de Servicios Públicos Domiciliarios o por la Comisión de Regulación de Agua Potable y Saneamiento Básico, sin perjuicio de las acciones a que haya lugar por parte de la Superintendencia de Servicios Públicos Domiciliarios, cuando se evidencie que no existe fundamento para la modificación del POIR.
ARTÍCULO 53. INDICADORES DE SEGUIMIENTO A LAS METAS DEL POIR. <Artículo integrado y unificado en el artículo 2.1.2.1.4.3.11 de la Resolución CRA 943 de 2021. Debe tenerse en cuenta lo dispuesto por el artículo 2.3.6.3.3.12 del Decreto 1077 de 2015> Los proyectos incluidos en el POIR deberán contar con un objetivo claro, preciso y cuantificable en términos de la disminución de las diferencias frente a los estándares. El aporte de los mismos al cumplimiento de las metas proyectadas por la persona prestadora deberá medirse en función de las dimensiones mencionadas en el Artículo 50 de la presente resolución y con los siguientes indicadores:
Indicadores para el seguimiento de las metas en acueducto
| Dimensión | Nombre del indicador |
| Cobertura | Número de suscriptores incorporados con conexión al servicio de acueducto |
| Calidad del agua potable | IRCA (de acuerdo con el Decreto 1575 de 2007 del Ministerio de la Protección Social, o la norma que lo modifique, adicione o derogue) |
| Continuidad del servicio | Número de días por año de prestación del servicio (establecidas en el CCU) |
Indicadores para el seguimiento de las metas en alcantarillado
| Dimensión | Nombre del indicador |
| Cobertura | Número de suscriptores con conexión al servicio de alcantarillado |
| Calidad del servicio | Porcentaje (%) de cumplimiento del PSMV |
| Continuidad del servicio | Número de días por año de prestación del servicio (establecidas en el CCU) |
Para cada uno de los indicadores definidos por dimensión, la persona prestadora deberá identificar:
1. Situación actual del indicador al año base.
2. Meta del indicador para cada uno de los años del periodo de análisis.
3. Meta final del indicador al finalizar el periodo de análisis.
4. Ejecución anual programada para cada uno de los años del periodo de análisis.
Las metas de los proyectos deberán expresarse en las unidades definidas en el cuadro de seguimiento definido en el Artículo 107, en concordancia con lo establecido en el Artículo 9 de la presente resolución.
En caso que la persona prestadora incluya en su POIR inversiones relacionadas con la dimensión de calidad de las aguas residuales, deberá definir los indicadores pertinentes que permitan realizar el seguimiento establecido en los términos del presente artículo, al nivel de cumplimiento de las metas proyectadas para esta dimensión.
DEL COSTO MEDIO GENERADO POR TASAS AMBIENTALES.
ARTÍCULO 54. COSTO MEDIO GENERADO POR TASAS AMBIENTALES PARA ACUEDUCTO.
. <Artículo integrado y unificado en el artículo 2.1.2.1.4.4.1 de la Resolución CRA 943 de 2021. Debe tenerse en cuenta lo dispuesto por el artículo 2.3.6.3.3.12 del Decreto 1077 de 2015>
<Inciso modificado por el artículo 20 de la Resolución 735 de 2015. El nuevo texto es el siguiente:> El costo medio generado por tasas ambientales para el servicio público domiciliario de acueducto en el APS de cada uno de los municipios que atiende la persona prestadora, se define con referencia a la tasa por utilización del agua establecida por la autoridad ambiental, o aquella que la modifique, adicione, sustituya o derogue con la siguiente fórmula:
![]()
| Costo medio generado por tasas ambientales en el período i para el servicio público domiciliario de acueducto (pesos de diciembre del año base/m3). | |
| Monto a pagar en el período i por tasas ambientales para el servicio público domiciliario de acueducto de acuerdo con la normativa vigente (pesos de diciembre del año base). | |
| Consumo corregido por pérdidas en el período i para el servicio público domiciliario de acueducto, definido de acuerdo con el Artículo 19 de la presente resolución (m3). | |
| Período de facturación de tasas ambientales de acuerdo con la normatividad vigente. |
PARÁGRAFO 1. En caso que la persona prestadora utilice varias cuencas o unidades hidrológicas como fuentes de abastecimiento (k), para prestar el servicio público domiciliario de acueducto, el
corresponderá a la suma del valor a pagar por tasas ambientales de cada una de las fuentes, de acuerdo con la siguiente expresión:
PARÁGRAFO 2. <Parágrafo modificado por el artículo 16 de la Resolución 864 de 2018. El nuevo texto es el siguiente:> Las personas prestadoras deberán modificar el Costo Medio Generado por Tasas Ambientales para Acueducto, en cuanto ello se refiera al inicio de aplicación del cobro de la tasa ambiental o variaciones en los valores de las tasas por utilización de agua, por parte de la autoridad ambiental. Sin embargo, para efectos de lo anterior se deberán cumplir las disposiciones contenidas en la Sección 5.1.1 de la Resolución CRA 151 de 2001 o la norma que la modifique, sustituya o derogue, para el reporte de las variaciones tarifarias, y adicionalmente, remitir a la Comisión de Regulación de Agua Potable y Saneamiento Básico y a la Superintendencia de Servicios Públicos Domiciliarios, copia de los actos administrativos en los que se evidencie dicha modificación.
PARÁGRAFO 3. <Parágrafo modificado por el artículo 20 de la Resolución 735 de 2015. El nuevo texto es el siguiente:> El valor del MPi,tac corresponderá al valor de la última vigencia cobrada por la autoridad ambiental. No se podrá incluir en las tarifas el cobro de más de una vigencia.
PARÁGRAFO 4. Las personas prestadoras deberán disponer de elementos e infraestructura para realizar la medición del volumen de agua captada en la bocatoma. Esta medición debe realizarse con una frecuencia mínima quincenal y ser reportada al menos semestralmente al SUI. Los prestadores que no cuenten con un sistema de medición, tendrán 2 años a partir de la expedición de la presente resolución para su implementación.
PARÁGRAFO 5o. <Parágrafo adicionado por el artículo 20 de la Resolución 735 de 2015. El nuevo texto es el siguiente:> Las personas prestadoras beneficiarias en los contratos de suministro de agua potable, deberán incluir el valor correspondiente al costo generado por tasas ambientales para acueducto indicado por el proveedor (COSTO_CSAPITA,ac) el cual se calcula con base en la siguiente fórmula:
![]()
Donde:
| COSTO_CSAPITA,ac: | Pagos por concepto de contratos de suministro de agua potable correspondiente al costo generado por tasas ambientales para acueducto. |
| COSTO_CSAPIac: | Pago total por concepto de contratos de suministro de agua potable definido en el artículo 56 de la presente resolución. |
| PTA: | Porcentaje de tasas ambientales reportado por el proveedor de acuerdo con lo establecido en el artículo 57 de la presente resolución. |
PARÁGRAFO 6o. <Parágrafo adicionado por el artículo 20 de la Resolución 735 de 2015. El nuevo texto es el siguiente:> Las personas prestadoras proveedoras en los contratos de suministro de agua potable, deberán descontar el valor correspondiente al costo generado por tasas ambientales para acueducto por dichos contratos, pactados con base en lo establecido en la Resolución CRA número 608 de 2012 o aquella que la modifique, adicione, sustituya o derogue.
ARTÍCULO 55. COSTO MEDIO GENERADO POR TASAS AMBIENTALES PARA ALCANTARILLADO.
. <Artículo integrado y unificado en el artículo 2.1.2.1.4.4.2 de la Resolución CRA 943 de 2021. Debe tenerse en cuenta lo dispuesto por el artículo 2.3.6.3.3.12 del Decreto 1077 de 2015>
<Inciso modificado por el artículo 21 de la Resolución 735 de 2015. El nuevo texto es el siguiente:> El costo medio generado por tasas ambientales para el servicio público de alcantarillado en el APS de cada uno de los municipios que atiende la persona prestadora, se define con referencia a la tasa retributiva por la utilización directa o indirecta del agua como receptor de vertimientos puntuales, o aquella que la modifique, adicione, sustituya o derogue, y se determinará por separado para los suscriptores con caracterización de los vertimientos con base en la siguiente fórmula:
![]()
Donde:
| Costo medio generado por tasas ambientales para el servicio público domiciliario de alcantarillado para cada suscriptor con caracterización de vertimientos (pesos de diciembre del año base/m3). | |
| Sumatoria del consumo facturado por la persona prestadora, para el suscriptor j con caracterización (m3). | |
| Monto total a pagar establecido conforme al Decreto 2667 de 2012 o el que lo modifique, adicione o derogue, para el suscriptor j con caracterización, correspondiente a la última actualización base de la declaración de la tasa (pesos de diciembre del año base). |

| Tarifa mínima del parámetro i al momento de la presentación del estudio | |
| Factor regional del parámetro i. Para el cálculo del costo medio siempre será 1, que es el valor aplicable si la persona prestadora cumple la meta de carga contaminante establecida por la autoridad ambiental. | |
| Carga contaminante del parámetro i vertido para el suscriptor j con caracterización. |
PARÁGRAFO 1. En aquellos casos en que no exista caracterización, se utilizará la información de cargas presuntivas y se aplicará la siguiente fórmula:

Donde:
| Costo medio generado por tasas ambientales para el servicio público domiciliario de alcantarillado para los suscriptores sin caracterización de vertimientos (pesos de diciembre del año base/m3). | |
| Sumatoria de volúmenes de los consumos facturados por la persona prestadora, asociados al consumo del servicio público domiciliario de acueducto y a fuentes alternas, de suscriptores sin caracterización (m3). | |
| Monto total a pagar establecido de conformidad con el Decreto 2667 de 2012 o el que lo modifique, adicione o derogue, para los suscriptores sin caracterización, correspondiente al año vigente al cálculo tarifario (pesos de diciembre del año base). |

| Tarifa mínima del parámetro i al momento de la presentación del estudio. | |
| Factor regional del parámetro i. Para el cálculo del costo medio siempre será 1, que es el valor aplicable si la persona prestadora cumple la meta global de carga contaminante establecida por la autoridad ambiental. | |
| Carga contaminante del parámetro i vertido para los suscriptores sin caracterización. | |
| Total de parámetros sujetos de cobro. |
PARÁGRAFO 2. <Parágrafo modificado por el artículo 17 de la Resolución 864 de 2018. El nuevo texto es el siguiente:> Las personas prestadoras deberán modificar el Costo Medio Generado por Tasas Ambientales para Alcantarillado, en cuanto ello se refiera al inicio de aplicación del cobro de la tasa ambiental o variaciones en los valores de las tarifas mínimas o de la carga contaminante de los parámetros, por parte de la autoridad ambiental. No obstante, para efectos de lo anterior se deberá cumplir con las disposiciones contenidas en la Sección 5.1.1 de la Resolución CRA 151 de 2001, o la norma que la modifique, adicione o derogue, para el reporte de las variaciones tarifarias, y remitir a la Comisión de Regulación de Agua Potable y Saneamiento Básico y a la Superintendencia de Servicios Públicos Domiciliarios copia de los actos administrativos en los que se evidencie dicha modificación.
PARÁGRAFO 3o. <Parágrafo adicionado por el artículo 21 de la Resolución 735 de 2015. El nuevo texto es el siguiente:> Las personas prestadoras beneficiarias en los contratos de interconexión de alcantarillado, que incluyan el acceso al subsistema de tratamiento y/o disposición final de aguas residuales, deberán adicionar el valor correspondiente al costo generado por tasas ambientales para alcantarillado indicado por el proveedor (COSTO_ CSAPITA,al) el cual se calcula con base en la siguiente fórmula:
![]()
Donde:
| COSTO_CSAPITA,al: | Pagos por concepto de contratos de interconexión correspondiente al costo generado por tasas ambientales para alcantarillado. |
| COSTO_CSAPIal: | Pago total por concepto de contratos de interconexión de alcantarillado definido en el artículo 56 de la presente resolución. |
| PTA: | Porcentaje de tasas ambientales reportado por el proveedor de acuerdo con lo establecido en el artículo 57 de la presente resolución. |
PARÁGRAFO 4o. <Parágrafo adicionado por el artículo 21 de la Resolución 735 de 2015. El nuevo texto es el siguiente:> Las personas prestadoras proveedoras en los contratos de interconexión de alcantarillado, que incluyan el acceso al subsistema de tratamiento y/o disposición final de aguas residuales, deberán descontar el valor correspondiente al costo generado por tasas ambientales para alcantarillado por dichos contratos, pactados con base en lo establecido en la Resolución CRA número 608 de 2012 o aquella que la modifique, adicione, sustituya o derogue.
DE LOS COSTOS MEDIOS GENERADOS POR INVERSIONES AMBIENTALES ADICIONALES PARA LA PROTECCIÓN DE CUENCAS Y FUENTES DE AGUA.
ARTÍCULO 55.A. PERIODO DE APLICACIÓN DE LAS INVERSIONES AMBIENTALES ADICIONALES PARA LA PROTECCIÓN DE CUENCAS Y FUENTES DE AGUA. <Artículo integrado y unificado en el artículo 2.1.2.1.4.5.1 de la Resolución CRA 943 de 2021. Debe tenerse en cuenta lo dispuesto por el artículo 2.3.6.3.3.12 del Decreto 1077 de 2015> <Artículo modificado por el artículo 3 de la Resolución 923 de 2020. El nuevo texto es el siguiente:> Las personas prestadoras que decidan aplicar las inversiones ambientales adicionales para la protección de cuencas y fuentes de agua, deberán incluir en la tarifa del servicio público domiciliario de acueducto el costo al que hace referencia el presente Capítulo, desde el primero (1) de julio de 2021 (año tarifario i=6).
Para los años tarifarios posteriores, la inclusión en tarifa de los costos a los que hace referencia el presente Capítulo deberá hacerse, por una sola vez al año, desde el primero (1) de julio de cada año tarifario i.
PARÁGRAFO 1o. En todo caso, cuando se opte por la inclusión en la tarifa de los costos a los que hace referencia el presente Capítulo, las personas prestadoras deberán dar cumplimiento de las disposiciones contenidas en la Sección 5.1.1 de la Resolución CRA 151 de 2001, o la norma que la adicione, modifique y/o derogue.
PARÁGRAFO 2o. Para expresar los costos registrados en los estados financieros, en precios del año base, se deberá multiplicar los costos por el factor correspondiente a la relación del IPC de diciembre del año base y el IPC de junio del año i.
ARTÍCULO 55.B. COSTO MEDIO DE ADMINISTRACIÓN POR INVERSIONES AMBIENTALES ADICIONALES PARA LA PROTECCIÓN DE CUENCAS Y FUENTES DE AGUA PARA EL AÑO I (CMAPi,ac). <Artículo integrado y unificado en el artículo 2.1.2.1.4.5.2 de la Resolución CRA 943 de 2021. Debe tenerse en cuenta lo dispuesto por el artículo 2.3.6.3.3.12 del Decreto 1077 de 2015> <Artículo adicionado por el artículo 1 de la Resolución 907 de 2019. El nuevo texto es el siguiente:> El costo medio de administración por inversiones ambientales adicionales para la protección de cuencas y fuentes de agua, para el año i, se calcula e incluye en la tarifa del servicio público domiciliario de acueducto con la siguiente fórmula:
![]()
Donde:
Costo medio de administración por inversiones ambientales adicionales para la protección de cuencas y fuentes de agua para el año i del servicio público domiciliario de acueducto, expresado en pesos de diciembre del año base ($/suscriptor/mes).
Costos de administración por inversiones ambientales adicionales para la protección de cuencas y fuentes de agua para el servicio público domiciliario de acueducto causados en el año tarifario i-1.
Número de suscriptores promedio proyectados en el año tarifario i, para el servicio público domiciliario de acueducto de acuerdo con el artículo 10 y 55.A. de la presente resolución.
Año tarifario de conformidad con lo establecido en el artículo 55.A de la presente resolución.
PARÁGRAFO 1o. El
incluirá los gastos de comercialización relacionados con los ajustes del software de facturación para la implementación de las inversiones ambientales adicionales, así como los gastos relacionados con peticiones, quejas y recursos, capacitación y socialización.
PARÁGRAFO 2o. <Parágrafo modificado por el artículo 4 de la Resolución 923 de 2020. El nuevo texto es el siguiente:> Para calcular el CAPi-1,ac para el primer año tarifario de aplicación (i=6), las personas prestadoras del servicio público domiciliario de acueducto, incluirán los costos de administración por inversiones ambientales adicionales para la protección de cuencas y fuentes de agua del quinto (5) año tarifario (i=5), a partir del primero (1) de enero de 2021.
Para los años tarifarios posteriores, deberá calcular e incluir en la tarifa del servicio público domiciliario de acueducto el valor del CAPi-1,ac con la información del año i-1.
PARÁGRAFO 3o. En ningún caso deberán incluirse en el
costos ya reconocidos en el CMA, CMO, CMI establecidos en el TÍTULO IV de la presente resolución.
PARÁGRAFO 4o. Los soportes de los costos de administración por inversiones ambientales adicionales para la protección de cuencas y fuentes de agua deberán estar a disposición de la Superintendencia de Servicios Públicos Domiciliarios (SSPD) y ser reportados en el Sistema Único de Información (SUI), en las condiciones y plazos que defina dicha entidad.
ARTÍCULO 55.C. COSTO MEDIO VARIABLE POR INVERSIONES AMBIENTALES ADICIONALES PARA LA PROTECCIÓN DE CUENCAS Y FUENTES DE AGUA PARA EL AÑO I (CMPi,ac). <Artículo integrado y unificado en el artículo 2.1.2.1.4.5.3 de la Resolución CRA 943 de 2021. Debe tenerse en cuenta lo dispuesto por el artículo 2.3.6.3.3.12 del Decreto 1077 de 2015> <Artículo adicionado por el artículo 1 de la Resolución 907 de 2019. El nuevo texto es el siguiente:> El costo medio variable por inversiones ambientales adicionales para la protección de cuencas y fuentes de agua, para el año i, se calcula e incluye en la tarifa del servicio público domiciliario de acueducto con la siguiente fórmula:
![]()
Costo medio variable por inversiones ambientales adicionales para la protección de cuencas y fuentes de agua para el año i, expresado en pesos de diciembre del año base/m3, para el servicio público domiciliario de acueducto.
Costo medio de operación por inversiones ambientales adicionales para la protección de cuencas y fuentes de agua para el año i, expresado en pesos de diciembre del año base/m3, para el servicio público domiciliario de acueducto.
Costo medio de inversión por inversiones ambientales adicionales para la protección de cuencas y fuentes de agua para el año i, expresado en pesos de diciembre del año base/m3, para el servicio público domiciliario de acueducto.
Año tarifario de conformidad con lo establecido en el artículo 55.A de la presente resolución.
PARÁGRAFO. En ningún caso deberán incluirse en el
costos ya reconocidos en el CMA, CMO y CMI establecidos en el TÍTULO IV de la presente resolución.
ARTÍCULO 55.D. COSTO MEDIO DE OPERACIÓN POR INVERSIONES AMBIENTALES ADICIONALES PARA LA PROTECCIÓN DE CUENCAS Y FUENTES DE AGUA PARA EL AÑO i (CMPi,ac). <Artículo integrado y unificado en el artículo 2.1.2.1.4.5.4 de la Resolución CRA 943 de 2021. Debe tenerse en cuenta lo dispuesto por el artículo 2.3.6.3.3.12 del Decreto 1077 de 2015> <Artículo adicionado por el artículo 1 de la Resolución 907 de 2019. El nuevo texto es el siguiente:> El costo medio de operación por inversiones ambientales adicionales para la protección de cuencas y fuentes de agua, para el año i, se calcula e incluye en la tarifa del servicio público domiciliario de acueducto con la siguiente fórmula:
![]()
Costo medio de operación por inversiones ambientales adicionales para la protección de cuencas y fuentes de agua para el año i, expresado en pesos de diciembre del año base/m3.
Costos operativos por inversiones ambientales adicionales para la protección de cuencas y fuentes de agua para el año i-1, relacionados con: servicios personales, agroinsumos, mantenimiento de equipos y herramientas, honorarios, servicios públicos órdenes y contratos por servicios, estudios y pago por servicios ambientales de regulación y calidad hídrica, para el servicio público domiciliario de acueducto.
Tasa de capital de trabajo establecida en el artículo 21 de la presente resolución.
Consumo corregido por pérdidas para el año i, de conformidad con el artículo 19 y 55.A. de la presente resolución, para el servicio público domiciliario de acueducto (m3/año).
Año tarifario de conformidad con lo establecido en el artículo 55.A de la presente resolución.
PARÁGRAFO 1o. <Parágrafo modificado por el artículo 5 de la Resolución 923 de 2020. El nuevo texto es el siguiente:> Para calcular el CAPi-1,ac para el primer año tarifario de aplicación (i=6), las personas prestadoras del servicio público domiciliario de acueducto, incluirán los costos operativos por inversiones ambientales adicionales para la protección de cuencas y fuentes de agua del quinto (5) año tarifario (i=5), a partir del primero (1) de enero de 2021.
Para los años tarifarios posteriores, deberá calcular e incluir en la tarifa del servicio público domiciliario de acueducto el valor del CAPi-1,ac con la información del año i-1.
PARÁGRAFO 2o. En ningún caso deberán incluirse en el
costos ya reconocidos en el CMA, CMO, CMI establecidos en el TÍTULO IV de la presente resolución.
PARÁGRAFO 3o. Los soportes de los costos operativos por inversiones ambientales adicionales para la protección de cuencas y fuentes de agua deberán estar a disposición de la Superintendencia de Servicios Públicos Domiciliarios (SSPD) y ser reportados en el Sistema Único de Información (SUI), en las condiciones y plazos que defina dicha entidad.
ARTÍCULO 55.E. COSTO MEDIO DE INVERSIÓN POR INVERSIONES AMBIENTALES ADICIONALES PARA LA PROTECCIÓN DE CUENCAS Y FUENTES DE AGUA PARA EL AÑO i (CMIPi,ac). <Artículo integrado y unificado en el artículo 2.1.2.1.4.5.5 de la Resolución CRA 943 de 2021. Debe tenerse en cuenta lo dispuesto por el artículo 2.3.6.3.3.12 del Decreto 1077 de 2015> <Artículo adicionado por el artículo 1 de la Resolución 907 de 2019. El nuevo texto es el siguiente:> El costo medio de inversión por inversiones ambientales adicionales para la protección de cuencas y fuentes de agua, para el año i, se calcula e incluye en la tarifa del servicio público domiciliario de acueducto de acuerdo con la siguiente fórmula:
![]()
Costo medio de inversión por inversiones ambientales adicionales para la protección de cuencas y fuentes de agua para el año i, expresado en pesos de diciembre del año base/m3, para el servicio público domiciliario de acueducto.
Costo anual de las inversiones ambientales adicionales para la protección de cuencas y fuentes de agua para el año i, para el servicio público domiciliario de acueducto de acuerdo con el artículo 55.F. de la presente resolución (pesos de diciembre del año base).
Consumo corregido por pérdidas proyectado para el año i, de conformidad con el artículo 19 y 55.A. de la presente resolución, para el servicio público domiciliario de acueducto (m3/año).
Año tarifario de conformidad con lo establecido en el artículo 55.A de la presente resolución.
ARTÍCULO 55.F. COSTO ANUAL DE INVERSIONES AMBIENTALES ADICIONALES PARA LA PROTECCIÓN DE CUENCAS Y FUENTES DE AGUA EN EL AÑO i (CIPi,ac). <Artículo integrado y unificado en el artículo 2.1.2.1.4.5.6 de la Resolución CRA 943 de 2021. Debe tenerse en cuenta lo dispuesto por el artículo 2.3.6.3.3.12 del Decreto 1077 de 2015> <Artículo adicionado por el artículo 1 de la Resolución 907 de 2019. El nuevo texto es el siguiente:> El costo anual de inversiones ambientales adicionales para la protección de cuencas y fuentes de agua, para el año i, se calcula e incluye en la tarifa del servicio público domiciliario de acueducto de acuerdo con la siguiente fórmula:
![]()
Donde:
Costo anual de inversiones ambientales adicionales para la protección de cuencas y fuentes de agua en el año i (pesos de diciembre del año base) del servicio público domiciliario de acueducto.
Depreciación anual de las inversiones ambientales adicionales para la protección de cuencas y fuentes de agua para el año i (pesos de diciembre del año base), estimado con el método de depreciación lineal, la cual se calculará con la siguiente fórmula:

Donde:
Valor del activo v al momento de su inclusión en el
para el servicio público domiciliario de acueducto (en pesos de diciembre del año base).
Vida útil regulada en años del activo v para el servicio público domiciliario de acueducto definida de acuerdo con lo establecido en el artículo 55.G. de la presente resolución.
Base de capital regulada de las inversiones ambientales adicionales para la protección de cuencas y fuentes de agua para el año i (pesos de diciembre del año base), para el servicio público domiciliario de acueducto.

Donde:
Valor del activo v para el año i-1 (pesos de diciembre del año base) del servicio público domiciliario de acueducto.
Depreciación acumulada del activo v para el año i (pesos de diciembre del año base) para el servicio público domiciliario de acueducto.
Depreciación del activo v para el año i (pesos de diciembre del año base) para el servicio público domiciliario de acueducto.
Cada uno de los activos de las inversiones ambientales adicionales para la protección de cuencas y fuentes de agua. No se podrá incluir el pago por servicios ambientales de regulación y calidad hídrica.
Número total de activos de las inversiones ambientales adicionales para la protección de cuencas y fuentes de agua.
Tasa de descuento según lo establecido en el artículo 20 de la presente resolución.
Año tarifario de conformidad con lo establecido en el artículo 55.A de la presente resolución.
PARÁGRAFO 1o. En los terrenos únicamente se reconocerá la rentabilidad sobre el valor de adquisición sin incluir valorizaciones.
PARÁGRAFO 2o. Los activos de las inversiones ambientales adicionales para la protección de cuencas y fuentes de agua incluidos en el
serán clasificados de acuerdo con la agrupación definida en el artículo 55.G de la presente resolución.
PARÁGRAFO 3o. Los soportes de las inversiones ambientales adicionales para la protección de cuencas y fuentes de agua, deberán quedar a disposición de la Superintendencia de Servicios Públicos Domiciliarios (SSPD) y ser reportados en el Sistema Único de Información (SUI), en las condiciones y plazos que defina dicha entidad.
PARÁGRAFO 4o. <Parágrafo modificado por el artículo 6 de la Resolución 923 de 2020. El nuevo texto es el siguiente:> Para estimar el valor del VAPi-1,v,ac para el primer año tarifario de aplicación (i=6), se reconocerán los activos v del quinto (5) año tarifario (i=5), a partir del primero (1) de enero de 2021.
Para los años tarifarios posteriores, deberá calcular e incluir en la tarifa del servicio público domiciliario de acueducto el valor del VAPi-1,v,ac con la información del año i-1.
ARTÍCULO 55.G. CLASIFICACIÓN DE ACTIVOS POR TIPO DE INVERSIÓN AMBIENTAL ADICIONAL Y ASIGNACIÓN DE SU VIDA ÚTIL REGULADA. <Artículo integrado y unificado en el artículo 2.1.2.1.4.5.7 de la Resolución CRA 943 de 2021. Debe tenerse en cuenta lo dispuesto por el artículo 2.3.6.3.3.12 del Decreto 1077 de 2015> <Artículo adicionado por el artículo 1 de la Resolución 907 de 2019. El nuevo texto es el siguiente:> Los activos de las inversiones ambientales adicionales para la protección de cuencas y fuentes de agua corresponden a los descritos en la siguiente tabla y tendrán la siguiente vida útil regulada.

