RESOLUCIÓN 36 DE 2019
(abril 15)
Diario Oficial No. 50.929 de 17 de abril 2019
COMISIÓN DE REGULACIÓN DE ENERGÍA Y GAS
Por la cual se modifican algunas disposiciones de la Resolución CREG 015 de 2018.
LA COMISIÓN DE REGULACIÓN DE ENERGÍA Y GAS,
en ejercicio de sus atribuciones constitucionales y legales, en especial las conferidas por las Leyes 142 y 143 de 1994, y en desarrollo de los Decretos números 1524, 2253 de 1994, 2696 de 2004 y 1260 de 2013.
CONSIDERANDO QUE:
Mediante la Resolución CREG 015 de 2018, publicada en el Diario Oficial del 3 de febrero de 2018, se expidió la metodología para la remuneración de la actividad de distribución de energía eléctrica en el Sistema Interconectado Nacional (SIN).
El objeto de la mencionada resolución consiste en adoptar la metodología, fórmulas tarifarias y otras disposiciones para la remuneración de la actividad de distribución de energía eléctrica en el SIN y aplica a los agentes que prestan el servicio de distribución de energía eléctrica y a los usuarios que utilizan el servicio.
De acuerdo con lo dispuesto en el numeral 14.18 del artículo 14 de la Ley 142 de 1994, la regulación de los servicios públicos domiciliarios es la facultad de dictar normas de carácter general, para someter la conducta de las personas que prestan los servicios públicos domiciliarios a las reglas, normas, principios y deberes establecidos por la ley y los reglamentos.
Por medio de la Resolución CREG 085 de 2018, se aclararon algunas disposiciones contenidas en la Resolución CREG 015 de 2018.
De acuerdo con el artículo 23 de la Ley 143 de 1994 la CREG tiene, entre otras, las funciones de:
- Definir la metodología para el cálculo de las tarifas por el acceso y uso de las redes eléctricas.
- Aprobar las tarifas que deban sufragarse por el acceso y uso de las redes eléctricas.
- Definir la metodología para el cálculo de las tarifas aplicables a los usuarios regulados del servicio de electricidad.
Dado que se recibieron comunicaciones de agentes y terceros interesados, en las cuales solicitaron realizar ajustes o precisiones sobre algunas reglas de la metodología contenidas en la Resolución CREG 015 de 2018, la Comisión, previa revisión y análisis de las solicitudes allegadas, encontró procedente realizar modificaciones a algunas disposiciones de la metodología de distribución de energía eléctrica con fundamento en lo establecido para tal fin, en los artículos 126 de la Ley 142 de 1994 y 45 de la Ley 1437 de 2011.
Mediante la Resolución CREG 151 de 2018 se publicó, para comentarios, un proyecto de resolución con la propuesta de ajustes a la Resolución CREG 015 de 2018.
En el plazo establecido para la consulta se recibieron comentarios de agentes y terceros interesados sobre la propuesta publicada en la Resolución CREG 151 de 2018 y sobre otros aspectos de la Resolución CREG 015 de 2018.
El análisis de las observaciones y sugerencias recibidas se encuentra en el respectivo documento de soporte.
Como resultado del diligenciamiento del formulario sobre prácticas restrictivas a la competencia, en cumplimiento de lo establecido en el Decreto 1074 de 2015, se concluyó que esta normativa no es restrictiva de la competencia. Por lo anterior, no se informó a la Superintendencia de Industria y Comercio (SIC), sobre el proyecto de la presente resolución.
Con base en lo anterior, la Comisión de Regulación de Energía y Gas, en su Sesión número 911 del 15 de abril de 2019, acordó expedir esta resolución.
RESUELVE:
ARTÍCULO 1o. Las definiciones de activos de nivel de tensión 1, consignación y consignación de emergencia, contenidas en el artículo 3o de la Resolución CREG 015 de 2018, quedarán así:
Activos de nivel de tensión 1: son los conformados por las redes de transporte que operan a tensiones menores a 1 kV y los transformadores con voltaje secundario menor a 1 kV que las alimentan para atender dos o más usuarios, incluyendo las protecciones y equipos de maniobra asociados, excepto los que hacen parte de instalaciones internas. En esta clasificación se incluyen los transformadores de conexión con capacidad igual o inferior a 15 kVA.
Consignación: corresponde a la definición de consignación nacional, establecida en la Resolución CREG 025 de 1995, o aquella que la modifique o sustituya.
Consignación de emergencia: corresponde a la definición de consignación de emergencia, establecida en la Resolución CREG 025 de 1995, o aquella que la modifique o sustituya.
ARTÍCULO 2o. Adicionar el literal y. al artículo 4o de la Resolución CREG 015 de 2018, el cual quedará así:
“y. Cuando un OR se conecte al sistema de otro OR en un nivel de tensión igual o inferior al 3, al operador que toma energía del sistema se le considerará como un usuario del otro OR y deberá pagar el cargo del nivel de tensión correspondiente, calculado de acuerdo con lo previsto en el numeral 1.2 del anexo general”.
ARTÍCULO 3o. El artículo 6o de la Resolución CREG 015 de 2018 quedará así:
“Artículo 6o. Activos puestos en operación después de la fecha de corte. Todos los activos puestos en operación entre la fecha de corte y hasta el 31 de diciembre del año anterior al primer año para el cual el OR solicitó aprobación del plan de inversiones se incorporarán en la remuneración según la opción que seleccione el OR.
En la solicitud de aprobación de ingresos, los OR deben escoger e informar una de las siguientes opciones:
a) Incluir el valor de estos activos en el ingreso del primer año: el valor de los activos se determinará aplicando la fórmula de la variable INVRj,n,l,t, establecida en el numeral 3.1.1.2.3 y el resultado se sumará a la variable BRAENj,n,t del respectivo nivel de tensión;
b) Incluir el valor de estos activos en la base regulatoria inicial de activos: el valor de los activos se determinará según lo establecido en los literales a. y b. del numeral 3.1.1.1.4 y el resultado se sumará a la variable CRINj,n,l del respectivo nivel de tensión.
Si el OR no señala en su solicitud la opción escogida, se empleará la opción a.”.
ARTÍCULO 4o. El numeral 1.1.1 del anexo general de la Resolución CREG 015 de 2018 quedará así:
“1.1.1 Cargos por uso de nivel de tensión 4
El LAC calculará para cada STR los cargos por uso de nivel de tensión 4 de la siguiente manera:

Donde:
Cargo por uso del nivel de tensión 4 del OR que hace parte del STR R, para el mes m del año t, en $/kWh.
Cargo del nivel de tensión 4 del STR R, en el mes m del año t, en $/kWh, calculado según lo establecido en el numeral 1.2.1.
Factor para referir las medidas de energía del nivel de tensión 4, del OR que hace parte del STR R, al STN en el mes m del año t, calculado como se muestra enseguida.

Donde:
Factor de pérdidas ponderado del nivel de tensión 4, para los OR que hacen parte del STR R, en el mes m del año t.
Ingreso mensual del OR j, en el nivel de tensión 4, en el mes m del año t, calculado según lo establecido en el numeral 2.1.
Factor de pérdidas del nivel de tensión 4 del OR j, que hace parte del STR R, en el mes m del año t, calculado de acuerdo con lo previsto en el numeral 7.1.2.1.
JR: Número de mercados de comercialización en el STR R”.
ARTÍCULO 5o. El numeral 1.1.5 del anexo general de la Resolución CREG 015 de 2018 quedará así:
“1.1.5 Cargos por incentivos de calidad del servicio
El LAC calculará los cargos asociados con el desempeño en la calidad del servicio del SDL de cada OR de la siguiente manera:

Donde:
Cargo por desempeño en la calidad del servicio del OR j para los niveles de tensión n, con n=1, 2 y 3, en el mes m del año t, en $/kWh.
Incentivo de calidad por duración de eventos, aplicable al OR j durante el año t del periodo tarifario, calculado según lo establecido en el numeral 5.2.3.2.2.1.
Incentivo de calidad por frecuencia de eventos, aplicable al OR j, durante el año t del periodo tarifario, calculado según lo establecido en el numeral 5.2.3.2.2.2.
Para las dos variables anteriores, cada año los valores serán tomados del SUI dentro de los cinco (5) días siguientes al plazo establecido en el numeral 5.2.11.4 para el reporte. Si el OR no ha hecho el reporte, el LAC utilizará un valor igual a cero mientras dicho agente reporta el nuevo valor e informará de esta situación a la SSPD para lo de su competencia. A partir del reporte del OR, el LAC utilizará la información recibida para liquidar los meses siguientes.
Valor total a descontar al OR j, en el año t, por las compensaciones no pagadas, calculadas por el LAC según lo establecido en el numeral 5.2.4.3. El plazo para realizar este cálculo es el 28 de febrero de cada año.
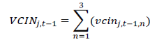
Ventas en el mercado de comercialización servido por el OR j, durante el año t-1, en kWh, realizadas por los comercializadores diferentes al incumbente. Se calcula de la siguiente manera:

Donde:
Energía registrada ante el ASIC para las fronteras comerciales de responsabilidad del comercializador i diferente al comercializador incumbente, durante el año t-1, en el nivel de tensión n, en el mercado de comercialización atendido por el OR j, en kWh.
Ip: Número total de comercializadores distintos al incumbente en el mercado de comercialización del OR j.
Ventas en el mercado de comercialización servido por el OR j, durante el año t-1, en kWh, realizadas por el comercializador incumbente. Se calcula de la siguiente manera:

Donde:
Ventas para usuarios durante el año t-1, en el nivel de tensión n, del comercializador incumbente. Corresponde al consumo de energía eléctrica en kWh que es facturado y reportado al SUI para el respectivo periodo.
Índice de precios del productor del mes m-1.
Índice de precios del productor de la fecha de corte.
Índice de precios del productor del mes de diciembre del año anterior al año t”.
ARTÍCULO 6o. El numeral 1.2.1 del anexo general de la Resolución CREG 015 de 2018 quedará así:
“1.2.1 Cargos del nivel de tensión 4
Para cada uno de los STR el cargo por nivel de tensión 4 se calcula a partir de los ingresos de los OR, aprobados de acuerdo con lo previsto en esta resolución, y los ingresos de las convocatorias que se construyen en ese STR.
El LAC estimará el cargo de nivel de tensión 4 así:

