RESOLUCIÓN 15 DE 2018
(enero 29)
Diario Oficial No. 50.496 de 3 de febrero de 2018
COMISIÓN DE REGULACIÓN DE ENERGÍA Y GAS
Por la cual se establece la metodología para la remuneración de la actividad de distribución de energía eléctrica en el Sistema Interconectado Nacional.
LA COMISIÓN DE REGULACIÓN DE ENERGÍA Y GAS,
en ejercicio de sus atribuciones constitucionales y legales, en especial las conferidas por las Leyes 142 y 143 de 1994, y en desarrollo de los Decretos números 1524, 2253 de 1994, 2696 de 2004 y 1260 de 2013,
A
CONSIDERANDO QUE:
Le corresponde a la CREG señalar las políticas generales de administración y control de eficiencia de los servicios públicos domiciliarios, en los términos de la Constitución Nacional y la Ley, y definir el régimen tarifario con fundamento en los criterios establecidos para garantizar el cumplimiento de los fines de la intervención del Estado en la prestación de los servicios públicos y conforme a la política pública del Gobierno nacional.
En virtud de lo dispuesto en el Capítulo V de la Ley 142 de 1994, las fórmulas tarifarias tienen una vigencia de cinco años y continuarán rigiendo mientras la Comisión no fije las nuevas; no obstante, la Comisión deberá iniciar la actuación administrativa para fijar las nuevas tarifas, doce meses antes de la fecha prevista para que termine la vigencia de las fórmulas tarifarias y siguiendo el procedimiento establecido en el artículo 11 del Decreto número 2696 de 2004 sobre reglas de difusión para la adopción de fórmulas tarifarias.
De acuerdo con lo dispuesto en el artículo 85 de la Ley 143 de 1994, las decisiones de inversión en distribución de energía eléctrica constituyen responsabilidad de aquellos que las acometan, quienes asumen en su integridad los riesgos inherentes a la ejecución y explotación de los proyectos.
Mediante el Decreto número 387 de 2007, modificado por los Decretos números 4977 de 2007 y 1937 de 2013, el Gobierno nacional estableció políticas generales en relación con la actividad de comercialización del servicio de energía eléctrica, incluyendo a los usuarios del STN como parte de los mercados de comercialización.
A su vez, el Decreto número 1937 de 2013, estableció que los planes de reducción de pérdidas ordenados por los literales c,) d) y e) del artículo 3o del Decreto número 387 de 2007 entrarán en aplicación una vez entren en vigencia los cargos de distribución aprobados mediante la metodología de remuneración de la actividad de distribución que remplace la establecida en la Resolución CREG 097 de 2008.
Con la expedición del Decreto número 388 de 2007, modificado por los Decretos números 1111 de 2008, 3451 de 2008 y 2492 de 2014, el Gobierno nacional estableció las políticas y directrices relacionadas con el aseguramiento de la cobertura del servicio de electricidad y con la conformación de áreas de distribución de energía eléctrica, ADD, para eliminar diferencias de los costos de distribución entre los usuarios de los mercados que conforman cada una de ellas.
Para la expedición de la presente metodología de remuneración de la actividad de distribución de energía eléctrica para el siguiente periodo tarifario, se siguió el procedimiento establecido en el artículo 11 del Decreto número 2696 de 2004;
Mediante la Resolución CREG 043 de 2013, la Comisión puso en conocimiento de las entidades prestadoras del servicio público domiciliario de energía eléctrica, los usuarios y demás interesados, las bases sobre las cuales la Comisión efectuaría el estudio para determinar los principios generales, la metodología y fórmulas del siguiente periodo tarifario, para el establecimiento de los cargos por uso que remunerarán la actividad de distribución de energía eléctrica en el Sistema Interconectado Nacional. Lo anterior en cumplimiento de lo previsto en los numerales 11.1 y 11.2 del artículo 11 del Decreto número 2696 de 2004 cuya publicación se realizó en la página web de la CREG, el 10 de mayo de 2013.
Los estudios que se adelantaron por parte de la CREG en los temas de gastos eficientes por concepto de administración, operación y mantenimiento para la prestación del servicio, unidades constructivas, pérdidas eficientes en los sistemas de transmisión regional, metodologías de remuneración de la actividad de distribución de energía eléctrica, niveles y metas de calidad del servicio y reconocimiento de la energía reactiva, fueron publicados mediante las Circulares CREG 034, 036, 038 y 063 de 2014, en cumplimiento de lo previsto en el numeral 11.3 del artículo 11 del Decreto número 2696 de 2004.
Los propósitos y lineamientos para la remuneración de la actividad de distribución de energía eléctrica para el periodo tarifario 2015-2019, se hicieron públicos con la expedición de la Resolución CREG 079 de 2014, publicada en la página web de la Comisión el 12 de junio de 2014.
Conforme a lo dispuesto por el numeral 11.4 del artículo 11 del Decreto número 2696 de 2004, que establece “tres (3) meses antes de la fecha prevista para que inicie el periodo de vigencia de las fórmulas tarifarias, se deberán hacer públicos en la página Web de la Comisión correspondiente los proyectos de metodologías y de fórmulas, los estudios respectivos y los textos de los proyectos de resoluciones”, la Comisión expidió para comentarios la resolución CREG 179 de 2014, en la cual se propuso la metodología para la remuneración de la actividad de distribución de energía eléctrica en el Sistema Interconectado Nacional, la cual como más adelante se explica fue publicada en 3 ocasiones más.
Mediante el Decreto número 2492 de 2014 se establecieron los lineamientos de política pública en materia de implementación de mecanismos de respuesta de la demanda.
Mediante las Circulares CREG 053 y 064 del año 2015 se publicaron los estudios realizados por la Comisión sobre calidad del servicio, en la Circular CREG 052 de 2015 sobre AOM y en la Circular CREG 059 de 2015 sobre presentación de planes de inversión.
Mediante la Resolución CREG 095 de 2015 se definió la metodología para el cálculo de la tasa de descuento que se aplicará en la actividad de distribución de energía eléctrica en el Sistema Interconectado Nacional.
En cumplimiento de lo establecido en el Decreto número 2696 de 2004, el cual a su vez fue compilado mediante el Decreto número 1078 de 2015, en relación con la obligación que tiene la Comisión de publicar los proyectos de metodologías y de fórmulas, los estudios respectivos y los textos de los proyectos de resoluciones para comentarios, se publica la resolución Por la cual se establece la metodología para la remuneración de la actividad de distribución de energía eléctrica en el Sistema Interconectado Nacional la cual incorpora los resultados del análisis de los comentarios recibidos sobre la propuesta publicada en cuatro oportunidades, mediante las siguientes resoluciones:
– La primera a través de la Resolución CREG 179 de 2014, la cual fue publicada tanto en el Diario Oficial como en la página web de la CREG el 13 de febrero de 2015, teniendo como plazo final para la presentación de comentarios el día 14 de mayo de ese mismo año.
– La segunda, a través de la Resolución CREG 024 de 2016 la cual fue publicada en el Diario Oficial el 20 de marzo de 2016 y en la página web de la CREG el 14 de marzo de 2016, teniendo como plazo final para la presentación de comentarios el día 15 de abril de ese mismo año. No obstante lo anterior, se efectuó una prorroga en el plazo para presentar comentarios a través de la Resolución CREG 048 de 2016, dejando como plazo final el día 25 de abril de ese mismo año.
– La tercera, mediante la expedición de la Resolución CREG 176 de 2016 publicada en el Diario Oficial el día 9 de noviembre de ese mismo año y en la página web de la CREG el día 4 de noviembre, teniendo como plazo final para la presentación de comentarios el día 22 de noviembre de 2016.
– La cuarta, mediante la expedición de la Resolución CREG 019 de 2017 publicada en el Diario Oficial el día 10 de marzo de ese mismo año y en la página web de la CREG ese mismo día, teniendo como plazo final para la presentación de comentarios el día 11 de abril de 2017.
Mediante el Decreto número 348 de 2017 se determinaron los lineamientos de política pública en materia de gestión eficiente de la energía y entrega de excedentes de autogeneración a pequeña escala.
La Resolución número 40072 de 2018 del Ministerio de Minas y Energía establece los mecanismos para implementar la infraestructura de medición avanzada en el servicio público de energía eléctrica. Conforme con el plazo estipulado para ello y en resolución aparte, la CREG establecerá las condiciones para la implementación de la Infraestructura de Medición Avanzada en la prestación del servicio público domiciliario de energía eléctrica en el Sistema Interconectado Nacional (SIN), incluyendo la responsabilidad de la instalación, administración, operación, mantenimiento y reposición de la Infraestructura de Medición Avanzada, y dado el caso, del medidor avanzado. Asimismo, la CREG adoptará los ajustes regulatorios con el fin de remunerar mediante la tarifa del servicio de energía eléctrica, las inversiones y funcionamiento asociados, para la implementación de la Infraestructura de Medición Avanzada.
En el Documento CREG 10 de 2018 se presentan los análisis de los comentarios recibidos a las propuestas regulatorias en consulta antes citadas.
En cumplimiento de lo establecido en el Decreto Compilatorio número 1074 de 2015, la Comisión diligenció el correspondiente formato para determinar si la regulación que se adopta mediante la presente resolución, se encuentra dentro del marco de prácticas restrictivas a la competencia, a lo que se observa de acuerdo con su resultado que no, por lo tanto, no se informa a la Superintendencia de Industria y Comercio (SIC), sobre el proyecto de resolución.
La Comisión de Regulación de Energía y Gas, en su Sesión número 836 del 29 de enero de 2018, acordó expedir esta resolución,
RESUELVE:
ARTÍCULO 1o. OBJETO. Mediante esta resolución se adopta la metodología, fórmulas tarifarias y otras disposiciones para la remuneración de la actividad de distribución de energía eléctrica en el Sistema Interconectado Nacional (SIN).
ARTÍCULO 2o. ÁMBITO DE APLICACIÓN. Esta resolución aplica a los agentes que prestan el servicio de distribución de energía eléctrica y a los usuarios que utilizan el servicio.
ARTÍCULO 3o. DEFINICIONES. Para la interpretación y aplicación de esta resolución, se tendrán en cuenta, además de las definiciones establecidas en las Leyes 142 y 143 de 1994, en el Decreto número 388 de 2007 y en las resoluciones vigentes de la CREG, las siguientes:
Activos de conexión del OR al STN: son los bienes que se requieren para que un operador de red se conecte físicamente al Sistema de Transmisión Nacional, STN.
Se consideran como activos de conexión del OR al STN las siguientes UC: la bahía de transformador con tensión mayor o igual a 220 kV, el transformador con una tensión primaria mayor o igual a 220 kV y, secundaria o terciaria, cualquier tensión inferior a 220 kV y las bahías de transformador de los lados de baja tensión. En las subestaciones del STN con configuración de anillo o interruptor y medio no se remunerarán a través de cargos por uso de la actividad de distribución, las bahías con tensión mayor o igual a 220 kV.
Los activos de conexión del OR al STN se remunerarán mediante cargos por uso y por lo tanto hacen parte de la base regulatoria de activos. El OR es el responsable por la operación y mantenimiento de estos activos.
Cuando estos activos sean compartidos por dos o más OR, estos deberán acordar cuál de ellos se encargará de la operación y el mantenimiento, así como el valor a remunerar entre ellos por dichas actividades.
Activos de conexión a un STR o a un SDL: son los bienes que se requieren para que un OR se conecte físicamente a un Sistema de Transmisión Regional, STR, o a un Sistema de Distribución Local (SDL), de otro OR. También son activos de conexión los utilizados exclusivamente por un usuario final para conectarse a los niveles de tensión 4, 3, 2 o 1. Un usuario está conectado al nivel de tensión en el que está instalado su equipo de medida individual.
Los activos de conexión utilizados para conectar un OR al STR o al SDL de otro OR serán considerados en el cálculo de los cargos por uso del OR que se conecta y su operación y mantenimiento estarán bajo su responsabilidad.
Cuando estos activos sean compartidos por dos o más OR, estos deberán acordar cuál de ellos se encargará de la operación y el mantenimiento, así como el valor a remunerar entre ellos por dichas actividades.
Se preservan las situaciones particulares y concretas consolidadas con anterioridad a la entrada en vigencia de la Resolución CREG 097 de 2008 en las que, en los términos y con el alcance de la definición de activos de conexión a un STR o a un SDL prevista en el artículo 12 de la Resolución CREG 082 de 2002, se tengan varios usuarios finales usando activos de conexión al SDL y con la medida en el nivel de tensión 1 y la respectiva solicitud de conexión haya sido presentada en los términos del numeral 4 del anexo general de la Resolución CREG 070 de 1998. A estos usuarios se les cobrarán cargos por uso de nivel de tensión 2 o 3 y para la determinación del consumo se debe referir la medida al nivel de tensión que corresponda utilizando el factor respectivo.
Activos de nivel de tensión 1: <Definición modificada por el artículo 1 de la Resolución 36 de 2019. El nuevo texto es el siguiente:> son los conformados por las redes de transporte que operan a tensiones menores a 1 kV y los transformadores con voltaje secundario menor a 1 kV que las alimentan para atender dos o más usuarios, incluyendo las protecciones y equipos de maniobra asociados, excepto los que hacen parte de instalaciones internas. En esta clasificación se incluyen los transformadores de conexión con capacidad igual o inferior a 15 kVA.
Activos de uso de STR y SDL: son aquellos activos de transporte de electricidad que operan a tensiones inferiores a 220 kV que son utilizados por más de un usuario y son remunerados mediante cargos por uso de STR o SDL.
Activos en operación: son aquellos activos eléctricos que forman parte de un sistema utilizado de forma permanente en la actividad de distribución de energía eléctrica, incluyendo aquellos que están normalmente abiertos. Se entiende por sistemas normalmente abiertos aquellos que se encuentran disponibles para entrar en servicio en forma inmediata cuando se requieran.
Activos no eléctricos: son aquellos activos que no hacen parte de la infraestructura de transporte de energía eléctrica de los OR, pero que son requeridos para cumplir con su objeto social. Hacen parte de estos activos, entre otros, los siguientes: edificios (sedes administrativas, bodegas, talleres, etc.), maquinaria y equipos (grúas, vehículos, etc.) y equipos de cómputo.
Activo no operativo: activo que estando en las condiciones necesarias para operar no puede hacerlo debido a la indisponibilidad de otro activo diferente a los que conforman su grupo de activos.
AOM: valor de los gastos de administración, operación y mantenimiento correspondientes a la actividad de distribución de energía eléctrica en los STR y SDL.
Base Regulatoria de Activos (BRA): valor de los activos utilizados para la prestación del servicio por parte del OR. Está compuesta por activos eléctricos y no eléctricos.
Capacidad disponible del activo: parte de un activo que está siendo utilizada en la prestación del servicio, expresada como un porcentaje de la capacidad total que puede entregar acorde con sus características técnicas o datos de fabricante en condiciones normales de operación.
Carga o Capacidad Instalada: es la carga instalada o la capacidad nominal, declarada al momento de efectuar una conexión a un sistema determinado, que puede soportar el componente limitante de una instalación o sistema eléctrico.
Cargos por uso del OR: son los cargos, expresados en $/kWh, acumulados para cada nivel de tensión, que remuneran a un OR las inversiones en los activos de uso de los SDL y STR y los gastos de AOM en los que incurre para la prestación del servicio.
Centro Nacional de Despacho (CND): entidad encargada de la planeación, supervisión y control de la operación integrada de los recursos de generación, interconexión y transmisión del Sistema Interconectado Nacional, teniendo como objetivo una operación segura, confiable y económica, con sujeción a la reglamentación vigente y a los acuerdos del CNO.
Compensación por Energía No Suministrada (CNE): compensación por ocasionar energía no suministrada o por dejar no operativos otros activos.
Conexión y acceso a redes: es el derecho que tiene todo usuario a utilizar las redes del STN, STR y/o SDL, previo el cumplimiento de las normas que rijan el servicio, el pago de las retribuciones que correspondan y el principio de eficiencia consignado en la ley.
Consignación: <Definición modificada por el artículo 1 de la Resolución 36 de 2019. El nuevo texto es el siguiente:> corresponde a la definición de consignación nacional, establecida en la Resolución CREG 025 de 1995, o aquella que la modifique o sustituya.
Consignación de emergencia: <Definición modificada por el artículo 1 de la Resolución 36 de 2019. El nuevo texto es el siguiente:> corresponde a la definición de consignación de emergencia, establecida en la Resolución CREG 025 de 1995, o aquella que la modifique o sustituya.
Disponibilidad: se define como el tiempo total sobre un período dado, durante el cual un activo de uso estuvo en servicio o cuando, sin estar en servicio, el agente lo declara disponible y el CND no instruye su conexión por condiciones de topología, seguridad, confiabilidad o calidad del SIN.
Energía No Suministrada (ENS): estimación de la cantidad de energía que no pudo ser entregada cuando se presentan eventos en el sistema, realizada con base en las disposiciones que para tal fin se establecen en la regulación vigente.
Evento: situación que causa la indisponibilidad parcial o total de un activo de uso y que ocurre de manera programada o no programada.
Evento de alto impacto: Los eventos de alto impacto serán todos aquellos que tengan lugar en el SDL o en el STR y cumplan con alguna de las siguientes condiciones:
a) Afecte más de cincuenta mil (50.000) usuarios por un periodo mayor o igual a tres (3) horas;
b) Afecte a más del treinta por ciento (30%) de los usuarios del mercado de distribución de un OR por un periodo mayor o igual a tres (3) horas.
Fecha de corte: es el 31 de diciembre de 2017.
Grupo de activos: conjunto de activos en operación cuyas funcionalidades se encuentran interrelacionadas.
Índice de Precios del Productor (IPP): corresponde al índice de precios del productor de la serie oferta interna publicado mensualmente por el Departamento Nacional de Estadística (DANE).
Indisponibilidad: se define como el tiempo durante el cual un activo de uso no estuvo en servicio total o parcialmente. Un activo estará indisponible, y se seguirá considerando en esta condición, aunque su función esté siendo suplida por otro activo del SIN.
Liquidador y Administrador de Cuentas (LAC): Entidad encargada de la liquidación y administración de cuentas de los cargos por uso de las redes del SIN que le sean asignadas y de calcular el ingreso regulado de los transportadores, de acuerdo con las disposiciones contenidas en la regulación vigente.
Mantenimiento mayor: mantenimiento de activos de uso de los STR que requiere un tiempo mayor a las máximas horas anuales de indisponibilidad fijadas para el grupo de activos al que pertenece ese activo.
Mercado de comercialización: conjunto de usuarios regulados y no regulados conectados a un mismo STR y/o SDL, servido por un mismo OR. También hacen parte del mercado de comercialización los usuarios conectados directamente al STN del área de influencia del respectivo OR, así como los usuarios conectados a activos de un TR dentro de esta misma área.
Migración de Usuarios a Niveles de Tensión Superiores (MUNTS): es la conexión de un usuario final al sistema de un OR en un nivel de tensión superior al que se encontraba conectado.
Niveles de tensión: los STR y SDL se clasifican por niveles, en función de la tensión nominal de operación, según la siguiente definición:
Nivel 4: sistemas con tensión nominal mayor o igual a 57,5 kV y menor a 220 kV.
Nivel 3: sistemas con tensión nominal mayor o igual a 30 kV y menor de 57,5 kV.
Nivel 2: sistemas con tensión nominal mayor o igual a 1 kV y menor de 30 kV.
Nivel 1: sistemas con tensión nominal menor a 1 kV.
Nodo: punto donde se conectan físicamente varios elementos de un sistema eléctrico. Normalmente es el barraje de una subestación.
Operador de red de STR y SDL, OR: <Ver Notas de Vigencia> persona encargada de la planeación de la expansión, las inversiones, la operación y el mantenimiento de todo o parte de un STR o SDL, incluidas sus conexiones al STN. Los activos pueden ser de su propiedad o de terceros. Para todos los propósitos son las empresas que tienen cargos por uso de los STR o SDL aprobados por la CREG. El OR siempre debe ser una empresa de servicios públicos domiciliarios. La unidad mínima de un SDL para que un OR solicite cargos por uso corresponde a un municipio.
RPP: fracción del costo de una unidad constructiva que es remunerada vía cargos por uso, que no se incluye en el cálculo de la tarifa de acuerdo con lo dispuesto en el numeral 89.7 del artículo 89 de la Ley 142 de 1994, modificado por el artículo 99 de la Ley 1450 de 2011.
Sistema de Distribución Local (SDL): sistema de transporte de energía eléctrica compuesto por el conjunto de líneas y subestaciones, con sus equipos asociados, que operan en los niveles de tensión 3, 2 y 1 y son utilizados para la prestación del servicio en un mercado de comercialización.
Sistema de Transmisión Regional (STR): sistema de transporte de energía eléctrica compuesto por los activos de conexión del OR o el TR al STN y el conjunto de líneas, equipos y subestaciones, con sus equipos asociados, que operan en el nivel de tensión 4. Los STR pueden estar conformados por los activos de uno o más OR o TR.
Sistema de Transmisión Nacional (STN): es el sistema de transmisión de energía eléctrica compuesto por el conjunto de líneas, equipos de compensación y subestaciones que operan a tensiones iguales o superiores a 220 kV, los transformadores con este nivel de tensión en el lado de baja y los correspondientes módulos de conexión.
Supervisión: adquisición, en forma directa o indirecta, de información de variables operativas del SIN y procesamiento de la misma, sin que esto implique control operativo de tales variables.
Tasa de retorno: tasa establecida para la actividad de distribución de energía eléctrica para un esquema de ingreso máximo calculada de acuerdo con la metodología de la Resolución CREG 095 de 2015, aprobada en resolución aparte.
Trabajos de expansión o reposición en la red: son las actividades necesarias para la entrada en operación comercial de un generador, de los activos que componen los proyectos de expansión y demás que hagan parte del plan de inversiones que la CREG le haya aprobado al OR o de las expansiones del STR que se ejecuten a través de los procesos de selección que realiza la UPME.
Transmisor Regional, TR. <Definición modificada por el artículo 1 de la Resolución 101-9 de 2022. El nuevo texto es el siguiente:> Persona jurídica que opera y transporta energía eléctrica en un STR o que ha constituido una empresa cuyo objeto es el desarrollo de dichas actividades. También actuará como Transmisor Regional el Transmisor Nacional, TN, que resulte seleccionado en los Procesos de Selección para la ejecución y operación de un proyecto requerido en la expansión del STR, al cual le aplicarán las disposiciones establecidas para los TR en esta resolución, relacionadas con la ejecución de estos procesos.
En el ejercicio de su actividad como TR, este agente es responsable por la calidad del sistema que opera, así como las demás normas asociadas con el transporte de energía eléctrica en un STR.
Unidad Constructiva (UC): conjunto de elementos que conforman una unidad típica de un sistema eléctrico, destinada a la conexión de otros elementos de una red, al transporte o a la transformación de la energía eléctrica o a la supervisión o al control de la operación de activos de los STR o SDL.
Unidad constructiva especial: es aquella que contiene elementos con características técnicas que no la hace asimilable a las UC definidas.
Usuario: persona natural o jurídica que se beneficia con la prestación de un servicio público, bien como propietario del inmueble en donde este se presta, o como receptor directo del servicio. A este último usuario se le denomina también consumidor y, para los efectos de esta resolución, se le denominará usuario final.
Usuario conectado directamente al STN: es el usuario final del servicio de energía eléctrica conectado al STN mediante equipos destinados en un 100% a su uso exclusivo.
Se preservan las situaciones particulares en las que un usuario a la fecha de entrada en vigencia de la Resolución CREG 097 de 2008 estaba reconocido como usuario conectado directamente al STN.
Un usuario conectado directamente al STN pertenece al mercado de comercialización del OR que atiende la mayor cantidad de usuarios en el municipio donde se encuentre ubicado. Cuando el usuario conectado directamente al STN está ubicado en un municipio donde no existan usuarios conectados a ningún OR del SIN, pertenecerá al mercado de comercialización del OR que atienda la mayor cantidad de usuarios en el departamento donde se encuentre ubicado.
Usuario del STR o SDL: es el usuario final del servicio de energía eléctrica, OR, generador, cogenerador o autogenerador conectado al STR o al SDL.
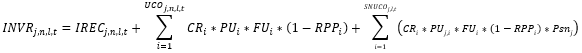
ARTÍCULO 4o. CRITERIOS GENERALES. La metodología que se aplicará para el cálculo de los ingresos y cargos por uso de los STR o SDL tendrá en cuenta los siguientes criterios generales:
a) En virtud del principio de integralidad de la tarifa establecido en la ley, los ingresos y cargos de los SDL variarán según los índices de calidad del servicio prestado;
b) La base regulatoria de activos de los niveles de tensión 4, 3 y 2, correspondiente a los activos en operación a diciembre de 2007, se determinará a partir del valor implícito en los cargos de distribución vigentes y para los activos que entraron en operación a partir de enero de 2008 a la fecha de corte se determinará con base en los inventarios;
c) La base regulatoria de activos del nivel de tensión 1, correspondiente a los activos en operación a diciembre de 2007, se determinará a partir del valor implícito en los cargos de distribución vigentes y para los activos que entraron en operación a partir de enero de 2008 a la fecha de corte se empleará el costo medio por transformador y circuito de cada OR;
d) Para la determinación de la base regulatoria de activos inicial se podrá incluir el valor de activos en operación a diciembre de 2007 que no fueron reportados y no se encuentran en el valor implícito reconocido en los cargos de distribución vigentes;
e) Para la determinación de la base regulatoria de activos inicial se excluirá el valor de los activos que estén fuera de operación a la fecha de corte y que se encuentre en el valor implícito reconocido en los cargos de distribución vigentes, es responsabilidad del OR reportar esta información dentro de la solicitud de ingresos;
f) Los costos anuales de los STR se determinarán a partir de los activos de uso pertenecientes al nivel de tensión 4, de las conexiones al STN de los OR y los activos de uso aprobados en los planes de inversión;
g) Los costos anuales de los SDL se determinarán a partir de los activos de uso pertenecientes a los niveles de tensión 3, 2 y 1, los activos de uso aprobados en los planes de inversión y los pagos de cargos por uso entre OR;
h) Las unidades constructivas del nivel de tensión 4 de los proyectos que a la fecha de entrada en vigencia de esta resolución se encuentren en construcción y que tengan concepto favorable de la UPME, se valorarán con las UC del capítulo 15 de esta resolución y deben estar incluidas en el plan de inversión;
i) Los OR podrán presentar UC especiales para lo cual deberán suministrar la información correspondiente dentro de la respectiva actuación administrativa;
j) La elaboración del plan de inversiones y la identificación, priorización y ejecución de las inversiones que lo conforman continuará siendo de entera responsabilidad del OR;
k) Los activos a incorporar en el sistema y relacionados en los planes de inversión deben ser activos nuevos. No se considerarán los activos retirados de otros sistemas o los trasladados dentro del mismo sistema;
l) La remuneración de los planes de gestión de pérdidas se efectuará con base en los costos eficientes de reducción y mantenimiento de pérdidas y se mantendrá siempre y cuando el OR cumpla con las metas aprobadas;
m) Para compartir las mejoras de productividad de la red con los usuarios, los cargos de nivel de tensión 1 se disminuirán teniendo en cuenta los ingresos recibidos por el OR por la prestación de servicios distintos al de distribución de electricidad;
n) Los usuarios y las personas naturales o jurídicas que sean propietarios de activos de nivel de tensión 1 pagarán cargos de este nivel de tensión, descontando la parte del cargo que corresponda a la inversión;
o) Los usuarios conectados en el nivel de tensión 1 de barrios subnormales pagarán cargos del nivel de tensión donde se conecta el transformador de distribución a la red;
p) Los cargos por uso resultantes de aplicar la metodología contenida en esta resolución remunerarán el uso de la infraestructura y los gastos de AOM necesarios para llevar la energía eléctrica desde los puntos de conexión al STN hasta el punto de conexión de los usuarios finales a los STR o SDL. Estos cargos por uso no incluyen los costos de conexión del usuario al respectivo sistema;
q) La responsabilidad por el AOM y la reposición de los activos de conexión es del usuario que se conecta al sistema. Se exceptúa el AOM de los activos de conexión del nivel de tensión 1 con capacidades iguales o inferiores a 15 kVA y con equipo de medida en el nivel de tensión 1, el cual debe ser realizado por el OR sin que se requieran pagos adicionales a los del AOM de nivel de tensión 1;
r) Un OR será remunerado mediante cargos por uso por la totalidad de los activos de uso que opera y mantiene en desarrollo de la prestación del servicio público domiciliario de energía eléctrica, independientemente de que sea o no propietario de los mismos y sin perjuicio de la remuneración que deberá pagar al propietario por su inversión, con excepción de los bienes o derechos que no deban incluirse en el cálculo de las tarifas en los términos del artículo 87 numeral 87.9 de la Ley 142 de 1994, en la forma en que quedó modificado por el artículo 99 de la Ley 1450 de 2011. Es obligación de los OR reportar los activos que no deben incluirse en la tarifa;
s) Los comercializadores facturarán a sus usuarios regulados y no regulados los cargos por uso dependiendo del nivel de tensión al que estén conectados estos usuarios;
t) Cualquier usuario del STR o SDL podrá contratar la disponibilidad de capacidad de respaldo de la red con el OR del sistema al cual se conecta, siempre y cuando exista la posibilidad técnica de ofrecerla;
u) Los activos dedicados exclusivamente a la prestación del servicio de alumbrado público no hacen parte de los activos que se remuneran vía cargos por uso;
v) Los comercializadores aplicarán cargos por uso del STR y SDL a la demanda asociada con la prestación del servicio de alumbrado público del nivel de tensión al cual se conecten las redes dedicadas exclusivamente a la prestación de este servicio. Cuando no existan redes exclusivas para el alumbrado público, el comercializador aplicará sobre las demandas respectivas cargos por uso del nivel de tensión 2. Si el alumbrado público posee medida de energía en nivel de tensión 1 y el transformador no es de propiedad del OR, el comercializador aplicará cargos por uso de este nivel, descontando la parte del cargo que corresponda a la inversión;
w) Los activos de uso de los niveles de tensión 3 y 4 que se encuentren dentro del alcance del sistema de gestión de activos podrán tener una remuneración adicional una vez cumplida su vida útil y la recuperación de capital se haya completado en los términos de la presente resolución. La remuneración adicional podrá darse hasta por un periodo de cinco (5) años, siempre y cuando la operación de estos activos no afecte la seguridad, confiabilidad y calidad en la prestación del servicio. Se exceptúan los activos de comunicaciones y control de estos niveles de tensión, así como los activos correspondientes a centros de control;
x) Los ingresos que perciben los OR por concepto de contratos de capacidad de respaldo, MUNTS, de compartición de infraestructura y de energía reactiva serán tenidos en cuenta en la liquidación del ingreso correspondiente.
y) <Literal adicionado por el artículo 2 de la Resolución 36 de 2019. El nuevo texto es el siguiente:> Cuando un OR se conecte al sistema de otro OR en un nivel de tensión igual o inferior al 3, al operador que toma energía del sistema se le considerará como un usuario del otro OR y deberá pagar el cargo del nivel de tensión correspondiente, calculado de acuerdo con lo previsto en el numeral 1.2 del anexo general.
ARTÍCULO 5o. SOLICITUD DE APROBACIÓN DE INGRESOS. <Artículo modificado por el artículo 1 de la Resolución 85 de 2018. El nuevo texto es el siguiente:> Los OR deberán someter a aprobación de la CREG la solicitud de ingresos para el periodo tarifario dentro de los ciento cincuenta (150) días calendario siguientes a la fecha de publicación de los formatos para el reporte de información de la solicitud.
La solicitud deberá ajustarse al procedimiento, contenido y formatos que la Comisión publique para tal fin vía circular.
PARÁGRAFO 1. Cuando el OR no someta a aprobación de la CREG la solicitud de ingresos en el plazo previsto, la Comisión fijará la remuneración con la información disponible sin perjuicio de las sanciones y demás medidas a que haya lugar. Estos ingresos estarán vigentes hasta que el OR formule la respectiva solicitud y los nuevos le sean aprobados.
PARÁGRAFO 2. Para las empresas resultantes de fusiones o desintegraciones la información base, según la antigüedad con que sea requerida en esta resolución, comprenderá la de las empresas que dieron lugar a la fusión o a la desintegración.
ARTÍCULO 6o. ACTIVOS PUESTOS EN OPERACIÓN DESPUÉS DE LA FECHA DE CORTE. <Artículo modificado por el artículo 3 de la Resolución 36 de 2019. El nuevo texto es el siguiente:> Todos los activos puestos en operación entre la fecha de corte y hasta el 31 de diciembre del año anterior al primer año para el cual el OR solicitó aprobación del plan de inversiones se incorporarán en la remuneración según la opción que seleccione el OR.
En la solicitud de aprobación de ingresos, los OR deben escoger e informar una de las siguientes opciones:
a) Incluir el valor de estos activos en el ingreso del primer año: el valor de los activos se determinará aplicando la fórmula de la variable INVRj,n,l,t, establecida en el numeral 3.1.1.2.3 y el resultado se sumará a la variable BRAENj,n,t del respectivo nivel de tensión;
b) Incluir el valor de estos activos en la base regulatoria inicial de activos: el valor de los activos se determinará según lo establecido en los literales a. y b. del numeral 3.1.1.1.4 y el resultado se sumará a la variable CRINj,n,l del respectivo nivel de tensión.
Si el OR no señala en su solicitud la opción escogida, se empleará la opción a.
ARTÍCULO 7o. CÁLCULO DE LOS CARGOS DE LOS STR Y SDL. Los cargos de los STR y SDL serán calculados por el LAC de acuerdo con lo establecido en Los capítulos 1 y 9.
ARTÍCULO 8o. NUEVOS SISTEMAS DE DISTRIBUCIÓN. Quienes pretendan operar nuevos sistemas de distribución que se constituyan con posterioridad a la entrada en vigencia de la presente resolución, deberán obtener previamente la aprobación de cargos por parte de la CREG. Con la solicitud de aprobación de cargos por uso de STR o SDL, el agente deberá reportar el listado de municipios a atender.
a) Cuando se trate de la conformación de nuevos sistemas a partir de la división de activos de un OR existente, los respectivos agentes deberán someter en forma previa, para la aprobación de la CREG, la información de que trata esta resolución para los nuevos sistemas que van a operar;
b) Un OR que entra a reemplazar a otro OR que opera una red existente, que ya tiene cargos aprobados para un STR o SDL, no requiere una nueva aprobación de cargos por parte de la Comisión;
c) Cuando se trate de la unificación de los sistemas de dos o más OR, los cargos para el nuevo sistema se calcularán: i) sumando los ingresos anuales de los niveles de tensión, ii) ponderando las pérdidas de energía con base en la energía útil de cada nivel de tensión de los OR antes de la unificación.
ARTÍCULO 9o. ÍNDICES DE PÉRDIDAS DE ENERGÍA Y PLANES DE GESTIÓN DE PÉRDIDAS. Las pérdidas de energía en cada nivel de tensión se establecerán con base en la información disponible de cada sistema, acorde con lo contenido en el Capítulo 7 y servirán para definir los índices de referencia al STN.
Con base en lo establecido en el Decreto números 387 de 2007 y 1937 de 2013, se definirán planes de gestión de pérdidas acorde con lo dispuesto en el Capítulo 7.
ARTÍCULO 10. CALIDAD DEL SERVICIO DE DISTRIBUCIÓN. La calidad del servicio del STR se determinará a partir de la información recolectada por el CND sobre la duración de las indisponibilidades de los activos de cada STR. La remuneración que reciben los OR, responsables de tales activos, se disminuirá cuando se incumplan las metas y las exigencias señaladas en el Capítulo 5.
Para los SDL la calidad del servicio de distribución prestado por un OR se evaluará anualmente en términos de la calidad media brindada a los usuarios conectados a estos niveles de tensión, comparándola con las metas establecidas para cada OR. En función de las mejoras o desmejoras en la calidad media del servicio prestado respecto de las metas establecidas, el OR podrá obtener un aumento o disminución de sus ingresos y deberá compensar a los usuarios a quienes no les entregue una calidad mínima, definida por la CREG para cada grupo de calidad, con base en la metodología descrita en el Capítulo 5.
ARTÍCULO 11. OBLIGACIÓN DE REPORTAR EVENTOS. Los agentes que presten servicios de distribución de energía eléctrica en los STR deberán informar al CND la ocurrencia de cualquier evento, dentro de los quince (15) minutos siguientes a la ocurrencia del mismo, y la finalización de la ejecución de maniobras dentro de los cinco (5) minutos siguientes.
ARTÍCULO 12. CONFORMACIÓN DE LOS STR Y SDL. Para efectos de la liquidación de cargos por uso se establecen los STR definidos en el Capítulo 8.
PARÁGRAFO. Las redes de nuevos OR serán integradas a uno de los STR establecidos dependiendo de la ubicación de sus activos dentro de los referidos sistemas.
ARTÍCULO 13. TRATAMIENTO DE ACTIVOS DE CONEXIÓN AL STN. Los activos de conexión del OR al STN que utilizan los OR serán considerados en el cálculo de los costos del STR y se remunerarán vía cargos por uso, sin perjuicio de los contratos de conexión que existan con el propietario de los activos.
Los usuarios finales pagarán los cargos por uso del nivel de tensión donde se encuentren conectados sus activos de conexión.
PARÁGRAFO. Para las situaciones particulares y concretas consolidadas con anterioridad a la entrada en vigencia de la Resolución CREG 097 de 2008 en las que se tengan usuarios finales considerados como conectados directamente al STN no habrá lugar al cobro de cargos por uso de STR o SDL. Para este efecto, el LAC publicará y usará el listado de fronteras de usuarios conectados directamente al STN registrados en la oportunidad citada y excluirá dicha demanda de energía de participar en los cargos por uso de los niveles de tensión 3, 2 o 1.
ARTÍCULO 14. MIGRACIÓN DE USUARIOS A NIVELES DE TENSIÓN SUPERIORES. En cualquier momento los usuarios de los SDL podrán solicitar al OR del sistema al cual se conectan, a través de su comercializador, el cambio de nivel de tensión de su conexión, previo el cumplimiento de los siguientes requisitos ante el respectivo OR:
a) Existencia de capacidad disponible en el punto de conexión de nivel de tensión superior;
b) Pago de los costos asociados con la migración de nivel de tensión, según lo establecido en el Capítulo 11.
A los usuarios que por requerimientos de aumento de carga instalada debidamente demostrada y que no sea posible atender por parte del OR en el nivel de tensión existente, no se les exigirá el pago de estos costos.
La condición de aumento de carga será verificada 14 meses después de la fecha de entrada en servicio de la nueva conexión mediante la comparación de las energías anuales antes y después de la fecha de entrada de la modificación de la conexión. En caso de que la cantidad de energía consumida durante el año siguiente al de entrada de la conexión sea igual o superior a la cantidad de energía del año anterior multiplicada por el factor resultante de dividir la nueva potencia contratada entre la potencia original, se conservará la exención de cobro por MUNTS, en caso contrario, se efectuará el cobro correspondiente según lo calculado en el Capítulo 11.
PARÁGRAFO. El OR deberá aprobar el cambio del nivel de tensión dentro de los quince (15) días siguientes a la fecha de la solicitud cuando exista la capacidad, y el usuario haya justificado la necesidad y se haya efectuado el pago de los costos previstos en el literal 0) de este artículo.
El valor total del costo asociado con la migración de nivel de tensión debe ser reportado por el OR al LAC para que su valor sea descontado del ingreso del respectivo nivel de tensión del OR. El LAC debe llevar un registro de las migraciones entre niveles de tensión reportadas por los OR donde se encuentre la capacidad, el valor y la subestación en el formato que XM defina para tal fin.
ARTÍCULO 15. CARGOS POR DISPONIBILIDAD DE CAPACIDAD DE RESPALDO DE LA RED. Los usuarios de los STR o SDL podrán solicitar al OR del sistema al cual se conectan, a través de su comercializador, la suscripción de un contrato de disponibilidad de capacidad de respaldo de la red, de acuerdo con lo establecido en el Capítulo 10, en los plazos vigentes establecidos para la conexión de nuevos usuarios. El OR deberá otorgar dicha disponibilidad, siempre y cuando tenga la capacidad disponible en su sistema en el punto de conexión solicitado por el usuario.
PARÁGRAFO 1. El valor total del costo asociado con los cargos de respaldo debe ser reportado por el OR al LAC para que su valor sea descontado del ingreso del respectivo nivel de tensión del OR. El LAC debe llevar un registro de los contratos de respaldo en los SDL y STR donde se encuentre la capacidad, el valor y la subestación en el formato que XM defina para tal fin.
PARÁGRAFO 2. Cuando no se contrate el servicio de capacidad de respaldo o no se disponga de la capacidad requerida para la prestación del servicio, los OR no estarán obligados a garantizar la disponibilidad.
ARTÍCULO 16. TRANSPORTE DE ENERGÍA REACTIVA. <Artículo modificado por el artículo 2 de la Resolución 195 de 2020. El nuevo texto es el siguiente:> Los OR o los usuarios finales pagarán por el transporte de energía reactiva cuando superen los límites establecidos en cada caso, de acuerdo con lo establecido en el capítulo 12.
El OR podrá conectar equipos de medida de energía reactiva para identificar a aquellos usuarios que por su consumo de energía reactiva estén obligados al pago de la misma conforme a lo establecido en esta disposición y a la instalación del medidor correspondiente.
PARÁGRAFO 1. Durante el mes siguiente al de entrada en vigencia de la presente resolución, los comercializadores de energía deben enviar información relativa a la aplicación del capítulo 12 de la Resolución CREG 015 de 2018, incluyendo lo dispuesto en este artículo, a todos sus usuarios no residenciales y a aquellos que tengan medición de energía activa y reactiva.
A partir de la fecha, la misma información deberá ser entregada a los usuarios que realicen cambio de comercializador o que efectúen proceso de conexión a un sistema.
PARÁGRAFO 2. A partir de los consumos de enero de 2020 la variable M, de que trata el Capítulo 12 de la Resolución CREG 015 de 2018, se reiniciará con un valor igual a 1 y permanecerá fijo en este valor hasta diciembre de 2021. A partir de enero de 2021 se contarán los doce meses antes de su incremento.
ARTÍCULO 17. TRATAMIENTO DE ACTIVOS DE CONEXIÓN Y ACTIVOS DE USO. Los activos que sean declarados para ser remunerados mediante cargos por uso al momento de la solicitud de aprobación de ingresos por parte del OR, mantendrán este tipo de remuneración durante todo el período tarifario. Los activos de conexión existentes que no son declarados para ser remunerados a través de cargos por uso en la misma oportunidad, mantendrán tal condición durante todo el período tarifario.
PARÁGRAFO 1. Durante el período tarifario los OR no podrán exigir la remuneración a través de contratos de conexión por activos que hayan sido reportados para ser remunerados mediante cargos por uso.
PARÁGRAFO 2. Si a través de un activo se conectan uno o varios transportadores al STR o a un SDL, el activo se remunerará mediante cargos por uso en proporción a la utilización por cada OR.
ARTÍCULO 18. REMUNERACIÓN DE PROYECTOS DE EXPANSIÓN DE COBERTURA EN ZONAS INTERCONECTABLES AL SIN. En aplicación del Decreto número 1623 de 2015, modificado por el Decreto número 1513 de 2016, los OR deberán presentar en la solicitud de remuneración y anualmente, los proyectos de expansión de cobertura de su área de influencia de acuerdo con los criterios y reglas establecidas en el Capítulo 13.
ARTÍCULO 19. DECISIÓN SOBRE APROBACIÓN DE LOS INGRESOS DE CADA OR. Una vez presentada la información por los OR y adelantada la correspondiente actuación administrativa que garantice el derecho al debido proceso de los interesados, de conformidad con los procedimientos establecidos por la ley, la Comisión procederá a aprobar los ingresos anuales de que trata la presente resolución.
ARTÍCULO 20. COSTO ASOCIADO CON LA VERIFICACIÓN DE INFORMACIÓN. Los costos asociados con la verificación de información, de existencia de activos, de gastos y de calidad del servicio serán asumidos por los OR. Los criterios para las verificaciones serán definidos posteriormente por la Comisión.
ARTÍCULO 21. REPORTE DE INFORMACIÓN. Anualmente los OR deberán enviar a la SSPD y a la CREG un informe sobre la aplicación de la metodología de remuneración contenida en esta resolución.
El informe deberá enviarse el primer día hábil del mes de abril de cada año para lo cual deberá seguirse el procedimiento, contenido y formatos que la Comisión publique vía circular para tal fin.
Adicionalmente, el OR deberá contar con un sistema de información de los activos el cual debe ser estructurado con base en el procedimiento, contenido, plazos y formatos que la Comisión publique vía circular para tal fin.
ARTÍCULO 22. PRINCIPIOS RECTORES EN LA INTERPRETACIÓN Y APLICACIÓN DE LAS OBLIGACIONES POR PARTE DEL OR. De conformidad con los principios de libertad de acceso, eficiencia, adaptabilidad y neutralidad contenidos en el numeral 3.9 del artículo 3o, numeral 11.6 del artículo 11 y 170 de la Ley 142 de 1994, así como en el artículo 6o de la Ley 143 de 1994, así como en virtud de lo previsto en los artículos 28 y 169 de la Ley 142 de 1994 y 39 de la Ley 143 de 1994, los OR deberán cumplir con las siguientes obligaciones:
a) Abstenerse de solicitar requisitos distintos a los expresamente previstos en esta resolución;
b) Cumplir diligentemente con los plazos;
c) Suministrar información veraz, oportuna, confiable y de calidad. En consecuencia, no podrán negar o dilatar el acceso a información. También deberán abstenerse de entregar información que no coincida con la realidad, incompleta, que induzca a error, o no cumpla la finalidad para la cual le fue exigido suministrarla;
d) Otorgar el mismo tratamiento a todos los interesados. En consecuencia, no podrá favorecer a ningún interesado y deberá respetar la prelación y orden de llegada en los trámites previstos en esta resolución;
e) Abstenerse de cobrar valores no previstos en la regulación ni valores superiores a los costos en los trámites;
f) Planear, formular y ejecutar diligentemente los planes de inversión y mantenimiento para garantizar a los usuarios la prestación del servicio en condiciones de calidad, continuidad y seguridad exigidos por la regulación.
ARTÍCULO 23. VIGENCIA DE LOS CARGOS POR USO. Los ingresos y cargos por uso de los STR y SDL que defina la Comisión estarán vigentes a partir de la firmeza de la resolución particular que los apruebe por un periodo de cinco (5) años.
PARÁGRAFO. Vencido el período de vigencia de los cargos por uso que apruebe la Comisión, estos continuarán rigiendo hasta que la Comisión apruebe los nuevos.
ARTÍCULO 24. SOLICITUDES EN CURSO. El contenido de la presente resolución se aplicará a todas las solicitudes de cargos de distribución que se presenten con posterioridad a la entrada en vigencia de la misma.
Las actuaciones administrativas que se encuentren en curso a la entrada en vigencia de la presente resolución, seguirán rigiéndose y culminarán de acuerdo con lo dispuesto en la metodología de distribución contenida en la Resolución CREG 097 de 2008.
ARTÍCULO 25. Dentro del plazo estipulado, la CREG establecerá las condiciones para la implementación de la Infraestructura de Medición Avanzada en la prestación del servicio público domiciliario de energía eléctrica en el Sistema Interconectado Nacional (SIN), incluyendo la responsabilidad de la instalación, administración, operación, mantenimiento y reposición de la Infraestructura de Medición Avanzada, y dado el caso, del medidor avanzado. Asimismo, la CREG adoptará los ajustes regulatorios con el fin de remunerar mediante la tarifa del servicio de energía eléctrica, las inversiones y funcionamiento asociados, para la implementación de la Infraestructura de Medición Avanzada
ARTÍCULO 26. VIGENCIA Y DEROGATORIAS. La presente resolución entra en vigencia una vez se publique en el Diario Oficial. No obstante lo anterior, su aplicación para cada mercado de comercialización inicia una vez quede en firme el acto administrativo que aprueba los ingresos y cargos con base en lo dispuesto en la presente resolución para el OR respectivo.
La presente resolución deroga la Resolución CREG 094 de 2012 excepto el Capítulo 3 del anexo general y las demás disposiciones que le sean contrarias.
Publíquese y cúmplase.
Dada en Bogotá, D. C., a 29 de enero de 2018.
El Presidente,
GERMÁN ARCE ZAPATA,
Ministro de Minas y Energía.
El Director Ejecutivo,
GERMÁN CASTRO FERREIRA.
CONTENIDO
CAPITULO 1. CÁLCULO DE CARGOS
1.1 CARGOS POR USO
1.1.1 Cargos por uso de nivel de tensión 4.
1.1.2 Cargos por uso de nivel de tensión 3
1.1.3 Cargos por uso de nivel de tensión 2.
1.1.4 Cargos por uso de nivel de tensión 1.
1.1.5 Cargos por incentivos de calidad del servicio.
1.2 CARGOS POR NIVEL DE TENSIÓN.
1.2.1 Cargos del nivel de tensión 4.
1.2.2 Cargos del nivel de tensión 3.
1.2.3 Cargos del nivel de tensión 2.
1.2.4 Cargos del nivel de tensión 1.
1.3 ACTUALIZACIÓN Y LIQUIDACIÓN DE CARGOS.
1.3.1 Actualización, liquidación y recaudo de cargos del STR.
1.3.2 Actualización y liquidación de los cargos del SDL.
CAPITULO 2. CÁLCULO DE LOS INGRESOS DE LOS OR.
2.1 INGRESOS DE LOS OR EN EL NIVEL DE TENSIÓN 4.
2.2 INGRESOS DE LOS TR EN EL NIVEL DE TENSIÓN 4.
2.3 REPARTICIÓN DE INGRESOS DE NIVEL DE TENSIÓN 4.
2.4 INGRESOS DE NIVEL DE TENSIÓN 3.
2.5 INGRESOS DE NIVEL DE TENSIÓN 2.
2.2.6 INGRESOS DE NIVEL DE TENSIÓN 1.
2.7 INGRESOS POR OTROS CONCEPTOS.
2.8 FACTOR PARA CALCULAR VALORES MENSUALES.
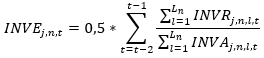
CAPITULO 3. INGRESO ANUAL POR INVERSIONES.
3.1 BASE REGULATORIA DE ACTIVOS.
3.1.1 Base regulatoria de activos eléctricos.
3.1.2 Base regulatoria de activos no eléctricos.
3.2 RECUPERACIÓN DE CAPITAL RECONOCIDA.
3.2.1 Recuperación de capital de activos de la BRA inicial.
3.2.2 Recuperación de capital de activos nuevos.
3.2.3 Ajuste de la recuperación de capital al final del periodo tarifario.
3.2.4 Vida útil reconocida por categoría de activos.
3.3 BASE REGULATORIA DE TERRENOS
CAPITULO 4. INGRESO ANUAL POR GASTOS DE AOM.
4.1 AOM BASE A RECONOCER
4.1.1 AOM inicial.
4.1.2 AOM objetivo.
4.1.3 AOM demostrado.
4.1.4 AOM remunerado.
4.1.5 Valor de AOM por condiciones ambientales
4.1.6 AOM por niveles de tensión.
4.2 VALOR DE AOM PARA NUEVAS INVERSIONES.
4.3 VERIFICACIÓN DEL VALOR ANUAL DE AOM.
CAPITULO 5. CALIDAD DEL SERVICIO.
5.1 CALIDAD DEL SERVICIO EN LOS STR.
5.1.1 Características de calidad a la que está asociado el ingreso.
5.1.2 Activos sujetos al esquema de calidad..
5.1.3 Bases de datos..
5.1.4 Reglamento para el reporte de eventos.
5.1.5 Máximas horas anuales de indisponibilidad.
5.1.6 Ajuste de máximas horas de indisponibilidad.
5.1.7 Indisponibilidad de los activos de uso del STR.
5.1.8 Estimación de la capacidad disponible por un evento.
5.1.9 Eventos excluidos.
5.1.10 Procedimiento para los mantenimientos mayores.
5.1.11 Activos que entran en operación comercial.
5.1.12 Valor de referencia para compensación.
5.1.13 Remuneración en algunos casos de indisponibilidad.
5.1.14 Compensaciones.
5.1.15 Informe sobre ENS.
5.1.16 Zona excluida de CNE.
5.1.17 Límite de los valores a compensar.
5.2 CALIDAD DEL SERVICIO EN LOS SDL.
5.2.1 Clasificación de los eventos.
5.2.2 Exclusión de eventos.
5.2.3 Calidad media del sistema.
5.2.4 Niveles de calidad individual.
5.2.5 Indicadores de referencia y de calidad mínima garantizada.
5.2.6 Indicadores adicionales.
5.2.7 Alumbrado público.
5.2.8 Usuarios que inyectan energía a la red.
5.2.9 Contratos de calidad extra.
5.2.10 Requisitos del esquema de incentivos y compensaciones.
5.2.11 Información básica para la aplicación del esquema de incentivos y compensaciones.
5.2.12 Verificaciones a la información.
5.2.13 Responsabilidades de información sobre la calidad en los SDL.
5.2.14 Calidad en empresas o en redes que se interconecten al SIN.
5.2.15 Calidad de empresas que se fusionan o se escinden.
5.2.16 Transición.
CAPITULO 6. PLANES DE INVERSIÓN.
6.1 CRITERIOS DE GENERALES.
6.2 PRESENTACIÓN DE LOS PLANES DE INVERSIÓN.
6.3 CONTENIDO DE LOS PLANES DE INVERSIÓN.
6.3.1 Diagnostico.
6.3.2 Proyectos de inversión motivados en la atención de demanda.
6.3.3 Proyectos de inversión no motivados en la atención de demanda
6.3.4 Proyectos de inversión en el STR.
6.4 APROBACIÓN DE LOS PLANES DE INVERSIÓN.
6.4.1 Valor del plan de inversión para evaluación.
6.4.2 Costo de reposición de referencia.
6.5 SEGUIMIENTO DE LOS PLANES DE INVERSIÓN.
6.6 AJUSTE DE LOS PLANES DE INVERSIÓN.
6.7 PUBLICIDAD Y DIFUSIÓN DE LOS PLANES DE INVERSIÓN.
CAPITULO 7. PÉRDIDAS DE ENERGÍA ELÉCTRICA.
7.1 PÉRDIDAS RECONOCIDAS POR NIVEL DE TENSIÓN.
7.1.1 Pérdidas eficientes.
7.1.2 Pérdidas reconocidas para OR que no aplican para optar a plan de reducción.
7.1.3 Pérdidas reconocidas para OR que pueden optar a presentar plan de reducción de pérdidas.
7.1.4 Cálculo de índices de pérdidas.
7.2 DETERMINACIÓN DE LOS FACTORES PARA REFERIR AL STN.
7.2.1 Nivel de tensión 4.
7.2.2 Nivel de tensión 3.
7.2.3 Nivel de tensión 2.
7.2.4 Nivel de tensión 1.
7.2.5 Pérdidas de transformadores de conexión al STN:
7.3 GESTIÓN DE PÉRDIDAS.
7.3.1 Requisitos para la presentación del plan de reducción
7.3.2 Cálculo del costo total del plan.
7.3.3 Inicio del plan de mantenimiento de pérdidas.
7.3.4 Inicio y seguimiento del plan de reducción de pérdidas.
7.3.5 Liquidación, Recaudo y Actualización del CPROGj,m.
7.3.6 Suspensión, cancelación del plan de reducción y devolución de ingresos.
7.3.7 Cálculo de flujos de energía.
CAPITULO 8. CONFORMACIÓN DE STR.
8.1 STR NORTE.
8.2 STR CENTRO-SUR.
CAPITULO 9. CARGOS HORARIOS.
9.1 PERIODOS DE CARGA MÁXIMA, MEDIA Y MÍNIMA.
9.2 CÁLCULO DE CARGOS HORARIOS.
CAPITULO 10. CARGOS POR RESPALDO DE LA RED.
10.1 COSTO DE RESPALDO CONTRATADO (CRU,N,0).
10.2 COSTO DE RESPALDO DE RED (CRESPU,N).
10.3 CONTENIDO DEL CONTRATO DE RESPALDO.
10.4 DETERMINACIÓN DE CURVAS DE CARGA.
10.5 INGRESOS RECIBIDOS POR RESPALDO.
CAPITULO 11. COSTOS ASOCIADOS CON MUNTS.
CAPITULO 12. COSTOS DE TRANSPORTE DE ENERGÍA REACTIVA.
CAPITULO 13. REMUNERACIÓN DE PROYECTOS DE EXPANSIÓN DE COBERTURA EN ZONAS INTERCONECTABLES.
13.1 ALCANCE.
13.2 CRITERIOS PARA LA PRESENTACIÓN DE LOS PROYECTOS.
13.3 PRIORIZACIÓN DE PROYECTOS.
13.4 SOLICITUD ANUAL DE REMUNERACIÓN.
13.5 VALORACIÓN DE LOS PROYECTOS.
13.6 OBLIGACIONES DE LOS OR.
13.7 CÁLCULO DEL INCREMENTO TARIFARIO.
13.8 FORMATO DE REPORTE DE INFORMACIÓN.
186 13.9 SEGUIMIENTO PLANES DE EXPANSIÓN DE COBERTURA.
186 13.10 PUBLICIDAD Y DIFUSIÓN DE LOS PLANES DE INVERSIÓN.
CAPITULO 14. UC PARA VALORACIÓN DE ACTIVOS NUEVOS.
14.1 UC ASOCIADAS A SUBESTACIONES.
14.2 UC ASOCIADAS A LÍNEAS.
14.3 COSTOS ACTIVOS DE NIVEL DE TENSIÓN 1.
14.4 CATEGORIAS DE UNIDADES CONSTRUCTIVAS.
CAPITULO 15. UC PARA VALORACIÓN DE ACTIVOS BRA INICIAL.
15.1 UC DE NIVELES DE TENSIÓN 4, 3 Y 2.
15.2 CATEGORIAS DE UNIDADES CONSTRUCTIVAS.
CAPITULO 16. ÍNDICES DE RIESGO POR MUNICIPIO.
CAPITULO 1. CÁLCULO DE CARGOS.
El LAC calculará mensualmente los cargos por uso de cada nivel de tensión de acuerdo con las siguientes expresiones.
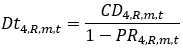
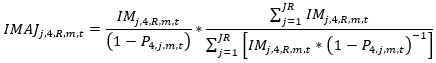
1.1.1 CARGOS POR USO DE NIVEL DE TENSIÓN 4. <Numeral modificado por el artículo 2 de la Resolución 199 de 2019. El nuevo texto es el siguiente:>
El LAC calculará para cada STR los cargos por uso de nivel de tensión 4 de la siguiente manera:

Donde:
| Dt4,R,m,t: | Cargo por uso del nivel de tensión 4 del OR que hace parte del STR R para el mes m del año t, en $/kWh. |
| CD4,R,m,t: | Cargo del nivel de tensión 4 del STR R, en el mes m del año t, en $/ kWh, calculado según lo establecido en el numeral 1.2.1. |
| PR4,R,m,t: | Factor para referir las medidas de energía del nivel de tensión 4, del OR que hace parte del STR R, al STN en el mes m del año t, calculado como se muestra enseguida. |
![]()

Donde:
| P4,R,m,t: | Factor de pérdidas ponderado del nivel de tensión 4, para los OR que hacen parte del STR R, en el mes m del año t. |
| IMSCj,4,R,m,t: | Ingreso mensual del OR j, en el nivel de tensión 4, en el mes m del año t, calculado según lo establecido en el numeral 2.1. El LAC utilizará el último valor disponible de esta variable en la fecha que se deba calcular y publicar el factor de pérdidas ponderado. |
| P4,j,m,t: | Factor de pérdidas del nivel de tensión 4 del OR j, que hace parte del STR R, en el mes m del año t, calculado de acuerdo con lo previsto en el numeral 7.1.2.1. |
| JR: | Número de mercados de comercialización en el STR R. |
1.1.2 CARGOS POR USO DE NIVEL DE TENSIÓN 3.
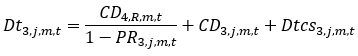
Para cada uno de los OR, el LAC calculará los cargos por uso de nivel de tensión 3 de la siguiente manera:

Donde:
| Dt3,j,m,t: | Cargo por uso del nivel de tensión 3 del OR j para el mes m del año t, en $/kWh. |
| CD4,R,m,t: | Cargo del nivel de tensión 4 del STR R, del que hace parte el OR j, en el mes m del año t, en $/kWh, calculado según lo establecido en el numeral 1.2.1. |
| CD3,j,m,t: | Cargo del nivel de tensión 3 del OR j, en el mes m del año t. en $/kWh, calculado según lo establecido en el numeral 1.2.2. |
| PR3,j,m,t: | Factor para referir las medidas de energía del nivel de tensión 3 del OR j al STN en el mes m del año t, calculado conforme a lo establecido en el numeral 7.2. |
| Dtcs3,j,m,t: | Cargo por incentivo a la calidad del servicio del OR j en el nivel de tensión 3, en el mes m del año t, en $/kWh, de acuerdo con lo previsto en el numeral 1.1.5. |
1.1.3 CARGOS POR USO DE NIVEL DE TENSIÓN 2.
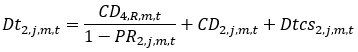
Para cada uno de los OR, el LAC calculará los cargos por uso de nivel de tensión 2 de la siguiente manera:

Donde:
| Dt2,j,m,t: | Cargo por uso del nivel de tensión 2 del OR j para el mes m en el año t, en $/kWh, |
| CD4,R,m,t: | Cargo del nivel de tensión 4 del STR R, del que hace parte el OR j, en el mes m del año t, en $/kWh, según lo establecido en el numeral 1.2.1. |
| CD2,j,m,t: | Cargo del nivel de tensión 2 del OR j, en el mes m del año t, en $/kWh, calculado según lo establecido en el numeral 1.2.3. |
| PR2,j,m,t: | Factor para referir las medidas de energía del nivel de tensión 2 del OR j al STN en el mes m del año t, calculado conforme a lo establecido en el numeral 7.2. |
| Dtcs2,j,m,t: | Cargo por incentivo a la calidad del servicio del OR j en el nivel de tensión 2, en el mes m del año t, en $/kWh, de acuerdo con lo previsto en el numeral 1.1.5. |
1.1.4 CARGOS POR USO DE NIVEL DE TENSIÓN 1.
Para cada uno de los OR, el LAC calculará los cargos por uso de nivel de tensión 1 de la siguiente manera
![]()
Donde:
| Dt1,j,m,t: | Cargo por uso del nivel de tensión 1 del OR j para el mes m en el año t, en $/kWh, |
| CD4,R,m,t: | Cargo del nivel de tensión 4 del STR R, del que hace parte el OR j, en el mes m del año t, en $/kWh, según lo establecido en el numeral 1.2.1. |
| PR1,j,m,t: | Factor para referir las medidas de energía del nivel de tensión 1 del OR j al STN en el mes m del año t, calculado conforme a lo establecido en el numeral 7.2. |
| CD2,j,m,t: | Cargo del nivel de nivel de tensión 2 del OR j, en el mes m del año t. en $/kWh, según lo establecido en el numeral 1.2.3. |
| Pj,1,t: | Índice de pérdidas del OR j en el nivel de tensión 1, en el año t, calculado conforme a lo establecido en los numerales 7.1.2 y 7.1.3. |
| CDI1,j,m,t: | Cargo de inversión del nivel de tensión 1 del OR j, en el mes m del año t, en $/kWh, calculado según lo establecido en el numeral 1.2.4.1. |
| CDA1,j,m,t: | Cargo de AOM del nivel de tensión 1 del OR j, en el mes m del año t. en $/kWh, según lo establecido en el numeral 1.2.4.2. |
| Dtcs1,j,m,t: | Cargo por incentivo a la calidad del servicio del OR j en el nivel de tensión 1, en el mes m del año t, en $/kWh, de acuerdo con lo previsto en el numeral 1.1.5. |
En caso de que la totalidad o fracción de los activos de nivel de tensión 1 sean de propiedad del usuario o de la copropiedad donde está el predio del usuario, el comercializador deberá descontar, de la variable Dt1,j,m,t, el cargo de inversión del nivel de tensión 1 del ORj, CDI1,j,m,t, en la fracción que corresponda. Con este propósito:
a. El OR deberá reportar mensualmente al comercializador respectivo el listado de usuarios finales asociados a activos de nivel de tensión 1 que sean de propiedad de los usuarios. El comercializador deberá hacer el respectivo descuento a partir del mes siguiente al de la fecha de recepción de dicha información por parte del OR.
b. Cuando la propiedad de los activos de nivel de tensión 1 sea compartida con el OR, de tal forma que el usuario sea propietario del transformador o de la red secundaria, el comercializador liquidará el 50 % del respectivo cargo máximo. Si el usuario es propietario de los dos activos mencionados, el comercializador deberá descontar el 100% del respectivo cargo máximo
Cuando se requiera la reposición de activos de nivel de tensión 1 que son de propiedad del usuario, éste podrá reponerlos y continuará pagando los cargos de nivel de tensión 1 con el descuento que corresponda. El usuario en un plazo no superior a 2 días hábiles a partir de la salida del servicio de los activos de su propiedad deberá informar al OR si decide o no reponerlos; si el usuario no se pronuncia o decide no reponerlos informará al OR y éste efectuará la reposición en plazo de 72 horas a partir del momento en que recibe el aviso del usuario o del cumplimento de los dos días hábiles mencionados. A partir del momento de la reposición por parte del OR el usuario dejará de percibir el descuento mencionado. Exclusivamente para los efectos de esta disposición, se entiende por reposición el cambio de la totalidad de las redes de nivel de tensión 1 o el cambio de la totalidad del transformador.
c. En cualquier caso, los cargos que remuneran gastos de administración, operación y mantenimiento serán cubiertos a través de los cargos por uso y en tal virtud, el OR será el responsable de dichas actividades sobre la totalidad de activos de nivel de tensión 1, al margen de quién sea su propietario, para lo cual deberá ejecutar las actividades relacionadas con el mantenimiento en este nivel, como mínimo con una periodicidad anual.
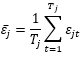
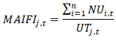
1.1.5 CARGOS POR INCENTIVOS DE CALIDAD DEL SERVICIO. <Numeral modificado por el artículo 5 de la Resolución 36 de 2019. El nuevo texto es el siguiente:>
El LAC calculará los cargos asociados con el desempeño en la calidad del servicio del SDL de cada OR de la siguiente manera:

<Ver Notas de Vigencia - Modificación temporal al factor de indexación>
Donde:
| Dtcsn,j,m,t: | Cargo por desempeño en la calidad del servicio del OR j para los niveles de tensión n, con n=1, 2 y 3, en el mes m del año t, en $/kWh. |
| IC_SAIDIj,t: | Incentivo de calidad por duración de eventos, aplicable al OR j durante el año t del periodo tarifario, calculado según lo establecido en el numeral 5.2.3.2.2.1. |
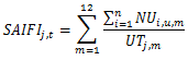
| IC_SAIFIj,t: | Incentivo de calidad por frecuencia de eventos, aplicable al OR j, durante el año t del periodo tarifario, calculado según lo establecido en el numeral 5.2.3.2.2.2. Para las dos variables anteriores, cada año los valores serán tomados del SUI dentro de los cinco (5) días siguientes al plazo establecido en el numeral 5.2.11.4 para el reporte. Si el OR no ha hecho el reporte, el LAC utilizará un valor igual a cero mientras dicho agente reporta el nuevo valor e informará de esta situación a la SSPD para lo de su competencia. A partir del reporte del OR, el LAC utilizará la información recibida para liquidar los meses siguientes. |
| CONPj,t: | Valor total a descontar al OR j, en el año t, por las compensaciones no pagadas, calculadas por el LAC según lo establecido en el numeral 5.2.4.3. El plazo para realizar este cálculo es el 28 de febrero de cada año. |
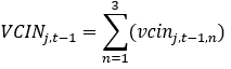
| VCDIj,t-1: | Ventas en el mercado de comercialización servido por el OR j, durante el año t-1, en kWh, realizadas por los comercializadores diferentes al incumbente. Se calcula de la siguiente manera: |

Donde:
| VCDij,t-1,n,i: | Energía registrada ante el ASIC para las fronteras comerciales de responsabilidad del comercializador i diferente al comercializador incumbente, durante el año t-1, en el nivel de tensión n, en el mercado de comercialización atendido por el OR j, en kWh. |
| IP: | Número total de comercializadores distintos al incumbente en el mercado de comercialización del OR j. |
| VCINj,t-1: | Ventas en el mercado de comercialización servido por el OR j, durante el año t-1, en kWh, realizadas por el comercializador incumbente. Se calcula de la siguiente manera: |

Donde:
| VCINj,t-1: | Ventas para usuarios durante el año t-1, en el nivel de tensión n, del comercializador incumbente. Corresponde al consumo de energía eléctrica en kWh que es facturado y reportado al SUI para el respectivo periodo. |
| IPm-1: | Índice de precios del productor del mes m-1. |
| IPPFC: | Índice de precios del productor de la fecha de corte. |
| IPPt-1: | Índice de precios del productor del mes de diciembre del año anterior al año t. |
1.2 CARGOS POR NIVEL DE TENSIÓN.
El LAC calculará mensualmente los cargos de cada nivel de tensión de acuerdo con las siguientes expresiones.
1.2.1 CARGOS DEL NIVEL DE TENSIÓN 4. <Numeral modificado por el artículo 6 de la Resolución 36 de 2019. El nuevo texto es el siguiente:>
Para cada uno de los STR el cargo por nivel de tensión 4 se calcula a partir de los ingresos de los OR, aprobados de acuerdo con lo previsto en esta resolución, y los ingresos de las convocatorias que se construyen en ese STR.
El LAC estimará el cargo de nivel de tensión 4 así:

Donde:
| CD4,R,m,t: | Cargo de nivel de tensión 4 del STR R, en el mes m del año t, en $/kWh. |
| IMj,4,R,m,t: | Ingreso mensual del OR j, perteneciente al STR R, en el nivel de tensión 4, en el mes m del año t, en pesos, calculado según lo establecido en el numeral 2.1. |
| IMCR,m,t: | Ingreso mensual por convocatorias construidas en el STR R para el mes m del año t, en pesos, calculado según lo establecido en el numeral 2.2. |
| DTCj,R,m-1: | Demanda total de los comercializadores que atienden usuarios en el mercado de comercialización del OR j, perteneciente al STR R, durante el mes m-1. Esta energía estará referida a 220 kV y no considerará la demanda de usuarios conectados directamente al STN. Para referir las demandas a 220 kV se utilizarán los factores contenidos en el capítulo 7. |
| JR: | Número de mercados de comercialización que conforman el STR R. |
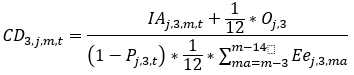
1.2.2 CARGOS DEL NIVEL DE TENSIÓN 3.
Los cargos para el nivel de tensión 3 se calculan según la siguiente expresión:

Donde:
| CD3,j,m,t: | Cargo del nivel de tensión 3 del sistema del OR j, en el mes m del año t, en $/kWh. |
| IAj,3,m,t: | Ingreso del OR j en el nivel de tensión 3, en el mes m del año t, según el numeral 2.4. |
| Oj,3: | Valor anual por concepto de conexiones en el nivel de tensión 3 del sistema del OR j al sistema de otro OR. Este valor se definirá como un número fijo en la resolución particular de cada OR. |
| Pj,3,t: | Índice de pérdidas del OR j en el nivel de tensión 3, en el año t, calculado conforme a lo establecido en los numerales 7.1.2 y 7.1.3. |
| Eej,3,ma | nergía de entrada al sistema del OR j en el nivel de tensión 3, durante el mes ma, expresada en kWh y calculada de acuerdo con lo establecido en el numeral 7.3.7.1. |
El valor anual por concepto de conexiones al sistema de otro OR en el nivel de tensión 3 se calcula de la siguiente manera:

Donde:
| Oj,3: | Valor anual por concepto de conexiones en el nivel de tensión 3 del sistema del OR j al sistema de otro OR. Este valor se definirá como un número fijo en la resolución particular de cada OR. |
| NC3j: | Número de conexiones con otros OR, que inyectan energía en el nivel de tensión 3 del OR j. |
| CDf,3: | Cargo del nivel de tensión 3 de referencia para el OR que exporta energía en la conexión f. |
| EIj,f: | Energía importada, en el año que finaliza en la fecha de corte, por el OR j a través de la conexión f. |
1.2.3 CARGOS DEL NIVEL DE TENSIÓN 2.
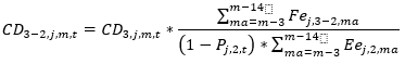
Los cargos para el nivel de tensión 2 se calculan según lo establecido en la siguiente expresión:

Donde:
| CD2,j,m,t: | Cargo del nivel de tensión 2 del sistema del OR j, en el mes m del año t, en $/kWh. |
| IAj,2,m,t: | Ingreso del OR j en el nivel de tensión 2, en el mes m del año t, según lo establecido en el numeral 2.5. |
| Oj,2: | Valor anual por concepto de conexiones en el nivel de tensión 2 del sistema del OR j al sistema de otro OR. |
| CD3-2,j,m,t: | Cargo del nivel de tensión 3 que se remunera parcialmente en el nivel de tensión 2 para el OR j, en el mes m del año t. |
| Pj,2,t: | Índice de pérdidas del OR j en el nivel de tensión 2, en el año t, calculado conforme a lo establecido en los numerales 7.1.2 y 7.1.3. |
| Eej,2,ma | Energía de entrada al sistema del OR j en el nivel de tensión 2, durante el mes ma, expresada en kWh y calculada de acuerdo con lo establecido en el numeral 7.3.7.1. |
El valor anual por concepto de conexiones al sistema de otro OR en el nivel de tensión 2 se calcula de la siguiente manera:

Donde:
| Oj,2: | Valor anual por concepto de conexiones en el nivel de tensión 2 del sistema del OR j al sistema de otro OR. Este valor se definirá como un número fijo en la resolución particular de cada OR. |
| NC2j: | Número de conexiones con otros OR, que inyectan energía en el nivel de tensión 2 del OR j. |
| CDf,2: | Cargo del nivel de tensión 2 de referencia para el OR que exporta energía en la conexión f. |
| EIj,f: | Energía importada, en el año que finaliza en la fecha de corte, por el OR j a través de la conexión f. |
El cargo del nivel de tensión 3 que se remunera parcialmente en el nivel de tensión 2 se calcula de la siguiente manera:

Donde:
| CD3-2,j,m,t: | Cargo del nivel de tensión 3 que se remunera parcialmente en el nivel de tensión 2 para el OR j, en el mes m del año t. |
| CD3,j,m,t: | Cargo del nivel de tensión 3 del sistema del OR j, en el mes m del año t, en $/kWh. |
| Fej,3-2,ma: | Flujo de energía del nivel de tensión 3 al nivel de tensión 2 del OR j, en el mes ma. |
| Pj,2,t: | Índice de pérdidas del OR j en el nivel de tensión 2, en el año t, calculado conforme a lo establecido en los numerales 7.1.2 y 7.1.3. |
| Eej,2,ma | Energía de entrada al sistema del OR j en el nivel de tensión 2, durante el mes ma, expresada en kWh y calculada de acuerdo con lo establecido en el numeral 7.3.7.1. |
1.2.4 CARGOS DEL NIVEL DE TENSIÓN 1.
En el nivel de tensión 1 se calculan dos cargos, uno asociado con los activos de uso y otro con los gastos de AOM asignados a este nivel de tensión.
1.2.4.1 CARGOS DE NIVEL DE TENSIÓN 1 POR ACTIVOS DE USO.
El cargo de inversión para nivel de tensión 1 se calcula según lo establecido en las siguientes expresiones:

Donde:
| CDI1,j,m,t: | Cargo por inversión del OR j en nivel de tensión 1, en el mes m del año t, en $/kWh. |
| IAj,1,m,t: | Ingreso por inversión en activos del OR j en el nivel de tensión 1, en el mes m del año t según lo establecido en el numeral 2.6. |
| Pj,1,t: | Índice de pérdidas del OR j en el nivel de tensión 1, en el año t, calculado conforme a lo establecido en los numerales 7.1.2 y 7.1.3. |
| Eej,1,ma: | Energía de entrada al sistema del OR j en el nivel de tensión 1, durante el mes ma, expresada en kWh, calculada de acuerdo con lo establecido en el numeral 7.3.7.1. |
1.2.4.2 CARGOS DE NIVEL DE TENSIÓN 1 POR AOM. El cargo de AOM para nivel de tensión 1 se calcula según lo establecido en las siguientes expresiones:

<Ver Notas de Vigencia - Modificación temporal al factor de indexación>
Donde:
| CDA1,j,m,t: | Cargo por AOM de nivel de tensión 1 del OR j en el mes m del año t, en $/kWh. |
| IAAOMj,1,t: | Ingreso anual por AOM del OR j en activos del nivel de tensión 1, en el año t, según lo establecido en el capítulo 4. |
| Pj,1,t: | Índice de pérdidas del OR j en el nivel de tensión 1, en el año t, calculado conforme a lo establecido en los numerales 7.1.2 y 7.1.3. |
| Eej,1,ma | Energía de entrada al sistema del OR j en el nivel de tensión 1, durante el mes ma, expresada en kWh, calculada de acuerdo con lo establecido en el numeral 7.3.7.1. |
| IPPm-1: | Índice de precios del productor del mes m-1. |
| IPPo: | Índice de precios del productor de la fecha de corte. |
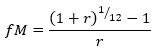
1.3 ACTUALIZACIÓN Y LIQUIDACIÓN DE CARGOS. <Numeral modificado por el artículo 7 de la Resolución 36 de 2019. El nuevo texto es el siguiente:>
El ingreso mensual de los OR, así como los cargos de cada nivel de tensión y los cargos por uso, serán liquidados y actualizados por el Liquidador y Administrador de Cuentas, LAC, de acuerdo con lo previsto en esta resolución, para lo cual deberá calcular las variables necesarias.
Los comercializadores facturarán a sus usuarios los cargos por uso definidos en el numeral 1.1.
Cuando en los cálculos previstos se incurra en errores por aplicación equivocada de las fórmulas o porque los agentes se demoren en la entrega de información o reporten mala información, el LAC podrá hacer las correcciones identificadas y los ajustes que modifiquen liquidaciones de hasta cuatro meses atrás para incluirlos en los cálculos del mes que se esté liquidando. Para ello, actualizará las diferencias encontradas, con la variación del IPP desde el mes que se está corrigiendo comparado con el valor del último IPP disponible.
1.3.1 ACTUALIZACIÓN, LIQUIDACIÓN Y RECAUDO DE CARGOS DEL STR. <Numeral modificado por el artículo 7 de la Resolución 36 de 2019. El nuevo texto es el siguiente:>
El LAC calculará el cargo horario del nivel de tensión 4 y las liquidaciones de cada STR con base en los períodos de carga máxima, media y mínima, y con las demandas y potencias correspondientes a cada uno de estos periodos.
El LAC utilizará las siguientes expresiones para determinar los valores a facturar a los comercializadores:
- Para los ingresos de un OR con activos remunerados, de acuerdo con lo previsto en esta resolución:

- Para los ingresos de las convocatorias:

Donde:
| LCi,j,R,m,t: | Liquidación por concepto de cargos del nivel de tensión 4, en el STR R, por el consumo en el mes m del año t, que se facturará al comercializador i, para remunerar los activos del OR j. |
| LCi,R,m,t: | Liquidación por concepto de cargos del nivel de tensión 4, en el STR R, por el consumo en el mes m del año t, que se facturará al comercializador i, para remunerar los activos construidos mediante convocatoria. |
| DCi,R,m: | Demanda del comercializador i, en el STR R, durante el mes de consumo m, referida al STN utilizando los factores de pérdidas definidos en el capítulo 7, sin considerar la demanda de usuarios conectados directamente al STN. |
| CD4,R,m,t: | Cargo del nivel de tensión 4, en $/kWh, del STR R, en el mes m del año t, de acuerdo con lo previsto el numeral 1.2.1. |
| IMAJj,4,R,m,t: | Ingreso mensual ajustado del OR j, en el nivel de tensión 4, en el mes m del año t, calculado según lo establecido en el numeral 2.3. |
| IMj,4,R,m,t: | Ingreso mensual del OR j, perteneciente al STR R, en el nivel de tensión 4, en el mes m del año t, en pesos, calculado según lo establecido en el numeral 2.1. |
| IMCR,m,t: | Ingreso mensual por convocatorias construidas en el STR R para el mes m del año t, en pesos, calculado según lo establecido en el numeral 2.2. |
| JR: | Número total de mercados de comercialización que conforman el STR R. |
| m: | Corresponde al mes calendario de prestación del servicio. |
Para efectos de los cálculos horarios, las variables DCi,R,m y CD4,R,m,t, tendrán desagregaciones según los periodos horarios.
Para el STR, el LAC estará encargado de:
a) calcular y actualizar las variables requeridas para determinar los ingresos y cargos de los STR;
b) calcular los valores a facturar por cada OR a cada comercializador; y
c) el envío de las liquidaciones a los OR, con la anterioridad requerida.
La facturación y recaudo a los agentes comercializadores, de los ingresos aprobados con base en lo previsto en esta resolución, le corresponderá a cada OR, utilizando la liquidación elaborada por el LAC. Los ingresos correspondientes a convocatorias serán facturados, recaudados y distribuidos por el LAC.
1.3.2 ACTUALIZACIÓN Y LIQUIDACIÓN DE LOS CARGOS DEL SDL. <Numeral modificado por el artículo 7 de la Resolución 36 de 2019. El nuevo texto es el siguiente:>
Las liquidaciones para los comercializadores que atienden usuarios en los SDL, en cada mercado de comercialización, se calcularán de acuerdo con las ventas en cada nivel de tensión.
El LAC calculará los cargos horarios de los niveles 3, 2 y 1 y las liquidaciones con base en los períodos de carga máxima, media y mínima y con las demandas y potencias correspondientes a cada uno de estos periodos.
Las liquidaciones con cargos horarios se aplicarán para los registros de las fronteras comerciales con discriminación horaria. Para los demás consumos, se aplicarán los cargos sin diferenciación horaria.
La liquidación del SDL se realizará con base en la siguiente expresión:

Donde:
| LCi,n,j,m: | Liquidación por concepto de cargos por uso del nivel de tensión n, en el mercado de comercialización j, por el consumo en el mes m, que se facturará al comercializador i. |
| VCOi,n,j,m: | Ventas del comercializador i, en el nivel de tensión n, en el mercado de comercialización j, durante el mes de consumo m. Cuando se trate de un comercializador diferente al integrado con el OR, estas ventas serán iguales a las lecturas de las fronteras comerciales; en caso contrario, serán iguales a las ventas reportadas al SUI que el LAC obtenga en los plazos previstos para esta consulta. |
Para efectos de los cálculos horarios, esta variable tendrá desagregaciones según los periodos horarios.
| Dtn,j,m,t: | Cargo por uso del nivel de tensión n, del OR j, para el mes m del año t, en $/kWh, de acuerdo con lo previsto en el numeral 1.1 o el cargo horario respectivo. |
| CD4,R,m,t: | Cargo del nivel de tensión 4, en $/kWh, del STR R al que pertenece el OR j, en el mes m, de acuerdo con lo previsto en el numeral 1.2.1 o el cargo horario respectivo. |
| PRn,j,m,t: | Factor para referir las medidas de energía del nivel de tensión n del OR j al STN, en el mes m del año t, de acuerdo con lo previsto en el numeral 7.2. |
| n: | Nivel de tensión, puede tomar los valores 1, 2 o 3. |
La liquidación de los comercializadores diferentes al incumbente se hará el mes siguiente al del consumo y para los comercializadores incumbentes se hará una vez se tengan disponibles los datos del SUI.
Para el SDL, el LAC estará encargado de:
a) Calcular y actualizar las variables requeridas para determinar los cargos de los SDL;
b) Consultar, al finalizar cada mes, las lecturas de los medidores de los comercializadores;
c) Dentro de los últimos cuatro (4) días calendario del mes anterior para el cual se están calculando los cargos de los niveles de tensión 1, 2 y 3 de que trata esta resolución, el LAC deberá publicar las variables requeridas para el mismo;
d) Consultar el SUI para recopilar la información de los reportes de la energía vendida por cada comercializador en un mercado de comercialización y en cada nivel de tensión. Esta información se publicará dentro de los últimos cuatro (4) días calendario del mes anterior al de su utilización en la liquidación;
e) Atender y dar respuesta a las solicitudes de modificación que presenten los agentes dentro de los tres (3) días siguientes al de la publicación de información de energía vendida y cargos de los niveles de tensión 1, 2 y 3;
f) Actualizar la información de índices de precios y corregir de oficio, o en respuesta a solicitudes de modificación, tanto la información de energía que se haya actualizado en el SUI como los cargos de los niveles de tensión 1, 2 y 3; y proceder con su publicación dentro de los primeros siete (7) días calendario de cada mes para que sean revisados por los agentes dentro de los dos (2) días siguientes a su publicación;
g) Publicar la liquidación de los valores a facturar por cada OR a cada comercializador dentro de los primeros siete (7) días calendario de cada mes para que sean revisados por los agentes dentro de los dos (2) días siguientes a su publicación;
h) Publicar la información definitiva tanto de los cargos de los niveles de tensión 1, 2 y 3, como de la liquidación de los valores a facturar por cada OR a cada comercializador, a más tardar el día 14 de cada mes, reflejando allí las actualizaciones y correcciones de información a que haya lugar.
La facturación y recaudo a los agentes comercializadores les corresponderá a los OR, utilizando la liquidación elaborada por el LAC.
1.3.3 INICIO DE APLICACIÓN DE LOS INGRESOS APROBADOS. <Numeral adicionado por el artículo 7 de la Resolución 36 de 2019. El nuevo texto es el siguiente:>
Para todos los niveles de tensión, los ingresos que se aprueben a los OR se aplicarán a partir del primer día calendario del mes siguiente al de la entrada en vigencia de cada resolución particular.
En cada uno de los STR el cargo por uso del nivel de tensión 4, de que trata el numeral 1.1.1, y el cargo del nivel de tensión 4, de que trata el numeral 1.2.1, se aplicarán a partir del primer día calendario del mes siguiente al de la entrada en vigencia de la primera resolución particular aprobada a un OR que tenga activos en ese STR. Mientras se aprueban los ingresos de los demás OR con activos en ese STR, se utilizarán temporalmente las siguientes variables para estos OR:
| IMj,4R,m,t: | Corresponde al ingreso mensual del nivel de tensión 4 del OR j, perteneciente al STR R, calculado por el LAC según lo establecido en el numeral 3.1.2 de la Resolución CREG 097 de 2008, para el mes m |
| P4j,m,t: | Factor de pérdidas del nivel de tensión 4 del OR j, que es igual a 0,91% para el STR Centro-Sur y 0,99% para el STR Norte. |
1.3.4 APLICACIÓN ANUAL DE INGRESOS. <Numeral adicionado por el artículo 7 de la Resolución 36 de 2019. El nuevo texto es el siguiente:>
El LAC calculará anualmente el valor de las variables a utilizar para determinar el ingreso y los cargos de los OR a más tardar el 31 de marzo de cada año de aplicación de la metodología.
Con este propósito, los OR enviarán al LAC en la forma que este les indique, hasta el 28 de febrero de cada año, los valores de la lista de variables que se definirá mediante circular CREG.
Las variables que tienen cambios anuales se aplicarán a partir del mes de abril de cada año y hasta marzo del año siguiente.
Para el primer año de aplicación, el LAC calculará las variables para determinar el ingreso a partir de la resolución particular de cada OR y las consultas de información previstas en esta metodología. Además, de acuerdo con la fecha de entrada en vigencia de cada resolución, se aplicará lo previsto en el siguiente numeral.
1.3.4.1 AJUSTE DE INGRESOS PARA EL PRIMER AÑO DE APLICACIÓN. <Numeral modificado por el artículo 7 de la Resolución 36 de 2019. El nuevo texto es el siguiente:>
Si la entrada en vigencia de la resolución particular, aprobada a un OR de acuerdo con lo previsto en la presente resolución, ocurre antes del 31 de marzo del año 1 del plan de inversiones, se aplicarán los nuevos ingresos a partir del primer día calendario del mes siguiente al de la entrada en vigencia.
Si ocurre después del 31 de marzo del año 1 del plan de inversiones, en cada una de las liquidaciones de los primeros doce (12) meses de aplicación de la nueva metodología, al ingreso mensual el LAC le adicionará el ajuste calculado como se describe a continuación:

Donde:
AIMj,n,m: <Definición modificada por el artículo 3 de la Resolución 199 de 2019. El nuevo texto es el siguiente:> Ajuste al ingreso mensual del OR j en el nivel de tensión n, a adicionar durante cada uno de los primeros doce (12) meses de aplicación de la nueva metodología. Después del mes doce (12), de requerirse, se adicionará solo lo correspondiente a la variable NAIMj,n,m Cuando se trate del nivel de tensión 1 la variable AIMj,1,m se repartirá así: i) una parte, equivalente a la fracción que resulte dividir la variable CDI_Aj,1, entre la suma de las variables CDI_Aj,1, y CDM_Aj,1, mencionadas más adelante, la cual se adicionará al ingreso mensual del nivel de tensión 1 relacionado con la inversión, y ii) el resto, multiplicado por 12, se adicionará al ingreso anual relacionado con el AOM de este mismo nivel de tensión.
IMNj,n,ma: Ingreso mensual del OR j para el nivel de tensión n en el mes ma, estimado de acuerdo con lo siguiente:
a) Para el nivel 4 es igual a la variable IMAJj,4,R,m,t, calculada de acuerdo con lo establecido en el numeral 2.3, para el mes ma;
b) Para los niveles 3 y 2 es igual a los valores de las variables
calculadas para el mes ma, de acuerdo con lo establecido en los numerales 2.4 y 2.5, respectivamente, y
c) Para el nivel 1 se calcula con la siguiente fórmula:

Donde:
| IAj,1,ma,t: | Ingreso mensual por inversión del nivel de tensión 1, del OR j, para el mes ma, calculado de acuerdo con lo establecido en el numeral 2.6. |
| IAAOMj,1,t: | Ingreso anual por AOM en el nivel de tensión 1, calculado de acuerdo con lo establecido en el Capítulo 4. |
| IMAj,n,ma: | Ingreso mensual del OR j, obtenido a partir de lo aprobado con base en la Resolución CREG 097 de 2008, para el mes ma. Este valor se calculará dependiendo del nivel de tensión y utilizando la información registrada en las resoluciones particulares que aprueben ingresos a los OR, como se señala a continuación: |
d) Para el nivel de tensión 4:
Corresponde al ingreso mensual del nivel de tensión 4 del OR j, perteneciente al STR R, calculado por el LAC según lo establecido en el numeral 3.1.2 de la Resolución CREG 097 de 2008, para el mes ma.
e) Para el nivel de tensión 3:

Donde:
| CD_Aj,3: | Cargo máximo del nivel de tensión 3 para el OR j, actualizado de acuerdo con lo previsto en la Resolución CREG 097 de 2008. |
| Eej,3,maa: | Energía de entrada al sistema del OR j en el nivel de tensión 3, durante el mes maa, expresada en kWh y calculada de acuerdo con lo establecido en el numeral 7.3.7.1. |
| Pj,3: | Índice de pérdidas del OR j en el nivel de tensión 3, aprobado de acuerdo con lo previsto en la Resolución CREG 097 de 2008. |
f) Para el nivel de tensión 2:


Donde:
| CD_N2j: | Cargo del nivel de tensión 2 al cual se le ha excluido la parte que remunera el nivel de tensión 3, para el OR j. |
| CD_Aj,n: | Cargo máximo del nivel de tensión n, con n igual a 3 o 2, para el OR j, actualizado de acuerdo con lo previsto en la Resolución CREG 097 de 2008. |
| Eej,3,maa: | Energía de entrada al sistema del OR j en el nivel de tensión 2, durante el mes maa, expresada en kWh y calculada de acuerdo con lo establecido en el numeral 7.3.7.1. |
| Fej,3-2: | Flujo de energía del nivel de tensión 3 al nivel de tensión 2, del OR j, utilizado en aplicación de la metodología de la Resolución CREG 097 de 2008 para el cálculo del cargo máximo de nivel de tensión 2 del OR j. |
| Euj,2: | Energía útil del nivel de tensión 2 utilizada en aplicación de la metodología de la Resolución CREG 097 de 2008 para el cálculo del cargo máximo de nivel de tensión 2 del OR j. |
| Pj,2: | Índice de pérdidas del OR j en el nivel de tensión 2, aprobado de acuerdo con lo previsto en la Resolución CREG 097 de 2008. |
g) Para el nivel de tensión 1:

Donde:
| CDI_Aj,1: | Cargo máximo por concepto de inversiones para el nivel de tensión 1 para el OR j, actualizado de acuerdo con lo previsto en la Resolución CREG 097 de 2008. |
| CDM_Aj,1: | Cargo máximo por concepto de AOM para el nivel de tensión 1 para el OR j, actualizado de acuerdo con lo previsto en la Resolución CREG 097 de 2008. |
| Eej,3,maa: | Energía de entrada al sistema del OR j en el nivel de tensión 1, durante el mes maa, expresada en kWh y calculada de acuerdo con lo establecido en el numeral 7.3.7.1. |
| Pj,1: | Índice de pérdidas del OR j en el nivel de tensión 1, aprobado de acuerdo con lo previsto en la Resolución CREG 097 de 2008. |
Los valores de las variables CD_Aj,3, CD_Aj,2, CDI_Aj,1, y CDM_Aj,1, serán los aplicados en el mes de enero de 2019 y deberán ser calculados por los OR, expresados en pesos de 2007 y entregados al LAC a más tardar el 31 de mayo de 2019. Cuando un OR no entregue esta información, el LAC informará a la SSPD de este hecho y utilizará los valores de la primera resolución aprobada al OR, con base en la metodología de la Resolución CREG 097 de 2008, multiplicados por 1,2.
| NMAj: | Número de meses entre el 31 de marzo del año 1 del plan de inversiones y el último día calendario del mes anterior al del inicio de aplicación de la nueva metodología, para el OR j. |
| NAIMj,n,m: | Para el caso de los OR a quienes se les aprueben en una resolución aparte las inversiones de que trata el artículo 6, la CREG definirá el incremento de ingresos, con base en el cual el LAC debe calcular un ingreso mensual adicional del OR j para el nivel de tensión n en el mes m, según la siguiente expresión: |
![]()
| Ingreso adicional del OR j para el nivel de tensión n, definido en la resolución que aprueba el reconocimiento de las inversiones de que trata el artículo 6o, calculado como la diferencia entre los ingresos antes y después de incluir estas inversiones y expresado en pesos de la fecha de corte. | |
| NMAj: | Número de meses entre el 31 de marzo del año 1 del plan de inversiones y el último día calendario del mes anterior al de inicio de aplicación de la resolución que aprueba el reconocimiento de las inversiones de que trata el artículo 6, para el OR j. |
| IPPm-1: | Índice de precios del productor del mes m-1. |
| IPPaaj: | Índice de precios del productor del mes anterior al de inicio de aplicación de los cargos del OR j. |
| IPP0: | Índice de precios del productor de la fecha de corte. |
| IPP2016: | Índice de precios del productor de diciembre de 2016. |
| IPPbase: | Índice de precios del productor de diciembre de 2007. |
CAPITULO 2. CÁLCULO DE LOS INGRESOS DE LOS OR.
Los ingresos mensuales de los OR en cada nivel de tensión por el uso de los activos y de los TR en el nivel de tensión 4 se calculan con base en las siguientes expresiones.
2.1 INGRESOS DE LOS OR EN EL NIVEL DE TENSIÓN 4. <Numeral modificado por el artículo 8 de la Resolución 36 de 2019. El nuevo texto es el siguiente:>
El LAC calculará el ingreso mensual de nivel de tensión 4 de cada OR, así:
![]()
<Ver Notas de Vigencia - Modificación temporal al factor de indexación>
Donde:
| IMj,4R,m,t: | Ingreso mensual del OR j, en el nivel de tensión 4, por los activos en el STR R, remunerados de acuerdo con lo previsto en esta resolución, en el mes m del año t, en pesos. |
| IAAj,a,t: | Ingreso anual por los activos de uso del nivel de tensión 4, del OR j, en el año t, según lo establecido en el Capítulo 3. |
| fM: | Factor para calcular valores mensuales, calculado según lo establecido en el numeral 2.8. |
| LAAOMj,4,t: | Ingreso anual por los gastos de administración, operación y mantenimiento del nivel de tensión 4, del OR j, en el año t, calculado según lo establecido en el Capítulo 4. |
| CSTRj,R,m-1: | Valor mensual de las compensaciones del OR j, por los activos en el STR R remunerados de acuerdo con lo previsto en esta resolución, correspondiente al mes m-1, según lo establecido en el numeral 5.1.14. |
| IRMm-1: | Ingreso del OR j, en el nivel de tensión 4, del año t, recibido por otros conceptos, según lo establecido en el numeral 2.7. |
| IPPm-1: | Índice de precios del productor del mes m-1. |
| IPP0: | Índice de precios del productor de la fecha de corte. |
2.2 INGRESOS DE LOS TR EN EL NIVEL DE TENSIÓN 4. <Numeral modificado por el artículo 9 de la Resolución 36 de 2019. El nuevo texto es el siguiente:>
El LAC calculará el ingreso mensual para remunerar los proyectos construidos mediante convocatorias en el nivel de tensión 4 de cada STR, así:

Donde:
| IMCR,m,t: | Ingreso mensual por las convocatorias construidas en el STR R, para el mes m del año t, en pesos. |
| IEc,R,m: | Ingreso mensual esperado por la convocatoria c construida en el STR R, para el mes m. Esta variable corresponde con la variable IEp,R,m definida en la Resolución CREG 024 de 2013, o aquella que la modifique o sustituya. |
| CSTRc,R,m-1: | Valor mensual de las compensaciones por los activos de la convocatoria c, construida en el STR R, correspondiente al mes m-1, según lo establecido en el numeral 5.1.14. |
| CR: | Número total de convocatorias construidas en el STR R. |
2.3 REPARTICIÓN DE INGRESOS DE NIVEL DE TENSIÓN 4. <Numeral modificado por el artículo 4 de la Resolución 199 de 2019. El nuevo texto es el siguiente:> Adicional a lo previsto en la regulación vigente, para distribuir los ingresos por el uso de los activos de nivel de tensión 4 entre los agentes beneficiarios se tendrá en cuenta lo señalado en este numeral.
Para cada uno de los OR, con mercados de comercialización en un determinado STR, al momento de distribuir los ingresos se considerará el valor del ingreso ajustado calculado de la siguiente forma:

Donde:
| IMAJj,4,R,m,t: | Ingreso mensual ajustado del OR j, en el nivel de tensión 4, en el mes m del año t. |
| IMj,4,R,m,t: | Ingreso mensual del OR j, en el nivel de tensión 4, en el mes m del año t, calculado según lo establecido en el numeral 2.1. |
| P4,j,m,t: | Factor de pérdidas del nivel de tensión 4 del OR j, en el mes m del año t, calculado de acuerdo con lo previsto en el numeral 7.1.2.1 |
| JR: | Número de mercados de comercialización en el STR R”. |
Para los ingresos relacionados con convocatorias, el valor a considerar para la distribución de los ingresos del STR es igual a los ingresos esperados de cada convocatoria menos las compensaciones asociadas a los activos de esa convocatoria, en los casos en los que haya lugar.
2.4 INGRESOS DE NIVEL DE TENSIÓN 3.
El LAC calculará el ingreso mensual del nivel de tensión 3 de cada OR así:
![]()
<Ver Notas de Vigencia - Modificación temporal al factor de indexación>
Donde:
| IAj,3,m,t: | Ingreso del OR j en el nivel de tensión 3 en el mes m del año t, en pesos. |
| IAAj,3,t: | Ingreso anual por los activos de uso del nivel de tensión 3 del OR j en el año t, según lo establecido en el capítulo 3. |
| fM: | Factor para calcular valores mensuales, calculado conforme a lo establecido en el numeral 2.8. |
| IAAOMj,3,t: | Ingreso anual por los gastos de administración, operación y mantenimiento del nivel de tensión 3 del OR j en el año t, según lo establecido en el capítulo 4. |
| IRMj,3,t: | Ingreso del OR j, en el nivel de tensión 3, del año t, recibido por otros conceptos, según lo establecido en el numeral 2.7. |
| IPPm-1: | Índice de precios del productor del mes m-1. |
| IPPo: | Índice de precios del productor de la fecha de corte. |
2.5 INGRESOS DE NIVEL DE TENSIÓN 2.
El LAC calculará el ingreso mensual del nivel de tensión 2 de cada OR así:
![]()
<Ver Notas de Vigencia - Modificación temporal al factor de indexación>
Donde:
| IAj,2,m,t: | Ingreso del OR j en el nivel de tensión 2 en el mes m del año t, en pesos. |
| IAAj,2,t: | Ingreso anual por los activos de uso del nivel de tensión 2 del OR j en el año t, según lo establecido en el capítulo 3. |
| fM: | Factor para calcular valores mensuales, calculado conforme a lo establecido en el numeral 2.8. |
| IAAOMj,2,t: | Ingreso anual por los gastos de administración, operación y mantenimiento del nivel de tensión 2 del OR j en el año t, según lo establecido en el capítulo 4. |
| IRMj,2,t: | Ingreso del OR j, en el nivel de tensión 2, del año t, recibido por otros conceptos, según lo establecido en el numeral 2.7. |
| IPPm-1: | Índice de precios del productor del mes m-1. |
| IPPo: | Índice de precios del productor de la fecha de corte. |
2.6 INGRESOS DE NIVEL DE TENSIÓN 1. <Numeral modificado por el artículo 1 de la Resolución 195 de 2020. El nuevo texto es el siguiente:>
El LAC calculará el ingreso mensual del nivel de tensión 1 de cada OR así:

<Ver Notas de Vigencia - Modificación temporal al factor de indexación>
Donde:
| IAj,1,m,t: | Ingreso del OR j en el nivel de tensión 1 en el mes m del año t, en pesos. |
| IAAj,1,t: | Ingreso anual por los activos de uso del nivel de tensión 1 del OR j en el año t, según lo establecido en el capítulo 3. |
| fM: | Factor para calcular valores mensuales, calculado conforme a lo establecido en el numeral 2.8. |
| IRMj,1,t: | Ingreso del OR j, en el nivel de tensión 1, en el año t, recibido por otros conceptos, según lo establecido en el numeral 2.7. |
| OIj,1,t-1: | Ingresos por la explotación de activos de uso en todos los niveles de tensión en actividades distintas a la distribución de energía eléctrica en el año t-1. |
| IPPm-1: | Índice de precios del productor del mes m-1. |
| IPPo: | Índice de precios del productor de la fecha de corte. |
El valor de la variable OIj,1,t-1, corresponde al 50 % de los ingresos anuales obtenidos por el OR por la explotación en actividades distintas a la de distribución de energía eléctrica de los activos remunerados mediante cargos por uso.
El OR debe reportar al LAC el valor de la variable OIj,1,t-1, incluso si este valor es igual a cero, a más tardar el 15 de diciembre anterior al año de aplicación. Mientras la información no sea reportada al LAC, este tomará el máximo entre el valor reportado el año anterior y el 120% del valor más alto de los reportados por los demás OR que hayan entregado este dato.
2.7 INGRESOS POR OTROS CONCEPTOS. <Numeral modificado por el artículo 11 de la Resolución 36 de 2019. El nuevo texto es el siguiente:>
El ingreso anual por otros conceptos se calcula de la siguiente manera:
![]()
Donde:
| IRMj,n,t: | Ingreso anual por otros conceptos del OR j en el nivel de tensión n del año t, en pesos. Para el primer año del periodo tarifario esta variable tiene un valor igual a cero. |
| IRespaldoj,n,t: | Ingreso correspondiente al año t, recibido por parte del OR j en el nivel de tensión n por concepto de respaldo de red, conforme a lo establecido en el Capítulo 10. |
| IMuntsj,n,t: | Ingresos correspondientes al año t, recibido por parte del OR j en el nivel de tensión n por concepto de migración de usuarios a otros niveles de tensión, conforme a lo establecido en el Capítulo 11. |
| IReactivaj,n,t: | Ingresos a descontar al OR j en el nivel de tensión n por concepto de transporte de energía reactiva en exceso, correspondiente al año t, conforme a lo establecido en el Capítulo 12. |
Las anteriores variables deben estar expresadas en pesos de la fecha de corte, para lo cual se utilizará la variación del Índice de Precios del Productor.
2.8 FACTOR PARA CALCULAR VALORES MENSUALES.
Para calcular el factor que se utiliza para convertir un valor anual en un pago mensual con una rentabilidad r se utiliza la siguiente fórmula:

Donde:
| fM: | Factor para calcular valores mensuales. |
| r: | Tasa de retorno reconocida para la actividad de distribución de energía eléctrica para un esquema de ingreso máximo. |
CAPITULO 3. INGRESO ANUAL POR INVERSIONES.
Los ingresos anuales asociados con la infraestructura utilizada para la prestación del servicio en cada uno de los niveles de tensión se determinan de conformidad con la siguiente expresión:
![]()
Donde:
| IAAj,n,t: | Ingreso anual por inversión en activos del OR j en el nivel de tensión n para el año t. |
| BRAj,n,t: | Base regulatoria de activos del OR j en el nivel de tensión n para el año t, calculada según lo definido en el numeral 3.1. |
| r: | Tasa de retorno reconocida para la actividad de distribución de energía eléctrica para un esquema de ingreso máximo. |
| RCj,n,t: | Recuperación de capital reconocida para los activos remunerados en la base regulatoria de activos del OR j en el nivel de tensión n para el año t, calculada según lo definido en el numeral 3.2. |
| BRTj,n,t: | Base regulatoria de terrenos del OR j en el nivel de tensión n para el año t, calculada según lo establecido en el numeral 3.3. |
3.1 BASE REGULATORIA DE ACTIVOS.
La base regulatoria de activos de los OR se determina de la siguiente forma:
![]()
Donde:
| BRAj,n,t: | Base regulatoria de activos del OR j en el nivel de tensión n para el año t. |
| BRAEj,n,t: | Base regulatoria de activos eléctricos del OR j en el nivel de tensión n para el año t, según lo establecido en el numeral 3.1.1. |
| BRANEj,n,t: | Base regulatoria de activos no eléctricos del OR j en el nivel de tensión n para el año t, según lo establecido en el numeral 3.1.2. |
3.1.1 BASE REGULATORIA DE ACTIVOS ELÉCTRICOS.
La base regulatoria de activos eléctricos de los OR se determina de la siguiente forma:
![]()
Donde:
| BRAEj,n,t: | Base regulatoria de activos eléctricos del OR j en el nivel de tensión n para el año t. |
| RCj,n,t: | Recuperación de capital reconocida para los activos remunerados en la base regulatoria del OR j en el nivel de tensión n para el año t, según lo establecido en el numeral 3.2. |
| BRAENj,n,t: | Base regulatoria de activos eléctricos nuevos del OR j en el nivel de tensión n para el año t, según lo establecido en el numeral 3.1.1.2. |
| BRAFOj,n,t: | Base regulatoria de activos eléctricos fuera de operación del OR j.en el nivel de tensión n para el año t, según lo establecido en el numeral 3.1.1.4. |
Para el primer año del periodo tarifario, la variable BRAEj,n,t-1 se calcula de acuerdo con lo establecido en el numeral 3.1.1.1.
3.1.1.1 BASE REGULATORIA DE ACTIVOS ELÉCTRICOS AL INICIO DEL PERIODO TARIFARIO.
La base regulatoria de activos eléctricos para el primer año del periodo tarifario se determina de la siguiente forma:

Donde:
| BRAEj,n,0: | Base regulatoria de activos eléctricos del OR j en el nivel de tensión n al inicio del periodo tarifario. |
| CRIIj,n,l: | Valor implícito de los activos del OR j en el nivel de tensión n para la categoría de activos l, calculado de acuerdo con lo establecido en el numeral 3.1.1.1.1. |
| CRAn,l: | Factor de capital remanente de los activos en el nivel de tensión n para la categoría de activos l, calculado de acuerdo con lo establecido en el numeral 3.1.1.1.3. |
| CRINj,n,l: | Valor de la inversión del OR j en el nivel de tensión n para la categoría de activos l, asociado con los activos que fueron puestos en operación en el periodo 2008 a la fecha de corte, calculado de acuerdo con lo establecido en el numeral 3.1.1.1.4. |
| Ln: | Cantidad de categorías de activos en el nivel de tensión n, incluyendo la categoría l = 10. |
| IPP0: | Índice de precios del productor de la fecha de corte. |
| IPPbase: | Índice de precios del productor correspondiente a diciembre de 2007. |
3.1.1.1.1. VALOR IMPLÍCITO DE LOS ACTIVOS.
El valor implícito de los activos se calcula de la siguiente forma:
![]()
Donde:
| CRIIj,n,l: | Valor implícito de los activos del OR j en el nivel de tensión n para la categoría de activos l. |
| CAIj,n,l: | Costo anual de la inversión del OR j por los activos del nivel de tensión n en la categoría de activos l. De acuerdo con lo establecido en los numerales 3.1.1.1.1.1, 3.1.1.1.1.2, 3.1.1.1.1.3 y 3.1.1.1.1.4. |
| rin: | Tasa de retorno para la remuneración de las inversiones en el nivel de tensión n. Este valor corresponde a 13% para el nivel de tensión 4 y 13,9% para los niveles de tensión 3, 2 y 1. |
| Vun,l: | Vida útil para los activos del nivel de tensión n y la categoría de activos l. De acuerdo con lo establecido en el numeral 15.2. |
| CRINRj,n,l: | Valor de los activos en operación no incluido para el OR j en el nivel de tensión n y la categoría de activos l, calculado de acuerdo con lo establecido en el numeral 3.1.1.1.1.7. |
| CRIFOj,n,l: | Valor de los activos fuera de operación en el sistema del OR j en el nivel de tensión n y la categoría de activos l, calculado de acuerdo con lo establecido en el numeral 3.1.1.1.1.8. |
3.1.1.1.1.1 COSTO ANUAL DE LA INVERSIÓN DE NIVEL DE TENSIÓN 4.
El costo anual de la inversión del nivel de tensión 4 y la categoría de activos l se calcula de la siguiente manera:
![]()
Donde:
| CAIj,4,l: | Costo anual de la inversión del OR j por los activos del nivel de tensión 4 en la categoría de activos l. |
| CAj,4: | Costo anual por uso de los activos aprobado en aplicación de la metodología de la Resolución CREG 097 de 2008 al OR j en el nivel de tensión 4. Este valor no incluye las actualizaciones realizadas durante el periodo tarifario. |
| AOMj,4: | Gastos anuales de administración, operación y mantenimiento aprobados en aplicación de la metodología de la Resolución CREG 097 de 2008 al OR j para el nivel de tensión 4. Este valor no incluye las actualizaciones realizadas durante el periodo tarifario. |
| CATj,4: | Costo anual de terrenos reconocido en aplicación de la metodología de la Resolución CREG 097 de 2008 al OR j en el nivel de tensión 4. Este valor no incluye las actualizaciones realizadas durante el periodo tarifario. |
| CAANEj,4: | Costo anual equivalente de los activos no eléctricos reconocido en aplicación de la metodología de la Resolución CREG 097 de 2008 al OR j en el nivel de tensión 4. Este valor no incluye las actualizaciones realizadas durante el periodo tarifario. |
| PCAIj,4,l: | Porcentaje del costo anual de los activos del OR j en el nivel de tensión 4 y la categoría de activos l, calculado de acuerdo con lo establecido en el numeral 3.1.1.1.1.5. |
Estos valores corresponden a los aprobados en la primera resolución de aprobación de cargos en aplicación de la metodología de la Resolución CREG 097 de 2008 o aquella que la modificó por razones diferentes a actualización de cargos por entrada en operación de nuevos activos de nivel de tensión 4.
3.1.1.1.1.2 COSTO ANUAL DE LA INVERSIÓN DE NIVEL DE TENSIÓN 3.
El costo anual de la inversión del nivel de tensión 3 y la categoría de activos l se calcula de la siguiente manera:
![]()
Donde:
| CAIj,3,l: | Costo anual de la inversión del OR j por los activos del nivel de tensión 3 y la categoría de activos l. |
| CDj,3: | argo máximo del nivel de tensión 3 aprobado en aplicación de la metodología de la Resolución CREG 097 de 2008 al OR j. |
| Euj,3: | Energía útil del nivel de tensión 3 utilizada en aplicación de la metodología de la Resolución CREG 097 de 2008 para el cálculo del cargo máximo del OR j en el nivel de tensión 3. |
| AOMj,3: | Gastos anuales de administración, operación y mantenimiento, aprobados, en aplicación de la metodología de la Resolución CREG 097 de 2008, al OR j para el nivel de tensión 3. |
| CATj,3: | Costo anual de terrenos reconocido en aplicación de la metodología de la Resolución CREG 097 de 2008 al OR j en el nivel de tensión 3. |
| CAANEj,3: | Costo anual equivalente de los activos no eléctricos reconocido en aplicación de la metodología de la Resolución CREG 097 de 2008 al OR j en el nivel de tensión 3. |
| Oj,3: | Pago por el uso del SDL de otros OR reconocido en aplicación de la metodología de la Resolución CREG 097 de 2008 al OR j en los cargos de nivel de tensión 3. |
| PCAIj,3,l: | Porcentaje del costo anual de los activos del OR j en el nivel de tensión 3 y la categoría de activos l, calculado de acuerdo con lo establecido en el numeral 3.1.1.1.1.5. |
Estos valores corresponden a los aprobados en la primera resolución de aprobación de cargos en aplicación de la metodología de la Resolución CREG 097 de 2008 o aquella que la modificó por razones diferentes a actualización de cargos por entrada en operación de nuevos activos.
3.1.1.1.1.3 COSTO ANUAL DE LA INVERSIÓN DE NIVEL DE TENSIÓN 2.
El costo anual de la inversión del nivel de tensión 2 y la categoría de activos l se calcula de la siguiente manera:
![]()
Donde:
| CAIj,2,l: | Costo anual de la inversión del OR j por los activos del nivel de tensión 2 y la categoría de activos l. |
| CDj,2: | Cargo máximo del nivel de tensión 2 aprobado en aplicación de la metodología de la Resolución CREG 097 de 2008 al OR j. |
| CDj,3-2: | Cargo unitario del nivel de tensión 3 que se remunera parcialmente en el nivel de tensión 2 aprobado en aplicación de la metodología de la Resolución CREG 097 de 2008 al OR j. |
| Euj,2: | Energía útil del nivel de tensión 2 utilizada en aplicación de la metodología de la Resolución CREG 097 de 2008 para el cálculo del cargo máximo de nivel de tensión 2 del OR j. |
| AOMj,2: | Gastos anuales de administración, operación y mantenimiento aprobados al OR j en el nivel de tensión 2 para el primer año de aplicación de la metodología de la Resolución CREG 097 de 2008. |
| CATj,2: | Costo anual de terrenos reconocido en aplicación de la metodología de la Resolución CREG 097 de 2008 al OR j en el nivel de tensión 2. |
| CAANEj,2: | Costo anual equivalente de activos no eléctricos reconocido, en aplicación de la metodología de la Resolución CREG 097 de 2008, al OR j en el nivel de tensión 2. |
| Oj,2: | Pago por el uso del SDL de otros OR reconocido, en aplicación de la metodología de la Resolución CREG 097 de 2008, en los cargos de nivel de tensión 2 del OR j. |
| PCAIj,2,l: | Porcentaje del costo anual de los activos del OR j en el nivel de tensión 2 y la categoría de activos l, de acuerdo con lo establecido en el numeral 3.1.1.1.1.5. |
Estos valores corresponden a los aprobados en la primera resolución de aprobación de cargos en aplicación de la metodología de la Resolución CREG 097 de 2008 o aquella que la modificó por razones diferentes a actualización de cargos por entrada en operación de nuevos activos.
3.1.1.1.1.4 COSTO ANUAL DE LA INVERSIÓN DE NIVEL DE TENSIÓN 1.
El costo anual de la inversión del nivel de tensión 1 y la categoría de activos l se calcula de la siguiente manera:
![]()
Donde:
| CAIj,1,l: | Costo anual de la inversión del OR j por los activos del nivel de tensión 1 y la categoría de activos l. |
| VAj,1,0: | Ventas anuales de energía para circuitos aéreos utilizadas para calcular el cargo máximo de inversión del nivel de tensión 1 del OR j en aplicación de la metodología de la Resolución CREG 097 de 2008. |
| VSj,1,0: | Ventas anuales de energía para circuitos subterráneos utilizadas para calcular el cargo máximo de inversión del nivel de tensión 1 del OR j en aplicación de la metodología de la Resolución CREG 097 de 2008. |
| CDIR j,1: | Costo unitario de referencia utilizadas para calcular el cargo máximo de inversión del nivel de tensión 1 del OR j en aplicación de la metodología de la Resolución CREG 097 de 2008. |
| CAIj,1: | Costo anual de los activos de uso empleado para calcular el cargo máximo de inversión del nivel de tensión 1 del OR j en aplicación de la metodología de la Resolución CREG 097 de 2008. |
| PCAIj,1,l: | Porcentaje del costo anual de los activos del OR j en el nivel de tensión 3 y la categoría de activos l, de acuerdo con lo establecido en el numeral 3.1.1.1.1.5. |
Estos valores corresponden a los aprobados en la primera resolución de aprobación de cargos en aplicación de la metodología de la Resolución CREG 097 de 2008 o aquella que la modificó por razones diferentes a actualización de cargos por entrada en operación de nuevos activos.
3.1.1.1.1.5 PORCENTAJE DEL COSTO ANUAL POR CATEGORÍA DE ACTIVOS.
El porcentaje del costo anual de los activos de nivel de tensión n pertenecientes a la categoría de activos l se calcula de la siguiente manera:

Donde:
| PCAIj,n,l: | Porcentaje del costo anual de los activos del OR j en el nivel de tensión n y la categoría de activos l. |
| CRIj,n,l: | Valor de la inversión del OR j en el nivel de tensión n y la categoría de activos l, calculado según lo definido en el numeral 3.1.1.1.1.6. |
| CRINRj,n,l: | Valor de los activos no incluidos en el inventario de activos utilizado para la aplicación de la Resolución CREG 097 de 2008 para el OR j en el nivel de tensión n y la categoría de activos l calculado según lo definido en el numeral 3.1.1.1.1.7. |
| CRIFOj,n,l: | Valor de los activos que salieron de operación en el periodo enero de 2008 a la fecha de corte en el sistema del OR j en el nivel de tensión n y la categoría de activos l, calculado según lo definido en el numeral 3.1.1.1.1.8. |
| l: | Categoría de activos, l toma los valores de 11 o 12 para el nivel de tensión 1. |
| Ln: | Cantidad de categorías de activos en el nivel de tensión n. L1 toma el valor de 12. |
3.1.1.1.1.6 COSTO DE REPOSICIÓN DE LA INVERSIÓN.
a. Niveles de tensión 2, 3 y 4
Para los niveles de tensión 2, 3 y 4 el Valor de la inversión para los activos pertenecientes a la categoría l se calcula de la siguiente manera:

| CRIj,n,l: | Valor de la inversión en el sistema del OR j por los activos del nivel de tensión n y la categoría de activos l. |
| Rj,n,l: | Número de UC reconocidas en aplicación de la metodología de la Resolución CREG 097 de 2008 al OR j en el nivel de tensión n y la categoría l. |
| CRi: | Valor de la UC i definido en el capítulo 15. |
| PUj,i: | Fracción del costo de la UC i del OR j que es remunerada vía cargos por uso. |
| RPPi: | Fracción del costo de la UC i que es remunerada vía cargos por uso que no se debe incluir en el cálculo de la tarifa. |
| RSNj,l: | Número de UC no asociadas con un nivel de tensión específico reconocidas en aplicación de la metodología de la Resolución CREG 097 de 2008 al OR j en la categoría l. |
| Psnj: | Variable de asignación de las UC sin nivel de tensión. Para OR con cuatro niveles de tensión es igual a 1/3, para OR con tres niveles de tensión es igual a 1/2 y para OR con dos niveles de tensión es igual a 1. |
Para las UC de transformadores tridevanados y sus bahías asociadas el OR debe considerar los criterios de clasificación por nivel de tensión establecidas en la Resolución CREG 097 de 2008.
La Comisión entregará a cada OR el listado de UC reconocidas en la aprobación de cargos de la Resolución CREG 097 de 2008.
b. Nivel de tensión 1
Para el nivel de tensión 1 el valor de los activos pertenecientes a la categoría l se calcula de la siguiente manera:
![]()
Donde:
| CRIj,1,l: | Valor de la inversión del OR j en el nivel de tensión 1 y la categoría de activos l. |
| NTj,1,l: | Cantidad de transformadores de distribución del OR j en el nivel de tensión 1 utilizados para la aplicación de la Resolución CREG 097 de 2008. Con l =11. |
| CMTDj: | Costo medio de transformadores del OR j. |
| NRj,1,l: | Cantidad de redes de distribución del OR j en el nivel de tensión 1 utilizados para la aplicación de la Resolución CREG 097 de 2008. Con l =12. |
| CMRDj: | Costo medio de redes de distribución del OR j. |
El costo medio de transformadores y redes de distribución corresponde al valor utilizado para definir la variable CRIj,1 reconocida en aplicación de la metodología definida en la Resolución CREG 097 de 2008.
La Comisión entregará a cada OR la cantidad de transformadores y redes utilizados para la determinación del costo de reposición de nivel de tensión 1 en aplicación de la Resolución CREG 097 de 2008 y el valor de las variables CMTDj y CMRDj.
Para determinar el valor de la inversión por categoría de activos el OR debe clasificar los transformadores y redes en las categorías de activos definidas en el numeral 15.2.
3.1.1.1.1.7 VALOR DE LOS ACTIVOS EN OPERACIÓN NO INCLUIDO.
a. Niveles de tensión 2, 3 y 4
El valor de los activos en operación no incluidos en el inventario que pertenecen a la categoría l se calcula de la siguiente manera:

Donde:
| CRINRj,n,l: | Valor de los activos en operación no incluido para el OR j en el nivel de tensión n y la categoría de activos l. |
| NIj,n,l: | Número de UC no incluidas en el sistema del OR j en el nivel de tensión n y la categoría de activos l. |
| CRi: | Valor de la UC i definido en el capítulo 15. |
| PUj,i: | Fracción del costo de la UC i del OR j que es remunerada vía cargos por uso. RPPi: Fracción del costo de la UC i que es remunerada vía cargos por uso que no se debe incluir en el cálculo de la tarifa. |
| NISNj,l: | Número de UC sin nivel de tensión no incluidas en el sistema del OR j en el nivel de tensión n y la categoría de activos l. |
| Psnj: | Variable de asignación de las UC sin nivel de tensión. Para OR con cuatro niveles de tensión es igual a 1/3, para OR con tres niveles de tensión es igual a 1/2 y para OR con dos niveles de tensión es igual a 1. |
Para determinar el costo de reposición por categorías de activos el OR debe clasificar dichas unidades constructivas en las categorías de activos definidas en el numeral 15.2.
Para las UC de transformadores tridevanados y sus bahías asociadas el OR debe considerar los criterios de clasificación por nivel de tensión establecidas en la Resolución CREG 097 de 2008.
En el caso de unidades constructivas reconocidas con RPP mayor que 0 y que durante el actual periodo tarifario cambiaron la condición definida en el numeral 87.9 de la Ley 142 de 1994 modificado por el artículo 99 de la Ley 1450 de 2011, el factor (1-RPP) se reemplaza por la fracción adicional del valor de la UC que debe ser reconocido, en ningún caso la suma del valor (1-RPP) aprobado más la fracción adicional incluida para una UC puede ser mayor que 1.
Para poder incluir el valor de estos activos el OR debe certificar que estos activos se encontraban en operación a diciembre de 2007, no fueron incluidos en el inventario utilizado para definir los cargos por uso en aplicación de la metodología de la Resolución CREG 097 de 2008 y se encuentran en operación a la fecha de corte.
El OR debe entregar para cada una de las UC a incorporar la siguiente información: municipio, subestación, georreferenciación, características técnicas, fecha de entrada en operación, datos de placa, así como el inventario asimilado a las UC definidas en el capítulo 15. Las UC para las cuales no se reporte la totalidad de la información requerida no serán incluidas en la base inicial de activos.
La Comisión podrá realizar la verificación de estos activos, en caso de encontrarse diferencias mayores al 5% entre lo reportado y lo verificado y que estas no sean justificadas por el OR, esta variable no se incluirá en la base inicial de activos.
b. Nivel de tensión 1
El valor de los activos en operacion no incluidos en el inventario y que pertenecen a la categoria l se calcula de la siguiente manera:
![]()
Donde:
| CRINRj,1,l: | Valor de los activos en operacion no incluido para el OR j en el nivel de tension 1 para la categoria de activos l. |
| NTNIj,1,l: | Cantidad de transformadores de distribucion del OR j en el nivel de tension 1 no incluidos en el inventario de transformadores. Con l =11. |
| CMTDj: | Costo medio de transformadores del OR j, segun lo establecido en el literal b del numeral 3.1.1.1.1.6. |
| NRNI,1,l: | Cantidad de redes de distribucion del OR j en el nivel de tension 1 no incluidos en el inventario de redes. Con l =12. |
| CMRDj: | Costo medio de redes de distribucion del OR j, segun lo establecido en el literal b del numeral 3.1.1.1.1.6. |
Para poder incluir el valor de estos activos el OR debe certificar que estos activos se encontraban en operacion a diciembre de 2007, no fueron incluidos en el inventario utilizado para definir los cargos por uso en aplicacion de la metodologia de la Resolucion CREG 097 de 2008 y se encuentran en operacion a la fecha de corte.
El OR debe entregar para cada uno de los transformadores o redes a incorporar la siguiente informacion: municipio, georreferenciacion, caracteristicas tecnicas, numero de usuarios asociados, fecha de entrada en operacion, datos de placa. Los transformadores o redes para los cuales no se reporte la totalidad de la informacion requerida no seran incluidos en la base inicial de activos.
La Comision podra realizar la verificacion de estos activos, en caso de encontrarse diferencias mayores al 5% entre lo reportado y lo verificado y que estas no sean justificadas por el OR, esta variable no se incluira en la base inicial de activos.
3.1.1.1.1.8 VALOR DE LOS ACTIVOS FUERA DE OPERACIÓN.
a. Niveles de tensión 2, 3 y 4
El valor de los activos que salieron de operacion el periodo enero de 2008 a la fecha de corte se calcula de la siguiente manera:

Donde:
| CRIFOj,n,l: | Valor de los activos fuera de operación del OR j en el nivel de tensión n y la categoría de activos l. |
| FOj,n,l: | Número de UC que salieron de operación durante el periodo enero de 2008 a la fecha de corte en el sistema del OR j en el nivel de tensión n y la categoría de activos l. |
| CRi: | Valor de la UC i definido en el capítulo 15. |
| PUj,i: | Fracción del costo de la UC i del OR j que es remunerada vía cargos por uso. |
| FUi: | Fracción del costo de la UC i que salió de operación por reposiciones parciales de la UC. Este valor se calcula como el peso relativo del valor reconocido del elemento o los elementos reemplazados respecto al valor total de la UC. La Comisión publicará en circular aparte el peso relativo de cada componente de las UC. |
| RPPi: | Fracción del costo de la UC i que es remunerada vía cargos por uso que no se debe incluir en el cálculo de la tarifa. |
| SNFOj,l: | Número de UC sin nivel de tensión que salieron de operación en el periodo enero de 2008 a la fecha de corte en el sistema del OR j para y la categoría de activos l. |
| Psnj: | Variable de asignación de las UC sin nivel de tensión. Para OR con cuatro niveles de tensión es igual a 1/3, para OR con tres niveles de tensión es igual a 1/2 y para OR con dos niveles de tensión es igual a 1. |
Para las UC de transformadores tridevanados y sus bahías asociadas se deben considerar los criterios de clasificación por nivel de tensión establecidas en la Resolución CREG 097 de 2008.
El OR debe reportarlas UC del listado de UC reconocidas en la aprobación de cargos de la Resolución CREG 097 de 2008 que salieron de operación.
Para determinar el valor de la inversión por categoría de activos se deben clasificar dichas unidades constructivas en las categorías definidas en el numeral 15.2.
b. Nivel de tensión 1
El valor de los activos que salieron de operación en el periodo enero de 2008 a la fecha de corte se calcula de la siguiente manera:
![]()
Donde:
| CRIFOj,1,l: | Valor de los activos fuera de operación del OR j en el nivel de tensión 1 y la categoría de activos l. |
| NTFOj,1,l: | Numero de transformadores de distribución fuera de operación en el periodo 2008 a la fecha de corte del OR j en el nivel de tensión 1 y la categoría l = 11. |
| CMTDj: | Costo medio de transformadores del OR j, según lo establecido en el literal b del numeral 3.1.1.1.1.6. |
| NRFOj,1,l: | Numero de redes de distribución fuera de operación en el periodo 2008 a la fecha de corte del OR j en el nivel de tensión 1 y la categoría l = 12. |
| CMRDj: | Costo medio de redes de distribución del OR j, según lo establecido en el literal b del numeral 3.1.1.1.1.6. |
3.1.1.1.2. RANGOS DE ANTIGüEDAD DE ACTIVOS.
Para la definición de la base inicial de activos todas las UC de los niveles de tensión 2, 3 y 4 y los transformadores y redes de nivel de tensión 1 se deben clasificar en los rangos de antigüedad definidos en la siguiente tabla:
Tabla 1. Descripción de rangos activos
| RANGO k | Entrada en operación | Antigüedad de referencia - ARk (años) |
| 1 | Hasta el 31 de diciembre de 2007 | 10 |
| 2 | A partir del 1 de enero de 2008 | 0 |
3.1.1.1.3 FACTOR DE CAPITAL REMANENTE DE LA BASE INICIAL.
En la Tabla 2 se presenta el valor de la variable factor de capital remanente de los activos, CRAn,l, para cada nivel de tensión n y categoría de activos l.
Tabla 2. Factor de capital remanente
| CATEGORÍA DE ACTIVOS l | DESCRIPCIÓN CATEGORÍA DE ACTIVOS | CRA1,l | CRA2,l | CRA3,l | CRA4,l |
| 1 | Transformadores de potencia | - | 0,94 | 0,94 | 0,94 |
| 2 | Compensaciones | - | 0,94 | 0,94 | 0,94 |
| 3 | Bahías y celdas | - | 0,94 | 0,94 | 0,94 |
| 4 | Equipos de control y comunicaciones | - | 0,00 | 0,00 | 0,00 |
| 5 | Equipos de subestación | - | 0,94 | 0,94 | 0,98 |
| 6 | Otros activos subestación | - | 0,94 | 0,94 | 0,94 |
| 7 | Líneas aéreas | - | 0,94 | 0,99 | 0,98 |
| 8 | Líneas subterráneas | - | 0,94 | 0,99 | 0,98 |
| 9 | Equipos de línea | - | 0,94 | 0,94 | - |
| 10 | Centro de control | - | 0,00 | 0,00 | 0,00 |
| 11 | Transformadores de distribución | 0,79 | - | - | - |
| 12 | Redes de distribución | 0,94 | - | - | - |
3.1.1.1.4 VALOR DE LOS ACTIVOS PUESTOS EN OPERACIÓN EN EL PERIODO 2008 A LA FECHA DE CORTE. El valor de los activos puestos en operación se calcula de la siguiente manera:
a. Activos de nivel de tensión 2, 3 y 4
Para los niveles de tensión 2, 3 y 4 la variable CRINj,n,l se calcula de la siguiente manera:

Donde:
| CRINj,n,l: | Valor de la inversión del OR j en el nivel de tensión n para la categoría de activos l, asociado con los activos que fueron puestos en operación en el periodo 2008 a la fecha de corte. |
| NOj,n,l: | Número de UC puestas en operación en el periodo 2008 a la fecha de corte por el OR j en el nivel de tensión n pertenecientes a la categoría l, no se incluyen las UC que fueron trasladadas y siguen en operación. |
| CRi: | Valor de la UC i definido en el capítulo 15. |
| PUj,i: | Fracción del costo de la UC i del OR j que es remunerada vía cargos por uso. |
| FUi: | Fracción del costo de la UC i que es reconocida por reposiciones parciales de la UC. Este valor se calcula como el peso relativo del valor reconocido del elemento o los elementos reemplazados respecto al valor total de la UC. La Comisión publicará en circular aparte el peso relativo de cada componente de las UC. |
| RPPi: | Fracción del costo de la UC i que es remunerada vía cargos por uso que no se debe incluir en el cálculo de la tarifa. |
| SNNOj,l: | Número de UC sin nivel de tensión puestas en operación en el periodo enero de 2008 a la fecha de corte en el sistema del OR j para la categoría de activos l. |
| Psnj: | Variable de asignación de las UC sin nivel de tensión. Para OR con cuatro niveles de tensión es igual a 1/3, para OR con tres niveles de tensión es igual a 1/2 y para OR con dos niveles de tensión es igual a 1. |
Para determinar el costo de reposición categorías de activos se deben clasificar dichas unidades constructivas en las categorías de activos definidas en el numeral 15.2.
Para poder incluir el valor de estos activos el OR debe entregar para cada una de las UC a incorporar la siguiente información: municipio, subestación, georreferenciación, características técnicas, fecha de entrada en operación, datos de placa, así como el inventario asimilado a las UC definidas en el capítulo 15. Las UC para las cuales no se reporte la totalidad de la información requerida no serán incluidas en la base inicial de activos.
El OR debe clasificar cada UC en los tipos de inversión establecidos en el capítulo 6 y para los tipos I y III se debe reportar las UC que fueron reemplazadas.
El reporte de la información se realizara de acuerdo con lo establecido en el Artículo 5 de la presente resolución.
La Comisión podrá realizar la verificación de estos activos, en caso de encontrarse diferencias mayores al 5% entre lo reportado y lo verificado y que estas no sean justificadas por el OR, esta variable no se incluirá en la base inicial de activos.
b. Activos de nivel de tensión 1
Para el nivel de tensión 1 la variable CRINj,1,l se calcula de la siguiente manera:
![]()
Donde:
| NTNj: | Número de transformadores de distribución puestos en operación en el periodo 2008 a la fecha de corte y reportados al SUI por el OR j en el nivel de tensión 1, con l =11. Se deben excluir los siguientes transformadores: i) transformadores construidos con recursos públicos, ii) transformadores de conexión que atiendan a un usuario, iii) transformadores exclusivos de alumbrado público y iv) transformadores reubicados. |
| CMTDj: | Costo medio de transformadores del OR j, calculado según lo establecido en el literal b del numeral 3.1.1.1.1.6. |
| NRNj: | Número de redes de distribución puestos en operación en el periodo 2008 a la fecha de corte y reportados al SUI por el OR j en el nivel de tensión 1, con l =12. Se deben excluir las siguientes redes de distribución: i) redes construidas con recursos públicos, ii) redes de conexión que atiendan a un usuario, iii) redes exclusivas de alumbrado público, iv) redes existentes con cambio de topología o v) redes incluidas en la base de activos a diciembre de 2007. |
| CMRDj: | Costo medio de redes de distribución del OR j, calculado según lo establecido en el literal b del numeral 3.1.1.1.1.6. |
Para determinar el costo de reposición por categoría de activos se deben utilizar las categorías establecidas en el numeral 15.2.
Para poder incluir el valor de estos activos el OR debe entregar para cada uno de los transformadores o redes a incorporar la siguiente información: municipio, georreferenciación, características técnicas, número de usuarios asociados, fecha de entrada en operación y datos de placa. Los transformadores o redes para los cuales no se reporte la totalidad de la información requerida no serán incluidos en la base inicial de activos.
El OR debe clasificar cada UC en los tipos de inversión establecidos en el capítulo 6 y para los tipos I y III se debe reportar las UC que fueron remplazadas.
El reporte de la información se realizará de acuerdo con lo establecido en el Artículo 5 de la presente resolución.
La Comisión podrá realizar la verificación de estos activos, en caso de encontrarse diferencias mayores al 5% entre lo reportado y lo verificado y que estas no sean justificadas por el OR, esta variable no se incluirá en la base inicial de activos.
3.1.1.2 BASE REGULATORIA DE ACTIVOS ELÉCTRICOS NUEVOS.
La base regulatoria de activos nuevos se calcula de la siguiente manera:

Donde:
| BRAENj,n,t: | Base regulatoria de activos eléctricos nuevos del OR j en el nivel de tensión n para el año t. |
| IAPAj,n,t: | Índice de ajuste por ejecución del plan de inversiones del OR j en el nivel de tensión n para el año t. Según lo establecido en el numeral 3.1.1.2.4 |
| INVAj,n,l,t: | Inversión aprobada en el plan de inversiones del OR j en el nivel de tensión n en la categoría de activos l para el año t. corresponde al valor de los activos incluidos en el plan de inversiones aprobado. Para la valoración se utilizan los valores de las UC definidas en el capítulo 14. |
| INVRj,n,l,t: | Inversiones en activos puestos en operación en el sistema del OR j en el nivel de tensión n en la categoría de activos l durante el año t, corresponde al valor de los activos puestos en operación y valorados con las UC definidas en el capítulo 14. Para los niveles de tensión 1, 2 y 3 el valor máximo de esta variable para el año t es 1,1 veces la variable INVAj,n,l,t. En caso de superarse este valor, la diferencia se puede incorporar en el INVRj,n,l del siguiente año. |
| l: | Categoría de activos, l toma los valores de 11 o 12 para el nivel de tensión 1. |
| Ln: | Cantidad de categorías de activos en el nivel de tensión n. L1 toma el valor de 12. |
3.1.1.2.1. INVERSIONES PARA EMPRESAS CON PLAN DE INVERSIONES APROBADO.
Las inversiones del plan de inversiones se calculan de la siguiente forma:

Donde:
| INVAj,n,l,t: | Inversión aprobada en el plan de inversiones del OR j en el nivel de tensión n en la categoría de activos l para el año t. |
| IAECj,n,l,t: | Inversión aprobada en proyectos de expansión de cobertura del OR j en el nivel de tensión n en la categoría de activos l para el año t de acuerdo con lo establecido en el capítulo 13. |
| UCPj,n,l,t: | Número de UC nuevas incluidas en el plan de inversiones aprobado al OR j en el nivel de tensión n en la categoría de activos l para el año t. |
| CRi: | Valor de la UC i definido en el capítulo 14. |
| PUi: | Fracción del costo de la UC i que es reconocida mediante cargos por uso. |
| FUi: | Fracción del costo de la UC i que es reconocida por reposiciones parciales de otras UC. Este valor se calcula como el peso relativo del valor reconocido del elemento o los elementos reemplazados respecto al valor total de la UC. La Comisión publicará en circular aparte el peso relativo de cada componente de las UC. |
| RPPi: | Fracción del costo de la UC i que es remunerada vía cargos por uso que no se debe incluir en el cálculo de la tarifa. |
| SNUCPj,l,t: | UC incluidas en el plan de inversiones solicitado por el OR j sin nivel de tensión, en la categoría de activos l para el año t. |
| Psnj: | Variable de asignación de las UC sin nivel de tensión. Para OR con cuatro niveles de tensión es igual a 1/3, para OR con tres niveles de tensión es igual a 1/2 y para OR con dos niveles de tensión es igual a 1. |
3.1.1.2.2 INVERSIONES PARA EMPRESAS SIN PLAN DE INVERSIONES APROBADO.
Las inversiones para las empresas a las que no se les aprueba el plan de inversiones o que no lo presenten en la fecha indicada se calculan de la siguiente manera:
![]()
Donde:
| INVAj,n,l,t: | Inversión aprobada en el plan de inversiones del OR j en el nivel de tensión n en la categoría de activos l para el año t. |
| BRAEj,n,l,0: | Base regulatoria inicial de activos eléctricos del OR j en el nivel de tensión n en la categoría de activos l. |
| PIHj,n: | Porcentaje de inversiones de referencia del OR j en el nivel de tensión n. Corresponde al mínimo entre 1 % y el porcentaje promedio de inversiones realizadas, PPIj,n. La variable PPIj,n es calculada de la siguiente manera: |

Donde:
| PPI j,n: | Porcentaje promedio de inversiones realizadas por la empresa durante el periodo 2008-2017. |
| CRINj,n,l: | Valor de la inversión del OR j en el nivel de tensión n para la categoría de activos l, asociado con los activos que fueron puestos en operación en el periodo 2008 a la fecha de corte, calculado de acuerdo con lo establecido en el numeral 3.1.1.1.4. |
| CRIIj,n,l: | Valor implícito de los activos del OR j en el nivel de tensión n para la categoría de activos l, calculado de acuerdo con lo establecido en el numeral 3.1.1.1.1. |
| l: | Categoría de activos, l toma los valores de 11 o 12 para el nivel de tensión 1. |
| Ln: | Cantidad de categorías de activos en el nivel de tensión n. L1 toma el valor de 12. |
3.1.1.2.3 INVERSIONES EN ACTIVOS PUESTOS EN OPERACIÓN.
Las inversiones en activos puestos en operación se calculan de la siguiente manera:

| INVRj,n,l,t: | Inversiones en activos puestos en operación en el sistema del OR j en el nivel de tensión n en la categoría de activos l durante el año t, corresponde al valor de los activos puestos en operación y valorados con las UC definida en el capítulo 14. |
| IRECj,n,l,t: | Inversión en activos puestos en operación de proyectos de expansión de cobertura del OR j en el nivel de tensión n en la categoría de activos l para el año t, según lo establecido en el capítulo 13. |
| UCOj,n,l,t: | Número de UC nuevas puestas en operación en el sistema del OR j en el nivel de tensión n en la categoría de activos l durante el año t. |
| CRi: | Valor de la UC i definido en el capítulo 14. |
| PUi: | Fracción del costo de la UC i que es reconocida mediante cargos por uso. |
| FUi: | Fracción del costo de la UC i que es reconocida por reposiciones parciales de la UC. Este valor se calcula como el peso relativo del valor reconocido del elemento o los elementos reemplazados respecto al valor total de la UC. La Comisión publicará en circular aparte el peso relativo de cada componente de las UC |
| RPPi: | Fracción del costo de la UC i que es remunerada vía cargos por uso que no se debe incluir en el cálculo de la tarifa. |
| SNUCOj,l,t: | UC incluidas en el plan de inversiones solicitado por el OR j sin nivel de tensión, en la categoría de activos l para el año t. |
| Psnj: | Variable de asignación de las UC sin nivel de tensión. Para OR con cuatro niveles de tensión es igual a 1/3, para OR con tres niveles de tensión es igual a 1/2 y para OR con dos niveles de tensión es igual a 1. |
Las variaciones en la ejecución del plan de inversión aprobado ocasionadas por la planeación operativa (de corto plazo) deberán seguir los criterios y lineamientos establecidos para la formulación del plan de inversión establecidos en el capítulo 6.
3.1.1.2.4 ÍNDICE DE AJUSTE POR EJECUCIÓN DEL PLAN.
Para los dos primeros años del periodo tarifario, t=1 y t=2, el valor de la variable IAPAj,n,t es igual a 1, a partir del tercer año del periodo tarifario el índice de ajuste por ejecución del plan de inversiones se calcula de la siguiente manera:
IAPAj,n,t = 1, si INVEj,n,t es mayor o igual que 0,8.
IAPAj,n,t = INVEj,n,t es menor que 0,8.
La ejecución promedio del plan de inversiones, INVEj,n,t, se calcula de la siguiente manera:

Donde:
| INVEj,n,t: | Ejecución promedio del plan de inversiones del OR j en el nivel de tensión n para el año t. |
| INVRj,n,l,t: | Inversiones en activos puestos en operación en el sistema del OR j en el nivel de tensión n en la categoría de activos l durante el año t, calculado según lo establecido en el numeral 3.1.1.2.3. |
| INVAj,n,l,t: | Inversión aprobada en el plan de inversiones del OR j en el nivel de tensión n en la categoría de activos l para el año t, calculado según lo establecido en los numerales 3.1.1.2.1 y 3.1.1.2.2. |
| l: | Categoría de activos, l toma los valores de 11 o 12 para el nivel de tensión 1 |
| Ln: | Cantidad de categorías de activos en el nivel de tensión n. L1 toma el valor de 12. |
3.1.1.3 AJUSTE DE LA BRAEN AL FINAL DEL PERIODO TARIFARIO.
Al final del periodo tarifario debe calcularse la diferencia entre la BRAEN total reconocida y las inversiones puestas en operación durante el periodo tarifario, este valor se debe utilizar para ajustar la remuneración de las inversiones al inicio del siguiente periodo tarifario.
3.1.1.4 ACTIVOS FUERA DE OPERACIÓN. <Numeral modificado por el artículo 3 de la Resolución 85 de 2018. El nuevo texto es el siguiente:>

Donde:
| BRAFOj,n,t: | Base regulatoria de activos eléctricos fuera de operación en el sistema del OR j en el nivel de tensión n para el año t. Para el primer año del periodo tarifario esta variable es igual a cero. |
| NFOj,n,t: | Número de UC del nivel de tensión n, incluidas en la base regulatoria de activos del OR j que salen de operación en el año t. |
| BRARi,j,n,t: | Capital remanente de la UC i del OR j en el nivel de tensión n que sale de operación en el año t, calculada de la siguiente manera: |
![]()
Donde:
| CRi: | Valor de la UC i que sale de operación en el año t, valor definido en el capítulo 14. |
| PUi: | Fracción del costo de la UC i que sale de operación en el año t y que es reconocida mediante cargos por uso. |
| FUi: | Fracción del costo de la UC i que es reconocida por reposiciones parciales de la UC. Este valor se calcula como el peso relativo del valor reconocido del elemento o los elementos reemplazados respecto al valor total de la UC. La Comisión publicará en circular aparte el peso relativo de cada componente de las UC. |
| RPPi: | Fracción de la UC i que sale de operación en el año t que no se incluyó en el cálculo de la tarifa. |
| CRAi,n,I: | Factor de capital remanente de la UC i del nivel de tensión n y la categoría de activos l que sale de operación en el año t. Para los activos clasificados en el rango k = 1 es el valor correspondiente de la Tabla 2 del numeral 3.1.1.1.3 y para los activos del rango k = 2 es igual a 1. |
| VUi,I: | Vida útil reconocida a la UC i perteneciente a la categoría de activos l, según lo establecido en el numeral 3.2.4. |
| ARi,k: | Antigüedad de referencia de la UC i perteneciente al rango de activos k que sale de operación en el año t, según lo establecido en el numeral 3.1.1.1.2. |
3.1.2 BASE REGULATORIA DE ACTIVOS NO ELÉCTRICOS.
La base regulatoria de activos no eléctricos reconocida al OR se calcula de acuerdo con la siguiente expresión:
![]()
Donde:
| BRANEj,n,t: | Base regulatoria de activos no eléctricos del OR j en el nivel de tensión n, en el año t. |
| NE: | Fracción de la base regulatoria de activos eléctricos que se reconoce como activos no eléctricos, es igual a 0,02. |
| BRAEj,n,t: | Base regulatoria de activos eléctricos del OR j en el nivel de tensión n, en el año t. |
3.2 RECUPERACIÓN DE CAPITAL RECONOCIDA.
La recuperación de capital reconocida para los activos remunerados en la base regulatoria de activos se calcula de la siguiente manera:
![]()
Donde:
| RCj,n,t: | Recuperación de capital reconocida para los activos remunerados en la base regulatoria del OR j en el nivel de tensión n, en el año t. |
| RCBIAj,n,t: | Recuperación de capital reconocida para los activos incluidos en la base regulatoria inicial de activos del OR j en el nivel de tensión n, en el año t. |
| RCNAj,n,t: | Recuperación de capital reconocida para los activos del OR j que entraron en operación a partir de la fecha de corte, en el nivel de tensión n, en el año t. |
3.2.1 RECUPERACIÓN DE CAPITAL DE ACTIVOS DE LA BRA INICIAL. <Numeral modificado por el artículo 4 de la Resolución 85 de 2018. El nuevo texto es el siguiente:>
La variable RCBIAj,n,t se calcula de la siguiente manera:

Donde:
| RCBIAj,n,t: | Recuperación de capital reconocida para los activos incluidos en la base regulatoria inicial de activos del OR j en el nivel de tensión n, en el año t. |
| CRIIj,n,I: | Valor implícito de los activos del OR j en el nivel de tensión n y la categoría de activos l, calculado de acuerdo con lo establecido en el numeral 3.1.1.1.1. |
| CRAn,I: | Factor de capital remanente de los activos en el nivel de tensión n y la categoría de activos l, según lo establecido en el numeral 3.1.1.1.3. |
| NE: | Fracción de la base regulatoria de activos eléctricos que se reconoce como activos no eléctricos, es igual a 0,02. |
| VUn,I: | Vida útil reconocida para las unidades constructivas del nivel de tensión n pertenecientes a la categoría de activos l, según lo establecido en el numeral 3.2.4. |
| ARk: | Antigüedad de referencia para el rango de activos k = 1. Valor igual a 10 según la Tabla 1 del numeral 3.1.1.1.2. |
| CRINj,n,I: | Valor de la inversión del OR j en el nivel de tensión n para la categoría de activos l, asociado con los activos que fueron puestos en operación en el periodo 2008 a la fecha de corte, calculado de acuerdo con lo establecido en el numeral 3.1.1.1.4. |
| I: | Categoría de activos, l toma los valores de 11 o 12 para el nivel de tensión 1 y de 1 a 10 para los demás niveles de tensión. |
| Ln: | Cantidad de categorías de activos en el nivel de tensión n. |
| IPP0: | Índice de precios del productor de la fecha de corte. |
| IPPbase: | Índice de precios del productor correspondiente a diciembre de 2007. |
| RCBIAFOj,n,t: | Recuperación de capital de la base regulatoria inicial de los activos eléctricos que quedaron fuera de operación en el sistema del OR j en el nivel de tensión n para el año t. Para el primer año del periodo tarifario esta variable es igual a cero. Esta variable es calculada de la siguiente manera: |

Donde:
| T: | Número de años trascurridos desde la aplicación de la metodología definida en esta resolución. |
| NBIFOj,n,t: | Número de UC del nivel de tensión n, incluidas en la base regulatoria inicial de activos del OR j que salen de operación, total o parcialmente, en el año t. |
| CRi: | Valor de la UC i que sale de operación en el año t, valor definido en el capítulo 14. |
| PUt: | Fracción del costo de la UC i que sale de operación en el año t y que es reconocida mediante cargos por uso. |
| FUt: | Fracción del costo de la UC i que es reconocida por reposiciones parciales de la UC. Este valor se calcula como el peso relativo del valor reconocido del elemento o los elementos reemplazados respecto al valor total de la UC. La Comisión publicará en circular aparte el peso relativo de cada componente de las UC. |
| RPPt: | Fracción de la UC i que sale de operación en el año t que no se incluyó en el cálculo de la tarifa. |
| CRAi,n,I: | Factor de capital remanente de la UC i del nivel de tensión n y la categoría de activos l que sale de operación en el año t. Para los activos clasificados en el rango k = 1 es el valor correspondiente de la Tabla 2 del numeral 3.1.1.1.3 y para los activos del rango k = 2 es igual a 1. |
| VUi,n,I: | Vida útil reconocida a la unidad constructiva i del nivel de tensión n y la categoría de activos l, según lo establecido en el numeral 3.2.4. |
| ARk: | Antigüedad de referencia de la UC i perteneciente al rango de activos k que sale de operación en el año t. Para las UC del rango k = 1 es igual a 10 y para las UC del rango k = 2 es igual a 0, según lo establecido en la Tabla 1 del numeral 3.1.1.1.2. |
| NE: | Fracción de la base regulatoria de activos eléctricos que se reconoce como activos no eléctricos, es igual a 0,02. |
La recuperación de capital de los activos pertenecientes a una categoría l aplica únicamente durante el periodo correspondiente a la diferencia entre la vida útil reconocida y la antigüedad de referencia.
3.2.2 RECUPERACIÓN DE CAPITAL DE ACTIVOS NUEVOS. <Numeral modificado por el artículo 5 de la Resolución 85 de 2018. El nuevo texto es el siguiente:>
La variable RCNAj,n,t se calcula de la siguiente manera:

Donde:
| RCNAj,n,t: | Recuperación de capital reconocida para los activos del OR j, que entraron en operación a partir del primer año de aplicación del ingreso aprobado con base en esta resolución, en el nivel de tensión n, en el año t. |
| T: | Años de aplicación de la metodología definida en esta resolución. |
| I: | Categoría de activos, l toma los valores de 11 o 12 para el nivel de tensión 1 y de 1 a 10 para los demás niveles de tensión. |
| Ln: | Cantidad de categorías de activos en el nivel de tensión n. |
| RCNAj,n,I,t: | Recuperación de capital reconocida para los activos del OR j, que entraron en operación a partir de la fecha de corte, en el nivel de tensión n, en la categoría l, en el año t. Calculada de la siguiente manera: |
![]()
Donde:
| IAPAj,n,t: | Índice de ajuste por ejecución del plan de inversiones del OR j en el nivel de tensión n para el año t. calculado según se establece en el numeral 3.1.1.2.4. |
| INVAj,n,I,t: | Inversión aprobada en el plan de inversiones del OR j en el nivel de tensión n en la categoría de activos l para el año t, calculado según se establece en los numerales 3.1.1.2.1 y 3.1.1.2.2. |
| INVRj,n,I,t: | Inversiones en activos puestos en operación en el sistema del OR j en el nivel de tensión n en la categoría de activos l durante el año t, calculado según se establece en el numeral 3.1.1.2.3. |
| NE: | Fracción de la base regulatoria de activos eléctricos, que se reconoce como activos no eléctricos, es igual a 0,02. |
| VUn,I: | Vida útil reconocida para las unidades constructivas del nivel de tensión n pertenecientes a la categoría de activos l, según lo establecido en el numeral 3.2.4. |
Si en aplicación de lo definido en el artículo 6 los activos se incorporan según la opción a., el valor de dichos activos se tendrá en cuenta para determinar el valor de la variable RCNAj,n,l,t del primer año.
| RCNAFOj,n,t: | Recuperación de capital reconocida para los activos del OR j, que entraron en operación a partir de la fecha de corte y que salen de operación, en el nivel de tensión n, en el año t. Para el primer año del periodo tarifario esta variable es igual a cero. Esta variable es calculada de la siguiente manera: |
![]()
Donde:
| T: | Años de aplicación de la metodología definida en esta resolución |
| NNAFOj,n,t: | Número de UC del nivel de tensión n, puestas en operación después de la fecha de corte y que no están incluidas en la base regulatoria inicial de activos del OR j que salen de operación, total o parcialmente, en el año t. |
| CRi: | Valor de la UC i que sale de operación en el año t, valor definido en el capítulo 14. |
| PUi: | Fracción del costo de la UC i que sale de operación en el año t y que es reconocida mediante cargos por uso. |
| FUi: | Fracción del costo de la UC i que es reconocida por reposiciones parciales de la UC. Este valor se calcula como el peso relativo del valor reconocido del elemento o los elementos reemplazados respecto al valor total de la UC. La Comisión publicará en circular aparte el peso relativo de cada componente de las UC. |
| RPPi: | Fracción de la UC i que sale de operación en el año t que no se incluyó en el cálculo de la tarifa. |
| VUi,n,I: | Vida útil reconocida a la unidad constructiva i del nivel de tensión n y la categoría de activos l, según lo establecido en el numeral 3.2.4. |
| NE: | Fracción de la base regulatoria de activos eléctricos que se reconoce como activos no eléctricos, es igual a 0,02. |
La recuperación de capital de los activos pertenecientes a una categoría l aplica únicamente durante el periodo correspondiente a la vida útil reconocida.
3.2.3 AJUSTE DE LA RECUPERACIÓN DE CAPITAL AL FINAL DEL PERIODO TARIFARIO.
Al final del periodo tarifario debe calcularse la diferencia entre la recuperacion de capital total reconocida y la recuperacion de capital asociada con las inversiones puestas en operacion durante el periodo tarifario. Este valor se debe utilizar para ajustar la remuneracion de las inversiones al inicio del siguiente periodo tarifario.
3.2.4 VIDA ÚTIL RECONOCIDA POR CATEGORÍA DE ACTIVOS.
En las siguientes tablas se define la vida util reconocida para las diferentes categorias de activos:
<Tabla modificada por el artículo 6 de la Resolución 85 de 2018. El nuevo texto es el siguiente:>
Tabla 3. Vida útil para las categorías de activos por nivel de tensión
| EGORÍA DE ACTIVOS l | DESCRIPCIÓN CATEGORÍA DE ACTIVOS | VU1,l | VU2,l | VU3,l | VU4,l |
| 1 | Transformadores de potencia | - | - | 35 | 35 |
| 2 | Compensaciones | - | 35 | 35 | 35 |
| 3 | Bahías y celdas | - | 35 | 35 | 35 |
| 4 | Equipos de control y comunicaciones | - | 10 | 10 | 10 |
| 5 | Equipos de subestación | - | 35 | 35 | 35 |
| 6 | Otros activos subestación | - | 45 | 45 | 45 |
| 7 | Líneas aéreas | - | 45 | 45 | 45 |
| 8 | Líneas subterráneas | - | 45 | 45 | 45 |
| 9 | Equipos de línea | - | 35 | 35 | - |
| 10 | Centro de control | - | 10 | 10 | 10 |
| 11 | Transformadores de distribución | 25 | - | - | - |
| 12 | Redes de distribución | 35 | - | - | - |
3.3 BASE REGULATORIA DE TERRENOS.
La base regulatoria de terreros reconocida se calcula de la siguiente manera:

Donde:
| BRTj,n,t: | Base regulatoria de terrenos del OR j en el nivel de tensión n para el año t |
| R: | Porcentaje anual reconocido sobre del valor de los terrenos, es igual a 6,9 %. |
| NSj,n,t: | Número de UC de subestación del OR j en el nivel de tensión n para el año t sobre las cuales se reconocen áreas de terrenos. |
| ATi: | Área reconocida a la UC i, en m2, según lo establecido en el capítulo 14. |
| PUj,i: | Porcentaje del costo total de la UC i que es remunerado vía cargos por uso al OR j. |
| RPPj,i: | Fracción del costo de la UC i que es remunerada vía cargos por uso que no se debe incluir en el cálculo de la tarifa. |
| VCTi: | Valor catastral del terreno de la subestación en la cual se encuentra la UC i, valor en $/m2 de la fecha de corte. |
Los valores catastrales y el área total del terreno deben ser presentados por el OR en la solicitud de ingresos con su respectivo soporte.
CAPITULO 4. INGRESO ANUAL POR GASTOS DE AOM.
En este capítulo se establece la metodología para definir el valor de referencia para los gastos de administración, operación y mantenimiento, AOM, a reconocer durante cada uno de los años del periodo tarifario.
El valor del ingreso anual por gastos AOM para cada OR será:
![]()
| IAAOMj,n,t: | Ingreso anual por concepto de AOM del OR j, para el año t en el nivel de tensión n, expresado en pesos de la fecha de corte. |
| AOMbasej,n: | Valor del AOM base a reconocer al OR j, en el nivel de tensión n, calculado de acuerdo con lo previsto en el numeral 4.1.6, expresado en pesos de la fecha de corte. |
| AOMNIj,n,t: | Valor del AOM para nuevas inversiones, diferentes a reposición, del OR j, para el año t en el nivel de tensión n, calculado de acuerdo con lo previsto en el numeral 4.2, expresado en pesos de la fecha de corte. |
Dentro de los costos y gastos AOM a reconocer en la actividad de distribución de energía eléctrica no deben incluirse valores que correspondan con los siguientes conceptos, sin perjuicio que la CREG defina otros en resolución aparte:
a. asociados con otras actividades de la cadena de prestación del servicio,
b. asociados con los servicios prestados a otros OR,
c. asociados a activos de conexión de usuarios de los STR o SDL,
d. asociados a activos ejecutados mediante convocatorias públicas,
e. asociados con servicios prestados a terceros, o
f. asociados con inversiones requeridas para reposición de activos.
Para el cálculo del valor anual de AOM, primero se obtendrá uno inicial a partir de los valores de AOM remunerado y de AOM demostrado de cada operador de red, durante los años 2012 a 2016, el cual se comparará con el resultado de la aplicación de modelos de eficiencia para determinar el valor de AOM a reconocer. Dichos valores se calcularán como se muestra a continuación.
4.1 AOM BASE A RECONOCER. <Numeral modificado por el artículo 12 de la Resolución 36 de 2019. El nuevo texto es el siguiente:>
El valor de AOM base a reconocer por los activos existentes a la fecha de corte se determina con las siguientes fórmulas:
![]()
Donde:
| AOMbasej: | Valor del AOM base para el OR j, expresado en pesos de la fecha de corte. |
| AOMINIj: | Valor del AOM inicial del OR j, calculado de acuerdo con lo previsto en el numeral 4.1.1. |
| AOMOBj: | Valor del AOM objetivo a reconocer para el OR j, calculado de acuerdo con lo previsto en el numeral 4.1.2. |
| AOMPj: | Valor del AOM destinado a los programas de reducción o mantenimiento de pérdidas del OR j. Equivale al promedio de los valores reportados para los años 2012 a 2016, en cumplimiento de las circulares expedidas por la CREG con este propósito, actualizando cada valor anual con la variación del IPP hasta diciembre de 2016. |
| AMBj: | Valor de AOM a reconocer al OR j por condiciones ambientales, calculado de acuerdo con lo previsto en el numeral 4.1.5. |
| IPPFC: | Índice de precios del productor correspondiente a la fecha de corte. |
| IPP2016: | Índice de precios del productor correspondiente a diciembre de 2016. |
4.1.1 AOM INICIAL. <Numeral modificado por el artículo 13 de la Resolución 36 de 2019. El nuevo texto es el siguiente:>
El valor de AOM inicial se calcula así:
![]()
Donde:
| AOMINIj: | Valor del AOM inicial del OR j, expresado en pesos de diciembre de 2016. |
| CRIj,16: | Suma de los valores de reposición de la inversión de cada nivel de tensión del OR j utilizada para calcular el PAOMDj,2016, de acuerdo con lo señalado en el numeral 10.3 del anexo general de la Resolución CREG 097 de 2008. |
| AOMDj,12-16: | Valor del AOM demostrado por el OR j, calculado de acuerdo con lo previsto en el numeral 4.1.3. |
| AOMRj,12-16: | Valor del AOM remunerado al OR j, calculado de acuerdo con lo previsto en el numeral 4.1.4 |
![]()
| fej: | Factor de eficiencia del OR j que corresponde al límite superior del intervalo de confianza del 90% estimado a partir del modelo de frontera estocástica que se muestra a continuación. |
| AOMDj,12-16: | Valor del AOM demostrado por el OR j, calculado de acuerdo con lo previsto en el numeral 4.1.3. |
Como parte de la solicitud de aprobación de ingresos, de que trata el artículo 5, el OR deberá suministrar la información requerida para realizar la estimación de la eficiencia técnica a partir del modelo establecido en este numeral.
Cuando no sea posible estimar el factor de eficiencia para un OR, el valor de la variable AOMOBj se toma igual a cero.
4.1.2.1 MODELO DE FRONTERA ESTOCÁSTICA. <Numeral modificado por el artículo 7 de la Resolución 85 de 2018. El nuevo texto es el siguiente:>
La ecuación del modelo a utilizar es la siguiente:

Donde:
| Y jt: | Valor del AOM demostrado en millones de pesos de diciembre de 2016, reportado por el OR j para el año t. |
| qit: | Ventas en kWh en los niveles de tensión 1, 2 y 3, en el mercado de comercialización atendido por el OR j, en el año t. |
| w1jt: | Valor en millones de pesos de diciembre de 2016, por usuario de los gastos de personal y misceláneos, reportado por el OR j al sistema unificado de costos y gastos, SUCG, administrado por la SSPD, correspondiente al año t. |
| w2jt: | Valor en millones de pesos de diciembre de 2016, por usuario de los gastos en edificios, materiales y equipos de oficina, reportado por el OR j al SUCG, correspondiente al año t |
| z1jt: | Raíz cuadrada del promedio ponderado, para el año t, de los factores de fisiografía del terreno de los municipios en los que hay transformadores de distribución del OR j. El factor de cada municipio se pondera con la participación que, en cada año t, tiene el número de transformadores existentes en cada municipio dentro del número total de transformadores del OR j |
| z2jt: | Logaritmo natural del cociente de la división de la longitud total de redes del OR j, expresada en kilómetros, entre el número de usuarios, para el año t. |
| z3jt: | Resultado de dividir la longitud total de redes urbanas del OR j, entre la suma de la longitud de redes rurales y urbanas, para el año t. |
| z4jt: | Resultado de dividir la longitud total de redes rurales del OR j, entre la suma de la longitud de redes rurales y urbanas, para el año t. |
| z5jt: | Raíz cuadrada del número de interrupciones del servicio, que en promedio percibieron los usuarios del sistema atendido por el OR j, durante el año t. |
Los datos de las variables son los correspondientes al periodo 2012 a 2016. Cuando se trate de valores en pesos, deben expresarse en pesos de 2016, actualizándolos con el IPP. Para las longitudes de redes no se incluyen las de nivel de tensión 1.
4.1.2.2 PARÁMETROS DEL MODELO.
| pámetro | Valor Estimado | Parámetro | Valor Estimado | |
| -8,1402613 | 0,2780927 | |||
| 0,8544120 | 3,9851557 | |||
| 1,4947135 | 3,1759371 | |||
| yq1 | 0,3355216 | 0,0200389 | ||
| -0,0699192 | 0,0211073 | |||
| 0,6308562 | 0,0137246 | |||
4.1.2.3 ESTIMACIÓN DE LA EFICIENCIA.
La eficiencia tecnica se calcula con el siguiente modelo:
![]()
![]()
![]()


Donde:
| Tj: | Numero de observaciones para el OR j |
| Valor de la funcion de distribucion normal (0,1) evaluada en x. |
Los valores de las demas variables corresponden a los mostrados en el numeral anterior.
4.1.2.4 LÍMITE DEL NIVEL DE CONFIANZA.
El limite superior para un intervalo de confianza del 90%, que corresponde al factor de eficiencia fej, se calcula con las siguientes formulas:
![]()
![]()
Donde:
| Igual a 10% (1 – 90%) | |
| Valor de la función de distribución normal (0,1) evaluada en x. | |
| Valor del inverso de la función de distribución normal (0,1) evaluada en x. |
Para calcular el valor de AOM demostrado, AOMDj,12-16, de cada OR se obtiene:
a. El valor de AOM demostrado para cada año desde 2012 a 2016, calculado conforme a lo establecido en la Resolución CREG 097 de 2008, actualizado con la variación del IPP desde diciembre del respectivo año hasta diciembre de 2016.
b. A partir de los valores actualizados se obtiene un promedio aritmético de ellos que corresponderá al AOM demostrado, AOMDj,12-16.
El valor de AOM remunerado, AOMRj,12-16, de cada OR se calcula con la siguiente información:
a. El porcentaje de AOM a reconocer para cada uno de los años desde 2013 a 2017, calculado conforme a lo establecido en la Resolución CREG 097 de 2008. El OR deberá anexar en su solicitud la evidencia de que este porcentaje fue comunicado a la Superintendencia de Servicios Públicos Domiciliarios y a los comercializadores que atienden usuarios en su mercado de comercialización, con la oportunidad establecida en la regulación. Con la presentación de la solicitud de actualización de cargos se entiende que el OR declara que los porcentajes de AOM a reconocer, entregados junto con la solicitud, fueron los porcentajes efectivamente incluidos en el cálculo de las tarifas.
Si hubo más de un porcentaje de AOM a reconocer entre una y otra actualización anual de AOM, se tomará el promedio de ellos. Sin embargo, si el cambio, diferente al de la actualización establecida en la regulación vigente, se originó por una corrección detectada por el OR o por la Superintendencia de Servicios Públicos Domiciliarios, SSPD, se tomará el mínimo porcentaje utilizado en ese año.
b. La suma de los valores CRIj,n, aprobados a cada OR, utilizados para calcular el porcentaje de AOM demostrado para cada uno de los años desde 2012 a 2016, actualizada con la variación del IPP hasta diciembre del año para el que se calcula el AOM demostrado.
c. Para el año 2012 se calcula el AOM remunerado multiplicando el porcentaje de AOM a reconocer, calculado para el año 2013, por la suma de los valores CRIj,n, calculada para el año 2012 como se señala en el literal b. de este aparte. En forma análoga, para los años de 2013 a 2016 se calcula el AOM remunerado correspondiente.
d. Los valores remunerados, calculados en el literal anterior, se actualizan con la variación del IPP desde diciembre del respectivo año hasta diciembre de 2016. El promedio aritmético de estos valores actualizados corresponde al AOM remunerado, AOMRj,12-16.
4.1.5 VALOR DE AOM POR CONDICIONES AMBIENTALES. <Numeral modificado por el artículo 8 de la Resolución 85 de 2018. El nuevo texto es el siguiente:>
El valor adicional de AOM por condiciones ambientales del OR j se obtiene a partir de la identificación de los activos del OR que están a menos de 30 km de la orilla del mar, así:

Donde:
| AMBj: | Valor adicional de AOM a reconocer al OR j por condiciones ambientales. Expresado en pesos del 31 de diciembre de 2016. |
| NTCMj,1: | Cantidad de transformadores de distribución del OR j instalados a menos de 30 km de la orilla del mar, en el nivel de tensión 1, que estaban en operación a la fecha de corte. |
| CMTDj: | Costo medio de transformadores del OR j, calculado según lo establecido en el literal b del numeral 3.1.1.1.1.6. |
| NRCMj,1: | Cantidad de redes de distribución del OR j instaladas a menos de 30 km de la orilla del mar, en el nivel de tensión 1, que estaban en operación a la fecha de corte. |
| CMRDj: | Costo medio de redes de distribución del OR j, calculado según lo establecido en el literal b del numeral 3.1.1.1.1.6. |
| nucj,cm,o: | Número de unidades constructivas que, a la fecha de corte, el OR j tiene instaladas cerca del mar, pertenecientes a niveles de tensión diferentes al 1. |
| CRi: | Valor de la UC i ubicada a menos de 30 km de la orilla del mar, definido en el capítulo 15. Para el caso de líneas este valor corresponde al resultado de multiplicar el valor de la UC i por el número de kilómetros instalados a menos de 30 km de la orilla del mar. |
| PUj,i: | Porcentaje del costo total de la UC i que es remunerado vía cargos por uso al OR j. |
| IPP2016: | Índice de precios del productor correspondiente a diciembre de 2016. |
| IPPbase: | Índice de precios del productor correspondiente a diciembre de 2007. |
Para los activos que se incluyan en el cálculo de la variable AMBj el OR debe entregar el inventario asimilado a las UC definidas en el capítulo 15, junto con la siguiente información: municipio, subestación, georreferenciación, características técnicas, fecha de entrada en operación, datos de placa. Las UC para las cuales no se reporte la totalidad de la información requerida no serán incluidas.
4.1.6 AOM POR NIVELES DE TENSIÓN.
El valor del AOM eficiente para cada nivel de tensión se calcula así:

| AOMbasej,n: | Valor del AOM base del OR j, para el nivel de tensión n, expresado en pesos de la fecha de corte. |
| AOMbasej: | Valor del AOM base del OR j, expresado en pesos de la fecha de corte, calculado de acuerdo con lo previsto en el numeral 4.1. |
| BRAEj,n,0: | Base regulatoria de activos eléctricos para cada nivel de tensión n, del OR j, calculada de acuerdo con lo previsto en el numeral 3.1.1.1. |
4.2 VALOR DE AOM PARA NUEVAS INVERSIONES. <Numeral modificado por el artículo 9 de la Resolución 85 de 2018. El nuevo texto es el siguiente:>
Para las nuevas inversiones, diferentes a reposición, se reconoce un valor anual de AOM así:
Para n = 4 o 3:
![]()
Para n = 2 o 1:
![]()
Donde:
| AOMNIj,n,t: | Valor del AOM para las nuevas inversiones en el nivel de tensión n del OR j, expresado en pesos de la fecha de corte. |
| VACNIj,n,t: | Valor acumulado hasta el año t de las inversiones puestas en operación en el nivel de tensión n, diferentes a reposición, para el OR j, expresado en pesos de la fecha de corte. Se calcula de la siguiente forma: |

Donde:
| BRAEN_RPj,n,t-1: | Base regulatoria de activos eléctricos nuevos del OR j en el nivel de tensión n para el año t-1. Se calcula en forma similar a la variable BRAENj,n,t-1, definida en el numeral 3.1.1.2, pero tomando RPP=0 para todas las UC incluidas en su cálculo. |
| INVTR_RPj,n,TI,1,t-1: | Valor de la inversión puesta en operación en el sistema del OR j en el nivel de tensión n, en la categoría de activos l para el año t-1. Se calcula solo para los tipos de inversión TI = I y TI = III, en forma similar a la variable INVTRj,n,TI,l,t-1, definida en el numeral 6.5, pero tomando RPP=0 para todas las UC incluidas en su cálculo. |
| L: | Cantidad de categorías de activos. |
| VACPIECj,n,t: | Valor acumulado hasta el año t de las nuevas inversiones que hacen parte del PIEC, de acuerdo con lo señalado en el capítulo 13 en el nivel de tensión n, para el OR j, expresado en pesos de la fecha de corte. Se calcula de la siguiente forma: |

Donde:
| IREC_RPj,m,I,t-1: | Inversión en activos puestos en operación en los proyectos de expansión de cobertura del OR j en el nivel de tensión n, en la categoría de activos l, para el año t-1. Se calcula en forma similar a la variable IRECj,n,l,t-1, definida en el numeral 13.7, pero tomando RPP=0 para todas las UC incluidas en su cálculo. |
| L: | Cantidad de categorías de activos. |
| fAMBj: | Factor ambiental para las nuevas inversiones del OR j, calculado de la siguiente forma: |

Donde:
| AOMbasej: | Valor del AOM base del OR j, calculado de acuerdo con lo previsto en el numeral 4.1. |
| AMBj: | Valor de AOM a reconocer al OR j por condiciones ambientales, calculado de acuerdo con lo previsto en el numeral 4.1.5. |
| IPPFC: | Índice de precios del productor correspondiente a la fecha de corte. |
| IPP2016: | Índice de precios del productor correspondiente a diciembre de 2016. |
4.3 VERIFICACIÓN DEL VALOR ANUAL DE AOM.
Con el propósito de verificar la información de AOM, los OR deberán reportarla cada año adjuntado un concepto por parte de una firma verificadora.
El informe que entregue el verificador sobre la revisión de la información de AOM debe incluir, entre otros, el formulario debidamente diligenciado y su concepto de visto bueno o de salvedad sobre la información entregada por el OR.
Los OR deben entregar a la SSPD, la información de AOM del año anterior junto con el informe del verificador contratado. La información a entregar, los plazos y los demás requisitos de los informes serán dados a conocer por la CREG en forma separada.
CAPITULO 5. CALIDAD DEL SERVICIO.
En este capítulo se establecen las características que se deben cumplir en cuanto a la calidad en la prestación del servicio de distribución de energía eléctrica en los STR y los SDL que hacen parte del SIN y las disposiciones que serán aplicables en el caso de presentarse variaciones en dichas características.
5.1 CALIDAD DEL SERVICIO EN LOS STR. <Numeral modificado por el artículo 14 de la Resolución 36 de 2019. El nuevo texto es el siguiente:>
Sin perjuicio de la responsabilidad a cargo del OR o del TR por los daños y perjuicios causados a usuarios o terceros, el incumplimiento de la calidad definida en esta resolución dará lugar a la aplicación de las disposiciones que se establecen en este capítulo.
La regulación contenida en este capítulo también les aplica a los agentes que representan ante el LAC los activos del STR construidos a través de procesos de libre concurrencia, de acuerdo con lo establecido en la Resolución CREG 024 de 2013 o la que la modifique o sustituya.
Por lo tanto, en el texto de este capítulo cuando se hace mención al OR debe entenderse que también se hace referencia a los adjudicatarios de los proyectos construidos a través de procesos de libre concurrencia.
La aplicación de las disposiciones de calidad del servicio en los STR, previstas en esta resolución, se dará una vez hayan entrado en vigencia las resoluciones particulares, aprobadas con base en esta metodología, del total de los OR que tengan ingresos por activos de nivel de tensión 4. Mientras se cumple esta condición, se seguirán aplicando las disposiciones de calidad definidas en las Resoluciones CREG 097 de 2008 y 094 de 2012.
No obstante, los valores de compensaciones generados por la regulación de calidad de la Resolución CREG 097 de 2008 que se encuentren pendientes de definición a través de un acto administrativo de la SSPD, deben ser restados del ingreso del respectivo OR en el mes siguiente al de firmeza del mencionado acto, junto con las compensaciones que se generen para ese mes por la aplicación de la presente resolución.
5.1.1 CARACTERÍSTICAS DE CALIDAD A LA QUE ESTÁ ASOCIADO EL INGRESO.
El ingreso de cada agente, por el uso de los activos del STR de los cuales es responsable, calculado de acuerdo con lo previsto en esta resolución, estará asociado a una calidad con las siguientes características:
La duración de las indisponibilidades de los activos utilizados en la prestación del servicio no deberá superar las máximas horas anuales de indisponibilidad ajustadas.
Las indisponibilidades máximas permitidas de un activo, originadas en catástrofes naturales tales como erosión (volcánica, fluvial o glacial), terremotos, maremotos, huracanes, ciclones y/o tornados, y las debidas a actos de terrorismo, no deberán superar los seis meses, contados desde la fecha de ocurrencia de la catástrofe.
La estimación de la energía no suministrada por la indisponibilidad de un activo no deberá superar el porcentaje límite definido para tal fin.
A partir del momento en que las horas de indisponibilidad acumulada de un activo sean mayores que las máximas horas anuales de indisponibilidad ajustadas, no deberá permitirse que la indisponibilidad de este activo deje no operativos otros activos.
La variación en estas características de calidad del servicio de transporte de energía eléctrica en los STR que exceda o supere los límites señalados, generará una reducción o compensación en el ingreso del OR que se calculará y aplicará en la forma prevista en este capítulo.
5.1.2 ACTIVOS SUJETOS AL ESQUEMA DE CALIDAD. <Numeral modificado por el artículo 16 de la Resolución 36 de 2019. El nuevo texto es el siguiente:>
Las disposiciones sobre calidad en los STR aplicarán a los agentes que realizan la actividad de distribución en estos sistemas.
Los activos del STR sobre los que aplica el esquema de calidad del servicio son los que: i) hacen parte del inventario reconocido a cada OR, ii) están en operación comercial y podrán hacer parte de este inventario, o iii) son construidos como resultado de procesos de libre concurrencia. Para los activos nuevos que incorporen ZNI al SIN, la aplicación de las disposiciones de calidad en el STR iniciará una vez hayan transcurrido cinco (5) años desde su conexión al SIN.
Para el caso de los proyectos adjudicados mediante procesos de libre concurrencia, que se encuentren en operación antes de la fecha prevista para la aplicación de las disposiciones de calidad del STR definidas en esta resolución, los OR y TR deberán actualizar la clasificación de los activos de esos proyectos con base en las UC definidas en el Capítulo 14, dentro de los cinco (5) días hábiles siguientes a la fecha mencionada. El LAC aplicará las actualizaciones a partir del primer día calendario del siguiente mes.
El CND será el responsable de centralizar, almacenar y procesar la información de eventos, que permita calcular los indicadores de indisponibilidad de los grupos de activos definidos en el numeral 5.1.4.2.
La información de eventos deberá mantenerse actualizada en la base de datos creada por el CND para su reporte. Esta información será utilizada, entre otros, para calcular las variables relacionadas con la calidad del servicio, las compensaciones, las remuneraciones de los activos y también será insumo para la determinación de la ENS.
El CND deberá mantener almacenada la información de eventos, en medio digital o de última tecnología, por un periodo no inferior a cinco años y deberá elaborar un resumen mensual de los eventos registrados en la base de datos, identificando el activo con el código asignado por el CND, el grupo de activos al que pertenece, la duración del evento, la causa y la fecha y hora de ocurrencia.
Tanto la información reportada como el resumen deberán estar disponibles para consulta de la Unidad de Planeación Minero Energética, UPME, SSPD, y la CREG. Si el CND cambia la forma de identificar los activos, deberá preverse la forma de recuperar la información histórica de cada uno de los activos.
5.1.4 REGLAMENTO PARA EL REPORTE DE EVENTOS.
El reporte de eventos debe realizarse teniendo en cuenta las disposiciones que a continuación se establecen.
5.1.4.1 RESPONSABILIDAD DEL REPORTE DE INFORMACIÓN. <Numeral modificado por el artículo 17 de la Resolución 36 de 2019. El nuevo texto es el siguiente:>
Los agentes deberán realizar el reporte de eventos de acuerdo con lo establecido en el artículo 11. En caso de que un agente no notifique la ocurrencia de cualquier evento, o la finalización de la ejecución de maniobras en los plazos señalados en el mencionado artículo se ajustará el número máximo de horas anuales de indisponibilidad del activo correspondiente, de acuerdo con lo establecido en este capítulo.
Los OR son los responsables de la recolección y el reporte de la información de eventos y la requerida para la aplicación de las disposiciones de calidad del servicio. Cuando el OR no opere los activos directamente, la información será reportada por quien los opera, y en el respectivo contrato de operación podrán precisarse los mecanismos para que el OR conozca la información reportada al CND. En todo caso, el responsable de la calidad y la oportunidad de la información reportada, a través del sistema dispuesto por el CND para este fin, es el agente a quien se le están remunerando los activos.
Cuando un activo sea remunerado a dos o más OR, estos deberán acordar cuál de ellos se encargará del reporte de información de este activo e informarlo al CND durante los cinco (5) días hábiles siguientes a la fecha de inicio de la aplicación de las disposiciones de calidad del STR. Para activos que entren en operación con posterioridad a la fecha mencionada, el nombre del OR encargado del reporte de información se deberá poner en conocimiento del CND junto con la declaración de entrada en operación comercial del activo.
En caso de no existir acuerdo entre los OR a quienes se les remunera el activo compartido o que no se reporte en el plazo establecido: i) estos OR tendrán la misma responsabilidad sobre el reporte de la información de todo el activo y ii) cuando se reciba información de los dos OR y la misma difiera, se tomará la que tenga el mayor tiempo de interrupción.
Para activos nuevos, el OR, o quien los opere, deberá reportar los eventos en la forma dispuesta en la presente resolución, a partir de su fecha de entrada en operación comercial.
5.1.4.2 ACTIVOS DEL STR A REPORTAR.
Para los STR se deberán reportar los eventos sobre los activos que conforman los siguientes grupos de activos:
a. Conexión del OR al STN: constituido por el transformador que se conecta al STN, incluye todas las bahías de transformador que lo conectan al SIN siempre que estas estén siendo remuneradas en la actividad de distribución. Además se consideran dentro de este grupo los transformadores que, aunque no se conectan al STN, por lo menos tienen dos devanados operando en el nivel de tensión 4, junto con las bahías de transformador en este mismo nivel.
b. Equipos de compensación: constituido por el respectivo equipo de compensación y las bahías que lo conectan al STR.
c. Línea del STR: constituido por el circuito que conecta dos subestaciones del STR (o más de dos subestaciones si hay conexiones en T). Incluye las bahías de línea con las que se opera su conexión al STR. Si una línea está conformada por más de un circuito, deberán reportarse por separado los eventos de cada uno de los circuitos.
d. Barraje: constituido por el módulo de barraje y las bahías de acople, transferencia o seccionamiento, en caso de que cuente con estas.
A partir de la entrada en vigencia de la primera resolución particular aprobada con base en esta metodología, el CND empezará a llevar un registro para cada uno de los activos mencionados arriba a los que les haga supervisión remota, donde se identifique el tiempo que para esos activos no fue posible hacer la supervisión, ya sea por fallas en los canales de comunicación o en los equipos que adquieren los datos para transmitirlos. Si la supervisión no es directa sino mediante acceso al sistema de supervisión del OR, se deberán registrar los casos en los que no se pueda tener acceso a este sistema.
Antes de la mencionada fecha, el CND publicará un documento donde indique cómo se llevará a cabo la verificación y se muestre una lista con las posibles causas que servirán para clasificar las fallas que se incluyan en ese registro.
5.1.4.3 INFORMACIÓN DEL REPORTE DE EVENTOS.
El reporte de eventos deberá contener como mínimo lo siguiente:
a. activo sobre el cual se presenta el evento,
b. <Literal modificado por el artículo 18 de la Resolución 36 de 2019. El nuevo texto es el siguiente:> fecha y hora de inicio del evento,
c. <Literal modificado por el artículo 18 de la Resolución 36 de 2019. El nuevo texto es el siguiente:> fecha y hora de finalización del evento,
d. la capacidad disponible del activo durante el evento, con base en la estimación de la capacidad disponible de que trata el numeral 5.1.8,
e. causa que origina el evento, precisando si corresponde a alguna de las excluidas,
f. cuando el activo quede no operativo, informar el activo causante,
g. señalar si el evento obedece a la operación de un esquema suplementario, identificando el respectivo esquema,
h. diferenciación entre eventos programados y no programados,
i. número de consignación, cuando aplique,
j. clasificación según las causas detalladas, acordadas y publicadas por el Consejo Nacional de Operación, CNO,
k. descripción del evento,
l. <Literal modificado por el artículo 18 de la Resolución 36 de 2019. El nuevo texto es el siguiente:> señalar si se presentó demanda no atendida y reportar el valor de esta en MWh.
El reporte deberá hacerse únicamente sobre el activo en el que recaiga el evento, por lo tanto, por el mismo evento no debe reportarse indisponibilidades sobre los otros activos que hacen parte de su grupo de activos.
El CNO deberá mantener publicada y actualizada la lista de causas detalladas, necesarias para que los agentes entreguen la información solicitada en el literal j. Si bien el reporte de eventos debe hacerse en el plazo que para tal fin se establece, la causa detallada podrá ser modificada dentro del plazo que establezca el CND, ya que corresponde a un dato informativo que no se utiliza en el cálculo de las compensaciones ni de los indicadores de calidad establecidos en este anexo.
Cuando se presenten eventos ocasionados por la actuación de esquemas suplementarios de protección instalados para evitar la sobrecarga de circuitos o transformadores remunerados en el nivel de tensión 4, su duración deberá asignarse a los activos que originaron su instalación, sin importar que los activos desconectados por la actuación del esquema pertenezcan a niveles de tensión diferentes al 4. La duración de estos eventos deberá ser igual al mayor de los tiempos de interrupción de cualquiera de los activos que fueron desconectados. El CND deberá mantener publicada en su página web la lista con los esquemas suplementarios existentes en el SIN, identificando los activos que operarían por la actuación del mismo y precisando cuáles se instalaron para evitar sobrecargas en circuitos o transformadores remunerados en el nivel de tensión 4.
El CND deberá mantener publicados en su página web los formatos e instrucciones para el reporte de eventos que tengan en cuenta las disposiciones establecidas en este capítulo. Cuando el CND requiera modificar los formatos e instrucciones para el reporte de eventos deberá publicarlos para comentarios de los interesados y enviarlos previamente para conocimiento de la CREG.
5.1.4.4 VALIDACIÓN DE LA INFORMACIÓN.
El CND confrontará la información de eventos que se ingresa a la base de datos con la información que le haya sido reportada por los operadores de los activos, así como con la información disponible en los registros de señales digitales y análogas ante la ocurrencia de eventos, los registros de las lecturas de energía y potencia en tiempo real para las barras de las subestaciones del STR, los registros de consignaciones y el reporte de fallas en transformadores de medida, entre otros. El CND definirá las fuentes que utilizará y la información que verificará.
La confrontación mencionada se realizará de la siguiente manera:
a. Si el CND identifica discrepancias en el reporte de un evento en cuanto a su duración, para el cálculo de los indicadores definidos en este anexo deberá asumirse el evento de mayor duración.
b. Si el agente no reporta información sobre el activo involucrado en el evento, o se constatan discrepancias sobre la identidad del activo reportado, deberá asumirse que la ocurrencia del evento se presentó en todos los activos involucrados, cuya responsabilidad de operación y mantenimiento sea del OR que no reportó correctamente la información.
En el proceso de validación, si el CND encuentra que la indisponibilidad de un activo dejó como activo no operativo a otros activos, ingresará los reportes correspondientes sobre estos activos no operativos e informará al agente causante de la no operatividad.
Después de finalizado el proceso de validación, en el sistema de consulta que habilite el CND, los agentes podrán revisar la información validada y el listado de las inconsistencias encontradas. En caso de ser necesario, el agente podrá solicitar ajustes a la información publicada y el CND responderá a los agentes las solicitudes presentadas, de acuerdo con los procedimientos que establezca para tal fin.
La información validada por el CND y, de ser el caso, ajustada según los comentarios de los agentes, será la que deberá quedar registrada en la base de datos de reporte de eventos de que trata este anexo.
5.1.4.5 SUPERVISIÓN DE ACTIVOS DEL STR.
Los OR deberán contar con supervisión en tiempo real de los activos del STR a reportar, un sistema de secuencia de eventos, SOE, un enlace de comunicación principal y otro de respaldo y el protocolo acordado con el CND.
Las características mínimas de la información a suministrar en tiempo real y de los sistemas de comunicaciones son las que para tal fin haya definido el CND.
Con la frecuencia que el CND determine, el OR deberá permitirle acceder a la información registrada en su sistema de supervisión, con el fin de obtener las mediciones de potencia en los barrajes del nivel de tensión 4o, en el caso en el que el OR no tenga este nivel en su sistema, en los puntos de conexión con los sistemas de otros OR.
Tabla 4. Plazos para realizar procedimientos
Para realizar los procedimientos descritos en el presente capítulo se tendrán en cuenta los siguientes plazos, cada uno contado a partir de las 24:00 horas del día de operación:
| Actividad | Responsable | Plazo (h) |
| Ingreso de reporte de eventos | Agente | 12 |
| Validación y publicación de listado de inconsistencias | CND | 36 |
| Solicitud de modificación de información | Agente | 60 |
| Respuesta a solicitudes de modificación | CND | 72 |
El CND precisará, en su página web, mayores plazos para el "Ingreso de reporte de eventos" de aquellos ocasionados por catástrofes naturales o por actos de terrorismo y para los que causen desatención de la demanda de energía cuya magnitud sea superior al 10% de la demanda del SIN.
Para modificación de reportes de eventos, solamente se atenderán las solicitudes presentadas dentro de los plazos establecidos en este numeral.
5.1.5 MÁXIMAS HORAS ANUALES DE INDISPONIBILIDAD. <Numeral modificado por el artículo 19 de la Resolución 36 de 2019. El nuevo texto es el siguiente:>
Los siguientes grupos de activos utilizados en la prestación del servicio de distribución de energía eléctrica en el STR no deberán superar, en una ventana móvil de doce meses, el número de máximas horas anuales de indisponibilidad, MHAI, que se definen para los grupos de activos identificados en la Tabla 5.
Tabla 5. Máximas horas anuales de indisponibilidad
| Grupos de Activos | MHAI |
| Conexión del OR al STN | 65 |
| Equipo de compensación | 18 |
| Línea del STR | 38 |
| Barraje sin bahías de maniobra | 15 |
| Barraje con bahías de maniobra | 30 |
Para los grupos de activos “conexión del OR al STN”, “equipo de compensación” y “línea del STR” se consideran incluidas las respectivas bahías. Para el grupo de activos de barraje se diferencian las máximas horas permitidas para barrajes que cuentan con bahías de maniobra y para barrajes que no cuentan con estas.
El máximo permitido se debe comparar con la suma de las indisponibilidades de los activos que hacen parte del grupo de activos.
En subestaciones con configuración de interruptor y medio hacen parte del grupo de activos, tanto el interruptor del lado del barraje como el corte central. En subestaciones con configuración en anillo hacen parte del grupo de activos los dos interruptores relacionados con el respectivo activo. Para las subestaciones con estas dos configuraciones, se tendrán en cuenta las indisponibilidades de los activos que estén siendo remunerados en la actividad de distribución.
Para el grupo de activos “Equipo de compensación” el valor de la variable MHAI será igual a 31 horas, durante los primeros once meses de aplicación de las disposiciones de calidad del STR definidas en esta resolución. Después de este plazo tomará el valor de la Tabla 5.
5.1.6 AJUSTE DE MÁXIMAS HORAS DE INDISPONIBILIDAD.
Para cada grupo de activos, las máximas horas anuales de indisponibilidad se reducirán en 0,5 horas cada vez que se presente alguna de estas situaciones: i) consignación de emergencia solicitada, ii) modificación al programa de mante-nimientos, iii) retraso en reporte de eventos de cualquiera de los activos que conforman el grupo. El CND calculará mensualmente la meta ajustada, de acuerdo con la siguiente fórmula:

Donde:
| MHAIAm,gu: | Máximas horas anuales de indisponibilidad ajustadas del grupo de activos gu, calculadas para el mes m. |
| MHAIgu: | Máximas horas anuales de indisponibilidad del grupo de activos gu. |
| SCEm,u: | Número acumulado de solicitudes de consignaciones de emergencia, exceptuando las excluidas, para cada uno de los activos u que conforman el grupo de activos gu durante una ventana móvil de doce meses que termina en el mes m. |
| CPMm,u: | Número acumulado de cambios al programa de mantenimientos, exceptuando los excluidos, para cada uno de los activos u que conforman el grupo de activos gu durante una ventana móvil de doce meses que termina en el mes m. |
| ENRm,u: | Número acumulado de eventos o finalización de maniobras no reportados en los plazos establecidos en esta resolución, para cada uno de los activos u que conforman el grupo de activos gu durante una ventana móvil de doce meses que termina en el mes m. |
| NGU: | Número de activos que conforman el grupo de activos gu. |
5.1.7 INDISPONIBILIDAD DE LOS ACTIVOS DE USO DEL STR. <Numeral modificado por el artículo 20 de la Resolución 36 de 2019. El nuevo texto es el siguiente:>
La duración de las indisponibilidades de los activos del STR se medirá en horas, aproximadas al segundo decimal y se agruparán por mes calendario. Un evento cuya duración pase de un mes calendario al siguiente se deberá dividir en dos eventos: uno que finaliza a las veinticuatro (24:00) horas del último día del mes calendario y otro evento que inicia a las cero (0:00) horas del primer día del nuevo mes.
Las horas de indisponibilidad de cada uno de los activos que hacen parte de los grupos de activos establecidos en este capítulo las calcula mensualmente el CND mediante la siguiente expresión:

Donde:
| HIDm,u: | Horas de Indisponibilidad durante el mes m, del activo u, que pertenece al grupo de activos gu. |
| i: | Identificador de la indisponibilidad. |
| n: | Número total de indisponibilidades del activo u, durante el mes m. |
| Hi,u: | Duración de la indisponibilidad i, para el activo u. Para los mantenimientos programados, esta duración se cuenta desde la hora programada de inicio hasta la hora programada de finalización. |
| FIMAi,g,u: | Factor aplicable a bahías con configuración anillo remuneradas con UC de los capítulos 14 y 15 y a bahías y cortes centrales con configuración interruptor y medio remunerados con las UC del Capítulo 14. Tomará un valor igual a 0,5 cuando la indisponibilidad i del activo no causa que los demás activos de su grupo gu queden fuera de servicio. Para cualquier otro caso tomará un valor de 1. |
| CAPDi,u: | Capacidad disponible del activo u expresada en porcentaje de la capacidad nominal, durante la indisponibilidad i. |
Para la aplicación de esta metodología, se tendrá en cuenta la historia de las indisponibilidades del activo u, presentadas con anterioridad a la fecha prevista para la aplicación de las disposiciones de calidad del STR definida en esta resolución.
Las horas programadas para el mantenimiento de un activo que no sean utilizadas para dicha actividad se contarán como horas de indisponibilidad del activo.
El CND llevará un registro de las horas efectivamente utilizadas en el mantenimiento de cada activo y de las horas adicionales contabilizadas como indisponibilidad de acuerdo con lo previsto en el párrafo anterior.
Un mantenimiento puede ser cancelado o reprogramado hasta las 08:00 horas del día anterior al de la operación, para que esta información pueda ser tenida en cuenta en el despacho.
5.1.8 ESTIMACIÓN DE LA CAPACIDAD DISPONIBLE POR UN EVENTO.
Para determinar la capacidad disponible de un activo tras la ocurrencia de un evento deben tenerse en cuenta las siguientes condiciones, para cada tipo de activo:
a. módulo de barraje: si la unidad constructiva queda parcialmente disponible se considera que la capacidad disponible es el 50 % de la capacidad nominal,
b. líneas, transformadores, unidades de compensación: la capacidad disponible es la capacidad real disponible del activo, medida en las mismas unidades de la capacidad nominal. Para los casos de líneas con conexiones en T, la capacidad disponible de la línea equivale a la proporción que representa la longitud que queda en servicio frente a la longitud total de la línea, multiplicada por la capacidad nominal de la línea,
c. <Literal modificado por el artículo 21 de la Resolución 36 de 2019. El nuevo texto es el siguiente:> bahías de interruptor y medio remuneradas con UC del Capítulo 15: la capacidad disponible de las bahías del diámetro se determina así: i) ante la indisponibilidad de uno de los interruptores diferentes al corte central del diámetro, la capacidad disponible de la bahía respectiva es el 33% de la capacidad nominal; ii) ante la indisponibilidad del corte central, la capacidad disponible de cada una de las dos bahías asociadas al diámetro es el 67% de la capacidad nominal; iii) ante la indisponibilidad del corte central y de uno de los interruptores del diámetro, la respectiva bahía se considera completamente indisponible, iv) ante la indisponibilidad simultánea de los dos interruptores diferentes al corte central, que forman parte de un mismo diámetro, se considera que las dos bahías asociadas a ese diámetro se encuentran completamente indisponibles.
d. Para los demás activos se considera que la capacidad disponible es el 0 % o el 100 % de la capacidad nominal, dependiendo de si el equipo está en falla o está en funcionamiento normal.
No se incluirán en el cálculo de las horas de indisponibilidad, HIDm,u, del activo ni de la variable CNEm,u, los eventos que hayan sido causados por alguna de las situaciones que se enumeran a continuación, siempre y cuando se cumplan las reglas que se establecen en este numeral.
a. Eventos programados por trabajos de expansión o reposición en la red, tal como se definen en el artículo 3. Para que estos sean excluidos del cálculo se requiere que se cumplan las siguientes reglas:
i. El OR informa por escrito al CND acerca de la conexión de los nuevos activos con una anticipación mínima de 90 días calendario.
ii. Junto con la solicitud, el agente informa al CND sobre los activos requeridos para la incorporación o conexión del nuevo proyecto al SIN, coordinando con los responsables de los equipos que se requiera desconectar para que estos soliciten las consignaciones necesarias al CND, si se requiere. Para dichas consignaciones se debe cumplir con los plazos y procedimientos previstos en la regulación vigente para la coordinación de consignaciones en el SIN, y declarar como causa la incorporación de nuevos activos al SIN, e indicando el proyecto respectivo.
iii. El tiempo máximo reconocido sin afectar la disponibilidad de los activos relacionados, diferentes a los asociados con el proyecto que se incorpora, será igual a los tiempos asociados a las maniobras de conexión del activo al SIN más el tiempo durante el cual el proyecto se encuentre en pruebas antes de su entrada en operación comercial.
b. <Literal modificado por el artículo 5 de la Resolución 199 de 2019. El nuevo texto es el siguiente:> Indisponibilidades de activos que surjan a partir de instrucciones dadas por el CND, por razones operativas o consideraciones de calidad o confiabilidad del SIN. El CND indicará los casos en los que imparte instrucción directa para ejecutar maniobras en los activos del STR. Estas indisponibilidades no serán excluidas cuando las instrucciones del CND se originen por atraso de proyectos en el respectivo STR.
c. Esquemas suplementarios de protección diferentes a los instalados para evitar la sobrecarga de circuitos o transformadores remunerados en el nivel de tensión 4. Esto, siempre que para su instalación se haya dado cumplimiento a lo previsto en la regulación.
d. Indisponibilidades originadas en catástrofes naturales, tales como erosión (volcánica, fluvial o glacial), terremotos, maremotos, huracanes, ciclones y/o tornados y las debidas a actos de terrorismo, siempre que se cumplan las siguientes reglas:
i. El OR afectado por el evento deberá declarar oficialmente ante el CND la ocurrencia del mismo y será responsable por tal declaración. Esta declaración deberá ser por escrito, anexando la información de los activos afectados y la manifestación de que cumplió con las demás reglas exigidas para excluir este evento. Asimismo, si se prevé que el evento tendrá una duración superior a los tres (3) días a partir de su ocurrencia, el agente tendrá que informar a los usuarios finales que puedan resultar afectados, dentro de las 48 horas siguientes a la ocurrencia del evento, a través de cualquier medio de comunicación masivo disponible en la región o área afectada que garantice su adecuada difusión.
ii. El OR afectado por el evento deberá establecer el plazo para la puesta en operación de los activos afectados, para lo cual deberá entregar al CND y al CNO un cronograma y presentarles los respectivos informes de avance del mismo.
e. Las solicitudes de consignaciones de emergencia, las modificaciones al programa de mantenimientos o los incumplimientos en los tiempos de ejecución de maniobras, originados en los eventos definidos en el literal anterior.
f. Las indisponibilidades debidas a mantenimientos mayores que se hayan efectuado con sujeción al procedimiento establecido para tal fin.
g. Las indisponibilidades necesarias para enfrentar las situaciones acontecidas de riesgo de la vida humana. Para su exclusión el OR deberá elaborar un informe en el que documente y soporte esta situación.
h. Las indisponibilidades originadas en exigencias de traslados, adecuaciones, desconexiones e intervenciones de la infraestructura eléctrica por parte de entidades distritales, municipales, departamentales, organismos estatales competentes en temas de infraestructura y medio ambiente, o demás autoridades, o por proyectos de desarrollo en concordancia con planes de ordenamiento territorial; siempre que se cumplan las siguientes reglas:
i. El OR afectado deberá declarar oficialmente al CND, mediante comunicación escrita, la fecha de inicio de intervención de activos por la ejecución de las obras o sobre las modificaciones a las instalaciones existentes, detallando los activos afectados, el número de días calendario de la indisponibilidad.
ii. Si se presentan cambios en la duración prevista, el OR lo informará por escrito al CND y anexará la correspondiente certificación. i. Indisponibilidades debidas a eventos causados por activos del STN.
Las comunicaciones mencionadas en este numeral deberán presentarse dentro del plazo que para tales fines determine el CND. En todo caso, el CND deberá contar con la información en forma oportuna para que el LAC calcule las compensaciones correspondientes al mes a facturar.
Cuando los eventos de que trata este numeral ocurran en el mismo periodo horario con eventos ocasionados por indisponibilidades no excluidas y se determine que hubo ENS, se deberá seguir el procedimiento descrito para tal fin en la Resolución CREG 094 de 2012, o la que la adicione, modifique o sustituya.
Por la cual se establece la metodología para la remuneración de la actividad de distribución de energía eléctrica en el Sistema Interconectado Nacional
5.1.10 PROCEDIMIENTO PARA LOS MANTENIMIENTOS MAYORES. <Numeral modificado por el artículo 22 de la Resolución 36 de 2019. El nuevo texto es el siguiente:>
El mantenimiento mayor de un activo es el que se realiza por una vez cada seis años y requiere un tiempo mayor a las máximas horas anuales de indisponibilidad fijadas para el grupo de activos al que pertenece ese activo.
Los mantenimientos mayores deberán ser reportados en el programa de mantenimientos y ajustarse a los procedimientos aquí establecidos.
El tiempo máximo permitido para el mantenimiento mayor de un activo es de 96 horas cada 6 años y este periodo se cuenta a partir del 1 de enero de 2008. Se exceptúan los activos asociados a UC tipo encapsuladas cuyo mantenimiento mayor contará con un tiempo máximo reconocido de 288 horas que podrán utilizarse una vez cada 18 años o fraccionarse y utilizarse una vez cada 6 años, contados a partir del 1 de enero de 2008. La cantidad de horas que sobrepase las definidas para el mantenimiento mayor no se considerará indisponibilidad excluida.
El número permitido de horas se puede distribuir a solicitud del OR. La distribución debe hacerse de tal forma que, desde el día de inicio hasta el último día del mantenimiento, no se sobrepase un total de 30 días calendario. La duración mínima de indisponibilidad solicitada por esta causa debe ser de 32 horas.
Para cada día de trabajo, la duración mínima de cada indisponibilidad solicitada deberá ser de ocho horas de trabajo; tratándose del último día de los programados para el mantenimiento mayor, esta duración puede ser menor. Sin embargo, si por las condiciones de seguridad del SIN se requiere la disminución de este número de horas para un día determinado, el CND lo podrá solicitar al operador del activo, ante lo cual este último evaluará y tomará la decisión de disminuir la duración o mantener la inicialmente programada. Lo anterior sin perjuicio de la responsabilidad del operador del activo por la gestión del mantenimiento mayor.
Para el caso de un banco de transformadores, el tiempo máximo permitido por mantenimiento mayor puede dividirse de tal forma que el mantenimiento de cada unidad se pueda programar en fechas diferentes. En este caso, sólo una de las tres indisponibilidades solicitadas podrá ser inferior a 32 horas, y cada una de las tres puede ser inferior a las máximas horas anuales de indisponibilidad establecidas para el grupo de activos denominado conexión del OR al STN.
Sin perjuicio de lo anterior, un mantenimiento mayor podrá suspenderse por orden del CND si encuentra que las condiciones de seguridad del SIN lo requieren o por orden de una autoridad competente.
5.1.11 ACTIVOS QUE ENTRAN EN OPERACIÓN COMERCIAL.
A partir de la fecha de entrada en operación comercial de activos del STR y hasta que se inicie su remuneración al respectivo agente a través de cargos por uso, este agente será el responsable por la ocurrencia de eventos en estos activos que ocasionen ENS.
En consecuencia, a partir de la fecha de entrada en operación comercial de los activos se deberán reportar los eventos en la forma dispuesta en la presente resolución. Cuando se presente ENS, se estimará su magnitud en la forma descrita en la Resolución CREG 094 de 2012, o aquella que la adicione, modifique o sustituya, y se aplicará la respectiva compensación.
El LAC incluirá esta compensación dentro del cálculo de la variable CNEm,u descrita en el numeral 5.1.14.2, a aplicarse para el mes m siguiente al mes de publicación del informe de ENS.
En todo caso, cuando los activos estén incluidos en la remuneración del STR a través de cargos por uso, el agente que recibe la remuneración será responsable por el cumplimiento de todos los indicadores de calidad establecidos en este anexo. Para el cálculo de las horas de indisponibilidad del activo, sólo se tendrán en cuenta las reportadas desde el primer mes de remuneración.
5.1.12 VALOR DE REFERENCIA PARA COMPENSACIÓN.
Para calcular el valor de las compensaciones, en caso de requerirse, se utilizará la siguiente referencia:
![]()
<Ver Notas de Vigencia - Modificación temporal al factor de indexación>
| VHRCm,u,j: | Valor horario de referencia para el cálculo de la compensación del activo u, del OR j, durante el mes m. |
| r: | Tasa de retorno para la actividad de distribución. |
| CRu: | Costo establecido para el activo u de acuerdo con las UC del capítulo 14, para las consideradas en la BRAENj,n,t, y las UC del capítulo 15, para las que hagan parte la variable BRAEj,n,0, las dos variables definidas en el numeral 3.1.1. |
| PUu,j: | Porcentaje de uso del activo u que se reconoce al OR j. |
| IPPm-1: | Índice de precios al productor total nacional correspondiente al mes m-1. |
| IPPo: | <Variable modificada por el artículo 23 de la Resolución 36 de 2019. El nuevo texto es el siguiente:> Cuando las UC se tomen del capítulo 14 esta variable corresponde al índice de precios al productor total nacional correspondiente a diciembre de 2017. Cuando las UC se tomen del capítulo 15 esta variable corresponde al índice de precios al productor total nacional correspondiente a diciembre de 2007. |
5.1.13 REMUNERACIÓN EN ALGUNOS CASOS DE INDISPONIBILIDAD.
Para los casos de indisponibilidades originadas en catástrofes naturales, tales como erosión (volcánica, fluvial o glacial), terremotos, maremotos, huracanes, ciclones y/o tornados y las debidas a actos de terrorismo, la remuneración del activo u en el mes m, para cada mes mi que este se encuentre indisponible será:

| IMRTm,u: | Ingreso mensual temporal para el activo u, en el mes m, mientras el activo u esté indisponible por las causas citadas en este numeral. |
| mi: | Número de meses calendario completos transcurridos a partir de la ocurrencia del evento, incluido el mes m, durante los cuales el activo u ha estado indisponible. |
| VHRCm,u,j: | Valor horario de referencia para el cálculo de la compensación del activo u, del OR j, durante el mes m. |
5.1.14.1 COMPENSACIONES POR INCUMPLIMIENTO DE LAS METAS.
Las compensaciones que deberán ser asumidas por el OR o los OR responsables de los activos que conforman los grupos de activos con horas de indisponibilidad acumuladas, HIDA, que superen las máximas horas anuales de indisponibilidad ajustadas, MHAIA, se calcularán con base en la información obtenida por el CND y conforme a las siguientes fórmulas:

Si para el grupo de activos gu en el mes m se obtiene que HIDAm,gu < MHAIAm,gu entonces las horas a compensar, HCm,gu, serán iguales a cero.
Por el contrario, si para el grupo de activos gu en el mes m se obtiene que HIDAm,gu > MHAIAm,gu entonces las horas a compensar se calcularán como se muestra a continuación:
![]()

La compensación para cada activo u por incumplimiento de los máximos permitidos de indisponibilidad se calculará con:
![]()
Donde:
| HIDAm,gu: | Horas de indisponibilidad acumulada del grupo de activos gu, en un periodo de doce meses que termina en el mes m. |
| HIDm,u: | Horas de indisponibilidad de cada uno de los activos u que conforman el grupo de activos gu, durante el mes m. |
| ma: | Mes o meses anteriores al mes m. |
| NGU: | Número de activos que conforman el grupo de activos gu. |
| HCm,gu: | Horas a compensar por el grupo de activos gu al cual pertenece el activo u, para el mes m. |
| MHAIAm,gu: | Meta de indisponibilidad anual ajustada del grupo de activos gu, calculada para el mes m. |
| THCm-1,gu: | Total de horas compensadas por el grupo de activos gu, en un periodo de once meses que termina en el mes m-1. |
| CIMm,u: | Compensación por incumplimiento de metas, para cada uno de los activos u que conforman el grupo de activos gu, en el mes m. |
| VHRCm,u,j: | Valor horario de referencia para el cálculo de la compensación del activo u, del OR j, durante el mes m. |
Las compensaciones se calculan para los activos enunciados en el numeral 5.1.2
5.1.14.2 COMPENSACIONES POR DEJAR NO OPERATIVOS OTROS ACTIVOS O POR ENERGÍA NO SUMINISTRADA.
Un evento en un activo puede generar energía no suministrada, ENS, o puede dejar otros no operativos, diferentes a los que conforman su grupo de acuerdo a lo previsto en el numeral 5.1.4.2, cuando, a pesar de estar disponibles, dichos activos no puedan operar debido a la indisponibilidad del primero.
La compensación CNE del activo u, para cada mes m, que deberá ser asumida por el OR responsable de la operación y mantenimiento de los activos cuya indisponibilidad ocasione que otros activos queden no operativos o que se presente ENS se calcula con:

Donde:
| CNEm,u: | Compensación del activo u, en el mes m, por energía no suministrada y/o por dejar no operativos otros activos. |
| CNEi,m,u: | Compensación del activo u, por la indisponibilidad i, en el mes m, por energía no suministrada o por dejar no operativos otros activos. |
Para determinar el valor de la compensación CNEi,m,u se utilizará una de las siguientes tres condiciones:
a. Si para el grupo de activos gu al que pertenece el activo u, en el mes m, las horas de indisponibilidad acumulada son menores o iguales que las máximas horas anuales de indisponibilidad ajustadas (HIDAm,gu = MHAIAm,gu) y el porcentaje de energía no suministrada, PENSj,h, es inferior al porcentaje definido en el numeral 3.4 de la Resolución CREG 094 de 2012, el valor de la compensación CNE para la indisponibilidad i, es igual a cero.
b. Si para el grupo de activos gu al que pertenece el activo u, en el mes m, las horas de indisponibilidad acumulada son mayores que las máximas horas anuales de indisponibilidad ajustadas (HIDAm,gu > MHAIAm,gu) y el porcentaje de energía no suministrada, PENSj,h, es inferior al porcentaje definido en el numeral 3.4 de la Resolución CREG 094 de 2012, el valor de la compensación CNE se obtiene de la siguiente forma:

c. Si durante la indisponibilidad i, del activo u, para alguna de las horas de duración de la indisponibilidad el porcentaje de energía no suministrada, PENSj,h, es mayor que el porcentaje definido en el numeral 3.4 de la Resolución CREG 094 de 2012, el valor de la compensación CNE se obtiene de la siguiente forma:

En las fórmulas de este numeral se utilizan las siguientes variables:
| PENSj,h: | Porcentaje de la energía no suministrada, calculado de acuerdo con lo previsto en el numeral 3.4 de la Resolución CREG 094 de 2012. |
| VHRCm,r,j: | Valor horario de referencia del activo r que quedó no operativo por la indisponibilidad del activo u del OR j, durante el mes m, calculado con base en lo establecido en el numeral 5.1.12. |
| Hi,r: | Número de horas de no operatividad del activo r causadas por la indisponibilidad i del activo u. |
| ENSi: | Valor de la energía no suministrada de la indisponibilidad i, corresponde a la variable ENSq calculada de acuerdo con lo previsto en el numeral 3.4 de la Resolución CREG 094 de 2012. |
| CRO: | Costo incremental operativo de racionamiento de energía definido y calculado por la UPME, correspondiente al primer escalón, que rija para el mes m en el que se aplique la variable CNEm,u. |
El CND calculará la ENS de cada uno de los eventos que se presentan en los activos del STR y elaborará el informe de ENS de que trata el numeral 5.1.15. El cálculo de la ENS será hecho con base en las disposiciones que para tal fin se encuentran contenidas en la Resolución CREG 094 de 2012, o la que la modifique o sustituya.
Sin perjuicio de lo anterior, cuando el valor de PENS supere 2%, la responsa-bilidad del reporte de la ENS al LAC será del OR, quien podrá reportar el valor publicado por el CND o ajustarlo si: i) encuentra que hubo algún error en el cálculo, según lo dispuesto para ello en la regulación vigente, o ii) si el respectivo evento no generó demanda no atendida, DNA, caso en el cual el OR podrá reportar una ENS igual a cero. Siempre que el valor sea ajustado, el OR deberá informar al LAC, junto con el reporte de ENS, la causa respectiva, en los formatos y términos establecidos por este.
Cuando el OR reporte un valor del ENS diferente al calculado por el CND deberá subirlo a una plataforma, que elaborará el LAC con este propósito, que sirva de almacenamiento para estos informes y a la cual tenga acceso únicamente la SSPD, para los fines de su competencia.
Los reportes recibidos dentro de un mes calendario, serán insumo para el cálculo de la CNE que será incluida en la siguiente liquidación que el LAC realice según los plazos establecidos en la regulación.
<Párrafo adicionado por el artículo 24 de la Resolución 36 de 2019. El nuevo texto es el siguiente:> Cuando el valor del PENS supere el 2%, los OR tendrán un plazo de dos días, contados a partir de la publicación por parte del CND del informe de ENS, para reportar el valor de la ENS al LAC.
5.1.14.3 VALOR TOTAL A COMPENSAR.
El LAC calculará mensualmente el valor total de compensaciones que se descontará del ingreso mensual de cada OR j, tal como se muestra a continuación:

Donde:
| CSTRj,m: | Suma de los valores que debe compensar en el STR el OR j por incumplimiento de lo establecido en este capítulo, en el mes m. |
| CIMm,u: | Compensación por incumplimiento de metas, del activo u, en el mes m. |
| VHRCm,u,j: | Valor horario de referencia para el cálculo de la compensación del activo u, del OR j, durante el mes m. |
| IMRTm,u: | Ingreso mensual temporal para el activo u, en el mes m, mientras el activo u esté indisponible por las causas citadas en el numeral 5.1.13. |
| CNEm,u: | Compensación del activo u, en el mes m, por energía no suministrada o por dejar no operativos otros activos. |
| CSTRPm-1: | Valor de las compensaciones del STR que, de acuerdo con lo establecido en esta resolución, quedaron pendientes por descontar en el mes m-1. |
| aj: | Número de activos del OR j que se encuentra en cada una de las situaciones descritas. |
Cuando la variable PENSj,h, supere el porcentaje definido en el numeral 3.4 de la Resolución CREG 094 de 2012 el CND deberá publicar en su página para consulta de las empresas y entidades interesadas, un informe donde se haga el análisis detallado del evento ocurrido y contenga como mínimo lo siguiente:
a. descripción del evento registrado,
b. activo causantes del evento,
c. valores y memoria de cálculo de todas las variables descritas en este capítulo,
d. para los mercados de comercialización afectados, la curva de potencia activa del periodo horario del evento, de los 12 periodos anteriores y de los 12 siguientes a la ocurrencia del mismo, y
e. el informe final del evento previsto en los acuerdos del CNO.
El informe sobre ENS será elaborado y publicado por el CND, teniendo en cuenta los plazos establecidos en los acuerdos del CNO para la presentación de los informes de análisis del evento. El CND deberá enviar copia de este informe a la SSPD con el fin de aportar información que sirva como herramienta de análisis para lo de su competencia.
Una zona excluida de CNE es la zona del STR que, en condiciones normales de operación, es alimentada sólo por un circuito o sólo por un transformador, de los que conforman el STR. También podrán ser zonas excluidas de CNE, de manera temporal, aquellas zonas que se alimenten sólo por un circuito o sólo por un transformador, de los que conforman el STR, cuando los demás activos que alimentan la zona se encuentren indisponibles por los eventos excluidos de que trata el numeral 5.1.9. La zona dejará de ser zona excluida de CNE en el momento en que otro activo del STR alimente dicha zona.
Las zonas del STR que cumplan con las condiciones establecidas en este numeral se denominarán zonas excluidas de CNE y para ellas no habrá lugar al cálculo de compensaciones por dejar no operativos otros activos o por ENS, ante eventos ocasionados por los activos que las conforman.
5.1.16.1 LISTA DE ZONAS EXCLUIDAS DE CNE. <Numeral modificado por el artículo 25 de la Resolución 36 de 2019. El nuevo texto es el siguiente:>
Para que una zona sea considerada como zona excluida de CNE, el CND verificará que cumple con la definición y los requisitos previstos en el siguiente numeral. El CND deberá publicar en su página web la lista de zonas excluidas de CNE y el conjunto de activos del STR que hacen parte de cada una de ellas. Si varios OR identifican activos que dependen eléctricamente de un mismo activo, el CND los agrupará y conformará una sola zona excluida de CNE.
El CND actualizará la lista cuando se identifique una nueva zona excluida de CNE que cumpla con los requisitos. También actualizará la lista cuando elimine una zona excluida de CNE por una de las siguientes causas: i) entró en operación comercial un proyecto que cambia alguna condición que sirvió para que la zona excluida de CNE fuera identificada previamente como tal, o ii) el proyecto, definido como viable por la UPME, no entró en operación comercial en la fecha prevista por esta entidad.
Para el caso de las zonas excluidas de CNE de manera temporal, es responsabilidad del OR declararlas, en los medios y plazos que el CND establezca para este fin, siempre que cumplan la condición que se establece en el numeral 5.1.16. Para estas zonas deberá seguirse lo establecido en los literales a y b del numeral 5.1.16.2 e identificar la causa de exclusión que origina la zona temporal.
Mensualmente y antes del cálculo de las compensaciones el CND publicará las zonas excluidas de CNE, temporales y no temporales, declaradas oportunamente por el OR junto con los activos que las conforman. Esta información deberá ser tenida en cuenta por el LAC en la estimación de las compensaciones del mes correspondiente.
5.1.16.2 PROCEDIMIENTO PARA ESTABLECER ZONAS EXCLUIDAS DE CNE.
El OR identificará la zona excluida de CNE de acuerdo con lo señalado en el numeral 5.1.16 y para que sea considerada como tal, deberá cumplir con lo siguiente:
a. Enviar al CND el diagrama unifilar de la zona excluida de CNE,
b. Identificar e informar al CND los activos del STR que hacen parte de la zona excluida de CNE.
c. Presentar a la UPME un estudio de alternativas para mitigar el riesgo de fallas en el suministro de energía en las áreas que se encuentren en la condición citada, dentro del mercado de comercialización atendido por el OR. Para esto se deberá tener en cuenta lo siguiente:
i. La UPME, con base en los criterios de evaluación para nuevos proyectos en el SIN, definirá la viabilidad de las alternativas planteadas y confirmará el plazo para su ejecución de acuerdo con lo planteado por el OR.
ii. Si la UPME no considera viable ninguna de las alternativas planteadas y no sugiere otra factible, la zona se considerará zona excluida de CNE.
iii. Si se tiene una alternativa con el visto bueno de la UPME, el valor a compensar, CNE, empezará a ser liquidado por el LAC a partir de la fecha que haya confirmado la UPME para la entrada en operación del nuevo proyecto.
d. Enviar al CND copia de la comunicación donde la UPME indique, para cada zona, que el OR entregó la información prevista en literal anterior junto con la información que esta entidad requirió para definir la viabilidad de las alternativas presentadas.
Las zonas excluidas de CNE que hayan sido identificadas con anterioridad a la entrada en vigencia de esta resolución no requerirán cumplir de nuevo estos requisitos y se mantendrán en el listado hasta que otro activo del STR alimente dicha zona o hasta la fecha de entrada en operación que apruebe la UPME para un nuevo proyecto que alimente esta zona.
5.1.17 LÍMITE DE LOS VALORES A COMPENSAR.
El LAC deberá tener en cuenta que el valor total a descontar en el mes m, al OR j, por concepto de compensaciones en el STR no podrá superar el 60 % de la suma de los ingresos en este sistema antes de compensaciones. Si el valor a descontar fuere mayor a dicho porcentaje, el saldo pendiente se deducirá durante los siguientes meses verificando que no se supere el tope del 60 %.
Además, la suma del valor de las compensaciones en el STR para cada OR j, en un año calendario, estarán limitadas a un valor equivalente al 30 % del ingreso del OR en ese año para el nivel de tensión 4, estimado actualizando la variable IAAj,4,t, definida en el capítulo 3, con el IPP de diciembre del año anterior.
Con el objeto de verificar este límite, el LAC calculará mensualmente para cada OR la siguiente variable:

Donde:
| ACSTRj,m: | Valor acumulado de las compensaciones en el STR durante los meses transcurridos del año calendario hasta el mes m. |
| CSTRj,m: | Suma de los valores que debe compensar en el STR el OR j por incumplimiento de lo establecido en este capítulo, en el mes m. |
Si para un mes m se obtiene que el valor acumulado supera el 30 % del ingreso del nivel de tensión 4 del OR para ese año el LAC liquidará al OR j, para ese mes, un valor CSTRj, tal que el ACSTRj,m no supere el 30% del ingreso anual y la SSPD podrá considerar que la empresa no está prestando el servicio con la calidad debida.
5.2 CALIDAD DEL SERVICIO EN LOS SDL.
La calidad del servicio brindada por un OR será medida en términos de la duración y la frecuencia de los eventos que perciban los usuarios conectados a sus redes. Para el efecto se adoptan indicadores para establecer la calidad media del SDL del OR, así como para establecer la calidad individual que perciba cada uno de sus usuarios.
En función de las mejoras o desmejoras alcanzadas en la calidad media del sistema con respecto a una meta establecida regulatoriamente, el OR será objeto de aplicación de un esquema de incentivos el cual, le permitirá aumentar su ingreso, o disminuirlo, según sea el caso, durante el año inmediatamente siguiente a la evaluación.
El esquema de incentivos se complementa con un esquema de compensaciones a los usuarios, el cual busca garantizar un nivel mínimo de calidad individual y dar señales para disminuir la dispersión de la calidad prestada por el OR en torno a la calidad media.
En este capítulo se definen todos los conceptos que se requieren para la aplicación del esquema anteriormente descrito.
La aplicación del esquema de incentivos y compensaciones descrito en este numeral no limita los derechos de los usuarios para reclamar ante el OR los perjuicios causados por la discontinuidad del servicio.
En caso de presentarse diferencias en la información utilizada para la aplicación del esquema de incentivos y compensaciones, entre la reportada por los agentes l y la contabilizada por los usuarios, estos últimos tienen el derecho que les reconocen los artículos 152 y siguientes de la Ley 142 de 1994 para presentar peticiones, quejas, recursos y reclamaciones.
El esquema de incentivos y compensaciones que se define en esta resolución corresponde al nivel mínimo que deben cumplir las empresas dentro del plan regulatorio de metas para el mejoramiento de la calidad, el cual en concordancia con lo dispuesto por los artículos 58 y 59 de Ley 142 de 1994, estarán sujetos al seguimiento, vigilancia y control de la SSPD.
Para efectos de cumplir con la obligación prevista en el artículo 136 de la Ley 142 de 1994, o cualquier norma que la modifique o la adicione, los OR deberán abstenerse de incurrir en cualquiera de los siguientes escenarios:
a. ser sujeto de incentivo negativo ya sea por no haber alcanzado las metas de calidad media establecidas o por no cumplir los requisitos y plazos establecidos para aplicar el esquema de calidad
b. tener al menos un usuario cuyo DIU o FIU es mayor a 360, horas o 360 veces, según corresponda
c. pagar compensaciones totales en un año que sobrepasen el 5% del ingreso de la misma vigencia, estimadas según lo establecido en el numeral 5.2.4.3,
d. no disminuir durante un año la cantidad promedio mensual de usuarios sujetos de compensación con respecto al año anterior
e. no aprobar la verificación de la cual trata el numeral 5.2.12.
f. no certificar el cumplimiento de requisitos en los términos definidos en el numeral 5.2.10.1.
Para la clasificación de los eventos sucedidos en los SDL y la identificación de las exclusiones que se tendrán en cuenta para la aplicación del esquema de incentivos y compensaciones, se aplica lo siguiente:
5.2.1 CLASIFICACIÓN DE LOS EVENTOS.
Teniendo en cuenta que un evento haya sido previsto o no por el OR, se clasifican así:
a. No programados: Son aquellos eventos en los elementos que componen un SDL que no fueron programados por el OR y que suceden por situaciones no preestablecidas por él.
b. Programados: Son aquellos eventos programados por el OR a efectos de realizar expansiones, remodelaciones, ampliaciones, reposiciones, mejoras, mantenimientos preventivos y/o mantenimientos correctivos, etc. en sus redes, instalaciones y/o equipos. Estos eventos deben ser informadas a los usuarios afectados con una antelación mínima de 48 horas a través de cualquier medio de comunicación masivo que garantice su adecuada información. El OR debe de todas formas garantizar el envío automático de un mensaje de texto o de correo electrónico brindando esta información a todos los usuarios de quienes tenga este tipo de contacto. Cuando los eventos programados afecten cargas industriales, el tiempo de notificación no podrá ser inferior a 72 horas y requerirá una comunicación escrita por parte de la empresa.
Para el cálculo de los indicadores de calidad promedio y calidad individual no se tendrán en cuenta los siguientes eventos:
a. Los menores o iguales a tres (3) minutos.
b. Los debidos a racionamiento programado o a racionamiento de emergencia del sistema eléctrico nacional debido a insuficiencia en la generación nacional o por otros eventos en generación, siempre y cuando así hayan sido definidas por el CND de acuerdo con la regulación de la CREG. El CND mantendrá disponible para los OR la información relacionada con los eventos citados anteriormente, con el fin de que los excluyan del cálculo de los indicadores. Esta información será el soporte para la validación de la exclusión durante el proceso de verificación de la información.
c. Los causados por eventos de activos pertenecientes al STN y al STR. El CND mantendrá disponible para los OR la información relacionada con los eventos citados anteriormente, con el fin de que los excluyan del cálculo de los indicadores. Esta información será el soporte para la validación de la exclusión durante el proceso de verificación de la información.
d. Los eventos requeridos por seguridad ciudadana, solicitados por organismos de socorro o autoridades competentes. El OR debe mantener constancia de las solicitudes para la validación de las exclusiones durante el proceso de verificación de la información.
e. Cuando se daña un activo de nivel de tensión 1 de propiedad de un usuario y el usuario informa al OR sobre su decisión de reponerlo, durante el tiempo que transcurra entre el aviso de falla y la reposición.
f. Cuando se daña un activo de nivel de tensión 1 de propiedad de un usuario y el OR lo debe reponer, durante el tiempo que transcurra entre el aviso de falla y la reposición, siempre y cuando no se supere el límite establecido para el OR en el literal b del numeral 1.1.4.
g. Los debidos a catástrofes naturales, tales como erosión (volcánica, fluvial o glacial), terremotos, maremotos, huracanes, ciclones y/o tornados. El OR debe mantener el soporte dado por la autoridad competente que declaró esta situación para la validación de las exclusiones durante el proceso de verificación de la información. En un término no mayor a 12 horas el OR debe informar al comercializador y este a su vez al usuario, la causa del evento y la fecha y hora estimada de recuperación del suministro del servicio de energía eléctrica.
h. Los debidos a actos de terrorismo. El OR debe mantener el soporte dado por la autoridad competente que declaró esta situación para la validación de las exclusiones durante el proceso de verificación de la información. En un término no mayor a 12 horas el OR debe informar al comercializador y este a su vez al usuario, la causa del evento y la fecha y hora estimada de recuperación del suministro del servicio de energía eléctrica.
i. Los ocurridos fuera de las horas correspondientes a los "períodos de continuidad" acordados en las zonas especiales. El OR debe mantener constancia de los acuerdos para la validación de las exclusiones durante el proceso de verificación de la información.
j. <Literal modificado por el artículo 26 de la Resolución 36 de 2019. El nuevo texto es el siguiente:> En el caso de redes y transformadores que tienen conectados usuarios de alumbrado público junto con otro tipo de usuarios, los eventos programados y no programados ocurridos por fuera de las horas definidas para la prestación del servicio de alumbrado público serán excluidos solo para efectos del cálculo de los indicadores de calidad individual del usuario de alumbrado público conectado a estos activos.
Para considerar esta exclusión, en el reporte diario de eventos al LAC de que trata el numeral 5.2.11.3.2 se debe indicar si el transformador tiene usuarios de alumbrado público. Para identificar el usuario se utilizará la información reportada para tal fin en el SUI.
k. Las suspensiones o cortes del servicio por incumplimiento del contrato de servicios públicos por parte del usuario.
l. Las suspensiones o cortes del servicio por programas de limitación del suministro al comercializador. El CND mantendrá disponible para los OR la información relacionada con los eventos citados anteriormente, con el fin de que los excluyan del cálculo de los indicadores. Esta información será el soporte para la validación de la exclusión durante el proceso de verificación de la información.
m. Eventos originados en exigencias de traslados y adecuaciones de la infraestructura eléctrica por parte de entidades distritales, municipales, departamentales, organismos estatales competentes en temas de infraestructura y medio ambiente, o demás autoridades, o por proyectos de desarrollo en concordancia con planes de ordenamiento territorial. El OR debe mantener constancia de estas exigencias, su programación y ejecución real. Esta información será el soporte para la validación de la exclusión durante el proceso de verificación de la información.
n. Los eventos debidos a trabajos de reposición o modernización en subestaciones, siempre que estos trabajos estén incluidos en el plan de inversiones aprobado por la CREG de acuerdo con lo establecido en el capítulo 7, y solo si estos eventos han sido informados a la SSPD y a los usuarios afectados en los siguientes términos:
A la SSPD:
i.A través de los formatos o aplicativos y en los plazos que la SSPD defina para ello, el OR debe reportar su plan anual de trabajos de reposición o modernización en subestaciones, especificando como mínimo lo siguiente:
a. El programa completo de actividades, incluido en el plan de inversiones aprobado por la CREG de acuerdo a lo establecido en el capítulo 6, discriminando las actividades asociadas a trabajos de reposición o modernización en subestaciones.
b. Los circuitos, transformadores y usuarios que se afectarán.
c. Los tiempos previstos de afectación.
d. Reportar las fechas y horas inicial y final estimadas de afectación de la subestación. El tiempo total entre estas fechas será un tiempo máximo de referencia.
ii.Mínimo 8 días hábiles antes del primer día de cada mes, mediante comunicación escrita o correo electrónico dirigido a la SSPD, el OR debe enviar el cronograma actualizado de las actividades que va a ejecutar durante ese mes. Este cronograma debe contener la siguiente información:
a. Listado de actividades asociadas al programa de reposición o modernización en subestaciones.
b. Objetivo específico de cada una de las actividades.
c. Circuitos, transformadores y número de usuarios que se prevé afectar por cada una de las actividades.
d. Fecha y hora inicial y final prevista para cada una de las actividades. El tiempo total entre estas fechas no debe superar el tiempo máximo de referencia reportado al SUI.
iii.Máximo 3 días hábiles después del último día del mes en el que se finalicen los trabajos, mediante comunicación escrita o correo electrónico dirigido a la SSPD, el OR debe enviar el informe de ejecución real del mes de trabajo, el cual debe contener lo siguiente:
a. Listado de actividades realizadas con el respectivo registro fotográfico.
b. Circuitos, transformadores y número de usuarios realmente afectados por cada una de las actividades.
c. Fecha y hora real de inicio y fin de cada actividad. El tiempo real total no podrá exceder el tiempo máximo de referencia. Las duraciones reales adicionales que sobrepasen los tiempos de referencia no serán excluidas.
En caso de que un OR no reporte a la SSPD el cronograma previsto y/o el informe de ejecución real, en los plazos establecidos anteriormente, se entiende que no realizó los trabajos y por lo tanto no podrá excluir eventos por este concepto.
En caso de que la SSPD lo considere necesario, se podrá solicitar información adicional al OR en relación a las actividades ejecutadas.
A los usuarios:
Informar a los usuarios afectados con una anticipación no mayor a ocho días y no menor a 48 horas, mediante publicación en un medio de comunicación masivo disponible en la región o área afectada. El OR debe de todas formas garantizar el envío automático de un mensaje de texto o de correo electrónico brindando esta información a todos los usuarios de quienes tenga este tipo de contacto. Cuando los eventos programados afecten cargas industriales, el tiempo de notificación no podrá ser inferior a 72 horas y requerirá una comunicación escrita por parte de la empresa.
Los soportes de los eventos excluidos y los anuncios correspondientes a eventos programados, excluidos y no excluidos, deberán mantenerse disponibles por el término del período tarifario y cinco (5) años más para consulta de la CREG y para efectos de seguimiento, control y vigilancia de la SSPD, o para el proceso de verificación de la información de que trata el numeral 5.2.12.
Ningún evento diferente a los anteriores podrá incluirse como exclusión, a menos que una autoridad competente lo declare como fuerza mayor o caso fortuito.
o. <Literal adicionado por el artículo 27 de la Resolución 36 de 2019. El nuevo texto es el siguiente:> Las indisponibilidades necesarias para enfrentar las situaciones acontecidas de riesgo de la vida humana, de que trata el numeral 10.6 del RETIE. Para su exclusión, el representante legal del OR deberá elaborar una declaración en la que se registre y sustente cada situación, la cual hará parte del “documento de soporte del cálculo de los indicadores”, de que trata el numeral 5.2.11.4.
5.2.3 CALIDAD MEDIA DEL SISTEMA.
La calidad media del sistema se refiere a la cantidad y duración de los eventos que en promedio afectan a todos los usuarios conectados a las redes de un OR.
La calidad media del sistema se mide a través de los indicadores que se definen en el numeral 5.2.3.1.
A los OR se les aplicará el esquema de incentivos que se establece en el numeral 5.2.3.2, a través del cual se evaluará la calidad media entregada con respecto a las metas de calidad anuales de que trata el numeral 5.2.3.2.1.
5.2.3.1 INDICADORES DE CALIDAD MEDIA.
La calidad media anual del OR se mide a través de los indicadores de duración y frecuencia de los eventos sucedidos en los SDL, que se establecen como se describe a continuación.
El indicador SAIDI representa la duración total en horas de los eventos que en promedio percibe cada usuario del SDL de un OR, hayan sido o no afectados por un evento, en un período anual. Se establece mediante la siguiente expresión:

Donde:
| SAIDIj,t: | Indicador de duración promedio por usuario, de los eventos sucedidos en el SDL del OR j, durante el año t, medido en horas al año. |
| Di,u,m: | Duración en minutos del evento i, sucedido durante el mes m, que afectó al activo u perteneciente al SDL del OR j. |
| NUi,u,m: | Número de usuarios que fueron afectados por el evento i sucedido durante el mes m, conectados al activo u. |
| UTj,m: | Número total de usuarios conectados al SDL del OR j en el mes m. |
| m: | Mes del año t, con enero = 1, …, diciembre =12. |
El indicador SAIFI representa la cantidad total de los eventos que en promedio perciben todos los usuarios del SDL de un OR, hayan sido o no afectados por un evento, en un período anual. Se establece mediante la siguiente expresión:

Donde
| SAIFIj,t: | Indicador de frecuencia promedio por usuario, de los eventos sucedidos en el SDL del OR j, durante el año t, medido en cantidad al año. |
| NUi,u,m: | Número de usuarios que fueron afectados por el evento i sucedido durante el mes m, por encontrarse conectados al activo u. |
| UTj,t: | Número total de usuarios conectados al SDL del OR j en el mes m. |
| m: | Mes del año t, con enero = 1, …, diciembre =12. |
Cada OR es responsable del cálculo de estos indicadores y la información que deberá utilizar para ello es la reportada con base en lo establecido en el numeral 5.2.11.3.2 y la información de vinculación de que trata el literal a del numeral 5.2.10.
5.2.3.2 ESQUEMA DE INCENTIVOS A LA CALIDAD MEDIA.
Con base en el desempeño anual de la calidad media de cada OR se debe aplicar un incentivo expresado como un valor que se adiciona o se resta del ingreso anual a reconocerle. El OR tendrá incentivo tanto por el desempeño medido con el indicador de duraciones SAIDIj,t, como por el indicador de frecuencia SAIFIj,t.
El desempeño anual de la calidad media de cada OR se mide a partir de la comparación de los indicadores SAIDIj,t y SAIFIj,t, con respecto a la meta anual fijada para cada uno de estos indicadores, SAIDI_Mj,t y SAIFI_Mj,t, según en lo establecido en el numeral 5.2.3.2.1. El cálculo de los indicadores SAIDIj,t y SAIFIj,t debe realizarse con base en la información de los eventos sucedidos en los circuitos y transformadores de los niveles de tensión 2 y 3 y en los transformadores de nivel de tensión 1, reportada según lo establecido en el numeral 5.2.11.3.
Los incentivos serán iguales a cero cuando los indicadores anuales de calidad media del sistema se encuentren dentro de la banda de indiferencia de la calidad media definida, para cada indicador y para cada año, como se muestra a continuación:
a. Para el indicador de duración: región cuyo límite superior es igual a 1.005 * SAIDI_Mj,t y límite inferior es igual a 0.995 * SAIDI_Mj,t.
b. Para el indicador de frecuencia: región cuyo límite superior es igual a 1.005 * SAIFI_Mj,t y límite inferior es igual a 0.995 * SAIFI_Mj,t.
5.2.3.2.1 METAS DE CALIDAD MEDIA. <Numeral modificado por el artículo 28 de la Resolución 36 de 2019. El nuevo texto es el siguiente:>
La meta anual con respecto a la calidad promedio del sistema de cada OR será calculada por la CREG como resultado de aplicar una reducción del 8% anual con respecto a los indicadores de referencia de cada OR, que serán establecidos por la CREG en la resolución particular que apruebe los ingresos anuales.
Para efectos de cumplir con la obligación prevista en el primer inciso del artículo 136 de la Ley 142 de 1994 los OR deberán abstenerse de incumplir las metas de calidad media anual a las que se refiere el inciso anterior durante dos períodos consecutivos.
La meta para el indicador de duración de los eventos sucedidos en el SDL de cada OR se obtiene con base en la siguiente expresión:
![]()
Donde:
| SAIDI_Mj,t: | Meta del indicador de duración de eventos, en horas al año, a ser alcanzada por el OR j al finalizar el año t. |
| SAIDI_Mj,t-1: | Meta del indicador de duración de eventos, en horas al año, para el año t-1. Para el primer año de aplicación del esquema de calidad de cada OR esta variable será igual al indicador de referencia, SAIDI_Rj, de que trata el numeral 5.2.5. |
La meta para el indicador de frecuencia de los eventos sucedidos en el SDL de cada OR se obtiene con base en la siguiente expresión:
![]()
Donde:
| SAIFI_Mj.t: | Meta del indicador SAIFI, en cantidad de eventos al año, a ser alcanzada por el OR j al finalizar el año t. |
| SAIFI_Mj,t-1: | Meta del indicador SAIFI, en cantidad de eventos al año, para el año t-1. Para el primer año de aplicación del esquema de calidad de cada OR esta variable será igual al indicador de referencia, SAIFI_Rj, de que trata el numeral 5.2.5. |
Sin embargo, el valor mínimo que podrán tomar las metas será el de la respectiva meta de largo plazo.
A los OR que tengan indicadores de referencia de calidad media iguales o inferiores a los indicadores de largo plazo, SAIFI_LP y SAIDI_LP, no se les calcularán metas de mejora anual. No obstante, los valores de los indicadores de largo plazo serán considerados como sus indicadores de referencia y de meta para la aplicación de los incentivos por los indicadores de duración y frecuencia.
Después del año 5 del periodo tarifario, la CREG estimará y publicará, mediante circular, las metas de calidad anual de cada OR hasta que se expida una nueva regulación.
5.2.3.2.2 INCENTIVOS A LA CALIDAD MEDIA.
Los incentivos debidos al desempeño del OR, medidos con el indicador de duración o con el indicador de frecuencia, deben ser calculados por cada OR, utilizando los indicadores de calidad reportados al SUI y con base en las disposiciones que se establecen a continuación.
5.2.3.2.2.1 INCENTIVO POR INDICADOR DE DURACIÓN.
Para el cálculo del incentivo por el indicador de duración se establece la siguiente expresión:
![]()
Donde:
| IC_SAIDIj,t: | Incentivo de calidad por duración de eventos, aplicable al OR j durante el año t del periodo tarifario, expresado en pesos de la fecha de corte. |
| If_SAIDIj,t: | Incentivo fijo por duración de eventos, que obtiene el OR j, durante el año t del periodo tarifario, expresado en pesos de la fecha de corte. |
| Iv_SAIDIj,t: | Incentivo variable por duración de eventos, que obtiene el OR j, durante el año t del periodo tarifario, expresado en pesos de la fecha de corte. |
Para determinar el valor del incentivo fijo, If_SAIDIj,t, se debe utilizar el indicador de calidad SAIDIj,t-1 y tener en cuenta lo siguiente:
a. Si el SAIDIj,t-1 se encuentra dentro de los límites de la banda de indiferencia de su meta para el año t-1, el If_SAIDIj,t será igual a cero.
b. Si el SAIDIj,t-1 es menor que el límite inferior de la banda de indiferencia de su meta para el año t-1, el If_SAIDIj,t se obtiene utilizando la siguiente expresión:

Donde:
| BRAENj,n,t.-1: | Base regulatoria de activos eléctricos nuevos del OR j en el nivel de tensión n para el año t-1, calculada de acuerdo con lo previsto en el numeral 3.1.1.2. |
c. Si el SAIDIj,t-1 es mayor que el límite superior de la banda de indiferencia de su meta para el año t-1, el If_SAIDIj,t se obtiene utilizando la siguiente expresión:
![]()
Donde:
| Crrj,n: | Costo de reposición de referencia del OR j en el nivel de tensión n al inicio del periodo tarifario, de que trata el numeral 6.4.2. |
| BRAENj,n,t.-1: | Base regulatoria de activos eléctricos nuevos del OR j en el nivel de tensión n para el año t-1, calculada de acuerdo con lo previsto en el numeral 3.1.1.2. |
Para determinar el valor del incentivo variable, Iv_SAIDIj,t, se debe utilizar el indicador de calidad SAIDIj,t-1 y tener en cuenta lo siguiente:
e. Si el SAIDIj,t-1 se encuentra dentro de los limites de la banda de indiferencia de su meta para el ano t-1, el Iv_SAIDIj,t sera igual a cero.
f. <Literal modificado por el artículo 29 de la Resolución 36 de 2019. El nuevo texto es el siguiente:> Si el SAIDIj,t-1, es menor que el límite inferior de la banda de indiferencia de su meta para el año t-1, el Iv_SAIDIj,t, se obtiene utilizando la siguiente expresión:

Donde:
| SAIDI_Rj: | Indicador de duración de referencia de los eventos sucedidos en el SDL, en horas al año, de que trata el numeral 5.2.5. |
| SAIDI_CIj,t-1: | Valor del indicador de duración de eventos utilizado para calcular y limitar el valor del incentivo, cuando el SAIDIj,t-1 es menor que el límite inferior de la banda de indiferencia. |
| SAIDIj,t-1: | Indicador de duración de los eventos sucedidos en el SDL alcanzado por el OR j en el año t-1, calculado con base en lo establecido en el numeral 5.2.3.1. |
| Ivi_SAIDI maxj,t: | Incentivo variable máximo con respecto al indicador de duración de los eventos, para el OR j, en el año t, cuando el SAIDIj,t-1 es menor que el límite inferior de la banda de indiferencia. |
| SAIDI_LP: | Meta de largo plazo para el indicador de duración de los eventos, fijada en 2 horas/año. |
g. <Literal modificado por el artículo 29 de la Resolución 36 de 2019. El nuevo texto es el siguiente:>
Si el SAIDIj,t-1 es mayor que el límite superior de la banda de indiferencia de su meta para el año t-1, el incentivo variable se obtiene utilizando la siguiente expresión:

Donde:
| SAIDI_Mj,t-1: | Meta de duración de los eventos para el OR j, para el año t-1. |
| SAIDI_CSj,t-1: | Valor del indicador de duración de eventos utilizado para calcular y limitar el valor del incentivo, cuando el SAIDI_Mj,t-1, es mayor que el límite superior de la banda de indiferencia. |
| SAIDI_Rj: | Indicador de duración de referencia de los eventos, en horas al año, de que trata el numeral 5.2.5. |
| SAIDI_LP: | Meta de largo plazo para el indicador de duración de los eventos, fijada en 2 horas/año. |
| SAIDIj,t-1: | Indicador de duración de los eventos alcanzado por el OR j en el año t-1, calculado con base en lo establecido en el numeral 5.2.3.1. |
| Ivs_SAIDI maxj,t: | Incentivo variable máximo con respecto al indicador de duración de los eventos, para el OR j, en el año t, cuando el SAIDIj,t-1, es mayor que el límite superior de la banda de indiferencia. |
| Crrj,n: | Costo de reposición de referencia del OR j en el nivel de tensión n al inicio del periodo tarifario, de que trata el numeral 6.4.2. |
| BRAENj,n,t-1: | Base regulatoria de activos eléctricos nuevos del OR j en el nivel de tensión n para el año t-1, calculada de acuerdo con lo previsto en el numeral 3.1.1.2. |
5.2.3.2.2.2 INCENTIVO POR INDICADOR DE FRECUENCIA.
![]()
Donde:
| IC_SAIFIj,t: | Incentivo de calidad por frecuencia de eventos, aplicable al OR j, durante el año t del periodo tarifario. |
| If_SAIFIj,t: | Incentivo fijo por frecuencia de eventos, que obtiene el OR j, durante el año t del periodo tarifario. |
| Iv_SAIFIj,t: | Incentivo variable por frecuencia de eventos, que obtiene el OR j, durante el año t del periodo tarifario. |
Para determinar el valor del incentivo fijo, If_SAIFIj,t, se debe utilizar el indicador de calidad SAIFIj,t-1 y tener en cuenta lo siguiente:
a. Si el SAIFIj,t-1 se encuentra dentro de los límites de la banda de indiferencia de su meta para el año t-1, el If_SAIFIj,t será igual a cero.
b. Si el SAIFIj,t-1 es menor que el límite inferior de la banda de indiferencia de su meta para el año t-1, el If_SAIFIj,t se obtiene utilizando la siguiente expresión:

Donde:
| BRAENj,n,t.-1: | Base regulatoria de activos eléctricos nuevos del OR j en el nivel de tensión n para el año t-1, calculada de acuerdo con lo previsto en el numeral 3.1.1.2. |
c. Si el SAIFIj,t-1 es mayor que el límite superior de la banda de indiferencia de su meta para el año t-1, el If_SAIFIj,t se obtiene utilizando la siguiente expresión:

Donde:
| Crrj,n: | Costo de reposición de referencia del OR j en el nivel de tensión n al inicio del periodo tarifario, de que trata el numeral 6.4.2. |
| BRAENj,n,t.-1: | Base regulatoria de activos eléctricos nuevos del OR j en el nivel de tensión n para el año t-1, calculada de acuerdo con lo previsto en el numeral 3.1.1.2. |
Para determinar el valor del incentivo variable, Iv_SAIFIj,t, se debe utilizar el indicador de calidad SAIFIj,t-1 y tener en cuenta lo siguiente:
e. Si el SAIFIj,t-1 se encuentra dentro de los límites de la banda de indiferencia de su meta para el año t-1, el Iv_SAIFIj,t será igual a cero.
f. <Literal modificado por el artículo 30 de la Resolución 36 de 2019. El nuevo texto es el siguiente:> Si el SAIFIj,t-1, es menor que el límite inferior de la banda de indiferencia de su meta para el año t-1, el Iv_SAIFIj,t, se obtiene utilizando la siguiente expresión:
![]()

Donde:
| SAIFI_Rj: | Frecuencia de referencia de ocurrencia de los eventos, en cantidad, de que trata numeral 5.2.5. |
| SAIFI_CIj,t-1: | Valor del indicador de frecuencia de eventos utilizado para calcular y limitar el valor del incentivo, cuando el SAIFIj,t-1, es menor que el límite inferior de la banda de indiferencia. |
| SAIFIj,t-1: | Indicador de frecuencia de los eventos, alcanzado por el OR j en el año t-1, calculado con base en lo establecido en el numeral 5.2.3.1. |
| Ivi_SAIFI maxj,t: | Incentivo variable máximo con respecto al indicador de frecuencia de los eventos, para el OR j, en el año t, cuando el SAIFIj,t-1, es menor que el límite inferior de la banda de indiferencia. |
| SAIFI_LP: | Meta de largo plazo para el indicador de frecuencia de eventos, fijada en 9 veces/año. |
| BRAENj,n,t-1: | Base regulatoria de activos eléctricos nuevos del OR j en el nivel de tensión n para el año t-1, calculada de acuerdo con lo previsto en el numeral 3.1.1.2. |
g. <Literal modificado por el artículo 30 de la Resolución 36 de 2019. El nuevo texto es el siguiente:>
Si el SAIFIj,t-1, es mayor que el límite superior de la banda de indiferencia de su meta para el año t-1, el incentivo variable se obtiene utilizando la siguiente expresión:

![]()

Donde:
| SAIFIj,t-1: | Meta de frecuencia de eventos para el OR j, para el año t-1. |
| SAIFI_CSj,t-1: | Valor del indicador de frecuencia de eventos utilizado para calcular y limitar el valor del incentivo, cuando el SAIFIj,t-1, es mayor que el límite superior de la banda de indiferencia. |
| SAIFI_Rj: | Frecuencia de referencia de ocurrencia de los eventos, en cantidad, de que trata el numeral 5.2.5. |
| SAIFI_LP: | Meta de largo plazo para el indicador de frecuencia de los eventos, fijada en 9 veces/año. |
| SAIFIj,t-1: | Indicador de frecuencia de eventos, alcanzado por el OR j en el año t-1, calculado con base en lo establecido en el numeral 5.2.3.1. |
| Ivs_SAIFI maxj,t: | Incentivo variable máximo con respecto al indicador de frecuencia de eventos, para el OR j, en el año t, cuando el SAIFIj,t-1, es mayor que el límite superior de la banda de indiferencia. |
| Crrj,n: | Costo de reposición de referencia del OR j en el nivel de tensión n al inicio del periodo tarifario, de que trata el numeral 6.4.2. |
| BRAENj,n,t-1: | Base regulatoria de activos eléctricos nuevos del OR j en el nivel de tensión n para el año t-1, calculada de acuerdo con lo previsto en el numeral 3.1.1.2. |
5.2.3.2.3 INGRESO ANUAL POR INCENTIVOS DE CALIDAD MEDIA.
Los incentivos obtenidos por el desempeño en la calidad media, que serán aplicados en el ingreso de cada OR, se determinan de la siguiente manera:
![]()
![]()
![]()
Donde:
| INCCj,n,t: | Ingreso anual por incentivos asociados con la calidad del servicio del OR j en el nivel de tensión n, en el año t. |
| INCDj,n,t: | Ingreso anual por incentivos asociados con la calidad del servicio relativa a los indicadores de duración del nivel de tensión n, del OR j, en el año t. |
| INCFj,n,t: | Ingreso anual por incentivos asociados con la calidad del servicio relativa a los indicadores de frecuencia del nivel de tensión n, del OR j, en el año t. |
| IC_SAIDIt,j: | Incentivo de calidad aplicable al OR j, durante el año t del periodo tarifario, calculado como se establece en el numeral 5.2.3.2.2.1. |
| IC_SAIFIt,j: | Incentivo de calidad aplicable al OR j durante el año t del periodo tarifario, calculado como se establece en el numeral 5.2.3.2.2.2. |
| BRAEj,n,o: | Base regulatoria de activos eléctricos del nivel de tensión n, al inicio del periodo tarifario, según lo establecido en el numeral 3.1.1.1. |
5.2.4 NIVELES DE CALIDAD INDIVIDUAL.
Los niveles de calidad individual del servicio en los SDL se identificarán a través de los indicadores DIU y FIU que se describen más adelante. Estos indicadores se utilizarán para identificar los niveles mínimos de calidad que deben garantizar los OR, así como los niveles individuales de calidad brindada mensual y anualmente por los OR por grupo de calidad. La comparación entre los mínimos garantizados y la calidad individual brindada dará lugar a la aplicación del esquema de compensaciones descrito en el numeral 5.2.4.3.
5.2.4.1 GRUPOS DE CALIDAD PARA LA MEDICIÓN INDIVIDUAL. <Ver Notas de Vigencia>
Los grupos de calidad identifican zonas geográficas cuya unidad mínima es el área urbana o rural de un municipio; estas zonas comparten características similares en términos del nivel de ruralidad y del riesgo de falla que podrían tener los circuitos eléctricos allí ubicados debido a la presencia de factores físicos externos.
El nivel de ruralidad se define clasificando los municipios en función del número total de sus habitantes según lo establezca el último censo oficial del DANE. Para este efecto se adoptan tres niveles de ruralidad: zona urbana de los municipios con una población total igual o superior a 100.000 habitantes, zona urbana de los municipios con una población total menor a 100.000 habitantes y zona rural de todos los municipios. La zona rural corresponderá estrictamente con las zonas que en cumplimiento del artículo 30 de la Ley 388 de 1997 hayan sido clasificadas como zonas rurales en el plan de ordenamiento territorial (POT) vigente de cada municipio.
El índice de riesgo de falla, IRF, define el riesgo asociado a la posible ocurrencia, severidad y afectación de factores climáticos, atmosféricos, topográficos y fisiográficos, como son el nivel ceráunico, la precipitación, la elevación sobre el nivel el mar, la densidad de descargas a tierra, los días con lluvia y la salinidad. Se adoptan tres niveles de riesgo: bajo, medio y alto, según sea el valor del IRF.
Cada grupo de calidad es identificado mediante el nombre grupo xy, en donde la variable x representa el nivel de ruralidad IR y la variable y representa el nivel de riesgo IRF, según se indica a continuación:
Tabla 6. Grupos de calidad
| NIVEL DE RURALIDAD | ||||||
| IR=1 | IR=2 | IR=3 | ||||
| =100.000 habitantes | <100.000 habitantes | Zona rural | ||||
| NIVEL DE RIESGO | BAJO | IRF=22 | 1 | 11 | 21 | 31 |
| MEDIO | 22<IRF=45 | 2 | 12 | 22 | 32 | |
| ALTO | 45<IRF=100 | 3 | 13 | 23 | 33 | |
Cada municipio del SIN se clasifica dentro de un grupo de calidad, de acuerdo con el IRF que le corresponda según se establece en el capítulo 16 y el IR correspondiente al número de habitantes.
Los transformadores pertenecerán al grupo de calidad al cual pertenece el municipio, o la zona del municipio, en el cual se encuentren ubicados y los usuarios al grupo de calidad del transformador al que se encuentren conectados, independientemente de si el transformador es un activo de uso o un activo de conexión.
5.2.4.2 INDICADORES DE CALIDAD INDIVIDUAL.
Los indicadores de calidad individual se establecerán a nivel de usuario.
El indicador DIU representa la duración total de los eventos que percibe cada usuario del SDL de un OR en un período anual. Se establece mediante la siguiente expresión:


Donde:
| DIUu,n,q,m: | Duración total acumulada en horas de los eventos percibidos por el usuario u, conectado al nivel de tensión n y que pertenece al grupo de calidad q, en un periodo de doce meses que termina en el mes m de evaluación. |
| DIUMu,n,q,m: | Duración en horas de todos los eventos percibidos por el usuario u, conectado al nivel de tensión n y que pertenece al grupo de calidad q, durante el mes m de evaluación. |
| Di,u,n,q,m: | Duración en horas del evento i que afectó al usuario u conectado al nivel de tensión n que pertenece al grupo de calidad q durante el mes m. |
| IT: | Número total de eventos sucedidos en el mes m. |
El indicador FIU representa la cantidad total de eventos que percibe cada usuario del SDL de un OR en un período anual. Se establece mediante la siguiente expresión:


Donde:
| FIUu,n,q,m: | Número total acumulado de eventos percibidos por el usuario u conectado al nivel de tensión n y que pertenece al grupo de calidad q, en un periodo de doce meses que termina en el mes m de evaluación. |
| FIUMu,n,q,m: | Número total de eventos percibidos por el usuario u, conectado al nivel de tensión n y que pertenece al grupo de calidad q, durante el mes m de evaluación. |
| Fi,u,n,q,m: | Evento i que afectó al usuario u conectado al nivel de tensión n, que pertenece al grupo de calidad q, durante el mes m. |
Para la aplicación del esquema de compensaciones se establecen indicadores de calidad mínima garantizada que representan una cantidad máxima anual de horas interrumpidas, DIUG, y de veces en las que ocurren eventos, FIUG, que les corresponde a los OR garantizar a los usuarios de las redes del SDL. Estos indicadores se establecen por OR, por grupo de calidad y por nivel de tensión, para el nivel 1 y en forma agregada para los niveles 2 y 3, y se mantienen fijos para todo el período tarifario.
Los indicadores de calidad mínima anual garantizada se expresarán así:
| DIUGj,n,q: | Duración máxima anual en horas de eventos que deben recibir los usuarios del OR j conectados al nivel de tensión n y que pertenecen al grupo de calidad q. |
| FIUGj,n,q: | Número máximo anual de eventos que deben recibir los usuarios del OR j conectados al nivel de tensión n y que pertenecen al grupo de calidad q. |
Los indicadores DIUG y FIUG anual para cada OR corresponderán al percentil 85 de la distribución de usuarios, en cada nivel de tensión, para el nivel 1 y en forma agregada para los niveles 2 y 3, y en cada grupo de calidad, ordenados en forma ascendente en función de las duraciones y en función de la frecuencia de los eventos. En ningún caso el valor de los indicadores DIUG y FIUG será mayor a 360 horas o 360 veces, según corresponda.
La CREG definirá el valor de estos indicadores para cada OR con base en la información que se indica en el numeral 5.2.5 y los establecerá en la resolución particular que les apruebe el ingreso.
Después del año 5 del periodo tarifario, los indicadores DIUG y FIUG para cada OR que se usarán para aplicar el esquema de compensaciones corresponderán al 80% de los DIUG y FIUG estimados según lo indicado en el numeral 5.2.5.
5.2.4.3 ESQUEMA DE COMPENSACIONES. <Numeral modificado por el artículo 31 de la Resolución 36 de 2019. El nuevo texto es el siguiente:>
Para evaluar el cumplimiento de la garantía de calidad y determinar si un usuario debe o no ser compensado, mensualmente se medirán los indicadores de calidad individual anual, DIUu,n,q,m y FIUu,n,q,m, y serán comparados contra los indicadores de calidad mínima garantizada, DIUGj,n,q y FIUGj,n,q, establecidos para cada OR. Estos últimos indicadores corresponden a los establecidos en el numeral 5.2.5.
Los indicadores de calidad individual anual serán calculados por cada OR a partir de los registros de eventos consignados en la base de datos de calidad del LAC, ocurridas en su SDL durante el período de evaluación, y demás información requerida que haya sido reportada al SUI en los formatos y condiciones que la SSPD establezca. El OR deberá elaborar y mantener un documento que soporte los cálculos correspondientes.
Los criterios y condiciones para determinar el valor de la compensación son los siguientes:
Si en el mes m se obtiene que el indicador DIUu,n,q,m de un usuario es menor o igual al DIUGj,n,q establecido para el OR, el valor de la variable VCDf que se indica más adelante será igual a cero.
Si en el mes m se obtiene que DIUu,n,q,m es mayor al DIUGj,n,q el usuario recibirá compensación si se cumple la siguiente condición:
![]()
![]()

Donde:
| HCu,n,q,m: | Horas de compensación al usuario u, conectado al nivel de tensión n, que pertenece al grupo de calidad q, en el mes m. |
| HCu,n,q,ma: | Horas de compensación al usuario u, conectado al nivel de tensión n, que pertenece al grupo de calidad q, en el mes ma. Para los meses ma anteriores al primer mes de aplicación de lo dispuesto en este numeral, su valor será igual a cero. |
| THCu,n,q,m-1: | Total de horas compensadas al usuario u, conectado al nivel de tensión n, que pertenece al grupo de calidad q, hasta el mes m-1 |
De lo contrario el valor de la variable VCDf será cero.
Si en el mes m se obtiene que el indicador FIUu,n,q,m de un usuario es menor o igual al FIUGj,n,q establecido para el OR, el valor de la variable VCFf que se define más adelante será igual a cero.
Si en el mes m se obtiene que FIUu,n,q,m es mayor al FIUGj,n,q el usuario recibirá compensación si se cumple la siguiente condición:
![]()
![]()

Donde:
| VCu,n,q,m: | Número de eventos de compensación al usuario u, conectado al nivel de tensión n, que pertenece al grupo de calidad q, en el mes m. |
| VCu,n,q,ma: | Número de eventos de compensación al usuario u, conectado al nivel de tensión n, que pertenece al grupo de calidad q, en el mes ma. Para los meses ma anteriores al primer mes de aplicación de lo dispuesto en este numeral, su valor será igual a cero. |
| TVCu,n,q,m-1: | Total de eventos compensados al usuario u, conectado al nivel de tensión n, que pertenece al grupo de calidad q, hasta el mes m-1. |
De lo contrario el valor de la variable VCFf será cero.
Cuando al corte de un mes un usuario sea sujeto de compensación por uno o por ambos indicadores, el valor que el OR deberá compensar al usuario en la factura en la que se incluya ese mes, se estimará utilizando la siguiente expresión:
![]()
![]()
![]()
Donde:
| VCf: | Valor total a compensar al usuario en la factura f. |
| VCDf: | Valor a compensar al usuario en la factura f por incumplimiento de la duración máxima de eventos. |
| VCFf: | Valor a compensar al usuario en la factura f por incumplimiento del número máximo de eventos. |
| %t: | Porcentaje de descuento del cargo de distribución por compensación aplicable al año t, el cual se aplicará así: Para t=1, 8%; t=2, 10%; t=3, 12%; t=4, 14%; t=5, 16%; t=6, 18% y t=7,20%. |
| Dtn,j,m,t: | Cargo de distribución del nivel de tensión n del OR j para el mes m del año t. Este valor es el mismo que resulta de aplicar lo dispuesto en el numeral 1.1. |
| CEC: | Consumo estimado a compensar en kWh según factura f. |
El consumo estimado a compensar del usuario, CEC, se calcula utilizando la siguiente expresión:

Donde:
| CFf: | Consumo facturado al usuario en la factura f en kWh. |
| EXCT: | Duración agregada de los eventos excluidos que afectaron al usuario u durante el período facturado. |
| DIUT: | Duración agregada de los eventos no excluidos que afectaron al usuario u durante el período facturado. |
| DIUMu,n,q,m: | Según se define en el numeral 5.2.4.2. Cuando el usuario no sea objeto de compensación en el mes m, esta variable toma el valor de cero. |
| mf: | Número de meses facturados en la factura f. |
| mc: | Número de meses del período facturado durante los cuales el usuario recibe compensación. |
El comercializador será el responsable de calcular y aplicar las compensaciones correspondientes a cada usuario y en cada factura, con base en los indicadores de cada usuario, información reportada por el OR al SUI.
Si un usuario sujeto de compensación se encuentra en mora en el mes de aplicación de la compensación, esta no le será pagada. El comercializador debe reportar mensualmente de manera independiente las compensaciones efectivamente pagadas y las no pagadas en los formatos que establezca para el efecto el SUI. La suma total de las compensaciones no pagadas a los usuarios durante un año del período tarifario, por encontrarse en mora, será calculada por el LAC con base en la siguiente fórmula:

Donde:
| CONPj,t: | Valor total a descontar al OR j en el año t por las compensaciones no pagadas durante el año t-1. |
| VCf,um,t-1: | Valor que se compensaría en la factura f del año t-1 del usuario en mora um que no recibe compensación. |
| nu: | Número total de usuarios en mora del año t-1. |
| nf: | Número total de facturas con compensaciones no pagadas del usuario en mora um del año t-1. |
5.2.5 INDICADORES DE REFERENCIA Y DE CALIDAD MÍNIMA GARANTIZADA.
Los indicadores de referencia, SAIDI_Rj y SAIFI_Rj, y los indicadores de calidad mínima garantizada, DIUGj,n,q y FIUGj,n,q serán calculados y definidos en la resolución de aprobación de cargos que expida la CREG, a partir de la información contenida en los reportes diarios y trimestrales hechos por el OR j, durante el año 2016, al sistema denominado "índices de calidad SDL, INDICA", considerando las exclusiones que allí se reportaron, pero excluyendo adicionalmente la duración y frecuencia de los eventos con duración menor o igual a tres (3) minutos. La información de vinculación de los usuarios a las redes de distribución será obtenida del SUI.
Para el cálculo de los indicadores de referencia de los OR que no reportaron información al sistema INDICA se utiliza la información reportada al SUI durante el año 2016, afectando este cálculo por la relación que resulta de comparar la información con y sin la desagregación de los eventos menores o iguales a tres (3) minutos de los OR que reportaron a INDICA.
Para las empresas que no reportaron información al sistema INDICA y tampoco reportaron información al SUI o el reporte a este sistema es incompleto o de mala calidad, los indicadores de referencia son calculados por la CREG como un promedio de los indicadores de referencia de las empresas que más se parezcan en cantidad de km de redes de media tensión y transformadores de nivel 1, por grupo de calidad.
5.2.6 INDICADORES ADICIONALES.
Además de los indicadores de calidad media e individual utilizados para la aplicación del esquema de incentivos y compensaciones los OR deben calcular y reportar los indicadores adicionales que se describen a continuación.
Estos indicadores adicionales no serán tenidos en cuenta para la aplicación del esquema de incentivos y compensaciones y solo serán utilizados con fines de análisis estadísticos.
5.2.6.1 INDICADORES CON EVENTOS DE CIRCUITOS DE NIVEL DE TENSIÓN 1.
Los OR deben calcular indicadores adicionales de calidad media e individual con la información de eventos en circuitos y transformadores de nivel de tensión 2 y 3 y transformadores de nivel de tensión 1 más la información de eventos sucedidos en los circuitos de nivel de tensión 1.
Los indicadores adicionales que incluyen eventos de circuitos de nivel de tensión 1, deberán notarse de manera diferente a la notación utilizada para los indicadores que se emplean en la aplicación del esquema de incentivos y compensaciones a la calidad.
5.2.6.2 INDICADORES ADICIONALES DE CALIDAD MEDIA.
Los OR y el LAC deben calcular los siguientes indicadores adicionales de calidad media:
a) <Literal modificado por el artículo 32 de la Resolución 36 de 2019. El nuevo texto es el siguiente:> Indicador de frecuencia momentánea de eventos, MAIFIj,t, calculado utilizando la información de los eventos menores o iguales a tres (3) minutos, como se describe a continuación:

| MAIFIj,t: | Indicador de frecuencia momentánea de eventos sucedidos en el SDL del OR j, durante el año t. [veces/año] |
| NUi,t: | Número de usuarios conectados al SDL del OR j que fueron afectados por el evento i de duración menor o igual a tres (3) minutos, sucedido durante el año t. |
| UTj,t: | Número total de usuarios conectados al SDL del OR j en el año t |
b) Indicador de duración promedio de eventos por usuario, CAIDIj,t, calculado como se describe a continuación:

Donde:
| SAIDIj,t: | Indicador de duración promedio de los eventos sucedidos en el SDL del OR j, durante el año t. [horas/año] |
| SAIFIj,t: | Indicador de frecuencia promedio de los eventos sucedidos en el SDL del OR j, durante el año t. [veces/año] |
5.2.7 ALUMBRADO PÚBLICO. <Numeral modificado por el artículo 33 de la Resolución 36 de 2019. El nuevo texto es el siguiente:>
Los usuarios del servicio de alumbrado público estarán cubiertos por las reglas de calidad del servicio en los SDL. Para todos los efectos, en cada transformador al cual se halle conectada una red de alumbrado público se considerará que existe un consumidor de alumbrado público del OR, que será contabilizado para realizar la estimación de los indicadores de calidad media e individual y aplicar los incentivos y compensaciones correspondientes.
La sumatoria de las duraciones o de las frecuencias de los eventos sucedidos en cada uno de los transformadores que atienden un usuario de alumbrado público será información que deberá utilizarse para efectos de calcular las compensaciones de calidad individual que les son aplicables a dicho usuario.
5.2.8 USUARIOS QUE INYECTAN ENERGÍA A LA RED.
En los contratos de conexión de generación, asociada a excedentes de autogeneración sin excepción, debe incluirse una cláusula explicita en la cual se establezca la compensación monetaria que el OR deberá pagar a este usuario cuando la red no esté disponible para inyectar energía generada por la planta. Tanto los contratos nuevos, como los contratos vigentes a la entrada en vigencia de esta resolución, deben ajustarse a lo dispuesto en este artículo. En los reportes de eventos al LAC, los OR tienen la obligación de indicar cuando un evento afectó una conexión de generación.
5.2.9 CONTRATOS DE CALIDAD EXTRA.
El usuario que lo requiera podrá solicitar al OR la realización de un contrato de calidad extra, mediante el cual las partes acordarán los valores máximos de duración y frecuencia de los eventos que el OR se comprometerá a brindarle en forma adicional a los mínimos garantizados establecidos por la regulación, la forma en que el usuario pagará por esta calidad adicional y las compensaciones que se generarán por el incumplimiento.
La negociación de estos contratos considerará la posibilidad de realizar un acuerdo de mayor pago por el servicio de distribución a cambio de garantizar las mejores condiciones de continuidad acordadas.
Los acuerdos objeto de estos contratos deben tener en cuenta que en todo caso el OR deberá cumplirle al usuario los estándares mínimos garantizados de que trata el numeral 5.2.4 y las compensaciones que de estos se derivan, por lo que el acuerdo que se haga en el contrato de calidad extra será por la diferencia entre los niveles mínimos garantizados y los nuevos valores que se acuerden entre el OR y el usuario.
Para el efecto, dentro un término máximo de seis meses, contados a partir de la entrada en vigencia de esta resolución, cada OR deberá adoptar un procedimiento para la solicitud y acuerdo final de este tipo de contratos, el cual deberá ser informado a cada uno de los clientes y publicados en su página de internet en forma visible y de fácil acceso para todos los usuarios. Máximo 15 días calendario después de realizada una solicitud por parte de un usuario, el OR deberá enviar copia de la misma a la CREG y a la SSPD a través de los medios y las condiciones que para el efecto definan estas entidades. El resultado final de las negociaciones debe ser también enviado a la CREG y a la SSPD, en las condiciones que para el efecto definan estas entidades.
5.2.10 REQUISITOS DEL ESQUEMA DE INCENTIVOS Y COMPENSACIONES.
Los OR tienen la obligación de cumplir en forma permanente los requisitos que se indican a continuación:
a. Vinculación de cada usuario a la red de distribución, identificando los elementos a través de los cuales se conecta al SDL, como son los transformadores de nivel de tensión 1, 2 y 3 y los circuitos de nivel de tensión 1, 2 y 3. El OR deberá contar con un procedimiento que garantice la actualización permanente de la información de georreferenciación de la red y de la vinculación de usuarios a la red de distribución, que haga parte de su certificación de gestión de la calidad.
b. Certificación del sistema de medición y procedimientos de registro y reporte del OR, en el que se incluyen como mínimo las condiciones establecidas en esta resolución.
c. Sistema de gestión de la distribución, DMS.
d. Telemedición y control automático en elementos de corte y maniobra instalados en todas las cabeceras de circuito.
e. Contar con un segundo equipo instalado en por lo menos el 90% de los circuitos de los niveles de tensión 2 y 3 del OR, el cual por lo menos debe ser telemedido y detectar ausencia o presencia de tensión en el circuito. Este equipo es adicional al mencionado en el literal d anterior.
f. <Literal modificado por el artículo 10 de la Resolución 85 de 2018. El nuevo texto es el siguiente:> Contar con un tercer equipo de telemedición, que sea de corte y maniobra y telecontrolado, adicional a los mencionados en los literales d y e. Estos equipos deben estar instalados en por lo menos el 70% de los circuitos de los niveles de tensión 2 y 3. Los OR tendrán un plazo máximo de un año para el cumplimiento de este requisito, contado a partir de la entrada en vigencia de la resolución con la que se le aprueba el ingreso al OR.
El OR deberá garantizar que en todo momento los requisitos d, e y f se mantengan operativos por lo menos en el 90% de los circuitos que deben contar con el equipo.
<Inciso modificado por el artículo 3 de la Resolución 101-32 de 2022. El nuevo texto es el siguiente:> La verificación de estos requisitos deberá ser contratada según lo establecido en la Resolución CREG 025 de 2013 o la que la modifique o sustituya.
Como resultado de la verificación el OR deberá enviar dentro de los plazos y condiciones previstos en la mencionada resolución, copia a la CREG y a la SSPD del informe de la firma seleccionada en el que se certifique, en forma clara y sin ambigüedades, el cumplimiento de los mencionados requisitos. En el caso de las empresas que no entraron a aplicar el esquema de calidad definido en la Resolución CREG 097 de 2008, el primer informe de verificación debe ser enviado a la CREG y a la SSPD en un plazo máximo de seis meses contados a partir de la entrada en vigencia de la presente resolución y los informes posteriores deben ser enviados dentro de los plazos y condiciones previstos en la Resolución CREG 025 de 2013 o la que la modifique o sustituya.
5.2.10.1 CONDICIONES PARA EL CUMPLIMIENTO DE REQUISITOS. <Numeral modificado por el artículo 11 de la Resolución 85 de 2018. El nuevo texto es el siguiente:>
El cumplimiento de los anteriores requisitos estará sujeto a las siguientes condiciones de verificación y de aplicación del esquema de incentivos, sin perjuicio de las acciones que adelante la SSPD para los OR que han incumplido la aplicación del esquema de calidad establecido en la Resolución número CREG 097 de 2008.
a) Los OR que al primer día de aplicación de su ingreso aprobado no tengan certificados los requisitos del esquema de calidad establecido en la Resolución número CREG 097 de 2008, en forma inmediata deberán aplicar un incentivo negativo que se calculará de acuerdo con lo que se establece en los literales c) y g) de los numerales 5.2.3.2.2.1 y 5.2.3.2.2.2, utilizando los máximos valores posibles. Este incentivo negativo se mantendrá hasta el mes en el que el OR certifique el cumplimiento de los requisitos del numeral 5.2.10, exceptuando el literal f. A partir de la certificación el incentivo será el resultado de la aplicación de las fórmulas de cálculo de los numerales 5.2.3.2.2.1 y 5.2.3.2.2.2;
b) Los OR que al primer día de aplicación de su ingreso aprobado tengan certificados los requisitos del esquema de calidad establecido en la Resolución número CREG 097 de 2008 tendrán un plazo de seis (6) meses a partir de la fecha de entrada en vigencia de su resolución de aprobación de ingresos para certificar los requisitos del numeral 5.2.10, exceptuando el literal f. Transcurrida esta fecha, sin que se haya certificado el cumplimiento de estos últimos requisitos, en forma inmediata deberán aplicar un incentivo negativo que se calculará de acuerdo con lo que se establece en los literales c) y g) de los numerales 5.2.3.2.2.1 y 5.2.3.2.2.2, utilizando los máximos valores posibles. Este incentivo negativo se mantendrá hasta el mes en el que el OR certifique el cumplimiento de los requisitos del numeral 5.2.10, exceptuando el literal f). A partir de la certificación el incentivo será el resultado de la aplicación de las fórmulas de cálculo de los numerales 5.2.3.2.2.1 y 5.2.3.2.2.2”;
c) Todos los OR tendrán un plazo máximo de quince (15) meses, contados a partir de la entrada en vigencia de la resolución que apruebe sus ingresos anuales, para certificar por primera vez el cumplimiento del requisito establecido en el literal f. del numeral 5.2.10. En caso de no contar con esta certificación en el plazo previsto, a partir del mes 16 se les aplicará un incentivo negativo que se calculará de acuerdo con lo que se establece en los literales c) y g) de los numerales 5.2.3.2.2.1 y 5.2.3.2.2.2, utilizando los máximos valores posibles. Este incentivo negativo se mantendrá hasta el mes en el que el OR certifique el cumplimiento de este requisito. A partir de la certificación el incentivo será el resultado de la aplicación de las fórmulas de cálculo de los numerales 5.2.3.2.2.1 y 5.2.3.2.2.2.
5.2.10.2 REMUNERACIÓN DE INVERSIONES PARA CUMPLIMIENTO DE REQUISITOS.
Todos los OR tendrán la obligación de incluir las inversiones necesarias para cumplir los requisitos del numeral 5.2.10, con excepción del requisito establecido en el literal f del mismo numeral, en: i) en los planes de inversión que para el primer año presente el OR según lo establecido en el literal b del numeral 6.4 o, ii) en caso de que el OR escoja la opción de presentar su plan de inversiones a partir del segundo año, el mínimo reconocimiento de inversiones que le aplicará la CREG para ese primer año.
Lo anterior, siempre y cuando los activos necesarios no se encuentren dentro del inventario de activos utilizado para la definición de la base regulatoria de activos del OR al inicio del periodo tarifario, según numeral 3.1.1.1.
5.2.11 INFORMACIÓN BÁSICA PARA LA APLICACIÓN DEL ESQUEMA DE INCENTIVOS Y COMPENSACIONES.
La información básica para la aplicación del esquema de incentivos y compensaciones debe ser medida, registrada y reportada de acuerdo con lo que se establece en este numeral.
5.2.11.1 MEDICIÓN DE LOS EVENTOS.
Los OR deben disponer de dos equipos de corte y maniobra en las redes de los niveles de tensión 2 y 3, que puedan ser medidos y controlados de manera remota. El primero de los equipos mencionados debe estar instalado en la cabecera de cada circuito mientras que el segundo debe estar instalado en el punto del circuito que el OR determine, dentro de los plazos que para tal fin se definen en el numeral 5.2.10.
Adicional a los dos equipos de corte y maniobra mencionados, los OR deberán tener instalado en cada circuito de su sistema otro elemento telemedido de detección de ausencia/presencia de tensión, que debe estar ubicado con base en los criterios de carga o longitud que el OR determine.
Para los equipos instalados en la cabecera de los circuitos se deberá capturar y registrar tanto las medidas de corriente y tensión como los eventos de aperturas o cierres durante su operación con la respectiva estampa de tiempo en una resolución de un (1) milisegundo. En el caso de los equipos de corte y de detección de ausencia o presencia de tensión, instalados en puntos diferentes a la cabecera de los circuitos, como mínimo se deberá capturar y registrar los eventos de aperturas o cierres durante su operación con la respectiva estampa de tiempo en una resolución de un (1) milisegundo.
El OR debe garantizar que los equipos se mantengan funcionado el 90% del tiempo y que las estampas de tiempo de los eventos estén sincronizadas con la hora oficial colombiana, a través de los protocolos utilizados para su supervisión.
5.2.11.2 REGISTRO DE LA INFORMACIÓN DE LOS EVENTOS.
El sistema de gestión de la distribución, DMS, deberá contar con la capacidad de registro de los eventos sucedidos en las redes del OR; los cuales deberán estar almacenados en una sola base de datos, de tal forma que puedan ser utilizados para los procesos de consulta y reporte. El DMS deberá estar compuesto por un sistema SCADA, un sistema de información histórica, HIS; un sistema de información geográfico, GIS; un sistema de gestión de eventos, OMS; un sistema de información de usuarios, CIS; un sistema de información de cuadrillas, CMS y un servicio de reporte de eventos vía telefónica, IVR. Todos estos sistemas deben contar con una plataforma integrada de operación con interfaces que les permitan comunicarse entre ellos.
La información de eventos debe ser registrada en el OMS con base en la información capturada a través de los equipos de corte y maniobra mencionados en el numeral 5.2.10. La información de eventos en circuitos que no sea capturada través de estos equipos y la información de eventos en transformadores y circuitos de nivel de tensión 1 deberá ser registrada en el OMS con base en los reportes de eventos hechos por los usuarios a través de la interfaz con el IVR y por las cuadrillas a través del CMS.
A efectos de garantizar la confiabilidad y la calidad de la medición y de la información resultante, el OR deberá obtener y mantener vigente una certificación de gestión de calidad de su proceso de distribución.
El registro de los eventos debe responder a un procedimiento el cual garantice que, de manera veraz y verificable, el OR mantenga un seguimiento cronológico de todos los eventos que suceden a nivel de circuito, transformador y red de nivel de tensión 1. Para este registro debe haberse utilizado la información capturada por los elementos que miden los eventos, tales como equipos de corte y maniobra e indicadores de falla y los reportes hechos por los usuarios y las cuadrillas de mantenimiento.
Los procedimientos de registro deben ser diseñados por cada OR y ser parte del certificado de gestión de calidad mencionado.
Toda la información registrada en el HIS de cada OR deberá mantenerse salvaguardada y estar disponible en línea para consulta por un término mínimo de cinco (5) años para efectos de vigilancia, control y regulación. Posteriormente a este período, la información deberá ser almacenada en un sistema de archivamiento externo de largo plazo.
La información a registrar para cada evento será la siguiente:
a. código de evento,
b. estampa de tiempo de inicio y finalización del evento en una resolución de un (1) milisegundo del evento,
c. código de elementos afectados, ya sea circuitos de niveles de tensión 1, 2 o 3 o transformadores de niveles de tensión 1, 2 o 3,
d. causa del evento,
e. carga total interrumpida o energía no suministrada en kWh por cada evento, y,
f. de existir, cantidad de energía declarada como disponible que no puedo ser entregada e identificación del generador afectado.
La causa del evento mencionado en el literal d debe ser seleccionada del listado de causas que para tal fin defina la CREG mediante circular. Para esto, el CNO deberá proponer a la CREG un listado en donde se identifiquen todas las posibles causas de eventos que pueden darse en los SDL y deberá asociar cada uno de ellos según la clasificación de eventos definida en el numeral 5.2.1 y en caso de que ser excluible, deberá asociase a alguno de los eventos que se identifican en el numeral 5.2.2. Este listado deberá publicarse para comentarios de todos los interesados y enviarse a la CREG en un plazo de tres (3) meses contados a partir de la entrada en vigencia de la presente resolución.
5.2.11.3 REPORTE DE LA INFORMACIÓN DE EVENTOS.
Los OR deben reportar al LAC los eventos sucedidos en las redes y transformadores de los niveles de tensión 1, 2 y 3 y, con base en esta información, los OR deben calcular los diferentes indicadores de calidad que se definen en esta resolución.
A continuación, se describe el procedimiento y los tipos de reporte de información de eventos que deben realizar los OR al LAC, así como el informe que debe realizar el LAC a partir de esta información.
5.2.11.3.1 PROCEDIMIENTO DE REPORTE AL LAC.
A efectos de reportar al LAC la información de eventos, los OR deberán hacerlo a través de un servicio web automático definido por el LAC, en cumplimiento de los detalles técnicos establecidos por este.
Es responsabilidad del LAC definir las características que deben cumplir los reportes y archivos del OR para garantizar la calidad y adecuada utilización de los reportes recibidos.
El reporte debe realizarse de forma automática desde los DMS (Sistema de Gestión de la Distribución) aplicando las reglas establecidas en este capítulo.
El LAC deberá publicar, dentro de los seis (6) meses siguientes a la entrada en vigencia de esta resolución, un plan de adecuaciones para la implementación del servicio web, las especificaciones técnicas y los formatos de reporte.
Los OR y el LAC dispondrán de 18 meses contados a partir de la expedición de la presente resolución para la implementación y adecuación del servicio web. Mientras se realizan las implementaciones acá indicadas, los OR deberán continuar realizando el reporte de eventos, mediante el mecanismo que venga utilizando para tal propósito.
En caso de que la SSPD o la CREG así lo requiera, el sistema dispuesto por el LAC deberá estar en capacidad de reportar información sobre los eventos en particular de un OR antes del plazo definido del reporte diario de información. A través de este requerimiento se podrá solicitar información inclusive del mismo día de operación.
Los eventos de alto impacto, definidos en el artículo 3, deberán ser reportados por los OR a la SSPD de manera inmediata a través del sistema dispuesto por el LAC.
Mientras el sistema dispuesto por el LAC no se encuentre activo, los eventos de alto impacto deberán ser reportados por los OR a la SSPD de manera inmediata a través de cualquier medio idóneo.
Los requerimientos que se realicen a través del sistema dispuesto por el LAC se harán acorde con la estructura que previamente definan la SSPD, la CREG y el LAC, estructura que será dada a conocer por el LAC a los OR.
5.2.11.3.2 REPORTE DIARIO DE EVENTOS AL LAC.
El OR debe reportar cada uno de los eventos sucedidos en su red durante las 24 horas del día de la operación. Esta información debe ser reportada al LAC en un plazo máximo de 36 horas contadas a partir de la finalización de cada día.
Con el fin de evitar posibles congestiones en los canales de comunicación y para garantizar la oportunidad de los reportes diarios, el LAC debe definir una hora de reporte a cada OR, entre las 9:00 horas y las 12:00 horas del día siguiente a la operación, la cual podrá rotarse mensualmente entre todos los OR a fin de procurar la posibilidad de reporte en los diferentes horarios posibles.
Dentro del rango horario establecido por el LAC al OR, este último debe reportar diariamente cada una de los eventos sucedidos en su red durante las 24 horas del día de la operación, informando para cada uno de ellos:
a. código de evento,
b. fecha (dd/mm/aaaa)
c. hora inicial (hh:mm:ss),
d. hora final (hh:mm:ss),
e. código del elemento afectado (transformador de nivel de tensión 1, 2 o 3, o circuito de nivel de tensión 1, 2 o 3),
f. causa asimilada a alguna de las identificadas en el listado de causas publicado en la circular de la CREG, de que trata el numeral 5.2.11.2,
g. En caso de que el evento haya finalizado, se debe indicar con la letra N que el evento no continúa. En caso que el evento no haya finalizado, se debe identificar con la letra S, que el evento continúa.
h. Para la aplicación del numeral 5.2.14, se debe indicar si el evento debe excluirse del cálculo de indicadores, dado que la red estaba en una ZNI.
i. Para la aplicación del numeral 5.2.8 el OR debe informar si el evento afectó una conexión de generación.
Este reporte debe realizarse en los formatos y condiciones que definidos por el LAC para tal fin.
Los transformadores o circuitos no afectados por algún evento, deben reportarse identificando que no se presentaron incidencias en estos elementos.
El reporte debe ser conservado por el LAC por un periodo mínimo de cinco (5) años, para someterlo a verificación de la información o para revisión y consulta de la SSPD, si esta así lo requiere. Posterior a este período, la información debe ser almacenada en un sistema de archivamiento externo de largo plazo.
El OR debe utilizar para todos sus reportes el mismo código de elemento asignado para la vinculación reportada al SUI.
5.2.11.3.3 AJUSTE AL REPORTE DE EVENTOS ANTE EL LAC.
El OR podrá realizar modificar o eliminar eventos realizados en los reportes diarios cuando hayan existido errores. Para esto, dentro de los dos días hábiles siguientes a la finalización de cada mes el OR debe entregar al LAC, en los medios que este disponga, la constancia de radicación a la SSPD del informe de justificación de la modificación o eliminación de eventos el cual debe detallar, sustentar y probar las causas que generan la modificación o la eliminación de dicho evento.
El LAC no podrá permitir la modificación ni la eliminación de los eventos que el OR no haya incluido dentro del informe de justificación entregado a la SSPD.
El OR únicamente podrá ajustar sus cálculos de los indicadores de calidad media e individual, cuando haya cumplido con su obligación de radicar ante la SSPD el informe de justificación y cuando haya ajustado su reporte ante el LAC.
5.2.11.3.4 INFORME DE JUSTIFICACIÓN DE AJUSTES A EVENTOS.
Previo a la modificación o eliminación de eventos a las que se refiere el numeral 5.2.11.3.3, el OR radicará ante la SSPD un informe de justificación de la modificación o eliminación de eventos que pretenda solicitar al LAC.
En el informe el OR tendrá la carga de detallar, sustentar y probar las causas que causaron la modificación o la eliminación de dicho evento.
En caso de que el OR no presente ante la SSPD el informe de justificación, este deberá abstenerse de eliminar y modificar los eventos ante el LAC y deberá incluirlos en el cálculo de los indicadores de calidad media e individual.
Dentro de los quince (15) días siguientes a la finalización de cada mes el LAC debe calcular los indicadores de calidad media e individual de cada OR, con base en los reportes diarios y mensuales realizados por estos y la información reportada al SUI de vinculación de los usuarios a la red de distribución. El LAC deberá publicar los cálculos en su página web para consulta de los OR, de la SSPD y de la CREG.
Esta información deberá utilizarse como insumo de comparación durante las verificaciones a la información de que trata el numeral 5.2.12 y por lo tanto, en caso de existir diferencias entre los cálculos del LAC y del OR, el OR debe identificarlas y justificarlas dentro del documento de soporte de que trata el numeral 5.2.11.4.
5.2.11.4 REPORTE DE INDICADORES, INCENTIVOS Y COMPENSACIONES AL SUI.
La información de los indicadores de calidad media e individual, así como los incentivos y compensaciones resultantes de la aplicación del esquema definido en esta resolución, deben ser reportados por los OR al SUI.
Dentro de los primeros quince (15) días de cada mes el OR debe reportar al SUI los indicadores de calidad media acumulados hasta el mes anterior, en los formatos establecidos para tal fin. Los indicadores de calidad media y los incentivos resultantes de la aplicación del esquema deben ser reportados por los OR dentro de los primeros quince (15) días del mes de enero del año t+1 y a partir del mes de febrero del año t+1 debe iniciarse un nuevo acumulado con el reporte de los indicadores de calidad media del ese año. En estas mismas condiciones y plazos los OR deben reportar los indicadores de calidad adicionales de que trata el numeral 5.2.6.
Con respecto a los indicadores de calidad individual el OR debe reportarlos al SUI dentro de los primeros quince (15) días de cada mes, y para cada uno de los usuarios que se conectan a su red. Esta información debe ser consultada por el comercializador que atiende al respectivo usuario quien debe calcular la compensación a que haya lugar, según el periodo que se esté facturando.
El OR debe elaborar un documento de soporte del cálculo de los indicadores de calidad media e individual y de los incentivos calculados y debe mantenerlo disponible para el proceso de verificación de la información que se establece en esta resolución o para revisión de la SSPD si esta entidad así lo requiere. Este documento debe ser conservado por el OR por un término mínimo de cinco (5) años.
El comercializador debe reportar las compensaciones aplicadas a cada usuario y todas las variables que calcule en los formatos comerciales en los que reporta periódicamente el consumo de energía facturado.
5.2.12 VERIFICACIONES A LA INFORMACIÓN. <Numeral modificado por el artículo 4 de la Resolución 101-32 de 2022. El nuevo texto es el siguiente:> Adicional a las verificaciones de cumplimiento de los requisitos establecidos en el numeral 5.2.10, debe contratarse la verificación a la información registrada y reportada sobre los eventos sucedidos en el sistema, así como a la aplicación del esquema de incentivos y compensaciones, en los términos establecidos en la Resolución CREG 025 de 2013 o la que la adicione, modifique o sustituya.
Los resultados de estas verificaciones deberán ser entregados a la CREG y a la SSPD, con el propósito de que esta última, en ejercicio de sus funciones, establezca si el respectivo OR ha incurrido en conductas sancionables por violaciones a la ley y/o a los actos administrativos a los que está sujeto, todo sin perjuicio de la responsabilidad penal que pueda deducirse de estas conductas.
La información original reportada por los OR al LAC deberá poder ser consultada y descargada de manera agregada, directamente y en cualquier momento por la SSPD y la CREG. Para esto, el LAC deberá coordinar la forma de hacerlo con cada entidad.
5.2.13 RESPONSABILIDADES DE INFORMACIÓN SOBRE LA CALIDAD EN LOS SDL.
5.2.13.1 RESPONSABILIDADES DE LOS OR.
Los OR tienen las siguientes responsabilidades y obligaciones con respecto al esquema de calidad del servicio en el SDL:
a. Asignar los códigos de circuitos, transformadores y usuarios de su red.
b. Suministrar al comercializador los códigos de vinculación de usuarios a circuitos y transformadores.
c. Mantener actualizada la vinculación de usuarios a las redes del SDL para garantizar la aplicación adecuada del esquema de incentivos y compensaciones.
d. Garantizar que cada usuario pueda comunicarse de manera gratuita con el sistema de atención telefónica IVR a través de cualquier línea telefónica móvil o fija disponible en el país, la cual debe ser exclusiva para el reporte de los eventos percibidos por el usuario.
e. Dentro de los plazos establecidos, calcular los indicadores de calidad media y los incentivos correspondientes.
f. Reportar la información de indicadores e incentivos al SUI, de acuerdo con los requerimientos y plazos establecidos para tal fin.
g. Reportar la información de eventos al LAC, de acuerdo con los requerimientos y plazos establecidos en esta resolución.
h. Mantener permanentemente actualizada y reportada al SUI la base de datos georreferenciada de su red, e informar mensualmente al comercializador sobre los cambios en la vinculación que se hayan producido.
i. Mantener por un término mínimo de cinco años, para efectos de la aplicación de las verificaciones a la información o para revisión y consulta de la SSPD si esta así lo requiere, el soporte de cada una de las clasificaciones de eventos por exclusión o eliminación realizadas con respecto a sus reportes diarios y mensuales al LAC.
j. Las demás responsabilidades y obligaciones establecidas en esta resolución con respecto a la calidad del servicio en los SDL.
k. <Literal adicionado por el artículo 34 de la Resolución 36 de 2019. El nuevo texto es el siguiente:> Suministrar al comercializador la información necesaria para el cálculo de las compensaciones de que trata el numeral 5.2.4.3, con los requerimientos y plazos establecidos en el SUI para tal fin.
5.2.13.2 RESPONSABILIDADES DE LOS COMERCIALIZADORES.
Son responsabilidades y obligaciones del comercializador:
a. Con base en la información de indicadores reportada por los OR al SUI, calcular las compensaciones mensuales a aplicar a cada usuario sujeto de la misma.
b. En la factura de energía, aplicar los valores a compensar que se deriven del esquema de calidad del servicio.
c. En cada factura que emita el comercializador a sus usuarios deberá presentar la siguiente información, con base en la información contenida en el SUI:
i. Código del circuito y del transformador al cual se encuentra conectado el usuario.
ii. Grupo de calidad al cual pertenece el usuario.
iii. Indicadores de calidad individual garantizada utilizados en la facturación del mes o meses correspondientes.
iv. Indicadores de calidad individual utilizados en la facturación del mes o meses correspondientes. Cuando la facturación corresponda a más de un mes, esta información debe incluirse de manera discriminada.
v. <Ordinal modificado por el artículo 35 de la Resolución 36 de 2019. El nuevo texto es el siguiente:> Valor a compensar al usuario cuando haya lugar, junto con la identificación y valores de las variables necesarias para su cálculo, según lo establecido en el numeral 5.2.4.3
.
vi. Nombre y dirección del OR del sistema al que se conecta el usuario y el número telefónico a través del cual se puede comunicar con el IVR del OR para informar sobre la ocurrencia de eventos.
5.2.14 CALIDAD EN EMPRESAS O EN REDES QUE SE INTERCONECTEN AL SIN.
5.2.14.1 EMPRESAS QUE SE CONECTAN AL SIN PROVENIENTES DE UNA ZNI.
Las empresas distribuidoras que venían prestando el servicio en una zona no interconectada, ZNI, y se interconectan al SIN adquiriendo la calidad de OR, en los términos definidos en esta resolución, deberán comenzar a reportar al LAC la información de eventos sucedidos en su sistema, a partir de la entrada en vigencia de la resolución que apruebe su ingreso.
El nuevo OR contará con un plazo máximo de cinco (5) años, contados a partir de la fecha de entrada en vigencia de la resolución que apruebe su ingreso, para certificar el cumplimiento de los requisitos establecidos en el numeral 5.2.10. A partir de ese momento el OR deberá dar inicio a la aplicación del esquema de incentivos y compensaciones establecido en este capítulo.
Si transcurrido este plazo el OR no ha certificado el cumplimiento de requisitos, a partir del siguiente mes, y durante todo el siguiente año, se le aplicará un incentivo negativo máximo que se calculará de acuerdo con lo que se establece en el numeral 5.2.3.2.
Las metas de calidad media que deberán alcanzar estos OR, para cada año restante del periodo tarifario, serán establecidas por la CREG y por tanto el OR deberá solicitarlas mediante comunicación escrita, con una antelación mínima de dos meses al inicio de la aplicación del esquema de incentivos y compensaciones. Las metas serán establecidas con los mismos criterios definidos en el numeral 5.2.3.2.1, pero considerando la información reportada durante los últimos veinticuatro (24) meses.
5.2.14.2 ZNI QUE SE CONECTA A LA RED DE UN OR DEL SIN.
Cuando la red de una empresa distribuidora que venía prestando el servicio en una ZNI es interconectada a la red de un OR existente del SIN, su información de eventos deberá ser reportada al LAC y al SUI pero no será considerada para el cálculo de los indicadores de calidad media y calidad individual del OR ni para la estimación de los incentivos y compensaciones correspondientes, hasta que hayan transcurrido cinco (5) años después de su interconexión. Dentro de este plazo, el OR debe certificar nuevamente el cumplimiento de los requisitos de tele medición y telecontrol en los circuitos de la red interconectada, y de vinculación cliente-transformador.
Si transcurrido este plazo el OR no ha certificado el cumplimiento de estos requisitos, a partir del siguiente mes, y durante todo el siguiente año, se le aplicará un incentivo negativo máximo que se calculará de acuerdo con lo que se establece en el numeral 5.2.3.2.
El responsable de la medición, registro y reporte de la calidad y de la aplicación del esquema de incentivos y compensaciones siempre será el OR al cual se han conectado las redes provenientes de la ZNI. Las metas de calidad media y de calidad individual que deberá alcanzar el OR no tendrán ninguna modificación.
5.2.14.3 CONEXIÓN DE NUEVOS USUARIOS POR AMPLIACIÓN DE COBERTURA. <Numeral modificado por el artículo 5 de la Resolución 101-32 de de 2022. El nuevo texto es el siguiente:> Si un OR, con el propósito de ampliar la cobertura del SIN, instala nuevas redes para conectar usuarios que previamente no tenían servicio, la información de eventos de la red ampliada deberá reportarse al LAC y será considerada para el cálculo de los indicadores de calidad media y calidad individual del OR que se utilizan para la estimación de los incentivos y compensaciones correspondientes. Las metas de calidad media y de calidad individual que deberá alcanzar el OR no tendrán ninguna modificación.
El OR deberá garantizar que las redes mediante las cuales se dio la ampliación de la cobertura cumplan los requisitos de telemedición y telecontrol, y también que se cumpla la vinculación de cada cliente a la red. Esto deberá ser comprobado dentro de la verificación de que trata el numeral 5.2.12. Si como resultado de la verificación no se certifica que el OR cumple estos requisitos, durante todo el año siguiente al verificado, se le aplicará un incentivo negativo máximo que se calculará de acuerdo con lo que se establece en el numeral 5.2.3.2.
5.2.15 CALIDAD DE EMPRESAS QUE SE FUSIONAN O SE ESCINDEN.
Cuando una empresa distribuidora que venía prestando el servicio se escinde en dos o más empresas, cada una de las empresas escindidas deberá continuar reportando al LAC la información de eventos sucedidos en su correspondiente sistema, a partir de la entrada en vigencia de la resolución que apruebe su ingreso.
Cada OR contará con un plazo máximo de seis (6) meses, contados a partir de la fecha de entrada en vigencia de la resolución que apruebe su ingreso, para certificar el cumplimiento de los requisitos establecidos en el numeral 5.2.10. A partir del momento en que quede en firme la resolución que apruebe el ingreso, cada nuevo OR deberá dar inicio a la aplicación del esquema de incentivos y compensaciones establecido en este capítulo.
Transcurrido el plazo indicado anteriormente, el OR que no haya certificado el cumplimiento de requisitos, a partir del siguiente mes, y durante todo el siguiente año, se le aplicará un incentivo negativo máximo que se calculará de acuerdo con lo que se establece en el numeral 5.2.3.2.
Las metas de calidad media que deberán alcanzar estos OR, para cada año restante del periodo tarifario, serán establecidas por la CREG y por tanto cada OR deberá solicitarlas mediante comunicación escrita, con una antelación mínima de dos meses al inicio de la aplicación del esquema de incentivos y compensaciones. Las metas serán establecidas con los mismos criterios definidos en el numeral 5.2.3.2.1, pero considerando los eventos correspondientes a los transformadores y circuitos que le corresponden a cada OR.
Las mismas condiciones y criterios establecidos anteriormente aplicarán para el OR resultante de la fusión de una o más empresas.
5.2.16 TRANSICIÓN. <Numeral modificado por el artículo 36 de la Resolución 36 de 2019. El nuevo texto es el siguiente:>
El cambio entre la aplicación de la regulación de calidad del SDL establecida en la Resolución CREG 097 de 2008 y la establecida en la presente resolución se realizará con base en las siguientes disposiciones:
a) Es obligación del OR y del comercializador aplicar los incentivos y compensaciones resultantes de la aplicación de las disposiciones de la Resolución CREG 097 de 2008, con base en la información que reporten los OR hasta el 31 de diciembre de 2018. Esto, sin perjuicio de que su aplicación se traslape con el reporte de eventos y de indicadores de la presente resolución.
Después de la entrada en vigencia de la resolución en la que se le aprueban los ingresos al OR y cuando estén pendientes por aplicar incentivos causados con base en la metodología de la Resolución CREG 097 de 2008, el OR estará encargado de calcularlos y enviarlos al LAC para que el total del saldo pendiente se incluya en los cargos por uso que se calculen para el segundo mes de aplicación de los ingresos aprobados.
Las compensaciones pendientes deberán aplicarse en la factura de cada usuario en el segundo mes de aplicación de los ingresos aprobados;
b) Los eventos sucedidos en los SDL a partir del 1 de enero de 2019 deben ser considerados en la aplicación de la regulación de calidad del servicio establecida en esta resolución;
c) A partir del 1 de junio de 2019 debe iniciarse el reporte de información de eventos, con base en lo establecido en el numeral 5.2.11;
d) El reporte de la información de eventos y de indicadores de calidad media e individual de los meses anteriores al inicio del reporte de información deberá ser realizado por los OR a más tardar el 30 de agosto de 2019;
e) A partir del mes siguiente al de entrada en vigencia de la resolución en la que se le aprueban los ingresos al OR, el comercializador deberá calcular y aplicar las compensaciones de cada mes del periodo facturado. Las compensaciones pendientes de los meses transcurridos desde enero de 2019 deberán incluirse una a una en las facturas emitidas a partir del mes siguiente a que hayan sido reportadas, hasta que todas sean reconocidas;
f) El OR deberá reportar a la SSPD el plan anual de trabajos de reposición o modernización en subestaciones, aplicable a los meses siguientes a la fecha de entrada en vigencia de la resolución en la que se le aprueban sus ingresos, ajustado según las disposiciones del literal n del numeral 5.2.2. Este plan deberá ser reportado dentro de un plazo máximo de diez días hábiles contados a partir de la fecha mencionada y reemplazará en dicho periodo al plan que el OR había reportado con base en la Resolución CREG 097 de 2008.
CAPITULO 6. PLANES DE INVERSIÓN.
Los OR deben presentar el plan de inversión para el periodo tarifario considerando los siguientes tipos de proyectos:
a. Tipo I: proyectos de inversión motivados en la atención de demanda que ocasionan el remplazo de activos existentes para obtener una mayor capacidad del sistema.
b. Tipo II: proyectos de inversión motivados en la atención de demanda que ocasionan la instalación de nuevos activos sin reemplazo de activos de existentes.
c. Tipo III: proyectos de inversión no motivados en la atención de demanda que remplazan activos existentes sin obtener una mayor capacidad del sistema.
d. Tipo IV: proyectos de inversión no motivados en la atención de demanda que ocasionan la instalación de nuevos activos.
El OR debe asignar cada uno de los proyectos de inversión a los tipos señalados anteriormente.
Los criterios generales que el OR debe aplicar para la formulación y presentación del plan de inversión son los siguientes:
a. La identificación, evaluación de alternativas, valoración, priorización y ejecución de los proyectos de inversión es responsabilidad del OR.
b. En el plan de inversión se debe analizar, cuantificar y valorar las necesidades de los usuarios y del mercado de comercialización atendido por el OR. Así como las diferentes alternativas consideradas para la solución de las necesidades identificadas.
c. El horizonte de planeación del plan de inversión es de largo plazo (diez años) y los proyectos de inversión incluidos en la solicitud de remuneración deben corresponder a aquellos en un horizonte de ejecución de mediano plazo (cinco años).
d. Todos los proyectos incluidos en el plan deben permitir el cumplimiento de las metas propuestas por los OR en los horizontes de planeación señalados.
e. Las metas que se tracen los OR para la expansión, reposición, calidad del servicio y reducción y mantenimiento de los niveles de pérdidas deben ser alcanzables en el horizonte de tiempo del plan y deben corresponder con la situación actual y futura del mercado de comercialización.
f. Los planes deben ser flexibles y adaptables a la evolución del mercado de comercialización, además deben considerar los riesgos potenciales y las acciones para mitigarlos.
g. El plan de inversión debe identificar y valorar los beneficios esperados y los costos asociados.
h. Los proyectos deben contar con una relación beneficio - costo superior a uno, con base en los criterios y metodología definidos por el OR para la evaluación de sus proyectos.
i. El plan de inversión debe ser económicamente eficiente y conducir a garantizar la prestación del servicio al menor costo económico en el mediano y largo plazo.
j. El OR debe cumplir los requisitos para los planes de expansión establecidos en la Resolución CREG 070 de 1998 o aquella que la adicione, modifique o sustituya.
k. El plan debe ser viable ambientalmente y considerar el impacto por la aplicación de la Ley 1715 de 2014.
l. Las inversiones deben incluir únicamente activos de uso.
m. El plan de inversiones no debe incluir activos empleados exclusivamente para la prestación del servicio de alumbrado público.
n. El OR podrá incluir en el plan de inversión unidades constructivas especiales para lo cual debe dar aplicación a lo señalado en el capítulo 14.
o. El plan debe identificar, cuantificar y excluir de la valoración los proyectos, bienes o derechos que no deban incluirse en el cálculo de las tarifas en los términos del artículo 87 numeral 87.9 de la Ley 142 de 1994, en los términos que haya sido modificado por el artículo 99 de la Ley 1450 de 2011 o por aquella que lo modifique, adicione o sustituya.
p. El OR debe incluir en el plan de inversión los activos necesarios para la implementación y certificación de un sistema de gestión de activos acorde con la norma ISO 55001 en un plazo de cinco (5) años contados a partir de la entrada en vigencia de la presente resolución.
q. Las inversiones Tipo I y II que se realicen en el STR debe tener la aprobación de la UPME de acuerdo con lo establecido en el numeral 6.3.4.
r. El plan de inversión debe ser integral y en ese sentido debe incluir todos los niveles de tensión del sistema que opera el OR. No se pueden presentar planes parciales por nivel.
6.2 PRESENTACIÓN DE LOS PLANES DE INVERSIÓN. <Numeral modificado por el artículo 12 de la Resolución 85 de 2018. El nuevo texto es el siguiente:>
En la solicitud de aprobación de ingresos para el siguiente periodo tarifario las empresas pueden optar por uno de los siguientes mecanismos:
a) Presentación de un plan de inversiones con un horizonte de cinco (5) años, correspondientes al periodo 2019-2023, con la solicitud de aprobación de ingresos enviada a la Comisión en el plazo definido en el artículo 5;
b) Presentación de un plan de inversiones, con un horizonte de cuatro (4) años, correspondientes al periodo 2020-2023, a más tardar el 1 de abril de 2019. En este caso, la BRAENj,n,t, para el primer año se calcula de acuerdo con lo establecido en el numeral 3.1.1.2.2.
El OR en su solicitud de aprobación de ingresos debe indicar a cuál mecanismo se acoge.
En caso de que el OR no presente su plan de inversión en los plazos establecidos en los literales a) y b) de este numeral se considera que hay un incumplimiento a la regulación y una posible afectación de la calidad, seguridad y confiabilidad del STN, STR o SDL. La Comisión procederá a informar a la SSPD para lo de su competencia
6.3 CONTENIDO DE LOS PLANES DE INVERSIÓN.
Los OR deben presentar un plan de inversiones para el periodo 2019 - 2023 indicando para cada año los proyectos de inversión que se acometerán. Los proyectos deben agruparse en los tipos de inversión indicados en este capítulo.
El costo total de cada tipo de inversión debe ser expresado como un porcentaje del costo de reposición de referencia, CRRj, del numeral 6.4.2.
El plan debe incluir como mínimo la información y los análisis solicitados en los numerales 6.3.1, 6.3.2 y 6.3.3.
El OR debe presentar un cronograma general de las inversiones a realizar y su ubicación geográfica a nivel de municipio.
Los elementos y aspectos que debe contener el resumen del plan de inversión, así como los requisitos detallados y los formatos de reporte que presente el OR se definirán de acuerdo con lo señalado en el artículo 5 de la presente resolución.
El diagnóstico del STR y SDL debe incluir como mínimo los siguientes aspectos:
a. Estadísticas descriptivas.
b. Evolución de la demanda.
c. Cargabilidad de los elementos del sistema.
d. Capacidad de corto circuito.
e. Posibilidades de ampliación y reconfiguración de subestaciones.
f. Perfil de antigüedad de los activos.
g. Nivel de obsolescencia de los equipos.
h. Nivel de calidad del servicio.
i. Sistemas de información y control.
6.3.2 PROYECTOS DE INVERSIÓN MOTIVADOS EN LA ATENCIÓN DE DEMANDA.
Los criterios y lineamientos que deben cumplir los OR para la definición, identificación de alternativas y priorización de las inversiones Tipo I y II incluidas en el plan de inversión son los siguientes:
a. Los proyectos de inversión deben estar acordes con los requerimientos de política pública, el Plan Indicativo de Expansión de Cobertura de Energía Eléctrica, PIEC, y el Plan de Referencia de Generación – Transmisión.
b. El OR debe emplear para la elaboración del plan de inversión los criterios señalados en el numeral 3.3 del anexo general de la Resolución 070 de 1998 o aquella que la modifique, adicione o sustituya.
c. El OR debe analizar por lo menos tres escenarios de crecimiento de la demanda e identificar las inversiones requeridas en cada escenario.
d. Se deben asociar a los proyectos de inversión del plan a los escenarios de crecimiento de la demanda e identificar cuales proyectos pueden ser pospuestos o adelantados si las proyecciones de demanda son reajustadas.
e. Las inversiones incluidas en el plan deben responder a las necesidades de crecimiento de la demanda como principal criterio de identificación y priorización y ser coherente con las proyecciones de demanda y potencia de la UPME para el horizonte de análisis.
f. La identificación particular de las alternativas de inversión se debe realizar a partir de modelos de ingeniera de los STR y SDL y análisis técnico – económicos.
g. Para la determinación de los proyectos de expansión el OR deberá considerar por lo menos dos alternativas para la solución de las restricciones técnicas que identifique: cargabilidad de transformadores, líneas, niveles de tensión fuera de los rangos permitidos, confiabilidad, energía no suministrada, pérdidas de energía, entre otros.
h. Para la atención de nueva demanda el OR debe clasificar los proyectos considerando si es nueva infraestructura o implica la reposición de infraestructura existente para ampliar su capacidad de atención de demanda. Se deben incluir los proyectos de ampliación de la capacidad existente o de instalación de nuevas subestaciones o líneas para la atención de nuevas cargas en el sistema en los niveles de tensión 4, 3 y 2.
i. En el caso del STR, los proyectos incluidos en el plan de inversión deben corresponder a aquellos identificados en el Plan de Expansión de Referencia Generación – Transmisión más reciente y para los cuales la UPME recomiende su ejecución y emita concepto de aprobación al OR. Adicionalmente, el OR debe haber manifestado su intención de realizarlos de acuerdo con lo señalado en la Resolución CREG 024 de 2013 o aquella que la modifique, adicione o sustituya.
j. Los proyectos de inversión para el SDL deben ser consistentes con los proyectos identificados y aprobados para el STR y la infraestructura en operación en el sistema.
k. El OR debe considerar la probabilidad de atrasos en la ejecución de los proyectos por factores externos.
l. El OR debe presentar un resumen de la metodología empleada para la determinación de las inversiones, el cual debe incluir: la metodología, requerimientos de información, información utilizada, supuestos, criterios de identificación de alternativas y principales variables empleadas.
m. Los proyectos de inversión para la expansión de cobertura en las zonas interconectables del área de influencia del OR identificados por la UPME no deben ser incluidas en el plan. Para la remuneración de estos proyectos se deben seguir las reglas definidas en el capítulo 13.
6.3.3 PROYECTOS DE INVERSIÓN NO MOTIVADOS EN LA ATENCIÓN DE DEMANDA.
Los criterios y lineamientos que debe cumplir el OR para la definición, identificación de alternativas y priorización de las inversiones incluidas en el plan de inversión son los siguientes.
El OR debe presentar los proyectos en reposición de activos dentro del plan de inversión de acuerdo con los siguientes lineamientos:
a. Los proyectos deben estar orientados a la reposición eficiente de activos con el objetivo de asegurar la calidad, confiabilidad y seguridad en la prestación del servicio.
b. En el plan se deben identificar los activos de los niveles de tensión 4, 3 y 2 que por su estado, nivel de riesgo y antigüedad requieren ser reemplazados durante el periodo tarifario.
c. El OR debe clasificar los activos de las subestaciones en activos que requieran ser reemplazados en un periodo menor a dos años, entre dos y cuatro años y más de cuatro años.
d. En el caso de los activos de líneas el OR debe clasificar los circuitos que requieren reposición en conductores, apoyos o elementos en un periodo menor a dos años, entre dos y cuatro años y más de cuatro años.
e. En el caso de elementos de control y comunicaciones del sistema el OR debe presentar un plan de reposición de acuerdo con el estado tecnológico de sus equipos.
f. Las empresas deben priorizar los proyectos de reposición de activos considerando la antigüedad de los activos, la carga asociada al activo o conjunto de activos, la vulnerabilidad del sistema ante fallas de los activos, los ahorros en costos de operación y mantenimiento, entre otros.
g. En el caso de activos de nivel de tensión 1, los proyectos de reposición de redes y transformadores de distribución debe incorporar criterios ambientales, técnicos, de antigüedad, de reducción de costos, entre otros.
h. El OR debe realizar un análisis de riesgos para los activos agrupados en las categorías definidas en el capítulo 14. Adicionalmente, el OR debe establecer el perfil de antigüedad de los activos en las mismas categorías.
i. Como resultado de este análisis de priorización se deben obtener los proyectos con mayor impacto y beneficio para la prestación del servicio de acuerdo con los objetivos definidos por el OR en calidad del servicio, pérdidas, operación, etc.
j. Los proyectos de inversión para el SDL deben ser consistentes con los proyectos identificados y aprobados para el STR y la infraestructura en operación en el sistema.
k. El OR debe considerar la probabilidad de atrasos en la ejecución de los proyectos por factores externos.
l. Se deben presentar análisis de beneficios asociados con la reposición, los beneficios pueden estar asociados con mejoras en la operación, mayor confiabilidad, disminución de interrupciones, reducción de riesgos de falla, etc. Los beneficios pueden obtenerse de la aplicación de análisis de riesgos.
El OR debe presentar dentro del plan de inversión los proyectos para el mejoramiento en la calidad y confiablidad del servicio, reducción y mantenimiento de pérdidas, renovación tecnológica de los activos de uso del sistema y otras áreas que identifique de acuerdo con los siguientes criterios y lineamientos:
a. Los proyectos de inversión deben estar orientados al mejoramiento en la calidad del servicio a partir de inversiones eficientes en activos que permitan asegurar la continuidad y confiabilidad en la prestación del servicio.
b. Los OR deben incluir las metas anuales de mejoramiento de la calidad y los proyectos de inversión acordes con dichas metas. Las inversiones corresponden a instalación de suplencias, instalación de equipos de telecontrol, sistemas de gestión de la distribución, etc.
c. Los OR que no han entrado en el esquema de calidad definido en la Resolución CREG 097 de 2008 deben incluir dentro de los proyectos de inversión del primer año los activos necesarios para cumplir los requisitos señalados en esta resolución y demás normas aplicables. En todo caso, el OR que no presente el plan con la solicitud de aprobación de cargos deberá ejecutar estas inversiones durante el primer año.
d. Los requisitos adicionales para la aplicación del esquema de calidad del servicio definidos en esta resolución deben incluirse dentro de los proyectos de inversión del primer año. En todo caso, el OR que no presente el plan con la solicitud de aprobación de cargos deberá ejecutar estas inversiones durante el primer año.
e. Los OR podrán presentar proyectos de inversión, requeridos para la reducción de pérdidas de energía, que correspondan a la instalación de activos de uso como redes antifraude, equipos de medida en transformadores de distribución, transformadores de distribución, etc.
f. Los planes deben contener las inversiones identificadas para la reducción de pérdidas acorde con las metas establecidas. Estas inversiones no se deben incluir en el cálculo de la variable CPROG.
g. Los proyectos de inversión para el SDL deben ser consistentes con los proyectos identificados y aprobados para el STR y la infraestructura en operación en el sistema.
6.3.3.3 VALORACIÓN DEL PLAN DE INVERSIONES.
El valor total del plan de inversión para cada año solicitado por el OR se calcula de la siguiente forma:

| INVPj,t: | Valor total del plan de inversión solicitado por el OR j para el año t. |
| INVTj,n,TI,l,t: | Valor de la inversión del plan del OR j en el nivel de tensión n, en el tipo de inversión TI, en la categoría de activos l para el año t |
| Nj: | Numero de niveles de tensión del OR j. |
| L: | Cantidad de categorías de activos. |
El valor de la variable INVTj,n,TI,l,t se calcula de la siguiente forma:


| INVTj,n,TI,l,t: | Valor de la inversión del plan del OR j en el nivel de tensión n, en el tipo de inversión TI, en la categoría de activos l para el año t. Corresponde al valor de los activos valorados con las UC definidas en el capítulo 14. |
| UCIj,n,TI,l,t: | UC incluidas en el plan de inversiones solicitado por el OR j en el nivel de tensión n, en el tipo de inversión TI, en la categoría de activos l para el año t. No se incluyen las UC que fueron trasladadas y siguen en operación. |
| CRi: | Valor de la UC i, definidas en el capítulo 14 |
| PUi: | Fracción del costo de la UC i que es reconocida mediante cargos por uso. |
| FUi: | Fracción del costo de la UC i que es reconocida por reposiciones parciales de la UC. Este valor se calcula como el peso relativo del valor reconocido del elemento o los elementos reemplazados respecto al valor total de la UC definido en el capítulo 14. La Comisión publicará en circular aparte el peso relativo de cada componente de las UC. |
| RPPi: | Fracción del costo de la UC i que es remunerada vía cargos por uso que no se debe incluir en el cálculo de la tarifa. |
| TI: | Tipo de inversión, como se define en este capítulo, toma los valores de 1, 2, 3 y 4. |
| SNUCIj,TI,l,t: | UC incluidas en el plan de inversiones solicitado por el OR j sin nivel de tensión, en el tipo de inversión TI, en la categoría de activos l para el año t. No se incluyen las UC que fueron trasladadas y siguen en operación. |
| Psnj: | Variable de asignación de las UC sin nivel de tensión. Para OR con cuatro niveles de tensión es igual a 1/3, para OR con tres niveles de tensión es igual a 1/2 y para OR con dos niveles de tensión es igual a 1. |
6.3.3.4 SISTEMA DE GESTIÓN DE ACTIVOS. <Numeral modificado por el artículo 37 de la Resolución 36 de 2019. El nuevo texto es el siguiente:>
El OR debe incluir en el plan de inversión los activos necesarios para la implementación y certificación de un sistema de gestión de activos acorde con la Norma ISO 55001 en un plazo de cinco años contados a partir de la entrada en vigencia de la presente resolución.
En la implementación del sistema de gestión de activos, durante el primer año, el OR debe realizar un diagnóstico de las brechas frente al cumplimiento de la norma y el plan de trabajo para los próximos 4 años para obtener la certificación.
Anualmente, el OR debe informar el avance en el cierre de brechas y cuáles son las inversiones que se identificaron y se han realizado en la implementación del sistema. La CREG definirá mediante circular el contenido mínimo de los informes anuales.
Dentro de la implementación del sistema de gestión de activos se deberá tener en cuenta que debe facilitarse el acceso de los organismos de control a la información de los activos del sistema de distribución.
La certificación del sistema de gestión de activos deberá ser otorgada por una entidad acreditada por el ONAC o por un organismo con el que el ONAC tenga un acuerdo de reconocimiento mutuo.
6.3.4 PROYECTOS DE INVERSIÓN EN EL STR.
Los proyectos de inversión en el STR Tipos I y II que se incluyan en el plan de inversión del OR deben tener la aprobación por parte de la UPME, para lo cual el OR debe acreditar con su solicitud lo siguiente:
a. Presentación a la UPME del proyecto con las alternativas estudiadas y sus respectivas evaluaciones económicas.
b. Aprobación de los proyectos del STR por la UPME, de acuerdo con los criterios de expansión del Sistema Interconectado Nacional adoptados por el Ministerio de Minas y Energía.
La UPME podrá establecer un procedimiento diferencial para los proyectos de inversión que sometan los OR a su aprobación considerando el valor de las inversiones y su impacto en la operación segura, confiable y con calidad en el SIN.
Los OR deberán suministrar toda la información que la UPME requiera, en las condiciones que esta señale, para realizar las actividades que se indican en este numeral.
6.4 APROBACIÓN DE LOS PLANES DE INVERSIÓN.
Para la aprobación y remuneración de los planes de inversión se realizarán como mínimo los siguientes pasos:
a. Revisión de la información suministrada por los OR en los formatos establecidos por la Comisión.
b. Revisión del valor de las inversiones del plan para los niveles 1, 2 y 3 y su comparación con el valor máximo permitido. El valor de la variable VPIEj,t, calculada como aparece en el numeral 6.4.1 no puede ser superior al ocho por ciento (8%) del costo de reposición de referencia CRRj, calculado según lo establecido en el numeral 6.4.2.
c. De manera excepcional, cuando en aplicación de los criterios y lineamientos establecidos en los numerales 6.1 y 6.3 el OR identifique la necesidad de proyectos de inversión que conducen a superar el límite establecido en el literal anterior, el OR podrá solicitar a la Comisión su aprobación. Para lo anterior, el OR debe suministrar todos los análisis técnicos, económicos y financieros que justifican la necesidad de los proyectos incluidos en el plan.
d. El OR deberá realizar una presentación a la Comisión del plan de inversiones y la justificación y razonabilidad del mismo, en caso que esta lo considere necesario.
e. La Comisión podrá contratar firmas especializadas para dar concepto sobre la razonabilidad de los planes de inversión presentados y las inversiones que incluyen.
f. Los demás necesarios para dar cumplimiento a lo establecido en esta resolución.
El plan de inversión debe ser ajustado por el OR cuando no se suministre toda la información necesaria para demostrar el cumplimiento de los requisitos definidos por la Comisión o se supere el límite del ocho por ciento (8 %) del costo de reposición de referencia.
En caso que el plan de inversiones no sea aprobado, la Comisión solicitará al OR la revisión del mismo y durante el primer año la variable BRAENj,n,t se calculará de acuerdo con lo establecido en el numeral 3.1.1.2.2. Cumplido el plazo de un año, la variable BRAENj,n,t será igual a cero.
En caso que el OR no presente su plan de inversión ajustado en los plazos señalados se considera que hay un incumplimiento a la regulación y una posible afectación de la calidad, seguridad y confiabilidad del STN, STR o SDL. La Comisión procederá a informar a la SSPD para lo de su competencia.
Los proyectos de inversión para la expansión de cobertura en las zonas interconectables del área de influencia del OR serán aprobados de acuerdo con las reglas del capítulo 13 y no hacen parte del valor del plan de inversión para evaluación.
6.4.1 VALOR DEL PLAN DE INVERSIÓN PARA EVALUACIÓN.
El valor del plan de inversión solicitado por el OR para evaluación del límite establecido en el literal b del numeral 6.4 se calcula de la siguiente forma:

Donde:
| VPIEj,n,t: | Valor del plan de inversión para evaluación del OR j en el nivel de tensión n, para el año t. |
| INVPj,n,t: | Valor de las inversiones del plan solicitado por el OR j en el nivel de tensión n, para el año t. |
La variable INVPj,n,t se calcula de la siguiente forma:

| INVPj,n,t: | Valor de las inversiones del plan solicitado por el OR j en el nivel de tensión n, para el año t. |
| INVTj,n,TI,l,t: | Valor de la inversión del plan del OR j en el nivel de tensión n, en el tipo de inversión TI, en la categoría de activos l para el año t. |
| l: | Categoría de activos, l toma los valores de 11 o 12 para el nivel de tensión 1. |
| Ln: | Cantidad de categorías de activos en el nivel de tensión n. L1 toma el valor de 12. |
El valor de la variable INVTj,n,TI,l,t se calcula como aparece en el numeral 6.3.3.3.
6.4.2 COSTO DE REPOSICIÓN DE REFERENCIA.
El costo de reposición de referencia CRRj se determina de la siguiente forma:

La variable Crrj,n se calcula de la siguiente forma:

Donde:
| CRRj: | Costo de reposición de referencia del OR j al inicio del periodo tarifario. |
| Crrj,n: | Costo de reposición de referencia del OR j en el nivel de tensión n al inicio del periodo tarifario. |
| CRIIj,n,l: | Valor implícito de los activos del OR j en el nivel de tensión n, para la categoría de activos l, calculado de acuerdo con lo establecido en el numeral 3.1.1.1.1. |
| CRINj,n,l: | Costo de reposición de la inversión del OR j en el nivel de tensión n para la categoría de activos l, asociado con los activos que fueron puestos en operación en el periodo 2008 a la fecha de corte, calculado de acuerdo con lo establecido en el numeral 3.1.1.1.4. |
| l: | Categoría de activos, l toma los valores de 11 o 12 para el nivel de tensión 1. |
| Ln: | Cantidad de categorías de activos en el nivel de tensión n. L1 toma el valor de 12. |
| Nj: | Numero de niveles de tensión del OR j. |
| IPP0: | Índice de precios del productor de la fecha de corte. |
| IPPbase: | Índice de precios del productor correspondiente a diciembre de 2007. |
6.5 SEGUIMIENTO DE LOS PLANES DE INVERSIÓN.
El seguimiento de la ejecución del plan de inversión se realizará considerando como mínimo los siguientes lineamientos:
a. Anualmente el OR deberá presentar un informe sobre la ejecución del plan de inversión en el cual se presente el avance de cada uno de los proyectos y los ajustes realizados. El formato y contenido mínimo del informe serán definidos por la Comisión en circular aparte.
b. Los ajustes a los proyectos incluidos en el plan de inversión aprobado deben responder a la planeación de corto plazo adelantada por la empresa de acuerdo con lo establecido en la Resolución CREG 070 de 1998 o aquella que la modifique, complemento o sustituya.
c. El informe debe ser enviado a la Comisión y a la SSPD, antes del último día hábil del mes de marzo de cada año. El informe también debe ser publicado en la página web del OR.
d. De igual forma, anualmente se verificarán los indicadores de ejecución de los planes de inversión con base en la información presentada por los OR al SUI y a la CREG.
e. <Literal modificado por el artículo 2 de la Resolución 101-22 de 2022. El nuevo texto es el siguiente:> Anualmente se realizará, para cada OR, la verificación de la ejecución del plan de inversiones y se emplearán los reportes realizados por el OR, visitas a campo, muestreos y demás información o estrategias que permitan corroborar, tanto la ejecución de los proyectos reportados, como la correcta aplicación de los criterios regulatorios. Las reglas para la realización de la verificación serán establecidas en resolución posterior.
f. <Literal modificado por el artículo 2 de la Resolución 101-22 de 2022. El nuevo texto es el siguiente:> Las firmas que realicen la verificación serán seleccionadas empleando mecanismos de libre concurrencia, en el cual solo pueden participar aquellas inscritas en una lista establecida por la CREG, o por quién designe, para tal fin.
g. <Literal modificado por el artículo 2 de la Resolución 101-22 de 2022. El nuevo texto es el siguiente:> En resolución posterior se definirá el encargado de la selección y contratación de las firmas verificadoras, y se establecerán las reglas y asignaciones para el pago de los costos de la verificación de la ejecución del plan de inversión.
h. Cuando de las verificaciones se concluya que los proyectos de inversión no se han ejecutado de acuerdo con lo reportado, los ingresos y cargos se ajustarán independientemente de las acciones que adelante la SSPD dentro de sus competencias.
i. La Comisión podrá solicitar la realización de verificaciones extraordinarias o contratar las que considere necesarias.
El OR debe presentar el valor de las inversiones puestas en operación clasificado en los tipos de activos de la siguiente manera:
El valor de la variable INVTRj,n,TI,l,t se calcula de la siguiente forma:


| INVTRj,n,TI,l,t: | Valor de la inversión puesta en operación en el sistema del OR j en el nivel de tensión n, en el tipo de inversión TI, en la categoría de activos l para el año t. Corresponde al valor de los activos valorados con las UC definidas en el capítulo 14. |
| UCOj,n,TI,l,t: | UC puestas en operación en el sistema del OR j en el nivel de tensión n, en el tipo de inversión TI, en la categoría de activos l para el año t. |
| CRi: | Valor de la UC i, definido en el capítulo 14. |
| PUi: | Fracción del costo de la UC i que es reconocida mediante cargos por uso. |
| FUi | Fracción del costo de la UC i que es reconocida debido a reposiciones parciales de la UC. Este valor se calcula como el peso relativo del valor reconocido del elemento intervenido respecto al valor total de la UC definidas en el capítulo 14. |
| RPPi: | Fracción del costo de la UC i que es remunerada vía cargos por uso que no se debe incluir en el cálculo de la tarifa. |
| TI: | Tipo de inversión, como se define en este capítulo, toma los valores de 1, 2, 3 y 4. |
| SNUCOj,TI,l,t: | UC incluidas en el plan de inversiones solicitado por el OR j sin nivel de tensión, en el tipo de inversión TI, en la categoría de activos l para el año t. No se incluyen las UC que fueron trasladadas y siguen en operación. |
| Psnj: | Variable de asignación de las UC sin nivel de tensión. Para OR con cuatro niveles de tensión es igual a 1/3, para OR con tres niveles de tensión es igual a 1/2 y para OR con dos niveles de tensión es igual a 1. |
La suma de la variable INVTRj,n,TI,l,t para todas las categorías de activos y tipos de inversión en el nivel de tensión n del OR j deberá coincidir con el valor de la variable INVRj,n,t.
6.6 AJUSTE DE LOS PLANES DE INVERSIÓN. <Numeral modificado por el artículo 38 de la Resolución 36 de 2019. El nuevo texto es el siguiente:>
Los OR pueden solicitar la revisión de los planes de inversión cada dos años contados a partir del 1 de enero del primer año del plan de inversiones. Sin embargo, un OR podrá solicitar una primera revisión durante el primer año del plan de inversiones.
Los lineamientos para la realización de los ajustes al plan de inversión son los siguientes:
a) La solicitud de ajuste del plan deberá realizarse a más tardar en el mes de agosto del año previo al que se va a ajustar y deberá aplicar los criterios y lineamientos establecidos en el numeral 6.1 y contener lo solicitado en el numeral 6.3. Para la solicitud durante el primer año del plan, el plazo es hasta diciembre de ese año;
b) Hasta que se apruebe el ajuste del plan deberán aplicarse los valores aprobados en la última resolución;
c) La empresa podrá solicitar el ajuste del plan de inversión siempre y cuando la modificación no conduzca a superar, en cada año, el ocho por ciento (8%) del costo de reposición de referencia. Salvo lo definido en el literal c del numeral 6.4;
d) Para la revisión de la solicitud de modificación del plan de inversiones la Comisión seguirá los pasos establecidos en el numeral 6.4.;
e) En caso de que la demanda de energía del mercado de comercialización, no crezca o se reduzca en 3 trimestres consecutivos, el OR deberá enviar a la Comisión una evaluación de la viabilidad de la ejecución del plan de inversiones en proyectos tipo I y II;
f) Las revisiones de los planes de inversión deberán incluir un horizonte mínimo de cinco años;
g) En agosto del año cuatro los OR deberán presentar una solicitud de revisión del plan de inversiones. Si el periodo tarifario dura más de cinco años y el OR no ha entregado el plan de inversiones posterior al año cinco, para ese año y los siguientes las inversiones proyectadas se calcularán de acuerdo con lo establecido en el numeral 3.1.1.2.2. Sin embargo, los ingresos que se aprueben con base en lo establecido en este literal solo se aplicarán mientras esté en vigencia la presente resolución.
6.7 PUBLICIDAD Y DIFUSIÓN DE LOS PLANES DE INVERSIÓN.
El OR debe adelantar una estrategia de comunicación para difundir entre los usuarios de su mercado de comercialización el plan de inversión, las metas de expansión, reposición, calidad y reducción y mantenimiento de pérdidas. La estrategia como mínimo deberá incluir:
a. Elaboración de un informe anual, en lenguaje sencillo, con las metas, inversiones e indicadores de ejecución del plan de inversión para los usuarios del mercado de comercialización. El informe deberá ser publicado en la página web del OR antes del último día hábil del mes de marzo de cada año.
b. Desarrollo y mantenimiento de un sitio web con la información asociada a la ejecución del plan de inversión.
c. Publicación anual en un diario de amplia circulación en el mercado de comercialización de un resumen con las metas propuestas y el avance en la ejecución de los proyectos de inversión.
La Comisión, en circular aparte, establecerá el contenido mínimo del informe anual a los usuarios, así como la información que debe ser publicada en el sitio web y la publicación en el diario.
CAPITULO 7. PÉRDIDAS DE ENERGÍA ELÉCTRICA.
En este capítulo se definen los métodos para la determinación de los índices de pérdidas por nivel de tensión, los índices de pérdidas de referencia de cada nivel de tensión al STN y la metodología para la implementación de los planes de gestión de pérdidas.
Los índices de pérdidas serán calculados y publicados por el LAC dentro de los primeros quince días de febrero y aplicados a partir de marzo de cada año con base en las resoluciones particulares y la información de ejecución de inversiones entregada anualmente por los OR.
7.1 PÉRDIDAS RECONOCIDAS POR NIVEL DE TENSIÓN.
Las pérdidas reconocidas por nivel de tensión para cada OR j se establecen a partir de aspectos técnicos en los niveles de tensión 4, 3, 2 y 1 y la distribución de pérdidas adicionales; considerando hasta el nivel de pérdidas reales en el nivel de tensión 1, sujeto al nivel de inversión del OR.
7.1.1.1NIVEL DE TENSIÓN 4, Pej,4,m,t. <Numeral modificado por el artículo 39 de la Resolución 36 de 2019. El nuevo texto es el siguiente:>
El índice de pérdidas del nivel de tensión 4 se calculará por mercado de comercialización incluyendo los activos construidos mediante procesos de convocatoria en ese mercado.
Los índices de pérdidas serán calculados mensualmente por el LAC con base en el balance energético, a partir de la diferencia entre las sumatorias de las energías importadas y exportadas en el STR, en MWh, respecto de la sumatoria de las energías importadas.
Los índices aplicables en el mes m se calcularán mensualmente con base en la información del mes m-3 y deberán estar publicados el día 14 del mes m-1. El OR podrá exponer sus comentarios durante los tres (3) días hábiles siguientes al de la fecha de publicación para que el LAC, de considerarlo pertinente, efectúe nuevamente los cálculos y publique, el 27 de cada mes, los valores a aplicar en el mes siguiente.
El primer cálculo utilizando el balance energético se realizará doce (12) meses después de la fecha de finalización de la primera verificación quinquenal de las fronteras de que trata el artículo 39 de la Resolución CREG 038 de 2014, o aquella que la modifique o sustituya.
Mientras se inicia el cálculo de pérdidas con base en balances, los índices de pérdidas de nivel de tensión 4 se calcularán, anualmente, para cada mercado de comercialización, mediante flujos de carga horarios con base en la información del año anterior al de cálculo, como se señala a continuación.
Las pérdidas de energía del nivel de tensión 4 del año t mediante flujos de carga horarios se calculan con la información real disponible del año t-1 del modelo eléctrico del redespacho, el programa de redespacho del período y fecha seleccionados teniendo en cuenta los pronósticos oficiales, así como la topología de la red considerada en el mismo; el CND debe efectuar el siguiente procedimiento:
a) Identificar cuatro días para cada uno de los meses del año t-1: el día hábil de mayor demanda a nivel nacional, el día hábil de menor demanda a nivel nacional, el primer sábado del mes y el primer domingo del mes.
Calcular, para cada una de las horas de los cuatro días de cada mes identificados en el paso anterior, las pérdidas de los sistemas de nivel de tensión 4 para cada mercado de comercialización.
Las pérdidas deben calcularse en porcentaje respecto de la energía de entrada mediante flujos de carga horarios, teniendo en cuenta la información técnica de líneas de transmisión de los STR y transformadores de conexión al STN disponible en el documento de parámetros técnicos del SIN. En caso de que no existan datos técnicos de un elemento determinado, se deberán asumir valores de catálogo, normas técnicas o la mejor información disponible;
b) Entregar los datos obtenidos al LAC hasta el 31 de enero de cada año.
Posteriormente al recibo de los datos, el LAC deberá calcular los índices de pérdidas del nivel de tensión 4 de la siguiente manera:
c) Se obtendrá el promedio simple de los dos días hábiles de cada mes. Posteriormente se debe ponderar dicho valor con la cantidad de días hábiles del mes que corresponda. Se ponderará el valor obtenido para el día sábado de un mes determinado con la cantidad de sábados de dicho mes y el valor obtenido para el día domingo con la cantidad de domingos y festivos del mes. Se deben sumar los tres valores obtenidos y dividirlos entre el número de días del mes para encontrar el índice de cada mes;
d) El valor de pérdidas, en porcentaje, a publicar será el promedio simple de los datos de los doce meses del año para cada sistema;
e) Publicar los valores obtenidos para cada sistema antes del quince de febrero del año t;
f) Los OR tendrán hasta el 28 de febrero de cada año para informar al LAC sus observaciones y comentarios con base en los cuales, de considerarlo pertinente, el LAC efectuará nuevamente los cálculos y publicará antes del 20 de marzo del mismo año, los índices a aplicar, conjuntamente con la explicación de las diferencias entre los primeros índices y los nuevos en el caso que se presenten modificaciones al cálculo inicial.
7.1.1.2 NIVELES DE TENSIÓN 3 Y 2, PEJ,3 Y PEJ,2.
Los índices de pérdidas de niveles 3 y 2 se calculan de la siguiente manera:
a. Para cada nivel de tensión se calcula la media y la desviación estándar de los índices de pérdidas aprobados a todos los OR, vigentes al momento de expedición de esta resolución.
b. Según los resultados del numeral anterior, los OR se dividen en dos grupos, así: el primer grupo estará compuesto por aquellos OR cuyos índices de pérdidas de nivel 2 y 3 sean iguales o inferiores a la suma de la media más la desviación estándar de los datos de cada nivel y, el segundo grupo estará compuesto por aquellos OR que registran al menos un índice con valor superior a la media más la desviación estándar de los datos de un nivel de tensión determinado.
c. Los índices de los OR del primer grupo no deben presentar estudio de pérdidas y continuarán con los índices vigentes. En caso de que alguno de estos OR considere la posibilidad de presentar estudio de pérdidas técnicas, este debe cumplir con los criterios señalados en el literal d de este numeral,
d. Los índices de los OR del segundo grupo que se encuentren por encima de la media más la desviación estándar del respectivo nivel serán revisados, para lo cual cada OR deberá presentar un estudio de pérdidas técnicas en el nivel de tensión correspondiente que cumpla con los siguientes criterios:
i. Desarrollar el estudio con base en el análisis técnico y flujos de carga de sus sistemas de niveles de tensión 2 o 3,
ii. Utilizar la información topológica real de todo su sistema a la fecha de corte, presentando las variables solicitadas en la Circular CREG 015 de 2007, con un modelo de impedancia constante.
iii. En ningún punto del sistema se pueden presentar factores de potencia inferiores a 0,9.
iv. En ningún punto del sistema se pueden presentar valores de voltaje inferiores a los establecidos en las normas vigentes.
e. Se asignará el valor resultante de restar una desviación estándar a la media aritmética calculadas en el literal a de este numeral en los siguientes casos:
i. Cuando un OR presente un estudio que no cuente con la totalidad de los requisitos dispuestos en el literal d.
ii. Cuando un OR presente un estudio con inconsistencias en la información.
iii. Cuando un OR del segundo grupo no presente estudio de pérdidas conjuntamente con su solicitud de cargos.
7.1.1.3 NIVEL DE TENSIÓN 1, Pej,1.
El índice de pérdidas del OR j en el nivel de tensión 1 se calcula con base en la siguiente expresión:
![]()
Donde:
| PTj,1: | Índice de pérdidas técnicas del OR j del nivel de tensión 1 según la tabla 6.2 del documento "Cálculo de pérdidas técnicas en el nivel de tensión 1" de la Circular CREG 052 de 2010. |
| PNTj,1: | Índice de pérdidas no técnicas de referencia del nivel de tensión 1, en porcentaje, calculado según la siguiente expresión: |
![]()
Donde:
| LRj: | km de líneas rurales de nivel de tensión 2 a la fecha de corte. |
| Eaej: | Energía entregada a usuarios en áreas especiales reportada al SUI durante el año anterior al de la fecha de corte por el OR j. |
| Eaemáx: | Máximo valor de energía entregada a usuarios en áreas especiales. Corresponde a la información reportada al SUI durante el año anterior al de la fecha de corte por un mismo agente entre todos los que reportaron este tipo de información. |
Los OR que no cuenten con el índice de pérdidas técnicas calculadas en la Circular CREG 052 de 2010 o aquellos que quieran presentar nuevamente su estudio deben calcular las pérdidas de energía modelando la red en este nivel de tensión de la siguiente manera:
a. Se debe utilizar la información real de los transformadores y redes a través de los cuales se haya distribuido, como mínimo, el 80% de la energía vendida en el mercado de comercialización en dicho nivel durante el año anterior al de presentación del estudio.
b. Para las áreas urbanas se deben modelar como mínimo el 90% de los transformadores existentes.
c. Se debe considerar un modelo de impedancia constante, en ningún punto del sistema se pueden presentar factores de potencia inferiores a 0,9 y los valores de voltaje no pueden ser inferiores a los establecidos en las normas vigentes.
d. La energía circulante en un año por las redes del nivel de tensión 1 no debe superar la energía de entrada a dicho nivel de tensión declarada por el OR.
El OR debe presentar a la CREG la totalidad de la información base de cálculo y en caso de no presentar información al respecto o que se encuentren inconsistencias, se le asignará a dicho OR un valor inferior en 0,5 puntos porcentuales al menor índice de pérdidas técnicas de la tabla 6.2 del documento "Cálculo de pérdidas técnicas en el nivel de tensión 1" de la Circular CREG 052 de 2010.
7.1.2 PÉRDIDAS RECONOCIDAS PARA OR QUE NO APLICAN PARA OPTAR A PLAN DE REDUCCIÓN.
En este grupo se clasifican dos tipos de OR: i) los que tengan resolución particular de aprobación del índice de pérdidas del nivel de tensión 1 conforme a lo establecido en el artículo 5o de la Resolución CREG 172 de 2011 y ii) los OR que a la fecha de corte registren un índice de pérdidas de nivel de tensión 1 igual o inferior al reconocido.
7.1.2.1 NIVELES DE TENSIÓN 4, 3 Y 2.
Las pérdidas reconocidas de los niveles de tensión 4, 3 y 2 serán iguales a las resultantes de las siguientes expresiones:
![]()
![]()
Donde:
| Pj,4,m,t: | Índice de pérdidas reconocidas para el OR j en el nivel de tensión 4, en el mes m del año t. |
| Pej,4,m,t: | Índice de pérdidas eficientes para el OR j en el nivel de tensión 4, en el mes m del año t, según lo establecido en el numeral 7.1.1.1 |
| Pj,n,t: | Índice de pérdidas reconocidas para el OR j en el nivel de tensión n, (con n=3 o 2) en el año t. |
| Pej,n: | Índice de pérdidas eficientes para el OR j en el nivel de tensión n, (con n=3 o 2), según lo establecido en el numeral 7.1.1.2. |
Para los OR que cuenten con resolución particular de aprobación del índice de pérdidas del nivel de tensión 1 conforme a lo establecido en el artículo 5o de la Resolución CREG 172 de 2011, se continuará aplicando el factor allí aprobado.
Para el OR que a la fecha de corte registre un índice de pérdidas real de nivel de tensión 1 igual o inferior al reconocido, el valor de la variable Pj,1,t será igual al Pej,1 calculado según lo establecido en el numeral 7.1.1.3.
7.1.3 PÉRDIDAS RECONOCIDAS PARA OR QUE PUEDEN OPTAR A PRESENTAR PLAN DE REDUCCIÓN DE PÉRDIDAS.
En este grupo se incluyen los OR que a la fecha de corte registren un índice de pérdidas de nivel de tensión 1 superior al reconocido.
Para estos OR se aplicarán los factores calculados por el LAC con base en la siguiente expresión:
![]()
| Pj,n,m,t: | Índice de pérdidas reconocidas del nivel de tensión n del OR j a aplicar en el mes m del año t. |
| Pej,n,m,t: | Índice de pérdidas eficientes para el OR j en el nivel de tensión n según lo establecido en el numeral 7.1.1. |
| Padj,n,t: | Índice de pérdidas adicionales reconocidas para el OR j en el nivel de tensión n para el año t según lo establecido en el numeral 7.1.3.1 |
A partir de la participación de la energía de cada nivel de tensión en el total de la energía de entrada al sistema del OR j, anualmente el LAC debe calcular los factores de pérdidas adicionales para cada uno de ellos, según las siguientes expresiones:

![]()

Donde:
| Padj,n,t: | Fracción de pérdidas de energía adicional, en porcentaje, asignable al nivel de tensión n del OR j en el año t. |
| Epaj,n,t: | Energía de pérdidas adicionales asignada al nivel de tensión n del OR j en el año |
| Eej,n,m: | Energía de entrada al sistema del OR j en el nivel de tensión n durante el mes m, expresada en kWh calculada según el numeral 7.3.7.1. |
| Partj,n: | Participación de la energía de entrada al nivel de tensión n del OR j respecto del total de energía de entrada al sistema. |
| Epadj,t: | Energía de pérdidas adicionales del OR j en el año t expresadas en kWh según el numeral 7.1.4.4. |
| EsVFCj,n,m: | Ventas de energía en las fronteras comerciales del nivel de tensión n, del mercado de comercialización servido por el OR j, para el mes m de la fecha de corte. Corresponde a la suma de las medidas en las fronteras comerciales registradas en el SIC para el mercado de comercialización servido por el OR j, sin referir al STN, para la venta de energía a usuarios no regulados de todos los comercializadores del mercado y de las de usuarios regulados de los comercializadores distintos al incumbente. Incluye la energía entregada a los auxiliares de las subestaciones |
| EsVSFCj,n,m: | Ventas de energía en el sistema del OR j, en el nivel de tensión n, durante el mes m de la fecha de corte. Corresponde a las ventas de energía eléctrica, en kWh, de usuarios regulados del comercializador incumbente, que es facturado y reportado al SUI. Este valor incluye la energía entregada a los auxiliares de las subestaciones. |
7.1.4 CÁLCULO DE ÍNDICES DE PÉRDIDAS.
El ASIC debe aplicar la metodología para el cálculo de las pérdidas totales de energía y las pérdidas de energía en el nivel de tensión 1 definidas en este numeral.
Para determinar las pérdidas de energía se deberá emplear la información de las fronteras comerciales registradas en el ASIC y la reportada al SUI.
7.1.4.1 PÉRDIDAS TOTALES DE ENERGÍA.
Las pérdidas totales de energía en el mercado de comercialización servido por el OR j para el año t son:

El índice de pérdidas totales de energía en el mercado de comercialización servido por el OR j para el año t es:

Donde:
| PTj,t: | Pérdidas totales de energía en el mercado de comercialización servido por el OR j, para el año t, expresadas en kWh. |
| IPTj,t: | Índice de pérdidas totales de energía en el mercado de comercialización servido por el OR j, para el año t. Al inicio del plan, t igual a cero, t = 0, corresponde al año que finaliza en la fecha de corte. |
| Eej,n,m: | Energía de entrada al sistema del OR j en el nivel de tensión n durante el mes m, expresada en kWh, calculada como se establece en el numeral 7.3.7.1. |
| Esj,n,m: | Energía de salida del sistema del OR j en el nivel de tensión n durante el mes m, expresada en kWh, calculada como se establece en el numeral 7.3.7.2. |
| FeNSj,n,m: | Flujo de energía desde niveles de tensión superiores en el sistema del OR j, al nivel de tensión n, durante el mes m, expresado en kWh, calculado como se establece en el numeral 7.3.7.3. |
| FsORj,n,m: | Flujo de energía de salida desde el sistema del OR j en el nivel de tensión n, a otros STR y/o SDL, durante el mes m, expresado en kWh. Corresponde a la suma de las energías medidas en las fronteras comerciales entre OR, sin referir al STN, registradas en el ASIC |
| n: | Corresponde al nivel de tensión para el cual se determina la energía. Toma los valores de 1, 2, 3 o 4. |
Cuando en un mercado de comercialización la energía vendida a usuarios en el nivel de tensión 4 sea igual o superior al 30 % de las ventas totales en dicho mercado sin incluir las ventas en el STN, las ventas en el nivel de tensión 4 no se incluirán en la energía de salida y de la energía de entrada se debe descontar las ventas de energía del nivel de tensión 4 afectadas por las pérdidas reconocidas.
7.1.4.2 PÉRDIDAS DE ENERGÍA EN EL NIVEL DE TENSIÓN 1.
Para determinar las pérdidas de nivel de tensión 1, el ASIC debe realizar el balance de energía para los niveles de tensión superiores.
El índice de pérdidas de energía en nivel de tensión 1 del OR j es:

Donde:
| PTj,1,t: | Índice de pérdidas de energía en nivel de tensión 1 del OR j calculado para el año t. Al inicio del plan, t igual a cero, t = 0, corresponde al año que finaliza en la fecha de corte. |
| Eej,1,m: | Energía de entrada en nivel de tensión 1 del OR j durante el mes m, expresada en kWh, calculada como se establece en el numeral 7.3.7.1. |
| Esj,n,m: | Energía de salida del sistema del OR j en el nivel de tensión n, durante el mes m, expresada en kWh, calculada como se establece en el numeral 7.3.7.2 |
7.1.4.3 PÉRDIDAS DE ENERGÍA RECONOCIDAS EN EL NIVEL DE TENSIÓN 1. <Numeral modificado por el artículo 6 de la Resolución 101 050 de 2024. El nuevo texto es el siguiente:> El factor de pérdidas de energía reconocidas en el nivel de tensión 1, FPIj,t, se establece según el índice de pérdidas en la fecha de corte y en función de la inversión proyectada por el OR en cada año, según el plan de inversiones de que trata el numeral 3.1.1.2., y; con base en la siguiente expresión:
![]()
Donde:
| FPIj, t | Factor de pérdidas reconocidas en el nivel de tensión 1 para el OR j en el año t. |
| Ptrj,1,t | Índice de pérdidas de energía de transición del OR j en el nivel de tensión 1 para el año t, determinado en función del porcentaje de inversión y el índice de pérdidas del nivel de tensión 1 a la fecha de corte, según lo establecido en el numeral 7.1.4.3.1. |
| t | Año de aplicación de los cargos con base en esta resolución. Su máximo valor será diez (10) |
| Pej,1 | Índice de pérdidas eficientes del OR j en el nivel de tensión 1 según lo establecido en el numeral 7.1.1.3. |
Para el caso de los OR a los que se les definan las condiciones de flexibilización a las que hace referencia el artículo 236 de la Ley 2294 de 2023, de acuerdo con los criterios generales previstos en la regulación, la variable FPIj,t se aplicará de acuerdo con lo dispuesto en resolución particular para cada OR que decida acogerse a la flexibilización de sus inversiones.
7.1.4.3.1. VALOR DE PÉRDIDAS DE ENERGÍA DE TRANSICIÓN, PTRj,1,t.
Este OR deberá aplicar el factor Ptrj,1,t dependiendo del nivel de inversión Xr,t y de pérdidas iniciales PT1,j,0 que correspondan, según la siguiente tabla:
Tabla 7. Variable Ptrj,1,t según inversión y pérdidas iniciales
| % de Inversión | PTj,1,0 = 23% | 23%>PTj,1,0 = 19,1% | 19,1%>PTj,1,0 = 15,2% | 15,2%>PTj,1,0 = 11,3% |
| Xr,t = 7% | PTj,1,0 | PTj,1,0 | PTj,1,0 | PTj,1,0 |
| 7% > Xr,t = 6% | 19,1% | PTj,1,0 | PTj,1,0 | PTj,1,0 |
| 6% > Xr,t = 5% | 15,2% | 15,2% | PTj,1,0 | PTj,1,0 |
| 5% > Xr,t = 4% | 11,3% | 11,3% | 11,3% | PTj,1,0 |
| 4% > Xr,t | Pej,1 | Pej,1 | Pej,1 | Pej,1 |
La variable Xr,t se calcula según lo establecido en el numeral 7.1.4.3.2.
En el caso que el OR presente un nivel de pérdidas PTj,1,0 inferior a 11,3% deberá aplicar las pérdidas eficientes Pej,1 con cualquier nivel de inversión.
7.1.4.3.2 PORCENTAJE DE INVERSIÓN PROYECTADA O EJECUTADA ANUAL, (Xr, t).
El cálculo del porcentaje de inversión, proyectada para el primer año de aplicación de los cargos calculados con base en esta resolución o, a partir del segundo año, ejecutada en el año anterior, se calcula según la siguiente expresión:

Donde:
| INVRj,n,l,t: | Inversiones en activos puestos en operación en el sistema del OR j en el nivel de tensión n en la categoría de activos l durante el año t, calculado según el numeral 3.1.1.2.3. Para el año t=1, esta variable se reemplaza por la variable INVAj,n,l,t de que trata los numerales 3.1.1.2.1 y 3.1.1.2.2. |
| CRRj: | Costo de reposición de referencia del OR j inicio del periodo tarifario, calculado según el numeral 6.4.2. |
| Ln: | Cantidad de categorías de activos en el nivel de tensión n. |
El valor de la variable Xr,t deberá ser informada al LAC para efectuar el cálculo de los respectivos índices para el siguiente año, cuando tenga la información disponible.
La CREG podrá efectuar auditorías para verificar el cumplimiento del porcentaje de inversiones Xr,t.
7.1.4.4 ENERGÍA DE PÉRDIDAS ADICIONALES A LAS EFICIENTES.
La energía de pérdidas adicionales será el resultado de la siguiente expresión:

Donde:
| Epadj,t: | Energía de pérdidas adicionales del OR j en el año t expresadas en kWh. |
| FPIj, t: | Índice de pérdidas de energía de transición del OR j en nivel de tensión 1 del año t, calculado según lo establecido en el numeral 7.1.4.3 |
| Pej,1: | Índice de pérdidas calculado del nivel de tensión 1 del OR j, según lo establecido en el numeral 7.1.1.3. |
| Eej,1,m: | Energía de entrada en nivel de tensión 1 del OR j durante el mes m, expresada en kWh, calculada como se establece en el numeral 7.3.7.1. |
| Pdj,t-1: | Índice de pérdidas a devolver. Se aplica únicamente en el segundo año, cuando las inversiones ejecutadas en el primer año son inferiores al valor mínimo del rango de inversión con base en el cual se aprobó la variable Ptrj,1,1. Se calcula restando el FPIj,1 calculado con base en el capex ejecutado en el primer año del FPIj,1 aprobado para el primer año. |
7.2 DETERMINACIÓN DE LOS FACTORES PARA REFERIR AL STN.
Los factores de cada nivel de tensión para referir las medidas de energía al STN, considerando las pérdidas de energía eficientes de los STR o SDL, se determinarán, para cada OR, siguiendo las siguientes expresiones:
Este índice se define en el numeral 1.1.1.

![]()
Donde
| PR3,j,t: | Factor para referir las medidas de energía del nivel de tensión 3 del OR j al STN en el año t. |
| Pj,3,t: | Pérdidas a reconocer en el nivel de tensión 3 del OR j en el año t, según lo establecido en los numerales 7.1.2 y 7.1.3. |
| P4,R,m,t: | Factor de pérdidas ponderado del nivel de tensión 4, para los OR que hacen parte del STR R, en el mes m del año t, según lo establecido en el numeral 1.1.1. |
| Fej,n-3: | Flujo de energía anual entre el nivel de tensión n, n es STN o 4, y el nivel de tensión 3 del OR j (MWh-año). |
| Pj,STN-3: | érdidas de transformación para referir las medidas de energía del nivel de tensión 3 al STN e iguales a 0,23 %. |
| Fej,3: | Flujo de energía anual desde otros niveles de tensión al nivel de tensión 3 del OR j (MWh-año). En el caso que no existan flujos de energía a este nivel, la variable tomará el valor de 1. |

![]()
Donde:
| PR2,j,t: | Factor para referir las medidas de energía del nivel de tensión 2 del OR j al STN en el año t. |
| Pj,2,t: | Pérdidas a reconocer en el nivel de tensión 2 del OR j en el año t, según lo establecido en los numerales 7.1.2 y 7.1.3. |
| P4,R,m,t: | Factor de pérdidas ponderado del nivel de tensión 4, para los OR que hacen parte del STR R, en el mes m del año t, según loe establecido en el numeral 1.1.1. |
| Pj,3,t: | Pérdidas a reconocer en el nivel de tensión 3 del OR j, en el año t, según lo establecido en los numerales 7.1.2 y 7.1.3. |
| Fej,n-2: | Flujo de energía anual entre el nivel de tensión n, n es STN, 4 o 3, y el nivel de tensión 2 del OR j, MWh-año. |
| Fej,2: | Flujo de energía anual desde otros niveles de tensión al nivel de tensión 2 del OR j (MWh-año). |
| Pj,n-2: | Pérdidas de transformación para referir las medidas de energía del Nivel de Tensión 2 al STN o al nivel de tensión 4 (n es STN o 4) del mismo OR e iguales a 0,23 %. |

![]()
Donde:
| PR1,j,t: | Factor para referir las medidas de energía del nivel de tensión 1 del OR j al STN en el año t. |
| Pj,1,t: | Pérdidas reconocidas en el nivel de tensión 1 del OR j en el año t calculadas según lo establecido en los numerales 7.1.2 y 7.1.3. |
| PR3,j,t: | Factor para referir las medidas de energía del nivel de tensión 3 del OR j al STN en el año t. |
| PR2,j,t: | Factor para referir las medidas de energía del nivel de tensión 2 del OR j al STN en el año t. |
| Fej,n-1: | Flujo de energía anual entre el nivel de tensión n, n es 3 o 2, y el nivel de tensión 1 del OR j (MWh-año). |
| Fej,1: | Flujo de energía anual desde otros niveles de tensión al nivel de tensión 1 del OR j (MWh-año). |
7.2.5 PÉRDIDAS DE TRANSFORMADORES DE CONEXIÓN AL STN.
Las pérdidas de transformación para referir las medidas de usuarios que se consideran conectados directamente al STN, independientemente del nivel de tensión de baja tensión del transformador de conexión al STN donde se encuentre su medida, son iguales a 0,23 %.
En esta sección se encuentra lo relativo a los planes de reducción y de mantenimiento de pérdidas.
La metodología para la aprobación de los planes de gestión de pérdidas tiene en cuenta los siguientes criterios:
a. La presentación de plan de reducción es opcional.
b. Los costos eficientes del plan están constituidos por las inversiones y por los costos y gastos aprobados al OR para tal fin.
c. <Literal modificado por el artículo 13 de la Resolución 85 de 2018. El nuevo texto es el siguiente:> La remuneración de los planes de reducción de pérdidas será aplicable únicamente en los mercados de comercialización que presenten pérdidas de energía eléctrica superiores a las pérdidas reconocidas en el nivel de tensión 1 a la fecha de corte.
d. La remuneración de los planes de reducción de pérdidas está sujeta al cumplimiento de las metas aprobadas a cada OR en resolución particular. El incumplimiento de las metas será causal de devolución, a los usuarios del mercado de comercialización respectivo, de los recursos recibidos para inversión mediante el CPROG.
e. La remuneración de los planes de reducción y mantenimiento de pérdidas de energía se efectuará a través de la variable CPROG incluida en el costo unitario de prestación del servicio en el caso de los usuarios regulados y que se debe incorporar como parte de los costos del servicio para los usuarios no regulados.
f. Para efectos de la revisión del plan de gestión de pérdidas, el período de evaluación es anual. En todo caso, el LAC calculará y publicará anualmente los índices de pérdidas, IPTj,t de que trata el numeral 7.1.4.1.
g. La remuneración de costos de mantenimiento de pérdidas de energía aplica para todos los OR y se remunerará mediante la variable CPROG, no se encuentra sujeta al cumplimiento de ninguna otra condición y se efectuará en la vigencia de la presente metodología, independientemente de la vigencia de los planes de reducción.
h. Cuando se modifiquen los parámetros de medición en las zonas especiales con los cuales fueron calculadas las pérdidas de que trata el numeral 7.1.4.2 inicialmente; se deberá recalcular la senda de reducción de pérdidas de energía, sin que se puedan superar los valores inicialmente aprobados.
7.3.1 REQUISITOS PARA LA PRESENTACIÓN DEL PLAN DE REDUCCIÓN.
El OR j que atienda un mercado de comercialización que presente pérdidas de energía en el nivel de tensión 1, PTj,1,t calculadas según lo establecido en el numeral 7.1.4.2 del presente capítulo, a la fecha de corte, superiores a las pérdidas reconocidas en el mismo momento, podrá someter para aprobación de la CREG el plan que debe contener, como mínimo, la siguiente información:
a. Resumen del plan: El cual debe incluir el cálculo de las variables CPORj, IPTj,0, PTj,1,0 y las metas para cada año.
b. Bases de cálculo: El OR deberá entregar la totalidad de la información utilizada para el cálculo de cada una de las variables presentadas, en hojas de cálculo del programa Excel.
c. Balance de energía, de doce meses calendario que finalizan en la fecha de corte, según lo expuesto en los numerales 7.1.4.1 y 7.3.7.1, detallando el código SIC de cada frontera comercial en el mercado de comercialización del OR, señalando el tipo de frontera, el código SIC y el nivel de tensión asociado.
d. Listado de usuarios conectados directamente al STN en el mercado de comercialización del OR, indicando su ubicación y código SIC.
e. Certificación del representante legal, contador y revisor fiscal del OR detallando el código de las cuentas creadas en la contabilidad, que permitan el registro independiente de todas las actividades relacionadas con el plan.
f. Valores de inversión, en $/kWh, para los años t y t-1.
7.3.1.1. SENDA DE REDUCCIÓN DE PÉRDIDAS. <Numeral modificado por el artículo 2 de la Resolución 167 de 2020. El nuevo texto es el siguiente:> Las metas de reducción de pérdidas de cada año deben cumplir con la siguiente condición:
![]()
Donde:
IPTj,0: Índice de pérdidas totales del mercado atendido por el OR j al inicio del plan.
IPTSj,t: Índice de pérdidas totales de la senda propuesto por el OR j en el año t.
Para la ejecución de las actividades propias de la actividad de comercialización, tales como instalación de micromedidores, revisión de medidores y gestión comercial, entre otras, el OR deberá efectuarlas a través del comercializador que corresponda.
7.3.2 CÁLCULO DEL COSTO TOTAL DEL PLAN.
Se verificará que el costo total del plan presentado por el OR no supere el costo total de referencia, calculado con el modelo de estimación del costo eficiente a partir de la meta final de pérdidas de energía solicitada por el OR. El costo total del plan a aprobar será el menor entre el costo total presentado por el OR y el costo total de referencia.
La CREG podrá aprobar un valor inferior al solicitado por el OR para la ejecución de su plan sin perjuicio de lo cual el OR que acepte la ejecución del mismo deberá cumplir con las metas de reducción de pérdidas para cada año.
El costo del plan de reducción de pérdidas está compuesto por las inversiones asociadas con la reducción de pérdidas no técnicas y por los costos y gastos en que incurra el agente en la ejecución del plan, mientras que el plan de mantenimiento de pérdidas está compuesto únicamente por los costos y gastos en que incurra el agente en el desarrollo de esta actividad.
El costo total del plan a aprobar a cada OR se determinará según la siguiente expresión:
![]()
Donde:
| CTPj: | Costo total del plan para el OR j, en pesos de la fecha de corte. |
| CPCEj: | Costo total del plan, en pesos de la fecha de corte. Este valor resulta de la aplicación del modelo de costos eficientes de que trata el numeral 7.3.2.2, actualizado a pesos de la fecha de corte. |
| CPORj: | Costo total del plan, en pesos de la fecha de corte, presentado por el OR j para su aprobación. |
7.3.2.1. CÁLCULO DEL COSTO ANUAL DEL PLAN. <Numeral modificado por el artículo 15 de la Resolución 85 de 2018. El nuevo texto es el siguiente:>
La variable CAPj corresponde al costo anual del plan que remunera los costos y gastos asociados con la recuperación o mantenimiento de pérdidas de energía y, para los OR que requieren de aprobación de plan de reducción de pérdidas la remuneración será de la siguiente manera:
![]()
Donde:
| CAPj: | Costo anual del plan de gestión de pérdidas del mercado de comercialización j aprobado al OR que atiende dicho mercado. El menor valor que toma esta variable es el que corresponde al AOM de mantenimiento de pérdidas. |
| CTPj: | Costo total del plan para el OR j, en pesos de la fecha de corte, calculado según el numeral 7.3.2. |
| DP: | Duración horizonte de planeación del plan de pérdidas en años, igual a diez (10). |
Independientemente del horizonte de planeación del plan de pérdidas, este será remunerado durante la vigencia de los ingresos aprobados con base en la presente resolución.
En el costo total del plan se pueden incluir las siguientes inversiones: medidores de usuarios finales regulados que no cuenten con medidor a la fecha de presentación del plan y su costo no sea trasladado al usuario, medidores en el arranque de todas las líneas, equipos de medida en los puntos de entrada de cada nivel de tensión, macromedidores instalados en transformadores de distribución y sistemas de medición centralizada, incluyendo software y comunicaciones.
Todos los sistemas de medición deben cumplir con el código de medida vigente y aplicar criterios de adaptabilidad, confiabilidad, seguridad, interoperabilidad, flexibilidad y escalabilidad.
En el desarrollo de los planes de reducción de pérdidas de energía, en las redes de baja tensión donde estén instalados o se vayan a instalar sistemas de medición centralizada, el comercializador deberá solicitar a sus usuarios regulados un equipo de medida compatible con el sistema de medición centralizada que instale el OR. El usuario regulado podrá cambiar su medidor por uno de las calidades exigidas en la regulación vigente o acogerse a la medida dispuesta por el comercializador integrado con el OR a través del sistema de medición centralizada instalado por el OR. En este último caso, el medidor no tendrá ningún costo para el usuario y la responsabilidad por su custodia será del OR.
Todas las inversiones realizadas deberán reportarse junto con el reporte anual de ejecución del plan de inversiones del OR.
7.3.2.2 CÁLCULO DE LA VARIABLE CPCEJ.
La variable CPCEj se obtendrá a partir del modelo de estimación del costo eficiente desarrollado por la CREG, considerando el índice de pérdidas inicial de cada OR, el índice de pérdidas propuesto por el OR para el final del plan y los costos de reducción de pérdidas no técnicas obtenidos a partir de la información entregada por los OR en respuesta a las circulares CREG 019 de 2010 y 027 de 2014.
La Comisión pondrá a disposición de las empresas el aplicativo de estimación del costo eficiente de reducción de pérdidas, durante el plazo para la presentación de la solicitud de aprobación de cargos.
Para tener acceso a este aplicativo, el representante legal de cada OR debe enviar a la Comisión una comunicación escrita solicitando el usuario y la clave de acceso y señalando una dirección de correo electrónico donde se enviará la información de acceso y los resultados de las simulaciones.
Para definir la variable CPCE se utilizará la siguiente información:
a. Crecimiento vegetativo de la demanda: crecimiento promedio de las ventas de energía registradas en el mercado de comercialización, durante los cinco años anteriores al de la presentación del plan.
b. Mínima inversión: mínimo costo en $/kWh, con el cual el modelo de estimación del costo eficiente obtiene una ruta factible para obtener el nivel de pérdidas propuesto por el OR al finalizar el plan. Este valor debe ser mayor que cero (0).
c. Máxima inversión: máximo costo en $/kWh, con el cual el modelo de estimación del costo eficiente obtiene una ruta factible para obtener el nivel de pérdidas propuesto por el OR al finalizar el plan. Este valor debe ser mayor que cero (0).
d. Opciones de inversión: corresponde al número de opciones para conformar el árbol de decisión, cuyo máximo valor es treinta (30).
e. Energía de entrada para los años t y t-1: cantidad de energía, en kWh, calculada con base en la metodología definida en el numeral 7.3.7.1, menos la energía de salida a otros OR, FsORj,n,m, según lo definido en el numeral 7.3.7.2.
f. Energía de salida para los años t y t-1: cantidad de energía, en kWh, calculada con base en la metodología definida en el numeral 7.3.7.2
g. Nivel de pérdidas años t y t-1: porcentaje de pérdidas totales del sistema calculado con base en la metodología definida en el numeral 7.1.4.1.
h. Inversión años t y t-1: corresponde a la información entregada por el OR en la solicitud de aprobación del plan.
i. El año t corresponde al anterior al de la presentación de la solicitud de aprobación del plan.
j. Para efectos del cálculo de la variable CPCEj en el caso de los planes de mantenimiento de pérdidas, se tendrá en cuenta que el índice de pérdidas inicial es igual al eficiente y el índice de meta es inferior en un punto porcentual al primero. Las demás variables, como energía de entrada y salida de los años t y t-1, deberán estar acorde con estos índices.
k. Los OR sujetos de planes de reducción de pérdidas podrán presentar solicitud de remuneración de plan de reducción de pérdidas y solicitud de remuneración de plan de mantenimiento de pérdidas. Este último aplicara cuando se haya finalizado la remuneración del plan de reducción de pérdidas.
7.3.2.3. CÁLCULO DE LA VARIABLE CPORJ. <Numeral modificado por el artículo 16 de la Resolución 85 de 2018. El nuevo texto es el siguiente:>
La variable CPORj está conformada por los gastos de AOM relacionados con pérdidas de energía y por la remuneración de las inversiones mencionadas en el numeral 7.3.2.1, según la siguiente expresión:

Donde:
| CPORj: | Costo total del plan, en pesos de la fecha de corte, presentado por el OR j para su aprobación. |
| INVNUCj: | Costo de las inversiones en activos que no son clasificables como UC del OR j, aplicable para los planes de reducción de pérdidas. Para los OR con plan de mantenimiento de pérdidas este valor es igual a cero (0). |
| AOMPj,k: | Gastos del OR j en pérdidas de energía, durante los años k (de 2012 al 2016). Esta información corresponde a la entregada por los OR en respuesta a las circulares CREG 027 de 2014 y CREG 015 de 2017, en pesos de la fecha de corte. En el caso de que un OR no haya reportado información en respuesta a estas circulares, esta variable tomará el valor igual a cero (0). |
| Kj: | Es el número de años con información reportada por el OR j. |
| DP: | Duración horizonte de planeación del plan de pérdidas en años, igual a diez (10). |
7.3.3 INICIO DEL PLAN DE MANTENIMIENTO DE PÉRDIDAS. <Numeral modificado por el artículo 40 de la Resolución 36 de 2019. El nuevo texto es el siguiente:>
Un plan de mantenimiento de pérdidas iniciará cuando:
a) Un OR no solicite plan de reducción de pérdidas y se encuentren en firme los costos anuales aprobados a la empresa que corresponda. El cargo CPROG estará vigente hasta que los costos anuales aprobados con base en la presente metodología sean reemplazados;
b) Un OR solicite plan de reducción de pérdidas, pero no lo acepte según lo aprobado por la CREG;
c) Un OR solicite un plan de reducción y este haya sido aceptado, pero dicho plan haya sido suspendido o finalizado según lo establecido en el numeral 7.3.6.
7.3.4 INICIO Y SEGUIMIENTO DEL PLAN DE REDUCCIÓN DE PÉRDIDAS.
Para dar inicio a la ejecución del plan de reducción de pérdidas el OR deberá cumplir con los siguientes requisitos:
a. Tener en firme la resolución particular de remuneración de su sistema con base en lo establecido en la presente resolución.
b. Enviar comunicación a la CREG en la que se ratifique su interés en dar inicio a la ejecución del plan y se envíe copia de la publicación del resumen del plan realizada, lo anterior dentro de los siete (7) días hábiles siguientes a la fecha en la que quede en firme la resolución particular.
En el mismo plazo, el OR deberá informar a la SSPD, el LAC y a los comercializadores presentes en su mercado el inicio de la ejecución del plan de reducción de pérdidas aprobado para su sistema.
Una vez cumplidos los requisitos para dar inicio a la ejecución del plan, el LAC determinará el cargo CPROGj,m, según lo establecido en el numeral 7.3.5.1, dentro del mes siguiente a la fecha de recibo de la notificación de inicio del plan.
La fecha de inicio del plan es el primer día calendario del mes siguiente al de la publicación del CPROGj,m por parte del LAC en su página web.
Los comercializadores minoristas deben publicar las tarifas que aplicarán a sus usuarios incluyendo el valor de la variable CPROGj,m calculada por el LAC para el respectivo mercado, dentro del mes de publicación del CPROGj,m por parte del LAC.
A los consumos causados con anterioridad a la fecha de inicio del plan no se les puede incluir el cobro de la variable CPROGj,m.
Cuando en un mercado de comercialización se encuentre un plan en ejecución y se cambie el OR, el plan aprobado no se modificará por este hecho y el nuevo OR deberá continuar con la ejecución del mismo. El LAC debe calcular y liquidar la variable CPROG sin perjuicio de los balances o ajustes en las cuentas entre el OR entrante y el saliente.
Para la evaluación del cumplimiento de las metas aprobadas se debe realizar el procedimiento de evaluación definido a continuación:
7.3.4.1 EVALUACIÓN DEL CUMPLIMIENTO DEL PLAN.
La evaluación de cumplimiento del plan de reducción consiste en el cálculo de los índices de pérdidas, su divulgación y la aplicación de la siguiente metodología:
a. El LAC calculará, para cada OR, el índice de pérdidas totales, IPTj,t, conforme a lo establecido en el numeral 7.1.4.1, dentro de los primeros cinco (5) días hábiles del cuarto mes posterior a la finalización de cada año. Los resultados serán publicados por el LAC, junto con las metas aprobadas para cada OR, en su página web al siguiente día de su cálculo.
b. Los OR tendrán un plazo de cinco (5) días hábiles a partir de la publicación de los resultados para presentar sus observaciones sobre éstos. En este caso el OR deberá enviar al LAC y a la Superintendencia de Servicios Públicos Domiciliarios las pruebas que demuestren los posibles errores de cálculo o que la información utilizada no corresponda con la realidad.
c. Cuando un OR presente observaciones sobre el cálculo, el LAC resolverá la solicitud y el decimoquinto (15) día hábil del mismo mes publicará los resultados finales de cálculo teniendo en cuenta todas las aclaraciones que se presenten.
d. Si un OR cumple con las metas, se mantendrá la remuneración aprobada para el siguiente año.
e. Un OR incumple la ejecución del plan cuando la variable IPTj,t es superior al índice IPTSj,t aprobado para el período correspondiente.
f. La suspensión de la remuneración del plan a un OR no implica la cancelación de la ejecución del plan y el LAC continuará calculando los índices que le correspondan.
g. <Literal eliminado por el artículo 17 de la Resolución 85 de 2018>
h. Si al finalizar el año siguiente al de la suspensión de la remuneración se encuentra que el OR cumple con la meta aprobada para ese período, se levantará la suspensión del plan y se reanudará la remuneración del plan al OR.
i. Si al finalizar el año siguiente al de la suspensión de la remuneración se encuentra que el OR no cumple con la meta aprobada para ese período, se cancelará la ejecución del plan y el OR debe devolver los ingresos recibidos, conforme a lo establecido en el numeral 7.3.6.4 según corresponda.
j. <Literal modificado por el artículo 41 de la Resolución 36 de 2019. El nuevo texto es el siguiente:> Cuando, durante la vigencia del plan y hasta un año posterior a su finalización, un comercializador incumbente modifique cualquier reporte de ventas de energía en el SUI correspondiente a alguno de los meses dentro de los cinco años anteriores al mes en el que se realice el cambio, este comercializador debe informar sobre la modificación al LAC dentro de los dos días siguientes al de la modificación y el LAC deberá recalcular, dentro de los dos meses siguientes al del recibo de la comunicación, los índices de pérdidas totales a partir de los periodos en que se cambiaron datos, IPTj,t, conforme a lo establecido en el numeral 7.1.4.1, teniendo en cuenta la nueva información.
En este caso, si con los índices resultantes del cálculo con la nueva información del SUI de que trata el párrafo anterior un OR incumple con las metas de algún año, el OR debe reintegrar los recursos recibidos durante los periodos de incumplimiento conforme a lo señalado en el numeral 7.3.6.
7.3.4.2 MODIFICACIÓN DE METAS.
El OR podrá solicitar el ajuste de las metas aprobadas, bajo las siguientes condiciones:
a. Se puede solicitar el ajuste de la meta final una sola vez durante el periodo de ejecución del plan. Esta solicitud deberá presentarse a la CREG a más tardar (3) tres meses antes de la finalización del tercer periodo de evaluación.
b. <Literal modificado por el artículo 18 de la Resolución 85 de 2018. El nuevo texto es el siguiente:> La modificación de la meta final conlleva a un ajuste en la remuneración del plan aprobada inicialmente al OR.
Cuando el índice final solicitado sea superior al aprobado, el plan será objeto de reliquidación y ajuste. En caso de ser aprobado el cambio, para el cálculo del nuevo CAPj, la CREG restará los recursos recibidos hasta el momento de la solicitud y los proyectados a recibir durante los tres (3) meses siguientes a la solicitud de la variable CTPj inicialmente aprobada. El índice final solicitado no deberá ser superior o igual al último índice de pérdidas calculado. El nuevo CAPj se aplicará hasta que permanezcan vigentes los ingresos aprobados con base en la metodología definida en esta resolución.
Cuando el índice final solicitado sea inferior al aprobado, el plan será objeto de ajuste. El nuevo CAPj se aplicará hasta que permanezcan vigentes los ingresos aprobados con base en la metodología definida en esta resolución sin que se hagan reconocimientos retroactivos por causa de que el nuevo CAPj sea mayor que el aprobado inicialmente.
c. Se puede solicitar el ajuste de las metas intermedias sólo una vez durante el periodo de ejecución del plan, siempre que se mantengan las condiciones vigentes aprobadas, valor final de pérdidas y periodo para alcanzarla. Las nuevas metas intermedias no deberán ser superiores o iguales al último índice de pérdidas calculado y deberán tener en cuenta la restricción definida en el numeral 7.3.1.1.
d. La modificación de las metas intermedias no conlleva a un ajuste del costo anual del plan aprobado.
e. En cualquier caso, para solicitar el ajuste en las metas, intermedias o finales, el OR debe haber cumplido con la meta correspondiente al periodo de evaluación inmediatamente anterior al de la solicitud.
f. El OR deberá sustentar en su solicitud los motivos de ajuste de las metas.
g. La CREG revisará la sustentación de ajuste de las metas presentada por el OR y realizará el procedimiento de evaluación y aprobación de las nuevas metas.
7.3.5 LIQUIDACIÓN, RECAUDO Y ACTUALIZACIÓN DEL CPROGj,m.
Los cargos por concepto de remuneración de los planes de pérdidas serán actualizados y liquidados por el LAC y facturados y recaudados por los OR a los comercializadores que atienden usuarios en su mercado de comercialización, siguiendo las siguientes disposiciones
7.3.5.1 DETERMINACIÓN DEL CARGO MENSUAL.
El cargo que debe ser cobrado a los usuarios finales en cada mercado de comercialización será calculado y publicado por el LAC los primeros siete (7) días de cada mes, de la siguiente manera:

<Ver Notas de Vigencia - Modificación temporal al factor de indexación>
Donde:
| CPROGj,m: | Cargo en $/kWh por concepto del plan, del mercado de comercialización j, aplicable en el mes m. El cargo publicado por el LAC aplicará para el siguiente mes al de su publicación. |
| CAPj: | Costo anual del plan, en pesos de la fecha base, del mercado de comercialización j, aprobado al OR, calculado según lo expuesto en el numeral 7.3.2.1. |
| VSTNj,m: | Ventas a usuarios conectados directamente al STN asociados al mercado de comercialización j en el mes m, en kWh. Corresponde a las lecturas tomadas directamente de los medidores de los usuarios conectados directamente al STN, sin referir al STN, tomadas de los registros del LAC. Cuando el medidor no se encuentre en el lado del STN, la medida se debe referir con los factores aprobados para el respectivo sistema. Cuando para una frontera no se disponga de la información de un mes determinado se utilizará el promedio registrado para los últimos seis (6) meses de dicha frontera o la mejor información disponible en el LAC. |
| VCPj: | Ventas en el mercado de comercialización servido por el OR j, durante doce (12) meses, en kWh, realizadas por los comercializadores diferentes al incumbente. |
| VCIj: | Ventas en el mercado de comercialización servido por el OR j, durante doce (12) meses, en kWh, realizadas por el comercializador incumbente. |
| IPPm: | Índice de precios al productor total nacional correspondiente al mes m. |
| IPP0: | Índice de precios al productor total nacional correspondiente al mes de la fecha de corte |
La variable VCPj se calcula de la siguiente manera:

Donde:
| VCPj,: | Ventas en el mercado de comercialización servido por el OR j, durante doce (12) meses, en kWh, realizadas por los comercializadores diferentes al incumbente. |
| vcpm,n,i: | Energía registrada en el SIC para las fronteras comerciales de responsabilidad del comercializador i diferente al comercializador incumbente, durante el mes m, en el nivel de tensión n, en el mercado de comercialización atendido por el OR j, en kWh. Cuando no se disponga de la información para un mes determinado, se utilizará el promedio de los valores registrados para los últimos seis (6) meses o la mejor información disponible. |
| Ip: | Número total de comercializadores distintos al incumbente en el mercado de comercialización del OR j. |
La variable VCIj se calcula de la siguiente manera:

Donde:
| VCIj: | Ventas en el mercado de comercialización servido por el OR j, durante doce (12) meses, en kWh, realizadas por el comercializador incumbente. |
| vciRm,n: | Ventas durante el mes m, en el nivel de tensión n, del comercializador incumbente, para usuarios regulados. Corresponde al consumo de energía eléctrica en kWh que es facturado y reportado al SUI para el respectivo periodo. Cuando no se disponga de la información para un mes determinado, se utilizará el promedio registrado en el SUI para los últimos seis (6) meses o la mejor información disponible. |
| vciNRm,n: | Ventas durante el mes m, en el nivel de tensión n, del comercializador incumbente, para usuarios no regulados. Corresponde a la energía registrada en el SIC para las fronteras comerciales de usuarios no regulados responsabilidad del comercializador incumbente, durante el mes m, en el nivel de tensión n, en el mercado de comercialización atendido por el OR j, en kWh. Cuando no se disponga de la información para un mes determinado, se utilizará el promedio de los valores registrados para los últimos seis (6) meses o la mejor información disponible. |
| INVNUCDj: | Valor de inversiones, por kilovatio hora, no clasificadas en UC a devolver por el ORj, calculada según lo expresado en el numeral 7.3.6.4.1. |
<Párrafo modificado por el artículo 42 de la Resolución 36 de 2019. El nuevo texto es el siguiente:> Los OR podrán advertir sobre posibles diferencias de cálculo en la misma oportunidad de que trata el literal f. del numeral 1.3.2.
7.3.5.2 LIQUIDACIÓN Y RECAUDO.
Dentro de los primeros quince (15) días calendario del segundo mes siguiente al de aplicación del cargo respectivo, el LAC determinará y publicará el valor que cada comercializador debe trasladar al OR, de acuerdo con la siguiente expresión:
![]()
Donde:
| LCPROGi,j,m,t: | Liquidación por concepto de CPROG, en pesos, en el mercado de comercialización j, por las ventas realizadas durante el mes m del año t, que facturará el OR j al comercializador i. |
| VCi,j,m: | Ventas de energía del comercializador i, en el mercado de comercialización j, durante el mes m, considerando las ventas a usuarios conectados directamente al STN que hacen parte del mercado de comercialización j. La determinación de las ventas a usuarios no regulados y para el caso en que un comercializador i diferente al integrado al OR haya registrado una frontera comercial para la atención de un solo usuario regulado, se hará a través del consumo registrado en el SIC para la frontera específica. La determinación de las ventas a usuarios regulados atendidos por el comercializador incumbente se hará a través del consumo de energía eléctrica en kWh que es facturado y reportado para el respectivo periodo al SUI. En las fronteras comerciales que agrupen usuarios regulados atendidos por un comercializador i diferente al incumbente, este valor corresponde a la medida registrada en la frontera comercial f de dicho comercializador multiplicada por el factor (1- Psf). La variable Psf es igual a 0,019. En caso que el comercializador y el OR acuerden otro valor de Psf, deberá ser informado al LAC para que sea utilizado en la liquidación. |
| ALi,j,m: | <Variable modificada por el artículo 43 de la Resolución 36 de 2019. El nuevo texto es el siguiente:> Ajuste de la liquidación en el mes m, en pesos, causada por modificaciones en los reportes de información de consumos facturados o refacturados, realizadas por el comercializador i en el mercado de comercialización j. Este valor es igual a cero (0) en la primera liquidación. Estos ajustes se podrán efectuar para liquidaciones hasta de cuatro meses anteriores al de cálculo, salvo que, como resultado de la modificación de información de ventas en el SUI por parte del comercializador incumbente, sea necesario efectuar ajustes de periodos hasta de cinco años atrás al de la fecha de cambio de información, caso en el cual se podrán realizar también estos ajustes. |