PARÁGRAFO. En caso de que la persona prestadora incluya activos relacionados con las inversiones ambientales adicionales para la protección de cuencas y fuentes de agua de que tratan los numerales a) al e) del artículo 3o de la Resolución 0874 de 2018, diferentes a los señalados en la tabla anterior, deberá contar con los soportes correspondientes para su inclusión.
Las vidas útiles de dichos activos deberán estar debidamente soportadas por lo menos con tres (3) cotizaciones de proveedores o por la vida útil definida para efectos contables. En el evento en que para un mismo activo exista una vida útil diferente por cada proveedor, se deberá escoger la de mayor plazo.
Los anteriores soportes deberán estar a disposición de la Superintendencia de Servicios Públicos Domiciliarios (SSPD), ser reportados en el Sistema Único de Información (SUI), en las condiciones y plazos que defina dicha entidad e informados a la Comisión de Regulación de Agua Potable y Saneamiento Básico.
ARTÍCULO 55.H. CRITERIOS DE INCLUSIÓN DE LAS INVERSIONES AMBIENTALES ADICIONALES PARA LA PROTECCIÓN DE CUENCAS Y FUENTES DE AGUA. <Artículo integrado y unificado en el artículo 2.1.2.1.4.5.8 de la Resolución CRA 943 de 2021. Debe tenerse en cuenta lo dispuesto por el artículo 2.3.6.3.3.12 del Decreto 1077 de 2015> <Artículo adicionado por el artículo 1 de la Resolución 907 de 2019. El nuevo texto es el siguiente:> Las personas prestadoras del servicio públicodomiciliario de acueducto que decidan incorporar los costos de las inversiones ambientales adicionales para la protección de cuencas y fuentes de agua, de que trata el presente capítulo, deberán cumplir con los siguientes requisitos:
1. Identificar las áreas de intervención de las inversiones ambientales adicionales para la protección de cuencas y fuentes de agua requeridas, dependiendo del servicio hidrológico a intervenir en la cuenca hidrográfica aferente a los puntos de captación del sistema de acueducto.
2. Disponer de elementos e infraestructura para realizar la medición del volumen de agua captada en la bocatoma, de conformidad con el parágrafo 4o del artículo 54 de la presente resolución.
3. Las áreas objeto de intervención de las inversiones ambientales adicionales para la protección de cuencas y fuentes de agua deberán corresponder a áreas de importancia estratégica para la conservación de recursos hídricos que surten de agua a los acueductos municipales, distritales o regionales.
4. En ningún caso, deberán incluirse inversiones ambientales para la protección de cuencas y fuentes de agua que hayan sido contempladas en desarrollo del parágrafo 6o del artículo 45 de la presente resolución.
5. En ningún caso podrán incluirse como inversiones ambientales adicionales aquellas financiadas en su totalidad por otra entidad.
En todo caso, las inversiones ambientales adicionales para la protección de cuencas y fuentes de agua corresponden a las definidas en los numerales a) al e) del artículo 3o de la Resolución 0874 de 2018 o la norma que la modifique, adicione o sustituya.
PARÁGRAFO 1o. Para efectos del cumplimiento del criterio definido en el numeral 1 del presente artículo, se debe tener en cuenta información sobre el estado de los servicios hidrológicos y potenciales áreas de intervención asociadas con la conservación del recurso hídrico en la cuenca hidrográfica aferente a los puntos de captación del sistema de acueducto con el fin de establecer:
1. La línea base y tendencia de los servicios hidrológicos en la cuenca hidrográfica aferente a los puntos de captación del sistema de acueducto.
2. El servicio hidrológico de interés para mantener, mejorar o recuperar en la cuenca hidrográfica aferente a los puntos de captación del sistema de acueducto.
3. El impacto de las inversiones ambientales adicionales para la protección de cuencas y fuentes de agua en la cuenca hidrográfica aferente a los puntos de captación del sistema de acueducto, permitiendo simular varios escenarios de intervención.
4. Los objetivos para la protección de cuencas y fuentes de agua en la cuenca hidrográfica aferente a los puntos de captación del sistema de acueducto y
5. El tipo de inversiones ambientales adicionales para la protección de cuencas y fuentes de agua requeridas dependiendo del servicio hidrológico a intervenir en la cuenca hidrográfica aferente a los puntos de captación del sistema de acueducto.
En todo caso, podrá utilizarse la información hidrológica o hidrogeológica contenida en los instrumentos de planificación ambiental del recurso hídrico y otras iniciativas de conservación de áreas de importancia estratégica para la conservación de recursos hídricos.
PARÁGRAFO 2o. Las inversiones ambientales adicionales para la protección de cuencas y fuentes de agua de que trata el presente capítulo son optativas.
PARÁGRAFO 3o. Las inversiones ambientales adicionales para la protección de cuencas y fuentes de agua deben estar asociadas a los servicios hidrológicos de regulación del ciclo hidrológico y/o rendimiento hídrico.
ARTÍCULO 55.I. INDICADORES DE SEGUIMIENTO. <Artículo integrado y unificado en el artículo 2.1.2.1.4.5.9 de la Resolución CRA 943 de 2021. Debe tenerse en cuenta lo dispuesto por el artículo 2.3.6.3.3.12 del Decreto 1077 de 2015> <Artículo adicionado por el artículo 1 de la Resolución 907 de 2019. El nuevo texto es el siguiente:> Las personas prestadoras del servicio público domiciliario de acueducto que decidan incluir los costos de las inversiones ambientales adicionales para la protección de cuencas y fuentes de agua, deberán reportar anualmente los siguientes indicadores:
| Inversión ambiental adicional para la protección de cuencas y fuentes de agua | Indicador |
| Compra y aislamiento de predios | Hectáreas adquiridas y/o aisladas por año |
| Proyectos para la recarga de acuíferos | Hectáreas de zona de recarga de acuíferos intervenidas por año |
| Restauración | Hectáreas restauradas por año |
| Protección y recuperación de rondas de cuencas y fuentes abastecedoras de agua | Hectáreas de rondas de cuencas y fuentes abastecedoras de agua intervenidas por año |
| Monitoreo del recurso hídrico | Estaciones de monitoreo implementadas por año Campañas de monitoreo por año |
| Pagos por servicios ambientales de regulación y calidad hídrica | Hectáreas intervenidas por proyectos de pago por servicios ambientales de regulación y calidad hídrica, por año. |
Los indicadores de que trata el presente artículo deberán ser reportados a la Superintendencia de Servicios Públicos Domiciliarios (SSPD) en las condiciones y plazos que la misma defina.
ARTÍCULO 55.J. APORTES BAJO CONDICIÓN. <Artículo integrado y unificado en el artículo 2.1.2.1.4.5.10 de la Resolución CRA 943 de 2021. Debe tenerse en cuenta lo dispuesto por el artículo 2.3.6.3.3.12 del Decreto 1077 de 2015> <Artículo adicionado por el artículo 1 de la Resolución 907 de 2019. El nuevo texto es el siguiente:> Si durante el período tarifario las personas prestadoras del servicio público domiciliario de acueducto reciben aportes bajo condición de los que trata el artículo 87.9 de la Ley 142 de 1994, modificado por el artículo 99 de la Ley 1450 de 2011, relacionados con las inversiones ambientales adicionales establecidas en los numerales a) al e) del artículo 3 de la Resolución 0874 de 2018, o la norma que la adicione, modifique o derogue, sólo podrá incluir los costos de operación asociados en el
de que trata el artículo 55.D de la presente resolución.
ARTÍCULO 55.K. INFORMACIÓN A LA COMISIÓN DE REGULACIÓN DE AGUA POTABLE Y SANEAMIENTO BÁSICO SOBRE INVERSIONES AMBIENTALES ADICIONALES PARA LA PROTECCIÓN DE CUENCAS Y FUENTES DE AGUA. <Artículo integrado y unificado en el artículo 2.1.2.1.4.5.11 de la Resolución CRA 943 de 2021. Debe tenerse en cuenta lo dispuesto por el artículo 2.3.6.3.3.12 del Decreto 1077 de 2015> <Artículo adicionado por el artículo 1 de la Resolución 907 de 2019. El nuevo texto es el siguiente:> Las personas prestadoras del servicio público domiciliario de acueducto que decidan incluir las inversiones ambientales adicionales para la protección de cuencas y fuentes de agua, deberán enviar a la Comisión de Regulación de Agua Potable y Saneamiento Básico los soportes de los costos de administración, operación e inversión por dichas inversiones en que han incurrido, dentro del mes siguiente a su incorporación en la tarifa, para efectos de hacer seguimiento a la medida regulatoria contenida en el presente capítulo, de acuerdo con lo dispuesto en el inciso final del artículo 73 de la Ley 142 de 1994.
DE LOS CONTRATOS DE SUMINISTRO DE AGUA POTABLE Y/O CONTRATOS DE INTERCONEXIÓN DE ACUEDUCTO Y ALCANTARILLADO.
ARTÍCULO 56. PAGO TOTAL POR CONCEPTO DE CONTRATOS DE SUMINISTRO DE AGUA POTABLE Y/O INTERCONEXIÓN DE ACUEDUCTO Y ALCANTARILLADO.
. <Artículo integrado y unificado en el artículo 2.1.2.1.4.6.1 de la Resolución CRA 943 de 2021. Debe tenerse en cuenta lo dispuesto por el artículo 2.3.6.3.3.12 del Decreto 1077 de 2015> El pago total por concepto de contratos de suministro de agua potable y/o contratos de interconexión de acueducto y alcantarillado se determina de acuerdo con la siguiente fórmula:
![]()
Donde:
| Pago total por concepto de contratos de suministro de agua potable y/o contratos de interconexión del año i (pesos de diciembre del año base). | |
| Costo unitario por contratos de suministro de agua potable y/o contratos de interconexión (pesos de diciembre del año base/m3). | |
| Pagos por concepto de contratos de suministro de agua potable y/o contratos de interconexión del año base (pesos de diciembre del año base). | |
| Volumen asociado a los contratos de suministro de agua potable y/o contratos de interconexión en el año base (m3/año). | |
| Volumen recibido por contratos de suministro de agua potable y/o contratos de interconexión en el año i (m3/año). |
PARÁGRAFO 1. El beneficiario deberá conocer los porcentajes de desagregación de los costos, los cuales deberán ser entregados por el proveedor como se establece en el Artículo 57 de la presente resolución.
ARTÍCULO 57. PORCENTAJES DE DISTRIBUCIÓN DE LOS COSTOS EN LOS CONTRATOS DE SUMINISTRO DE AGUA POTABLE Y/O INTERCONEXIÓN DE ACUEDUCTO Y ALCANTARILLADO. <Artículo integrado y unificado en el artículo 2.1.2.1.4.6.2 de la Resolución CRA 943 de 2021. Debe tenerse en cuenta lo dispuesto por el artículo 2.3.6.3.3.12 del Decreto 1077 de 2015> El proveedor deberá desagregar el costo total del contrato en costos operativos comparables, costos operativos particulares, costos de inversión y costos de tasas ambientales y calculará los porcentajes de desagregación de estos costos, cuya sumatoria deberá ser igual a cien por ciento (100%).
![]()
Donde:
| Porcentaje de costos operativos comparables. | |
| Porcentaje de costos operativos particulares. | |
| Porcentaje de costos de inversión. | |
| Porcentaje de tasas ambientales. |
PARÁGRAFO 1. El proveedor del contrato deberá informar al beneficiario el valor de los costos y los porcentajes de desagregación de los cargos.
PARÁGRAFO 2. Para los contratos que se encuentran vigentes a la expedición de la presente resolución, el proveedor deberá calcular dichos porcentajes en el término de un mes a partir de la entrada en vigencia de la presente resolución y suministrarlos a los beneficiarios.
DE LA ACTUALIZACIÓN DE COSTOS.
ARTÍCULO 58. ACTUALIZACIÓN DE LOS COSTOS. <Artículo integrado y unificado en el artículo 2.1.2.1.4.7.1 de la Resolución CRA 943 de 2021. Debe tenerse en cuenta lo dispuesto por el artículo 2.3.6.3.3.12 del Decreto 1077 de 2015> <Ver modificaciones temporales en Notas de Vigencia> Para actualizar los costos de referencia, al momento de aplicación de la metodología tarifaria definida en la presente resolución, las personas prestadoras deberán proceder de la siguiente manera:
![]()
Donde:
| Se refiere al costo de referencia con el cual la persona prestadora empezará a aplicar la metodología de cálculo establecida en la presente resolución, actualizado con el último Índice de Precios al Consumidor - IPC publicado por el DANE, expresado en términos unitarios. | |
| Se refiere al costo de referencia resultante de la aplicación de la presente metodología para cada uno de los componentes de los servicios públicos domiciliarios de acueducto y alcantarillado, el cual está expresado en pesos de diciembre del año base. | |
| Factor de Actualización al momento en que la persona prestadora empezará a aplicar la metodología de cálculo establecida en la presente resolución, utilizando el último IPC publicado por el DANE. Este factor será calculado de la siguiente manera: | |
| Último reporte del IPC publicado por el DANE del mes en el cual la persona prestadora empezará a aplicar la metodología tarifaria establecida en la presente resolución. | |
| IPC reportado por el DANE correspondiente al mes de diciembre del año base. |
Una vez actualizado el costo de referencia de los servicios públicos domiciliarios de acueducto y alcantarillado, la persona prestadora podrá aplicar un factor de actualización por IPC cada vez que el Índice de Precios al Consumidor, reportado por el DANE, acumule una variación de por lo menos tres por ciento (3%). Las personas prestadoras deberán iniciar las acumulaciones del IPC desde la fecha del , de conformidad con la siguiente fórmula:
![]()
Donde:
| Se refiere al costo de referencia actualizado para el periodo i de los servicios públicos domiciliarios de acueducto y alcantarillado, expresado en términos unitarios. | |
| Se refiere al costo de referencia estimado a partir de la última actualización efectuada por la persona prestadora. | |
| Factor de Actualización por IPC, el cual podrá ser aplicado cada vez que se acumule una variación de por lo menos el tres por ciento (3%) en el Índice de Precios al Consumidor reportado por el DANE. Este factor será calculado de la siguiente manera: |
![]()
Donde:
| IPC reportado por el DANE en el mes seleccionado por la persona prestadora, para efectos de realizar la actualización por concepto de IPC (mes final). | |
| IPC reportado por el DANE correspondiente al último mes en el cual se realizó la actualización por concepto de IPC o aquel que la persona prestadora seleccione como mes base para la actualización, el cual no podrá ser anterior al momento en el que se aplicó la última indexación. |
PARÁGRAFO 1. La aplicación del IPC se sujetará a lo establecido en el artículo 125 de la Ley 142 de 1994. Para la estimación del factor de actualización, se utilizará el IPC expresado de acuerdo con la base definida por el DANE vigente al momento de expedición de la presente resolución, redondeado a seis (6) decimales. El factor de actualización obtenido deberá ser redondeado a cuatro (4) decimales y las operaciones resultantes de la fórmula de actualización de costos de referencia serán redondeadas a dos (2) decimales.
PARÁGRAFO 2. Cada vez que las personas prestadoras reajusten sus costos deberán cumplir con las disposiciones contenidas en la sección 5.1.1 de la Resolución CRA 151 de 2001, o la norma que la modifique, adicione o derogue, en relación con el reporte de las variaciones tarifarias.
PARÁGRAFO 3. Se deberán excluir de la actualización de los costos de referencia, los costos medios generados de tasas ambientales definidos en el Artículo 54 y en el Artículo 55 de la presente resolución.
DE LA SEPARACIÓN DE COSTOS POR SUBSISTEMAS.
ARTÍCULO 59. COSTOS POR SUBSISTEMA. <Artículo integrado y unificado en el artículo 2.1.2.1.5.1 de la Resolución CRA 943 de 2021. Debe tenerse en cuenta lo dispuesto por el artículo 2.3.6.3.3.12 del Decreto 1077 de 2015> Las personas prestadoras que son proveedores en contratos de suministro de agua potable y/o interconexión para la prestación de los servicios públicos domiciliarios de acueducto y alcantarillado, deberán desagregar los costos por subsistema, atendiendo las definiciones establecidas en el presente Título.
ARTÍCULO 60. COSTO HASTA EL SUBSISTEMA DE SUMINISTRO DE AGUA POTABLE DEL SISTEMA DE ACUEDUCTO.
<Artículo integrado y unificado en el artículo 2.1.2.1.5.2 de la Resolución CRA 943 de 2021. Debe tenerse en cuenta lo dispuesto por el artículo 2.3.6.3.3.12 del Decreto 1077 de 2015> <Artículo modificado por el artículo 2 de la Resolución 907 de 2019. El nuevo texto es el siguiente:> El costo hasta el subsistema de suministro se determina de acuerdo con la siguiente fórmula:
![]()
Costo hasta el subsistema de suministro de agua potable (pesos de diciembre del año base/m3) del sistema de acueducto.
Costo medio de operación hasta el subsistema de suministro de agua potable (pesos de diciembre del año base/m3) del sistema de acueducto, según lo definido en el artículo 61 de la presente resolución.
Costo medio de inversión hasta el subsistema de suministro de agua potable (pesos de diciembre del año base/m3) del sistema de acueducto, según lo definido en el artículo 62 de la presente resolución.
Costo medio generado de tasas ambientales hasta el subsistema de suministro de agua potable (pesos de diciembre del año base/m3) del sistema de acueducto, según lo definido en el artículo 63 de la presente resolución.
Costo medio de operación por inversiones ambientales adicionales para la protección de cuencas y fuentes de agua para el año i, hasta el subsistema de suministro de agua potable, expresado en pesos de diciembre del año base/m3, según lo definido en el artículo 61.A de la presente resolución.
Costo medio de inversión ambiental adicional para la protección de cuencas y fuentes de agua para el año i, hasta el subsistema de suministro de agua potable, expresado en pesos de diciembre del año base/m3, para el servicio público domiciliario de acueducto, según lo definido en el artículo 62.A de la presente resolución.
PARÁGRAFO. El costo del subsistema de suministro de agua potable corresponde al costo de las actividades del subsistema de producción y de las entradas por contratos de suministro de agua potable.
ARTÍCULO 61. COSTO MEDIO DE OPERACIÓN HASTA EL SUBSISTEMA DE SUMINISTRO DE AGUA POTABLE DEL SISTEMA DE ACUEDUCTO.
. <Artículo integrado y unificado en el artículo 2.1.2.1.5.3 de la Resolución CRA 943 de 2021. Debe tenerse en cuenta lo dispuesto por el artículo 2.3.6.3.3.12 del Decreto 1077 de 2015> El costo medio de operación hasta el subsistema de suministro se determina de acuerdo con la siguiente fórmula:

Donde:
| Costo medio de operación hasta el subsistema de suministro de agua potable (pesos de diciembre del año base/m3) del sistema de acueducto. | |
| Costo de operación total asociado al subsistema de suministro en el año i (pesos de diciembre del año base) del sistema de acueducto. Incluye los costos de operación del subsistema de producción y de las entradas por contratos de suministro de agua potable. | |
| Volumen entregado por contratos de suministro y/o interconexión de agua potable en el año i de los subsistemas de suministro y transporte (m3/año). | |
| Índice de agua suministrada por suscriptor facturado en el año i (m3/suscriptor/mes), según lo definido en el Artículo 14 de la presente resolución. | |
| Número de suscriptores promedio por facturar en el año i para el servicio público domiciliario de acueducto, según lo definido en el Artículo 10 de la presente resolución. |
PARÁGRAFO. <Parágrafo modificado por el artículo 22 de la Resolución 735 de 2015. El nuevo texto es el siguiente:> Para el cálculo del costo medio de operación comparable se deberá separar el costo de operación total asociado al subsistema de suministro en el año i (pesos de diciembre del año base) establecido en la fórmula como COTi,s,ac, entre costos comparables y particulares y aplicar en dicho cálculo el denominador establecido en el presente artículo.
ARTÍCULO 61.A. COSTO MEDIO DE OPERACIÓN POR INVERSIONES AMBIENTALES ADICIONALES PARA LA PROTECCIÓN DE CUENCAS Y FUENTES DE AGUA, HASTA EL SUBSISTEMA DE SUMINISTRO DE AGUA POTABLE PARA EL AÑO I.
<Artículo integrado y unificado en el artículo 2.1.2.1.5.4 de la Resolución CRA 943 de 2021. Debe tenerse en cuenta lo dispuesto por el artículo 2.3.6.3.3.12 del Decreto 1077 de 2015> <Artículo adicionado por el artículo 3 de la Resolución 907 de 2019. El nuevo texto es el siguiente:> El Costo Medio de Operación por Inversiones Ambientales Adicionales para la Protección de Cuencas y Fuentes de Agua, para el año i, hasta el subsistema de suministro de agua potable se determina de acuerdo con la siguiente fórmula:
![]()
Costo medio de operación por inversiones ambientales adicionales para la protección de cuencas y fuentes de agua para el año i, hasta el subsistema de suministro de agua potable, expresado en pesos de diciembre del año base/m3.
Costos operativos asociados al subsistema de suministro por inversiones ambientales adicionales para la protección de cuencas y fuentes de agua para el año i-1 a la inclusión de este costo. Incluye los costos de operación del subsistema de producción y de las entradas por contratos de suministro de agua potable.
Volumen entregado por contratos de suministro y/o interconexión de agua potable en el año i de los subsistemas de suministro y transporte (m3/año).
Índice de agua suministrada por suscriptor facturado en el año i (m3/suscriptor/mes), según lo definido en el artículo 14 de la presente resolución.
Número de suscriptores promedio por facturar en el año i para el servicio público domiciliario de acueducto, según lo definido en el artículo 10 de la presente resolución.
Tasa de capital de trabajo establecida en el artículo 21 de la presente resolución.
Año tarifario de conformidad con lo establecido en el artículo 55.A de la presente resolución.
ARTÍCULO 62.A. COSTO MEDIO DE INVERSIÓN AMBIENTAL ADICIONAL PARA LA PROTECCIÓN DE CUENCAS Y FUENTES DE AGUA PARA EL AÑO I, HASTA EL SUBSISTEMA DE SUMINISTRO DE AGUA POTABLE.
<Artículo integrado y unificado en el artículo 2.1.2.1.5.6 de la Resolución CRA 943 de 2021. Debe tenerse en cuenta lo dispuesto por el artículo 2.3.6.3.3.12 del Decreto 1077 de 2015> <Artículo adicionado por el artículo 4 de la Resolución 907 de 2019. El nuevo texto es el siguiente:> El costo medio de inversión ambiental adicional para la protección de cuencas y fuentes de agua, para el año i hasta el subsistema de suministro de agua potable, se determina de acuerdo con la siguiente fórmula:

Donde:
Costo medio de inversión ambiental adicional para la protección de cuencas y fuentes de agua para el año i, hasta el subsistema de suministro de agua potable, expresado en pesos de diciembre del año base/m3, para el servicio público domiciliario de acueducto.
Costo de las inversiones ambientales adicionales para la protección de cuencas y fuentes de agua para el subsistema de suministro de agua potable en el año i (pesos de diciembre del año base) del servicio público domiciliario de acueducto. Incluye los costos de inversiones ambientales adicionales para la protección de cuencas y fuentes de agua del subsistema de producción y de las entradas por contratos de suministro de agua potable.
Volumen entregado por contratos de suministro y/o interconexión de agua potable en el año i de los subsistemas de suministro y transporte (m3/año).
Índice de agua suministrada por suscriptor facturado en el año i (m3/suscriptor/mes), según lo definido en el artículo 14 de la presente resolución.
Número de suscriptores promedio por facturar en el año i para el servicio público domiciliario de acueducto, según lo definido en el artículo 10 de la presente resolución.
Año tarifario de conformidad con lo establecido en el artículo 55.A de la presente resolución.
ARTÍCULO 62. COSTO MEDIO DE INVERSIÓN HASTA EL SUBSISTEMA DE SUMINISTRO DE AGUA POTABLE DEL SISTEMA DE ACUEDUCTO.
. <Artículo integrado y unificado en el artículo 2.1.2.1.5.5 de la Resolución CRA 943 de 2021. Debe tenerse en cuenta lo dispuesto por el artículo 2.3.6.3.3.12 del Decreto 1077 de 2015> El costo medio de inversión hasta el subsistema de suministro se determina de acuerdo con la siguiente fórmula:
![]()
Donde:
| Costo medio de inversión hasta el subsistema de suministro de agua potable (pesos de diciembre del año base/m3) del sistema de acueducto. | |
| Función de valor presente para los diez (10) años. | |
| Costo de inversión hasta el subsistema de suministro de agua potable en el año i (pesos de diciembre del año base) para el sistema de acueducto. Incluye los costos de inversión del subsistema de producción y de las entradas por contratos de suministro de agua potable. | |
| Volumen entregado por contratos de suministro y/o interconexión de agua potable en el año i de los subsistemas de suministro y transporte (m3/año). | |
| Índice de agua suministrada por suscriptor facturado en el año i (m3/suscriptor/mes), según lo definido en el Artículo 14 de la presente resolución. | |
| Número de suscriptores promedio por facturar en el año i para el servicio público domiciliario de acueducto, según lo definido en el Artículo 10 de la presente resolución. |
ARTÍCULO 63. COSTO MEDIO GENERADO DE TASAS AMBIENTALES HASTA EL SUBSISTEMA DE SUMINISTRO DE AGUA POTABLE DEL SISTEMA DE ACUEDUCTO.
. <Artículo integrado y unificado en el artículo 2.1.2.1.5.7 de la Resolución CRA 943 de 2021. Debe tenerse en cuenta lo dispuesto por el artículo 2.3.6.3.3.12 del Decreto 1077 de 2015> El costo medio generado de tasas ambientales hasta el subsistema de suministro se determina de acuerdo con la siguiente fórmula:
![]()
Donde:
| Costo medio generado por tasas ambientales hasta el subsistema de suministro de agua potable del sistema de acueducto (pesos de diciembre del año base/m3). | |
| Monto a pagar en el período i por tasas ambientales para el servicio público domiciliario de acueducto de acuerdo con la normatividad vigente (pesos de diciembre del año base). | |
| Volumen entregado por contratos de suministro y/o interconexión de agua potable en el año i de los subsistemas de suministro y transporte (m3/año). | |
| Índice de agua suministrada por suscriptor facturado en el año i (m3/suscriptor/mes), según lo definido en el Artículo 14 de la presente resolución. | |
| Número de suscriptores promedio por facturar en el año i para el servicio público domiciliario de acueducto, según lo definido en el Artículo 10 de la presente resolución. | |
| Período de facturación de acuerdo con la normatividad vigente. |
ARTÍCULO 64. COSTO HASTA EL SUBSISTEMA DE TRANSPORTE DE AGUA POTABLE DEL SISTEMA DE ACUEDUCTO.
. <Artículo integrado y unificado en el artículo 2.1.2.1.5.6sic de la Resolución CRA 943 de 2021. Debe tenerse en cuenta lo dispuesto por el artículo 2.3.6.3.3.12 del Decreto 1077 de 2015> <Artículo modificado por el artículo 5 de la Resolución 907 de 2019. El nuevo texto es el siguiente:> El costo hasta el subsistema de transporte se determina de acuerdo con la siguiente fórmula:
![]()
Donde:
Costo hasta el subsistema de transporte de agua potable (pesos de diciembre del año base /m3) del sistema de acueducto.
Costo medio de operación hasta el subsistema de transporte de agua potable (pesos de diciembre del año base /m3) del sistema de acueducto, según lo definido en el artículo 65 de la presente resolución.
Costo medio de inversión hasta el subsistema de transporte de agua potable (pesos de diciembre del año base /m3) del sistema de acueducto, según lo definido en el artículo 66 de la presente resolución.
Costo medio generado de tasas ambientales hasta el subsistema de transporte de agua potable (pesos de diciembre del año base/m3) del sistema de acueducto, según lo definido en el artículo 67 de la presente resolución.
Costo medio de operación por inversiones ambientales adicionales para la protección de cuencas y fuentes de agua para el año i, hasta el subsistema de transporte de agua potable, expresado en pesos de diciembre del año base/m3, según lo definido en el artículo 65.A de la presente resolución.
Costo medio de inversión ambiental adicional para la protección de cuencas y fuentes de agua para el año i, hasta el subsistema de transporte de agua potable, expresado en pesos de diciembre del año base/m3, para el servicio público domiciliario de acueducto, según lo definido en el artículo 66.A de la presente resolución.
PARÁGRAFO. El costo hasta el subsistema de transporte de agua potable corresponde al costo de las actividades del subsistema de producción, las entradas por contratos de suministro de agua potable y las actividades del subsistema de transporte.
ARTÍCULO 65. COSTO MEDIO DE OPERACIÓN HASTA EL SUBSISTEMA DE TRANSPORTE DE AGUA POTABLE DEL SISTEMA DE ACUEDUCTO.
. <Artículo integrado y unificado en el artículo 2.1.2.1.5.7sic de la Resolución CRA 943 de 2021. Debe tenerse en cuenta lo dispuesto por el artículo 2.3.6.3.3.12 del Decreto 1077 de 2015> El costo medio de operación hasta el subsistema de transporte se determina de acuerdo con la siguiente fórmula:
![]()
Donde:
| Costo medio de operación hasta el subsistema de transporte de agua potable (pesos de diciembre del año base /m3) del sistema de acueducto. | |
| Costo de operación total asociado a los subsistemas de suministro y transporte en el año i (pesos de diciembre del año base) del sistema de acueducto. | |
| Volumen entregado por contratos de suministro de agua potable y/o interconexión en el año i del subsistema de suministro (m3/año). | |
| Costo medio de operación hasta el subsistema de suministro de agua potable (pesos de diciembre del año base/m3) del sistema de acueducto. | |
| Volumen entregado por contratos de suministro y/o interconexión de agua potable en el año i del subsistema de transporte (m3/año). | |
| Índice de agua suministrada por suscriptor facturado en el año i (m3/suscriptor/mes), según lo definido en el Artículo 14 de la presente resolución. | |
| Número de suscriptores promedio por facturar en el año i para el servicio público domiciliario de acueducto, según lo definido en el Artículo 10 de la presente resolución. |
PARÁGRAFO. <Parágrafo modificado por el artículo 23 de la Resolución 735 de 2015. El nuevo texto es el siguiente:> Para el cálculo del costo medio de operación comparable del subsistema se deberá separar, el costo de operación total asociado al subsistema de transporte en el año i (pesos de diciembre del año base) establecido en la fórmula como COTi,s+T entre costos comparables y particulares y aplicar en dicho cálculo el denominador establecido en el presente artículo.
ARTÍCULO 65.A. COSTO MEDIO DE OPERACIÓN POR INVERSIONES AMBIENTALES ADICIONALES PARA LA PROTECCIÓN DE CUENCAS Y FUENTES DE AGUA, HASTA EL SUBSISTEMA DE TRANSPORTE DE AGUA POTABLE PARA EL AÑO I.
<Artículo integrado y unificado en el artículo 2.1.2.1.5.8 de la Resolución CRA 943 de 2021. Debe tenerse en cuenta lo dispuesto por el artículo 2.3.6.3.3.12 del Decreto 1077 de 2015> <Artículo adicionado por el artículo 6 de la Resolución 907 de 2019. El nuevo texto es el siguiente:> El costo medio de operación hasta el subsistema de transporte se determina de acuerdo con la siguiente fórmula:
![]()
Donde:
Costo medio de operación por inversiones ambientales adicionales para la protección de cuencas y fuentes de agua para el año i, hasta el subsistema de transporte de agua potable, expresado en pesos de diciembre del año base/m3.
Costos operativos asociados al subsistema de suministro y transporte por inversiones ambientales adicionales para la protección de cuencas y fuentes de agua para el año i-1 a la inclusión de este costo.
Volumen entregado por contratos de suministro y/o interconexión de agua potable en el año i de los subsistemas de suministro (m3/año).
Costo medio de operación por inversiones ambientales adicionales para la protección de cuencas y fuentes de agua para el año i, hasta el subsistema de suministro de agua potable, expresado en pesos de diciembre del año base/m3.
Volumen entregado por contratos de suministro y/o interconexión de agua potable en el año i de los subsistemas de transporte (m3/año).
Índice de agua suministrada por suscriptor facturado en el año i (m3/suscriptor/mes), según lo definido en el artículo 14 de la presente resolución.
Número de suscriptores promedio por facturar en el año i para el servicio público domiciliario de acueducto, según lo definido en el artículo 10 de la presente resolución.
Tasa de capital de trabajo establecida en el artículo 21 de la presente resolución.
Año tarifario de conformidad con lo establecido en el artículo 55.A de la presente resolución.
ARTÍCULO 66. COSTO MEDIO DE INVERSIÓN HASTA EL SUBSISTEMA DE TRANSPORTE DE AGUA POTABLE DEL SISTEMA DE ACUEDUCTO.
. <Artículo integrado y unificado en el artículo 2.1.2.1.5.9 de la Resolución CRA 943 de 2021. Debe tenerse en cuenta lo dispuesto por el artículo 2.3.6.3.3.12 del Decreto 1077 de 2015> El costo medio de inversión hasta el subsistema de transporte se determina de acuerdo con la siguiente fórmula:
![]()
Donde:
| Costo medio de inversión hasta el subsistema de transporte de agua potable (pesos de diciembre del año base /m3) para el sistema de acueducto. | |
| Función de valor presente para los diez (10) años. | |
| Costo de inversión del subsistema de suministro y transporte de agua potable en el año i (pesos de diciembre del año base) para el sistema de acueducto. | |
| Volumen entregado por contratos de suministro y/o interconexión de agua potable en el año i del subsistema de suministro (m3/año). | |
| Costo medio de inversión hasta el subsistema de suministro de agua potable (pesos de diciembre del año base) para el sistema de acueducto. | |
| Volumen entregado por contratos de suministro y/o interconexión de agua potable en el año i del subsistema de transporte (m3/año). | |
| Índice de agua suministrada por suscriptor facturado en el año i (m3/suscriptor/mes), según lo definido en el Artículo 14 de la presente resolución. | |
| Número de suscriptores promedio por facturar en el año i para el servicio público domiciliario de acueducto, según lo definido en el Artículo 10 de la presente resolución. |
ARTÍCULO 66.A. COSTO MEDIO DE INVERSIÓN AMBIENTAL ADICIONAL PARA LA PROTECCIÓN DE CUENCAS Y FUENTES DE AGUA, HASTA EL SUBSISTEMA DE TRANSPORTE DE AGUA POTABLE DEL SISTEMA DE ACUEDUCTO PARA EL AÑO I.
<Artículo integrado y unificado en el artículo 2.1.2.1.5.10 de la Resolución CRA 943 de 2021. Debe tenerse en cuenta lo dispuesto por el artículo 2.3.6.3.3.12 del Decreto 1077 de 2015> <Artículo adicionado por el artículo 7 de la Resolución 907 de 2019. El nuevo texto es el siguiente:> El costo medio de inversión hasta el subsistema de transporte se determina de acuerdo con la siguiente fórmula:
![]()
Donde:
Costo medio de inversión ambiental adicional para la protección de cuencas y fuentes de agua para el año i, hasta el subsistema de transporte de agua potable, expresado en pesos de diciembre del año base/m3, para el servicio público domiciliario de acueducto.
Costo de las inversiones ambientales adicionales para la protección de cuencas y fuentes de agua para el subsistema de suministro y transporte de agua potable en el año i (pesos de diciembre del año base) del servicio público domiciliario de acueducto. Incluye los costos de inversiones ambientales adicionales para la protección de cuencas y fuentes de agua del subsistema de producción y de las entradas por contratos de suministro de agua potable.
Volumen entregado por contratos de suministro y/o interconexión de agua potable en el año i de los subsistemas de suministro (m3/año).
Costo medio de inversión ambiental adicional para la protección de cuencas y fuentes de agua para el año i, hasta el subsistema de suministro de agua potable, expresado en pesos de diciembre del año base/m3, para el servicio público domiciliario de acueducto.
Volumen entregado por contratos de suministro y/o interconexión de agua potable en el año i del subsistema de transporte (m3 /año).
Índice de agua suministrada por suscriptor facturado en el año i (m3/suscriptor/mes), según lo definido en el artículo 14 de la presente resolución.
Número de suscriptores promedio por facturar en el año i para el servicio público domiciliario de acueducto, según lo definido en el artículo 10 de la presente resolución.
Año tarifario de conformidad con lo establecido en el artículo 55.A de la presente resolución.
ARTÍCULO 67. COSTO MEDIO GENERADO DE TASAS AMBIENTALES HASTA EL SUBSISTEMA DE TRANSPORTE DE AGUA POTABLE DEL SISTEMA DE ACUEDUCTO.
. <Artículo integrado y unificado en el artículo 2.1.2.1.5.11 de la Resolución CRA 943 de 2021. Debe tenerse en cuenta lo dispuesto por el artículo 2.3.6.3.3.12 del Decreto 1077 de 2015> El costo medio generado de tasas ambientales hasta el subsistema de transporte se determina de acuerdo con la siguiente fórmula:
![]()
Donde:
| Costo medio generado por tasas ambientales hasta el subsistema de transporte de agua potable del sistema de acueducto (pesos de diciembre del año base/m3). | |
| Monto a pagar en el período i por tasas ambientales para el servicio público domiciliario de acueducto de acuerdo con la normatividad vigente (pesos de diciembre del año base). | |
| Costo medio generado por tasas ambientales hasta el subsistema de suministro de agua potable del sistema de acueducto (pesos de diciembre del año/m3). | |
| Volumen entregado por contratos de suministro y/o interconexión de agua potable en el año i del subsistema de suministro (m3/año). | |
| Volumen entregado por contratos de suministro y/o interconexión de agua potable en el año i del subsistema de transporte (m3/año). | |
| Índice de agua suministrada por suscriptor facturado en el año i (m3/suscriptor/mes), según lo definido en el Artículo 14 de la presente resolución. | |
| Número de suscriptores promedio por facturar en el año i para el servicio público domiciliario de acueducto, según lo definido en el Artículo 10 de la presente resolución. | |
| Período de facturación de acuerdo con la normatividad vigente. |
ARTÍCULO 68. COSTO HASTA EL SUBSISTEMA DE DISTRIBUCIÓN DE AGUA POTABLE DEL SISTEMA DE ACUEDUCTO.
. <Artículo integrado y unificado en el artículo 2.1.2.1.5.12 de la Resolución CRA 943 de 2021. Debe tenerse en cuenta lo dispuesto por el artículo 2.3.6.3.3.12 del Decreto 1077 de 2015> <Artículo modificado por el artículo 8 de la Resolución 907 de 2019. El nuevo texto es el siguiente:> El costo hasta el subsistema de distribución se determina de acuerdo con la siguiente fórmula:
![]()
Donde:
Costo hasta el subsistema de distribución de agua potable (pesos de diciembre del año base/m3) del sistema de acueducto.
Costo medio de operación hasta el subsistema de distribución de agua potable (pesos de diciembre del año base/m3) del sistema de acueducto, según lo definido en el artículo 69 de la presente resolución.
Costo medio de inversión hasta el subsistema de distribución de agua potable (pesos de diciembre del año base/m3) del sistema de acueducto, según lo definido en el artículo 70 de la presente resolución.
Costo medio generado de tasas ambientales hasta el subsistema de distribución de agua potable (pesos de diciembre del año base/m3) del sistema de acueducto, según lo definido en el artículo 71 de la presente resolución.
Costo Medio de Operación por Inversiones Ambientales Adicionales para la Protección de Cuencas y Fuentes de Agua, hasta el subsistema de distribución de agua potable para el año i, expresado en pesos de diciembre del año base/m3, para el servicio público domiciliario de acueducto, según lo definido en el artículo 69.A. de la presente resolución.
CostoMedio de Inversión Ambiental Adicional para la Protección de Cuencas y Fuentes de Agua, hasta el subsistema de distribución de agua potable para el año i, expresado en pesos de diciembre del año base/m3, para el servicio público domiciliario de acueducto, según lo definido en el artículo 70.A de la presente resolución.
PARÁGRAFO. El costo hasta el subsistema de distribución de agua potable corresponde al costo de las actividades del subsistema de producción, las entradas por contratos de suministro de agua potable, las actividades del subsistema de transporte y las actividades del subsistema de distribución.
ARTÍCULO 69. COSTO MEDIO DE OPERACIÓN HASTA EL SUBSISTEMA DE DISTRIBUCIÓN DE AGUA POTABLE DEL SISTEMA DE ACUEDUCTO.
. <Artículo integrado y unificado en el artículo 2.1.2.1.5.13 de la Resolución CRA 943 de 2021. Debe tenerse en cuenta lo dispuesto por el artículo 2.3.6.3.3.12 del Decreto 1077 de 2015> El costo medio de operación hasta el subsistema de distribución se determina de acuerdo con la siguiente fórmula:
![]()
Donde:
| Costo medio de operación hasta el subsistema de distribución de agua potable (pesos de diciembre del año base/m3) del sistema de acueducto. | |
| Costo de operación total asociado a los subsistema de suministro, transporte y distribución en el año i (pesos de diciembre del año base) del sistema de acueducto. | |
| Volumen entregado por contratos de suministro y/o interconexión de agua potable en el año i del subsistema de suministro (m3/año). | |
| Costo medio de operación hasta el subsistema de suministro de agua potable (pesos de diciembre del año base/m3) del sistema de acueducto. | |
| Volumen entregado por contratos de suministro y/o interconexión de agua potable en el año i del subsistema de transporte (m3/año). | |
| Costo medio de operación hasta el subsistema de transporte de agua potable (pesos de diciembre del año base/m3) del sistema de acueducto. | |
| Consumo corregido por pérdidas en el año i para el servicio público domiciliario de acueducto (m3/año), según lo definido en el Artículo 19 de la presente resolución. |
ARTÍCULO 69.A. COSTO MEDIO DE OPERACIÓN POR INVERSIONES AMBIENTALES ADICIONALES PARA LA PROTECCIÓN DE CUENCAS Y FUENTES DE AGUA, HASTA EL SUBSISTEMA DE DISTRIBUCIÓN DE AGUA POTABLE DEL SISTEMA DE ACUEDUCTO PARA EL AÑO i
<Artículo integrado y unificado en el artículo 2.1.2.1.5.14 de la Resolución CRA 943 de 2021. Debe tenerse en cuenta lo dispuesto por el artículo 2.3.6.3.3.12 del Decreto 1077 de 2015> <Artículo adicionado por el artículo 9 de la Resolución 907 de 2019. El nuevo texto es el siguiente:> El costo medio de operación hasta el subsistema de distribución se determina de acuerdo con la siguiente fórmula:

Donde:
Costo medio de operación por inversiones ambientales adicionales para la protección de cuencas y fuentes de agua para el año i, hasta el subsistema de distribución de agua potable, expresado en pesos de diciembre del año base/m3.
Costos operativos asociados al subsistema de suministro, transporte y distribución por inversiones ambientales adicionales para la protección de cuencas y fuentes de agua para el año i-1 a la inclusión de este costo.
Volumen entregado por contratos de suministro y/o interconexión de agua potable en el año i del subsistema de suministro (m3/año).
Costo medio de operación por Inversiones Ambientales Adicionales para la Protección de Cuencas y Fuentes de Agua, hasta el subsistema de suministro de agua potable (pesos de diciembre del año base/m3) del sistema de acueducto.
Volumen entregado por contratos de suministro y/o interconexión de agua potable en el año i del subsistema de transporte (m3 /año).
Costo medio de operación por inversiones ambientales adicionales para la protección de cuencas y fuentes de agua para el año i, hasta el subsistema de transporte de agua potable, expresado en pesos de diciembre del año base/m3.
Consumo corregido por pérdidas en el año i para el servicio público domiciliario de acueducto (m3/año), según lo definido en el artículo 19 de la presente resolución.
Tasa de capital de trabajo establecida en el artículo 21 de la presente resolución.
Año tarifario de conformidad con lo establecido en el artículo 55.A de la presente resolución.
ARTÍCULO 70. COSTO MEDIO DE INVERSIÓN HASTA EL SUBSISTEMA DE DISTRIBUCIÓN DE AGUA POTABLE DEL SISTEMA DE ACUEDUCTO.
. <Artículo integrado y unificado en el artículo 2.1.2.1.5.15 de la Resolución CRA 943 de 2021. Debe tenerse en cuenta lo dispuesto por el artículo 2.3.6.3.3.12 del Decreto 1077 de 2015> El costo medio de inversión hasta el subsistema de distribución de agua potable se determina de acuerdo con la siguiente fórmula:
![]()
Donde:
| Costo medio de inversión hasta el subsistema de suministro de agua potable (pesos de diciembre del año base/m3) del sistema de acueducto. | |
| Función de valor presente para los diez (10) años. | |
| Costo de inversión del subsistema de suministro, transporte y distribución de agua potable en el año i (pesos de diciembre del año base del sistema de acueducto. | |
| Volumen entregado por contratos de suministro y/o interconexión de agua potable en el año i del subsistema de producción (m3/año). | |
| Costo medio de inversión hasta el subsistema de suministro de agua potable (pesos de diciembre del año base/m3) del sistema de acueducto. | |
| Volumen entregado por contratos de suministro y/o interconexión de agua potable en el año i del subsistema de transporte (m3/año). | |
| Costo medio de inversión hasta el subsistema de transporte de agua potable (pesos de diciembre del año base/m3) del sistema de acueducto. | |
| Consumo corregido por pérdidas en el año i para el servicio de acueducto (m3/año), según lo definido en el Artículo 19 de la presente resolución. |
ARTÍCULO 70.A. COSTO MEDIO DE INVERSIÓN AMBIENTAL ADICIONAL PARA LA PROTECCIÓN DE CUENCAS Y FUENTES DE AGUA, HASTA EL SUBSISTEMA DE DISTRIBUCIÓN DE AGUA POTABLE DEL SISTEMA DE ACUEDUCTO PARA EL AÑO i.
<Artículo integrado y unificado en el artículo 2.1.2.1.5.16 de la Resolución CRA 943 de 2021. Debe tenerse en cuenta lo dispuesto por el artículo 2.3.6.3.3.12 del Decreto 1077 de 2015> <Artículo adicionado por el artículo 10 de la Resolución 907 de 2019. El nuevo texto es el siguiente:> El costo medio de inversión por Inversiones Ambientales Adicionales para la Protección de Cuencas y Fuentes de Agua, hasta el subsistema de distribución de agua potable se determina de acuerdo con la siguiente fórmula:
![]()
Donde:
Costo medio de inversión ambiental adicional para la protección de cuencas y fuentes de agua para el año i, hasta el subsistema de distribución de agua potable, expresado en pesos de diciembre del año base/m3, para el servicio público domiciliario de acueducto.
Costo de las inversiones ambientales adicionales para la protección de cuencas y fuentes de agua para el subsistema de suministro, transporte y distribución de agua potable en el año i (pesos de diciembre del año base) del servicio público domiciliario de acueducto. Incluye los costos de inversiones ambientales adicionales para la protección de cuencas y fuentes de agua del subsistema de producción y de las entradas por contratos de suministro de agua potable.
Volumen entregado por contratos de suministro y/o interconexión de agua potable en el año i del subsistema de suministro (m3/año).
Costo medio de inversión ambiental adicional para la protección de cuencas y fuentes de agua para el año i, hasta el subsistema de suministro de agua potable, expresado en pesos de diciembre del año base/m3, para el servicio público domiciliario de acueducto.
Volumen entregado por contratos de suministro y/o interconexión de agua potable en el año i del subsistema de transporte (m3 /año).
Costo medio de inversión ambiental adicional para la protección de cuencas y fuentes de agua para el año i, hasta el subsistema de transporte de agua potable, expresado en pesos de diciembre del año base/m3, para el servicio público domiciliario de acueducto.
Consumo corregido por pérdidas en el año i para el servicio de acueducto (m3/año), según lo definido en el artículo 19 y 55.A. de la presente resolución.”
Año tarifario de conformidad con lo establecido en el artículo 55.A de la presente resolución.
ARTÍCULO 71. COSTO MEDIO GENERADO DE TASAS AMBIENTALES HASTA EL SUBSISTEMA DE DISTRIBUCIÓN DE AGUA POTABLE DEL SISTEMA DE ACUEDUCTO.
. <Artículo integrado y unificado en el artículo 2.1.2.1.5.17 de la Resolución CRA 943 de 2021. Debe tenerse en cuenta lo dispuesto por el artículo 2.3.6.3.3.12 del Decreto 1077 de 2015> El costo medio generado de tasas ambientales hasta el subsistema de distribución se determina de acuerdo con la siguiente fórmula:
![]()
Donde:
| Costo medio generado por tasas ambientales hasta el subsistema de distribución de agua potable del sistema de acueducto (pesos de diciembre del año base/m3). | |
| Monto a pagar en el período i por tasas ambientales para el servicio público domiciliario de acueducto de acuerdo con la normatividad vigente (pesos de diciembre del año base). | |
| Costo medio generado por tasas ambientales hasta el subsistema de suministro de agua potable del sistema de acueducto (pesos de diciembre del año base/m3). | |
| Costo medio generado por tasas ambientales hasta el subsistema de transporte de agua potable del sistema de acueducto (pesos de diciembre del año base/m3). | |
| Volumen entregado por contratos de suministro y/o interconexión de agua potable en el año i del subsistema de suministro (m3/año). | |
| Volumen entregado por contratos de suministro y/o interconexión de agua potable en el año i del subsistema de transporte (m3/año). | |
| Consumo corregido por pérdidas en el año i (m3) para el servicio público domiciliario de acueducto. | |
| Período de facturación de acuerdo con la normatividad vigente. |
ARTÍCULO 72. COSTO DESDE EL SUBSISTEMA DE RECOLECCIÓN DE AGUAS RESIDUALES DEL SISTEMA DE ALCANTARILLADO.
. <Artículo integrado y unificado en el artículo 2.1.2.1.5.18 de la Resolución CRA 943 de 2021. Debe tenerse en cuenta lo dispuesto por el artículo 2.3.6.3.3.12 del Decreto 1077 de 2015> El costo desde el subsistema de recolección de aguas residuales se determina de acuerdo con la siguiente fórmula:
![]()
Donde:
| Costo desde el subsistema de recolección de aguas residuales (pesos de diciembre del año base/m3) del sistema de alcantarillado. | |
| Costo medio de operación del subsistema de recolección de aguas residuales (pesos de diciembre del año base/m3) del sistema de alcantarillado, según lo definido en Artículo 73 de la presente resolución. | |
| Costo medio de inversión del subsistema de recolección de aguas residuales (pesos de diciembre del año base/m3) del sistema de alcantarillado, según lo definido en Artículo 74 de la presente resolución. | |
| Costo medio generado por tasas ambientales para alcantarillado (pesos de diciembre del año base/m3), según lo definido en el Artículo 5 5 de la presente resolución. |
PARÁGRAFO. El costo desde el subsistema de recolección de aguas residuales corresponde al costo de las actividades de los subsistemas de recolección, transporte, y tratamiento y/o disposición final.
ARTÍCULO 73. COSTO MEDIO DE OPERACIÓN DESDE EL SUBSISTEMA DE RECOLECCIÓN DE AGUAS RESIDUALES DEL SISTEMA DE ALCANTARILLADO.
. <Artículo integrado y unificado en el artículo 2.1.2.1.5.19 de la Resolución CRA 943 de 2021. Debe tenerse en cuenta lo dispuesto por el artículo 2.3.6.3.3.12 del Decreto 1077 de 2015> El costo medio de operación desde el subsistema de recolección se determina de acuerdo con la siguiente fórmula:
![]()
Donde:
| Costo medio de operación desde el subsistema de recolección de aguas residuales (pesos de diciembre del año base/m3) del sistema de alcantarillado. | |
| Costo de operación total asociado a los subsistema de recolección, transporte y tratamiento y/o disposición final de aguas residuales en el año i (pesos de diciembre del año base) del sistema de alcantarillado. | |
| Volumen de interconexión en el año i del subsistema de transporte de aguas residuales (m3/año). | |
| Costo medio de operación desde el subsistema de transporte de aguas residuales (pesos de diciembre del año base/m3) del sistema de alcantarillado. | |
| Volumen de interconexión en el año i del subsistema de tratamiento y/o disposición final de aguas residuales (m3/año). | |
| Costo medio de operación desde el subsistema de tratamiento y/o disposición final de aguas residuales (pesos de diciembre del año base/m3) del sistema de alcantarillado. | |
| Volumen de interconexión en el año i del subsistema de recolección de aguas residuales (m3/año). | |
| Consumo corregido por pérdidas en el año i para el servicio público domiciliario de alcantarillado (m3/año), según lo definido en el Artículo 19 de la presente resolución. |
ARTÍCULO 74. COSTO MEDIO DE INVERSIÓN DESDE EL SUBSISTEMA DE RECOLECCIÓN DE AGUAS RESIDUALES DEL SISTEMA DE ALCANTARILLADO.
. <Artículo integrado y unificado en el artículo 2.1.2.1.5.20 de la Resolución CRA 943 de 2021. Debe tenerse en cuenta lo dispuesto por el artículo 2.3.6.3.3.12 del Decreto 1077 de 2015> El costo medio de inversión desde el subsistema de recolección se determina de acuerdo con la siguiente fórmula:
![]()
Donde:
| Costo medio de inversión desde el subsistema de recolección de aguas residuales (pesos de diciembre del año base/m3) del sistema de alcantarillado. | |
| Función de valor presente para los diez (10) años de proyección. | |
| Costo de inversión del subsistema de recolección, transporte y tratamiento y/o disposición final de aguas residuales en el año i (pesos de diciembre del año base) del sistema de alcantarillado. | |
| Volumen de interconexión en el año i del subsistema de transporte de aguas residuales (m3/año). | |
| Costo medio de operación desde el subsistema de transporte de aguas residuales (pesos de diciembre del año base/m3) del sistema de alcantarillado. | |
| Volumen de interconexión en el año i del subsistema de tratamiento y/o disposición final de aguas residuales (m3/año). | |
| Costo medio de operación desde el subsistema de tratamiento y/o disposición final de aguas residuales (pesos de diciembre del año base/m3) del sistema de alcantarillado. | |
| Volumen de interconexión en el año i del subsistema de recolección de aguas residuales (m3/año). | |
| Consumo corregido por pérdidas en el año i para el servicio público domiciliario de alcantarillado (m3/año), según lo definido en el Artículo 19 de la presente resolución. |
ARTÍCULO 75. COSTO DESDE EL SUBSISTEMA DE TRANSPORTE DE AGUAS RESIDUALES DEL SISTEMA DE ALCANTARILLADO.
. <Artículo integrado y unificado en el artículo 2.1.2.1.5.21 de la Resolución CRA 943 de 2021. Debe tenerse en cuenta lo dispuesto por el artículo 2.3.6.3.3.12 del Decreto 1077 de 2015> El costo desde el subsistema de transporte de aguas residuales se determina de acuerdo con la siguiente fórmula:
![]()
Donde:
| Costo desde el subsistema de transporte de aguas residuales (pesos de diciembre del año base/m3) del servicio de alcantarillado. | |
| Costo medio de operación desde el subsistema de transporte de aguas residuales (pesos de diciembre del año base/m3) del sistema de alcantarillado, según lo definido en el Artículo 76 de la presente resolución. | |
| Costo medio de inversión desde el subsistema de transporte de aguas residuales (pesos de diciembre del año base/m3) del sistema de alcantarillado, según lo definido en el Artículo 77 de la presente resolución. | |
| Costo medio generado por tasas ambientales para alcantarillado (pesos de diciembre del año base/m3), según lo definido en el Artículo 55 de la presente resolución. |
PARÁGRAFO. El costo desde el subsistema de transporte de aguas residuales corresponde al costo de las actividades de los subsistemas de transporte, y tratamiento y/o disposición final de aguas residuales.
ARTÍCULO 76. COSTO MEDIO DE OPERACIÓN DESDE EL SUBSISTEMA DE TRANSPORTE DE AGUAS RESIDUALES DEL SISTEMA DE ALCANTARILLADO.
. <Artículo integrado y unificado en el artículo 2.1.2.1.5.22 de la Resolución CRA 943 de 2021. Debe tenerse en cuenta lo dispuesto por el artículo 2.3.6.3.3.12 del Decreto 1077 de 2015> El costo medio de operación desde el subsistema de transporte se determina de acuerdo con la siguiente fórmula:

Donde:
| Costo medio de operación desde el subsistema de transporte de aguas residuales (pesos de diciembre del año base/m3) del sistema de alcantarillado. | |
| Costo de operación total asociado a los subsistema de transporte y tratamiento y/o disposición final de aguas residuales en el año i (pesos de diciembre del año base) del sistema de alcantarillado. | |
| Volumen de interconexión en el año i del subsistema de tratamiento y/o disposición final de aguas residuales (m3/año). | |
| Costo medio de operación hasta el subsistema de tratamiento y/o disposición final de aguas residuales (pesos de diciembre del año base/m3) del sistema de alcantarillado. | |
| Volumen de interconexión en el año i de los subsistemas de recolección y transporte de aguas residuales (m3/año). | |
| Consumo corregido por pérdidas en el año i para el servicio público domiciliario de alcantarillado (m3/año), según lo definido en el Artículo 19 de la presente resolución. |
ARTÍCULO 77. COSTO MEDIO DE INVERSIÓN DESDE EL SUBSISTEMA DE TRANSPORTE DE AGUAS RESIDUALES DEL SISTEMA DE ALCANTARILLADO.
. <Artículo integrado y unificado en el artículo 2.1.2.1.5.23 de la Resolución CRA 943 de 2021. Debe tenerse en cuenta lo dispuesto por el artículo 2.3.6.3.3.12 del Decreto 1077 de 2015> El costo medio de inversión desde el subsistema de transporte de aguas residuales se determina de acuerdo con la siguiente fórmula:

Donde:
| Costo medio de inversión desde el subsistema de transporte de aguas residuales (pesos de diciembre del año base/m3) del sistema de alcantarillado. | |
| Función de valor presente para los diez (10) años de proyección. | |
| Costo de inversión del subsistema de transporte y tratamiento y/o disposición final de aguas residuales en el año i (pesos de diciembre del año base) del sistema de alcantarillado. | |
| Volumen de interconexión en el año i del subsistema de tratamiento y/o disposición final de aguas residuales (m3/año). | |
| Costo medio de inversión del subsistema de tratamiento y/o disposición final de aguas residuales (pesos de diciembre del año base/m3) del sistema de alcantarillado. | |
| Volumen de interconexión en el año i de los subsistemas de transporte y recolección de aguas residuales (m3/año). | |
| Consumo corregido por pérdidas en el año i para el servicio público domiciliario de alcantarillado (m3/año), según lo definido en el Artículo 19 de la presente resolución. |
ARTÍCULO 78. COSTO DEL SUBSISTEMA DE TRATAMIENTO Y/O DISPOSICIÓN FINAL DE AGUAS RESIDUALES DEL SISTEMA DE ALCANTARILLADO.
. <Artículo integrado y unificado en el artículo 2.1.2.1.5.24 de la Resolución CRA 943 de 2021. Debe tenerse en cuenta lo dispuesto por el artículo 2.3.6.3.3.12 del Decreto 1077 de 2015> El costo del subsistema de tratamiento y/o disposición final de aguas residuales se determina de acuerdo con la siguiente fórmula:
![]()
Donde:
| Costo del subsistema de tratamiento y/o disposición final de aguas residuales (pesos de diciembre del año base/m3) del sistema de alcantarillado. | |
| Costo medio de operación del subsistema de tratamiento y/o disposición final de aguas residuales (pesos de diciembre del año base/m3) del sistema de alcantarillado, según lo definido en el Artículo 79 de la presente resolución. | |
| Costo medio de inversión del subsistema de tratamiento y/o disposición final de aguas residuales (pesos de diciembre del año base/m3) del sistema de alcantarillado, según lo definido en el Artículo 80 de la presente resolución. | |
| Costo Medio generado por Tasas Ambientales para Alcantarillado (pesos de diciembre del año base/m3), definido en el Artículo 55 de la presente resolución. |
ARTÍCULO 79. COSTO MEDIO DE OPERACIÓN DEL SUBSISTEMA DE TRATAMIENTO Y/O DISPOSICIÓN FINAL DE AGUAS RESIDUALES DEL SISTEMA DE ALCANTARILLADO.
. <Artículo integrado y unificado en el artículo 2.1.2.1.5.25 de la Resolución CRA 943 de 2021. Debe tenerse en cuenta lo dispuesto por el artículo 2.3.6.3.3.12 del Decreto 1077 de 2015> El costo medio de operación del subsistema de tratamiento y/o disposición final se determina de acuerdo con la siguiente fórmula:

Donde:
| Costo medio de operación del subsistema de tratamiento y/o disposición final de aguas residuales (pesos de diciembre del año base/m3) del sistema de alcantarillado. | |
| Costo de operación total asociado al subsistema de tratamiento y/o disposición final de aguas residuales en el año i (pesos de diciembre del año base) del sistema de alcantarillado. | |
| Volumen de agua recolectada por contratos de interconexión en el año i de los subsistemas de recolección, transporte y tratamiento y/o disposición final de aguas residuales (m3/año). | |
| Consumo corregido por pérdidas en el año i para el servicio público domiciliario de alcantarillado (m3/año), según lo definido en el Artículo 19 de la presente resolución. |
ARTÍCULO 80. COSTO MEDIO DE INVERSIÓN DEL SUBSISTEMA DE TRATAMIENTO Y/O DISPOSICIÓN FINAL DE AGUAS RESIDUALES DEL SISTEMA DE ALCANTARILLADO.
. <Artículo integrado y unificado en el artículo 2.1.2.1.5.26 de la Resolución CRA 943 de 2021. Debe tenerse en cuenta lo dispuesto por el artículo 2.3.6.3.3.12 del Decreto 1077 de 2015> El costo medio de inversión del subsistema de tratamiento y/o disposición final se determina de acuerdo con la siguiente fórmula:
![]()
Donde:
| Costo medio de inversión del subsistema de tratamiento y/o disposición final de aguas residuales (pesos de diciembre del año base/m3) del sistema de alcantarillado. | |
| Función de valor presente para los diez (10) años de proyección. | |
| Costo de inversión del subsistema de tratamiento y/o disposición final de aguas residuales en el año i (pesos de diciembre del año base) del sistema de alcantarillado. | |
| Volumen de agua recolectada por contratos de interconexión en el año i de los subsistemas de recolección, transporte y tratamiento y/o disposición final de aguas residuales (m3/año). | |
| Consumo corregido por pérdidas en el año i para el servicio público domiciliario de alcantarillado (m3/año), según lo definido en el Artículo 19 de la presente resolución. |
DE LA FÓRMULA TARIFARIA.
ARTÍCULO 81. DEL CARGO FIJO. <Artículo integrado y unificado en el artículo 2.1.2.1.6.1 de la Resolución CRA 943 de 2021. Debe tenerse en cuenta lo dispuesto por el artículo 2.3.6.3.3.12 del Decreto 1077 de 2015> <Artículo modificado por el artículo 11 de la Resolución 907 de 2019. El nuevo texto es el siguiente:> El cargo fijo se determinará para cada servicio y se dividirá en los siguientes componentes:
Para el servicio público domiciliario de acueducto,
![]()
Donde:
Cargo fijo para el servicio público domiciliario de acueducto.
Costo Medio de Administración para el servicio público domiciliario de acueducto.
Costo Medio de Administración por Inversiones Ambientales Adicionales para la Protección de Cuencas y Fuentes de Agua. Para el servicio público domiciliario de alcantarillado,
![]()
Donde:
Cargo Fijo para el servicio público domiciliario de alcantarillado.
Costo Medio de Administración para el servicio público domiciliario de alcantarillado.
El cargo fijo, en concordancia con las metas de servicio y de eficiencia establecidos en la presente resolución, está asociado a los descuentos por reclamación comercial definidos en el TÍTULO VII de la presente resolución.
ARTÍCULO 82. DEL CARGO POR CONSUMO. <Artículo integrado y unificado en el artículo 2.1.2.1.6.2 de la Resolución CRA 943 de 2021. Debe tenerse en cuenta lo dispuesto por el artículo 2.3.6.3.3.12 del Decreto 1077 de 2015> <Artículo modificado por el artículo 12 de la Resolución 907 de 2019. El nuevo texto es el siguiente:> El cargo para todos los rangos de consumo se determinará para cada servicio y se dividirá en los siguientes componentes:
Para el servicio público domiciliario de acueducto,
![]()
Para el servicio público domiciliario de alcantarillado,
![]()
Donde:
Cargo por consumo para el servicio público domiciliario de acueducto.
Cargo por consumo para el servicio público domiciliario de alcantarillado.
Costo Medio de Operación para el servicio público domiciliario de acueducto, establecido en el artículo 29 de la presente resolución.
Costo Medio de Operación para el servicio público domiciliario de alcantarillado, establecido en el artículo 29 de la presente resolución.
Costo Medio de Inversión para el servicio público domiciliario de acueducto, establecido en el artículo 43 de la presente resolución.
Costo Medio de Inversión para el servicio público domiciliario de alcantarillado, establecido en el artículo 43 de la presente resolución.
Costo Medio generado por Tasas Ambientales para el servicio público domiciliario de acueducto, establecido en el artículo 54 de la presente resolución.
Costo Medio generado por Tasas Ambientales para el servicio público domiciliario de alcantarillado, establecido en el artículo 55 de la presente resolución.
Costo Medio Variable por Inversiones Ambientales Adicionales para la Protección de Cuencas y Fuentes de Agua, para el servicio público domiciliario de acueducto, establecido en el artículo 55.C. de la presente resolución.
PARÁGRAFO 1o. Los valores unitarios y totales cobrados al usuario por concepto de las tasas ambientales para los servicios públicos domiciliarios de acueducto y alcantarillado deberán hacerse explícitos en la factura.
PARÁGRAFO 2o. El cargo por consumo, en concordancia con las metas de servicio y de eficiencia establecidas en la presente resolución, está asociado a los descuentos por calidad del agua y continuidad del servicio definidos en el TÍTULO VII de la presente resolución.
PARÁGRAFO 3o. Los valores unitarios y totales cobrados al usuario por concepto de las inversiones ambientales adicionales para la protección de cuencas y fuentes de agua para el servicio público domiciliario de acueducto deberán hacerse explícitos en la factura.
ARTÍCULO 83. OPCIONES TARIFARIAS. <Artículo integrado y unificado en el artículo 2.1.2.1.6.3 de la Resolución CRA 943 de 2021. Debe tenerse en cuenta lo dispuesto por el artículo 2.3.6.3.3.12 del Decreto 1077 de 2015> En virtud de los dispuesto en el numeral 90.3 del artículo 90 de la Ley 142 de 1994 la Comisión de Regulación de Agua Potable y Saneamiento Básico podrá desarrollar opciones tarifarias que permitan al suscriptor acogerse a estas. Estos diseños tendrán en cuenta, entre otros, la variabilización del cargo fijo para la implementación de la opción de pago anticipado.
DE LA DEFINICIÓN DE DESCUENTOS ASOCIADOS A LA CALIDAD DEL SERVICIO.
ARTÍCULO 84. OBJETO. <Artículo integrado y unificado en el artículo 2.1.2.1.7.1.1 de la Resolución CRA 943 de 2021. Debe tenerse en cuenta lo dispuesto por el artículo 2.3.6.3.3.12 del Decreto 1077 de 2015> El objeto del presente título es determinar los descuentos asociados al incumplimiento de las metas de calidad de los servicios públicos domiciliarios de acueducto y alcantarillado, definidos bajo el concepto de integralidad tarifaria, con el fin de generar incentivos económicos para que las personas prestadoras de estos servicios incrementen de manera significativa su desempeño en lo que respecta a la calidad del servicio.
ARTÍCULO 85. ESTRUCTURA. <Artículo integrado y unificado en el artículo 2.1.2.1.7.1.2 de la Resolución CRA 943 de 2021. Debe tenerse en cuenta lo dispuesto por el artículo 2.3.6.3.3.12 del Decreto 1077 de 2015> <Artículo modificado por el artículo 1 de la Resolución 823 de 2017. El nuevo texto es el siguiente:> La formulación de los descuentos definidos en el presente título está basada en indicadores, a través de los cuales se estima el nivel de incumplimiento frente a las metas para alcanzar los estándares de calidad del servicio que aplican a los servicios públicos domiciliarios de acueducto y alcantarillado, desde la perspectiva de la gestión técnica y comercial.
En lo que respecta a la calidad técnica aplicable al servicio público domiciliario de acueducto, se tienen en cuenta dos indicadores: El primero para la Calidad de Agua Potable (ICAP) y el segundo para la Continuidad del Servicio (ICON). Para el servicio público domiciliario de alcantarillado no se generarán descuentos por la gestión técnica.
Por otra parte, para medir la gestión comercial de ambos servicios se tendrá en cuenta el Indicador de Reclamos Comerciales (IQR).
Los indicadores ICAP e ICON generan descuentos estimados a partir del valor del cargo por consumo, mientras que el indicador IQR genera descuentos asociados al cargo fijo. Estos descuentos beneficiarán únicamente a los suscriptores afectados por alguna de las dos dimensiones medidas a través de los indicadores mencionados.
La siguiente tabla presenta la estructura de Calidad y Descuentos:
Estructura de los descuentos asociados a la calidad de los servicios públicos domiciliarios de acueducto y alcantarillado
| Dimensión | Indicador | Descripción | Descuento | Beneficiario |
| Gestión Técnica | ICAP | Calidad de agua potable para el servicio público domiciliario de acueducto. | Descuento en el cargo por consumo. | Suscriptores del sistema. |
| ICON | Continuidad del servicio público domiciliario de acueducto. | Descuento en el cargo por consumo. | Suscriptores afectados. | |
| Gestión Comercial | IQR | Reclamos comerciales para los servicios públicos domiciliarios de acueducto y alcantarillado. | Descuento en el cargo fijo. | Suscriptores que reclamaron y cuya reclamación fue resuelta y cobró firmeza a su favor en segunda instancia durante el semestre analizado para el servicio de acueducto. |
La persona prestadora deberá reportar en el Sistema Único de Información - SUI toda la información que se requiera para la correcta aplicación del reglamento de calidad y descuentos, incluidos los cálculos; en este sentido se acogerán a la normativa de reporte que se expida para el efecto por la entidad competente.
Los cálculos que se presentan en los siguientes capítulos, deben realizarse con todos los decimales y su respectivo reporte al Sistema Único de Información - SUI debe hacerse por lo menos con tres cifras decimales de aproximación.
El régimen de calidad y descuentos que se describe en el presente título aplica sin perjuicio de las acciones o sanciones que la Superintendencia de Servicios Públicos Domiciliarios pueda efectuar por fallas en la prestación del servicio.
PARÁGRAFO. Los suscriptores a los cuales se les facture el servicio de alcantarillado con base en la medición de sus vertimientos, no les aplicará el descuento por reclamación comercial para el servicio público domiciliario de alcantarillado
DE LA GESTIÓN ASOCIADA A LAS METAS DE CALIDAD DEL AGUA.
ARTÍCULO 86. CÁLCULO DEL INDICADOR DE CALIDAD DEL AGUA POTABLE (ICAP). <Artículo integrado y unificado en el artículo 2.1.2.1.7.2.1 de la Resolución CRA 943 de 2021. Debe tenerse en cuenta lo dispuesto por el artículo 2.3.6.3.3.12 del Decreto 1077 de 2015> <Artículo modificado por el artículo 2 de la Resolución 823 de 2017. El nuevo texto es el siguiente:> La expresión que permite determinar este indicador es la siguiente:

Donde:
| p: | Corresponde a cada uno de los seis (6) meses continuos analizados dentro del semestre; y toma valores entre uno (1) y seis (6), donde el último mes es el mes actual de análisis m. |
| m: | Número del mes analizado dentro del semestre en estudio que varía entre 1 y 6. |
| ICAP: | Indicador de Calidad del Agua Potable basado en el promedio semestral de los valores mensuales del IRCA. |
| IRCAp: | Índice de riesgo de la calidad del agua para consumo humano (IRCA) por municipio y por persona prestadora del mes p, definido en los artículos 13 y 14 de la Resolución No. 2115 de 2007 o la norma que la modifique, adicione o derogue. Este índice corresponde al calculado mensualmente con muestras de control de la red de distribución, por las personas prestadoras en laboratorios autorizados. |
PARÁGRAFO 1. El ICAP estará expresado semestralmente y se calculará con la información que la persona prestadora reporte mensualmente en el Sistema Único de Información - SUI.
PARÁGRAFO 2. En todo caso, si el ICAP con base en el cual se calculó y aplicó el descuento, difiere de la información que la Superintendencia de Servicios Públicos Domiciliarios emplee para efectos de inspección, vigilancia y control del IRCA, ésta en ejercicio de sus funciones, adelantará las acciones a que haya lugar.
ARTÍCULO 87. VALOR DE INCUMPLIMIENTO ASOCIADO A LA CALIDAD DEL AGUA (VICAP). <Artículo integrado y unificado en el artículo 2.1.2.1.7.2.2 de la Resolución CRA 943 de 2021. Debe tenerse en cuenta lo dispuesto por el artículo 2.3.6.3.3.12 del Decreto 1077 de 2015> <Artículo modificado -parágrafo adicionado- por el artículo 3 de la Resolución 823 de 2017. El nuevo texto es el siguiente:>El valor del incumplimiento se determina semestralmente con base en el comportamiento de la persona prestadora respecto del indicador ICAP, mediante la siguiente expresión:
VICAP – FR * (1 – ICAP) * DmaxICAP * BDICAP
Donde:
| VICAP: | Valor de incumplimiento asociado a la calidad del agua expresado en pesos. |
| FR: | Factor de reincidencia en el incumplimiento. Este valor tomará los siguientes valores dependiendo de la reincidencia en el incumplimiento por parte de la persona prestadora en evaluaciones semestrales consecutivas: |
| # Semestres consecutivos de incumplimiento | Factor de reincidencia |
| 1 | 0,20 |
| 2 | 0,60 |
| 3 o superior | 1,00 |
ICAP: Indicador de Calidad del Agua Potable basado en el promedio semestral de los valores mensuales del IRCA, al que hace referencia el ARTÍCULO 86 de la presente resolución.
DmaxICAP: Factor de descuento máximo asociado a la calidad de agua. Este factor se obtiene con la siguiente expresión:
DmaxICAP – FP¡cap * ((FdCM0 * CMOac) + (FdCM¡ * CMIac))
| FPicap: | Factor de ponderación asociado a la calidad del agua, igual a 0,70. |
| FdCM0: | Factor de descuento asociado al Costo Medio de Operación (CMO), el cual es igual a 0,0261 para el primer segmento y 0,0243 para el segundo segmento. |
| FdCMI: | Factor de descuento asociado al Costo Medio de Inversión (CMI), el cual es igual a 0,1005 para el primer segmento y 0,1037 para el segundo segmento. |
| CMOac: | Costo Medio de Operación (CMO) para el servicio público domiciliario de acueducto, establecido en el ARTÍCULO 29 de la presente resolución. |
| CMIac: | Costo Medio de Inversión (CMI) para el servicio público domiciliario de acueducto, establecido en el ARTÍCULO 43 de la presente resolución. |
| BDICAP: | Volumen de agua facturada por la persona prestadora en el semestre de análisis para el servicio público domiciliario de acueducto en el APS analizada. |
PARÁGRAFO. En el evento en el que la persona prestadora cuente con suscriptores cuya opción de pago corresponda a la de pago anticipado, deberá incluir en la variable BDICAP los metros cúbicos facturados, recargados o pagados por anticipado en el semestre de análisis por estos suscriptores.
ARTÍCULO 88. DESCUENTO APLICABLE AL SUSCRIPTOR ASOCIADO A LA CALIDAD DEL AGUA (DICAPS). <Artículo integrado y unificado en el artículo 2.1.2.1.7.2.3 de la Resolución CRA 943 de 2021. Debe tenerse en cuenta lo dispuesto por el artículo 2.3.6.3.3.12 del Decreto 1077 de 2015> <Artículo modificado por el artículo 4 de la Resolución 823 de 2017. El nuevo texto es el siguiente:> El descuento aplicable al suscriptor final del servicio público domiciliario de acueducto, asociado con el valor del indicador de calidad del agua, se define de la siguiente manera:

Donde:
| DICAPS: | Valor del descuento asociado a la calidad del agua que debe ser reconocido a cada uno de los S suscriptores del servicio público domiciliario de acueducto. |
| VICAP: | Valor de incumplimiento asociado a la calidad del agua expresado en pesos. |
| VCS: | Volumen consumido por el suscriptor S en el semestre de análisis. |
| BDICAP: | Volumen de agua facturada por la persona prestadora en el semestre de análisis para el servicio público domiciliario de acueducto en el APS analizada. |
Este descuento será aplicable a todos los suscriptores del servicio público domiciliario de acueducto de la persona prestadora en el APS analizada.
PARÁGRAFO. En el evento en el que la persona prestadora cuente con suscriptores cuya opción de pago corresponda a la de pago anticipado, deberá incluir en la variable BDICAP los metros cúbicos facturados, recargados o pagados por anticipado en el semestre de análisis por estos suscriptores.
DE LA GESTIÓN ASOCIADA A LAS METAS DE CONTINUIDAD DEL SERVICIO.
ARTÍCULO 89. CÁLCULO DE LOS INDICADORES DE CONTINUIDAD. (
, y CICON). <Artículo integrado y unificado en el artículo 2.1.2.1.7.3.1 de la Resolución CRA 943 de 2021. Debe tenerse en cuenta lo dispuesto por el artículo 2.3.6.3.3.12 del Decreto 1077 de 2015> <Artículo modificado por el artículo 2 de la Resolución 798 de 2017. El nuevo texto es el siguiente:> Estos indicadores únicamente aplicarán para el servicio público domiciliario de acueducto. Los indicadores de continuidad deben ser determinados de forma general para todo el sistema de la persona prestadora en el APS analizada y para cada una de las rutas de lectura. Para determinar los indicadores de continuidad, la persona prestadora deberá cargar en el SUI, con una periodicidad mensual, la información que se relaciona en la siguiente tabla:
Información base para el cálculo del indicador de continuidad con el cual se realizarán los descuentos.

Donde:
| m: | Número del mes analizado dentro del semestre en estudio que varía entre 1 y 6. |
| q: | Número de la afectación analizada por continuidad del servicio. |
| l: | Ruta de lectura afectada. |
| nc: | Número total de afectaciones en la continuidad del servicio por cualquier causa presentados en el mes p, en el APS analizada. |
| TAp,q,l: | Tiempo de afectación en la ruta de lectura l perteneciente a la afectación número q, que se presentó durante el mes p. Este parámetro se obtiene de multiplicar el número de suscriptores afectados en cada ruta de lectura (Columna D en la tabla) por el tiempo que duró la afectación en días (Columna H en la tabla). |
| TAp,TOTAL: | Tiempo total de afectación del sistema, el cual se obtiene como la sumatoria de todos los TAp,q,l presentados durante el mes p en el APS analizada. |
Para efectos del presente capítulo, las denominadas rutas de lectura se entenderán como el conjunto de puntos de consumo asociados a cuentas internas, cuyos medidores son leídos de forma ordenada uniendo dos puntos geográficos extremos a través de calles, para tomar la lectura de los medidores y posteriormente determinar los consumos en el proceso de facturación de cada punto.
Las expresiones para que cada persona prestadora determine el índice de continuidad en el APS del municipio para cada uno de los seis (6) meses del semestre de análisis de forma discriminada por cada ruta de lectura y general para todo el sistema, son las siguientes:

General para el sistema en el APS analizada
Donde:

| ICONml: | Índice de continuidad acumulado para la ruta de lectura y el mes m. |
| ICONm,TOTAL: | Índice de continuidad acumulado y general de todo el sistema de la persona prestadora en el APS analizada para el mes m. |
| TAp,RUTAl: | Tiempo de afectación mensual por continuidad del servicio para la misma ruta de lectura l, durante el mes p. Este parámetro se calcula sumando todos los TAp,q,l de la misma ruta de lectura que pertenecen al mismo mes p, sin importar que correspondan a diferentes afectaciones. |
| TAp,TOTAL: | Tiempo total de afectación del sistema, el cual se obtiene por municipio y persona prestadora como la sumatoria de todos los TAp,q,l presentados durante el mes p. |
| NTUl: | Promedio durante el período de evaluación analizado, del número total de suscriptores de la ruta de lectura l. Al finalizar el semestre de análisis, este parámetro deberá corresponder al promedio del total de suscriptores de la ruta de lectura l, durante dicho semestre. |
| NTUTOTAL: | Promedio durante el período de evaluación analizado, del número total de suscriptores del sistema en el APS analizada de la persona prestadora. Al finalizar el semestre de análisis, este parámetro deberá corresponder al promedio del total de suscriptores del sistema en el APS durante dicho semestre para el municipio analizado de la persona prestadora. |
| dcp : | Número de días calendario del mes p. |
A partir del índice de continuidad acumulado y general de todo el sistema en el APS analizada (ICONm,TOTAL) y con base en la meta de continuidad para el semestre de análisis, se determina el índice de cumplimiento de continuidad que se tomará para establecer el descuento del servicio público domiciliario de acueducto, mediante la siguiente expresión:
![]()
Donde:
| CICON: | Índice de cumplimiento de continuidad para el servicio público domiciliario de acueducto, teniendo en cuenta como referencia la meta del POIR para el semestre de análisis. El indicador que se debe tener en cuenta para establecer el descuento corresponde al calculado con el ICON6,TOTAL de cada semestre analizado. |
| MICON: | Meta de continuidad establecida para el semestre de análisis, la cual está dada en fracción y es igual a la meta de junio del año tarifario anterior establecida dentro del POIR. |
PARÁGRAFO 1o. En el evento en que una persona prestadora cuente con suscriptores que no pertenezcan a ninguna ruta de lectura, para efectos de establecer el indicador de continuidad asociado a dichos suscriptores, estos se deberán identificar por la cuenta interna y por la dirección de entrega de facturas.
PARÁGRAFO 2o. El CICON está expresado sobre una base de cálculo semestral, no obstante, los parámetros con los cuales se calcula dicho indicador deberán ser reportados al SUI con una periodicidad mensual.
ARTÍCULO 90. VALOR DE INCUMPLIMIENTO ASOCIADO A LA CONTINUIDAD DEL SERVICIO (VICON). <Artículo integrado y unificado en el artículo 2.1.2.1.7.3.2 de la Resolución CRA 943 de 2021. Debe tenerse en cuenta lo dispuesto por el artículo 2.3.6.3.3.12 del Decreto 1077 de 2015> <Artículo modificado -adiciona parágrafo- por el artículo 5 de la Resolución 823 de 2017. El nuevo texto es el siguiente:> mportamiento de la persona prestadora respecto del indicador CICON, mediante la siguiente expresión:
VICON = FR * (1 - CICON) * DmaxICON * BDICON
Donde:
| VICON: | Valor de incumplimiento asociado a la continuidad del servicio público domiciliario de acueducto del APS analizada, expresado en pesos. |
| FR: | Factor de reincidencia en el incumplimiento. Corresponde a los valores del factor de reincidencia establecido en el ARTÍCULO 87 de la presente resolución. La variación de sus valores depende de la reincidencia en el incumplimiento por parte de la persona prestadora en semestres consecutivos. |
| CICON: | Índice de cumplimiento de continuidad para el servicio público domiciliario de acueducto, teniendo en cuenta como referencia la meta del POIR para el semestre de análisis. El indicador que se debe tener en cuenta para establecer el descuento corresponde al calculado con el ICON6;rOTAL de cada semestre analizado, definido en el ARTÍCULO 89 de la presente resolución. |
| DmaxICON: | Factor de descuento máximo asociado a la continuidad del servicio público domiciliario de acueducto. Este factor se obtiene con la siguiente expresión: |
DmaxICON = FPIC0N * ((FdCM0 * CMOac) + (FdCMI * CMIac))
Donde:
| FPIC0N-, | Factor de ponderación asociado a la continuidad del servicio, igual a 0,30 |
| FdCM0: | Factor de descuento asociado al Costo Medio de Operación (CMO), el cual es igual a 0,0261 para el primer segmento y 0,0243 para el segundo segmento. |
| FdCMI: | Factor de descuento asociado al Costo Medio de Inversión (CMI), el cual es igual a 0,1005 para el primer segmento y 0,1037 para el segundo segmento. |
| CMOac: | Costo Medio de Operación (CMO) para el servicio público domiciliario de acueducto, establecido en el ARTÍCULO 29 de la presente resolución. |
| CMIac | Costo Medio de Inversión (CMI) para el servicio público domiciliario de acueducto, establecido en el ARTÍCULO 43 de la presente resolución. |
| BDICON: | Volumen de agua facturada por la persona prestadora en el semestre de análisis para el servicio público domiciliario de acueducto en el APS analizada. |
PARÁGRAFO. En el evento en el que la persona prestadora cuente con suscriptores cuya opción de pago corresponda a la de pago anticipado, deberá incluir en la variable BDICON los metros cúbicos facturados, recargados o pagados por anticipado en el semestre de análisis por estos suscriptores.
ARTÍCULO 91. DESCUENTO APLICABLE AL SUSCRIPTOR AFECTADO POR LA CONTINUIDAD DEL SERVICIO.
. <Artículo integrado y unificado en el artículo 2.1.2.1.7.3.3 de la Resolución CRA 943 de 2021. Debe tenerse en cuenta lo dispuesto por el artículo 2.3.6.3.3.12 del Decreto 1077 de 2015> <Artículo modificado -parágrafo adicionado- por el artículo 6 de la Resolución 823 de 2017. El nuevo texto es el siguiente:> Para determinar el descuento aplicable al suscriptor final S por incumplimiento en la meta de continuidad del servicio público domiciliario de acueducto, inicialmente es necesario establecer el valor del descuento aplicable a cada una de las rutas de lectura, de la siguiente forma:
![]()
| l: | El subíndice l hace referencia a cada ruta de lectura. |
| VICON: | Valor de incumplimiento asociado a la continuidad del servicio público domiciliario de acueducto del APS analizada, expresado en pesos. |
| DICON,: | Valor del descuento por cada ruta de lectura, asociado al cumplimiento de la meta de continuidad del servicio público domiciliario de acueducto. |
| IMICON,: | Incumplimiento en la continuidad del servicio público domiciliario de acueducto para cada ruta de lectura l, tomando como referencia la meta de continuidad establecida para el semestre de análisis. Este parámetro se calcula mediante la siguiente expresión: |
![]()
Donde:
| MICON: | Meta de continuidad establecida para el semestre de análisis, la cual está dada en fracción y es igual a la meta de junio del año tarifario anterior establecida dentro del POIR, definido en el ARTÍCULO 89 de la presente resolución. |
| ICON6i: | Índice de continuidad para la ruta de lectura l al finalizar el semestre de análisis, el cual se definió en el ARTÍCULO 89 de la presente resolución. |
| TIMICON: | Sumatoria de los incumplimientos en la continuidad de cada una de las rutas de lectura l, tomando como referencia la meta de continuidad establecida para el semestre de análisis. Este parámetro se calcula mediante la siguiente expresión: |

Donde:
| nl-. | Número total de rutas de lectura correspondientes al servicio público domiciliario deacueducto. |
Con el valor del descuento por cada ruta de lectura l es posible determinar el descuento aplicable a cada suscriptor S afectado por continuidad del servicio, de la siguiente forma:
![]()
Donde;
| DICONl,S: | Valor del descuento aplicable a cada suscriptor S afectado por la continuidad del servicio que pertenece a la ruta de lectura afectada l. |
| VCls: | Volumen de agua consumido por el suscriptor S afectado en la ruta de lectura afectada l, para el semestre de análisis. |
| BDICONiafec: | Volumen de agua total consumido por todos los suscriptores afectados de la ruta de lectura afectada l, para el semestre de análisis. |
Los descuentos definidos en este artículo, únicamente podrán aplicarse a los suscriptores cuyo servicio se vea afectado por la continuidad durante el semestre de análisis y sus niveles de continuidad en conjunto (continuidad del sistema para el semestre de análisis) sean inferiores a las metas establecidas en esta materia para el periodo de evaluación.
PARÁGRAFO. En el evento en el que la persona prestadora cuente con suscriptores cuya opción de pago corresponda a la de pago anticipado, deberá incluir en la variable BDICONiafec los metros cúbicos facturados, recargados o pagados por anticipado en el semestre de análisis por estos suscriptores.
DE LA GESTIÓN ASOCIADA A LAS METAS PARA RECLAMOS COMERCIALES.
ARTÍCULO 92. INDICADOR DE RECLAMOS COMERCIALES (IQR y CIQR). <Artículo integrado y unificado en el artículo 2.1.2.1.7.4.1 de la Resolución CRA 943 de 2021. Debe tenerse en cuenta lo dispuesto por el artículo 2.3.6.3.3.12 del Decreto 1077 de 2015> <Artículo modificado por el artículo 7 de la Resolución 823 de 2017. El nuevo texto es el siguiente:> Este indicador medirá el número de reclamos comerciales por facturación, resueltos a favor del suscriptor en segunda instancia y en firme la decisión, por cada 1.000 suscriptores durante el periodo de evaluación analizado. La expresión para determinar mensualmente este indicador es la siguiente:

Donde;
| p: | Corresponde a cada uno de los seis (6) meses continuos analizados dentro del semestre; y toma valores entre uno (1) y seis (6), donde el último mes es el mes actual de análisis m. |
| m: | Número del mes analizado dentro del semestre en estudio que varía entre 1 y 6. |
| IQRm: | Índice de reclamos comerciales para el mes m, dado en número de reclamos comerciales por facturación resueltos a favor del suscriptor en segunda instancia y en firme la decisión, por cada 1.000 suscriptores por m meses (al finalizar el semestre, dicho indicador se expresaría en número de reclamos comerciales por facturación resueltos a favor del suscriptor en segunda instancia y en firme la decisión por cada 1.000 suscriptores por semestre). |
| RCp: | Total de reclamos comerciales por facturación del servicio público domiciliario de acueducto, resueltos a favor del suscriptor en segunda instancia y en firme la decisión durante el mes p, perteneciente al semestre de análisis y radicados ante la Superintendencia de Servicios Públicos Domiciliarios en un periodo de tres semestres anteriores al semestre de aplicación, cuyo valor debe ser suministrado por cada persona prestadora, y discriminado por municipio. Únicamente se tendrán en cuenta las reclamaciones comerciales por facturación que surjan en virtud de la aplicación de la presente resolución. |
| mf: | Factor de periodicidad en la facturación que equivale al número de meses dentro del ciclo de facturación. |
| NTU: | Promedio durante el periodo de evaluación analizado, del número total de suscriptores del sistema y en el APS analizada para el servicio público domiciliario de acueducto. Al finalizar el semestre de análisis, este parámetro deberá corresponder al promedio del total de suscriptores del sistema durante dicho semestre que pertenecen al APS analizada. |
Teniendo en cuenta el estándar de eficiencia y la gradualidad de disminución de la diferencia que sobre este estándar de servicio se establece en el ARTÍCULO 9o de la presente resolución, se define el siguiente indicador de cumplimiento de la meta de reclamos comerciales que se tendrá en cuenta para el cálculo del descuento correspondiente:

Donde:
| CIQR: | Índice de cumplimiento de reclamos comerciales teniendo como referencia la meta establecida para el mes m de análisis. El indicador que se debe tener en cuenta para el cálculo del descuento corresponde al calculado con el IQR6 de cada semestre analizado. |
| MIQRm | Índice de reclamos comerciales establecido como meta para el mes m del semestre de análisis, el cual se calcula de la siguiente forma: |
![]()
Donde;
| MIQRf. | Es la meta de reclamos comerciales establecida para el año analizado i, la cual está expresada en número de reclamos comerciales por cada 1.000 suscriptores por año. |
PARÁGRAFO. El IQR está expresado sobre una base de cálculo semestral, no obstante, la información correspondiente al RCp y al IQRm deberá ser reportada al Sistema Único de Información - SUI con una periodicidad mensual y discriminada por municipio.
ARTÍCULO 93. VALOR DE INCUMPLIMIENTO ASOCIADO A LOS RECLAMOS COMERCIALES. (VIQRac/al). <Artículo integrado y unificado en el artículo 2.1.2.1.7.4.2 de la Resolución CRA 943 de 2021. Debe tenerse en cuenta lo dispuesto por el artículo 2.3.6.3.3.12 del Decreto 1077 de 2015> <Artículo modificado por el artículo 8 de la Resolución 823 de 2017. El nuevo texto es el siguiente:> El valor del incumplimiento de la persona prestadora respecto del indicador CIQR para los servicios públicos domiciliarios de acueducto y alcantarillado se determina semestralmente, mediante la siguiente expresión:
VIQRac/ai = FR * (1 – CIQR) * DmaxIQRac/al * BDIQRac/al
Donde:
| VIQRac/aí: | Valor de incumplimiento asociado a los reclamos comerciales que fueron resueltos a favor del suscriptor en segunda instancia y en firme la decisión, durante el semestre de análisis, para cada servicio. |
| FR: | Factor de reincidencia en el incumplimiento. Corresponde a los valores del factor de reincidencia establecidos en el ARTÍCULO 87 de la presente resolución. La variación de sus valores depende de la reincidencia en el incumplimiento por parte de la persona prestadora en semestres consecutivos. |
| CIQR: | Índice de cumplimiento de reclamos comerciales teniendo como referencia la meta establecida para el mes m de análisis, al que hace referencia el ARTÍCULO 92 de la presente resolución. |
| DmaxIQRac/al: | Factor de descuento máximo asociado a los reclamos comerciales para cada servicio. |
Este factor se obtiene con la siguiente expresión:
DmaxIQRac/al = 6 * FdCMA * CMAac/al
Donde:
| FdCMA: | Factor de descuento asociado al Costo medio de Administración (CMA) para cada servicio, el cual es igual a 0,0261 para el primer segmento y 0,0243 para el segundo segmento. |
| CMAac/ai: | Costo Medio de Administración (CMA) para cada servicio, establecido en el ARTÍCULO 22 de la presente resolución. |
| BDIQRac/ai: | Corresponde al parámetro NTUafecac/al establecido en el ARTÍCULO 94 de la presente resolución. |
PARÁGRAFO. Los descuentos correspondientes al servicio público domiciliario de alcantarillado se basan en las reclamaciones comerciales por facturación que se resuelvan a favor del suscriptor en segunda instancia y en firme la decisión para el servicio de acueducto, durante el periodo de evaluación, por lo que el valor de incumplimiento para el servicio público domiciliario de alcantarillado se calculará con base en el indicador de cumplimiento correspondiente al servicio público domiciliario de acueducto, de que trata el ARTÍCULO 92 de la presente resolución.
ARTÍCULO 94. DESCUENTO APLICABLE AL SUSCRIPTOR ASOCIADO A LOS RECLAMOS COMERCIALES. (DIQRS,ac/al). <Artículo integrado y unificado en el artículo 2.1.2.1.7.4.3 de la Resolución CRA 943 de 2021. Debe tenerse en cuenta lo dispuesto por el artículo 2.3.6.3.3.12 del Decreto 1077 de 2015> <Artículo modificado por el artículo 9 de la Resolución 823 de 2017. El nuevo texto es el siguiente:> El descuento aplicable al suscriptor final de cada servicio, asociado con el valor por incumplimiento de la persona prestadora con relación a la meta de reclamos comerciales, se define de la siguiente manera:

Donde;
| DIQRs,ac/ai: | Valor del descuento asociado a los reclamos comerciales que debe ser reconocido a cada uno de los S suscriptores para cada servicio, que presentaron reclamaciones comerciales por facturación, resueltas a su favor en segunda instancia y en firme la decisión, durante el semestre de análisis. |
| VIQRac/ai: | Valor de incumplimiento asociado a los reclamos comerciales que fueron resueltos a favor del suscriptor en segunda instancia y en firme la decisión, durante el semestre de análisis, para cada servicio, al que hace referencia el ARTÍCULO 93 de la presente resolución. |
| NTUafec,ac/ai: | Número de suscriptores que corresponda a cada servicio, que pertenezcan al APS analizada y que presentaron las reclamaciones comerciales por facturación, a las que hace referencia el parámetro RCp del ARTÍCULO 92 de la presente resolución. |
Los descuentos definidos en este artículo para cada servicio, únicamente podrán aplicarse a los suscriptores en el APS analizada que hayan presentado reclamaciones comerciales por facturación, resueltas a su favor y en firme la decisión, de acuerdo con el alcance de la decisión de la SSPD, durante el semestre de análisis.
TOTAL DE DESCUENTOS APLICABLES A CADA SUSCRIPTOR.
ARTÍCULO 95. DESCUENTO TOTAL APLICABLE AL SUSCRIPTOR DEL SERVICIO. <Artículo integrado y unificado en el artículo 2.1.2.1.7.5.1 de la Resolución CRA 943 de 2021. Debe tenerse en cuenta lo dispuesto por el artículo 2.3.6.3.3.12 del Decreto 1077 de 2015> <Artículo modificado por el artículo 10 de la Resolución 823 de 2017. El nuevo texto es el siguiente:> El descuento total aplicable al suscriptor final opera por cada servicio y se calculará de acuerdo con las siguientes fórmulas:
DTOTALs,ac = DICAPS + DICONl,S + DIQRs,ac
Donde:
| DICAPS: | Valor del descuento asociado a la calidad del agua que debe ser reconocido a cada uno de los S suscriptores del servicio público domiciliario de acueducto, al que hace referencia el ARTÍCULO 88 de la presente resolución. |
| DICONl,s : | Valor del descuento aplicable a cada suscriptor S afectado por la continuidad del servicio que pertenece a la ruta de lectura afectada l, al que hace referencia el ARTÍCULO 91 de la presente resolución. |
| DIQRs,ac/al: | Valor del descuento asociado a los reclamos comerciales que debe ser reconocido a cada uno de los S suscriptores para cada servicio, al que hace referencia el ARTÍCULO 94 de la presente resolución. |
En la factura deberá especificarse de forma individualizada los descuentos DICAPS, DICONl,s, DIQRs,ac y DTOTALS,ac para el servicio de acueducto y por separado los descuentos DIQRs,al y DTOTALs,al para el servicio de alcantarillado. El valor total del descuento por servicio se restará del valor facturado del servicio correspondiente, después de haber aplicado los subsidios y contribuciones a que haya lugar.
PARÁGRAFO: En el evento en el que la persona prestadora cuente con suscriptores cuya opción de pago corresponda a la de pago anticipado, en el comprobante de pago o factura deberá especificarse de forma individualizada o conjunta los descuentos DTOTALs,ac , DTOTALS,ai para los servicios de acueducto y alcantarillado. El valor del descuento total aplicable al suscriptor por cada servicio podrá hacerse efectivo en unidades de consumo a favor del suscriptor durante el semestre de aplicación de los descuentos.
ARTÍCULO 96. PLAZO PARA HACER EFECTIVOS LOS DESCUENTOS. <Artículo integrado y unificado en el artículo 2.1.2.1.7.5.2 de la Resolución CRA 943 de 2021. Debe tenerse en cuenta lo dispuesto por el artículo 2.3.6.3.3.12 del Decreto 1077 de 2015> <Artículo modificado por el artículo 11 de la Resolución 823 de 2017. El nuevo texto es el siguiente:> La persona cuenta con un plazo máximo de seis (6) meses para hacer efectivo el descuento total en la factura de los suscriptores afectados. Este plazo empezará a contar una vez finalice el semestre objeto de evaluación.
PARÁGRAFO 1o. En todo caso la persona prestadora al momento de hacer efectivos los descuentos, reconocerá a cada suscriptor afectado el descuento total pendiente con sus respectivos intereses corrientes, los cuales se causarán de manera periódica a la tasa mensual que corresponda al momento de hacer efectivo el descuento, de conformidad con el periodo de facturación de la persona prestadora. La tasa aplicable corresponde al promedio de las tasas activas del mercado, que hace referencia al interés bancario corriente efectivo anual, para la modalidad de crédito de consumo y ordinario, certificado por la Superintendencia Financiera de Colombia o quien haga sus veces. El método de causación corresponderá al aplicado por las entidades financieras sobre las operaciones de sus productos financieros.
Una vez vencido el plazo para hacer efectivos los descuentos sin que la persona prestadora los haya efectuado, se causara a favor de cada suscriptor, el interés moratorio previsto en el artículo 884 del Código de Comercio modificado por el artículo 111 de la Ley 510 de 1999.
PARÁGRAFO 2o. En el evento en el que la persona prestadora cuente con suscriptores cuya opción de pago corresponda a la de pago anticipado, el plazo para hacer efectivos los descuentos, será de seis (6) meses a partir de que se finalice el semestre objeto de análisis, en el que se deberá asignar las unidades de consumo a favor del suscriptor durante el semestre de aplicación de los descuentos.
DE LA VERIFICACIÓN DEL RÉGIMEN DE CALIDAD Y DESCUENTOS.
ARTÍCULO 97. REPORTE DE LOS INDICADORES. <Artículo integrado y unificado en el artículo 2.1.2.1.7.6.1 de la Resolución CRA 943 de 2021. Debe tenerse en cuenta lo dispuesto por el artículo 2.3.6.3.3.12 del Decreto 1077 de 2015> <Artículo modificado por el artículo 12 de la Resolución 823 de 2017. El nuevo texto es el siguiente:> La persona prestadora deberá reportar la información y los cálculos asociados a los indicadores de continuidad del servicio, de reclamos comerciales por facturación; así como, los cálculos asociados al indicador de calidad del agua, a través del Sistema Único de Información - SUI de la Superintendencia de Servicios Públicos Domiciliarios, para su ejercicio de vigilancia y control.
ARTÍCULO 98. VERIFICACIÓN DE LA ESTIMACIÓN DE LOS DESCUENTOS. <Artículo integrado y unificado en el artículo 2.1.2.1.7.6.2 de la Resolución CRA 943 de 2021. Debe tenerse en cuenta lo dispuesto por el artículo 2.3.6.3.3.12 del Decreto 1077 de 2015> <Artículo modificado por el artículo 13 de la Resolución 823 de 2017. El nuevo texto es el siguiente:> La persona prestadora verificará la estimación de los descuentos definidos en el presente título, asociados con la calidad del agua potable, la continuidad del servicio y la reclamación comercial por facturación de los servicios públicos domiciliarios de acueducto y alcantarillado y reportará la información al Sistema Único de Información - SUI en los términos definidos por la Superintendencia de Servicios Públicos Domiciliarios.
Lo anterior, sin perjuicio de las acciones de inspección, vigilancia y control de la Superintendencia de Servicios Públicos Domiciliarios.
ARTÍCULO 99. APLICACIÓN DE LOS DESCUENTOS. <Artículo integrado y unificado en el artículo 2.1.2.1.7.6.3 de la Resolución CRA 943 de 2021. Debe tenerse en cuenta lo dispuesto por el artículo 2.3.6.3.3.12 del Decreto 1077 de 2015> <Artículo modificado por el artículo 14 de la Resolución 823 de 2017. El nuevo texto es el siguiente:> Los descuentos definidos en el presente título deberán ser aplicados a los suscriptores afectados, y su estimación deberá ser reportada en el Sistema Único de Información (SUI) como lo establecen el artículo 97 y el artículo 98 de la presente resolución.
Lo anterior, sin perjuicio de las acciones de inspección, vigilancia y control de la Superintendencia de Servicios Públicos Domiciliarios.
ARTÍCULO 100. REPORTE DE LA INFORMACIÓN DE VERIFICACIÓN. <Artículo integrado y unificado en el artículo 2.1.2.1.7.6.4 de la Resolución CRA 943 de 2021. Debe tenerse en cuenta lo dispuesto por el artículo 2.3.6.3.3.12 del Decreto 1077 de 2015>
<Inciso modificado por el artículo 33 de la Resolución 735 de 2015. El nuevo texto es el siguiente:> Las personas prestadoras deberán reportar mensualmente ante la Superintendencia de Servicios Públicos Domiciliarios en las condiciones y medios que esta establezca, toda la información producto del proceso de verificación establecido en el presente capítulo.
Cada seis meses las personas prestadoras deberán dar a conocer a los suscriptores, utilizando medios masivos de difusión de amplia circulación local o en las facturas de cobro de los servicios públicos domiciliarios de acueducto y alcantarillado, el resultado de los descuentos obtenidos en el semestre inmediatamente anterior.
PARÁGRAFO. Los artículos definidos en el presente capítulo serán aplicados sin perjuicio de las acciones que la Superintendencia de Servicios Públicos Domiciliarios pueda efectuar con respecto al reporte adecuado de información y su correspondiente verificación y aplicación.
DISPOSICIONES FINALES DEL TÍTULO DE LA CALIDAD DEL SERVICIO.
ARTÍCULO 101. VALOR DE LOS INDICADORES POR NO REPORTE DE INFORMACIÓN. <Artículo integrado y unificado en el artículo 2.1.2.1.7.7.1 de la Resolución CRA 943 de 2021. Debe tenerse en cuenta lo dispuesto por el artículo 2.3.6.3.3.12 del Decreto 1077 de 2015> <Artículo modificado por el artículo 15 de la Resolución 823 de 2017. El nuevo texto es el siguiente:> Los indicadores semestrales que no puedan ser calculados por falta de reporte de información por parte de la persona prestadora, se entenderán como incumplidos. En este caso se aplicará a todos los suscriptores de la persona prestadora en el APS analizada, el descuento correspondiente al semestre consecutivo de incumplimiento según lo definido en el artículo 87 de la presente resolución, para el indicador no reportado.
Para el cálculo del valor de incumplimiento correspondiente al indicador no reportado, se deberá tomar un valor de cumplimiento del indicador respectivo igual a cero (0) y una base de descuento igual al total de suscriptores del APS al final del periodo de evaluación, en el caso de los descuentos asociados a la reclamación comercial en acueducto y alcantarillado, e igual al consumo total facturado durante el semestre de evaluación para los descuentos asociados con la calidad del agua potable y la continuidad de acueducto.
Para el cálculo del descuento aplicable al suscriptor, todos los suscriptores del APS se tomarán como suscriptores afectados. En el caso del descuento asociado a la continuidad del servicio de acueducto, el valor de incumplimiento se repartirá entre las rutas de lectura, y posteriormente entre los suscriptores, de forma proporcional al consumo semestral de cada ruta y suscriptor respectivamente.
Lo anterior sin perjuicio de las acciones a que haya lugar por parte de la Superintendencia de Servicios Públicos Domiciliarios.
ARTÍCULO 102. COSTOS DE REFERENCIA PARA EL CÁLCULO DE LOS DESCUENTOS. <Artículo integrado y unificado en el artículo 2.1.2.1.7.7.2 de la Resolución CRA 943 de 2021. Debe tenerse en cuenta lo dispuesto por el artículo 2.3.6.3.3.12 del Decreto 1077 de 2015> <Artículo modificado por el artículo 16 de la Resolución 823 de 2017. El nuevo texto es el siguiente:> Para efectos del cálculo de los descuentos de que trata el presente Título, los costos de referencia serán las tarifas del estrato 4 para el semestre de análisis.
PARÁGRAFO. En el evento que se presenten variaciones de la tarifa del estrato 4 durante el semestre de análisis, para el cálculo de los descuentos se utilizará el promedio de las tarifas, ponderado por los días del semestre durante los cuales estuvieron vigentes cada una de ellas.
ARTÍCULO 103. APLICACIÓN DEL RÉGIMEN DE CALIDAD Y DESCUENTOS. <Artículo integrado y unificado en el artículo 2.2.3.7.7.3 de la Resolución CRA 943 de 2021. Debe tenerse en cuenta lo dispuesto por el artículo 2.3.6.3.3.12 del Decreto 1077 de 2015> <Artículo modificado por el artículo 3 de la Resolución 798 de 2017. El nuevo texto es el siguiente:> Los descuentos asociados a los componentes de calidad de agua del agua potable, continuidad del servicio y reclamación comercial, entrarán en vigencia a partir del 1o de enero de 2018, con base en la medición que sobre estos componentes se haga durante el semestre comprendido entre el 1o de julio de 2017 y el 31 de diciembre de 2017.
PARÁGRAFO 1o. No obstante lo anterior, los prestadores de los servicios públicos domiciliarios de acueducto y alcantarillado deberán realizar la captura de información y el cálculo de los indicadores de seguimiento y cumplimiento, referentes a calidad del agua potable, continuidad del servicio y reclamación comercial, enmarcados dentro de los descuentos asociados a la calidad del servicio establecidos en el Título VII de la Resolución CRA 688 de 2014, modificado parcialmente mediante la Resolución CRA 735 de 2015, a partir del 1o de enero de 2017.
PARÁGRAFO 2o. Los descuentos asociados a la continuidad del servicio público domiciliario de acueducto para el segundo segmento, entrarán en vigencia a partir del inicio del tercer año, es decir a partir del mes de julio del año 2018, con base en la medición que se realice durante el semestre comprendido entre el 1o de enero y el 30 de junio de 2018.
DE LA IMPLEMENTACIÓN DE LA METODOLOGÍA TARIFARIA.
ARTÍCULO 104. REVISIÓN DE INFORMACIÓN Y PLAZOS. <Artículo integrado y unificado en el artículo 2.1.2.1.8.1 de la Resolución CRA 943 de 2021. Debe tenerse en cuenta lo dispuesto por el artículo 2.3.6.3.3.12 del Decreto 1077 de 2015> Las personas prestadoras de los servicios públicos domiciliarios de acueducto y alcantarillado deberán elaborar sus estudios de costos antes de lo dispuesto en el Artículo 114 de la presente resolución.
Para la elaboración del estudio de costos, las personas prestadoras deberán definir su APS teniendo en cuenta lo definido en el Artículo 7 de la presente resolución, deberán realizar la identificación de viviendas sin servicio, así como las valoraciones necesarias para establecer la BCR0 en los términos definidos en el Artículo 46 de la presente resolución.
Una vez elaborados los estudios de costos, serán remitidos a la Superintendencia de Servicios Públicos Domiciliarios y a la Comisión de Regulación de Agua Potable y Saneamiento Básico, a través del Sistema Único de Información – SUI.
PARÁGRAFO 1. Las personas prestadoras del segmento 2, que opten por aplicar la metodología establecida para el segmento 1 según la segmentación definida en el Artículo 4 de la presente resolución, deberán enviar una comunicación en el primer mes a partir de la entrada en vigencia de la presente resolución, a la Comisión de Regulación de Agua Potable y Saneamiento Básico, informando tal decisión.
PARÁGRAFO 2. Las personas prestadoras deberán tener a disposición de los entes de regulación, inspección, vigilancia y control, los soportes y documentos que sustentan todos los cálculos del estudio de costos.
PARÁGRAFO 3o. <Parágrafo adicionado por el artículo 35 de la Resolución 735 de 2015. El nuevo texto es el siguiente:> Las personas prestadoras con APS pertenecientes al segundo segmento, que opten por aplicar en estas la metodología establecida para el primer segmento, contarán con un mes adicional a partir de la publicación en el Diario Oficial de la presente resolución modificatoria de la Resolución CRA número 688 de 2014, para enviar a la Comisión de Regulación de Agua Potable y Saneamiento Básico una comunicación informando tal decisión. Una vez la persona prestadora informe que elige esta opción no podrá, en ningún caso, aplicar la metodología para el segundo segmento.
Las personas prestadoras con APS del segundo segmento que informaron tal decisión dentro del término previsto en el parágrafo 1o del artículo 104 de la Resolución CRA número 688 de 2014, no estarán obligadas a informar nuevamente.
PARÁGRAFO 4o. <Parágrafo adicionado por el artículo 35 de la Resolución 735 de 2015. El nuevo texto es el siguiente:> Las personas prestadoras con APS sujetas al ámbito de aplicación de la presente resolución que cuenten con otras APS que no hagan parte del mismo y opten por aplicar en estas la metodología dispuesta en la presente resolución, contarán con un mes a partir de la publicación en el Diario Oficial de la presente resolución modificatoria de la Resolución CRA número 688 de 2014, para enviar a la Comisión de Regulación de Agua Potable y Saneamiento Básico una comunicación informando tal decisión. Una vez la persona prestadora informe que elige esta opción no podrá, en ningún caso, aplicar la metodología que le correspondía inicialmente.
ARTÍCULO 105. AUTO-DECLARACIÓN DE INVERSIONES DE LA RESOLUCIÓN CRA 287 DE 2004. <Artículo integrado y unificado en el artículo 2.1.2.1.8.2 de la Resolución CRA 943 de 2021. Debe tenerse en cuenta lo dispuesto por el artículo 2.3.6.3.3.12 del Decreto 1077 de 2015> <Artículo modificado por el artículo 36 de la Resolución 735 de 2015. El nuevo texto es el siguiente:> Las personas prestadoras deberán realizar la autodeclaración de las inversiones planeadas y ejecutadas incluidas en los Planes de Inversión de los estudios de costos establecidos con base en la Resolución CRA número 287 de 2004, de conformidad con la metodología establecida en el Anexo III de la presente resolución.
DEL SEGUIMIENTO A LAS METAS.
ARTÍCULO 106. TABLERO DE CONTROL DEL CUMPLIMIENTO DE LAS METAS DE LOS INDICADORES. <Artículo integrado y unificado en el artículo 2.1.2.1.9.1 de la Resolución CRA 943 de 2021. Debe tenerse en cuenta lo dispuesto por el artículo 2.3.6.3.3.12 del Decreto 1077 de 2015> La Comisión de Regulación de Agua Potable y Saneamiento Básico incluirá en el esquema de información definido por la Superintendencia de Servicios Públicos Domiciliarios, un tablero de control que permitirá el seguimiento a la ejecución real de las metas para cada una de las dimensiones, para verificar la calidad de la planificación y cumplimiento de los proyectos incluidos por las personas prestadoras en el POIR.
Las personas prestadoras deberán revisar mensualmente el cumplimiento de las metas definidas en el POIR. Igualmente, deberán informar y reportar con la periodicidad que se establezca en el esquema de información definido por la Superintendencia de Servicios Públicos Domiciliarios, los valores anuales de los indicadores de gestión que muestran el cumplimiento de metas en relación con la ejecución de los proyectos. Lo anterior de conformidad con lo establecido en el Artículo 107 de la presente resolución.
El cumplimiento de las metas definidas en los Planes de Obras e Inversión Regulados, será objeto de verificación por parte de la Superintendencia de Servicios Públicos Domiciliarios, con el objeto de comprobar que los recursos presupuestados hayan sido planeados e invertidos eficientemente. La Comisión de Regulación de Agua Potable y Saneamiento Básico y la Superintendencia de Servicios Públicos Domiciliarios coordinarán la publicación por lo menos una vez en el semestre de los resultados del estado de estos Planes. Los valores recaudados anualmente y no invertidos por la persona prestadora deberán hacer parte de la provisión por diferencia en ejecución de inversiones definida en el Artículo 109 de la presente resolución.
Al finalizar el quinto año del período tarifario, la persona prestadora deberá realizar un informe que le permita a la Superintendencia de Servicios Públicos Domiciliarios realizar la verificación del cumplimiento de las metas proyectadas en su POIR frente a los recursos efectivamente invertidos para alcanzar dichas metas.
ARTÍCULO 107. SEGUIMIENTO DE LAS METAS PARA LOS INDICADORES. <Artículo integrado y unificado en el artículo 2.1.2.1.9.2 de la Resolución CRA 943 de 2021. Debe tenerse en cuenta lo dispuesto por el artículo 2.3.6.3.3.12 del Decreto 1077 de 2015> El seguimiento al cumplimiento de las metas propuestas para cada uno de los indicadores de servicio y de eficiencia, se hará de acuerdo con la periodicidad que se establezca en el esquema de reporte de información definido por la Superintendencia de Servicios Públicos Domiciliarios, quien hará públicos los resultados del seguimiento a las metas para los indicadores de eficiencia y de servicio.
Las personas prestadoras deberán reportar la información correspondiente a las metas de los indicadores de acuerdo con la siguiente tabla:
| INDICADOR | UNIDAD | META DEL ESTANDAR (Artículo 9) | LINEA BASE AÑO CERO | META AÑO 1 | … | META AÑO 10 | REFERENCIA PARA EL CÁLCULO DE LA META Y DEL INDICADOR |
| Nuevos suscriptores residenciales de acueducto. | Suscriptores | Artículo 11 | |||||
| ICUFi - Índice de Agua Consumida por Usuario Facturado Acueducto. | (m3/suscriptor/mes) | Artículo 15 | |||||
| Nuevos suscriptores residenciales de alcantarillado. | Suscriptores | Artículo 11 | |||||
| ICUFi - Índice de Agua Consumida por Usuario Facturado Alcantarillado. | (m3/suscriptor/mes) | Artículo 15 | |||||
| DACALi- Diferencia entre suscriptores de Acueducto y Alcantarillado. | Suscriptores | Metas anuales definidas por la persona prestadora con base en el POIR | |||||
| IPUFi - Índice de Pérdidas por Usuario Facturado. | (m3/suscriptor/mes) | Artículo 17 Artículo 18 | |||||
| ISUFi - Índice de Suministro por Usuario Facturado. | (m3/suscriptor/mes) | Artículo 14 | |||||
| CAUi – costos administrativos eficientes estándar por suscriptor mensual de acueducto. | ($/suscriptor/mes) | Artículo 25 Artículo 27 | |||||
| CAUi –costos administrativos eficientes estándar por suscriptor mensual de alcantarillado. | ($/suscriptor/mes) | Artículo 25 Artículo 27 | |||||
| COUi –costos operativos eficientes estándar por suscriptor mensual de acueducto. | ($/suscriptor/mes) | Artículo 32 Artículo 34 | |||||
| COUi –costos operativos eficientes estándar por suscriptor mensual de alcantarillado. | ($/suscriptor/mes) | Artículo 32 Artículo 34 | |||||
| CUP - Costos Unitarios Particulares acueducto. | ($/m3) | ? ICUP Artículo 38 Artículo 39 ¡Error! No se encuentra el origen de la referencia. | |||||
| CUP - Costos Unitarios Particulares alcantarillado. | ($/m3) | ? ICUP Artículo 37 Artículo 40 | |||||
| IQR - Indicador de reclamos comerciales. | (reclamos/1.000 suscriptores/periodo de tiempo analizado) | Artículo 92 | |||||
| EBITDA | ($/año) | Utilidad Operacional + Depreciación + Amortizaciones + Provisiones | |||||
| Liquidez | Razón | Activo corriente/Pasivo corriente | |||||
| Endeudamiento total | % | Pasivo total /Activo Total | |||||
| Cobertura de acueducto (Viviendas geo-referenciadas) | Nuevos suscriptores del servicio de acueducto | Artículo 11 | |||||
| Calidad de acueducto | Puntaje IRCA (%) | Artículo 9 | |||||
| Continuidad de acueducto | Días de prestación del servicio/ días totales del año | Artículo 9 | |||||
| Cobertura de alcantarillado (Viviendas geo-referenciadas) | Nuevos suscriptores del servicio de alcantarillado | Artículo 11 | |||||
| Calidad de alcantarillado | % de cumplimiento del PSMV | Artículo 9 | |||||
| Continuidad de alcantarillado | Días de prestación del servicio/ días totales del año | Artículo 9 | |||||
Para el cálculo de los costos de referencia se deben definir las metas anuales para los años 1 a 10, teniendo en cuenta los estándares de eficiencia establecidos en la presente resolución.
Para las metas cuyo resultado eficiente debe aumentar el indicador de cumplimiento será:
![]()
Cuando el resultado eficiente es disminuir el indicador se calculará:
![]()
PARÁGRAFO. Los indicadores que no puedan ser calculados por falta de reporte de información por parte de la persona prestadora, se entenderán como incumplidos, sin perjuicio de las acciones a que haya lugar por parte de la Superintendencia de Servicios Públicos Domiciliarios.
ARTÍCULO 108. VIGILANCIA Y CONTROL DE LOS INDICADORES. <Artículo integrado y unificado en el artículo 2.1.2.1.9.3 de la Resolución CRA 943 de 2021. Debe tenerse en cuenta lo dispuesto por el artículo 2.3.6.3.3.12 del Decreto 1077 de 2015> <Artículo modificado por el artículo 37 de la Resolución 735 de 2015. El nuevo texto es el siguiente:> La vigilancia y el control sobre los indicadores de servicio y de eficiencia la realizará la Auditoría Externa de Gestión y Resultados o quien haga sus veces, de acuerdo con lo establecido en la ley y la normativa vigente.
DISPOSICIONES FINALES.
ARTÍCULO 109. PROVISIÓN DE RECURSOS POR DIFERENCIAS ENTRE LAS INVERSIONES PLANEADAS Y EJECUTADAS DEL POIR. <Artículo integrado y unificado en el artículo 2.1.2.1.10.1 de la Resolución CRA 943 de 2021. Debe tenerse en cuenta lo dispuesto por el artículo 2.3.6.3.3.12 del Decreto 1077 de 2015> <Artículo modificado por el artículo 1 de la Resolución 938 de 2020. El nuevo texto es el siguiente:> Una vez finalizado el quinto año tarifario, y en los años subsiguientes, la provisión de recursos por diferencias entre las inversiones planeadas y ejecutadas del Plan de Obras e Inversiones Regulado - POIR, se determinará con base en la siguiente fórmula:

Provisión de recursos por diferencias entre las inversiones planeadas y ejecutadas del POIR al cierre del año tarifario p, para cada uno de los servicios públicos domiciliarios de acueducto y/o alcantarillado y para cada una de las Áreas de Prestación del Servicio -APS (pesos de diciembre de 2014).
Este valor deberá ser calculado en aplicación de la función de valor presente del año 1 al año p, descontando cada variable a analizar con la tasa de descuento (r) definida en el ARTÍCULO 20 de la presente resolución, así:

Diferencia entre el costo medio de las inversiones planeadas conforme al POIR actualizado y el costo medio de las inversiones ejecutadas del POIR actualizado, del activo j en el año i, para cada uno de los servicios públicos domiciliarios de acueducto y/o alcantarillado.
![]()
Costo de inversión del activo j en el año i, planeado conforme al POIR actualizado para cada uno de los servicios públicos domiciliarios de acueducto y/o alcantarillado (pesos de diciembre de 2014).
Costo de inversión del activo j ejecutado en el año i, para cada uno de los servicios públicos domiciliarios de acueducto y/o alcantarillado. Este costo se calcula con el valor de ejecución de los activos que entraron en operación (pesos de diciembre de 2014).
Consumo corregido por pérdidas del año i (m3), según lo definido en el estudio de costos, para cada servicio público domiciliario.
Implica la aplicación de la función de valor presente del año tarifario uno (1) al diez (10), descontando cada variable a analizar con la tasa de descuento (r) definida en el ARTÍCULO 20 de la presente resolución, así:

Metros cúbicos facturados en los años tarifarios del uno (1) hasta el año tarifario p, para cada uno de los servicios públicos domiciliarios de acueducto y/o alcantarillado.
Año tarifario que corresponde a un valor entre uno (1) y diez (10).
p: Año tarifario para el que se calcula el saldo de la provisión disponible en el encargo fiduciario, desde el año tarifario (i=5) y subsiguientes.
En los casos en que un prestador entre en operación con posterioridad al primero (1) de julio de 2016, la variable p se determinará teniendo en cuenta cada año tarifario posterior a la entrada en operación, esto es, los años tarifarios de la proyección de su estudio de costos.
j: Cada uno de los activos programados en el POIR actualizado, que hacen parte de la BCR hasta n activos.
r: Tasa de descuento según lo establecido en el ARTÍCULO 20 de la presente resolución.
PARÁGRAFO 1o. El POIR actualizado corresponde al POIR resultante de todas las modificaciones realizadas por el prestador a partir del año en que haya dado aplicación al artículo 52 de la Resolución CRA 688 de 2014, así como a lo señalado en los artículos 9, 14 y 15 de la Resolución CRA 864 de 2018, o cuando la CRA lo disponga en aplicación de la Resolución CRA 864 de 2018, previa solicitud de modificación de fórmula tarifaria de carácter particular y demás disposiciones regulatorias que expida esta Comisión de Regulación para tal fin.
PARÁGRAFO 2o. Para efectos de determinar el
, en los casos en que el valor de ejecución del activo j sea superior al valor planeado, se podrá considerar dicho valor de ejecución del activo j únicamente a partir del año tarifario p en que el prestador cumpla con las metas establecidas de conformidad con el ARTÍCULO 9 de la presente resolución. En todo caso, el mayor valor ejecutado en los proyectos del POIR debe cumplir con lo establecido en los artículos 50, 51 y 52 de la presente resolución. En el caso que el prestador no cumpla con las metas establecidas al año p, el valor de ejecución del activo j será igual al valor planeado.
La persona prestadora deberá tener a disposición de la Superintendencia de Servicios Públicos Domiciliarios los soportes respectivos.
En el evento que un activo j no haya entrado en operación al cierre del año tarifario i en el que fue planeado conforme al POIR actualizado, el
es igual a cero (0), hasta tanto el activo entre en operación.
PARÁGRAFO 3o. Los recursos de la provisión por diferencias entre las inversiones planeadas y ejecutadas del POIR deberán ser administrados en una cuenta individual de un encargo fiduciario. En caso que el prestador cuente con un encargo fiduciario previamente constituido, podrá hacer uso de éste mediante una cuenta individual. Los costos relacionados con el encargo fiduciario deberán ser asumidos por la persona prestadora.
PARÁGRAFO 4o. A partir del quinto año tarifario (p=5), y a más tardar al 31 de diciembre siguiente al cierre de cada año tarifario ??????el saldo del encargo fiduciario debe corresponder al valor resultante de la aplicación de la siguiente fórmula:
![]()
Donde:
Saldo en el encargo fiduciario de la provisión de los recursos por diferencias entre las inversiones planeadas y ejecutadas del POIR, para cada uno de los servicios públicos domiciliarios de acueducto y/o alcantarillado (pesos de junio del año tarifario p). En los casos en que el resultado del cálculo del
sea menor a cero (0), el saldo disponible en el encargo fiduciario deberá ser cero (0).
Provisión de recursos por diferencias entre las inversiones planeadas y ejecutadas del POIR al cierre del año tarifario p, para cada uno de los servicios públicos domiciliarios de acueducto y/o alcantarillado (pesos de diciembre de 2014).
Tasa de descuento según lo establecido en el ARTÍCULO 20 de la presente resolución.
Factor de indexación de los pesos de diciembre de 2014 a pesos de junio del año tarifario p, el cual se obtiene de dividir el IPC de junio del año tarifario p y el IPC de diciembre de 2014, teniendo presente que para ambos índices se emplee la misma base del IPC, establecida por el DANE
i: Año tarifario que corresponde a un valor entre uno (1) y diez (10).
p: Año tarifario para el que se calcula el valor de la provisión disponible en el encargo fiduciario, desde el año tarifario (i=5) y subsiguientes.
j: Cada uno de los activos programados en el POIR actualizado, que hacen parte de la BCR hasta n activos.
ARTÍCULO 109A. DESTINACIÓN DE LOS RECURSOS DE LA PROVISIÓN POR DIFERENCIAS ENTRE LAS INVERSIONES PLANEADAS Y EJECUTADAS DEL POIR DISPONIBLES EN EL ENCARGO FIDUCIARIO. <Artículo integrado y unificado en el artículo 2.1.2.1.10.2 de la Resolución CRA 943 de 2021. Debe tenerse en cuenta lo dispuesto por el artículo 2.3.6.3.3.12 del Decreto 1077 de 2015> <Artículo adicionado por el artículo 2 de la Resolución 938 de 2020. El nuevo texto es el siguiente:> Cuando posteriormente al cálculo del saldo del encargo fiduciario de los recursos de la provisión por diferencias entre las inversiones planeadas y ejecutadas del POIR, atendiendo a lo dispuesto en el parágrafo 5 del artículo 109 de la presente resolución, la persona prestadora ejecute una inversión pendiente del POIR actualizado, podrá actualizar dicho saldo para descontar el valor correspondiente a la provisión de esa inversión al año p anterior.
Adicionalmente, en los casos en que la persona prestadora hubiere ejecutado todas las inversiones pendientes del POIR actualizado y cuente con un saldo a favor en el encargo fiduciario, podrá destinar estos recursos para cubrir las inversiones realizadas diferentes a las incluidas en dicho POIR. Esto, siempre que dichas inversiones hayan entrado en operación entre el año tarifario i=1 y el año p; sean inversiones afectas a la prestación de los servicios públicos domiciliarios de acueducto y/o alcantarillado; cumplan con los principios de pertinencia, ajuste técnico y costos eficientes descritos en el ARTÍCULO 50 de la presente resolución y permitan mantener o mejorar los indicadores de las metas establecidas en el estudio de costos.
Los aportes bajo condición de que trata el numeral 87.9 del artículo 87 de la Ley 142 de 1994, modificado por el artículo 143 de la Ley 1151 de 2007 y por el artículo 99 de la Ley 1450 de 2011, no podrán tenerse en cuenta como inversiones diferentes a las incluidas en el POIR actualizado.
Las nuevas inversiones no harán parte del POIR, no generan cambios en el Costo Medio de Inversión- CMI y serán tenidas en cuenta en la base de capital regulada cero para el siguiente marco tarifario-
,definida en el ARTÍCULO 110 de la presente resolución. La persona prestadora deberá reportarlas al Sistema Único de Información – SUI.
PARÁGRAFO. En los casos en que la persona prestadora no destine el saldo del encargo fiduciario de acuerdo con lo señalado en el presente artículo, o lo utilice parcialmente, deberá mantener el saldo remanente en dicho encargo hasta el año t, definido en el artículo 110 de la presente resolución.
ARTÍCULO 110. BASE DE CAPITAL REGULADA CERO PARA EL SIGUIENTE MARCO TARIFARIO. <Artículo integrado y unificado en el artículo 2.1.2.1.10.3 de la Resolución CRA 943 de 2021. Debe tenerse en cuenta lo dispuesto por el artículo 2.3.6.3.3.12 del Decreto 1077 de 2015> <Artículo modificado por el artículo 3 de la Resolución 938 de 2020. El nuevo texto es el siguiente:> La base de capital regulada cero para el siguiente marco tarifario se determinará de acuerdo con la siguiente fórmula:

Donde:
Base de capital regulada cero para el siguiente marco tarifario en el año t para cada uno de los servicios públicos domiciliarios de acueducto y alcantarillado (pesos de diciembre del año 2014).
Base de capital regulada del año base calculada según lo definido en el ARTÍCULO 46 de la presente resolución para cada uno de los servicios públicos domiciliarios de acueducto y alcantarillado (pesos de diciembre del año 2014).
Valor ejecutado de cada uno de los activos j del POIR actualizado que se encuentren en operación al año t para cada uno de los servicios públicos domiciliarios de acueducto y alcantarillado (pesos de diciembre del año 2014).
Valor de las inversiones de cada uno de los activos j ejecutadas durante la aplicación de la presente resolución, que se encuentren en operación al cierre del año t, diferentes a las inversiones del POIR, para cada uno de los servicios públicos domiciliarios de acueducto y alcantarillado (pesos de diciembre del año 2014).
Costo Medio de Inversión del periodo de aplicación de la presente resolución, para cada uno de los servicios públicos domiciliarios de acueducto y/o alcantarillado (pesos de diciembre de 2014).
Metros cúbicos facturados en los años tarifarios del uno (1) hasta el año tarifario t, para cada uno de los servicios públicos domiciliarios de acueducto y/o alcantarillado.
Implica la aplicación de la función de valor presente, descontando cada variable a analizar con la tasa de descuento (r) definida en el ARTÍCULO 20 de la presente resolución, así:
![]()
j: Cada uno de los activos planeados en el POIR actualizado hasta n activos.
r: Tasa de descuento según lo establecido en el ARTÍCULO 20 de la presente resolución.
t: Último año tarifario de aplicación del presente marco tarifario que corresponderá al número de meses de aplicación dividido entre doce (12).
PARÁGRAFO 1. Para el cálculo de la
, la persona prestadora deberá tener en cuenta las modificaciones que haya realizado al
, durante el periodo de aplicación de la presente resolución, acorde con las disposiciones regulatorias.
PARÁGRAFO 2. En aquellos casos en que el valor ejecutado en los proyectos del POIR es mayor al planeado, para el cálculo del valor
, el valor total ejecutado de las inversiones del POIR en operación al año t, únicamente será tenido en cuenta en la
cuando el prestador haya cumplido al año t con las metas establecidas de conformidad con el ARTÍCULO 9 de la presente resolución.
En todo caso, el mayor valor ejecutado en los proyectos del POIR debe cumplir con lo establecido en los artículos 50, 51 y 52 de la presente resolución.
La persona prestadora deberá tener a disposición de la Superintendencia de Servicios Públicos Domiciliarios los soportes respectivos.
En el caso que el prestador no cumpla con las metas establecidas al año t, en la
solo se reconocerá los activos del POIR en operación al año t hasta el valor planeado de los mismos.
PARÁGRAFO 3. Para el cálculo del valor
el valor total ejecutado de estas inversiones que hayan entrado en operación al año t, únicamente será tenido en cuenta en la
, siempre que el prestador haya cumplido al año t, con las metas establecidas de conformidad con el ARTÍCULO 9 de la presente resolución.
El valor de
deberá corresponder al valor registrado en los estados financieros, depreciado hasta el día anterior a la finalización del año t.
En todo caso, el valor ejecutado de los proyectos diferente al POIR debe cumplir con lo establecido en los artículos 50, 51 y 52 de la presente resolución.
La persona prestadora deberá tener a disposición de la Superintendencia de Servicios Públicos Domiciliarios los soportes respectivos.
En el caso que el prestador no cumpla con las metas establecidas al año t, en la
no se reconocerán inversiones diferentes a las ejecutadas del POIR.
ARTÍCULO 111. ESQUEMA DE REGULACIÓN. <Artículo integrado y unificado en el artículo 2.1.2.1.10.4 de la Resolución CRA 943 de 2021. Debe tenerse en cuenta lo dispuesto por el artículo 2.3.6.3.3.12 del Decreto 1077 de 2015> El costo resultante de la aplicación de la metodología definida en la presente resolución será un valor máximo. Si la persona prestadora considera que puede aplicar un menor valor, deberá soportar ante la Comisión de Regulación de Agua Potable y Saneamiento Básico que se garantiza el cumplimiento de los criterios señalados en el artículo 87 de la Ley 142 de 1994, de las metas del servicio y de los estándares de eficiencia, así como del plan de obras e inversiones programado, establecidos en la presente resolución.
ARTÍCULO 112. REPORTE DE INFORMACIÓN. <Artículo integrado y unificado en el artículo 2.1.2.1.10.5 de la Resolución CRA 943 de 2021. Debe tenerse en cuenta lo dispuesto por el artículo 2.3.6.3.3.12 del Decreto 1077 de 2015> Las personas prestadoras deberán reportar la información requerida, en la oportunidad y calidad establecidas en la presente resolución y en el esquema de reporte de información definido por la Superintendencia de Servicios Públicos Domiciliarios. El incumplimiento a la presente disposición ocasionará las sanciones establecidas en la ley.
<Inciso modificado por el artículo 40 de la Resolución 735 de 2015. El nuevo texto es el siguiente:> Además de lo anterior, las personas prestadoras deberán tener a disposición de la Comisión de Regulación de Agua Potable y Saneamiento Básico (CRA), de la Superintendencia de Servicios Públicos Domiciliarios (SSPD), y de la entidad pública que lo requiera en ejercicio de sus funciones, la información relacionada con la prestación de los servicios públicos domiciliarios de acueducto y alcantarillado, que se le solicite, de acuerdo con las competencias de cada entidad.
ARTÍCULO 113. VIGENCIA DE LA FÓRMULA TARIFARIA. <Artículo integrado y unificado en el artículo 2.1.2.1.10.6 de la Resolución CRA 943 de 2021. Debe tenerse en cuenta lo dispuesto por el artículo 2.3.6.3.3.12 del Decreto 1077 de 2015> <Artículo modificado por el artículo 41 de la Resolución 735 de 2015. El nuevo texto es el siguiente:> La fórmula tarifaria general regirá por un periodo de cinco años, contados a partir del primero (1º) de julio de 2016. Una vez vencido dicho periodo, la fórmula seguirá rigiendo mientras la Comisión de Regulación de Agua Potable y Saneamiento Básico no determine una nueva.
ARTÍCULO 114. APLICACIÓN DE LAS TARIFAS DERIVADAS DE LA PRESENTE RESOLUCIÓN. <Artículo integrado y unificado en el artículo 2.1.2.1.10.7 de la Resolución CRA 943 de 2021. Debe tenerse en cuenta lo dispuesto por el artículo 2.3.6.3.3.12 del Decreto 1077 de 2015> <Artículo modificado por el artículo 42 de la Resolución 735 de 2015. El nuevo texto es el siguiente:> Las tarifas resultantes de la presente resolución comenzarán a aplicarse a partir del primero (1º) de julio de 2016, fecha en que iniciará el cobro a los suscriptores de los servicios públicos domiciliarios de acueducto y alcantarillado.
ARTÍCULO 115. PROGRESIVIDAD EN LA APLICACIÓN DE LAS TARIFAS PARA EL SEGUNDO SEGMENTO. <Artículo integrado y unificado en el artículo 2.1.2.1.10.8 de la Resolución CRA 943 de 2021. Debe tenerse en cuenta lo dispuesto por el artículo 2.3.6.3.3.12 del Decreto 1077 de 2015> <Artículo aclarado por el artículo 43 de la Resolución 735 de 2015. El nuevo texto es el siguiente:> En el evento en el cual las personas prestadoras pertenecientes al segundo segmento apliquen las tarifas resultantes de la metodología establecida en la presente resolución y estas sean superiores a las que se tienen actualmente, podrán optar por aplicarlas de manera progresiva, mediante un plan mensual cuyo plazo no supere dos años contados desde el primero (1) de julio de 2016. Dicho plan podrá ser revisado periódicamente por la Superintendencia de Servicios Públicos Domiciliarios. En todo caso, la persona prestadora deberá cumplir con las metas definidas en el artículo 106 de la presente resolución.
ARTÍCULO 116. MODIFICACIÓN DEL ARTÍCULO 1 DE LA RESOLUCIÓN CRA 287 DE 2004. <Artículo derogado por el artículo 36 de la Resolución 825 de 2017> El artículo 1 de la Resolución CRA 287 de 2004 quedará así:
“Artículo 1. Ámbito de Aplicación. Esta resolución se aplica a las personas prestadoras de los servicios públicos domiciliarios de acueducto y alcantarillado con 5.000 o menos suscriptores en áreas urbanas, y las que atiendan en áreas rurales, con independencia del número de suscriptores”.
ARTÍCULO 117. MODIFICACIÓN DEL ARTÍCULO 1 DE LA RESOLUCIÓN CRA 312 DE 2005. <Artículo derogado por el artículo 36 de la Resolución 825 de 2017> El artículo 1 de la Resolución CRA 312 de 2005 quedará así:
“Artículo 1. Ámbito de Aplicación. Esta resolución se aplica a las personas prestadoras de los servicios públicos domiciliarios de acueducto y alcantarillado con 5.000 o menos suscriptores en áreas urbanas, y las que atiendan en áreas rurales, con independencia del número de suscriptores”.
ARTÍCULO 118. MODIFICACIÓN DEL NUMERAL 2 DEL ARTÍCULO 9 DE LA RESOLUCIÓN CRA 608 DE 2012. <Ver modificaciones a este artículo directamente en la Resolución 608 de 2012> El numeral 2 del artículo 9 de la Resolución CRA 608 de 2012 quedará así:
2. El costo máximo será igual a un costo medio de largo plazo que se calcule a partir de la sumatoria de los costos medios de operación, inversión y tasas ambientales, para las actividades asociadas al contrato de suministro de agua potable, obtenidos con base en los costos de prestación por actividad del proveedor, definidos en su estudio de costos, a partir de la aplicación de la metodología general tarifaria que establezca la Comisión, y considerando:
- Costo medio de operación. El costo máximo corresponderá a la suma del costo medio de operación de cada una de las actividades del subsistema de producción del proveedor, que hagan parte del contrato de suministro de agua potable, considerando los siguientes criterios:
- Se considerarán como máximo, los costos de operación asociados a cada actividad del subsistema de producción, involucradas en el contrato de suministro de agua potable, con base en las disposiciones que al respecto se definan en la metodología general tarifaria que establezca la Comisión.
- Alternativamente, y hasta el momento en que comiencen a aplicarse las tarifas resultantes de la metodología tarifaria general expedida mediante la Resolución 688 de 2014, esto es, 1 de julio de 2015, el proveedor podrá adoptar, entre otras, alguna de las siguientes opciones:
- Podrá efectuar una estimación detallada de los costos de operación para cada actividad del subsistema de producción, involucradas en el contrato de suministro de agua potable, con base en los costos definidos en su estudio de costos vigente. Para esto, el proveedor podrá hacer uso de metodologías de costos por actividades, como el sistema de costeo ABC.
- Podrá considerar un porcentaje de los costos totales de operación del sistema de acueducto del proveedor, definidos en su estudio de costos vigente, asociado a las actividades del subsistema de producción, involucradas en el contrato de suministro de agua potable. Dicho porcentaje podrá corresponder, como máximo, al resultante de la siguiente expresión:

Donde,
| = Proporción de costos de operación del sistema de acueducto del proveedor, asociados al contrato de suministro de agua potable. | |
| = Valor de activos incluido en el estudio de costos vigente, asociado a las actividades del subsistema de producción del proveedor, que hacen parte del contrato de suministro de agua potable. | |
| VAac | = Valor de activos del sistema de acueducto del proveedor incluido en su estudio de costos vigente. |
- Se considerará el volumen de producción de agua, definido en el año base, asociado a las actividades del subsistema de producción del proveedor, que hacen parte del contratode suministro de agua potable.
- No se considerarán niveles de pérdidas en el subsistema de producción.
- Costo medio de inversión. El costo máximo corresponderá a la suma de los costos medios de inversión de cada una de las actividades del subsistema de producción del proveedor, que hagan parte del contrato de suministro de agua potable, que se calculen considerando los siguientes criterios:
- Se considerarán los costos de inversión del sistema de acueducto del proveedor, definidos en su estudio de costos vigente, asociados a las actividades del subsistema de producción, que hacen parte del contrato de suministro de agua potable.
- Se considerará la proyección de demanda, asociada a las actividades del subsistema de producción del proveedor, con base en la definida en el estudio de costos vigente del proveedor, incluyendo la demanda asociada al potencial contrato de suministro de agua potable.
- Se utilizará, como máximo, la tasa de descuento definida en el estudio de costos vigente del proveedor.
- No se considerarán niveles de pérdidas en el subsistema de producción.
- Costo medio de tasas ambientales:
- El costo de tasas ambientales se incluirá de acuerdo con la normatividad vigente y estructura tarifaria adoptada por el prestador. El costo a incluir corresponderá a la tasa por uso del agua en $/m³, establecida por la autoridad ambiental al proveedor.
ARTÍCULO 119. MODIFICACIÓN DEL LITERAL A) DEL ARTÍCULO 10 DE LA RESOLUCIÓN CRA 608 DE 2012. <Ver modificaciones a este artículo directamente en la Resolución 608 de 2012> El literal a) del artículo 10 de la Resolución CRA 608 de 2012 quedará así:
a) Interconexión a subsistemas de transporte:
- Costo medio de operación. El costo máximo corresponderá a la suma del costo medio de operación de cada una de las actividades del subsistema de transporte del proveedor, que hagan parte del contrato de interconexión, considerando los siguientes criterios:
- Se considerarán como máximo, los costos de operación asociados a cada actividad del subsistema de transporte, involucradas en el contrato de interconexión, con base en las disposiciones que al respecto se definan en la metodología general tarifaria que establezca la Comisión.
- Alternativamente, y hasta el momento en que comiencen a aplicarse las tarifas resultantes de la metodología tarifaria general expedida mediante la Resolución 688 de 2014, esto es, 1 de julio de 2015, el proveedor podrá adoptar, entre otras, alguna de las siguientes opciones:
- Podrá efectuar una estimación detallada de los costos de operación para cada actividad del subsistema de transporte, involucradas en el contrato deinterconexión, con base en los costos definidos en su estudio de costos vigente. Para esto, el proveedor podrá hacer uso de metodologías de costos por actividades, como el sistema de costeo ABC.
- Podrá considerar un porcentaje de los costos totales de operación del sistema de acueducto del proveedor, definidos en su estudio de costos vigente, asociado a las actividades del subsistema de transporte, involucradas en el contrato de interconexión. Dicho porcentaje podrá corresponder, como máximo, al resultante de la siguiente expresión:
![]()
Donde,
| = Proporción de costos de operación del sistema de acueducto del proveedor, asociados al contrato de interconexión. | |
| = Valor de activos incluido en el estudio de costos vigente, asociado a las actividades del subsistema de transporte de agua potable del proveedor, que hacen parte del contrato de interconexión. | |
| = Valor de activos del sistema de acueducto del proveedor incluido en su estudio de costos vigente. |
- Se considerará el volumen de producción de agua, definido en el año base, asociado a las actividades del subsistema de transporte del proveedor, que hacen parte del contrato de interconexión.
- Se considerará un nivel máximo de pérdidas correspondiente al valor establecido en el RAS, para el diseño de sistemas de conducción de agua potable[1], en el subsistema de transporte.
- Costo medio de inversión. El costo máximo corresponderá a la suma del costo medio de inversión de las actividades del subsistema de transporte del proveedor, que hagan parte del contrato de interconexión, considerando los siguientes criterios:
- Se considerarán los costos de inversión del sistema de acueducto del proveedor, definidos en su estudio de costos vigente, asociados a las actividades del subsistema de transporte, que hacen parte del contrato de interconexión.
- Se considerará la proyección de demanda, asociada a las actividades del subsistema de transporte del proveedor, con base en la definida en el estudio de costos vigente del proveedor, incluyendo la demanda asociada al potencial contrato de interconexión.
- Se utilizará, como máximo, la tasa de descuento definida en el estudio de costos vigente del proveedor.
- Se considerará un nivel máximo de pérdidas correspondiente al valor establecido en el RAS, para el diseño de sistemas de conducción de agua potable, en el subsistema de transporte[2].
ARTÍCULO 120. MODIFICACIÓN DEL LITERAL A) DEL ARTÍCULO 11 DE LA RESOLUCIÓN CRA 608 DE 2012. <Ver modificaciones a este artículo directamente en la Resolución 608 de 2012> El literal a) del artículo 11 de la Resolución CRA 608 de 2012 quedará así:
a) Interconexión a subsistemas de transporte:
- Costo medio de operación. El costo máximo corresponderá a la suma del costo medio de operación de cada una de las actividades del subsistema de transporte de aguas residuales del proveedor, que hagan parte del contrato de interconexión, considerando los siguientes criterios:
- Se considerarán como máximo, los costos de operación asociados a cada actividad del subsistema de transporte de aguas residuales, involucradas en el contrato de interconexión, con base en las disposiciones que al respecto se definan en la metodología general tarifaria que establezca la Comisión.
- Alternativamente, y hasta el momento en que comiencen a aplicarse las tarifas resultantes de la metodología tarifaria general expedida mediante la Resolución 688 de 2014, esto es, 1 de julio de 2015, el proveedor podrá adoptar, entre otras, alguna de las siguientes opciones:
- Podrá efectuar una estimación detallada de los costos de operación para cada actividad del subsistema de transporte de aguas residuales, involucradas en el contrato de interconexión, con base en los costos definidos en su estudio de costos vigente. Para esto, el proveedor podrá hacer uso de metodologías de costos por actividades, como el sistema de costeo ABC.
- Podrá considerar un porcentaje de los costos totales de operación del sistema de alcantarillado del proveedor, definidos en su estudio de costos vigente, asociado a las actividades del subsistema de transporte de aguas residuales, involucradas en el contrato de interconexión. Dicho porcentaje podrá corresponder, como máximo, al resultante de la siguiente expresión:

Donde,
| = Proporción de costos de operación del sistema de alcantarillado del proveedor, asociados al contrato de interconexión. | |
| = Valor de activos incluido en el estudio de costos vigente, asociado a las actividades del subsistema de transporte de aguas residuales del proveedor, que hacen parte del contrato de interconexión. | |
| VAalc | = Valor de activos del sistema de alcantarillado del proveedor incluido en su estudio de costos vigente. |
- Se considerará el volumen de vertimientos de agua, definido en el año base, asociado a las actividades del subsistema de transporte de aguas residuales del proveedor, que hacen parte del contrato de interconexión.
- Costo medio de inversión. El costo máximo corresponderá a la suma del costo medio de inversión de las actividades del subsistema de transporte de aguas residuales del proveedor, que hagan parte del contrato de interconexión, considerando los siguientes criterios:
- Se considerarán los costos de inversión del sistema de alcantarillado del proveedor, definidos en su estudio de costos vigente, asociados a las actividades del subsistema de transporte de aguas residuales, que hacen parte del contrato de interconexión.
- Se considerará la proyección de vertimientos, asociada a las actividades del subsistema de transporte del proveedor, con base en la definida en el estudio de costos vigente del proveedor, incluyendo la estimación de los vertimientos asociados al potencial contrato de interconexión.
- Se utilizará, como máximo, la tasa de descuento definida en el estudio de costos vigente del proveedor.
ARTÍCULO 121. MERCADOS REGIONALES. <Artículo integrado y unificado en el artículo 2.1.2.1.10.9 de la Resolución CRA 943 de 2021. Debe tenerse en cuenta lo dispuesto por el artículo 2.3.6.3.3.12 del Decreto 1077 de 2015> <Artículo adicionado por el artículo 50 de la Resolución 735 de 2015. El nuevo texto es el siguiente:> Los mercados regionales que hayan sido aprobados con anterioridad a la presente resolución, deberán ajustar su estudio de costos, de acuerdo con lo establecido en el artículo 4o de la Resolución CRA número 628 de 2013 aplicando las siguientes reglas:
a) El costo de prestación unificado o integrado de acueducto y alcantarillado se obtendrá de acuerdo con lo establecido en el artículo 1o de la Resolución CRA número 628 de 2013;
b) El mercado regional quedará clasificado en el primer segmento;
c) Las metas en calidad, continuidad y cobertura del mercado regional serán las aprobadas en la Resolución respectiva al mercado regional;
d) El resto de los estándares deberán ser incluidos en su estudio de costos (IPUF, DACAL, CAU, COU, IQR). La gradualidad en estos últimos será la que determine el prestador en el mercado regional.
e) La autodeclaración de inversiones se realizará por sistema, acorde con la aplicación que realizó el prestador de la metodología de la Resolución CRA número 287 de 2004.
PARÁGRAFO. La CRA revisará, dentro de los treinta (30) días siguientes al recibo del nuevo estudio de costos, si como resultado del mismo se mantienen o se modifican las condiciones que sustentaron la declaratoria del mercado regional y que no se afecten los elementos esenciales (indicadores, metas, plazo del mercado regional) previstos en la normativa vigente así como la integralidad de la tarifa. En caso de que se afecten se iniciará una actuación administrativa tendiente a revisar la declaratoria de tal mercado.
ARTÍCULO 122. VIGENCIAS Y DEROGATORIAS. <Artículo 121 original renumerado como 122 por el artículo 51 de la Resolución 735 de 2015> La presente resolución rige a partir de la fecha de su publicación en el Diario Oficial y deroga el artículo 2.4.3.14 de la Resolución CRA número 151 de 2001, la Resolución CRA número 543 de 2011, la Resolución CRA número 613 de 2012, y todas aquellas disposiciones que le sean contrarias.
JULIO CESAR AGUILERA WILCHES
Director Ejecutivo
PLAN DE REDUCCIÓN Y NIVEL ECONÓMICO DE PÉRDIDAS.
<Anexo integrado y unificado en el Anexo 6.2.2.1.1 de la Resolución CRA 943 de 2021. Debe tenerse en cuenta lo dispuesto por el artículo 2.3.6.3.3.12 del Decreto 1077 de 2015>
GUÍA PARA LA IMPLEMENTACIÓN DE PLANES DE REDUCCIÓN DE PÉRDIDAS DE AGUA EN SISTEMAS DE ACUEDUCTO
A continuación se establece la metodología para la implementación de los Planes de Reducción de Pérdidas de Agua.
Igualmente, el presente anexo busca que las personas prestadoras realicen una clasificación de las pérdidas totales, en técnicas y comerciales, con base en el Balance Hídrico propuesto por la Asociación Internacional del Agua (IWA - International WaterAssociation), con el fin de que las personas prestadoras tengan un mayor conocimiento de las pérdidas que se presentan en sus sistemas que a su vez les permita priorizar las inversiones asociadas a la reducción de las mismas para mejorar los indicadores de desempeño.
Las personas prestadoras deberán realizar una clasificación de las pérdidas totales de su sistema, teniendo en cuenta el Balance Hídrico propuesto por IWA, el cual se presenta a continuación:

Para efectos del cálculo del IPUF, los consumos autorizados no facturados se deben considerar como pérdidas de agua.
1.1. DETERMINACIÓN DEL BALANCE HÍDRICO.
Para definir el Balance Hídrico, es importante recordar que la exactitud para la determinación de los volúmenes de Agua No Facturada depende de la precisión y de la calidad de datos utilizados en el cálculo. Por tanto, una medición confiable de todos los volúmenes de agua que ingresan y salen del sistema de abastecimiento es primordial.
El procedimiento para la determinación del Agua No Facturada en el Balance Hídrico se puede aplicar teniendo en cuenta los pasos que a continuación se describen:
Paso 1: Definir el volumen de entrada al sistema.
El volumen de ingreso al sistema debe determinarse con base en las mediciones anuales desde los macromedidores después de la planta de tratamiento. Se tiene que hacer una estimación apropiada de cantidades si no se miden los volúmenes de ingreso al sistema. Igualmente, es necesario identificar y cuantificar los volúmenes medidos a través de macromedidores empleados en casos de importaciones de agua.
Paso 2: Definir el consumo autorizado facturado.
Se deben identificar todos los suscriptores registrados (residenciales, comerciales, industriales, oficiales, etc.) para determinar el consumo autorizado facturado. Se puede determinar el consumo anual con base en el registro histórico de las lecturas de los medidores. Para los clientes facturados sin medidores de agua, es necesario hacer estimaciones apropiadas. Se recomienda determinar el consumo promedio con base en mediciones individuales de usuarios para una muestra representativa de suscriptores.
Paso 3: Definir el consumo autorizado no facturado.
El consumo autorizado no facturado, debe estimarse teniendo en cuenta que se deben identificar todos los consumidores, los cuales pueden ser hogares, edificios de entidades oficiales, fuentes, parques, hidrantes, tanques de agua o de barrios marginales. Se debe hacer una estimación del consumo anual para cada grupo de consumidores. Asimismo, se debe identificar el volumen de agua utilizado por la empresa para propósitos operativos (purga de redes troncales, lavado tanques, etc.).
Paso 4: Calcular el consumo autorizado.
El consumo autorizado se puede calcular ahora sumando el consumo autorizado facturado (consumo facturado medido + consumo facturado no medido) más el consumo autorizado no facturado (consumo no facturado medido + consumo no facturado no medido).
Paso 5: Estimar las pérdidas aparentes (comerciales).
La estimación de las pérdidas comerciales está sujeta a un alto grado de incertidumbre. En consecuencia, se deben discriminar las pérdidas aparentes en sus componentes para lograr una buena estimación. En primer lugar, se debe estimar el número de conexiones ilegales. Esto se puede hacer ya sea consultando registros anteriores o realizando muestreos en diferentes sectores del sistema. En segundo lugar, debe estimarse las pérdidas debidas a errores en el manejo de información, así como inexactitudes en la medición. Durante las lecturas de medidores, debe registrarse el número de medidores de agua averiados y hacer estimaciones de los volúmenes perdidos con base en estudios realizados en laboratorios de medidores.
Para los países en desarrollo, IWA recomienda utilizar 5% del consumo medido facturado como una estimación inicial hasta que se disponga de una evaluación más detallada. De acuerdo con Lambert (2010), las pérdidas aparentes excederán usualmente 5% en sistemas con tanques de almacenamiento de los suscriptores. Al respecto, se recomienda que cada persona prestadora realice una evaluación y cuantificación de los componentes de pérdidas aparentes dentro de su propio sistema en vez de utilizar un porcentaje del volumen de ingreso al sistema.
Paso 6: Estimar las pérdidas reales (técnicas).
Finalmente, las pérdidas reales de agua se pueden estimar restando las pérdidas aparentes de las pérdidas de agua totales, las cuales se pueden obtener de la diferencia entre el volumen de entrada al sistema y el consumo autorizado.
Es importante tener en cuenta que entre menor sea el número de macro y micromedidores instalados en el sistema, más bajo será el nivel de exactitud del Balance Hídrico. De igual forma, es necesario recordar que el Balance Hídrico debe revisarse, ajustarse y actualizarse anualmente, teniendo en cuenta el procedimiento anteriormente descrito.
2. DEFINICIÓN DE METAS ANUALES.
La definición de las metas anuales de reducción de pérdidas del Plan, así como las actividades contempladas dentro del mismo, deberán establecerse teniendo en cuenta los siguientes programas:
1. Perdidas Comerciales: El potencial de pérdidas comerciales corresponde a la diferencia entre la meta a 10 años para el ICUF y el ICUF del año base, las metas anuales serán el resultado de:
- Reducción de la submedición mediante la optimización de la micromedición y de la facturación.
- Seguimiento y reducción de los consumos no facturados
2. Pérdidas Técnicas: El potencial de pérdidas técnicas corresponde a la diferencia entre el IPUF del año base menos el IPUF* menos el potencial de pérdidas comerciales, las metas serán:
- Control y optimización de la macromedición
- Control activo de fugas.
- Mejoramiento de la velocidad y calidad en las reparaciones.
- Instalación y/o renovación de dispositivos y accesorios de medición y control, sectorizaciones, y sistemas de gestión de presión.
- Renovación y/o reposición de redes.
Para fijar o establecer las metas anuales del Plan de reducción de pérdidas, las personas prestadoras deberán tener en cuenta los criterios establecidos en el Artículo 9 de la presente resolución.
En caso que la persona prestadora quiera utilizar el nivel económico de pérdidas (NEP), en remplazo del índice de pérdidas por usuario facturado estándar (IPUF*), según lo definido en el parágrafo 7 del artículo antes mencionado, la persona prestadora deberá definir su NEP, teniendo en cuenta los siguientes lineamientos:
- Identificar todos los proyectos de los diferentes programas del Plan de Reducción de Pérdidas del sistema.
- Determinar el costo mínimo de las inversiones asociadas a los proyectos del Plan de Reducción de Pérdidas.
- Determinar los beneficios en términos económicos de los costos evitados asociados a las reducciones de las pérdidas de agua. Para el caso de las pérdidas técnicas, el beneficio se calculará con base en los volúmenes que se esperan reducir y los costos evitados asociados a producción, transporte, tratamiento y distribución de agua potable.
- Determinar los beneficios en términos económicos de los incrementos en facturación asociados a las reducciones de las pérdidas comerciales, tales como, facturación de consumos ilegales medidos, errores de medición y facturación, entre otros. Los beneficios se calcularán con base en los volúmenes facturados adicionales asociados a la reducciónde pérdidas comerciales y el valor del cargo por consumo de la persona prestadora.
- Definir el NEP, como aquel volumen de pérdidas por suscriptor superior al 75% de la diferencia entre las pérdidas por usuario actuales del sistema y el IPUF*, en dónde la relación beneficio/costo de todos los proyectos del Plan de Reducción de Pérdidas es mayor a 1.
Definición del Nivel Económico de Pérdidas
| Proyectos (a) | Costos (b) | Beneficios(c) | Relación Beneficio/Costo (c/d) |
| P1 | C1: Costo proyecto 1 | B1: Beneficios proyecto 1 | B1/C1>1 |
| P2 | C2: Costo proyecto 2 | B2: Beneficios proyecto 2 | B2/C2>1 |
| : | : | : | : |
| PN | CN: Costo proyecto N | BN: Beneficios proyecto N | BN/CN>1 |
| Total | Costos totales - CT | Beneficios totales - BT | |
La reducción de pérdidas implica el incurrir en costos con el fin de adelantar las actividades que se incluyen en los programas que permiten dicha reducción, dentro de las cuales se identifican, entre otras, el control activo de fugas (detección y reparación), la gestión de presiones, sectorización, medición, renovación y rehabilitación de infraestructura (medidores y redes), tales como se presentan en la siguiente tabla.
Programas de recuperación de pérdidas de agua