Donde:
Cargo de nivel de tensión 4 del STR R, en el mes m del año t, en $/kWh.
Ingreso mensual del OR j, perteneciente al STR R, en el nivel de tensión 4, en el mes m del año t, en pesos, calculado según lo establecido en el numeral 2.1.
Ingreso mensual por convocatorias construidas en el STR R para el mes m del año t, en pesos, calculado según lo establecido en el numeral 2.2.
Demanda total de los comercializadores que atienden usuarios en el mercado de comercialización del OR j, perteneciente al STR R, durante el mes m-1. Esta energía estará referida a 220 kV y no considerará la demanda de usuarios conectados directamente al STN.
Para referir las demandas a 220 kV se utilizarán los factores contenidos en el capítulo 7.
JR: Número de mercados de comercialización que conforman el STR R”.
ARTÍCULO 7o. El numeral 1.3 del anexo general de la Resolución CREG 015 de 2018 quedará así:
“1.3 ACTUALIZACIÓN Y LIQUIDACIÓN DE CARGOS
El ingreso mensual de los OR, así como los cargos de cada nivel de tensión y los cargos por uso, serán liquidados y actualizados por el Liquidador y Administrador de Cuentas, LAC, de acuerdo con lo previsto en esta resolución, para lo cual deberá calcular las variables necesarias.
Los comercializadores facturarán a sus usuarios los cargos por uso definidos en el numeral 1.1.
Cuando en los cálculos previstos se incurra en errores por aplicación equivocada de las fórmulas o porque los agentes se demoren en la entrega de información o reporten mala información, el LAC podrá hacer las correcciones identificadas y los ajustes que modifiquen liquidaciones de hasta cuatro meses atrás para incluirlos en los cálculos del mes que se esté liquidando. Para ello, actualizará las diferencias encontradas, con la variación del IPP desde el mes que se está corrigiendo comparado con el valor del último IPP disponible.
1.3.1 Actualización, liquidación y recaudo de cargos del STR
El LAC calculará el cargo horario del nivel de tensión 4 y las liquidaciones de cada STR con base en los períodos de carga máxima, media y mínima, y con las demandas y potencias correspondientes a cada uno de estos periodos.
El LAC utilizará las siguientes expresiones para determinar los valores a facturar a los comercializadores:
- Para los ingresos de un OR con activos remunerados, de acuerdo con lo previsto en esta resolución:

- Para los ingresos de las convocatorias:

Donde:
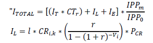
Liquidación por concepto de cargos del nivel de tensión 4, en el STR R, por el consumo en el mes m del año t, que se facturará al comercializador i, para remunerar los activos del OR j.
Liquidación por concepto de cargos del nivel de tensión 4, en el STR R, por el consumo en el mes m del año t, que se facturará al comercializador i, para remunerar los activos construidos mediante convocatoria.
Demanda del comercializador i, en el STR R, durante el mes de consumo m, referida al STN utilizando los factores de pérdidas definidos en el capítulo 7, sin considerar la demanda de usuarios conectados directamente al STN.
Cargo del nivel de tensión 4, en $/kWh, del STR R, en el mes m del año t, de acuerdo con lo previsto el numeral 1.2.1.
Ingreso mensual ajustado del OR j, en el nivel de tensión 4, en el mes m del año t, calculado según lo establecido en el numeral 2.3.
Ingreso mensual del OR j, perteneciente al STR R, en el nivel de tensión 4, en el mes m del año t, en pesos, calculado según lo establecido en el numeral 2.1.
Ingreso mensual por convocatorias construidas en el STR R para el mes m del año t, en pesos, calculado según lo establecido en el numeral 2.2.
JR: Número total de mercados de comercialización que conforman el STR R.
m: Corresponde al mes calendario de prestación del servicio.
Para efectos de los cálculos horarios, las variables
tendrán desagregaciones según los periodos horarios.
Para el STR, el LAC estará encargado de:
a) calcular y actualizar las variables requeridas para determinar los ingresos y cargos de los STR;
b) calcular los valores a facturar por cada OR a cada comercializador; y
c) el envío de las liquidaciones a los OR, con la anterioridad requerida.
La facturación y recaudo a los agentes comercializadores, de los ingresos aprobados con base en lo previsto en esta resolución, le corresponderá a cada OR, utilizando la liquidación elaborada por el LAC. Los ingresos correspondientes a convocatorias serán facturados, recaudados y distribuidos por el LAC.
1.3.2 Actualización y liquidación de los cargos del SDL
Las liquidaciones para los comercializadores que atienden usuarios en los SDL, en cada mercado de comercialización, se calcularán de acuerdo con las ventas en cada nivel de tensión.
El LAC calculará los cargos horarios de los niveles 3, 2 y 1 y las liquidaciones con base en los períodos de carga máxima, media y mínima y con las demandas y potencias correspondientes a cada uno de estos periodos.
Las liquidaciones con cargos horarios se aplicarán para los registros de las fronteras comerciales con discriminación horaria. Para los demás consumos, se aplicarán los cargos sin diferenciación horaria.
La liquidación del SDL se realizará con base en la siguiente expresión:

Donde:
Liquidación por concepto de cargos por uso del nivel de tensión n, en el mercado de comercialización j, por el consumo en el mes m, que se facturará al comercializador i.
Ventas del comercializador i, en el nivel de tensión n, en el mercado de comercialización j, durante el mes de consumo m. Cuando se trate de un comercializador diferente al integrado con el OR, estas ventas serán iguales a las lecturas de las fronteras comerciales; en caso contrario, serán iguales a las ventas reportadas al SUI que el LAC obtenga en los plazos previstos para esta consulta.
Para efectos de los cálculos horarios, esta variable tendrá desagregaciones según los periodos horarios.
Cargo por uso del nivel de tensión n, del OR j, para el mes m del año t, en $/kWh, de acuerdo con lo previsto en el numeral 1.1 o el cargo horario respectivo.
Cargo del nivel de tensión 4, en $/kWh, del STR R al que pertenece el OR j, en el mes m, de acuerdo con lo previsto en el numeral 1.2.1 o el cargo horario respectivo.
Factor para referir las medidas de energía del nivel de tensión n del OR j al STN, en el mes m del año t, de acuerdo con lo previsto en el numeral 7.2.
n: Nivel de tensión, puede tomar los valores 1, 2 o 3.
La liquidación de los comercializadores diferentes al incumbente se hará el mes siguiente al del consumo y para los comercializadores incumbentes se hará una vez se tengan disponibles los datos del SUI.
Para el SDL, el LAC estará encargado de:
a) Calcular y actualizar las variables requeridas para determinar los cargos de los SDL;
b) Consultar, al finalizar cada mes, las lecturas de los medidores de los comercializadores;
c) Dentro de los últimos cuatro (4) días calendario del mes anterior para el cual se están calculando los cargos de los niveles de tensión 1, 2 y 3 de que trata esta resolución, el LAC deberá publicar las variables requeridas para el mismo;
d) Consultar el SUI para recopilar la información de los reportes de la energía vendida por cada comercializador en un mercado de comercialización y en cada nivel de tensión. Esta información se publicará dentro de los últimos cuatro (4) días calendario del mes anterior al de su utilización en la liquidación;
e) Atender y dar respuesta a las solicitudes de modificación que presenten los agentes dentro de los tres (3) días siguientes al de la publicación de información de energía vendida y cargos de los niveles de tensión 1, 2 y 3;
f) Actualizar la información de índices de precios y corregir de oficio, o en respuesta a solicitudes de modificación, tanto la información de energía que se haya actualizado en el SUI como los cargos de los niveles de tensión 1, 2 y 3; y proceder con su publicación dentro de los primeros siete (7) días calendario de cada mes para que sean revisados por los agentes dentro de los dos (2) días siguientes a su publicación;
g) Publicar la liquidación de los valores a facturar por cada OR a cada comercializador dentro de los primeros siete (7) días calendario de cada mes para que sean revisados por los agentes dentro de los dos (2) días siguientes a su publicación;
h) Publicar la información definitiva tanto de los cargos de los niveles de tensión 1, 2 y 3, como de la liquidación de los valores a facturar por cada OR a cada comercializador, a más tardar el día 14 de cada mes, reflejando allí las actualizaciones y correcciones de información a que haya lugar.
La facturación y recaudo a los agentes comercializadores les corresponderá a los OR, utilizando la liquidación elaborada por el LAC.
1.3.3 Inicio de aplicación de los ingresos aprobados
Para todos los niveles de tensión, los ingresos que se aprueben a los OR se aplicarán a partir del primer día calendario del mes siguiente al de la entrada en vigencia de cada resolución particular.
En cada uno de los STR el cargo por uso del nivel de tensión 4, de que trata el numeral 1.1.1, y el cargo del nivel de tensión 4, de que trata el numeral 1.2.1, se aplicarán a partir del primer día calendario del mes siguiente al de la entrada en vigencia de la primera resolución particular aprobada a un OR que tenga activos en ese STR. Mientras se aprueban los ingresos de los demás OR con activos en ese STR, se utilizarán temporalmente las siguientes variables para estos OR:
Corresponde al ingreso mensual del nivel de tensión 4 del OR j, perteneciente al STR R, calculado por el LAC según lo establecido en el numeral 3.1.2 de la Resolución CREG 097 de 2008, para el mes m.
Factor de pérdidas del nivel de tensión 4 del OR j, que es igual a 0,91% para el STR Centro-Sur y 0,99% para el STR Norte.
1.3.4 Aplicación anual de ingresos
El LAC calculará anualmente el valor de las variables a utilizar para determinar el ingreso y los cargos de los OR a más tardar el 31 de marzo de cada año de aplicación de la metodología.
Con este propósito, los OR enviarán al LAC en la forma que este les indique, hasta el 28 de febrero de cada año, los valores de la lista de variables que se definirá mediante circular CREG.
Las variables que tienen cambios anuales se aplicarán a partir del mes de abril de cada año y hasta marzo del año siguiente.
Para el primer año de aplicación, el LAC calculará las variables para determinar el ingreso a partir de la resolución particular de cada OR y las consultas de información previstas en esta metodología. Además, de acuerdo con la fecha de entrada en vigencia de cada resolución, se aplicará lo previsto en el siguiente numeral.
1.3.4.1 Ajuste de ingresos para el primer año de aplicación
Si la entrada en vigencia de la resolución particular, aprobada a un OR de acuerdo con lo previsto en la presente resolución, ocurre antes del 31 de marzo del año 1 del plan de inversiones, se aplicarán los nuevos ingresos a partir del primer día calendario del mes siguiente al de la entrada en vigencia.
Si ocurre después del 31 de marzo del año 1 del plan de inversiones, en cada una de las liquidaciones de los primeros doce (12) meses de aplicación de la nueva metodología, al ingreso mensual el LAC le adicionará el ajuste calculado como se describe a continuación:

Donde:
Ajuste al ingreso mensual del OR j en el nivel de tensión n, a aplicar durante cada uno de los primeros doce (12) meses de aplicación de la nueva metodología.
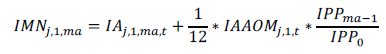
Ingreso mensual del OR j para el nivel de tensión n en el mes ma, estimado de acuerdo con lo siguiente:
a) Para el nivel 4 es igual a la variable
calculada de acuerdo con lo establecido en el numeral 2.3, para el mes ma;
b) Para los niveles 3 y 2 es igual a los valores de las variables
calculadas para el mes ma, de acuerdo con lo establecido en los numerales 2.4 y 2.5, respectivamente, y
c) Para el nivel 1 se calcula con la siguiente fórmula:

Donde:
Ingreso mensual por inversión del nivel de tensión 1, del OR j, para el mes ma, calculado de acuerdo con lo establecido en el numeral 2.6.
Ingreso anual por AOM en el nivel de tensión 1, calculado de acuerdo con lo establecido en el Capítulo 4.
Ingreso mensual del OR j, obtenido a partir de lo aprobado con base en la Resolución CREG 097 de 2008, para el mes ma. Este valor se calculará dependiendo del nivel de tensión y utilizando la información registrada en las resoluciones particulares que aprueben ingresos a los OR, como se señala a continuación:
d) Para el nivel de tensión 4:
Corresponde al ingreso mensual del nivel de tensión 4 del OR j, perteneciente al STR R, calculado por el LAC según lo establecido en el numeral 3.1.2 de la Resolución CREG 097 de 2008, para el mes ma.
e) Para el nivel de tensión 3:

Donde:
Cargo máximo del nivel de tensión 3 para el OR j, actualizado de acuerdo con lo previsto en la Resolución CREG 097 de 2008.
Energía de entrada al sistema del OR j en el nivel de tensión 3, durante el mes maa, expresada en kWh y calculada de acuerdo con lo establecido en el numeral 7.3.7.1.
Índice de pérdidas del OR j en el nivel de tensión 3, aprobado de acuerdo con lo previsto en la Resolución CREG 097 de 2008.
f) Para el nivel de tensión 2:

Donde:
Cargo del nivel de tensión 2 al cual se le ha excluido la parte que remunera el nivel de tensión 3, para el OR j.
Cargo máximo del nivel de tensión n, con n igual a 3 o 2, para el OR j, actualizado de acuerdo con lo previsto en la Resolución CREG 097 de 2008.
Energía de entrada al sistema del OR j en el nivel de tensión 2, durante el mes maa, expresada en kWh y calculada de acuerdo con lo establecido en el numeral 7.3.7.1.
Flujo de energía del nivel de tensión 3 al nivel de tensión 2, del OR j, utilizado en aplicación de la metodología de la Resolución CREG 097 de 2008 para el cálculo del cargo máximo de nivel de tensión 2 del OR j.
Energía útil del nivel de tensión 2 utilizada en aplicación de la metodología de la Resolución CREG 097 de 2008 para el cálculo del cargo máximo de nivel de tensión 2 del OR j.
Pj,2: Índice de pérdidas del OR j en el nivel de tensión 2, aprobado de acuerdo con lo previsto en la Resolución CREG 097 de 2008.
g) Para el nivel de tensión 1:

Donde:
Cargo máximo por concepto de inversiones para el nivel de tensión 1 para el OR j, actualizado de acuerdo con lo previsto en la Resolución CREG 097 de 2008.
Cargo máximo por concepto de AOM para el nivel de tensión 1 para el OR j, actualizado de acuerdo con lo previsto en la Resolución CREG 097 de 2008.
Energía de entrada al sistema del OR j en el nivel de tensión 1, durante el mes maa, expresada en kWh y calculada de acuerdo con lo establecido en el numeral 7.3.7.1.
Índice de pérdidas del OR j en el nivel de tensión 1, aprobado de acuerdo con lo previsto en la Resolución CREG 097 de 2008.
Los valores de las variables
serán los aplicados en el mes de enero de 2019 y deberán ser calculados por los OR, expresados en pesos de 2007 y entregados al LAC a más tardar el 31 de mayo de 2019. Cuando un OR no entregue esta información, el LAC informará a la SSPD de este hecho y utilizará los valores de la primera resolución aprobada al OR, con base en la metodología de la Resolución CREG 097 de 2008, multiplicados por 1,2.
Número de meses entre el 31 de marzo del año 1 del plan de inversiones y el último día calendario del mes anterior al del inicio de aplicación de la nueva metodología, para el OR j.
Para el caso de los OR a quienes se les aprueben en una resolución aparte las inversiones de que trata el artículo 6, la CREG definirá el incremento de ingresos, con base en el cual el LAC debe calcular un ingreso mensual adicional del OR j para el nivel de tensión n en el mes m, según la siguiente expresión:
![]()
Ingreso adicional del OR j para el nivel de tensión n, definido en la resolución que aprueba el reconocimiento de las inversiones de que trata el artículo 6o, calculado como la diferencia entre los ingresos antes y después de incluir estas inversiones y expresado en pesos de la fecha de corte.
Número de meses entre el 31 de marzo del año 1 del plan de inversiones y el último día calendario del mes anterior al de inicio de aplicación de la resolución que aprueba el reconocimiento de las inversiones de que trata el artículo 6, para el OR j.
Índice de precios del productor del mes m-1.
Índice de precios del productor del mes anterior al de inicio de aplicación de los cargos del OR j.
Índice de precios del productor de la fecha de corte.
Índice de precios del productor de diciembre de 2016.
Índice de precios del productor de diciembre de 2007”.
ARTÍCULO 8o. El numeral 2.1 del anexo general de la Resolución CREG 015 de 2018 quedará así:
“2.1 INGRESOS DE LOS OR EN EL NIVEL DE TENSIÓN 4
El LAC calculará el ingreso mensual de nivel de tensión 4 de cada OR, así:

Donde:
Ingreso mensual del OR j, en el nivel de tensión 4, por los activos en el STR R, remunerados de acuerdo con lo previsto en esta resolución, en el mes m del año t, en pesos.
Ingreso anual por los activos de uso del nivel de tensión 4, del OR j, en el año t, según lo establecido en el Capítulo 3.
Factor para calcular valores mensuales, calculado según lo establecido en el numeral 2.8.
Ingreso anual por los gastos de administración, operación y mantenimiento del nivel de tensión 4, del OR j, en el año t, calculado según lo establecido en el Capítulo 4.
Valor mensual de las compensaciones del OR j, por los activos en el STR R remunerados de acuerdo con lo previsto en esta resolución, correspondiente al mes m-1, según lo establecido en el numeral 5.1.14.
Ingreso del OR j, en el nivel de tensión 4, del año t, recibido por otros conceptos, según lo establecido en el numeral 2.7.
Índice de precios del productor del mes m-1.
Índice de precios del productor de la fecha de corte”.
ARTÍCULO 9o. El numeral 2.2 del anexo general de la Resolución CREG 015 de 2018 quedará así:
“2.2 INGRESOS POR CONVOCATORIAS EN EL NIVEL DE TENSIÓN 4
El LAC calculará el ingreso mensual para remunerar los proyectos construidos mediante convocatorias en el nivel de tensión 4 de cada STR, así:

Donde:
Ingreso mensual por las convocatorias construidas en el STR R, para el mes m del año t, en pesos.
Ingreso mensual esperado por la convocatoria c construida en el STR R, para el mes m. Esta variable corresponde con la variable IEp,R,m definida en la Resolución CREG 024 de 2013, o aquella que la modifique o sustituya.
Valor mensual de las compensaciones por los activos de la convocatoria c, construida en el STR R, correspondiente al mes m-1, según lo establecido en el numeral 5.1.14.
Número total de convocatorias construidas en el STR R”.
ARTÍCULO 10. El numeral 2.3 del anexo general de la Resolución CREG 015 de 2018 quedará así:
“2.3 REPARTICIÓN DE INGRESOS DE NIVEL DE TENSIÓN 4
Adicional a lo previsto en la regulación vigente, para distribuir los ingresos por el uso de los activos de nivel de tensión 4 entre los agentes beneficiarios se tendrá en cuenta lo señalado en este numeral.
Para cada uno de los OR, con mercados de comercialización en un determinado STR, al momento de distribuir los ingresos se considerará el valor del ingreso ajustado calculado de la siguiente forma:

Donde:
Ingreso mensual ajustado del OR j, en el nivel de tensión 4, en el mes m del año t.
Ingreso mensual del OR j, en el nivel de tensión 4, en el mes m del año t, calculado según lo establecido en el numeral 2.1.
Factor de pérdidas ponderado del nivel de tensión 4, para los OR que hacen parte del STR R, en el mes m del año t, calculado de acuerdo con lo previsto en el numeral 1.1.1.
Factor de pérdidas del nivel de tensión 4 del OR j, en el mes m del año t, calculado de acuerdo con lo previsto en el numeral 7.1.2.1.
Para los ingresos relacionados con convocatorias, el valor a considerar para la distribución de los ingresos del STR es igual a los ingresos esperados de cada convocatoria menos las compensaciones asociadas a los activos de esa convocatoria, en los casos en los que haya lugar”.
ARTÍCULO 11. El numeral 2.7 del anexo general de la Resolución CREG 015 de 2018 quedará así:
“2.7 INGRESOS POR OTROS CONCEPTOS
El ingreso anual por otros conceptos se calcula de la siguiente manera:
![]()
Donde:
Ingreso anual por otros conceptos del OR j en el nivel de tensión n del año t, en pesos. Para el primer año del periodo tarifario esta variable tiene un valor igual a cero.
Ingreso correspondiente al año t, recibido por parte del OR j en el nivel de tensión n por concepto de respaldo de red, conforme a lo establecido en el Capítulo 10.
Ingresos correspondientes al año t, recibido por parte del OR j en el nivel de tensión n por concepto de migración de usuarios a otros niveles de tensión, conforme a lo establecido en el Capítulo 11.
Ingresos a descontar al OR j en el nivel de tensión n por concepto de transporte de energía reactiva en exceso, correspondiente al año t, conforme a lo establecido en el Capítulo 12.
Las anteriores variables deben estar expresadas en pesos de la fecha de corte, para lo cual se utilizará la variación del Índice de Precios del Productor”.
ARTÍCULO 12. El numeral 4.1 del anexo general de la Resolución CREG 015 de 2018 quedará así:
“4.1 AOM BASE A RECONOCER
El valor de AOM base a reconocer por los activos existentes a la fecha de corte se determina con las siguientes fórmulas:
![]()
Donde:
Valor del AOM base para el OR j, expresado en pesos de la fecha de corte.
Valor del AOM inicial del OR j, calculado de acuerdo con lo previsto en el numeral 4.1.1.
Valor del AOM objetivo a reconocer para el OR j, calculado de acuerdo con lo previsto en el numeral 4.1.2.
Valor del AOM destinado a los programas de reducción o mantenimiento de pérdidas del OR j. Equivale al promedio de los valores reportados para los años 2012 a 2016, en cumplimiento de las circulares expedidas por la CREG con este propósito, actualizando cada valor anual con la variación del IPP hasta diciembre de 2016.
Valor de AOM a reconocer al OR j por condiciones ambientales, calculado de acuerdo con lo previsto en el numeral 4.1.5.
Índice de precios del productor correspondiente a la fecha de corte.
Índice de precios del productor correspondiente a diciembre de 2016”.
ARTÍCULO 13. El numeral 4.1.1 del anexo general de la Resolución CREG 015 de 2018 quedará así:
“4.1.1 AOM inicial
El valor de AOM inicial se calcula así:
![]()
Donde:
Valor del AOM inicial del OR j, expresado en pesos de diciembre de 2016.
Suma de los valores de reposición de la inversión de cada nivel de tensión del OR j utilizada para calcular el PAOMDj,2016, de acuerdo con lo señalado en el numeral 10.3 del anexo general de la Resolución CREG 097 de 2008.
Valor del AOM demostrado por el OR j, calculado de acuerdo con lo previsto en el numeral 4.1.3.
Valor del AOM remunerado al OR j, calculado de acuerdo con lo previsto en el numeral 4.1.4”.
ARTÍCULO 14. El numeral 5.1 del anexo general de la Resolución CREG 015 de 2018 quedará así:
“5.1 CALIDAD DEL SERVICIO EN LOS STR
Sin perjuicio de la responsabilidad a cargo del OR o del TR por los daños y perjuicios causados a usuarios o terceros, el incumplimiento de la calidad definida en esta resolución dará lugar a la aplicación de las disposiciones que se establecen en este capítulo.
La regulación contenida en este capítulo también les aplica a los agentes que representan ante el LAC los activos del STR construidos a través de procesos de libre concurrencia, de acuerdo con lo establecido en la Resolución CREG 024 de 2013 o la que la modifique o sustituya.
Por lo tanto, en el texto de este capítulo cuando se hace mención al OR debe entenderse que también se hace referencia a los adjudicatarios de los proyectos construidos a través de procesos de libre concurrencia.
La aplicación de las disposiciones de calidad del servicio en los STR, previstas en esta resolución, se dará una vez hayan entrado en vigencia las resoluciones particulares, aprobadas con base en esta metodología, del total de los OR que tengan ingresos por activos de nivel de tensión 4. Mientras se cumple esta condición, se seguirán aplicando las disposiciones de calidad definidas en las Resoluciones CREG 097 de 2008 y 094 de 2012.
No obstante, los valores de compensaciones generados por la regulación de calidad de la Resolución CREG 097 de 2008 que se encuentren pendientes de definición a través de un acto administrativo de la SSPD, deben ser restados del ingreso del respectivo OR en el mes siguiente al de firmeza del mencionado acto, junto con las compensaciones que se generen para ese mes por la aplicación de la presente resolución”.
ARTÍCULO 15. La definición de la variable IPP0 del numeral 5.1.12 del anexo general de la Resolución CREG 015 de 2018 quedará así:
“IPP0: Índice de precios del productor total nacional a diciembre de 2017. Cuando las UC se tomen del Capítulo 15 esta variable corresponde al índice de precios del productor total nacional a diciembre de 2007”.
ARTÍCULO 16. El numeral 5.1.2 del anexo general de la Resolución CREG 015 de 2018 quedará así:
“5.1.2 Activos sujetos al esquema de calidad
Las disposiciones sobre calidad en los STR aplicarán a los agentes que realizan la actividad de distribución en estos sistemas.
Los activos del STR sobre los que aplica el esquema de calidad del servicio son los que: i) hacen parte del inventario reconocido a cada OR, ii) están en operación comercial y podrán hacer parte de este inventario, o iii) son construidos como resultado de procesos de libre concurrencia. Para los activos nuevos que incorporen ZNI al SIN, la aplicación de las disposiciones de calidad en el STR iniciará una vez hayan transcurrido cinco (5) años desde su conexión al SIN.
Para el caso de los proyectos adjudicados mediante procesos de libre concurrencia, que se encuentren en operación antes de la fecha prevista para la aplicación de las disposiciones de calidad del STR definidas en esta resolución, los OR y TR deberán actualizar la clasificación de los activos de esos proyectos con base en las UC definidas en el Capítulo 14, dentro de los cinco (5) días hábiles siguientes a la fecha mencionada. El LAC aplicará las actualizaciones a partir del primer día calendario del siguiente mes”.
ARTÍCULO 17. El numeral 5.1.4.1 del anexo general de la Resolución CREG 015 de 2018 quedará así:
“5.1.4.1 Responsabilidad del reporte de información
Los agentes deberán realizar el reporte de eventos de acuerdo con lo establecido en el artículo 11. En caso de que un agente no notifique la ocurrencia de cualquier evento, o la finalización de la ejecución de maniobras en los plazos señalados en el mencionado artículo se ajustará el número máximo de horas anuales de indisponibilidad del activo correspondiente, de acuerdo con lo establecido en este capítulo.
Los OR son los responsables de la recolección y el reporte de la información de eventos y la requerida para la aplicación de las disposiciones de calidad del servicio. Cuando el OR no opere los activos directamente, la información será reportada por quien los opera, y en el respectivo contrato de operación podrán precisarse los mecanismos para que el OR conozca la información reportada al CND. En todo caso, el responsable de la calidad y la oportunidad de la información reportada, a través del sistema dispuesto por el CND para este fin, es el agente a quien se le están remunerando los activos.
Cuando un activo sea remunerado a dos o más OR, estos deberán acordar cuál de ellos se encargará del reporte de información de este activo e informarlo al CND durante los cinco (5) días hábiles siguientes a la fecha de inicio de la aplicación de las disposiciones de calidad del STR. Para activos que entren en operación con posterioridad a la fecha mencionada, el nombre del OR encargado del reporte de información se deberá poner en conocimiento del CND junto con la declaración de entrada en operación comercial del activo.
En caso de no existir acuerdo entre los OR a quienes se les remunera el activo compartido o que no se reporte en el plazo establecido: i) estos OR tendrán la misma responsabilidad sobre el reporte de la información de todo el activo y ii) cuando se reciba información de los dos OR y la misma difiera, se tomará la que tenga el mayor tiempo de interrupción.
Para activos nuevos, el OR, o quien los opere, deberá reportar los eventos en la forma dispuesta en la presente resolución, a partir de su fecha de entrada en operación comercial”.
ARTÍCULO 18. Los literales b., c. y l. del numeral 5.1.4.3 del anexo general de la Resolución CREG 015 de 2018 quedarán así:
“b. fecha y hora de inicio del evento,
c. fecha y hora de finalización del evento,
l. señalar si se presentó demanda no atendida y reportar el valor de esta en MWh”.
ARTÍCULO 19. El numeral 5.1.5 del anexo general de la Resolución CREG 015 de 2018 quedará así:
“5.1.5 Máximas horas anuales de indisponibilidad
Los siguientes grupos de activos utilizados en la prestación del servicio de distribución de energía eléctrica en el STR no deberán superar, en una ventana móvil de doce meses, el número de máximas horas anuales de indisponibilidad, MHAI, que se definen para los grupos de activos identificados en la Tabla 5.
Tabla 5 Máximas horas anuales de indisponibilidad

Para los grupos de activos “conexión del OR al STN”, “equipo de compensación” y “línea del STR” se consideran incluidas las respectivas bahías. Para el grupo de activos de barraje se diferencian las máximas horas permitidas para barrajes que cuentan con bahías de maniobra y para barrajes que no cuentan con estas.
El máximo permitido se debe comparar con la suma de las indisponibilidades de los activos que hacen parte del grupo de activos.
En subestaciones con configuración de interruptor y medio hacen parte del grupo de activos, tanto el interruptor del lado del barraje como el corte central. En subestaciones con configuración en anillo hacen parte del grupo de activos los dos interruptores relacionados con el respectivo activo. Para las subestaciones con estas dos configuraciones, se tendrán en cuenta las indisponibilidades de los activos que estén siendo remunerados en la actividad de distribución.
Para el grupo de activos “Equipo de compensación” el valor de la variable MHAI será igual a 31 horas, durante los primeros once meses de aplicación de las disposiciones de calidad del STR definidas en esta resolución. Después de este plazo tomará el valor de la Tabla 5”.
ARTÍCULO 20. El numeral 5.1.7 del anexo general de la Resolución CREG 015 de 2018 quedará así:
“5.1.7 Indisponibilidad de los activos de uso del STR
La duración de las indisponibilidades de los activos del STR se medirá en horas, aproximadas al segundo decimal y se agruparán por mes calendario. Un evento cuya duración pase de un mes calendario al siguiente se deberá dividir en dos eventos: uno que finaliza a las veinticuatro (24:00) horas del último día del mes calendario y otro evento que inicia a las cero (0:00) horas del primer día del nuevo mes.
Las horas de indisponibilidad de cada uno de los activos que hacen parte de los grupos de activos establecidos en este capítulo las calcula mensualmente el CND mediante la siguiente expresión:

Donde:
Horas de Indisponibilidad durante el mes m, del activo u, que pertenece al grupo de activos gu.
i: Identificador de la indisponibilidad.
n: Número total de indisponibilidades del activo u, durante el mes m.
Duración de la indisponibilidad i, para el activo u. Para los mantenimientos programados, esta duración se cuenta desde la hora programada de inicio hasta la hora programada de finalización.
Factor aplicable a bahías con configuración anillo remuneradas con UC de los capítulos 14 y 15 y a bahías y cortes centrales con configuración interruptor y medio remunerados con las UC del Capítulo 14. Tomará un valor igual a 0,5 cuando la indisponibilidad i del activo no causa que los demás activos de su grupo gu queden fuera de servicio. Para cualquier otro caso tomará un valor de 1.
Capacidad disponible del activo u expresada en porcentaje de la capacidad nominal, durante la indisponibilidad i.
Para la aplicación de esta metodología, se tendrá en cuenta la historia de las indisponibilidades del activo u, presentadas con anterioridad a la fecha prevista para la aplicación de las disposiciones de calidad del STR definida en esta resolución.
Las horas programadas para el mantenimiento de un activo que no sean utilizadas para dicha actividad se contarán como horas de indisponibilidad del activo.
El CND llevará un registro de las horas efectivamente utilizadas en el mantenimiento de cada activo y de las horas adicionales contabilizadas como indisponibilidad de acuerdo con lo previsto en el párrafo anterior.
Un mantenimiento puede ser cancelado o reprogramado hasta las 08:00 horas del día anterior al de la operación, para que esta información pueda ser tenida en cuenta en el despacho”.
ARTÍCULO 21. El literal c. del numeral 5.1.8 del anexo general de la Resolución CREG 015 de 2018 quedará así:
“c. bahías de interruptor y medio remuneradas con UC del Capítulo 15: la capacidad disponible de las bahías del diámetro se determina así: i) ante la indisponibilidad de uno de los interruptores diferentes al corte central del diámetro, la capacidad disponible de la bahía respectiva es el 33% de la capacidad nominal; ii) ante la indisponibilidad del corte central, la capacidad disponible de cada una de las dos bahías asociadas al diámetro es el 67% de la capacidad nominal; iii) ante la indisponibilidad del corte central y de uno de los interruptores del diámetro, la respectiva bahía se considera completamente indisponible, iv) ante la indisponibilidad simultánea de los dos interruptores diferentes al corte central, que forman parte de un mismo diámetro, se considera que las dos bahías asociadas a ese diámetro se encuentran completamente indisponibles”.
ARTÍCULO 22. El numeral 5.1.10 del anexo general de la Resolución CREG 015 de 2018 quedará así:
“5.1.10. Procedimiento para los mantenimientos mayores.
El mantenimiento mayor de un activo es el que se realiza por una vez cada seis años y requiere un tiempo mayor a las máximas horas anuales de indisponibilidad fijadas para el grupo de activos al que pertenece ese activo.
Los mantenimientos mayores deberán ser reportados en el programa de mantenimientos y ajustarse a los procedimientos aquí establecidos.
El tiempo máximo permitido para el mantenimiento mayor de un activo es de 96 horas cada 6 años y este periodo se cuenta a partir del 1 de enero de 2008. Se exceptúan los activos asociados a UC tipo encapsuladas cuyo mantenimiento mayor contará con un tiempo máximo reconocido de 288 horas que podrán utilizarse una vez cada 18 años o fraccionarse y utilizarse una vez cada 6 años, contados a partir del 1 de enero de 2008. La cantidad de horas que sobrepase las definidas para el mantenimiento mayor no se considerará indisponibilidad excluida.
El número permitido de horas se puede distribuir a solicitud del OR. La distribución debe hacerse de tal forma que, desde el día de inicio hasta el último día del mantenimiento, no se sobrepase un total de 30 días calendario. La duración mínima de indisponibilidad solicitada por esta causa debe ser de 32 horas.
Para cada día de trabajo, la duración mínima de cada indisponibilidad solicitada deberá ser de ocho horas de trabajo; tratándose del último día de los programados para el mantenimiento mayor, esta duración puede ser menor. Sin embargo, si por las condiciones de seguridad del SIN se requiere la disminución de este número de horas para un día determinado, el CND lo podrá solicitar al operador del activo, ante lo cual este último evaluará y tomará la decisión de disminuir la duración o mantener la inicialmente programada. Lo anterior sin perjuicio de la responsabilidad del operador del activo por la gestión del mantenimiento mayor.
Para el caso de un banco de transformadores, el tiempo máximo permitido por mantenimiento mayor puede dividirse de tal forma que el mantenimiento de cada unidad se pueda programar en fechas diferentes. En este caso, sólo una de las tres indisponibilidades solicitadas podrá ser inferior a 32 horas, y cada una de las tres puede ser inferior a las máximas horas anuales de indisponibilidad establecidas para el grupo de activos denominado conexión del OR al STN.
Sin perjuicio de lo anterior, un mantenimiento mayor podrá suspenderse por orden del CND si encuentra que las condiciones de seguridad del SIN lo requieren o por orden de una autoridad competente”.
ARTÍCULO 23. La definición de la variable IPP0 contenida en el numeral 5.1.12 del anexo general de la Resolución CREG 015 de 2018 quedará así:
“IPPo: Cuando las UC se tomen del capítulo 14 esta variable corresponde al índice de precios al productor total nacional correspondiente a diciembre de 2017. Cuando las UC se tomen del capítulo 15 esta variable corresponde al índice de precios al productor total nacional correspondiente a diciembre de 2007”.
ARTÍCULO 24. Se adiciona el siguiente párrafo al final del numeral 5.1.14.2 del anexo general de la Resolución CREG 015 de 2018:
“Cuando el valor del PENS supere el 2%, los OR tendrán un plazo de dos días, contados a partir de la publicación por parte del CND del informe de ENS, para reportar el valor de la ENS al LAC”.
ARTÍCULO 25. El numeral 5.1.16.1 del anexo general de la Resolución CREG 015 de 2018 quedará así:
“5.1.16.1 Lista de zonas excluidas de CNE
Para que una zona sea considerada como zona excluida de CNE, el CND verificará que cumple con la definición y los requisitos previstos en el siguiente numeral. El CND deberá publicar en su página web la lista de zonas excluidas de CNE y el conjunto de activos del STR que hacen parte de cada una de ellas. Si varios OR identifican activos que dependen eléctricamente de un mismo activo, el CND los agrupará y conformará una sola zona excluida de CNE.
El CND actualizará la lista cuando se identifique una nueva zona excluida de CNE que cumpla con los requisitos. También actualizará la lista cuando elimine una zona excluida de CNE por una de las siguientes causas: i) entró en operación comercial un proyecto que cambia alguna condición que sirvió para que la zona excluida de CNE fuera identificada previamente como tal, o ii) el proyecto, definido como viable por la UPME, no entró en operación comercial en la fecha prevista por esta entidad.
Para el caso de las zonas excluidas de CNE de manera temporal, es responsabilidad del OR declararlas, en los medios y plazos que el CND establezca para este fin, siempre que cumplan la condición que se establece en el numeral 5.1.16. Para estas zonas deberá seguirse lo establecido en los literales a y b del numeral 5.1.16.2 e identificar la causa de exclusión que origina la zona temporal.
Mensualmente y antes del cálculo de las compensaciones el CND publicará las zonas excluidas de CNE, temporales y no temporales, declaradas oportunamente por el OR junto con los activos que las conforman. Esta información deberá ser tenida en cuenta por el LAC en la estimación de las compensaciones del mes correspondiente”.
ARTÍCULO 26. El literal j. del numeral 5.2.2 del anexo general de la Resolución CREG 015 de 2018 quedará así:
“j. En el caso de redes y transformadores que tienen conectados usuarios de alumbrado público junto con otro tipo de usuarios, los eventos programados y no programados ocurridos por fuera de las horas definidas para la prestación del servicio de alumbrado público serán excluidos solo para efectos del cálculo de los indicadores de calidad individual del usuario de alumbrado público conectado a estos activos.
Para considerar esta exclusión, en el reporte diario de eventos al LAC de que trata el numeral 5.2.11.3.2 se debe indicar si el transformador tiene usuarios de alumbrado público. Para identificar el usuario se utilizará la información reportada para tal fin en el SUI”.
ARTÍCULO 27. Adicionar el literal o. en el numeral 5.2.2 del anexo general de la Resolución CREG 015 de 2018, el cual quedará así:
“o. Las indisponibilidades necesarias para enfrentar las situaciones acontecidas de riesgo de la vida humana, de que trata el numeral 10.6 del RETIE. Para su exclusión, el representante legal del OR deberá elaborar una declaración en la que se registre y sustente cada situación, la cual hará parte del “documento de soporte del cálculo de los indicadores”, de que trata el numeral 5.2.11.4”.
ARTÍCULO 28. El numeral 5.2.3.2.1 del anexo general de la Resolución CREG 015 de 2018 quedará así:
“5.2.3.2.1 Metas de calidad media
La meta anual con respecto a la calidad promedio del sistema de cada OR será calculada por la CREG como resultado de aplicar una reducción del 8% anual con respecto a los indicadores de referencia de cada OR, que serán establecidos por la CREG en la resolución particular que apruebe los ingresos anuales.
Para efectos de cumplir con la obligación prevista en el primer inciso del artículo 136 de la Ley 142 de 1994 los OR deberán abstenerse de incumplir las metas de calidad media anual a las que se refiere el inciso anterior durante dos períodos consecutivos.
La meta para el indicador de duración de los eventos sucedidos en el SDL de cada OR se obtiene con base en la siguiente expresión:
![]()
Donde:
Meta del indicador de duración de eventos, en horas al año, a ser alcanzada por el OR j al finalizar el año t.
Meta del indicador de duración de eventos, en horas al año, para el año t-1. Para el primer año de aplicación del esquema de calidad de cada OR esta variable será igual al indicador de referencia, SAIDI_Rj, de que trata el numeral 5.2.5.
La meta para el indicador de frecuencia de los eventos sucedidos en el SDL de cada OR se obtiene con base en la siguiente expresión:
![]()
Donde:
Meta del indicador SAIFI, en cantidad de eventos al año, a ser alcanzada por el OR j al finalizar el año t.
Meta del indicador SAIFI, en cantidad de eventos al año, para el año t-1. Para el primer año de aplicación del esquema de calidad de cada OR esta variable será igual al indicador de referencia,
de que trata el numeral 5.2.5.
Sin embargo, el valor mínimo que podrán tomar las metas será el de la respectiva meta de largo plazo.
A los OR que tengan indicadores de referencia de calidad media iguales o inferiores a los indicadores de largo plazo,
, no se les calcularán metas de mejora anual. No obstante, los valores de los indicadores de largo plazo serán considerados como sus indicadores de referencia y de meta para la aplicación de los incentivos por los indicadores de duración y frecuencia.
Después del año 5 del periodo tarifario, la CREG estimará y publicará, mediante circular, las metas de calidad anual de cada OR hasta que se expida una nueva regulación”.
ARTÍCULO 29. Los literales f. y g. del numeral 5.2.3.2.2.1 del anexo general de la Resolución CREG 015 de 2018 quedarán así:
“f. Si el
es menor que el límite inferior de la banda de indiferencia de su meta para el año t-1, el
se obtiene utilizando la siguiente expresión:

Donde:
Indicador de duración de referencia de los eventos sucedidos en el SDL, en horas al año, de que trata el numeral 5.2.5.
Valor del indicador de duración de eventos utilizado para calcular y limitar el valor del incentivo, cuando el
es menor que el límite inferior de la banda de indiferencia.
Indicador de duración de los eventos sucedidos en el SDL alcanzado por el OR j en el año t-1, calculado con base en lo establecido en el numeral 5.2.3.1.
Incentivo variable máximo con respecto al indicador de duración de los eventos, para el OR j, en el año t, cuando el
es menor que el límite inferior de la banda de indiferencia.
Meta de largo plazo para el indicador de duración de los eventos, fijada en 2 horas/año.
g. Si el
es mayor que el límite superior de la banda de indiferencia de su meta para el año t-1, el incentivo variable se obtiene utilizando la siguiente expresión:

Donde:
Meta de duración de los eventos para el OR j, para el año t-1.
Valor del indicador de duración de eventos utilizado para calcular y limitar el valor del incentivo, cuando el
es mayor que el límite superior de la banda de indiferencia.
Indicador de duración de referencia de los eventos, en horas al año, de que trata el numeral 5.2.5.
Meta de largo plazo para el indicador de duración de los eventos, fijada en 2 horas/año.
Indicador de duración de los eventos alcanzado por el OR j en el año t-1, calculado con base en lo establecido en el numeral 5.2.3.1.
Incentivo variable máximo con respecto al indicador de duración de los eventos, para el OR j, en el año t, cuando el
es mayor que el límite superior de la banda de indiferencia.
Costo de reposición de referencia del OR j en el nivel de tensión n al inicio del periodo tarifario, de que trata el numeral 6.4.2.
Base regulatoria de activos eléctricos nuevos del OR j en el nivel de tensión n para el año t-1, calculada de acuerdo con lo previsto en el numeral 3.1.1.2.”.
ARTÍCULO 30. Los literales f. y g. del numeral 5.2.3.2.2.2 del anexo general de la Resolución CREG 015 de 2018 quedarán así:
“f. Si el
es menor que el límite inferior de la banda de indiferencia de su meta para el año t-1, el
se obtiene utilizando la siguiente expresión:

Donde:
Frecuencia de referencia de ocurrencia de los eventos, en cantidad, de que trata numeral 5.2.5.
Valor del indicador de frecuencia de eventos utilizado para calcular y limitar el valor del incentivo, cuando el
es menor que el límite inferior de la banda de indiferencia.
Indicador de frecuencia de los eventos, alcanzado por el OR j en el año t-1, calculado con base en lo establecido en el numeral 5.2.3.1.
Incentivo variable máximo con respecto al indicador de frecuencia de los eventos, para el OR j, en el año t, cuando el
es menor que el límite inferior de la banda de indiferencia.
Meta de largo plazo para el indicador de frecuencia de eventos, fijada en 9 veces/año.
Base regulatoria de activos eléctricos nuevos del OR j en el nivel de tensión n para el año t-1, calculada de acuerdo con lo previsto en el numeral 3.1.1.2.
g. Si el
es mayor que el límite superior de la banda de indiferencia de su meta para el año t-1, el incentivo variable se obtiene utilizando la siguiente expresión:

Donde:
Meta de frecuencia de eventos para el OR j, para el año t-1.
Valor del indicador de frecuencia de eventos utilizado para calcular y limitar el valor del incentivo, cuando el
es mayor que el límite superior de la banda de indiferencia.
Frecuencia de referencia de ocurrencia de los eventos, en cantidad, de que trata el numeral 5.2.5.
Meta de largo plazo para el indicador de frecuencia de los eventos, fijada en 9 veces/año.
Indicador de frecuencia de eventos, alcanzado por el OR j en el año t-1, calculado con base en lo establecido en el numeral 5.2.3.1.
Incentivo variable máximo con respecto al indicador de frecuencia de eventos, para el OR j, en el año t, cuando el
es mayor que el límite superior de la banda de indiferencia.
Costo de reposición de referencia del OR j en el nivel de tensión n al inicio del periodo tarifario, de que trata el numeral 6.4.2.
Base regulatoria de activos eléctricos nuevos del OR j en el nivel de tensión n para el año t-1, calculada de acuerdo con lo previsto en el numeral 3.1.1.2.”.
ARTÍCULO 31. El numeral 5.2.4.3 del anexo general de la Resolución CREG 015 de 2018 quedará así:
“5.2.4.3. Esquema de compensaciones
Para evaluar el cumplimiento de la garantía de calidad y determinar si un usuario debe o no ser compensado, mensualmente se medirán los indicadores de calidad individual anual,
y serán comparados contra los indicadores de calidad mínima garantizada,
establecidos para cada OR. Estos últimos indicadores corresponden a los establecidos en el numeral 5.2.5.
Los indicadores de calidad individual anual serán calculados por cada OR a partir de los registros de eventos consignados en la base de datos de calidad del LAC, ocurridas en su SDL durante el período de evaluación, y demás información requerida que haya sido reportada al SUI en los formatos y condiciones que la SSPD establezca. El OR deberá elaborar y mantener un documento que soporte los cálculos correspondientes.
Los criterios y condiciones para determinar el valor de la compensación son los siguientes:
Si en el mes m se obtiene que el indicador
de un usuario es menor o igual al
establecido para el OR, el valor de la variable
que se indica más adelante será igual a cero.
Si en el mes m se obtiene que
es mayor al
el usuario recibirá compensación si se cumple la siguiente condición:

Donde:
Horas de compensación al usuario u, conectado al nivel de tensión n, que pertenece al grupo de calidad q, en el mes m.
Horas de compensación al usuario u, conectado al nivel de tensión n, que pertenece al grupo de calidad q, en el mes ma. Para los meses ma anteriores al primer mes de aplicación de lo dispuesto en este numeral, su valor será igual a cero.
Total de horas compensadas al usuario u, conectado al nivel de tensión n, que pertenece al grupo de calidad q, hasta el mes m-1
De lo contrario el valor de la variable
será cero.
Si en el mes m se obtiene que el indicador FIUu,n,q,m de un usuario es menor o igual al
establecido para el OR, el valor de la variable
que se define más adelante será igual a cero.
Si en el mes m se obtiene que
es mayor al
el usuario recibirá compensación si se cumple la siguiente condición:

Donde:
Número de eventos de compensación al usuario u, conectado al nivel de tensión n, que pertenece al grupo de calidad q, en el mes m.
Número de eventos de compensación al usuario u, conectado al nivel de tensión n, que pertenece al grupo de calidad q, en el mes ma. Para los meses ma anteriores al primer mes de aplicación de lo dispuesto en este numeral, su valor será igual a cero.
Total de eventos compensados al usuario u, conectado al nivel de tensión n, que pertenece al grupo de calidad q, hasta el mes m-1.
De lo contrario el valor de la variable
será cero.
Cuando al corte de un mes un usuario sea sujeto de compensación por uno o por ambos indicadores, el valor que el OR deberá compensar al usuario en la factura en la que se incluya ese mes, se estimará utilizando la siguiente expresión:

Donde:
Valor total a compensar al usuario en la factura f.
Valor a compensar al usuario en la factura f por incumplimiento de la duración máxima de eventos.
Valor a compensar al usuario en la factura f por incumplimiento del número máximo de eventos.
Porcentaje de descuento del cargo de distribución por compensación aplicable al año t, el cual se aplicará así: Para t=1, 8%; t=2, 10%; t=3, 12%; t=4, 14%; t=5, 16%; t=6, 18% y t=7,20%.
Cargo de distribución del nivel de tensión n del OR j para el mes m del año t. Este valor es el mismo que resulta de aplicar lo dispuesto en el numeral 1.1.
CEC: Consumo estimado a compensar en kWh según factura f.
El consumo estimado a compensar del usuario, CEC, se calcula utilizando la siguiente expresión:

Donde:
Consumo facturado al usuario en la factura f en kWh.
Duración agregada de los eventos excluidos que afectaron al usuario u durante el período facturado.
Duración agregada de los eventos no excluidos que afectaron al usuario u durante el período facturado.
Según se define en el numeral 5.2.4.2. Cuando el usuario no sea objeto de compensación en el mes m, esta variable toma el valor de cero.
Número de meses facturados en la factura f.
Número de meses del período facturado durante los cuales el usuario recibe compensación.
El comercializador será el responsable de calcular y aplicar las compensaciones correspondientes a cada usuario y en cada factura, con base en los indicadores de cada usuario, información reportada por el OR al SUI.
Si un usuario sujeto de compensación se encuentra en mora en el mes de aplicación de la compensación, esta no le será pagada. El comercializador debe reportar mensualmente de manera independiente las compensaciones efectivamente pagadas y las no pagadas en los formatos que establezca para el efecto el SUI. La suma total de las compensaciones no pagadas a los usuarios durante un año del período tarifario, por encontrarse en mora, será calculada por el LAC con base en la siguiente fórmula:

Donde:
Valor total a descontar al OR j en el año t por las compensaciones no pagadas durante el año t-1.
Valor que se compensaría en la factura f del año t-1 del usuario en mora um que no recibe compensación.
Número total de usuarios en mora del año t-1.
Número total de facturas con compensaciones no pagadas del usuario en mora um del año t-1.”
ARTÍCULO 32. El literal a. del numeral 5.2.6.2 del anexo general de la Resolución CREG 015 de 2018 quedará así:
“a. Indicador de frecuencia momentánea de eventos, MAIFIj,t, calculado utilizando la información de los eventos menores o iguales a tres (3) minutos, como se describe a continuación:

Indicador de frecuencia momentánea de eventos sucedidos en el SDL del OR j, durante el año t. [veces/año]
Número de usuarios conectados al SDL del OR j que fueron afectados por el evento i de duración menor o igual a tres (3) minutos, sucedido durante el año t.
Número total de usuarios conectados al SDL del OR j en el año t”.
ARTÍCULO 33. El numeral 5.2.7 del anexo general de la Resolución CREG 015 de 2018 quedará así:
“5.2.7. Alumbrado público
Los usuarios del servicio de alumbrado público estarán cubiertos por las reglas de calidad del servicio en los SDL. Para todos los efectos, en cada transformador al cual se halle conectada una red de alumbrado público se considerará que existe un consumidor de alumbrado público del OR, que será contabilizado para realizar la estimación de los indicadores de calidad media e individual y aplicar los incentivos y compensaciones correspondientes.
La sumatoria de las duraciones o de las frecuencias de los eventos sucedidos en cada uno de los transformadores que atienden un usuario de alumbrado público será información que deberá utilizarse para efectos de calcular las compensaciones de calidad individual que les son aplicables a dicho usuario”.
ARTÍCULO 34. Adicionar el literal k. en el numeral 5.2.13.1 del anexo general de la Resolución CREG 015 de 2018, el cual quedará así:
“k. Suministrar al comercializador la información necesaria para el cálculo de las compensaciones de que trata el numeral 5.2.4.3, con los requerimientos y plazos establecidos en el SUI para tal fin”.
ARTÍCULO 35. El aparte v. del literal c. del numeral 5.2.13.2 del anexo general de la Resolución CREG 015 de 2018 quedará así:
“v. Valor a compensar al usuario cuando haya lugar, junto con la identificación y valores de las variables necesarias para su cálculo, según lo establecido en el numeral 5.2.4.3
”.
ARTÍCULO 36. El numeral 5.2.16 del anexo general de la Resolución CREG 015 de 2018 quedará así:
“5.2.16 Transición
El cambio entre la aplicación de la regulación de calidad del SDL establecida en la Resolución CREG 097 de 2008 y la establecida en la presente resolución se realizará con base en las siguientes disposiciones:
a) Es obligación del OR y del comercializador aplicar los incentivos y compensaciones resultantes de la aplicación de las disposiciones de la Resolución CREG 097 de 2008, con base en la información que reporten los OR hasta el 31 de diciembre de 2018. Esto, sin perjuicio de que su aplicación se traslape con el reporte de eventos y de indicadores de la presente resolución.
Después de la entrada en vigencia de la resolución en la que se le aprueban los ingresos al OR y cuando estén pendientes por aplicar incentivos causados con base en la metodología de la Resolución CREG 097 de 2008, el OR estará encargado de calcularlos y enviarlos al LAC para que el total del saldo pendiente se incluya en los cargos por uso que se calculen para el segundo mes de aplicación de los ingresos aprobados.
Las compensaciones pendientes deberán aplicarse en la factura de cada usuario en el segundo mes de aplicación de los ingresos aprobados;
b) Los eventos sucedidos en los SDL a partir del 1 de enero de 2019 deben ser considerados en la aplicación de la regulación de calidad del servicio establecida en esta resolución;
c) A partir del 1 de junio de 2019 debe iniciarse el reporte de información de eventos, con base en lo establecido en el numeral 5.2.11;
d) El reporte de la información de eventos y de indicadores de calidad media e individual de los meses anteriores al inicio del reporte de información deberá ser realizado por los OR a más tardar el 30 de agosto de 2019;
e) A partir del mes siguiente al de entrada en vigencia de la resolución en la que se le aprueban los ingresos al OR, el comercializador deberá calcular y aplicar las compensaciones de cada mes del periodo facturado. Las compensaciones pendientes de los meses transcurridos desde enero de 2019 deberán incluirse una a una en las facturas emitidas a partir del mes siguiente a que hayan sido reportadas, hasta que todas sean reconocidas;
f) El OR deberá reportar a la SSPD el plan anual de trabajos de reposición o modernización en subestaciones, aplicable a los meses siguientes a la fecha de entrada en vigencia de la resolución en la que se le aprueban sus ingresos, ajustado según las disposiciones del literal n del numeral 5.2.2. Este plan deberá ser reportado dentro de un plazo máximo de diez días hábiles contados a partir de la fecha mencionada y reemplazará en dicho periodo al plan que el OR había reportado con base en la Resolución CREG 097 de 2008”.
ARTÍCULO 37. El numeral 6.3.3.4 del anexo general de la Resolución CREG 015 de 2018 quedará así:
“6.3.3.4 Sistema de gestión de activos
El OR debe incluir en el plan de inversión los activos necesarios para la implementación y certificación de un sistema de gestión de activos acorde con la Norma ISO 55001 en un plazo de cinco años contados a partir de la entrada en vigencia de la presente resolución.
En la implementación del sistema de gestión de activos, durante el primer año, el OR debe realizar un diagnóstico de las brechas frente al cumplimiento de la norma y el plan de trabajo para los próximos 4 años para obtener la certificación.
Anualmente, el OR debe informar el avance en el cierre de brechas y cuáles son las inversiones que se identificaron y se han realizado en la implementación del sistema. La CREG definirá mediante circular el contenido mínimo de los informes anuales.
Dentro de la implementación del sistema de gestión de activos se deberá tener en cuenta que debe facilitarse el acceso de los organismos de control a la información de los activos del sistema de distribución.
La certificación del sistema de gestión de activos deberá ser otorgada por una entidad acreditada por el ONAC o por un organismo con el que el ONAC tenga un acuerdo de reconocimiento mutuo”.
ARTÍCULO 38. El numeral 6.6 del anexo general de la Resolución CREG 015 de 2018 quedará así:
“6.6 Ajuste de los planes de inversión
Los OR pueden solicitar la revisión de los planes de inversión cada dos años contados a partir del 1 de enero del primer año del plan de inversiones. Sin embargo, un OR podrá solicitar una primera revisión durante el primer año del plan de inversiones.
Los lineamientos para la realización de los ajustes al plan de inversión son los siguientes:
a) La solicitud de ajuste del plan deberá realizarse a más tardar en el mes de agosto del año previo al que se va a ajustar y deberá aplicar los criterios y lineamientos establecidos en el numeral 6.1 y contener lo solicitado en el numeral 6.3. Para la solicitud durante el primer año del plan, el plazo es hasta diciembre de ese año;
b) Hasta que se apruebe el ajuste del plan deberán aplicarse los valores aprobados en la última resolución;
c) La empresa podrá solicitar el ajuste del plan de inversión siempre y cuando la modificación no conduzca a superar, en cada año, el ocho por ciento (8%) del costo de reposición de referencia. Salvo lo definido en el literal c del numeral 6.4;
d) Para la revisión de la solicitud de modificación del plan de inversiones la Comisión seguirá los pasos establecidos en el numeral 6.4.;
e) En caso de que la demanda de energía del mercado de comercialización, no crezca o se reduzca en 3 trimestres consecutivos, el OR deberá enviar a la Comisión una evaluación de la viabilidad de la ejecución del plan de inversiones en proyectos tipo I y II;
f) Las revisiones de los planes de inversión deberán incluir un horizonte mínimo de cinco años;
g) En agosto del año cuatro los OR deberán presentar una solicitud de revisión del plan de inversiones. Si el periodo tarifario dura más de cinco años y el OR no ha entregado el plan de inversiones posterior al año cinco, para ese año y los siguientes las inversiones proyectadas se calcularán de acuerdo con lo establecido en el numeral 3.1.1.2.2. Sin embargo, los ingresos que se aprueben con base en lo establecido en este literal solo se aplicarán mientras esté en vigencia la presente resolución”.
ARTÍCULO 39. El numeral 7.1.1.1 del anexo general de la Resolución CREG 015 de 2018 quedará así:
“7.1.1.1 Nivel de tensión 4, ![]()
El índice de pérdidas del nivel de tensión 4 se calculará por mercado de comercialización incluyendo los activos construidos mediante procesos de convocatoria en ese mercado.
Los índices de pérdidas serán calculados mensualmente por el LAC con base en el balance energético, a partir de la diferencia entre las sumatorias de las energías importadas y exportadas en el STR, en MWh, respecto de la sumatoria de las energías importadas.
Los índices aplicables en el mes m se calcularán mensualmente con base en la información del mes m-3 y deberán estar publicados el día 14 del mes m-1. El OR podrá exponer sus comentarios durante los tres (3) días hábiles siguientes al de la fecha de publicación para que el LAC, de considerarlo pertinente, efectúe nuevamente los cálculos y publique, el 27 de cada mes, los valores a aplicar en el mes siguiente.
El primer cálculo utilizando el balance energético se realizará doce (12) meses después de la fecha de finalización de la primera verificación quinquenal de las fronteras de que trata el artículo 39 de la Resolución CREG 038 de 2014, o aquella que la modifique o sustituya.
Mientras se inicia el cálculo de pérdidas con base en balances, los índices de pérdidas de nivel de tensión 4 se calcularán, anualmente, para cada mercado de comercialización, mediante flujos de carga horarios con base en la información del año anterior al de cálculo, como se señala a continuación.
Las pérdidas de energía del nivel de tensión 4 del año t mediante flujos de carga horarios se calculan con la información real disponible del año t-1 del modelo eléctrico del redespacho, el programa de redespacho del período y fecha seleccionados teniendo en cuenta los pronósticos oficiales, así como la topología de la red considerada en el mismo; el CND debe efectuar el siguiente procedimiento:
a) Identificar cuatro días para cada uno de los meses del año t-1: el día hábil de mayor demanda a nivel nacional, el día hábil de menor demanda a nivel nacional, el primer sábado del mes y el primer domingo del mes.
Calcular, para cada una de las horas de los cuatro días de cada mes identificados en el paso anterior, las pérdidas de los sistemas de nivel de tensión 4 para cada mercado de comercialización.
Las pérdidas deben calcularse en porcentaje respecto de la energía de entrada mediante flujos de carga horarios, teniendo en cuenta la información técnica de líneas de transmisión de los STR y transformadores de conexión al STN disponible en el documento de parámetros técnicos del SIN. En caso de que no existan datos técnicos de un elemento determinado, se deberán asumir valores de catálogo, normas técnicas o la mejor información disponible;
b) Entregar los datos obtenidos al LAC hasta el 31 de enero de cada año.
Posteriormente al recibo de los datos, el LAC deberá calcular los índices de pérdidas del nivel de tensión 4 de la siguiente manera:
c) Se obtendrá el promedio simple de los dos días hábiles de cada mes. Posteriormente se debe ponderar dicho valor con la cantidad de días hábiles del mes que corresponda. Se ponderará el valor obtenido para el día sábado de un mes determinado con la cantidad de sábados de dicho mes y el valor obtenido para el día domingo con la cantidad de domingos y festivos del mes. Se deben sumar los tres valores obtenidos y dividirlos entre el número de días del mes para encontrar el índice de cada mes;
d) El valor de pérdidas, en porcentaje, a publicar será el promedio simple de los datos de los doce meses del año para cada sistema;
e) Publicar los valores obtenidos para cada sistema antes del quince de febrero del año t;
f) Los OR tendrán hasta el 28 de febrero de cada año para informar al LAC sus observaciones y comentarios con base en los cuales, de considerarlo pertinente, el LAC efectuará nuevamente los cálculos y publicará antes del 20 de marzo del mismo año, los índices a aplicar, conjuntamente con la explicación de las diferencias entre los primeros índices y los nuevos en el caso que se presenten modificaciones al cálculo inicial”.
ARTÍCULO 40. El numeral 7.3.3 del anexo general de la Resolución CREG 015 de 2018 queda así:
“Un plan de mantenimiento de pérdidas iniciará cuando:
a) Un OR no solicite plan de reducción de pérdidas y se encuentren en firme los costos anuales aprobados a la empresa que corresponda. El cargo CPROG estará vigente hasta que los costos anuales aprobados con base en la presente metodología sean reemplazados;
b) Un OR solicite plan de reducción de pérdidas, pero no lo acepte según lo aprobado por la CREG;
c) Un OR solicite un plan de reducción y este haya sido aceptado, pero dicho plan haya sido suspendido o finalizado según lo establecido en el numeral 7.3.6.”.
ARTÍCULO 41. El literal j del numeral 7.3.4.1 del anexo general de la Resolución CREG 015 de 2018 quedará así:
“j. Cuando, durante la vigencia del plan y hasta un año posterior a su finalización, un comercializador incumbente modifique cualquier reporte de ventas de energía en el SUI correspondiente a alguno de los meses dentro de los cinco años anteriores al mes en el que se realice el cambio, este comercializador debe informar sobre la modificación al LAC dentro de los dos días siguientes al de la modificación y el LAC deberá recalcular, dentro de los dos meses siguientes al del recibo de la comunicación, los índices de pérdidas totales a partir de los periodos en que se cambiaron datos, IPTj,t, conforme a lo establecido en el numeral 7.1.4.1, teniendo en cuenta la nueva información.
En este caso, si con los índices resultantes del cálculo con la nueva información del SUI de que trata el párrafo anterior un OR incumple con las metas de algún año, el OR debe reintegrar los recursos recibidos durante los periodos de incumplimiento conforme a lo señalado en el numeral 7.3.6.”.
ARTÍCULO 42. El último párrafo del 7.3.5.1 del anexo general de la Resolución CREG 015 de 2018 quedará así:
“Los OR podrán advertir sobre posibles diferencias de cálculo en la misma oportunidad de que trata el literal f. del numeral 1.3.2.”
ARTÍCULO 43. La definición de la variable ALi,j,m del numeral 7.3.5.2 del anexo general de la Resolución CREG 015 de 2018 quedará así:
“ALi,j,m: Ajuste de la liquidación en el mes m, en pesos, causada por modificaciones en los reportes de información de consumos facturados o refacturados, realizadas por el comercializador i en el mercado de comercialización j.
Este valor es igual a cero (0) en la primera liquidación.
Estos ajustes se podrán efectuar para liquidaciones hasta de cuatro meses anteriores al de cálculo, salvo que, como resultado de la modificación de información de ventas en el SUI por parte del comercializador incumbente, sea necesario efectuar ajustes de periodos hasta de cinco años atrás al de la fecha de cambio de información, caso en el cual se podrán realizar también estos ajustes.

Donde:
Cargo en $/kWh por concepto del plan, del mercado de comercialización j, aplicable en el mes m.
Ventas de energía del comercializador i ajustadas, en el mercado de comercialización j, en el mes de ajuste maj para el cual se modificó el reporte de información, considerando las ventas a usuarios conectados directamente al STN que hacen parte del mercado de comercialización j.
Es el reporte de energía eléctrica, en kWh y que ha modificado un reporte anterior con base en el cual ya se realizó alguna liquidación del costo del plan.
Si el comercializador no realiza modificaciones en el consumo facturado, la variable
es igual a ![]()
Ventas de energía del comercializador i, en el mercado de comercialización j, considerando las ventas a usuarios conectados directamente al STN que hacen parte del mercado de comercialización j, que ha sido objeto de modificación posteriormente al momento de su utilización en el cálculo de un LCPROG”.
ARTÍCULO 44. Adicionar el numeral 7.3.5.3 al anexo general de la Resolución CREG 015 de 2018, el cual quedará así:
“7.3.5.3 Ajuste de CPROG
Cuando un OR informe sobre el inicio de la ejecución del plan de reducción de pérdidas antes del 31 de marzo del año 1 del plan de inversiones, se aplicarán los nuevos ingresos a partir del primer día calendario del mes siguiente al de la aceptación.
Si ocurre después del 31 de marzo del año 1 del plan de inversiones, el LAC, en cada una de las liquidaciones de los primeros doce (12) meses de aplicación de la nueva metodología, al
calculado según lo establecido en el numeral 7.3.5.1, le adicionará el ajuste calculado como se describe a continuación:

Donde:
Ajuste a la variable
del OR j a aplicar durante los doce (12) primeros meses de aplicación de la nueva metodología.
Cargo en $/kWh por concepto del plan, del mercado de comercialización j, aplicable en el mes m.
Número de meses entre el 31 de marzo del año 1 del plan de inversiones y el último día calendario del mes anterior al del inicio de aplicación de la nueva metodología, para el OR j.
Índice de precios del productor del mes m-1.
Índice de precios del productor del mes anterior al de inicio de aplicación de los cargos”.
ARTÍCULO 45. El numeral 7.3.6.4.2 del anexo general de la Resolución CREG 015 de 2018 quedará así:
“7.3.6.4.2 Cálculo de los ingresos a devolver por parte del OR
Los ingresos a devolver se calcularán de la siguiente manera:
![]()
Donde:
Ingreso total a devolver por el OR j, en pesos, a la fecha de cálculo.
Costo mensual de las inversiones en activos que no son clasificables como UC del OR j, aplicable para los planes de reducción de pérdidas. Se calcula dividiendo la variable
de que trata el numeral 7.3.2.3, entre 120.
T: Número de meses del período que inicia a partir del primer mes del período de incumplimiento y finaliza el mes para el cual el LAC alcanzó a publicar el último LCPROG antes de la cancelación del plan.
r: Corresponde a 1,5 veces el interés bancario corriente anual para la modalidad de crédito de consumo y ordinario, certificado por la Superintendencia Financiera, vigente en la fecha de cancelación del plan. En caso que este valor supere la tasa máxima permitida, la variable será igual a esta última”.
ARTÍCULO 46. El numeral 9.1 del anexo general de la Resolución CREG 015 de 2018 quedará así:
“9.1 PERIODOS DE CARGA MÁXIMA, MEDIA Y MÍNIMA
A más tardar el 28 de febrero de cada año, el LAC debe determinar para cada STR los períodos de carga máxima, media y mínima con base en la información del año anterior al de la aplicación de los cargos horarios. Los resultados obtenidos con la información del año 2018 deben ser publicados a más tardar el 31 de mayo de 2019.
Con este propósito se utilizará la energía que representa la demanda de cada STR, sin tener en cuenta la demanda de los usuarios conectados directamente al STN, y los porcentajes de potencia máxima que se mencionan en los literales a, b y c de este numeral.
Por su parte, los OR deben determinar los períodos de carga máxima, media y mínima de los niveles de tensión 3, 2, y 1 en función de la curva de carga típica determinada, para cada nivel de tensión, con base en las lecturas de las fronteras comerciales, incluyendo las de los OR conectados a su sistema.
Los OR deben entregar al LAC la información de los períodos de carga por nivel de tensión antes del 28 de febrero de cada año. Para el primer año de aplicación, el OR deberá entregar la información dentro del mes siguiente al de la fecha de entrada en vigencia de su resolución particular.
Un criterio para determinar estos períodos de carga se basa en el porcentaje de carga que se presenta en el sistema en una hora particular, referida a la carga máxima de la curva de carga.
Los porcentajes recomendados para establecer estos períodos son los siguientes:
a) Período de carga máxima (x): horas en las cuales el porcentaje de carga es mayor al 95% de la potencia máxima;
b) Período de carga media (z): horas en las cuales el porcentaje de carga es mayor al 75% y menor o igual al 95 % de la potencia máxima;
c) Período de carga mínima (y): las demás horas del día no consideradas en los períodos de carga máxima y media”.
ARTÍCULO 47. La primera fórmula del numeral 9.2 del anexo general de la Resolución CREG 015 de 2018 quedará así:

ARTÍCULO 48. La parte inicial del Capítulo 10 del anexo general de la Resolución CREG 015 de 2018 quedará así:
“Cualquier usuario autogenerador del SDL o STR con capacidad instalada igual o mayor a 100 kW deberá contratar capacidad de respaldo de la red, en la cantidad que defina dicho usuario y sujeto a la disponibilidad técnica del OR.
Los usuarios autogeneradores del SDL o STR con capacidad instalada inferior a 100 kW que requieran respaldo de red no están sujetos al pago de la misma.
Durante los primeros cinco años de aplicación de los ingresos y cargos calculados con base en la presente resolución, el pago anual por respaldo de transición será el resultante de las siguientes expresiones:

Donde:
Costo de respaldo a pagar por el usuario u, en el nivel de tensión n, en el año t.
Costo de respaldo de transición para el usuario u, en el nivel de tensión n, en el año t.
Costo de respaldo contratado por el usuario u, en el nivel de tensión n, en el año cero (0). Es el valor anual pagado por dicho usuario en el año anterior al del primer año de aplicación de cargos con base en esta resolución. En caso de no existir ningún pago, se debe calcular con base en el numeral 10.1.
b: Variable que representa el año de aplicación a partir de la entrada en vigencia de los ingresos aprobados al OR con base en la presente resolución, variando a partir de uno en el primer año y hasta cinco (5).
Costo de respaldo de red del usuario u en el nivel de tensión n, calculado según el numeral 10.2.
A partir del año 6 y hasta que se remplace la presente metodología, el pago anual por respaldo será calculado con base en el numeral 10.2.”.
ARTÍCULO 49. Las fórmulas del numeral 10.1 del anexo general de la Resolución CREG 015 de 2018 quedarán así:


ARTÍCULO 50. Los OR podrán solicitar la remuneración de los activos puestos en operación después de la fecha de corte, de que trata el artículo 6o de la Resolución CREG 015 de 2018, como parte de la primera resolución que apruebe sus ingresos.
Para este efecto, los OR deberán enviar a la Comisión la información definida en los formatos de las circulares CREG 029 y 051 de 2018, durante los diez (10) días posteriores a la fecha de entrada en vigencia de la presente resolución.
Para los OR que no cumplan con los requisitos del párrafo anterior, la CREG podrá resolver dicha solicitud mediante una resolución diferente a la primera que apruebe sus ingresos.
ARTÍCULO 51. Los OR deberán reportar a la SSPD la información relacionada con los activos que salen de operación, mediante el formato y el medio que esta disponga para tal fin. El reporte se hará durante el mes siguiente a la ocurrencia del hecho y esta información deberá ser igual a la que el OR utilice para el reporte anual de los activos que salen de operación.
ARTÍCULO 52. La presente resolución rige a partir de la fecha de su publicación en el Diario Oficial y deroga las normas que le sean contrarias.
Publíquese y cúmplase.
Dada en Bogotá, D. C., a 15 de abril de 2019.
El Presidente,
Diego Mesa Puyo,
Viceministro de Energía Delegado de la Ministra de Minas y Energía.
El Director Ejecutivo,
Christian Jaramillo Herrera.