Fuente: Documento de Trabajo - Resolución “Por la cual se establece el nivel de pérdidas aceptable para el cálculo de los costos de prestación de los servicios públicos domiciliarios de acueducto y alcantarillado”, CRA (2011).
Las inversiones proyectadas a partir de las actividades definidas en los Planes de Reducción de Pérdidas de cada persona prestadora, deben ser de mínimo costo. Para esto, las personas prestadoras, a partir de las condiciones iniciales de su sistema, definirán la ruta de mínimo de costo para obtener las metas anuales de reducción de pérdidas, hasta alcanzar el nivel de pérdidas máximo aceptado por la Comisión.
Después de definir los costos mínimos de las inversiones asociadas a las actividades del Plan de Reducción de Pérdidas, se deberán desagregar los mencionados costos en función del tipo de pérdida que se pretende reducir, es decir, pérdidas reales (técnicas) o aparentes (comerciales), con el objeto de determinar los esfuerzos necesarios para la reducción.
En el esquema de reporte de información se incluirá un formato que permitirá realizar las proyecciones de los costos asociados a las metas definidas en el Plan de Reducción de Pérdidas y su posterior seguimiento.
Además del reporte al SUI del Plan de Reducción de Pérdidas, las personas prestadoras deben presentar a la Comisión de Regulación de Agua Potable y Saneamiento Básico, en el formato establecido para tal fin, en el esquema de información definido por la Superintendencia de Servicios Públicos Domiciliarios, un informe en donde se exponga un resumen de las actividades a desarrollar durante la ejecución del Plan, detallando la cantidad, duración y costo de las actividades planeadas. De igual forma, se deberán desagregar las inversiones y costos del Plan, en función del tipo de pérdida que se pretende reducir, es decir, pérdidas técnicas o comerciales.
Las personas prestadoras deberán revisar mensualmente el cumplimiento de las metas definidas en el Plan de Reducción de Pérdidas. Igualmente, deberán informar a la Comisión de Regulación de Agua Potable y Saneamiento Básico y reportar ante la Superintendencia de Servicios Públicos Domiciliarios de conformidad con lo establecido en el Artículo 107 de la presente resolución, los avances en relación con la ejecución de los respectivos Planes.
Se debe tener en cuenta que el cumplimiento de las metas definidas en los Planes de Reducción de Pérdidas será objeto de verificación por parte de la Superintendencia de Servicios Públicos Domiciliarios.
METODOLOGÍA PARA DETERMINAR EL PUNTAJE DE EFICIENCIA COMPARATIVA (PDEA).
<Anexo integrado y unificado en el Anexo 6.2.2.1.2 de la Resolución CRA 943 de 2021. Debe tenerse en cuenta lo dispuesto por el artículo 2.3.6.3.3.12 del Decreto 1077 de 2015>
<Anexo modificado por el artículo 47 de la Resolución 735 de 2015. El nuevo texto es el siguiente:> La metodología para determinar el puntaje de eficiencia comparativa (PDEA) de los costos administrativos y operativos comparables será el Análisis de la Envolvente de Datos (DEA: Data Envelopment Analysis), el cual aplica en las APS pertenecientes al primer segmento y en las APS en las que opten por aplicar la metodología del primer segmento, teniendo en cuenta lo definido en el artículo 4o de la presente resolución.
Para las APS del primer segmento de las personas prestadoras relacionadas en el numeral 8 del presente Anexo, la Comisión de Regulación de Agua Potable y Saneamiento Básico calculará el PDEA, con aquellas que cumplan con los parámetros mínimos de inclusión y que, sus datos reportados en el SUI no presenten datos atípicos. Para ello, la CRA evaluará el reporte anual de las variables del modelo para costos administrativos y operativos comparables, realizado por parte de las personas prestadoras en la serie de tiempo 2010 – 2014.
Los puntajes se calcularán tomando el promedio de las variables del año base y del año inmediatamente anterior. Las personas prestadoras que cumplan con los parámetros de inclusión y que constituyen el grupo base, el valor de las variables con las cuales se calcularán los PDEA y el menor CAU* y COU* resultante de las mismas, serán informados a las personas prestadoras mediante resolución, la cual surtirá el proceso de participación ciudadana.
Para las personas prestadoras con APS del segundo segmento que opten por aplicar la metodología del primer segmento, teniendo en cuenta lo definido en el parágrafo 3o del artículo 104 de la presente resolución, la Comisión de Regulación de Agua Potable y Saneamiento Básico calculará los puntajes de eficiencia, de acuerdo con lo estipulado en el parágrafo 6o de los artículos 26 y 33 de la presente resolución.
El PDEA de costos administrativos para aquellas personas prestadoras con APS del primer segmento y con otras APS en las que optaron por aplicar la metodología correspondiente al primer segmento, dando cumplimiento a lo establecido en los parágrafos 3 o 4 del artículo 104 de la presente resolución, será el correspondiente al obtenido con la información de la APS del primer segmento. Dicho puntaje podrá ser aplicado al costo administrativo unificado, tal como lo establece el parágrafo 4 del artículo 27 de la presente resolución.
El PDEA de costos operativos comparables para aquellas personas prestadoras con APS del primer segmento y con otras APS en las que optaron por aplicar la metodología correspondiente al primer segmento, dando cumplimiento a lo establecido en los parágrafos 3o o 4o del artículo 104 de la presente resolución, será el correspondiente al obtenido con la información de la APS del primer segmento.
Las personas prestadoras que cuenten con APS del primer segmento y/o con APS en las que optaron por aplicar la metodología correspondiente al primer segmento, dando cumplimiento a lo establecido en los parágrafos 3 o 4 del artículo 104 de la presente resolución, deberán aplicar el PDEA utilizado para el cálculo de las tarifas de la Resolución CRA número 287 de 2004 en la fórmula del artículo 26 y del artículo 33 de la presente resolución, hasta tanto la CRA informe mediante resolución si se aplicó el modelo del DEA, los puntajes definitivos así como la fecha a partir de la cual regirán o si los prestadores deberán aplicar lo establecido en los parágrafos 3 o 4 de los artículos mencionados, según corresponda.
Para las APS atendidas con un mismo sistema interconectado, el cálculo del PDEA de los costos administrativos y los costos operativos comparables se realizará con la información de las variables agregadas de este sistema, por lo tanto estas APS tendrán el mismo PDEA.
1. PARÁMETROS MÍNIMOS PARA LA INCLUSIÓN DE DMUS EN EL MODELO.
Se evaluará la eficiencia de aquellas personas prestadoras del primer segmento definido en el artículo 4o de la presente resolución, que cumplan los siguientes parámetros en el año base:
-- Continuidad mayor al 95%. Se tomará del artículo 2.4.2.29 Formulario continuidad en la oferta del servicio de acueducto del Anexo de la Resolución número SSPD 2010300048765 del 14 de diciembre de 2010.
-- IRCA menor a 5%. Se tomará el reporte Registro IRCA consolidado anual por prestador que realizan las autoridades sanitarias departamentales al Instituto Nacional de Salud (INS) en función de sus actividades de inspección, vigilancia y control.
-- Micromedición efectiva mayor al 80%. Se tomará del artículo 2.3.7 Formato facturación acueducto del Anexo de la Resolución número SSPD 2010300048765 del 14 de diciembre de 2010.
En el caso que se ofrezcan los servicios públicos domiciliarios de acueducto y alcantarillado por separado, y que tengan en común por lo menos el 60% de sus suscriptores, se aclara que se evaluarán los parámetros mínimos de inclusión de la persona prestadora que preste el servicio público domiciliario de acueducto, debido a que los parámetros de continuidad, IRCA y micromedición efectiva son aplicables exclusivamente para las personas prestadoras del servicio público domiciliario de acueducto.
Para el cálculo del PDEA la CRA evaluará la información de las variables para el modelo de costos administrativos y costos operativos comparables, reportada por las personas prestadoras con APS pertenecientes al primer segmento que se encuentran relacionadas en el numeral 8 del presente anexo. A partir del cumplimiento de los parámetros mínimos para la inclusión en ambos modelos y la no presentación de datos atípicos en la información reportada en el SUI de cinco (5) o más personas prestadoras se realizará el cálculo del PDEA, las cuales constituyen el grupo básico para el cálculo del PDEA.
Las personas prestadoras con APS del primer segmento y/o con APS en las que optaron por aplicar la metodología del primero, que no cumplan con los parámetros mínimos de inclusión deberán tomar los menores costos administrativos y operativos eficientes por suscriptor (CAU* y COU*) calculado de las empresas que hagan parte del grupo básico, hasta tanto cumplan con los parámetros mínimos y no presenten datos atípicos en la información reportada en el SUI para calcular los PDEA, en cuyo caso podrá presentar solicitud particular para modificarlos de conformidad con lo establecido en el artículo 126 de la Ley 142 de 1994 siempre y cuando se haya realizado el cálculo del PDEA.
Si entre una (1) y cuatro (4) personas prestadoras cumplen con los parámetros mínimos para la inclusión en ambos modelos y no presentan datos atípicos en la información reportada en el SUI, no se aplicará la metodología del DEA. Estas personas prestadoras tendrán un PDEA del 100% y el menor CAU* y COU* resultante de ellas deberá ser aplicado por las demás personas prestadoras que cuenten con APS en las que apliquen la metodología del primer segmento.
En el evento que ningún prestador cumpla con los parámetros mínimos y que no presente datos atípicos en la información reportada en el SUI para la inclusión en el modelo tanto de costos administrativos como de costos operativos comparables, las personas prestadoras con APS en las que apliquen la metodología correspondiente al primer segmento, deberán aplicar los costos administrativos y operativos comparables eficientes estándar por suscriptor mensual definidos en el parágrafo 4o del artículo 26 y en el parágrafo 4o del artículo 33 de la presente resolución respectivamente.
En aquellos casos que, por entrada en operación de un prestador que deba aplicar la metodología del primer segmento que cumple con los parámetros mínimos de inclusión y que no presente datos atípicos en la información reportada en el SUI, deberá estimar los PDEA para el cálculo de su respectivo CMA y CMO por comparación. En caso de no cumplir, deberá adoptar el menor costo administrativo y operativo eficiente por suscriptor (CAU* y COU*) calculado de las empresas que hagan parte del grupo base, hasta tanto cumpla con los parámetros mínimos para calcular el PDEA, en cuyo caso podrá presentar solicitud particular para modificarlos de conformidad con lo establecido en el artículo 126 de la Ley 142 de 1994 siempre y cuando se haya realizado el cálculo del PDEA.
En los casos en que las personas prestadoras no dispongan de la herramienta informática para realizar dicha estimación podrán solicitar a esta Comisión le sean calculados dichos puntajes mediante oficio que contenga solicitud expresa en tal sentido.
Los parámetros mínimos de la inclusión en el modelo, para las personas prestadoras que atienden varias APS con un mismo sistema interconectado, serán evaluados de forma independiente para cada APS.
2. IDENTIFICACIÓN DE LAS VARIABLES DEL MODELO PARA COSTOS ADMINISTRATIVOS.
<Numeral modificado por el artículo 1 de la Resolución 770 de 2016. El nuevo texto es el siguiente:> Como insumo controlable por las personas prestadoras se definen los costos administrativos base, depurados con los criterios establecidos en el artículo 27 de la presente resolución. Estos costos serán expresados en pesos de diciembre del año base y se tomarán del artículo 2.2.1.3 Formato plan de contabilidad (acueducto) y artículo 3.2.1.3 Formato plan de contabilidad (alcantarillado) del Anexo de la Resolución No. SSPD 2010300048765 de 14 de diciembre de 2010.
Aunque se solicite el registro contable para efectos del cálculo de estos costos, se hacen necesarias algunas precisiones. Para ello y una vez analizada la información para el cálculo del DEA, reportada por los prestadores al primero (1o) de noviembre de 2016, si cinco (5) o más personas prestadoras cumplen con toda la información y requisitos necesarios para aplicar la metodología DEA, la SSPD enviará un archivo Excel, elaborado por la CRA, a dichas personas prestadoras con la información reportada al SUI, para el registro de ajustes en los costos (exclusiones y traslados).
Las variables que entran al modelo como productos recogen información del tamaño del mercado atendido por las personas prestadoras, es decir, la administración y el nivel de gestión de los servicios públicos domiciliarios de acueducto y alcantarillado a un número de suscriptores. La combinación de estas variables permite examinar las características de una persona prestadora con respecto a las otras. La información de estas variables, se tomará del artículo 2.3.7.7 Formulario información comercial acueducto y del artículo 3.3.6.7 Formulario información comercial alcantarillado del Anexo de la Resolución número SSPD 2010300048765 del 14 de diciembre de 2010.
-- Producto 1: Número de suscriptores de acueducto.
-- Producto 2: Número de suscriptores de alcantarillado.
-- Producto 3: Número de Suscriptores con micromedición efectiva.
-- Producto 4: Número de suscriptores de estratos 1 y 2.
-- Producto 5: Número de suscriptores industriales y comerciales.
3. IDENTIFICACIÓN DE LAS VARIABLES DEL MODELO PARA COSTOS OPERATIVOS COMPARABLES.
<Numeral modificado por el artículo 1 de la Resolución 770 de 2016. El nuevo texto es el siguiente:> Como insumo controlable por las personas prestadoras se definen los costos operativos comparables base, depurados con los criterios establecidos en el artículo 34 de la presente resolución. Estos costos serán expresados en pesos de diciembre del año base y se tomarán del artículo 2.2.1.3 Formato plan de contabilidad (acueducto) y del artículo 3.2.1.3 Formato plan de contabilidad (alcantarillado) del Anexo de la Resolución número SSPD 2010300048765 de 14 de diciembre de 2010.
Aunque se solicite el registro contable para efectos del cálculo de estos costos, se hacen necesarias algunas precisiones. Para ello, y una vez analizada la información para el cálculo del DEA, reportada por los prestadores al primero (1o) de noviembre de 2016, si cinco (5) o más personas prestadoras cumplen con toda la información y requisitos necesarios para aplicar la metodología DEA, la SSPD enviará un archivo Excel, elaborado por la CRA, a dichas personas prestadoras con la información reportada al SUI, para el registro de ajustes en los costos (exclusiones, traslados y contratos de suministro de agua potable y/o interconexión de acueducto y alcantarillado).
Las variables que entran al modelo como productos recogen información de cantidad del producto “producción de volumen de agua potable” y de los “vertimientos al sistema de alcantarillado”, así como de la “calidad” del producto. La combinación de estas variables permite examinar las características de una persona prestadora con respecto a las otras. La información se tomará así:
-- Producto 1: m3 facturados de acueducto. Se tomará del artículo 2.3.7.7 Formulario información comercial acueducto del Anexo de la Resolución número SSPD 2010300048765 del 14 de diciembre de 2010.
-- Producto 2: m3 vertidos al sistema de alcantarillado, facturados por la persona prestadora. Se tomará del artículo 3.3.6.7 Formulario información comercial alcantarillado del Anexo de la Resolución número SSPD 2010300048765 de 14 de diciembre de 2010.
-- Producto 3: Tamaño de redes. Se tomará del artículo 2.4.2.33 Formato redes sistema de acueducto y 3.4.1.33 Formato redes sistema de alcantarillado del Anexo de la Resolución número SSPD 2010300048765 del 14 de diciembre de 2010.
-- Producto 4: Calidad promedio del agua cruda. Se tomará del artículo 2.4.1.2 Formulario registro de fuentes, artículo 2.4.1.5 Formulario fuentes superficiales, artículo 2.4.1.6 Formulario registro de puntos de muestreo calidad fuentes superficiales, artículo 2.4.1.8 Formato muestreo calidad del agua fuentes superficiales, artículo 2.4.1.9 Formato muestreo calidad del agua fuentes Subterráneas, artículo 2.4.1.13 Formato muestreo calidad del agua fuentes embalses, artículo 2.4.1.17 Formato operación de pozos, artículo 2.4.2.1 Formulario registro de captaciones de agua fuentes superficiales y artículo 2.4.2.3 Formulario operación captación de agua fuentes superficiales del Anexo de la Resolución número SSPD 2010300048765 del 14 de diciembre de 2010.
En el caso que se presente una diferencia en los valores del IRCA por inconsistencias en el reporte realizado en el Sivicap, la persona prestadora podrá remitir a la CRA copia de los resultados de los muestreos realizados por la autoridad sanitaria.
Conceptualmente, los costos administrativos y los costos operativos comparables son el insumo por medio del cual las personas prestadoras obtienen productos como los ya mencionados. Una versión reciente del software utilizado permite definir los insumos controlables o no controlables y los productos, sin necesidad de realizar ninguna inversión de las variables.
Se utilizará el modelo básico de Banker, Charnes y Cooper (BCC) que permite orientar la aproximación a la frontera a través de la minimización del insumo bajo retornos variables a escala.
5. PARTICULARIDADES NO CAPTADAS EN EL MODELO (PNCDEA).
Es un porcentaje que se reconoce como un valor adicional del PDEA obtenido por las personas prestadoras hasta un máximo del 100% del total del PDEA obtenido. Dicho porcentaje será calculado e informado por la Comisión de Regulación de Agua Potable y Saneamiento Básico mediante resolución.
6. REPORTE DE INFORMACIÓN PARA PERSONAS PRESTADORAS CON SISTEMAS NO INTERCONECTADOS.
Para aquellas personas prestadoras que cuenten con sistemas no interconectados, se tomará del SUI el reporte de sistemas no interconectados del artículo 2.4.2.37 Formulario datos generales con el nombre del sistema no interconectado del Anexo de la Resolución número SSPD 2010300048765 del 14 de diciembre de 2010, para la determinar los costos de las APS del primer segmento.
7. PLAZOS PARA EL REPORTE DE INFORMACIÓN Y JUSTIFICACIÓN DE DATOS ATÍPICOS.
<Numeral modificado por el artículo 1 de la Resolución 770 de 2016. El nuevo texto es el siguiente:> Las personas prestadoras de los servicios públicos domiciliarios de acueducto y alcantarillado con APS del primer segmento y aquellas con APS del segundo segmento que optaron por aplicar la metodología del primer segmento, cuentan hasta el primero (1o) de noviembre de 2016, para revisar y ajustar la totalidad de la información cargada al SUI descrita anteriormente. Lo anterior implica que la información que será objeto de análisis por parte de esta Comisión de Regulación corresponderá a la disponible en el SUI al primero (1o) de noviembre de 2016 y que la información que sea ajustada en el SUI después de esta fecha no será tenida en cuenta para el cálculo del PDEA, sin perjuicio de posteriores requerimientos que pueda solicitar la SSPD para efectuar la aclaración en el marco de sus funciones de inspección, vigilancia y control.
Si del análisis de la información reportada por las personas prestadoras se establece que cinco (5) o más cumplen con toda la información y requisitos necesarios para aplicar la metodología DEA, la SSPD enviará un nuevo archivo Excel, elaborado por la CRA, a dichas personas prestadoras con el reporte de costos administrativos y operativos comparables para los años 2013 y 2014 para el registro de traslados y exclusiones en los costos. Dicha información ajustada en el archivo Excel deberá ser remitida mediante comunicación suscrita por el representante legal de la empresa en un plazo de cinco (5) días hábiles contados a partir de la fecha de recibo del archivo Excel.
La información de costos relacionada en el Excel que sea radicada en la SSPD después de la fecha establecida, no será tenida en cuenta para efectos del cálculo del PDEA. En este caso, se tomarán para el cálculo de los PDEA los costos reportados en el SUI.
La revisión de los parámetros de inclusión en el modelo PDEA se realizará con base en los criterios establecidos en el numeral 1 del presente anexo.
La identificación de datos atípicos se realizará a través de un análisis de dispersión sobre aquellos datos que estén por fuera del percentil 25 menos 1,5 veces el rango intercuartílico y del percentil 75 más 1,5 veces el rango intercuartílico[8]. Si como resultado del análisis de datos atípicos se tiene información que corresponde a un comportamiento que puede ser soportado por el prestador mediante documentación que sea conducente, pertinente y útil, estos serán catalogados como datos atípicos justificables. Por el contrario, aquellos datos atípicos que correspondan a errores de digitación serán considerados datos atípicos no justificables.
Los datos atípicos, derivados del análisis de la información tomada del SUI con corte al primero (1o) de noviembre de 2016, que sean justificados, es decir, que no correspondan a errores de digitación en el cargue o a omisiones en la información reportada al SUI, serán incluidos en el cálculo del PDEA.
Se considera que el no reporte de información en uno de los años de la serie configura un reporte insatisfactorio.
Una vez publicada en el Diario Oficial la resolución de trámite con las variables para el cálculo del DEA a partir de la información reportada por los prestadores al primero (1o) de noviembre, durante el término de participación ciudadana, las personas prestadoras podrán presentar ante esta Comisión de Regulación las justificaciones a que haya lugar con sus correspondientes soportes, respecto de los datos atípicos de su información reportada en el SUI y utilizada para efectos del cálculo del PDEA, salvo que se trate de una atipicidad derivada de errores de digitación en el cargue de la información o de omisiones en la información reportada al SUI, eventos en los cuales, no se tendrán en cuenta los datos atípicos para el cálculo mencionado.
Analizadas las justificaciones de datos atípicos, la CRA realizará el cálculo del DEA y publicará la resolución de que trata el parágrafo 7 de los artículos 26[9] y 33[10] de la Resolución CRA 688 de 2014.
La información del SUI se considera oficial para todos los efectos previstos en la ley. Las personas prestadoras podrán solicitar modificaciones a dicha información cumpliendo los requisitos establecidos en la Resolución SSPD 20121300035485 de 14 de noviembre de 2012.
8. PERSONAS PRESTADORAS CON APS PERTENECIENTES AL PRIMER SEGMENTO.
1. Empresa de Acueducto, Alcantarillado y Aseo de Bogotá E.S.P
2. Empresas Públicas de Medellín E.S.P.
3. Empresas Municipales de Cali E.I.C.E E.S.P.
4. Sociedad de Acueducto, Alcantarillado y Aseo de Barranquilla S. A. E.S.P.
5. Acueducto Metropolitano de Bucaramanga S. A. E.S.P.
6. Empresa Pública de Alcantarillado de Santander S. A. E.S.P.
7. Aguas de Cartagena S. A. E.S.P.
8. Aguas Kpital Cúcuta S.A. E.S.P.
9. Empresa de Acueducto y Alcantarillado de Pereira S. A. E.S.P
10. Empresa Ibaguereña de Acueducto y Alcantarillado S. A. E.S.P
11. Aguas de Manizales S. A. E.S.P
12. Empresas Públicas de Neiva E.S.P.
13. Empresa de Acueducto y Alcantarillado de Villavicencio E.S.P.
14. Empresas Públicas de Armenia
15. Compañía del Acueducto y Alcantarillado Metropolitano de Santa Marta S. A. ESP
16. Proactiva Aguas de Montería S. A. E.S.P.
17. Empresa de Obras Sanitarias de Pasto Empopasto S. A. E.S.P.
18. Acueducto y Alcantarillado de Popayán S. A. E.S.P
19. Aguas de la Sabana S. A. E.S.P.
20. Proactiva Aguas de Tunja S. A. E.S.P.
21. Empresa de Servicios Públicos de Valledupar S. A. Emdupar S. A. E.S.P.
22. Centroaguas S. A. E.S.P.
METODOLOGÍA PARA REALIZAR LA AUTO-DECLARACIÓN DE LAS INVERSIONES PLANEADAS Y EJECUTADAS INCLUIDAS EN LOS PLANES DE INVERSIÓN DE LOS ESTUDIOS DE COSTOS ESTABLECIDOS CON BASE EN LA RESOLUCIÓN CRA 287 DE 2004.
<Anexo integrado y unificado en el Anexo 6.2.2.1.3 de la Resolución CRA 943 de 2021. Debe tenerse en cuenta lo dispuesto por el artículo 2.3.6.3.3.12 del Decreto 1077 de 2015>
<Anexo modificado por el artículo 48 de la Resolución 735 de 2015. El nuevo texto es el siguiente:> Las personas prestadoras de los servicios públicos domiciliarios de acueducto y alcantarillado a las que les aplique la metodología definida en la presente resolución, deberán realizar una autodeclaración de inversiones que dé cuenta de los Planes de Inversión incluidos en los estudios de costos de la Resolución CRA número 287 de 2004, a partir de los cuales se generaron recursos durante la vigencia de las tarifas de dicha resolución. Como resultado de este ejercicio se calculará el monto de ingresos por recuperar, en función de las inversiones planeadas y ejecutadas al momento de entrar en aplicación las tarifas resultantes de la presente resolución y que hacían parte del plan de inversiones de la Resolución CRA número 287 de 2004.
1. ELEMENTOS DE LA AUTODECLARACIÓN. Para efectuar la autodeclaración de las inversiones de las personas prestadoras de los servicios públicos domiciliarios de acueducto y alcantarillado, se deberán tener en cuenta los siguientes elementos:
a) Cálculo de los Ingresos Programados para Inversiones (IPI). Los ingresos programados en el plan de inversiones, derivados de la aplicación de la metodología de la Resolución CRA número 287 de 2004 se calcularán con base en la siguiente fórmula:

Donde:
| IPIac,al: | Ingresos programados en el plan de inversiones de la metodología contenida en la Resolución CRA número 287 de 2004 para cada uno de los servicios públicos domiciliarios de acueducto y alcantarillado. |
| VPIORERz: | Valor presente, del activo o proyecto z con activos en operación al día anterior a la fecha de inicio de aplicación de las tarifas resultantes de la presente metodología tarifaria, del plan de las inversiones programadas en expansión, reposición y rehabilitación de los sistemas de acueducto y alcantarillado de los estudios de costos de la Resolución CRA número 287 de 2004. |
| z: | Cada uno de los activos o proyectos ejecutados por el prestador con activos en operación al día anterior a la fecha de inicio de aplicación de las tarifas resultantes de la presente metodología tarifaria, del plan de inversiones de la Resolución CRA número 287 de 2004 (VPIRER). |
Para calcular el VPIORERz la persona prestadora podrá optar por determinarlo por alguna de las siguientes opciones:
i) Podrá realizarlo por activos, los cuales deberán clasificarse según los criterios definidos en el artículo 27 de la Resolución CRA número 287 de 2014 y deberán estar asociados a un proyecto, según los formatos que para tal fin establezca la Superintendencia de Servicios Públicos Domiciliarios (SSPD).
ii. O en aquellos casos en que no sea posible determinarlo por activos, podrá realizarlo por proyectos identificando el activo principal que conforma cada proyecto, el cual deberá ser el de mayor valor dentro del proyecto y deberá encontrarse en operación al día anterior a la fecha de inicio de aplicación de las tarifas resultantes de la presente metodología tarifaria. Dichos proyectos deberán estar debidamente soportados.
Las personas prestadoras que al día anterior a la fecha de inicio de aplicación de las tarifas resultantes de la presente metodología tarifaria no hayan ejecutado el 100% del valor del VPIRER con el que calcularon las tarifas de la Resolución CRA número 287 de 2004, deberán justificar ante la Superintendencia de Servicios Públicos Domiciliarios las diferencias entre el monto de la ejecución de inversiones y el VPIRER argumentando las razones de improcedencia técnica, de mínimo costo o porque el horizonte de planeación de las inversiones de su VPIRER supera el período de aplicación de la Resolución CRA número 287 de 2004. Lo anterior, sin perjuicio de las acciones de control que establezca la Superintendencia de Servicios Públicos Domiciliarios.
El IPI se calculará al año base utilizado por la persona prestadora para definir las tarifas establecidas en aplicación de la Resolución CRA número 287 de 2004.
En ningún caso el valor del IPI podrá ser superior al VPIRER con el que se calcularon las tarifas de la Resolución CRA número 287 de 2004.
Las personas prestadoras que calcularon su CMI de conformidad con lo establecido en los artículos 33 y 34 de la Resolución CRA número 287 de 2004, para efectos del cálculo de los ingresos programados de inversiones (IPI) deberán declarar el VPIRER, tanto para el servicio de acueducto como para el de alcantarillado.
b. Cálculo de los Ingresos Cobrados de Inversiones (ICI). Los ingresos por el cobro de inversiones a través de las tarifas durante la vigencia de la Resolución CRA número 287 de 2004, para cada uno de los servicios públicos domiciliarios de acueducto y alcantarillado, se calcularán con base en la siguiente fórmula:
![]()
Donde:
| ICIac,al: | Ingresos por el cobro de inversiones por concepto de las tarifas aplicadas durante la vigencia de la metodología de la Resolución CRA número 287 de 2004, para cada uno de los servicios públicos domiciliarios de acueducto y alcantarillado. |
| VPIRER: | Valor presente de las inversiones programadas en expansión, reposición y rehabilitación de los sistemas de acueducto y alcantarillado para la prestación del servicio, del plan tarifario programado en los estudios de costos, según lo definido en el artículo 25 de la Resolución CRA número 287 de 2004. |
| VPQ: | Valor presente de los m3 facturados en cada año de aplicación del CMI de la metodología de la Resolución CRA número 287 de 2004, hasta el día anterior a la fecha de inicio de aplicación de las tarifas resultantes de la presente metodología tarifaria. |
| VPDHVPD: | Valor presente de la demanda utilizado en los estudios de costos de la metodología tarifaria de la Resolución CRA número 287 de 2004, según lo definido en el artículo 25 de dicha resolución. |
Tanto el VPIRER, como el VPQ y el

se calcularán al año base utilizado por la persona prestadora para definir las tarifas establecidas en aplicación de la Resolución CRA número 287 de 2004.
Dado que el cálculo del VPQ debe incluir los m3 facturados hasta el día anterior a la fecha de inicio de aplicación de las tarifas resultantes de la presente metodología tarifaria, si al momento de elaborar la autodeclaración la persona prestadora no cuenta con los valores reales, deberá estimar los m3 de los meses faltantes con base en el promedio de facturación mensual de los últimos doce (12) meses con que cuente con información de la facturación realizada.
Las personas prestadoras que calcularon su CMI de conformidad con lo establecido en los artículos 33 y 34 de la Resolución CRA número 287 de 2004, para efectos del cálculo de los Ingresos Cobrados de Inversiones (ICI), deberán aplicar la siguiente expresión:

Donde:
| ICIac,al: | Ingresos por el cobro de inversiones por concepto de las tarifas aplicadas durante la vigencia de la metodología de la Resolución CRA número 287 de 2004, para cada uno de los servicios públicos domiciliarios de acueducto y alcantarillado. |
| CMI: | Costo medio de inversión CMI de la metodología de la Resolución CRA 287 de 2004, calculado con base en lo establecido en los artículos 33 y 34 de la mencionada resolución. |
| FI: | Porcentaje del valor del CMI que fue destinado por la persona prestadora para realizar inversiones en expansión, reposición y rehabilitación del sistema, durante la vigencia de la metodología de la Resolución CRA número 287 de 2004. |
c. Cálculo de los Ingresos Netos de Inversiones por Cobrar (INIC). Los ingresos netos de inversiones por cobrar al cierre de la vigencia de la Resolución CRA número 287 de 2004 se calcularán con base en la siguiente fórmula:
![]()
Donde:
| INICac,al: | Ingresos netos de inversiones por cobrar de la vigencia de la Resolución CRA número 287 de 2004 para los servicios públicos domiciliarios de acueducto y alcantarillado, expresado en pesos del año base utilizado por la persona prestadora para definir las tarifas establecidas en desarrollo de la Resolución CRA número 287 de 2004. |
| IPIac,al: | Ingresos programados en el plan de inversiones de la metodología contenida en la Resolución CRA número 287 de 2004 para cada uno de los servicios públicos domiciliarios de acueducto y alcantarillado. |
| ICIac,al: | Ingresos por el cobro de inversiones por concepto de las tarifas aplicadas durante la vigencia de la metodología de la Resolución CRA número 287 de 2004 para cada uno de los servicios públicos domiciliarios de acueducto y alcantarillado. |
El cálculo de los ingresos netos de inversiones por cobrar (INIC) definido anteriormente, aplicará también para las personas prestadoras que calcularon su CMI de conformidad con lo establecido en los artículos 33 y 34 de la Resolución CRA número 287 de 2004.
Cuando el INICac,al sea negativo, es decir que los ingresos por el cobro de inversiones durante la vigencia de la Resolución CRA número 287 de 2004 sean mayores al valor de las inversiones que entraron en operación en este mismo periodo, sin perjuicio de las acciones de vigilancia y control a que haya lugar por parte de la Superintendencia de Servicios Públicos Domiciliarios, el prestador deberá incluir esta diferencia de la siguiente manera:
i) En el caso en que la persona prestadora cuenta con las obras en construcción al día anterior a la fecha de inicio de aplicación de las tarifas resultantes de la presente metodología tarifaria podrá incluirlas en el POIR del estudio de costos de la presente resolución, siempre y cuando sean afectas a la prestación del servicio, descontando del valor de las inversiones el valor cobrado durante la vigencia de la Resolución CRA 287 de 2004 hasta completar la totalidad del INICac,al.
ii. En el caso en que la persona prestadora no cuente con obras en construcción al día anterior a la fecha de inicio de aplicación de las tarifas resultantes de la presente metodología tarifaria suficientes para descontar el valor total del INICac,al, la diferencia entre el INICac,al y el valor de las obras en construcción, deberá ser devuelto a los suscriptores del servicio, en la forma y los plazos en que sea acordado con la Superintendencia de Servicios Públicos Domiciliarios.
d. Valor por cobrar de los activos o los proyectos z construidos con el plan de inversiones de la Resolución CRA número 287 de 2004 a incluir en la BCRo. Para los estudios de costos de la metodología tarifaria definida en la presente resolución, la persona prestadora deberá incluir en la BCRo el valor por cobrar de cada uno de los activos o proyectos provenientes del plan de inversiones de la Resolución CRA 287 de 2004, que será calculado con base en la siguiente fórmula:
![]()
Donde:
| VI287,z,ac/al: | Valor por cobrar de los activos o los proyectos z construidos con el plan de inversiones de la Resolución CRA número 287 de 2004 (VPIRER) para cada servicio público domiciliario, expresado en pesos de diciembre del año 2014. |
| INICac,al: | Ingresos netos de inversiones por cobrar del plan de inversiones de la Resolución CRA número 287 de 2004 para acueducto y alcantarillado, expresado en pesos del año base utilizado por la persona prestadora en su estudio de costos. |
| r: | Corresponde a la tasa de descuento utilizada por la persona prestadora para calcular las tarifas establecidas con base en la Resolución CRA número 287 de 2004. |
| n: | Corresponde al número de años de aplicación de la Resolución CRA número 287 de 2004, calculados como el número de meses transcurridos entre el año base utilizado por la persona prestadora para definir las tarifas establecidas en aplicación de la Resolución CRA número 287 de 2004 y el día anterior a la fecha de inicio de aplicación de las tarifas resultantes de la presente metodología tarifaria, divididos entre doce (12). |
| Indez: | Corresponde a la indexación entre el mes de diciembre del año 2014 y el del año base utilizado por la persona prestadora en el estudio tarifario de la Resolución CRA número 287 de 2004. |
| Pz: | Porcentaje de participación del costo de inversión del activo o proyecto z en el VPIOrerz para cada uno de los servicios de acueducto y alcantarillado, el cual corresponde al cociente entre cada VPlOrerz sobre el IPIac,al establecido según lo definido en el literal a) del presente anexo. |
| Z: | Cada uno de los activos o proyectos ejecutados por el prestador, con activos en operación al día anterior a la fecha de inicio de aplicación de las tarifas resultantes de la presente metodología tarifaria, del plan de inversión de la Resolución CRA número 287 de 2004. |
El cálculo del valor de Inversiones por cobrar del activo o proyecto z de la Resolución CRA 287 de 2004 a incluir en la BCRo definido anteriormente, aplicará también para las personas prestadoras que calcularon su CMI de conformidad con lo establecido en los artículos 33 y 34 de la Resolución CRA número 287 de 2004.
2. DOBLE COBRO DE INVERSIONES. Ninguna de las inversiones incluidas en la autodeclaración de inversiones de que trata el presente anexo, podrá ser incluida en el POIR del nuevo marco tarifario, así mismo las inversiones por cobrar de que trata el literal anterior, no podrán incluirse doblemente en la Base de Capital Regulada del Año Base.
3. FUENTE DE INFORMACIÓN. Para la realización de la autodeclaración y la aplicación de lo definido en la presente resolución, la persona prestadora deberá tomar como fuente la información registrada en el Sistema Único de Información (SUI), en los formatos y metodologías que defina la SSPD, los cuales formarán parte de los nuevos estudios de costos que realizará la persona prestadora con base en lo establecido en la presente resolución.
El plazo máximo para realizar la autodeclaración por parte de la persona prestadora, no podrá exceder el plazo máximo establecido para la aplicación de las tarifas resultantes de la presente resolución.
4. VERIFICACIÓN DE LA INFORMACIÓN DE LA AUTODECLARACIÓN: Tanto la información soporte suministrada así como los cálculos que realice la persona prestadora en desarrollo del presente Anexo, deberán ser debidamente verificados y certificados por el Auditor Externo de Gestión de Resultados o quien haga sus veces.
No obstante el reporte al SUI, la información deberá quedar a disposición de la Comisión de Regulación de Agua Potable y Saneamiento Básico y la Superintendencia de Servicios Públicos Domiciliarios.
METODOLOGÍA APLICABLE PARA DETERMINAR EL VALOR POR COBRAR DE LOS ACTIVOS DIFERENTES A LOS EJECUTADOS CON EL PLAN DE INVERSIONES DE LA RESOLUCIÓN CRA 287 DE 2004.
<Anexo integrado y unificado en el Anexo 6.2.2.1.4 de la Resolución CRA 943 de 2021. Debe tenerse en cuenta lo dispuesto por el artículo 2.3.6.3.3.12 del Decreto 1077 de 2015>
Este anexo presenta la metodología mediante la cual las personas prestadoras deben determinar el valor por cobrar de los activos afectos a la prestación del servicio diferentes a las inversiones ejecutadas con base en la Resolución CRA 287 de 2004.
<Párrafo modificado por el artículo 49 de la Resolución 735 de 2015. El nuevo texto es el siguiente:> De forma general, la metodología empleada para determinar el valor por cobrar de los activos afectos a la prestación del servicio que se encuentran en funcionamiento en el año base, diferentes a las que hacían parte del VPIRER de la Resolución CRA número 287 de 2004, que será incluido en la Base de Capital Regulada del Año Base (BCRo), deberá soportarse teniendo en cuenta la información que se define a continuación:
1. Identificación de los activos que hacen parte de los sistemas de acueducto y alcantarillado que aún no se han remunerado en su totalidad.
2. Cantidades de obra.
3. Análisis de precios unitarios y costos totales de los activos.
4. Definición de vidas útiles de los activos.
5. Aplicación del método de depreciación.
Así las cosas, a continuación se relacionan los soportes que deben tener las personas prestadoras:
Las personas prestadoras deberán soportar su estudio con la siguiente información:
- Relación de activos que hacen parte del estudio, discriminados por componente.
- Definición de las características físicas y técnicas de cada activo, de acuerdo con lo siguiente:
| Servicio | Componente | Característica Técnica a Reportar | Precio Unitario |
| Acueducto | Captaciones | - Caudal de diseño (L/s) de cada captación - Tipo de captación | $ / m³/s |
| Aducciones | - Señalar el tipo de flujo (gravedad o bombeo). - Diámetro de tubería (mm). - Longitud de red (m) por cada diámetro y material * Para el caso de canales se debe reportar la longitud, dimensiones de la sección transversal y material. | $ / m de tubería, para cada diámetro. | |
| Desarenadores | - Caudal de diseño (L/s). | $ / m³/s | |
| Planta de tratamiento de agua potable | - Caudal de diseño (L/s). - Tipo de tratamiento. | $ / m³/s | |
| Conducciones | - Tipo de flujo (gravedad o bombeo). - Material de cada tubería. - Diámetro de tubería (mm). - Longitud de red (m) por cada diámetro y material. | $ / m de tubería, para cada diámetro. | |
| Tanques de Almacenamiento | - Capacidad de cada tanque (m³). - Material. - Tipo de tanque (enterrado, elevado, superficial, semi-enterrado). | $ / m³ de acuerdo con tipo de tanque | |
| Estaciones de bombeo | - Potencia instalada (kW) en cada una de las estaciones. | $ / kW instalado | |
| Red de Distribución | - Material de cada tubería. - Diámetro de tubería (mm). - Longitud de red (m) por cada diámetro y material. | $ / m de tubería, para cada diámetro. | |
| Alcantarillado | Red de alcantarillado | - Material de cada conducto. - Dimensiones de la sección transversal de los conductos (m) o diámetro de tuberías (mm). - Longitud de red (m) por cada conducto y material. * Para el caso de canales se debe reportar la longitud, dimensiones de la sección transversal y material. | $ / m de tubería, para cada diámetro. |
| Estación de bombeo de AR | - Potencia instalada (kW). | $ / kW instalado | |
| Desarenador | - Caudal de diseño (L/s). | $ / m³/s | |
| Planta de Tratamiento de Aguas Residuales | - Caudal de diseño (L/s). - Tipo de tratamiento. | $ / m³/s | |
| Colectores finales – post PTAR | - Material de cada tubería. - Diámetro de tubería (mm). - Longitud de red (m) por cada diámetro y material. * Para el caso de canales se debe reportar la longitud, dimensiones de la sección transversal y material. | $ / m de tubería, para cada diámetro. | |
- Definición de edades (año de construcción), vidas útiles, las cuales deben estar acorde con lo establecido en el Artículo 49 de la presente resolución y el método de depreciación lineal.
Adicionalmente, en caso de contar con información de planos, esquemas, modelos hidráulicos, mapas, fotografías, así como los presupuestos de obra y/o contratos de construcción, etc., que sirvan de soporte adicional, se deberán anexar en el estudio.
Las personas prestadoras deberán tener a disposición las cantidades de obra de cada uno de los componentes de los sistemas de acueducto y de alcantarillado que aún no se han remunerado en su totalidad.
Respecto de las cantidades de obra para el componente de redes de los sistemas de acueducto y alcantarillado, se deberá presentar la longitud de red para cada diámetro y para cada material.
3. ANÁLISIS DE PRECIOS UNITARIOS Y COSTOS TOTALES DE ACTIVOS.
Las personas prestadoras deberán tener a disposición los análisis de precios unitarios de cada uno de los ítems que hacen parte del valor de cada activo. Así como las bases de datos o listas de precios que se hayan empleado para la construcción de los precios unitarios.
Ahora bien, respecto del costo total de cada activo las personas prestadoras deben comparar los costos totales por componente, reportados por la empresa en su estudio, con los costos máximos establecidos a partir de las funciones de costos[3] por componente definidas por la Comisión de Regulación de Agua Potable y Saneamiento Básico.
- Revisión de costos totales por componente a partir de la comparación con los costos máximos definidos por la CRA.
Teniendo en cuenta lo anterior, se presentan los máximos costos establecidos por la Comisión para los diferentes componentes de los sistemas de acueducto y alcantarillado, los cuales deben ser empleados por parte de las personas prestadoras para verificar que sus costos totales se encuentren por debajo de los valores que se exponen en las siguientes tablas:
<Tablas modificadas por el artículo 49 de la Resolución 735 de 2015. El nuevo texto es el siguiente:>
Costos máximos para activos de captación, tratamiento de agua potable y tratamiento de aguas residuales
(En miles de pesos de diciembre de 2014)
| Tipo de activo | Caudal de diseño (l/s) | |||||||||
| 1 – 10 | 11 - 25 | 26 - 50 | 51 – 100 | 101 - 250 | 251 - 500 | 501 - 1000 | 1001 - 2500 | 2501 - 5000 | 5001 – 10000 | |
| Captaciones superficiales | 121.167 | 209.262 | 316.379 | 478.325 | 826.096 | 1.248.955 | 1.888.266 | 3.261.148 | 4.930.451 | 7.454.230 |
| Captaciones superficiales de fondo lateral | 22.463 | 34.887 | 48.674 | 67.911 | 105.473 | 147.156 | 205.314 | 318.874 | 444.896 | 620.722 |
| Desarenadores | 38.263 | 80.783 | 142.175 | 250.225 | 528.290 | 929.776 | 1.636.382 | 3.454.827 | 6.080.407 | 10.701.359 |
| Tratamiento para Agua Potable - Planta Compacta | 234.683 | 531.192 | 985.429 | 1.828.096 | 4.137.802 | 7.676.150 | 14.240.234 | 32.232.045 | 59.794.545 | 110.926.488 |
| Tratamiento para Agua Potable - Planta Convencional | 307.124 | 626.777 | 1.075.145 | 1.844.255 | 3.763.747 | 6.456.164 | 11.074.618 | 22.601.022 | 38.768.790 | 66.502.259 |
| Tratamiento de Aguas Residuales - Lagunas de Estabilización | 876.773 | 1.335.504 | 1.836.099 | 2.524.337 | 3.845.079 | 5.286.355 | 7.267.874 | 11.070.453 | 15.220.065 | 20.925.102 |
| Tratamiento de Aguas Residuales - Tanque UASB | 594.366 | 1.283.286 | 2.297.146 | 4.112.006 | 8.878.168 | 15.892.366 | 28.448.131 | 61.421.915 | 109.948.307 | 196.812.983 |
| Tratamiento de Aguas Residuales - Tratamiento Primario | 157.612 | 319.968 | 546.681 | 934.031 | 1.896.172 | 3.239.701 | 5.535.185 | 11.236.955 | 19.198.878 | 32.802.209 |
Costos máximos para activos de almacenamiento
(En miles de pesos de diciembre de 2014)
| Tipo de activo | Capacidad de almacenamiento (m³) | |||||||||
| 1 - 25 | 26 - 50 | 51 - 100 | 101 – 150 | 151 - 250 | 251 - 500 | 501 - 1000 | 1001 - 5000 | 5001 - 10000 | 30001 - 50000 | |
| Tanques Enterrados | 34.407 | 64.065 | 119.287 | 171.599 | 271.317 | 505.184 | 940.638 | 3.983.648 | 7.417.442 | 31.413.218 |
| Tanques Semienterrados | 32.917 | 62.918 | 120.263 | 175.677 | 283.182 | 541.280 | 1.034.616 | 4.656.607 | 8.900.749 | 40.060.578 |
| Tanques Superficiales | 35.455 | 56.541 | 90.168 | 118.472 | 167.105 | 266.487 | 424.976 | 1.255.999 | 2.002.980 | 5.919.731 |
| Tanques Elevados | 79.620 | 137.605 | 237.817 | 327.518 | 490.169 | 847.140 | 1.464.081 | 5.215.282 | 9.013.377 | 32.107.037 |
Costos máximos activos de bombeo
(En miles de pesos de diciembre de 2014)
| Tipo de activo | Potencia de las estaciones de bombeo (kW) | |||||||||
| 1 - 25 | 26 - 50 | 51 - 75 | 76 – 100 | 101 - 200 | 201 - 250 | 251 - 500 | 501 - 1000 | 1001 - 5000 | 5001 - 10000 | |
| Estaciones de Bombeo de Agua Potable | 177.003 | 321.947 | 456.836 | 585.584 | 1.065.108 | 1.291.314 | 2.348.748 | 4.272.094 | 17.135.163 | 31.166.838 |
| Estaciones de Bombeo de Aguas Residuales | 113.595 | 203.350 | 285.873 | 364.024 | 651.651 | 786.006 | 1.407.054 | 2.518.814 | 9.735.933 | 17.428.613 |
Costos máximos (por metro lineal) para activos de aducción, conducción y distribución de agua potable y recolección y transporte de las aguas residuales
(En pesos de diciembre de 2014)
| Diámetro(in) | Tipo de activo | |
| Redes Acueducto | Redes Alcantarillado | |
| 0.5 | 8.631 | 15.079 |
| 0.75 | 14.569 | 24.453 |
| 1 | 21.123 | 34.458 |
| 1.25 | 28.176 | 44.960 |
| 1.5 | 35.655 | 55.876 |
| 1.75 | 43.507 | 67.150 |
| 2 | 51.694 | 78.738 |
| 2.5 | 68.955 | 102.736 |
| 3 | 87.257 | 127.681 |
| 4 | 126.509 | 179.922 |
| 6 | 213.542 | 291.760 |
| 8 | 309.600 | 411.134 |
| 10 | 412.980 | 536.442 |
| 11 | 467.061 | 600.998 |
| 12 | 522.595 | 666.693 |
| 14 | 637.683 | 801.202 |
| 15 | 697.096 | 869.892 |
| Diámetro(in) | Tipo de activo | |
| Redes Acueducto | Redes Alcantarillado | |
| 16 | 757.674 | 939.469 |
| 18 | 882.123 | 1.081.106 |
| 20 | 1.010.671 | 1.225.807 |
| 21 | 1.076.388 | 1.299.227 |
| 22 | 1.143.022 | 1.373.321 |
| 24 | 1.278.928 | 1.523.439 |
| 27 | 1.488.994 | 1.753.118 |
| 28 | 1.560.580 | 1.830.803 |
| 29 | 1.632.914 | 1.909.024 |
| 30 | 1.705.979 | 1.987.765 |
| 32 | 1.854.230 | 2.146.752 |
| 33 | 1.929.384 | 2.226.973 |
| 36 | 2.158.789 | 2.470.404 |
| 39 | 2.393.834 | 2.717.770 |
| 40 | 2.473.380 | 2.801.056 |
| 42 | 2.634.207 | 2.968.824 |
| 44 | 2.797.280 | 3.138.136 |
| 45 | 2.879.636 | 3.223.352 |
| 48 | 3.129.878 | 3.481.166 |
| 51 | 3.384.719 | 3.742.097 |
| 52 | 3.470.653 | 3.829.741 |
| 54 | 3.643.964 | 4.005.998 |
| 56 | 3.819.154 | 4.183.514 |
| 72 | 5.283.130 | 5.645.046 |
En aquellos casos en que se presenten costos de los activos por encima de los costos máximos definidos por la CRA, las personas prestadoras deberán tener a disposición los soportes necesarios que justifiquen dicha situación. Los criterios específicos de la revisión que deben hacer las personas prestadoras son los siguientes:
- Las personas prestadoras deberán desagregar los costos totales de cada componente de los sistemas de acueducto y alcantarillado, a saber: Captación, aducción, desarenadores, tratamiento de agua potable, bombeo, almacenamiento, conducción, distribución, recolección de aguas residuales y/o lluvias y tratamiento de aguas residuales.
- Con base en las especificaciones técnicas de cada activo (caudal de diseño, volumen, potencia, etc.) se comparan individualmente los costos de los mismos, con los costos máximos por activo definidos en las tablas del presente anexo. Por ejemplo, para el componente de almacenamiento, la persona prestadora debe comparar el valor de cada uno de los tanques que reporte contra los costos máximos definidos en este anexo, teniendo en cuenta en este caso particular, el volumen de almacenamiento de cada uno de los tanques.
- De igual forma, se compara el costo total de los activos de cada componente con los costos máximos definidos por la CRA. Si el costo total de cada componente se encuentra por encima del costo máximo para el componente, las personas prestadoras deberán justificar y soportar, técnica y económicamente las diferencias encontradas.
- Para el análisis de los casos específicos en los cuales los costos por componente se encuentran por encima del costo máximo definido por la CRA, la persona prestadora debe efectuar una verificación de forma individual a los activos que hacen parte de cada componente, es decir, si una persona prestadora reporta un costo para el componente de almacenamiento, que supera el costo máximo del componente, se debe efectuar una revisión individual de los activos (en este caso tanques), que hacen parte de la actividad, y que presenten las mayores desviaciones.
- Para todos aquellos activos que no se encuentren definidos dentro de las tablas[4], las personas prestadoras deberán soportar los costos totales de los mismos con análisis de precios unitarios de cada uno de los ítems que hacen parte del costo del activo, haciendo particular énfasis en las actividades e insumos de mayor peso, como lo son, las excavaciones, en $/m³, concreto, en $/m³ y el acero en $/kg. Así mismo, la persona prestadora deberá mantener una descripción técnica detallada del activo para efectos de soportar la valoración de activos realizada.
4. DEFINICIÓN DE VIDAS ÚTILES Y APLICACIÓN DE UN MÉTODO DE DEPRECIACIÓN.
La persona prestadora debe definir la vida útil de cada activo, para lo cual debe tener en cuenta lo establecido en el Artículo 49 de la presente resolución.
La persona prestadora debe definir para cada activo su edad o fecha de construcción y su respectiva depreciación o demérito.
La persona prestadora debe aplicar el método de depreciación lineal para cada activo y el valor de activos calculado por la empresa en su estudio.
<Inciso modificado por el artículo 49 de la Resolución 735 de 2015. El nuevo texto es el siguiente:> Para determinar el valor que será incluido en la Base de Capital Regulada del Año Base (BCRo) diferentes a las que hacían parte del VPIRER de la Resolución CRA número 287 de 2004, las personas prestadoras deberán establecer:
1. El costo total de los activos de acuerdo con lo definido en el numeral III del presente anexo;
2. <Numeral modificado por el artículo 49 de la Resolución 735 de 2015. El nuevo texto es el siguiente:> El valor de la depreciación acumulada al día anterior a la fecha de inicio de la aplicación de las tarifas resultantes de la presente resolución, con base en las condiciones de vida útil y método de depreciación, utilizadas en la vigencia de las tarifas de la Resolución CRA número 287 de 2004.
3. La diferencia entre el costo total del activo y el valor de la depreciación acumulada.
Sin perjuicio de las verificaciones a las que haya lugar por parte de la Superintendencia de Servicios Públicos Domiciliarios en ejercicio de sus funciones, es importante reiterar a las personas prestadoras que deben soportar y sustentar técnica y financieramente los cálculos incluidos en el presente anexo, y del mismo modo verificar y validar cada uno de los pasos planteados anteriormente.
* * *
1. En el RAS-2000 dicho valor corresponde al 5%.
2. En el RAS-2000 dicho valor corresponde al 5%.
3. Los rangos de costos se definieron en el documento “ESQUEMA DE REVISIÓN TÉCNICA DE SOLICITUDES DE VALORACIÓN DE ACTIVOS (VA)”, elaborado por la CRA y discutido en la Sesión de Comisión No 167 del 21 de diciembre de 2010.
4. Dársenas, canales, box-culvert, subestaciones eléctricas, laboratorios, válvulas, accesorios, hidrantes, talleres, equipos de telemetría y macromedición, pozos de inspección, cámaras, estaciones elevadoras, emisarios submarinos entre otros.
----------------------------------------------------
<Cuadros originales:
Los siguientes cuadros y/o tablas estaban incluidos en los textos originales de los respectivos artículos de esta norma y por su formato no pudieron ser incluidos dentro de la caja de Legislación Anterior:>
CUADROS ORIGINALES.
<TABLAS>
Costos máximos para activos de captación, tratamiento de agua potable y tratamiento de aguas residuales (En miles de pesos de diciembre de 2013)
| Tipo de activo | Caudal de diseño (l/s) | |||||||||
| 1 – 10 | 11 - 25 | 26 - 50 | 51 – 100 | 101 - 250 | 251 - 500 | 501 - 1000 | 1001 - 2500 | 2501 - 5000 | 5001 – 10000 | |
| Captaciones superficiales | 116.891 | 201.878 | 305.215 | 461.447 | 796.947 | 1.204.885 | 1.821.636 | 3.146.075 | 4.756.475 | 7.191.199 |
| Captaciones superficiales de fondo lateral | 21.670 | 33.656 | 46.957 | 65.514 | 101.751 | 141.964 | 198.069 | 307.622 | 429.197 | 598.819 |
| Desarenadores | 36.913 | 77.932 | 137.158 | 241.395 | 509.648 | 896.968 | 1.578.640 | 3.332.920 | 5.865.853 | 10.323.749 |
| Tratamiento para Agua Potable - Planta Compacta | 226.402 | 512.448 | 950.657 | 1.763.590 | 3.991.795 | 7.405.288 | 13.737.751 | 31.094.701 | 57.684.626 | 107.012.320 |
| Tratamiento para Agua Potable - Planta Convencional | 296.287 | 604.660 | 1.037.207 | 1.779.179 | 3.630.939 | 6.228.351 | 10.683.837 | 21.803.520 | 37.400.789 | 64.155.651 |
| Tratamiento de Aguas Residuales - Lagunas de Estabilización | 845.835 | 1.288.379 | 1.771.310 | 2.435.262 | 3.709.401 | 5.099.820 | 7.011.419 | 10.679.820 | 14.683.007 | 20.186.736 |
| Tratamiento de Aguas Residuales - Tanque UASB | 573.393 | 1.238.003 | 2.216.088 | 3.966.909 | 8.564.892 | 15.331.585 | 27.444.307 | 59.254.572 | 106.068.656 | 189.868.212 |
| Tratamiento de Aguas Residuales - Tratamiento Primario | 152.051 | 308.678 | 527.391 | 901.073 | 1.829.263 | 3.125.384 | 5.339.870 | 10.840.446 | 18.521.424 | 31.644.746 |
Costos máximos para activos de almacenamiento (En miles de pesos de diciembre de 2013):
| Tipo de activo | Capacidad de almacenamiento (m³) | |||||||||
| 1 - 25 | 26 - 50 | 51 - 100 | 101 – 150 | 151 - 250 | 251 - 500 | 501 - 1000 | 1001 - 5000 | 5001 - 10000 | 30001 - 50000 | |
| Tanques Enterrados | 33.193 | 61.804 | 115.077 | 165.544 | 261.743 | 487.358 | 907.447 | 3.843.081 | 7.155.709 | 30.304.766 |
| Tanques Semi-Enterrados | 31.755 | 60.698 | 116.019 | 169.478 | 273.189 | 522.180 | 998.108 | 4.492.294 | 8.586.676 | 38.646.995 |
| Tanques Superficiales | 34.204 | 54.546 | 86.986 | 114.292 | 161.208 | 257.084 | 409.980 | 1.211.680 | 1.932.303 | 5.710.847 |
| Tanques Elevados | 76.811 | 132.749 | 229.425 | 315.961 | 472.873 | 817.248 | 1.412.419 | 5.031.255 | 8.695.330 | 30.974.103 |
Costos máximos activos de bombeo (En miles de pesos de diciembre de 2013):
| Tipo de activo | Potencia de las estaciones de bombeo (kW) | |||||||||
| 1 - 25 | 26 - 50 | 51 - 75 | 76 – 100 | 101 - 200 | 201 - 250 | 251 - 500 | 501 - 1000 | 1001 - 5000 | 5001 - 10000 | |
| Estaciones de Bombeo de Agua Potable | 170.757 | 310.587 | 440.716 | 564.921 | 1.027.524 | 1.245.748 | 2.265.869 | 564.921 | 16.530.529 | 30.067.080 |
| Estaciones de Bombeo de Aguas Residuales | 109.587 | 196.175 | 275.785 | 351.179 | 628.656 | 758.270 | 1.357.405 | 351.179 | 9.392.389 | 16.813.625 |
Costos máximos (por metro lineal) para activos de aducción, conducción y distribución de agua potable y recolección y transporte de las aguas residuales (En pesos de diciembre de 2013):
| Diámetro | Tipo de activo | |
| (in) | Redes Acueducto | Redes Alcantarillado |
| 0.5 | 8.327 | 14.547 |
| 0.75 | 14.055 | 23.590 |
| 1 | 20.378 | 33.242 |
| 1.25 | 27.182 | 43.373 |
| 1.5 | 34.397 | 53.905 |
| 1.75 | 41.972 | 64.780 |
| 2 | 49.870 | 75.960 |
| 2.5 | 66.522 | 99.111 |
| 3 | 84.179 | 123.176 |
| 4 | 122.045 | 173.573 |
| 6 | 206.007 | 281.465 |
| 8 | 298.676 | 396.626 |
| 10 | 398.407 | 517.513 |
| 11 | 450.580 | 579.791 |
| 12 | 504.154 | 643.168 |
| 14 | 615.182 | 772.931 |
| 15 | 672.498 | 839.197 |
| 16 | 730.939 | 906.319 |
| 18 | 850.996 | 1.042.958 |
| 20 | 975.008 | 1.182.553 |
| 21 | 1.038.406 | 1.253.382 |
| 22 | 1.102.690 | 1.324.862 |
| 24 | 1.233.800 | 1.469.683 |
| 27 | 1.436.453 | 1.691.257 |
| 28 | 1.505.513 | 1.766.201 |
| 29 | 1.575.295 | 1.841.662 |
| 30 | 1.645.781 | 1.917.624 |
| 32 | 1.788.801 | 2.071.002 |
| 33 | 1.861.303 | 2.148.392 |
| 36 | 2.082.613 | 2.383.233 |
| Diámetro | Tipo de activo | |
| (in) | Redes Acueducto | Redes Alcantarillado |
| 39 | 2.309.365 | 2.621.870 |
| 40 | 2.386.104 | 2.702.217 |
| 42 | 2.541.256 | 2.864.066 |
| 44 | 2.698.575 | 3.027.403 |
| 45 | 2.778.024 | 3.109.613 |
| 48 | 3.019.437 | 3.358.329 |
| 51 | 3.265.285 | 3.610.053 |
| 52 | 3.348.187 | 3.694.604 |
| 54 | 3.515.382 | 3.864.642 |
| 56 | 3.684.391 | 4.035.894 |
| 72 | 5.096.709 | 5.445.854 |