Donde:
| CPROGj,m: | Cargo en $/kWh por concepto del plan, del mercado de comercialización j, aplicable en el mes m. |
| VCAi,j,maj: | Ventas de energía del comercializador i ajustadas, en el mercado de comercialización j, en el mes de ajuste maj para el cual se modificó el reporte de información, considerando las ventas a usuarios conectados directamente al STN que hacen parte del mercado de comercialización j. Es el reporte de energía eléctrica, en kWh y que ha modificado un reporte anterior con base en el cual ya se realizó alguna liquidación del costo del plan.Si el comercializador no realiza modificaciones en el consumo facturado, la variable VCAi,j,maj es igual a VCi,j,maj. |
| VCi,j,maj: | Ventas de energía del comercializador i, en el mercado de comercialización j, considerando las ventas a usuarios conectados directamente al STN que hacen parte del mercado de comercialización j, que ha sido objeto de modificación posteriormente al momento de su utilización en el cálculo de un LCPROG |
Cuando un comercializador modifique la información de ventas en el SUI o el reporte de energía en el LAC para un mes que ya ha sido objeto de liquidación de CPROGj,m, el LAC deberá efectuar una reliquidación por este concepto. En el caso de un comercializador incumbente para el mercado regulado con la información que para tal efecto le debe enviar el comercializador respectivo durante los dos (2) días siguientes al de certificación de la misma información en la base de datos del SUI.
La facturación y recaudo a los agentes comercializadores le corresponderá a los OR, utilizando la liquidación elaborada por el LAC.
La liquidación del CPROGj,m deberá ser trasladada por los comercializadores a los respectivos OR de acuerdo con los plazos establecidos en la regulación vigente.
7.3.5.3 AJUSTE DE CPROG. <Numeral adicionado por el artículo 44 de la Resolución 36 de 2019. El nuevo texto es el siguiente:>
Cuando un OR informe sobre el inicio de la ejecución del plan de reducción de pérdidas antes del 31 de marzo del año 1 del plan de inversiones, se aplicarán los nuevos ingresos a partir del primer día calendario del mes siguiente al de la aceptación.
Si ocurre después del 31 de marzo del año 1 del plan de inversiones, el LAC, en cada una de las liquidaciones de los primeros doce (12) meses de aplicación de la nueva metodología, al
calculado según lo establecido en el numeral 7.3.5.1, le adicionará el ajuste calculado como se describe a continuación:

Donde:
| AIMCPj,m: | Ajuste a la variable CPROGj,m, del OR j a aplicar durante los doce (12) primeros meses de aplicación de la nueva metodología. |
| CPROGj,m: | Cargo en $/kWh por concepto del plan, del mercado de comercialización j, aplicable en el mes m. |
| NMAj: | Número de meses entre el 31 de marzo del año 1 del plan de inversiones y el último día calendario del mes anterior al del inicio de aplicación de la nueva metodología, para el OR j. |
| IPPm-1: | Índice de precios del productor del mes m-1. |
| IPPaa: | Índice de precios del productor del mes anterior al de inicio de aplicación de los cargos |
7.3.6 SUSPENSIÓN, CANCELACIÓN DEL PLAN DE REDUCCIÓN Y DEVOLUCIÓN DE INGRESOS.
El plan de reducción de pérdidas puede ser suspendido o cancelado por encontrarse incurso en alguna de las causales en cada caso.
En cualquier caso, de suspensión o cancelación, el LAC determinará y publicará el valor del CPROG eliminando la variable INVNUCj que corresponda, En caso de suspensión, el cobro del CPROG considerando la variable INVNUCj puede ser reanudado cuando desaparezcan las causales de suspensión.
En caso de cancelación el cobro de dicha variable no podrá reanudarse y, por el contrario, se deberán devolver los recursos.
7.3.6.1 CAUSALES PARA LA SUSPENSIÓN DEL RECONOCIMIENTO DE LOS COSTOS ASOCIADOS CON LOS PLANES.
Las causales de suspensión del reconocimiento de los costos asociados con los planes son:
a. Incumplimiento en la meta de reducción de pérdidas en un año. Un OR incumple una meta cuando el resultado final de su índice es superior a la meta aprobada para el respectivo año.
b. Cuando el LAC sea informado que la vinculación de usuarios a la red está incompleta o desactualizada en el SUI, como resultado de la verificación de información que pueden adelantar la SSPD o la CREG.
c. Cuando el LAC sea informado por la autoridad competente que en un periodo de evaluación se encuentren fronteras comerciales entre agentes de responsabilidad del comercializador integrado con el OR j cuya información de las características de la misma (nivel de tensión, precisión, tipo de frontera) difiera de la registrada en el SIC.
d. Cuando, a partir del decimotercer (13) mes de inicio del plan, el OR no informe al LAC, durante dos meses consecutivos, el registro de las medidas entre niveles de tensión para determinar el factor FDFj,k„_n,m de que trata el numeral 7.3.7.3.
La remuneración será suspendida a partir del conocimiento del hecho y hasta el inicio del próximo periodo de evaluación, momento en el cual se podrá retirar la medida de suspensión siempre y cuando se haya subsanado la causal que la motivó.
7.3.6.2 CAUSALES PARA LA CANCELACIÓN AUTOMÁTICA DEL PLAN.
Las causales de cancelación automática del plan, sin que se requiera declaración de ninguna autoridad, son:
a. Incumplimiento de las metas del plan durante dos períodos de evaluación consecutivos.
b. Reincidencia en alguna de las causales de suspensión del plan.
c. Cuando hayan transcurrido doce (12) meses posteriores a la detección y notificación de inconsistencias en la información del vínculo cliente red y el OR no haya corregido la situación. El OR debe informar al LAC la desaparición de tal inconsistencia.
d. Cuando un OR decida finalizar el plan, conforme a lo establecido en el numeral 7.3.6.3.
e. Cuando la información de ventas de energía reportada al SUI por un comercializador incumbente, utilizada para el seguimiento del plan, sea modificada en el SUI con posterioridad a la fecha del cálculo del índice respectivo y con la nueva información el OR no cumpla con la senda aprobada para el respectivo año.
7.3.6.3 CANCELACIÓN DE LA EJECUCIÓN DEL PLAN POR PETICIÓN DEL OR.
El OR podrá solicitar la cancelación del plan, hasta dos meses posteriores del inicio de un periodo de evaluación o al final del mismo, sujeto a las siguientes condiciones:
a. Si el OR cumplió la meta aprobada para el periodo de evaluación anterior al de la fecha de solicitud de cancelación del plan, no debe devolver ingresos por concepto del plan.
b. Si el OR incumplio la meta aprobada para el periodo de evaluacion anterior al de la fecha de solicitud de cancelacion del plan, debe devolver los ingresos recibidos durante el periodo de incumplimiento, de acuerdo con lo senalado en el numeral 7.3.6.4.
c. Si el OR se encuentra en causal de suspension del plan debe devolver los ingresos recibidos durante los periodos de incumplimiento, de acuerdo con lo senalado en el numeral 7.3.6.4.
Cuando el OR solicite la cancelacion de la ejecucion del plan se suspendera inmediatamente el cobro de la variable INVNUCj.
7.3.6.4 DEVOLUCIÓN DE INGRESOS POR PARTE DEL OR.
Cuando se presente incumplimiento en la ejecucion del plan por parte de un OR o en caso de que un OR decida finalizar unilateralmente la ejecucion del plan y deba devolver recursos, el OR debera retornar los ingresos recibidos por concepto de la variable INVNUCj a los usuarios del mercado de comercializacion, durante los doce (12) meses posteriores a la cancelacion del plan, a traves de un valor negativo de la variable CPROGj,m, de acuerdo con la metodologia del presente numeral.
En caso de cancelacion de la ejecucion del plan el LAC calculara los ingresos recibidos por concepto de la variable INVNUCj durante los periodos de incumplimiento previos a la suspension de la remuneracion del plan, para que sean tenidos en cuenta como un menor valor en el costo de prestacion del servicio a los usuarios del mercado de comercializacion respectivo Para el caso de devolucion a los usuarios conectados directamente al STN, el LAC debera descontar los dineros a devolver de la siguiente liquidacion de ingresos del OR y asignarle esos recursos al comercializador que corresponda para que este, a su vez, reintegre los valores al usuario especifico.
En caso de finalizacion unilateral del plan el LAC debe calcular los ingresos recibidos por concepto de la variable INVNUCj durante los periodos de incumplimiento previos a la solicitud de cancelacion del plan, para que sean tenidos en cuenta como un menor valor en el costo de prestacion del servicio a los usuarios del mercado de comercializacion respectivo.
7.3.6.4.1. DETERMINACIÓN DEL CARGO MENSUAL CPROGJ,M CUANDO SE CANCELA LA EJECUCIÓN DEL PLAN.
Al siguiente mes de la cancelacion del plan en un mercado de comercializacion, la variable CPROGj,m incluira la variable INVNUCDj para el calculo del costo de prestacion del servicio a la totalidad de usuarios del mercado de comercializacion
Este valor sera calculado y publicado por el LAC los primeros siete (7) dias del mes siguiente al de cancelacion del plan, de la siguiente manera:

Donde:
| ITDj: | Ingreso total a devolver por el OR j, en pesos a la fecha de cálculo de acuerdo con lo establecido en el numeral 7.3.6.4.2 |
| VSTNj,m: | Ventas a usuarios conectados directamente al STN asociados al mercado de comercialización j en el mes m, en kWh. Corresponde a las lecturas tomadas directamente de los medidores de los usuarios conectados directamente al STN, sin referir al STN, tomadas de los registros del SIC. Cuando el medidor no se encuentre en el lado del STN, la medida se debe referir con los factores aprobados para el respectivo sistema. Cuando para una frontera no se disponga de la información del mes respectivo se utilizará el promedio registrado para los últimos seis (6) meses de dicha frontera o la mejor información disponible en el LAC. |
| VCPj, | Ventas en el mercado de comercialización servido por el OR j, durante doce (12) meses, en kWh, realizadas por los comercializadores diferentes al incumbente, calculado de la siguiente manera: |

Donde:
| vcpm,n,i: | Energía registrada en el SIC para las fronteras comerciales de responsabilidad del comercializador i diferente al comercializador incumbente, durante el mes m, en el nivel de tensión n, en el mercado de comercialización atendido por el OR j, en kWh. Cuando no se disponga de la información para un mes determinado, se utilizará el promedio de los valores registrados para los últimos seis (6) meses o la mejor información disponible. |
| Ip: | Número total de comercializadores distintos al incumbente en el mercado de comercialización del OR j. |
| VCIj: | Ventas en el mercado de comercialización servido por el OR j, durante doce (12) meses, en kWh, realizadas por el comercializador incumbente, calculado de la siguiente manera: |

Donde:
| vciRm,n: | Ventas durante el mes m, en el nivel de tensión n, del comercializador incumbente, para usuarios regulados. Corresponde al consumo de energia electrica en kWh que es facturado y reportado al SUI para el respectivo periodo. Cuando no se disponga de la informacion para un mes determinado, se utilizara el promedio registrado en el SUI para los ultimos seis (6) meses o la mejor informacion disponible. |
| vciNRm,n: | Ventas durante el mes m, en el nivel de tension n, del comercializador incumbente, para usuarios no regulados. Corresponde a la energia registrada en el SIC para las fronteras comerciales de usuarios no regulados responsabilidad del comercializador incumbente, durante el mes m, en el nivel de tension n, en el mercado de comercializacion atendido por el OR j, en kWh. Cuando no se disponga de la informacion para un mes determinado, se utilizara el promedio de los valores registrados para los ultimos seis (6) meses o la mejor informacion disponible. |
7.3.6.4.2. CÁLCULO DE LOS INGRESOS A DEVOLVER POR PARTE DEL OR. <Numeral modificado por el artículo 45 de la Resolución 36 de 2019. El nuevo texto es el siguiente:>
Los ingresos a devolver se calcularán de la siguiente manera:
![]()
Donde:
| ITDj: | Ingreso total a devolver por el OR j, en pesos, a la fecha de cálculo. |
| INVNUCj,m: | Costo mensual de las inversiones en activos que no son clasificables como UC del OR j, aplicable para los planes de reducción de pérdidas. Se calcula dividiendo la variable INVNUCj,m de que trata el numeral 7.3.2.3, entre 120. |
| T: | Número de meses del período que inicia a partir del primer mes del período de incumplimiento y finaliza el mes para el cual el LAC alcanzó a publicar el último LCPROG antes de la cancelación del plan. |
| r: | Corresponde a 1,5 veces el interés bancario corriente anual para la modalidad de crédito de consumo y ordinario, certificado por la Superintendencia Financiera, vigente en la fecha de cancelación del plan. En caso que este valor supere la tasa máxima permitida, la variable será igual a esta última. |
7.3.6.4.3. LIQUIDACIÓN Y RECAUDO.
En caso de devolución de ingresos a los usuarios finales durante la etapa descrita en el numeral 7.3.6.4.2, los valores INVNUCD serán parte del cálculo de la fórmula de CPROG durante doce meses, iniciando el segundo mes posterior al de la finalización del plan, según la siguiente expresión:

Donde:
| LINVNUCi,j,: | Liquidación por concepto de INVNUC, en el mercado de comercialización j, por las ventas en los meses de incumplimiento que facturará el OR j al comercializador i. |
| INVNUCDj: | Costo de las inversiones en activos que no son clasificables como UC del OR j a devolver, calculado según lo establecido en el numeral 7.3.6.4.1. |
| VCi,j,m: | Ventas de energía del comercializador i, en el mercado de comercialización j, durante el mes m, considerando las ventas a usuarios conectados directamente al STN que hacen parte del mercado de comercialización j. La determinación de las ventas a usuarios no regulados y para el caso en que un comercializador i diferente al integrado al OR haya registrado una frontera comercial para la atención de un solo usuario regulado, se hará a través del consumo registrado en el SIC para la frontera específica. La determinación de las ventas a usuarios regulados atendidos por el comercializador incumbente se hará a través del consumo de energía eléctrica en kWh que es facturado y reportado para el respectivo periodo al SUI. En las fronteras comerciales que agrupen usuarios regulados atendidos por un comercializador i diferente al incumbente, este valor corresponde a la medida registrada en la frontera comercial f de dicho comercializador multiplicada por el factor (1- Psf). La variable Psf es igual a 0,019. En caso que el comercializador y el OR acuerden otro valor de Psf, deberá ser informado al LAC para que sea utilizado en la liquidación. |
| T: | Período que inicia a partir del primer mes del período de incumplimiento y finaliza el mes para el cual el LAC alcanzó a publicar el último LCPROG antes de la cancelación del plan. |
La facturación y recaudo a los agentes comercializadores le corresponderá a los OR, utilizando la liquidación elaborada por el LAC.
7.3.7 CÁLCULO DE FLUJOS DE ENERGÍA.
7.3.7.1 ENERGÍA DE ENTRADA PARA CADA NIVEL DE TENSIÓN.
La energía de entrada en cada uno de los niveles de tensión del sistema del OR j, se calcula como sigue:
![]()
Donde:
| Eej,n,m: | Energía de entrada al sistema del OR j en el nivel de tensión n durante el mes m, expresada en kWh. |
| EeGj,n,m: | Energía entregada por los generadores, incluyendo plantas menores y cogeneradores conectados directamente al sistema del OR j, en el nivel de tensión n, durante el mes m, expresada en kWh. Corresponde a la suma de las energías medidas en las fronteras comerciales, sin referir al STN, registrada en el SIC para estos agentes. |
| FeSTNj,n,m: | Flujo de energía del STN al sistema del OR j en el nivel de tensión n, durante el mes m, expresado en kWh. Corresponde a la suma de las energías medidas en las fronteras comerciales, sin referir al STN, registradas en el SIC para los puntos de conexión del OR j al STN. Para los puntos de conexión en los cuales exista un transformador tridevanado y en el caso que no exista medida en cada uno de los devanados, el OR deberá reportar mensualmente al ASIC los valores de energía de entrada al transformador y los de energía de salida por cada uno de los devanados para que el ASIC efectúe la asignación al nivel de tensión que corresponda. |
| FeORj,n,m: | Flujo de energía desde el sistema de otro OR al sistema del OR j, en el nivel de tensión n, durante el mes m, expresado en kWh. Corresponde a la suma de las energías medidas en cada frontera comercial entre OR, sin referir al STN, registrada en el SIC. |
| FeNSj,n,m: | Flujo de energía desde niveles de tensión superiores en el sistema del OR j, al nivel de tensión n, durante el mes m, expresada en kWh. Calculada como se establece en el numeral 7.3.7.3. |
| n: | Corresponde al nivel de tensión para el cual se determina la energía de entrada. Toma los valores de 1, 2, 3 o 4. |
7.3.7.2 ENERGÍA DE SALIDA PARA CADA NIVEL DE TENSIÓN.
La energía de salida en cada uno de los niveles de tensión del sistema del OR j, se calcula como:
![]()
Donde:
| Esj,n,m: | Energía de salida del sistema del OR j en el nivel de tensión n, durante el mes m, expresada en kWh. |
| EsVFCj,n,m: | Ventas de energía en las fronteras comerciales del nivel de tensión n, del mercado de comercialización servido por el OR j, para el mes m. Corresponde a la suma de las medidas en las fronteras comerciales registradas en el SIC para el mercado de comercialización servido por el OR j, sin referir al STN, para la venta de energía a usuarios no regulados de todos los comercializadores del mercado y de las de usuarios regulados de los comercializadores distintos al incumbente. Incluye la energía entregada a los auxiliares de las subestaciones. |
| EsVSFCj,n,m: | Ventas de energía en el sistema del OR j, en el nivel de tensión n, durante el mes m. Corresponde a las ventas de energía eléctrica, en kWh, de usuarios regulados del comercializador incumbente, que es facturado y reportado al SUI. Este valor incluye la energía puesta al cobro de facturación individual, cuando existe la medición individual en áreas especiales, y la energía puesta al cobro medida en el macromedidor cuando hay facturación comunitaria. También incluye la energía entregada a los auxiliares de las subestaciones. |
| FsSTNj,n,m: | Flujo de energía de salida en el nivel de tensión n desde los puntos de conexión del OR j al STN, durante el mes m, expresada en kWh. Corresponde a la suma de las energías medidas en las fronteras comerciales, sin referir al STN, registradas en el SIC para los puntos de conexión del OR j al STN. |
| FsORj,n,m: | Flujo de energía de salida desde el sistema del OR j en el nivel de tensión n, a otros STR y/o SDL, durante el mes m, expresada en kWh. Corresponde a la suma de las energías medidas en las fronteras comerciales entre OR, sin referir al STN, registradas en el SIC. |
| n: | Corresponde al nivel de tensión para el cual se determina la energía de salida. Toma los valores de 1, 2, 3 o 4. |
En el cálculo de la variable ESj,n,m no se debe tener en cuenta la energía recuperada.
7.3.7.3 ENERGÍA DE ENTRADA DESDE NIVELES DE TENSIÓN SUPERIORES.
La energía de entrada desde niveles de tensión superiores hacia cada uno de los niveles de tensión en el sistema del OR j, corresponde a:

Donde:
| FeNSj,n,m: | Energía de entrada desde niveles de tensión superiores al nivel de tensión n, en el sistema del OR j, durante el mes m, expresada en kWh. Para el nivel de tensión 4 el valor de FeNS,j,4,m es cero. |
| Eej,k,m: | Energía de entrada en el nivel de tensión superior k del sistema del OR j, durante el mes m, expresada en kWh |
| Esj,k,m: | Energía de salida del sistema del OR j, en el nivel de tensión superior k, durante el mes m, expresada en kWh. |
| EPRj,k,m: | Energía de pérdidas de energía reconocidas en el nivel de tensión superior k, en el sistema del OR j, durante el mes m, expresadas en kWh. Es el resultado de multiplicar el índice de pérdidas reconocidas del nivel de tensión respectivo por la energía de entrada en el mismo nivel. |
| FDFj,k,_n,m: | Factor de distribución del flujo de energía en el sistema del OR j, desde el nivel de tensión superior k hacia el nivel de tensión n, durante el mes m. Mientras el OR implemente la medida entre niveles de tensión, se utilizará el factor tenido en cuenta en la resolución de aprobación de costos de cada OR. A más tardar a partir del decimotercer mes de inicio del plan este factor deberá ser informado por el OR al LAC con base en las medidas entre niveles efectuadas. Cuando el OR no envíe la información correspondiente, el LAC utilizará la mejor información disponible. |
| n: | Corresponde al nivel de tensión para el cual se determina energía de entrada. Toma los valores de 1, 2, 3 o 4. |
| k: | Corresponde al nivel de tensión superior. Toma los valores de 2, 3 o 4. |
CAPITULO 8. CONFORMACIÓN DE STR.
Se conforman dos (2) STR con los activos del nivel de tensión 4 de los OR enumerados en cada uno de ellos.
1. Electrificadora del Caribe S.A. E.S.P.
1. Central Hidroeléctrica de Caldas S.A. E.S.P.
2. Centrales Eléctricas de Nariño S.A. E.S.P.
3. Centrales Eléctricas del Norte de Santander S.A. E.S.P.
4. Codensa S.A. E.S.P.
5. Compañía de Electricidad de Tuluá S.A. E.S.P.
6. Compañía Energética del Tolima S.A. E.S.P.
7. Compañía Energética de Occidente S.A. E.S.P.
8. Distribuidora del Pacífico S.A. E.S.P.
9. Electrificadora de Santander S.A. E.S.P.
10. Electrificadora del Caquetá. S.A. E.S.P.
11. Electrificadora del Huila S.A. E.S.P.
12. Electrificadora del Meta S.A. E.S.P.
13. Empresa de Energía de Arauca S.A. E.S.P.
14. Empresa de Energía de Boyacá S.A. E.S.P.
15. Empresa de Energía de Pereira S.A. E.S.P.
16. Empresa de Energía del Bajo Putumayo S.A. E.S.P.
17. Empresa de Energía del Casanare S.A. E.S.P.
18. Empresa de Energía del Pacífico S.A. E.S.P.
19. Empresa de Energía del Putumayo S.A. E.S.P.
20. Empresa de Energía del Quindío S.A. E.S.P.
21. Empresa de Energía del Valle del Sibundoy S.A. E.S.P.
22. Empresa de Energía Eléctrica del Departamento del Guaviare S.A. E.S.P.
23. Empresas Municipales de Cali EICE E.S.P.
24. Empresas Municipales de Cartago S.A. E.S.P.
25. Empresas Municipales de Energía Eléctrica S.A. E.S.P.
26. Empresas Públicas de Medellín E.S.P.
27. Ruitoque S.A. E.S.P.
<Encabezado modificado por el artículo 1 de la Resolución 222 de 2021. El nuevo texto es el siguiente:>
Los cargos horarios serán aplicados a todos los usuarios conectados al sistema de un OR que dispongan de equipo de medida con registro horario, de acuerdo con el artículo 1 del Decreto 2492 de 2014.
La determinación del consumo horario se efectuará acorde con la lectura del medidor.
El cálculo y aplicación de los cargos horarios iniciará cuatro (4) meses después de la fecha de entrada en vigencia de la resolución que reemplace la Resolución CREG 119 de 2007, que permita el cálculo de costo unitario en forma horaria.
9.1 PERIODOS DE CARGA MÁXIMA, MEDIA Y MÍNIMA. <Numeral modificado por el artículo 46 de la Resolución 36 de 2019. El nuevo texto es el siguiente:>
A más tardar el 28 de febrero de cada año, el LAC debe determinar para cada STR los períodos de carga máxima, media y mínima con base en la información del año anterior al de la aplicación de los cargos horarios. Los resultados obtenidos con la información del año 2018 deben ser publicados a más tardar el 31 de mayo de 2019.
Con este propósito se utilizará la energía que representa la demanda de cada STR, sin tener en cuenta la demanda de los usuarios conectados directamente al STN, y los porcentajes de potencia máxima que se mencionan en los literales a, b y c de este numeral.
Por su parte, los OR deben determinar los períodos de carga máxima, media y mínima de los niveles de tensión 3, 2, y 1 en función de la curva de carga típica determinada, para cada nivel de tensión, con base en las lecturas de las fronteras comerciales, incluyendo las de los OR conectados a su sistema.
Los OR deben entregar al LAC la información de los períodos de carga por nivel de tensión antes del 28 de febrero de cada año. Para el primer año de aplicación, el OR deberá entregar la información dentro del mes siguiente al de la fecha de entrada en vigencia de su resolución particular.
Un criterio para determinar estos períodos de carga se basa en el porcentaje de carga que se presenta en el sistema en una hora particular, referida a la carga máxima de la curva de carga.
Los porcentajes recomendados para establecer estos períodos son los siguientes:
a) Período de carga máxima (x): horas en las cuales el porcentaje de carga es mayor al 95% de la potencia máxima;
b) Período de carga media (z): horas en las cuales el porcentaje de carga es mayor al 75% y menor o igual al 95 % de la potencia máxima;
c) Período de carga mínima (y): las demás horas del día no consideradas en los períodos de carga máxima y media.
9.2 CÁLCULO DE CARGOS HORARIOS.
A partir del costo en un mes y nivel de tensión determinados, el LAC calcula el cargo monomio por nivel de tensión y posteriormente los cargos monomios horarios.
Los cargos para un nivel de tensión particular se calculan a partir del cargo acumulado, calculado para ese nivel de tensión, con las siguientes consideraciones:
a. Los costos que recupera la empresa utilizando los cargos monomios horarios deben ser iguales a los que recupera con el cargo monomio.
b. Los cargos monomios horarios son proporcionales a la potencia promedio de cada período de carga.
c. La magnitud de la energía de la hora i-ésima es igual a la magnitud de la potencia de la hora i-ésima (Pi) por tratarse de potencias promedios referidas a períodos de una hora.
d. Los cargos monomios horarios son proporcionales a la potencia promedio resultante, de acuerdo con las horas asignadas a cada período de carga.
Los cargos monomios horarios por nivel de tensión Dx,n,j,m,t, Dz,n,j,m,t y Dy,n,j,m,t se obtienen resolviendo el sistema de tres ecuaciones con tres incógnitas planteado en las siguientes expresiones:
<Fórmulas modificadas por el artículo 6 de la Resolución 199 de 2019. El nuevo texto es el siguiente:>

![]()
Donde:
| fch: | Factor para ampliar la diferencia entre los cargos horarios. Durante los dos primeros años será igual a 2 y podrá ser modificado posteriormente. |
| Hx, Hz y Hy: | Número de horas asociadas con cada uno de los períodos horarios, determinados, de acuerdo con el numeral 9.1. Hx para el período de carga máxima, Hz para el período de carga media y Hy para el período de carga mínima, en el nivel de tensión n |
| Px, Pz y Py: | Potencia resultante de promediar las potencias (Pi) asociadas con las horas asignadas a cada uno de los períodos de carga determinados, de acuerdo con el numeral 9.1. Px para el período de carga máxima, Pz para el período de carga media y Py para el período de carga mínima, en el nivel de tensión n. |
| Dx,n,j,m,t: | Cargo por uso para la franja de horas de carga máxima del OR j en el nivel de tensión n en el mes m del año t. En el caso de nivel de tensión 4 esta variable es igual a Dx,n,R,m,t. |
| Dz,n,j,m,t: | Cargo por uso para la franja de horas de carga media del OR j en el nivel de tensión n en el mes m del año t. En el caso de nivel de tensión 4 esta variable es igual a Dz,n,R,m,t |
| Dy,n,j,m,t: | Cargo por uso para la franja de horas de carga mínima del OR j en el nivel de tensión n en el mes m del año t. En el caso de nivel de tensión 4 esta variable es igual a Dy,n,R,m,t |
| Dt,n,j,m,t: | Cargo por uso del OR j en el nivel de tensión n en el mes m del año t. En el caso de nivel de tensión 4 esta variable es igual a Dt,n,R,m,t |
CAPITULO 10.CARGOS POR RESPALDO DE LA RED.
<Parte modificada por el artículo 48 de la Resolución 36 de 2019. El nuevo texto es el siguiente:>
Cualquier usuario autogenerador del SDL o STR con capacidad instalada igual o mayor a 100 kW deberá contratar capacidad de respaldo de la red, en la cantidad que defina dicho usuario y sujeto a la disponibilidad técnica del OR.
Los usuarios autogeneradores del SDL o STR con capacidad instalada inferior a 100 kW que requieran respaldo de red no están sujetos al pago de la misma.
Durante los primeros cinco años de aplicación de los ingresos y cargos calculados con base en la presente resolución, el pago anual por respaldo de transición será el resultante de las siguientes expresiones:
![]()
![]()
Donde:
| CRPu,n,t: | Costo de respaldo a pagar por el usuario u, en el nivel de tensión n, en el año t. |
| CRtu,n,t: | Costo de respaldo de transición para el usuario u, en el nivel de tensión n, en el año t. |
| CRu,n,0: | Costo de respaldo contratado por el usuario u, en el nivel de tensión n, en el año cero (0). Es el valor anual pagado por dicho usuario en el año anterior al del primer año de aplicación de cargos con base en esta resolución. En caso de no existir ningún pago, se debe calcular con base en el numeral 10.1. |
| b: | Variable que representa el año de aplicación a partir de la entrada en vigencia de los ingresos aprobados al OR con base en la presente resolución, variando a partir de uno en el primer año y hasta cinco (5). |
| CRESPu,n: | Costo de respaldo de red del usuario u en el nivel de tensión n, calculado según el numeral 10.2. |
A partir del año 6 y hasta que se remplace la presente metodología, el pago anual por respaldo será calculado con base en el numeral 10.2.
10.1 COSTO DE RESPALDO CONTRATADO (CRU,N,0).
El costo aquí calculado por disponibilidad de capacidad de respaldo de la red es un máximo y las partes podrán negociar uno inferior y se calcula según la siguiente expresión:
![]()
La anualidad de la inversión correspondiente al servicio de respaldo se calculará así:
<Fórmula modificada por el artículo 49 de la Resolución 36 de 2019. El nuevo texto es el siguiente:>
![]()
<Ver Notas de Vigencia - Modificación temporal al factor de indexación>
Con:
<Fórmulas modificadas por el artículo 49 de la Resolución 36 de 2019. El nuevo texto es el siguiente:>
![]()

Donde:
| ITOTAL: | Costo de la inversión total anual requerida para la prestación del servicio de respaldo. Dicho valor se actualizará mensualmente con el Índice de Precios al Productor Total Nacional (IPP). |
| IT: | Corresponde al costo de la capacidad de transformación requerida para el servicio de respaldo. La tarifa por unidad de potencia es de 12.400 $/kVA–año (pesos de diciembre de 2007), independientemente del Nivel de Tensión al cual esté conectado el usuario. |
| CTr: | Capacidad de transformación (kVA), requerida para el servicio de respaldo. |
| IL: | Corresponde a las inversiones en líneas que son utilizadas para prestar el servicio de respaldo en proporción a la capacidad de respaldo requerida, en el nivel de tensión que se encuentra la conexión. |
| IE: | Corresponde a las inversiones en equipos que son utilizados para prestar el servicio de respaldo en proporción a la capacidad de respaldo requerida, en el nivel de tensión que se encuentra la conexión. |
Para estos efectos la forma de calcular la inversión total correspondiente es:
| l: | Longitud (km), de la línea que es utilizada para prestar el servicio de capacidad de respaldo. |
| CRi,k: | Costo Reconocido para la UC i, en el año k, reportada por el OR j definido en el capítulo 15. |
| PCR: | Relación entre la capacidad de respaldo solicitada y la capacidad nominal del elemento (red o equipo). Cuando dichos elementos sean utilizados en forma exclusiva por el usuario estos activos se considerarán de conexión y no se les aplicará lo dispuesto en la presente resolución sobre cargos por disponibilidad de capacidad de respaldo de la red. |
| n: | Corresponde a cada uno de los equipos involucrados en la prestación del servicio de capacidad de respaldo |
| r: | Tasa de Retorno para la remuneración con la Metodología de Ingreso Regulado. |
| Vi: | Vida útil en años, reconocida para la UC i definidas en el capítulo 15. |
| IPPm: | Índice de Precios al Productor Total Nacional, correspondiente al mes m |
| IPPo: | Índice de Precios al Productor Total Nacional, correspondiente al mes de diciembre de 2007. |
El reconocimiento de los gastos de Administración, Operación y Mantenimiento, (AOMTOTAL) se hará de la siguiente manera:
- Se realizará el cálculo de la inversión total de los activos necesarios para prestar el respaldo, valorada con las UC de la presente resolución.
- Se tomará la tasa de retorno para la remuneración con la metodología de ingreso regulado.
- El valor del AOM será calculado a partir de la aplicación del porcentaje anual reconocido al OR en la remuneración de la actividad de distribución, aplicada a la inversión requerida para la prestación del servicio de capacidad de respaldo.
10.2 COSTO DE RESPALDO DE RED (CRESPu,n).
El costo aquí calculado por respaldo de la red es un costo fijo calculado según la siguiente expresión:
![]()
Donde:
| CRESPu,n: | Costo anual de respaldo de red del usuario u en el nivel de tensión n, en pesos. |
| Dtn,j,m,t: | Cargo por uso del nivel de tensión n del OR j en el mes m del año t en el que se realiza el cálculo del respaldo, en $/kWh. Para el caso de nivel de tensión 4 es igual a Dt4,R,m,t. |
| h: | Cantidad de horas del día en las que la carga del circuito o subestación del OR j donde se requiere el respaldo es igual o superior al 95% de la máxima, según la curva definida según lo establecido en el numeral 10.4. |
| Potu: | Es la potencia definida por el usuario u, en kW, sobre la cual se requiere respaldo. |
10.3 CONTENIDO DEL CONTRATO DE RESPALDO.
Los contratos que se suscriban deben tener en cuenta las siguientes consideraciones mínimas:
a. Condiciones de verificación anual de disponibilidad de carga en el punto donde se requiere el respaldo y condiciones de renegociación en caso de modificación de curva de carga o necesidad de distribución de disponibilidad para respaldo por otras solicitudes de respaldo en el mismo circuito o subestación.
b. Capacidad de respaldo de red contratada, carga instalada del usuario, capacidad de auto o cogeneración, cálculo de la variable CRESPu,n y valor del respaldo en cada año.
c. El OR será responsable por la distribución de energía hasta el límite de potencia acordada.
d. El pago del respaldo remunera la disponibilidad de la red en un momento determinado y es independiente del uso de la misma por lo que, cuando el usuario del STR o SDL haga uso de la red, pagará los cargos por uso que correspondan por la totalidad de la energía consumida.
e. Cuando la potencia máxima alcanzada por un usuario del STR o SDL supere la potencia respaldada y ponga en riesgo el suministro del servicio a otros usuarios, el OR podrá instalar equipos para el control de la potencia máxima a ser entregada por la red. Los costos de suministro e instalación de estos equipos estarán a cargo del usuario del STR o SDL que incurrió en esta situación y su remuneración podrá ser acordada entre las partes en el contrato de respaldo que se suscriba.
f. Cuando el respaldo de red solicitado requiera una ampliación de la infraestructura disponible no considerada en el plan de inversión de un OR, el (los) solicitante(s) deberá(n) asumir los costos asociados con dicha ampliación.
Cuando, para un año determinado, existan varias solicitudes de respaldo sobre una misma infraestructura de uso, la capacidad de la red para respaldo será distribuida de manera equitativa a prorrata de la potencia instalada de los usuarios que solicitaron el respaldo.
10.4 DETERMINACIÓN DE CURVAS DE CARGA.
Al momento de la solicitud de respaldo por parte de algún usuario, el OR debe calcular la curva de carga del circuito o subestación al cual se conecta el usuario, según los siguientes parámetros:
a. La curva de carga se debe construir con base en la potencia promedio de cada hora, determinada a partir de las lecturas de energía o potencia disponibles. Un criterio para determinar estos períodos de carga se basa en el porcentaje de carga que se presenta en el sistema en una hora particular, referida a la carga máxima de la curva de carga.
b. Los datos a utilizar deben corresponder a los registrados en los días hábiles del mes de septiembre anterior al mes de solicitud de respaldo.
c. Se deben especificar los rangos de horas donde la potencia es igual o superior al 95% de la carga máxima.
d. Para el nivel de tensión 1, las curvas pueden obtenerse de los equipos de medida instalados en el transformador de nivel de tensión 1 o puede utilizarse la del circuito de media tensión al cual se conecta dicho transformador.
e. El OR tendrá la obligación de justificar detalladamente el nivel de congestión en cada una de las horas de los circuitos de la red de distribución a su cargo en donde se supera el límite establecido en el numeral relativo a la capacidad nominal del circuito.
10.5 INGRESOS RECIBIDOS POR RESPALDO.
Durante los primeros diez días calendario de cada año el OR deberá informar al LAC la sumatoria de los ingresos recibidos durante el año anterior por este concepto, por cada nivel de tensión, calculados según la siguiente expresión:

Donde:
| IRespaldoj,n,t: | Ingresos recibidos por parte del OR j en el nivel de tensión n por concepto de respaldo de red durante el año t. |
| CRESPu,n,t: | Costo de respaldo de red del usuario u en el nivel de tensión n, del año t. En pesos. |
| U: | Cantidad de usuarios u que pagaron al OR j cargos por respaldo durante el año t, en un mismo nivel de tensión n. |
En caso de que el LAC no reciba información alguna sobre un OR determinado, para efectos de cálculo de la liquidación correspondiente, el LAC asignará a dicho OR la variable IRespaldoj,n,t de mayor valor entre las presentadas.
El valor de la variable IRespaldoj,n,t será tenido en cuenta en la liquidación que haga el LAC para ser descontado de los costos anuales del OR correspondiente, según lo indicado en el numeral 2.7.
CAPITULO 11.COSTOS ASOCIADOS CON MUNTS.
Cuando un usuario solicite cambio de nivel de tensión y se tenga disponibilidad técnica para efectuarlo, el OR determinará y facturará al usuario los costos asociados con la migración de usuarios a niveles de tensión superiores según la siguiente expresión:

Donde:
| CMUNTu,n: | Costo asociado con el cambio de nivel de tensión de la conexión del usuario u, a ser descontado del ingreso anual en el nivel de tensión n (con n =1, 2 o 3), en pesos |
| Dn,m: | Cargo por uso de sistemas de distribución Dtn,j,m,t, (con n= 1, 2 o 3), correspondiente al nivel de tensión n, donde está conectado originalmente el usuario, para el mes m. |
| DnS,m: | Cargo por uso de sistemas de distribución Dt4,r,m,t o Dtn,j,m,t, (con n= 2 o 3), correspondiente al nivel de tensión n superior, al cual se solicita la migración, del mes m en el que se realiza la solicitud de migración. |
| Consumou: | Consumo anual promedio, en kWh, del usuario que solicita la migración. |
| r: | Tasa de remuneración de la actividad de distribución para un esquema de ingreso máximo. |
| p: | Número de años de que trata la Resolución CREG 070 de 1998 para la planeación de mediano plazo e igual a 5. |
Durante los primeros 10 días calendario de cada año, para cada nivel de tensión, el OR debe reportar al LAC el valor de la variable IMuntsj,n,t, con base en la siguiente expresión.

Donde:
| IMuntsj,n,t: | Ingresos del OR j en el nivel de tensión n en el año t, con (n=1, 2 o 3) por concepto de migración de usuarios de este nivel de tensión a un nivel superior. |
| CMUNTu,n,t: | Costo asociado con el cambio de nivel de tensión de la conexión del usuario u, a ser descontado del ingreso anual en el nivel de tensión n (con n =1, 2 o 3), del año t, en pesos |
| U: | Cantidad de usuarios u que migraron entre niveles en el sistema operado por el OR j durante el año t. |
CAPITULO 12.COSTOS DE TRANSPORTE DE ENERGÍA REACTIVA.
El costo del transporte de energía reactiva se efectuará con base en la siguiente expresión:
![]()
Donde:
| CTERu,n,h,m,j: | Costo de transporte de energía reactiva en exceso sobre el límite asignado al usuario del STR o SDL u, en pesos, del nivel de tensión n, en la hora h del mes m, del sistema operado por el OR j. |
| ERu,h,m,j: | Cantidad de energía reactiva transportada en exceso sobre el límite asignado al usuario del STR o SDL u, en la hora h del mes m, en el sistema del OR j, en kVAr. |
| Dn,h,m: | Cargo por uso de sistemas de distribución para el transporte de energía reactiva. Es igual al cargo por uso del nivel de tensión n en la hora h del mes m que enfrenta un usuario conectado al sistema, cuando se registró el transporte de energía reactiva. El cargo por uso aplicable para el pago del transporte de energía reactiva por parte del usuario del STR o SDL será igual al cargo por uso de energía activa que enfrenta en función del sistema y el nivel de tensión en el que se encuentre conectada la frontera. En el nivel de tensión 4 el cargo será igual al calculado para cargos por uso en el STR; en un SDL que sea parte de un ADD será el cargo único por nivel de tensión del ADD y para aquellos sistemas que no son parte de ADD el cargo por uso será el del OR respectivo. |
| M: | <Definición variable modificada por el artículo 7 de la Resolución 199 de 2019. El nuevo texto es el siguiente:> Variable asociada con el periodo mensual en el que se presenta el transporte de energía reactiva sobre el límite establecido, variando entre 1 y 12. Cuando el transporte de energía reactiva en exceso sobre el límite se presente durante cualquier período horario en diez (10) días o menos en un mismo mes calendario, la variable M será igual a 1. Cuando el transporte de energía reactiva en exceso sobre el límite se presente durante cualquier período horario en más de diez (10) días en un mismo mes calendario, la variable M será igual a 1 durante los primeros 12 meses en los que se presente esta condición. A partir del décimo tercer mes de transporte de energía reactiva con la misma condición, esta variable se incrementará mensualmente en una unidad hasta alcanzar el valor de 6. Si el transporte de energía reactiva en exceso sobre el límite desaparece durante más de tres meses consecutivos, la variable reiniciará a partir de 1. Cuando el valor de M=6 se haya mantenido durante 12 meses, en caso de persistir el consumo de energía reactiva en exceso sobre el límite, a partir del mes siguiente la variable continuará incrementándose mensualmente en una unidad hasta alcanzar el valor de 12. |
El pago del costo de transporte de energía reactiva se deberá efectuar cuando un OR o un usuario final se encuentren incursos en alguna de las siguientes condiciones:
a. Cuando la energía reactiva (kVArh) inductiva consumida por un OR sea mayor al cincuenta por ciento (50%) de la energía activa (kWh) que le es entregada en cada periodo horario en los niveles de tensión 3, 2 o 1. En este caso, para calcular el exceso de transporte de energía reactiva se deberá sumar la energía reactiva horaria de los puntos de frontera de un mismo sistema, entendiéndose como punto de frontera los puntos de conexión con otros sistemas (STN, OR) en un mismo nivel de tensión. El balance se calculará con base en las sumas aritméticas, considerando la dirección de los flujos de energía activa y reactiva a través de dichos puntos de frontera. El pago se distribuirá entre los OR que transportan dicha energía reactiva a prorrata de la cantidad de kVAr transportados.
b. Cuando un usuario final registre en su frontera comercial un consumo de energía reactiva inductiva superior al cincuenta por ciento (50 %) de la energía activa (kWh) que le es entregada en cada periodo horario. En caso que la energía activa sea igual a cero en algún periodo y exista transporte de energía reactiva inductiva, el costo del transporte de energía reactiva se efectuará sobre la totalidad de energía reactiva registrada en dicho período.
c. Cuando se registre en una frontera comercial el transporte de energía reactiva capacitiva, independientemente del valor de energía activa, se cobrará el costo de transporte de energía reactiva sobre la totalidad de energía reactiva registrada.
El costo de transporte de energía reactiva en exceso será liquidado y facturado directamente por el OR que entrega la energía reactiva al OR que la consume o al comercializador que represente el usuario causante del transporte de energía reactiva, quien a su vez trasladará este cobro al usuario final.
El 50% de dichos valores deberán ser reportados anualmente al LAC para que sean restados de la liquidación de ingresos de que trata el capítulo 2.
Se exceptúa de pago del costo de transporte de energía reactiva a las plantas generadoras, las cuales están obligadas a participar en el control de tensión por medio de la generación o absorción de potencia reactiva.
Durante los primeros 10 días calendario de cada año, para cada nivel de tensión, el OR debe reportar al LAC el valor de la variable IReactivaj,n,t, con base en la siguiente expresión.

Donde:
| IReactivaj,n,t: | Ingresos a descontar al OR j en el nivel de tensión n por concepto de transporte de energía reactiva en exceso durante el año t. |
| CTERu,n,h,m,j,t-1: | Costo de transporte de energía reactiva en exceso sobre el límite asignado al usuario del STR o SDL u, en pesos, del nivel de tensión n, en la hora h del mes m, del sistema operado por el OR j. |
| U: | Cantidad de usuarios u que pagaron al OR j cargos por transporte de energía reactiva durante el año t, en un mismo nivel de tensión n. |
En caso de que el LAC no reciba información alguna sobre un OR determinado, para efectos de cálculo de la liquidación correspondiente, el LAC asignará a dicho OR la variable IReactivaj,n,t de mayor valor entre las presentadas.
CAPITULO 13.REMUNERACIÓN DE PROYECTOS DE EXPANSIÓN DE COBERTURA EN ZONAS INTERCONECTABLES.
De acuerdo con las obligaciones señaladas en el Decreto 1623 de 2015, modificado por el Decreto 1513 de 2016, a continuación, se establecen las reglas para la remuneración de proyectos de expansión de cobertura de los OR en zonas interconectables al SIN.
Las reglas contenidas en este capítulo serán aplicables aquellos proyectos de expansión de cobertura que presenten los OR con propósito de interconectar usuarios ubicados en zonas interconectables como se definen en el Decreto 1623 de 2015 o aquel que lo modifique o complemente y que se encuentren en las necesidades identificadas por la Unidad de Planeación Minero Energética en el último Plan Indicativo de Expansión de Cobertura de Energía Eléctrica, PIEC, vigente.
13.2 CRITERIOS PARA LA PRESENTACIÓN DE LOS PROYECTOS.
Los criterios para la presentación de los proyectos de expansión de cobertura para su remuneración son los siguientes:
a. A partir de las necesidades identificadas en el PIEC vigente, el OR deberá elaborar un plan anual de expansión de cobertura para interconectar a los usuarios potenciales ubicados en zonas interconectables a su sistema.
b. Los OR deberán determinar los usuarios sin servicio ubicados en zonas interconectables a su sistema, esta información deberá emplearse en la elaboración de su plan anual de expansión de cobertura y deberá suministrarse a la UPME en los términos que esta determine.
c. El plan anual de expansión debe incluir cada uno de los proyectos de inversión que permitan la interconexión de los usuarios junto con la evaluación de su viabilidad económica.
Este plan debe ser enviado a la UPME quien evaluará si los proyectos de inversión propuestos corresponden a la mejor solución energética y que además corresponda a una necesidad identificada en el PIEC.
Los OR deberán aplicar el procedimiento que la UPME establezca para la evaluación de los proyectos de inversión propuestos y suministrar toda la información necesaria en los términos que la UPME determine.
d. Los OR deberán enviar a la Comisión el plan de expansión de cobertura ajustado y el concepto de aprobación emitido por la UPME para los proyectos de inversión.
e. Los proyectos presentados solo pueden incluir activos de uso asimilados a las UC definidas en el capítulo 14.
f. No se deben incluir activos empleados exclusivamente para la prestación del servicio de alumbrado público o de conexión.
g. El OR deberá valorar de forma separada cada proyecto de expansión de cobertura de su plan empleando las unidades constructivas definidas en el capítulo 14.
h. Los proyectos deberán incluir la instalación de sistemas de medición en los niveles de tensión 2 y 3 que permitan determinar la energía de entrada y realizar balances de energía a cada uno de los proyectos además de medidores en los transformadores de distribución. Estos activos no podrán hacer parte del plan de inversiones de que trata el capítulo 6.
i. El OR deberá suministrar toda la información necesaria de los proyectos para su valoración, priorización y su remuneración.
13.3 PRIORIZACIÓN DE PROYECTOS.
Los proyectos presentados por los OR serán priorizados de acuerdo con los criterios que defina el Ministerio de Minas y Energía, MME.
En la remuneración se incluirán los proyectos considerando el máximo incremento tarifario establecido por el MME, aquellos proyectos no incluidos en la remuneración serán remitidos a la UPME, en cumplimiento del Decreto 1513 de 2016.
13.4 SOLICITUD ANUAL DE REMUNERACIÓN.
Los OR deben presentar los proyectos de expansión de cobertura del primer año en la solicitud inicial y el último día hábil del mes de agosto de cada año deben presentar los proyectos de expansión de cobertura del año siguiente.
En circular aparte la Comisión establecerá el procedimiento y formato de solicitud de remuneración, como mínimo la solicitud debe incluir:
a. Listado de proyectos.
b. Listado de unidades constructivas que conforman cada proyecto.
c. Valoración del proyecto con las UC definidas en el capítulo 14.
d. Código de la subestación, alimentador y nodo eléctrico en donde se planea conectar el proyecto.
e. Número de usuarios potenciales y proyección de demanda a atender.
f. Ubicación geográfica de los usuarios potenciales.
g. Concepto de aprobación por parte dela UPME.
h. Las demás que la circular señale.
13.5 VALORACIÓN DE LOS PROYECTOS.
La valoración de los proyectos de expansión de cobertura se calculará de la siguiente forma:

| IEXCp,j,t: | Valor de la inversión asociada al proyecto p de expansión de cobertura del OR j para el año t. |
| IEXCp,j,n,l,t: | Valor del proyecto de expansión p del OR j en el nivel de tensión n en la categoría l para el año t. |
| Lp,j,t: | Número total de categorías l incluidas en proyecto de expansión de cobertura p del OR j para el año t. |
| Np,j,t: | Número total de niveles de tensión del proyecto de expansión de cobertura p del OR j para el año t. |
La variable IEXCp,j,n,l,t se calcula de la siguiente forma:

Donde:
| IEXCp,j,n,l,t: | Valor del proyecto de expansión p del OR j en el nivel de tensión n en la categoría l para el año t. |
| UCPp,j,n,l,t: | Número de UC incluidas en el proyecto de expansión p del OR j en el nivel de tensión n en la categoría de activos l durante el año t. No se incluyen las UC que fueron trasladadas y siguen en operación. |
| FTRi: | Factor que remunera el costo adicional por personal y transporte de la unidad constructiva i. Para los niveles de tensión 1 y 2 corresponde a 1,08, mientras que para los niveles de tensión 3 y 4 es 1. |
| CRi: | Valor de la UC i, definidos en el capítulo 14. |
| PUi: | Fracción del costo de la UC i que es reconocida mediante cargos por uso. |
| RPPi: | Fracción del costo de la UC i que es remunerada vía cargos por uso que no se debe incluir en el cálculo de la tarifa. |
Frente a los proyectos de expansión de cobertura puestos en operación por los OR, estos deben:
a. Realizar el reporte anual de las unidades constructivas de los proyectos.
b. Incluir en su sistema de información geográfica los proyectos puestos en operación, como mínimo con las características técnicas de los apoyos, líneas y transformadores de distribución y diferenciados de la demás infraestructura. La georreferenciación de la infraestructura deberá incluir la totalidad de las redes de nivel de tensión 1.
c. La información georreferenciada se debe mantener actualizada.
En caso que el OR no reporte la información de los proyectos en operación no podrá solicitar la remuneración de nuevos proyectos.
13.7 CÁLCULO DEL INCREMENTO TARIFARIO.
Para establecer los proyectos de expansión de cobertura que se incluirán en el cargo que remunera la actividad de distribución de energía eléctrica, la Comisión priorizará los proyectos presentados por los OR de acuerdo con los criterios que señale el MME e incluirá en la variable IAECj,n,l,t los proyectos priorizados sin que se supere el valor del máximo incremento tarifario establecido.
El valor total de los proyectos de expansión de cobertura aprobados se calculará de la siguiente forma:

| IAECj,n,l,t: | Inversión aprobada en proyectos de expansión de cobertura del OR j en el nivel de tensión n en la categoría de activos l para el año t. |
| IEXCp,j,n,l,t: | Valor del proyecto de expansión p del OR j en el nivel de tensión n en la categoría l para el año t. |
| PECj,n,l,t: | Número de proyectos aprobados al OR j en el nivel de tensión n en la categoría de activos l durante el año t. Solamente se incluyen los proyectos priorizados que no implican superar el máximo incremento tarifario establecido por el MME. No se incluyen las UC que fueron trasladadas y siguen en operación. |
El valor total de los proyectos de expansión de cobertura puestos en operación se calculará de la siguiente forma:

| IRECj,n,l,t: | nversión en activos puestos en operación en los proyectos de expansión de cobertura del OR j en el nivel de tensión n en la categoría de activos l para el año t de acuerdo con este capítulo. |
| IUCPRp,j,n,l,t: | Número de UC puestas en operación en los proyectos de expansión de cobertura del OR j en el nivel de tensión n en la categoría de activos l durante el año t. No se incluyen las UC que fueron trasladadas y siguen en operación. |
| FTRi: | Factor que remunera el costo adicional por personal y transporte de la unidad constructiva i. Para los niveles de tensión 1 y 2 corresponde a 1,08, mientras que para los niveles de tensión 3 y 4 es 1. |
| CRi: | Valor de la UC i, definidos en el capítulo 14. |
| PUi: | Fracción del costo de la UC i que es reconocida mediante cargos por uso. |
| RPPi: | Fracción del costo de la UC i que es remunerada vía cargos por uso que no se debe incluir en el cálculo de la tarifa. |
13.8 FORMATO DE REPORTE DE INFORMACIÓN.
La CREG en circular aparte, publicará el contenido del informe, los formatos y el procedimiento de reporte de los proyectos de expansión de cobertura para los que se solicita su remuneración y de aquellos puestos en operación.
13.9 SEGUIMIENTO PLANES DE EXPANSIÓN DE COBERTURA.
Los proyectos de inversión ejecutados por los OR en cumplimiento de su plan anual de expansión de cobertura se incluirán en el proceso de seguimiento establecido en el numeral 6.5.
13.10 PUBLICIDAD Y DIFUSIÓN DE LOS PLANES DE INVERSIÓN.
Los proyectos de inversión ejecutados por los OR en cumplimiento de su plan anual de expansión de cobertura se incluirán en el proceso de publicidad y difusión establecido en el numeral 6.7.
CAPITULO 14.UC PARA VALORACIÓN DE ACTIVOS NUEVOS.
En este capítulo se definen las UC de los STR y SDL para la valoración de las inversiones en todos los niveles de tensión a realizar durante el periodo tarifario.
Los costos socio-ambientales y de servidumbres relacionados estrictamente con los proyectos de activos de uso serán reportados y reconocidos según su ejecución, en la anualidad del año siguiente al de entrada en operación del proyecto de la siguiente manera:
- Cuando dichos costos sean menores o iguales al 5% del valor de las UC de los activos relacionados, se reconocerán de acuerdo con lo reportado mediante los comprobantes de costo que correspondan.
- En el caso de las servidumbres cuyo valor exceda el 5% del costo de las UC del proyecto, serán reconocidos de acuerdo con la escritura pública que se constituya según el valor que se determine a través de sentencia judicial. Los costos sociales o ambientales que superen el 5% del costo de las UC del proyecto serán reconocidos según la mejor alternativa aprobada por la ANLA o la autoridad que corresponda en cada caso.
Cuando existan activos con características técnicas distintas a las de las UC establecidas, los OR podrán solicitar a la Comisión la creación de UC especiales. La solicitud debe estar acompañada de las consideraciones técnicas que justifican la creación de la UC especial, el costo detallado de cada equipo que la compone y los costos de instalación asociados. Para adquisiciones directas se debe adjuntar tres cotizaciones de suministro e instalación de los equipos que la conforman y para adquisiciones a través de concursos abiertos o licitaciones se deben enviar los documentos que acreditan su realización incluyendo los pliegos de solicitudes, términos de referencia, etc.
Las UC establecidas por la Comisión contienen los equipos y accesorios necesarios para la prestación del servicio con los niveles de calidad exigidos por la CREG, cumpliendo con la normatividad vigente en materia de seguridad.
Para la clasificación de los activos en las UC se tendrá en cuenta lo siguiente:
14.1 UC ASOCIADAS A SUBESTACIONES.
a. Se considerarán como activos de conexión al STN las siguientes UC: la bahía de transformador con tensión mayor o igual a 220 kV, el transformador con una tensión primaria mayor o igual a 220 kV y secundaria cualquier tensión inferior a 220 kV y la bahía de transformador del lado de baja.
b. Pertenecen a nivel de tensión 4 todas las UC que sirven en forma exclusiva este nivel de tensión, tales como: bahías de líneas, líneas con tensiones de operación que pertenecen a este nivel de tensión, módulos comunes de este nivel de tensión, los módulos de barraje, módulos de compensación y las bahías de conexión correspondientes, bahías de maniobra, los transformadores con tensión primaria y secundaria en éste nivel de tensión y los activos de conexión al STN con tensión secundaria de nivel de tensión 4.
c. Para las UC de transformadores de potencia se define un componente de costo fijo de instalación y un componente de costo variable por MVA para cada tipo de transformador y nivel de tensión. El OR debe reportar para cada nivel de tensión el tipo de transformador con su capacidad asociada en MVA.
d. Se definen UC de equipos en niveles de tensión 4, 3 y 2, que corresponden a elementos no incluidos en las UC de subestaciones del respectivo nivel de tensión y que el OR puede reportar en forma separada, en caso de contar con estos equipos en su sistema.
e. Para los niveles de tensión 3 y 2 las bahías de conexión de equipos de compensación se asimilan a las UC de bahía de línea para la respectiva configuración y nivel de tensión.
f. El módulo común es el conjunto de equipos y obras comunes que sirven a la subestación en ese nivel de tensión y está compuesto por servicios auxiliares, malla de puesta a tierra y obras civiles no asociadas a una UC en particular.
g. Los elementos de protección de barras, sistemas de control y comunicaciones se reconocen como UC de centros de control.
h. El edificio de control se reconoce como una UC denominada casa de control.
i. Se debe reportar una UC de módulo común por cada nivel de tensión existente en la subestación exceptuando el nivel 1.
j. El costo de la UC de módulo común se define por bahía y, por tanto, para calcular el valor del módulo común, primero se debe ubicar el tipo de módulo común por nivel de tensión al que pertenece una subestación y luego, multiplicar el número de bahías existentes en la subestación, en dicho nivel de tensión, por el valor de la UC correspondiente. La cantidad de celdas no se considera para efectos de definir el tipo de módulo común de la subestación.
k. En subestaciones con nivel de tensión 4, se definen dos grupos de UC de módulos comunes dependiendo de si se trata de subestaciones convencionales o encapsuladas y por nivel de tensión y conforme al número de bahías así: módulo común tipo 1 para S/E de 1 a 4 bahías, módulo común tipo 2 para S/E de 5 a 8 bahías, módulo común tipo 3 para S/E de 9 a 12 bahías y módulo común tipo 4 para S/E con más de 12 bahías. Luego de conocer la clasificación de la UC, se debe multiplicar el valor de la UC por el número de bahías en este nivel de tensión dado que el valor presentado es por bahía.
l. En subestaciones de nivel de tensión 4, las UC de módulo de barraje se asocian con el número de bahías de este nivel de tensión existentes en la subestación así: módulo de barraje tipo 1 para S/E de 1 a 4 bahías; módulo de barraje tipo 2 para S/E de 5 a 8 bahías; módulo de barraje tipo 3 para S/E de 9 a 12 bahías y módulo de barraje tipo 4 para S/E con más de 12 bahías.
m. En subestaciones con nivel de tensión 3, se definen 4 UC de modulo común por bahía: módulo común tipo 1 para S/E de 1 a 3 bahías, módulo común tipo 2 para S/E de 4 a 6 bahías, módulo común tipo 3 para S/E con más de 6 bahías y módulo común tipo 4 para S/E con celdas en el lado de alta y que no tienen bahías. Luego de conocer la clasificación de la UC, se debe multiplicar el valor de la UC por el número de bahías en este nivel de tensión dado que el valor presentado es por bahía.
n. En subestaciones con nivel de tensión 3, las UC de módulo de barraje se asocian al número de bahías de este nivel de tensión existentes en la subestación así: módulo de barraje tipo 1 para S/E de 1 a 3 bahías; módulo de barraje tipo 2 para S/E de 4 a 6 bahías; módulo de barraje tipo 3 para S/E con más de 6 bahías.
o. En subestaciones con nivel de tensión 2, se definen 4 UC de modulo común por bahía: módulo común tipo 1 para S/E de 1 a 3 bahías, módulo común tipo 2 para S/E de 4 a 6 bahías, módulo común tipo 3 para S/E con más de 6 bahías y módulo común tipo 4 para S/E tipo interior. Luego de conocer la clasificación de la UC, se debe multiplicar el valor de la UC por el número de bahías en este nivel de tensión dado que el valor presentado es por bahía.
p. En subestaciones con nivel de tensión 2, las UC de módulo de barraje se asocian al número de bahías o módulos de este nivel de tensión existentes en la subestación así: módulo de barraje tipo 1 para S/E de 1 a 3 bahías; módulo de barraje tipo 2 para S/E de 4 a 6 bahías; módulo de barraje Tipo 3 para S/E con más de 6 bahías.
q. El costo de la casa de control de la subestación se define en función del área resultante de la cantidad de bahías y celdas existentes en la subestación más las áreas generales de acuerdo con las áreas reconocidas conforme con la siguiente expresión:
![]()
Donde:
| CECn,s: | Costo del edificio de control de la subestación s con nivel de tensión n en el lado de alta, (n = 3 o 4). |
| AGn,s: | Área general de la subestación s con nivel de tensión n en el lado de alta, (n = 3 o 4) |
| ABh: | Área reconocida para cualquier bahía de transformador o de línea de nivel de tensión 2, 3, 4 o conexión al STN o para cualquier transformador de potencia de la subestación. |
| Bhn,s: | Número de bahías de transformador y de línea de los niveles de tensión 2, 3, 4 y conexión al STN y transformadores de potencia existentes en la subestación s |
| ACe: | Área reconocida para cualquier celda de la subestación de nivel de tensión 3 o 4. |
| Cen,s: | Número de celdas en operación en la subestación s con nivel de tensión n en el lado de alta, (n = 3, 4 o Conexión al STN). Incluyendo las celdas de respaldo reconocidas. |
| CC: | Costo por metro cuadrado del edificio de control de la subestación igual a $ 2.676.000/m2 ($ de la fecha de corte) |
r. El OR deberá reportar el área obtenida de la aplicación de la anterior fórmula para cada subestación que cuente con casa de control.
s. <Literal modificado por el artículo 19 de la Resolución 85 de 2018. El nuevo texto es el siguiente:> Los transformadores y las bahías de transformación distintos a los asociados con los transformadores de conexión al STN se reconocen en el nivel de tensión del secundario del transformador o proporcionalmente a la potencia de cada uno de los devanados de baja cuando hay más de uno.
t. El costo de los transformadores tridevanados y sus bahías asociadas, se repartirá de la siguiente manera en los Niveles de Tensión:
![]()
![]()
Donde:
| CL: | Costo del transformador tridevanado y de sus bahías de transformación, asignable al Nivel de Tensión L (secundario). |
| CT: | Costo del transformador tridevanado y de sus bahías de transformación, asignable al Nivel de Tensión T (terciario). |
| CTRF: | Costo del transformador tridevanado |
| PL: | Potencia nominal del devanado secundario (Nivel de Tensión L) |
| PT: | Potencia nominal del devanado terciario |
| CB: | Costo de la Bahía de Transformación del lado de alta tensión del transformador tridevanado. |
u. No se definen UC de compensación reactiva para los niveles de tensión 3 y 4, los equipos de compensación que se instalen en el sistema deberán presentarse como unidades constructivas especiales siguiendo los lineamientos que para tal fin se establecen en este capítulo
v. Los sistemas de información geográfica, GIS, deben ser solicitados como unidades constructivas especiales siguiendo los lineamientos que para tal fin se establecen en este capítulo
w. Para las estaciones maestras de los centros de control se deberá seguir el procedimiento de las unidades constructivas especiales, como máximo se reconocerá hasta un valor del doble de las unidades constructivas que aparecen en la Tabla 21
x. En consideración a los estándares de calidad del servicio que debe cumplir el OR, se permite remunerar una celda de reserva existente por cada 6 celdas que estén en operación en las subestaciones donde se solicite el reconocimiento de dichos activos.
Cuando se encuentre que la asimilación de activos a UC efectuadas por los OR no se ajusta a los elementos y cantidades establecidas para la UC, porque los elementos existentes representan menos del 70 % del valor de la UC asimilada, la Comisión podrá valorar de manera independiente estos elementos.
a. Para líneas subterráneas de niveles de tensión 4, 3 y 2 el OR debe reportar solamente una UC de canalización y por separado las respectivas UC de conductores de cada nivel de tensión.
b. <Literal modificado por el artículo 20 de la Resolución 85 de 2018. El nuevo texto es el siguiente:> Para las UC de líneas aéreas de nivel de tensión 2, 3 y 4 se deben reportar las estructuras de suspensión o de retención, las cuales ya incluyen el montaje, obra civil e ingeniería, así como todos los accesorios y los elementos requeridos para su normal funcionamiento. Adicional a lo anterior, se deberá declarar el conductor correspondiente, dependiendo de si se trata de líneas aéreas, compactas o subterráneas. Los conductores de redes subterráneas aislados a 44 kV deben reportarse como UC de conductor de 35 kV y se les reconocerá un 17% adicional. Para esto se debe reportar el nivel de aislamiento real.
c. Para las líneas de niveles de tensión 4, 3 y 2 se deberán reportar los apoyos georreferenciados y seleccionar el tipo de conductor correspondiente de los tramos de la línea.
d. El costo anual equivalente de las UC correspondientes a la estación maestra de control, se distribuirá en igual proporción entre los niveles de tensión 4, 3 y 2.
e. La parte correspondiente de control y protección asociada a las bahías de línea y de transformación se encuentran en la UC de control.
f. <Literal modificado por el artículo 21 de la Resolución 85 de 2018. El nuevo texto es el siguiente:> Se define el control de las subestaciones dependiendo del número de bahías y celdas que opera la subestación.
g. Se define el valor de la estación de control maestra, de acuerdo con sus funcionalidades
h. Cuando se encuentre que la asimilación de activos a UC efectuadas por los OR no se ajusta a los elementos y cantidades establecidas para la UC, porque los elementos existentes representan menos del 70 % del valor de la UC asimilada, la Comisión podrá valorar de manera independiente estos elementos.
i. Se define el factor FUi, que corresponde a la porción de la unidad constructiva, UC, que se repone
j. <Literal adicionado por el artículo 22 de la Resolución 85 de 2018. El nuevo texto es el siguiente:> Las UC de líneas y redes de nivel de tensión 2 y 3 consideran tres conductores. Para la valoración de líneas con un número diferente de conductores se deberá afectar el valor de la UC que se asimile con el factor que corresponda. Si se requiere valorar una red con dos conductores el factor es 2/3, si se tienen 4 conductores el factor es 4/3.
En este listado se establecen los costos de referencia para cada UC, para las UC de transformadores y equipos de compensación se establece adicionalmente el costo unitario de instalación.
Tabla 8. UC de módulos de transformador de conexión al STN y Otros
<Tabla modificado por el artículo 23 de la Resolución 85 de 2018. El nuevo texto es el siguiente:>
| UC | DESCRIPCIÓN | VALOR INSTALADO [$ dic 2017] |
| N5S2 | Bahía de transformador - configuración barra sencilla - tipo convencional | 795.285.000 |
| N5S4 | Bahía de transformador - configuración barra principal y transferencia - tipo convencional | 1.097.773.000 |
| N5S6 | Bahía de transformador - configuración barra doble - tipo convencional | 1.022.513.000 |
| N5S8 | Bahía de transformador - configuración barra doble con seccionador de transferencia - tipo convencional | 1.314.962.000 |
| N5S10 | Bahía de transformador - configuración barra doble con by pass - tipo convencional | 1.271.366.000 |
| N5S16 | Bahía de transformador - configuración barra doble - tipo encapsulada(SF6) | 4.487.418.000 |
Tabla 9. UC de equipos de subestación de nivel de tensión 4
| UC | DESCRIPCIÓN | VALOR INSTALADO [$ dic 2017] |
| N4S1 | Bahía de línea - configuración barra sencilla - tipo convencional | 558.336.000 |
| N4S2 | Bahía de transformador - configuración barra sencilla - tipo convencional | 518.134.000 |
| N4S3 | Bahía de línea - configuración barra doble - tipo convencional | 664.890.000 |
| N4S4 | Bahía de transformador - configuración barra doble - tipo convencional | 664.523.000 |
| N4S5 | Bahía de línea - configuración barra doble con by pass - tipo convencional | 855.350.000 |
| N4S6 | Bahía de transformador - configuración barra doble con by pass - tipo convencional | 851.003.000 |
| N4S7 | Bahía de línea - configuración barra principal y transferencia - tipo convencional | 721.233.000 |
| N4S8 | Bahía de transformador - configuración barra principal y transferencia - tipo convencional | 684.691.000 |
| N4S9 | Bahía de línea - configuración interruptor y medio - tipo convencional | 672.186.000 |
| N4S10 | Bahía de transformador - configuración interruptor y medio - tipo convencional | 672.043.000 |
| N4S11 | Bahía de línea - configuración en anillo - tipo convencional | 656.343.000 |
| N4S12 | Bahía de transformador - configuración en anillo - tipo convencional | 735.313.000 |
| N4S13 | Bahía de línea - configuración barra sencilla - tipo encapsulada (SF6) | 1.436.970.000 |
| N4S14 | Bahía de transformador - configuración barra sencilla - tipo encapsulada(SF6) | 1.397.135.000 |
| N4S15 | Bahía de línea - configuración barra doble - tipo encapsulada (SF6) | 1.438.534.000 |
| N4S16 | Bahía de transformador - configuración barra doble - tipo encapsulada(SF6) | 1.398.699.000 |
| N4S20 | Módulo de barraje tipo 1 - configuración barra sencilla - tipo convencional | 162.380.000 |
| N4S21 | Módulo de barraje tipo 2 - configuración barra sencilla - tipo convencional | 212.892.000 |
| N4S22 | Módulo de barraje tipo 3 - configuración barra sencilla - tipo convencional | 261.839.000 |
| N4S23 | Módulo de barraje tipo 4 - configuración barra sencilla - tipo convencional | 310.350.000 |
| N4S24 | Módulo de barraje tipo 1 - configuración barra doble - tipo convencional | 189.363.000 |
| N4S25 | Módulo de barraje tipo 2 - configuración barra doble - tipo convencional | 260.590.000 |
| N4S26 | Módulo de barraje tipo 3 - configuración barra doble - tipo convencional | 384.615.000 |
| N4S27 | Módulo de barraje tipo 4 - configuración barra doble - tipo convencional | 455.842.000 |
| N4S28 | Módulo de barraje tipo 1 - configuración barra doble con by pass - tipo convencional | 158.075.000 |
| N4S29 | Módulo de barraje tipo 2 - configuración barra doble con by pass - tipo convencional | 229.302.000 |
| N4S30 | Módulo de barraje tipo 3 - configuración barra doble con by pass - tipo convencional | 353.328.000 |
| N4S31 | Módulo de barraje tipo 4 - configuración barra doble con by pass - tipo convencional | 424.555.000 |
| N4S32 | Módulo de barraje tipo 1 - configuración barra principal y transferencia - tipo convencional | 156.024.000 |
| N4S33 | Módulo de barraje tipo 2 - configuración barra principal y transferencia - tipo convencional | 224.888.000 |
| N4S34 | Módulo de barraje tipo 3 - configuración barra principal y transferencia - tipo convencional | 346.551.000 |
| N4S35 | Módulo de barraje tipo 4 - configuración barra principal y transferencia - tipo convencional | 415.415.000 |
| N4S36 | Módulo de barraje tipo 2 - configuración interruptor y medio - tipo convencional | 322.010.000 |
| N4S37 | Módulo de barraje tipo 3 - configuración interruptor y medio - tipo convencional | 513.083.000 |
| N4S38 | Módulo de barraje tipo 4 - configuración interruptor y medio - tipo convencional | 617.690.000 |
| N4S41 | Módulo común/bahía tipo 1 (1 a 4 bahías) - tipo convencional - cualquier configuración | 454.234.000 |
| N4S42 | Módulo común/bahía tipo 2 (5 a 8 bahías) - tipo convencional - cualquier configuración | 367.265.000 |
| N4S43 | Módulo común/bahía tipo 3 (9 a 12 bahías) - tipo convencional - cualquier configuración | 330.559.000 |
| N4S44 | Módulo común/bahía tipo 4 (más de 12 bahías) - tipo convencional - cualquier configuración | 312.251.000 |
| N4S46 | Campo móvil encapsulado nivel 4 | 2.414.575.000 |
| N4S47 | Bahía de maniobra - (seccionamiento de barras sin interruptor) - tipo convencional | 264.443.000 |
| N4S49 | Bahía de línea - configuración barra doble con seccionador de transferencia - tipo convencional | 863.661.000 |
| N4S50 | Bahía de transformador - configuración barra doble con seccionador de transferencia - tipo convencional | 862.733.000 |
| N4S51 | Corte central configuración interruptor y medio - tipo convencional | 476.737.000 |
| N4S52 | Bahía de transferencia configuración barra principal y transferencia - tipo convencional | 353.487.000 |
| N4S53 | Bahía de acople configuraciones con doble barra | 515.435.000 |
| N4S54 | Bahía de seccionamiento configuraciones barra sencilla | 353.145.000 |
| N4S55 | Bahía de seccionamiento configuraciones con doble barra | 633.337.000 |
| N4S56 | Bahía de maniobra - tipo encapsulada (SF6) | 1.132.458.000 |
| N4S57 | Módulo de barraje tipo 1 - configuración barra doble con seccionador de transferencia - tipo convencional | 88.373.000 |
| N4S58 | Módulo de barraje tipo 2 - configuración barra doble con seccionador de transferencia - tipo convencional | 126.219.000 |
| N4S59 | Módulo de barraje tipo 3 - configuración barra doble con seccionador de transferencia - tipo convencional | 183.482.000 |
| N4S60 | Módulo de barraje tipo 4 - configuración barra doble con seccionador de transferencia - tipo convencional | 221.328.000 |
| N4S61 | Módulo común/bahía tipo 1 (1 a 4 bahías) - tipo encapsulada - cualquier configuración | 277.655.000 |
| N4S62 | Módulo común/bahía tipo 2 (5 a 8 bahías) - tipo encapsulada - cualquier configuración | 226.001.000 |
| N4S63 | Módulo común/bahía tipo 3 (9 a 12 bahías) - tipo encapsulada - cualquier configuración | 204.992.000 |
| N4S64 | Módulo común/bahía tipo 4 (más de 12 bahías) - tipo encapsulada - cualquier configuración | 196.343.000 |
| N4S65 | Bahía de compensación paralela en línea fija - cualquier configuración - tipo convencional | 737.026.000 |
| N4S66 | Bahía de compensación paralela en línea maniobrable - cualquier configuración - tipo convencional | 723.034.000 |
Tabla 10. UC de equipos de subestación de nivel de tensión 3
| UC | DESCRIPCIÓN | VALOR INSTALADO [$ dic 2017] |
| N3S1 | Bahía de línea - configuración barra sencilla -tipo convencional | 261.078.000 |
| N3S2 | Bahía de transformador - configuración barra sencilla - tipo convencional | 241.884.000 |
| N3S3 | Bahía de línea - configuración barra doble - tipo convencional | 317.642.000 |
| N3S4 | Bahía de transformador - configuración barra doble - tipo convencional | 317.515.000 |
| N3S5 | Bahía de línea - configuración barra principal y transferencia - tipo convencional | 320.391.000 |
| N3S6 | Bahía de transformador - configuración barra principal y transferencia - tipo convencional | 291.389.000 |
| N3S7 | Bahía de línea - configuración barra sencilla - tipo encapsulada (SF6) | 614.746.000 |
| N3S8 | Bahía de transformador - configuración barra sencilla - tipo encapsulada (SF6) | 586.610.000 |
| N3S9 | Bahía de línea - configuración barra doble - tipo encapsulada (SF6) | 614.746.000 |
| N3S10 | Bahía de transformador - configuración barra doble - tipo encapsulada (SF6) | 586.610.000 |
| N3S11 | Celda de llegada o salida - subestación tipo interior-aire | 260.919.000 |
| N3S13 | Bahía de llegada o salida - subestación convencional reducida | 129.375.000 |
| N3S17 | Bahía de llegada o salida - subestación reducida o rural | 23.990.000 |
| N3S19 | Bahía de acople - tipo convencional | 221.101.000 |
| N3S20 | Bahía de acople - tipo encapsulada (SF6) | 479.473.000 |
| N3S24 | Módulo de barraje - barra sencilla - tipo convencional - tipo 1 | 56.580.000 |
| N3S25 | Módulo de barraje - barra sencilla - tipo convencional - tipo 2 | 80.313.000 |
| N3S26 | Módulo de barraje - barra sencilla - tipo convencional - tipo 3 | 80.369.000 |
| N3S27 | Módulo de barraje - barra doble - tipo 1 | 63.204.000 |
| N3S28 | Módulo de barraje - barra doble - tipo 2 | 118.990.000 |
| N3S29 | Módulo de barraje - barra doble - tipo 3 | 146.938.000 |
| N3S30 | Módulo de barraje - barra principal y transferencia - tipo convencional - tipo 1 | 63.204.000 |
| N3S31 | Módulo de barraje - barra principal y transferencia - tipo convencional - tipo 2 | 118.990.000 |
| N3S32 | Módulo de barraje - barra principal y transferencia - tipo convencional - tipo 3 | 146.938.000 |
| N3S34 | Módulo común/bahía - tipo 1 (1 a 3 bahías) tipo convencional o encapsulada exterior | 113.423.000 |
| N3S35 | Módulo común/bahía - tipo 2 (4 a 6 bahías) tipo convencional o encapsulada exterior | 87.758.000 |
| N3S36 | Módulo común/bahía - tipo 3 (más de 6 bahías) tipo convencional o encapsulada exterior | 85.925.000 |
| N3S37 | Módulo común/bahía - tipo 4 - tipo interior | 41.345.000 |
| N3S39 | Subestación móvil 30 MVA | 2.981.523.000 |
| N3S40 | Subestación móvil 15 MVA | 2.316.649.000 |
| N3S41 | Subestación móvil 21 MVA | 2.300.652.000 |
| N3S42 | Subestación móvil 7.5 MVA | 821.661.000 |
| N3S43 | Subestación simplificada (rural) | 98.871.000 |
| N3S60 | Módulo común - tipo 5 - subestación convencional reducida | 44.397.000 |
| N3S61 | Gabinete de llegada o salida - subestación tipo interior-SF6 - barra sencilla | 336.896.000 |
| N3S62 | Cables de salida de circuito - subestación tipo interior | 39.037.000 |
Tabla 11. UC de equipos de subestación de nivel de tensión 2
| UC | DESCRIPCIÓN | VALOR INSTALADO [$ dic 2017] |
| N2S1 | Bahía de línea - configuración barra sencilla - tipo convencional | 227.716.000 |
| N2S2 | Bahía de transformador - configuración barra sencilla - tipo convencional | 178.793.000 |
| N2S3 | Bahía de línea - configuración barra doble - tipo convencional | 278.297.000 |
| N2S4 | Bahía de transformador - configuración barra doble - tipo convencional | 281.220.000 |
| N2S5 | Bahía de línea - configuración barra principal y transferencia - tipo convencional | 281.194.000 |
| N2S6 | Bahía de transformador - configuración barra principal y transferencia - tipo convencional | 284.177.000 |
| N2S7 | Bahía de línea - subestación reducida | 84.103.000 |
| N2S8 | Bahía de acople o seccionamiento (configuraciones en que aplica) - tipo convencional | 221.565.000 |
| N2S9 | Celda de salida de circuito - subestación tipo interior | 100.599.000 |
| N2S10 | Celda de llegada de transformador - barra sencilla - subestación tipo interior-aire | 100.599.000 |
| N2S11 | Celda de interconexión o de acople - barra sencilla - subestación tipo interior-aire | 100.599.000 |
| N2S12 | Celda de medida o auxiliares - barra sencilla - subestación tipo interior-aire | 49.624.000 |
| N2S14 | Cables llegada transformador - subestación tipo interior-aire | 85.610.000 |
| N2S15 | Celda de salida de circuito - doble barra - subestación tipo interior-aire | 100.599.000 |
| N2S16 | Celda de llegada de transformador - doble barra - subestación tipo interior-aire | 100.599.000 |
| N2S17 | Celda de interconexión o de acople - doble barra - subestación tipo interior-aire | 100.599.000 |
| N2S18 | Celda de medida o auxiliares - doble barra - subestación tipo interior-aire | 49.446.000 |
| N2S20 | Módulo de barraje - barra sencilla tipo 1 | 49.786.000 |
| N2S21 | Módulo de barraje - barra sencilla tipo 2 | 70.931.000 |
| N2S22 | Módulo de barraje - barra sencilla tipo 3 | 70.980.000 |
| N2S23 | Módulo de barraje - barra doble tipo 1 | 56.761.000 |
| N2S24 | Módulo de barraje - barra doble tipo 2 | 107.702.000 |
| N2S25 | Módulo de barraje - barra doble tipo 3 | 133.221.000 |
| N2S26 | Módulo de barraje - barra principal y transferencia - tipo 1 | 56.761.000 |
| N2S27 | Módulo de barraje - barra principal y transferencia - tipo 2 | 107.702.000 |
| N2S28 | Módulo de barraje - barra principal y transferencia - tipo 3 | 133.221.000 |
| N2S60 | Gabinete de salida - subestación aislada en SF6 - barra sencilla | 223.191.000 |
| N2S61 | Módulo común/bahía - tipo 1 (1 a 3 bahías) tipo convencional o encapsulada exterior | 73.167.000 |
| N2S62 | Módulo común/bahía - tipo 2 (4 a 6 bahías) tipo convencional o encapsulada exterior | 58.337.000 |
| N2S63 | Módulo común/bahía - tipo 3 (más de 6 bahías) tipo convencional o encapsulada exterior | 56.926.000 |
| N2S64 | Módulo común/bahía - tipo 4 - tipo interior | 40.513.000 |
Tabla 12. UC Unidades constructivas de líneas de nivel de tensión 4
| UC | DESCRIPCIÓN | VALOR INSTALADO [$ dic 2017] |
| N4L60 | Estructura de concreto de 25 m línea aérea desnuda - circuito sencillo – suspensión | 46.108.000 |
| N4L61 | Estructura de concreto de 25 m línea aérea desnuda - circuito sencillo - retención | 54.549.000 |
| N4L62 | Estructura de concreto de 25 m línea aérea desnuda - circuito doble - suspensión | 54.473.000 |
| N4L63 | Estructura de concreto de 25 m línea aérea desnuda - circuito doble - retención | 75.828.000 |
| N4L64 | Poste metálico de 27 m línea aérea desnuda - circuito sencillo - suspensión | 56.776.000 |
| N4L65 | Poste metálico de 27 m línea aérea desnuda - circuito sencillo - retención | 91.862.000 |
| N4L66 | Poste metálico de 27 m línea aérea desnuda - circuito doble - suspensión | 77.640.000 |
| N4L67 | Poste metálico de 27 m línea aérea desnuda - circuito doble - retención | 117.090.000 |
| N4L68 | Torre metálica línea aérea desnuda - circuito sencillo - suspensión | 59.748.000 |
| N4L69 | Torre metálica línea aérea desnuda - circuito sencillo - retención | 102.298.000 |
| N4L70 | Torre metálica línea aérea desnuda - circuito doble - suspensión | 74.138.000 |
| N4L71 | Torre metálica línea aérea desnuda - circuito doble - retención | 124.011.000 |
| N4L72 | Poste metálico de 29 m– línea aérea compacta - circuito sencillo - suspensión | 47.864.000 |
| N4L73 | Poste metálico de 29 m– línea aérea compacta - circuito sencillo - retención | 82.050.000 |
| N4L74 | Poste metálico de 29 m– línea aérea compacta - circuito doble - suspensión | 65.629.000 |
| N4L75 | Poste metálico de 29 m– línea aérea compacta - circuito doble- retención | 105.828.000 |
| N4L76 | Banco de ductos - línea subterránea - Circuito sencillo | 2.160.007.000 |
| N4L77 | Banco de ductos - línea subterránea - Circuito doble | 2.296.884.000 |
| N4L78 | Box-Culvert - línea subterránea - Circuito sencillo | 2.842.182.000 |
| N4L79 | Box-Culvert - línea subterránea - Circuito doble | 3.447.623.000 |
| N4L80 | km de conductor (3 fases) desnudo ACSR 266 kcmil | 39.329.000 |
| N4L81 | km de conductor (3 fases) desnudo ACSR 336 kcmil | 45.054.000 |
| N4L82 | km de conductor (3 fases) desnudo ACSR 397 kcmil | 50.434.000 |
| N4L83 | km de conductor (3 fases) desnudo ACSR 477 kcmil | 57.697.000 |
| N4L84 | km de conductor (3 fases) desnudo ACSR 605 kcmil | 72.744.000 |
| N4L85 | km de conductor (3 fases) desnudo ACSR 795 kcmil | 90.172.000 |
| N4L86 | Cable para red compacta XLPE 800 mm2 | 1.330.618.000 |
| N4L87 | Cable para red compacta XLPE 1000 mm2 | 1.729.846.000 |
| N4L88 | Cable para red compacta XLPE 1200 mm2 | 2.129.075.000 |
| N4L89 | Cable de guarda | 4.163.000 |
| N4L91 | Sistema de puesta a tierra diseño típico para torre | 1.642.000 |
| N4L92 | Sistema de puesta a tierra diseño típico para poste | 1.502.000 |
| N4L93 | Cable de fibra óptica All-Dielectric Self-Supporting (ADSS) monomodo | 30.407.000 |
| N4L94 | Fibra óptica tipo adosada | 64.020.000 |
Tabla 13. UC de líneas de nivel de tensión 3
| UC | DESCRIPCIÓN | VALOR INSTALADO [$ dic 2017] |
| N3L60 | Poste de concreto de 14 m 750 kg Poste simple - Circuito sencillo - suspensión | 3.943.000 |
| N3L61 | Poste de concreto de 14 m 750 kg Poste simple - Circuito sencillo - retención | 6.953.000 |
| N3L62 | Poste de concreto de 14 m 750 kg Poste simple - Circuito doble - suspensión | 4.940.000 |
| N3L63 | Poste de concreto de 14 m 750 kg Poste simple - Circuito doble - retención | 7.034.000 |
| N3L64 | Poste de concreto de 14 m 750 kg Postes en H - Circuito sencillo - suspensión | 7.482.000 |
| N3L65 | Poste de concreto de 14 m 750 kg Postes en H - Circuito sencillo - retención | 11.952.000 |
| N3L66 | Poste de concreto de 14 m 750 kg Postes en H - Circuito doble - suspensión | 8.703.000 |
| N3L67 | Poste de concreto de 14 m 750 kg Postes en H - Circuito doble - retención | 13.898.000 |
| N3L68 | Estructura de concreto (2000 kg 27m) - retención | 23.603.000 |
| N3L69 | Estructura de concreto (3000 kg 27 m) - suspensión | 30.714.000 |
| N3L70 | Torrecilla - Circuito sencillo - suspensión | 22.616.000 |
| N3L71 | Torrecilla - Circuito sencillo - retención | 22.616.000 |
| N3L72 | Torrecilla de - Circuito doble - suspensión | 23.685.000 |
| N3L73 | Torrecilla de - Circuito doble - retención | 29.763.000 |
| N3L74 | Poste de PRFV de 14 m 750 kg- Poste simple - Circuito sencillo - suspensión | 13.426.000 |
| N3L75 | Poste de PRFV de 14 m 750 kg- Poste simple - Circuito sencillo - retención | 16.435.000 |
| N3L76 | Poste de PRFV de 14 m 750 kg- Poste simple - Circuito doble - suspensión | 14.422.000 |
| N3L77 | Poste de PRFV de 14 m 750 kg- Poste simple - Circuito doble - retención | 18.292.000 |
| N3L78 | Poste de PRFV de 14 m 750 kg- Postes en H - Circuito sencillo - suspensión | 26.446.000 |
| N3L79 | Poste de PRFV de 14 m 750 kg- Postes en H - Circuito sencillo - retención | 30.916.000 |
| N3L80 | Poste de PRFV de 14 m 750 kg- Postes en H - Circuito doble - suspensión | 27.592.000 |
| N3L81 | Poste de PRFV de 14 m 750 kg- Postes en H - Circuito doble - retención | 32.863.000 |
| N3L82 | Canalización 4*6" | 512.465.000 |
| N3L83 | Canalización 6*6" | 659.760.000 |
| N3L84 | km de conductor (3 fases) ACSR 2 AWG | 15.170.000 |
| N3L85 | km de conductor (3 fases) ACSR 1 AWG | 16.206.000 |
| N3L86 | km de conductor (3 fases) ACSR 1/0 AWG | 17.638.000 |
| N3L87 | km de conductor (3 fases) ACSR 2/0 AWG | 19.471.000 |
| N3L88 | km de conductor (3 fases) ACSR 3/0 AWG | 21.878.000 |
| N3L89 | km de conductor (3 fases) ACSR 4/0 AWG | 25.204.000 |
| N3L90 | km de conductor (3 fases) ACSR 336 kcmil | 35.012.000 |
| N3L91 | km de conductor (3 fases) semiaislado 4 AWG | 14.491.000 |
| N3L92 | km de conductor (3 fases) semiaislado 2 AWG | 17.923.000 |
| N3L93 | km de conductor (3 fases) semiaislado 1 AWG | 21.100.000 |
| N3L94 | km de conductor (3 fases) semiaislado 1/0 AWG | 26.209.000 |
| N3L95 | km de conductor (3 fases) semiaislado 2/0 AWG | 33.813.000 |
| N3L96 | km de conductor (3 fases) semiaislado 3/0 AWG | 45.389.000 |
| N3L97 | km de conductor (3 fases) semiaislado 4/0 AWG | 63.988.000 |
| N3L98 | km de conductor (3 fases) semiaislado 266 kcmil | 208.008.000 |
| N3L99 | km de conductor (3 fases) semiaislado 336 kcmil | 250.326.000 |
| N3L100 | km de conductor (3 fases) semiaislado 477 kcmil | 363.887.000 |
| N3L101 | km de conductor (3 fases) semiaislado 795 kcmil | 664.808.000 |
| N3L102 | km de conductor (3 fases) EPR 1/0 AWG | 170.662.000 |
| N3L103 | km de conductor (3 fases) EPR 2/0 AWG | 187.366.000 |
| N3L104 | km de conductor (3 fases) EPR 3/0 AWG | 208.311.000 |
| N3L105 | km de conductor (3 fases) EPR 4/0 AWG | 233.672.000 |
| N3L106 | km de conductor (3 fases) EPR 250 kcmil | 276.723.000 |
| N3L107 | km de conductor (3 fases) EPR 300 kcmil | 305.108.000 |
| N3L108 | km de conductor (3 fases) EPR 350 kcmil | 333.290.000 |
| N3L109 | km de conductor (3 fases) EPR 400 kcmil | 367.944.000 |
| N3L110 | km de conductor (3 fases) EPR 500 kcmil | 422.824.000 |
| N3L111 | km de conductor (3 fases) EPR 600 kcmil | 479.210.000 |
| N3L112 | km de conductor (3 fases) EPR 750 kcmil | 558.974.000 |
| N3L113 | km de conductor (3 fases) de cobre aislado XLP o EPR, 35 kV- 2 AWG | 222.995.000 |
| N3L114 | km de conductor (3 fases) de cobre aislado XLP o EPR, 35 kV- 2/0 AWG | 233.828.000 |
| N3L115 | km de conductor (3 fases) de cobre aislado XLP o EPR, 35 kV- 3/0 AWG | 246.777.000 |
| N3L116 | km de conductor (3 fases) de cobre aislado XLP o EPR, 35 kV- 4/0 AWG | 261.654.000 |
| N3L117 | km de conductor (3 fases) de cobre aislado XLP o EPR, 35 kV- 250 kcmil | 282.576.000 |
| N3L118 | km de conductor (3 fases) de cobre aislado XLP o EPR, 35 kV- 300 kcmil | 297.326.000 |
| N3L119 | km de conductor (3 fases) de cobre aislado XLP o EPR, 35 kV- 350 kcmil | 311.340.000 |
| N3L120 | km de conductor (3 fases) de cobre aislado XLP o EPR, 35 kV- 400 kcmil | 332.629.000 |
| N3L121 | km de conductor (3 fases) de cobre aislado XLP o EPR, 35 kV- 500 kcmil | 357.310.000 |
| N3L122 | km de conductor (3 fases) de cobre aislado XLP o EPR, 35 kV- 600 kcmil | 381.154.000 |
| N3L123 | km de conductor (3 fases) de cobre aislado XLP o EPR, 35 kV- 750 kcmil | 412.759.000 |
| N3L124 | Cable de Guarda | 3.655.000 |
| N3L125 | Sistema de puesta a tierra diseño típico para torre | 1.642.000 |
| N3L126 | Sistema de puesta a tierra diseño típico para poste | 376.000 |
| N3L127 | Poste metálico de 14 m 750 kg | 3.699.000 |
| N3L128 | Poste metálico de 14 m 1050 kg | 5.747.000 |
Tabla 14. UC de líneas de nivel de tensión 2
| UC | DESCRIPCIÓN | VALOR INSTALADO [$ dic 2017] |
| N2L70 | Poste de concreto de 12 m 510 kg - suspensión | 3.215.000 |
| N2L71 | Poste de concreto de 12 m 1050 kg - retención | 4.226.000 |
| N2L72 | Poste de concreto de 12 m 750 kg - retención | 4.086.000 |
| N2L73 | Poste de PRFV de 12 m 510 kg - suspensión | 5.315.000 |
| N2L74 | Poste de PRFV de 12 m 1050 kg - retención | 7.383.000 |
| N2L75 | Poste de PRFV de 12 m 750 kg - retención | 6.029.000 |
| N2L76 | Canalización urbana 2x4" | 369.585.000 |
| N2L77 | Canalización urbana 4x4" | 525.751.000 |
| N2L78 | Canalización urbana 6x4" | 550.569.000 |
| N2L79 | Canalización urbana 6x4" y 3x6" | 828.685.000 |
| N2L80 | km de conductor (3 fases) ACSR 4 AWG | 10.968.000 |
| N2L81 | km de conductor (3 fases) ACSR 2 AWG | 12.347.000 |
| N2L82 | km de conductor (3 fases) ACSR 1 AWG | 13.383.000 |
| N2L83 | km de conductor (3 fases) ACSR 1/0 AWG | 14.814.000 |
| N2L84 | km de conductor (3 fases) ACSR 2/0 AWG | 16.647.000 |
| N2L85 | km de conductor (3 fases) ACSR 3/0 AWG | 21.807.000 |
| N2L86 | km de conductor (3 fases) ACSR 4/0 AWG | 25.134.000 |
| N2L87 | km de conductor (3 fases) ACSR 266 kcmil | 29.314.000 |
| N2L88 | km de conductor (3 fases) ACSR 336 kcmil | 34.942.000 |
| N2L89 | km de conductor (3 fases) ACSR 397 kcmil | 40.231.000 |
| N2L90 | km de conductor (3 fases) ACSR 477 kcmil | 47.372.000 |
| N2L91 | km de conductor (3 fases) ACSR 605 kcmil | 55.555.000 |
| N2L92 | km de conductor (3 fases) ACSR 795 kcmil | 72.689.000 |
| N2L93 | km de conductor (3 fases) semiaislado 4 AWG | 11.668.000 |
| N2L94 | km de conductor (3 fases) semiaislado 2 AWG | 15.099.000 |
| N2L95 | km de conductor (3 fases) semiaislado 1 AWG | 18.277.000 |
| N2L96 | km de conductor (3 fases) semiaislado 1/0 AWG | 23.386.000 |
| N2L97 | km de conductor (3 fases) semiaislado 2/0 AWG | 30.990.000 |
| N2L98 | km de conductor (3 fases) semiaislado 3/0 AWG | 54.035.000 |
| N2L99 | km de conductor (3 fases) semiaislado 4/0 AWG | 72.635.000 |
| N2L100 | km de conductor (3 fases) semiaislado 266 kcmil | 99.764.000 |
| N2L101 | km de conductor (3 fases) semiaislado 336 kcmil | 142.081.000 |
| N2L102 | km de conductor (3 fases) semiaislado 477 kcmil | 255.642.000 |
| N2L103 | km de conductor (3 fases) semiaislado 795 kcmil | 556.564.000 |
| N2L104 | km de conductor (3 fases) cobre 2 AWG | 50.629.000 |
| N2L105 | km de conductor (3 fases) cobre 1/0 AWG | 63.813.000 |
| N2L106 | km de conductor (3 fases) cobre 2/0 AWG | 70.839.000 |
| N2L107 | km de conductor (3 fases) EPR 2 AWG | 141.574.000 |
| N2L108 | km de conductor (3 fases) EPR 1 AWG | 146.874.000 |
| N2L109 | km de conductor (3 fases) EPR 1/0 AWG | 153.109.000 |
| N2L110 | km de conductor (3 fases) EPR 2/0 AWG | 160.129.000 |
| N2L111 | km de conductor (3 fases) EPR 3/0 AWG | 170.883.000 |
| N2L112 | km de conductor (3 fases) EPR 4/0 AWG | 179.806.000 |
| N2L113 | km de conductor (3 fases) EPR 250 kcmil | 188.373.000 |
| N2L114 | km de conductor (3 fases) EPR 300 kcmil | 196.640.000 |
| N2L115 | km de conductor (3 fases) EPR 350 kcmil | 204.216.000 |
| N2L116 | km de conductor (3 fases) EPR 400 kcmil | 211.219.000 |
| N2L117 | km de conductor (3 fases) EPR 500 kcmil | 223.874.000 |
| N2L118 | km de conductor (3 fases) EPR 600 kcmil | 235.460.000 |
| N2L119 | km de conductor (3 fases) EPR 750 kcmil | 253.195.000 |
| N2L120 | km de conductor (3 fases) aluminio 2 AWG | 61.657.000 |
| N2L121 | km de conductor (3 fases) aluminio 1/0 AWG | 73.820.000 |
| N2L122 | km de conductor (3 fases) aluminio 4/0 AWG | 112.173.000 |
| N2L123 | km de conductor (3 fases) aluminio 500 kcmil | 167.631.000 |
| N2L124 | km de conductor (3 fases) aluminio 750 kcmil | 225.110.000 |
| N2L125 | km de conductor (3 fases) de cobre aislado XLP o EPR, 15 kV- 4 AWG | 180.956.000 |
| N2L126 | km de conductor (3 fases) de cobre aislado XLP o EPR, 15 kV- 2 AWG | 186.256.000 |
| N2L127 | km de conductor (3 fases) de cobre aislado XLP o EPR, 15 kV- 1/0 AWG | 192.490.000 |
| N2L128 | km de conductor (3 fases) de cobre aislado XLP o EPR, 15 kV- 2/0 AWG | 199.510.000 |
| N2L129 | km de conductor (3 fases) de cobre aislado XLP o EPR, 15 kV- 3/0 AWG | 207.720.000 |
| N2L130 | km de conductor (3 fases) de cobre aislado XLP o EPR, 15 kV- 4/0 AWG | 216.643.000 |
| N2L131 | km de conductor (3 fases) de cobre aislado XLP o EPR, 15 kV- 300 Kcmil | 225.210.000 |
| N2L132 | km de conductor (3 fases) de cobre aislado XLP o EPR, 15 kV- 350 Kcmil | 233.477.000 |
| N2L133 | km de conductor (3 fases) de cobre aislado XLP o EPR, 15 kV- 400 Kcmil | 241.053.000 |
| N2L134 | km de conductor (3 fases) AAAC aislado XLP o EPR, 15 kV- 500 Kcmil | 248.056.000 |
| N2L135 | km de conductor (3 fases) AAAC aislado XLP o EPR, 15 kV- 750 Kcmil | 260.711.000 |
| N2L136 | Cable de Guarda | 2.960.000 |
| N2L137 | Sistema de puesta a tierra diseño típico | 270.000 |
| N2L138 | Poste metálico de 12 m 750 kg | 3.778.000 |
| N2L139 | Poste metálico de 12 m 1050 kg | 5.111.000 |
Tabla 15. UC de transformadores de conexión al STN
| UC | DESCRIPCIÓN | COSTO INSTALACIÓN [$ dic 2017] | VALOR UNITARIO [$/MVA dic 2017 |
| N6T1 | Autotransformador monofásico (OLTC) lado de alta en el 500 kV capacidad final 50 MVA a 100 MVA | 678.157.000 | 25.456.000 |
| N6T2 | Autotransformador monofásico (OLTC) lado de alta en el 500 kV capacidad final 100 MVA a 150 MVA | 899.502.000 | 27.300.000 |
| N6T3 | Autotransformador monofásico (OLTC) lado de alta en el 500 kV capacidad final mayor o igual a 150 MVA | 1.265.741.000 | 29.741.000 |
| N5T1 | Transformador trifásico (OLTC) de conexión al STN capacidad final de hasta 10 MVA | 239.250.000 | 71.059.000 |
| N5T2 | Transformador trifásico (OLTC) de conexión al STN capacidad final de 11 a 20 MVA | 266.661.000 | 62.984.000 |
| N5T3 | Transformador trifásico (OLTC) de conexión al STN capacidad final de 21 a 40 MVA | 335.011.000 | 57.708.000 |
| N5T4 | Transformador trifásico (OLTC) de conexión al STN capacidad final de 41 a 50 MVA | 447.444.000 | 54.591.000 |
| N5T5 | Transformador trifásico (OLTC) de conexión al STN capacidad final de 51 a 60 MVA | 482.056.000 | 53.042.000 |
| N5T6 | Transformador trifásico (OLTC) de conexión al STN capacidad final de 61 a 90 MVA | 542.489.000 | 50.644.000 |
| N5T7 | Transformador trifásico (OLTC) de conexión al STN capacidad final de 91 a 100 MVA | 594.951.000 | 48.812.000 |
| N5T8 | Transformador trifásico (OLTC) de conexión al STN capacidad final de 101 a 120 MVA | 630.619.000 | 47.675.000 |
| N5T9 | Transformador trifásico (OLTC) de conexión al STN capacidad final de 121 a 150 MVA | 684.899.000 | 46.085.000 |
| N5T10 | Transformador trifásico (OLTC) de conexión al STN capacidad final de 151 a 180 MVA | 743.645.000 | 44.527.000 |
| N5T11 | AutoTransformador monofásico (OLTC) de conexión al STN capacidad final hasta 20 MVA | 331.529.000 | 63.029.000 |
| N5T12 | AutoTransformador monofásico (OLTC) de conexión al STN capacidad final de 21 a 40 MVA | 379.407.000 | 57.177.000 |
| N5T13 | AutoTransformador monofásico (OLTC) de conexión al STN capacidad final de 41 a 50 MVA | 436.539.000 | 50.650.000 |
| N5T14 | AutoTransformador monofásico (OLTC) de conexión al STN capacidad final de 51 a 60 MVA | 469.890.000 | 48.972.000 |
| N5T15 | AutoTransformador monofásico (OLTC) de conexión al STN capacidad final de 61 a 90 MVA | 527.913.000 | 46.374.000 |
| N5T16 | AutoTransformador monofásico (OLTC) de conexión al STN capacidad final de 91 a 100 MVA | 578.058.000 | 44.390.000 |
| N5T17 | AutoTransformador monofásico (OLTC) de conexión al STN capacidad final de 101 a 120 MVA | 612.028.000 | 43.159.000 |
| N5T18 | AutoTransformador monofásico (OLTC) de conexión al STN capacidad final de 121 a 150 MVA | 663.525.000 | 41.437.000 |
| N5T19 | Transformador tridevanado trifásico (OLTC) de conexión al STN capacidad final de hasta 20 MVA | 312.012.000 | 100.014.000 |
| N5T20 | Transformador tridevanado trifásico (OLTC) de conexión al STN capacidad final de 21 a 40 MVA | 352.707.000 | 76.144.000 |
| N5T21 | Transformador tridevanado trifásico (OLTC) de conexión al STN capacidad final de 41 a 50 MVA | 466.899.000 | 65.014.000 |
| N5T22 | Transformador tridevanado trifásico (OLTC) de conexión al STN capacidad final de 51 a 60 MVA | 502.829.000 | 62.154.000 |
| N5T23 | Transformador tridevanado trifásico (OLTC) de conexión al STN capacidad final de 61 a 90 MVA | 565.128.000 | 57.724.000 |
| N5T24 | Transformador tridevanado trifásico (OLTC) de conexión al STN capacidad final de 91 a 120 MVA | 643.094.000 | 52.908.000 |
| N5T25 | Transformador tridevanado trifásico (OLTC) de conexión al STN capacidad final de más de 121 MVA | 674.251.000 | 49.306.000 |
Tabla 16. UC de transformadores de potencia de niveles de tensión 4, 3 y 2
| UC | DESCRIPCIÓN | COSTO INSTALACIÓN [$ dic 2017] | VALOR UNITARIO [$/MVA dic 2017] |
| N4T1 | Transformador trifásico (OLTC) lado de alta en el nivel 4 capacidad final hasta 5 MVA | 173.802.000 | 123.704.000 |
| N4T2 | Transformador trifásico (OLTC) lado de alta en el nivel 4 capacidad final de 5 a 10 MVA | 180.170.000 | 96.484.000 |
| N4T3 | Transformador trifásico (OLTC) lado de alta en el nivel 4 capacidad final de 11 a 15 MVA | 204.477.000 | 83.010.000 |
| N4T4 | Transformador trifásico (OLTC) lado de alta en el nivel 4 capacidad final de 16 a 20 MVA | 224.880.000 | 73.979.000 |
| N4T5 | Transformador trifásico (OLTC) lado de alta en el nivel 4 capacidad final de 21 a 30 MVA | 249.450.000 | 64.312.000 |
| N4T6 | Transformador trifásico (OLTC) lado de alta en el nivel 4 capacidad final de 31 a 40 MVA | 278.964.000 | 55.131.000 |
| N4T7 | Transformador trifásico (OLTC) lado de alta en el nivel 4 capacidad final de 41 a 50 MVA | 303.583.000 | 48.243.000 |
| N4T8 | Transformador trifásico (OLTC) lado de alta en el nivel 4 capacidad final de 51 a 60 MVA | 324.690.000 | 42.730.000 |
| N4T9 | Transformador trifásico (OLTC) lado de alta en el nivel 4 capacidad final de 61 a 80 MVA | 364.204.000 | 38.345.000 |
| N4T10 | Transformador trifásico (OLTC) lado de alta en el nivel 4 capacidad final de 81 a 100 MVA | 394.282.000 | 32.582.000 |
| N4T11 | Transformador trifásico (OLTC) lado de alta en el nivel 4 capacidad final mayor a 100 MVA | 424.320.000 | 26.390.000 |
| N4T12 | Transformador tridevanado trifásico (OLTC) lado de alta en el nivel 4 capacidad final hasta 5 MVA | 180.047.000 | 138.933.000 |
| N4T13 | Transformador tridevanado trifásico (OLTC) lado de alta en el nivel 4 capacidad final de 6 a 10 MVA | 189.604.000 | 111.801.000 |
| N4T14 | Transformador tridevanado trifásico (OLTC) lado de alta en el nivel 4 capacidad final de 11 a 20 MVA | 222.286.000 | 93.613.000 |
| N4T15 | Transformador tridevanado trifásico (OLTC) lado de alta en el nivel 4 capacidad final de 21 a 30 MVA | 261.229.000 | 76.956.000 |
| N4T16 | Transformador tridevanado trifásico (OLTC) lado de alta en el nivel 4 capacidad final de 31 a 40 MVA | 292.425.000 | 65.887.000 |
| N4T17 | Transformador tridevanado trifásico (OLTC) lado de alta en el nivel 4 capacidad final de 41 a 50 MVA | 318.360.000 | 57.583.000 |
| N4T18 | Transformador tridevanado trifásico (OLTC) lado de alta en el nivel 4 capacidad final de 51 a 60 MVA | 340.509.000 | 50.936.000 |
| N4T19 | Transformador tridevanado trifásico (OLTC) lado de alta en el nivel 4 capacidad final más de 60 MVA | 410.540.000 | 43.170.000 |
| N3T1 | Transformador trifásico (NLTC) lado de alta en el nivel 3 capacidad final de 0.5 a 2.5 MVA | 67.602.000 | 69.219.000 |
| N3T2 | Transformador trifásico (NLTC) lado de alta en el nivel 3 capacidad final de 2.6 a 6 MVA | 76.962.000 | 61.188.000 |
| N3T3 | Transformador trifásico (OLTC) lado de alta en el nivel 3 capacidad final de 6.1 a 10 MVA | 90.319.000 | 56.407.000 |
| N3T4 | Transformador trifásico (OLTC) lado de alta en el nivel 3 capacidad final de 11 a 15 MVA | 106.019.000 | 52.752.000 |
| N3T5 | Transformador trifásico (OLTC) lado de alta en el nivel 3 capacidad final de 16 a 20 MVA | 119.530.000 | 50.271.000 |
| N3T6 | Transformador trifásico (OLTC) lado de alta en el nivel 3 capacidad final de 21 a 30 MVA | 136.199.000 | 47.615.000 |
| N3T7 | Transformador trifásico (OLTC) lado de alta en el nivel 3 capacidad final mayor a 31 MVA | 146.130.000 | 44.182.000 |
Tabla 17. UC de equipos de nivel de tensión 4 y conexión al STN
<Tabla modificada por el artículo 24 de la Resolución 85 de 2018. El nuevo texto es el siguiente:>
| UC | DESCRIPCIÓN | VALOR INSTALADO [$ dic 2017] |
| N4EQ2 | Transformador de tensión - N4 | 33.882.000 |
| N4EQ4 | Unidad de calidad de potencia (PQ) CREG 024 de 2005 | 23.943.000 |
Tabla 18. UC de equipos de nivel de tensión 3
| UC | DESCRIPCIÓN | VALOR INSTALADO [$ dic 2017] |
| N3EQ1 | Equipo de medida - N3 | 1.071.000 |
| N3EQ2 | Juego cuchillas de operación sin carga - N3 | 1.581.000 |
| N3EQ3 | Juego pararrayos - N3 | 1.380.000 |
| N3EQ4 | Juego de seccionadores tripolar bajo carga - N3 | 30.202.000 |
| N3EQ5 | Reconectador - N3 | 60.774.000 |
| N3EQ6 | Regulador - N3 | 210.805.000 |
| N3EQ7 | Seccionalizador manual bajo carga - N3 | 24.970.000 |
| N3EQ8 | Seccionalizador eléctrico (motorizado) - N3 | 24.970.000 |
| N3EQ9 | Transición aérea - subterránea - N3 | 2.540.000 |
| N3EQ10 | Transformador de puesta a tierra | 140.528.000 |
| N3EQ11 | Transformador de tensión - N3 | 5.908.000 |
| N3EQ14 | Unidad de calidad de potencia (PQ) CREG 024 de 2005 | 23.943.000 |
| N3EQ22 | Juego cortacircuitos - N3 | 1.693.000 |
| N3EQ23 | Juego pararrayos (44 kV - N3 | 3.073.000 |
| N3EQ24 | Transición aérea - subterránea (44 kV) - N3 | 3.170.000 |
| N3EQ25 | Indicador falla subterráneo - N3 | 3.604.000 |
| N3EQ26 | Transformador de tensión (pedestal) - N3 | 8.636.000 |
| N3EQ27 | Transformador de corriente - N3 | 6.765.000 |
Tabla 19. UC de equipos de nivel de tensión 2
| UC | DESCRIPCIÓN | VALOR INSTALADO [$ dic 2017] |
| N2EQ1 | Barraje de derivación subterráneo - N2 | 3.199.000 |
| N2EQ2 | Caja de maniobra - N2 | 21.684.000 |
| N2EQ3 | Control de bancos de capacitores | 44.429.000 |
| N2EQ4 | Banco de condensadores montaje en poste 150 kVAr | 10.061.000 |
| N2EQ5 | Banco de condensadores montaje en poste 300 kVAr | 19.187.000 |
| N2EQ6 | Banco de condensadores montaje en poste 450 kVAr | 28.312.000 |
| N2EQ7 | Banco de condensadores montaje en poste 600 kVAr | 37.437.000 |
| N2EQ8 | Banco de condensadores montaje en poste 900 kVAr | 55.688.000 |
| N2EQ9 | Cortacircuitos monopolar - N2 | 484.000 |
| N2EQ10 | Equipo de medida - N2 | 1.023.000 |
| N2EQ11 | Indicador falla - N2 | 1.124.000 |
| N2EQ12 | Juego cortacircuitos - N2 | 1.200.000 |
| N2EQ13 | Juego cuchillas de operación sin carga - N2 | 1.003.000 |
| N2EQ14 | Pararrayos - N2 | 482.000 |
| N2EQ15 | Juego pararrayos - N2 | 962.000 |
| N2EQ16 | Juego de seccionadores tripolar bajo carga - N2 | 27.881.000 |
| N2EQ18 | Regulador de voltaje trifásicos de distribución - N2 | 197.054.000 |
| N2EQ19 | Regulador de voltaje monofásico hasta 50 kVA - N2 | 31.678.000 |
| N2EQ20 | Regulador de voltaje monofásico hasta 150 kVA - N2 | 39.037.000 |
| N2EQ21 | Regulador de voltaje monofásico hasta 276 kVA - N2 | 48.929.000 |
| N2EQ22 | Regulador de voltaje monofásico hasta 500 kVA - N2 | 78.916.000 |
| N2EQ23 | Regulador de voltaje monofásico hasta 1000 kVA - N2 | 122.089.000 |
| N2EQ24 | Seccionador monopolar - N2 | 655.000 |
| N2EQ25 | Seccionador trifásico vacío - N2 | 1.060.000 |
| N2EQ26 | Seccionalizador con control inteligente, 400 A - N2 | 24.698.000 |
| N2EQ27 | Seccionalizador eléctrico en SF6, 400 A -N2 | 20.843.000 |
| N2EQ28 | Seccionalizador motorizado - N2 | 24.174.000 |
| N2EQ29 | Seccionalizador manual (bajo carga), 400 A - N2 | 20.319.000 |
| N2EQ30 | Interruptor en aire bajo carga - N2 | 10.329.000 |
| N2EQ31 | Transición aérea - subterránea - N2 | 1.260.000 |
| N2EQ34 | Unidad de calidad de potencia (PQ) CREG 024 de 2005 | 23.943.000 |
| N2EQ35 | Reconectador - N2 | 45.399.000 |
| N2EQ36 | Interruptor de transferencia en SF6 - N2 | 68.018.000 |
| N2EQ37 | Transformador de puesta a tierra | 140.528.000 |
| N2EQ38 | Transformador de tensión - N2 | 5.571.000 |
| N2EQ39 | Transformador de tensión (pedestal) - N2 | 7.121.000 |
| N2EQ40 | Transformador de corriente - N2 | 3.570.000 |
Tabla 20. UC Unidades constructivas de control, protección y comunicaciones
| UC | Descripción | VALOR INSTALADO [$ dic 2017] |
| N6P2 | Control y protección Bahía de Transformador - 500 kV | 220.813.000 |
| N6P6 | Control y Protección del Transformador - 500 kV | 129.752.000 |
| N5P2 | Control y protección Bahía de Transformador - 230 kV | 217.168.000 |
| N5P7 | Control y Protección del Transformador - 230 kV | 121.428.000 |
| N4P1 | Control y protección Bahía de Línea - N4 | 133.249.000 |
| N4P2 | Control y protección Bahía de Transformador - N4 | 138.198.000 |
| N4P3 | Control y protección Bahía de Transf, Acopl, Corte Central - N4 | 101.006.000 |
| N4P4 | Control y protección Bahía de Seccionamiento - N4 | 59.731.000 |
| N4P5 | Protección Diferencial de Barras Tipo 1,2 - N4 | 101.128.000 |
| N4P6 | Protección Diferencial de Barras Tipo 3,4 - N4 | 116.062.000 |
| N3P1 | Control y protección Bahía de Línea - N3 | 88.902.000 |
| N3P2 | Control y protección Bahía de Transformador - N3 | 88.902.000 |
| N3P3 | Control y protección Bahía de Transf, Acopl, Corte Central - N3 | 82.310.000 |
| N3P4 | Control y protección Bahía Secc - N3 | 56.278.000 |
| N3P5 | Protección Diferencial de Barras Tipo 1,2 - N3 | 86.583.000 |
| N3P6 | Protección Diferencial de Barras Tipo 3 - N3 | 101.517.000 |
| N2P1 | Control y protección Bahía - N2 | 38.432.000 |
Tabla 21. Control de subestación y Estación Maestra
| UC | Descripción | VALOR INSTALADO [$ dic 2017] |
| N0P1 | Control subestación Tipo 1 (1-2 Bahías) ($/bahía) | 125.195.000 |
| N0P2 | Control subestación Tipo 2 (3-4 Bahías) ($/bahía) | 93.345.000 |
| N0P3 | Control subestación Tipo 3 (5-8 Bahías) ($/bahía) | 84.778.000 |
| N0P4 | Control subestación Tipo 4 (9-12 Bahías) ($/bahía) | 79.339.000 |
| N0P5 | Control subestación Tipo 5 (Más de 13 Bahías) ($/bahía) | 73.180.000 |
| N0P6 | Centro de control tipo 1 (SCADA) | 1.513.672.000 |
| N0P7 | Centro de control tipo 2 (SCADA+EMS Operativo) | 5.330.826.000 |
| N0P8 | Centro de control tipo 2 (SCADA+DMS Operativo) | 5.085.449.000 |
| N0P9 | Centro de control tipo 2 (SCADA+EMS + DMS Operativo) | 8.470.431.000 |
| N0P10 | Centro de control tipo 3 (SCADA + EMS completa) | 9.856.875.000 |
| N0P11 | Centro de control tipo 4 (SCADA+DMS Completo+OMS+CMS) | 11.611.325.000 |
| N0P12 | Centro de control tipo 4 (SCADA+EMS-Completo+DMS Completo+OMS+CMS) | 15.411.241.000 |
| N0P13 | Casa de control cualquier nivel de tensión ($/m2) | 2.676.000 |
Tabla 22. Áreas reconocidas por componente para el edificio de control de las subestaciones
| ITEM | AREA RECONOCIDA [m2] |
| ÁREAS GENERALES S/E NIVEL 4 - AG4,s | 75,00 |
| ÁREAS GENERALES S/E NIVEL 3 - AG3,s | 56,25 |
| BAHÍA - ABh | 11,25 |
| CELDA -ACe | 7,50 |
Tabla 23. Áreas reconocidas por componente para el edificio de control de la estación maestra
| - | - | - | - | TIPO 1 | TIPO 2 | TIPO 3 | TIPO 4 | |||
| - | L1 | L2 | Área | (SCADA) | (SCADA+EMS Operativo) | (SCADA+DMS Operativo) | (SCADA+EMS+DMS Operativo) | SCADA+EMS-Completa | (SCADA+DMSCompleto+OMS+CMS+GIS | (SCADA+EMS-Completo+DMS Completo+OMS+CMS+GIS |
| Sala de Control | 5 | 5 | 25 | 1 | 1 | - | - - | - - | - - | - |
| Sala Control con Proyección | 10 | 10 | 100 | - | - | 1 | 1 | 1 | 1 | 1 |
| Sala de Crisis | 5 | 10 | 50 | - | - - | - | 1 | 1 | 1 | 1 |
| Oficina Coordinador | 5 | 5 | 25 | - | 1 | 1 | 1 | 1 | 1 | 1 |
| Oficina Análisis | 10 | 10 | 100 | - - | - | 1 | 1 | 2 | 2 | 2 |
| Sala Servidores | 5 | 10 | 50 | 1 | 1 | 1 | 1 | 1 | 1 | 1 |
| Sala Comunicaciones | 5 | 10 | 50 | 1 | 1 | 1 | 1 | 1 | 1 | 1 |
| Grupo Electrógeno | 10 | 20 | 200 | - | - - | - - | 1 | 1 | 1 | 1 |
| UPS | 10 | 10 | 100 | 1 | 1 | 1 | 1 | 1 | 1 | 1 |
| Áreas anexas | 10 | 10 | 100 | - | - | 1 | 1 | 1 | 1 | 2 |
| Áreas Totales | - | - | m2 | 225 | 250 | 525 | 775 | 875 | 875 | 975 |
Tabla 24. Áreas típicas reconocidas para terrenos de las UC
Subestaciones convencionales nivel de tensión 4
| CONFIGURACIÓN | BAHÍA DE LÍNEA [m2] | BAHÍA TRANSFORMADOR [m2] | BAHÍA DE ACOPLE, SECCIONAMIENTO, TRANSFERENCIA O CORTE [m2] | MÓDULO COMÚN TIPO 1 [m2] | MÓDULO COMÚN TIPO 2 [m2] | MÓDULO COMÚN TIPO 3 [m2] | MÓDULO COMÚN TIPO 4 [m2] |
| Barra sencilla | 358 | 304 | 988 | 1.138 | 1.338 | 1.538 | |
| Doble Barra | 422 | 469 | 422 | 2.048 | 2.810 | 4.080 | 4.842 |
| Doble Barra más Bypass | 422 | 469 | 422 | 2.048 | 2.810 | 4.080 | 4.842 |
| Barra principal y transferencia | 422 | 469 | 422 | 2.048 | 2.810 | 4.080 | 4.842 |
| Interruptor y medio | 298 | 371 | 410 | 2.458 | 3.026 | 3.258 | 3.826 |
| Anillo | 225 | 295 | 1.280 | 1.775 | 2.080 | 2.575 | |
Subestaciones encapsuladas nivel de tensión 4
| CONFIGURACIÓN | BAHÍA DE LÍNEA [m2] | BAHÍA TRANSFORMADOR [m2] | MÓDULO COMÚN [m2] |
| Barra sencilla | 30 | 30 | 60 |
| Doble Barra | 40 | 50 | 60 |
Subestaciones nivel de tensión 3
| Configuración | Bahía de línea [m²] | Bahía de Transformador [m²] | Bahía de acople, seccionamiento, transferencia o corte [m²] | Modulo común tipo 1 [m²] | Modulo común tipo 2 [m²] | Modulo común tipo 3 [m²] | Modulo común tipo 4 [m²] | Modulo común tipo 5 [m²] |
| Barra sencilla convencional | 100 | 100 | 535 | 670 | 760 | 65 | 36 | |
| Barra sencilla encapsulada | 60 | 60 | ||||||
| Doble Barra convencional | 100 | 100 | 100 | |||||
| Doble Barra encapsulada | 60 | 60 | 60 | |||||
| Barra principal y transferencia | 100 | 100 | 100 | |||||
Subestaciones nivel de tensión 2
| Configuración | Bahía de línea [m²] | Bahía de Transformador [m²] | Bahía de acople, seccionamiento, transferencia o corte [m²] | Modulo común tipo 1 [m²] | Modulo común tipo 2 [m²] | Modulo común tipo 3 [m²] | Modulo común tipo 4 [m²] |
| Barra sencilla convencional | 60 | 60 | 481,5 | 603 | 684 | 36 | |
| Doble Barra convencional | 60 | 60 | 60 | ||||
| Barra principal y transferencia | 60 | 60 | 60 | ||||
Transformadores
| Configuración | Conexión al STN m2 | Lado de alta en el nivel 4 m2 | Lado de alta en el nivel 3 m2 |
| Bancos monofásicos | 160 | 70 | 20 |
| Transformadores trifásicos | 60 | 30 | 10 |
14.3. COSTOS ACTIVOS DE NIVEL DE TENSIÓN 1.
En este listado se establecen los costos reconocidos para la valoración de activos de nivel de tensión 1.
Tabla 25. Costo apoyos nivel de tensión 1
| UC | DESCRIPCIÓN | VALOR INSTALADO [$ dic 2017] |
| N1P1 | Poste de concreto - 8 m - urbano - suspensión - red común | 654.000 |
| N1P2 | Poste de concreto - 10 m - urbano - suspensión - red común | 820.000 |
| N1P3 | Poste de concreto - 12 m - urbano- suspensión - red común | 1.019.000 |
| N1P4 | Poste de madera - 8 m - urbano - suspensión - red común | 671.000 |
| N1P5 | Poste de madera - 10 m - urbano- suspensión - red común | 813.000 |
| N1P6 | Poste de madera - 12 m - urbano- suspensión - red común | 911.000 |
| N1P7 | Poste de metálico - 8 m -urbano- suspensión - red común | 846.000 |
| N1P8 | Poste de metálico - 10 m - urbano- suspensión - red común | 1.054.000 |
| N1P9 | Poste de metálico - 12 m - urbano- suspensión - red común | 1.263.000 |
| N1P10 | Poste de fibra de vidrio - 8 m - urbano- suspensión - red común | 1.234.000 |
| N1P11 | Poste de fibra de vidrio - 10 m - urbano- suspensión - red común | 1.883.000 |
| N1P12 | Poste de fibra de vidrio - 12 m - urbano- suspensión - red común | 2.109.000 |
| N1P13 | Poste de concreto - 8 m - rural- suspensión - red común | 758.000 |
| N1P14 | Poste de concreto -10 m - rural- suspensión - red común | 925.000 |
| N1P15 | Poste de concreto - 12 m - rural- suspensión - red común | 1.123.000 |
| N1P16 | Poste de madera - 8 m - rural- suspensión - red común | 775.000 |
| N1P17 | Poste de madera - 10 m - rural- suspensión - red común | 917.000 |
| N1P18 | Poste de madera - 12 m - rural- suspensión - red común | 1.015.000 |
| N1P19 | Poste de metálico - 8 m - rural- suspensión - red común | 950.000 |
| N1P20 | Poste de metálico - 10 m - rural- suspensión - red común | 1.159.000 |
| N1P21 | Poste de metálico - 12 m - rural- suspensión - red común | 1.367.000 |
| N1P22 | Poste de fibra de vidrio - 8 m - rural- suspensión - red común | 1.338.000 |
| N1P23 | Poste de fibra de vidrio - 10 m - rural- suspensión - red común | 1.987.000 |
| N1P24 | Poste de fibra de vidrio - 12 m - rural- suspensión - red común | 2.214.000 |
| N1P25 | Poste de concreto - 8 m - urbano - retención - red común | 697.000 |
| N1P26 | Poste de concreto - 10 m - urbano - retención - red común | 864.000 |
| N1P27 | Poste de concreto - 12 m - urbano- retención - red común | 1.063.000 |
| N1P28 | Poste de madera - 8 m - urbano - retención - red común | 715.000 |
| N1P29 | Poste de madera - 10 m - urbano- retención - red común | 857.000 |
| N1P30 | Poste de madera - 12 m - urbano- retención - red común | 954.000 |
| N1P31 | Poste de metálico - 8 m -urbano- retención - red común | 1.102.000 |
| N1P32 | Poste de metálico - 10 m - urbano- retención - red común | 1.757.000 |
| N1P33 | Poste de metálico - 12 m - urbano- retención - red común | 2.412.000 |
| N1P34 | Poste de fibra de vidrio - 8 m - urbano- retención - red común | 1.277.000 |
| N1P35 | Poste de fibra de vidrio - 10 m - urbano- retención - red común | 1.927.000 |
| N1P36 | Poste de fibra de vidrio - 12 m - urbano- retención - red común | 2.153.000 |
| N1P37 | Poste de concreto - 8 m - rural- retención - red común | 801.000 |
| N1P38 | Poste de concreto -10 m - rural- retención - red común | 968.000 |
| N1P39 | Poste de concreto - 12 m - rural- retención - red común | 1.167.000 |
| N1P40 | Poste de madera - 8 m - rural- retención - red común | 819.000 |
| N1P41 | Poste de madera - 10 m - rural- retención - red común | 961.000 |
| N1P42 | Poste de madera - 12 m - rural- retención - red común | 1.058.000 |
| N1P43 | Poste de metálico - 8 m - rural- retención - red común | 1.206.000 |
| N1P44 | Poste de metálico - 10 m - rural- retención - red común | 1.861.000 |
| N1P45 | Poste de metálico - 12 m - rural- retención - red común | 2.516.000 |
| N1P46 | Poste de fibra de vidrio - 8 m - rural- retención - red común | 1.381.000 |
| N1P47 | Poste de fibra de vidrio - 10 m - rural- retención - red común | 2.031.000 |
| N1P48 | Poste de fibra de vidrio - 12 m - rural- retención - red común | 2.257.000 |
| N1P49 | Poste de concreto - 8 m - urbano - suspensión - red trenzada | 646.000 |
| N1P50 | Poste de concreto - 10 m - urbano - suspensión - red trenzada | 813.000 |
| N1P51 | Poste de concreto - 12 m - urbano- suspensión - red trenzada | 1.011.000 |
| N1P52 | Poste de madera - 8 m - urbano - suspensión - red trenzada | 663.000 |
| N1P53 | Poste de madera - 10 m - urbano- suspensión - red trenzada | 805.000 |
| N1P54 | Poste de madera - 12 m - urbano- suspensión - red trenzada | 903.000 |
| N1P55 | Poste de metálico - 8 m -urbano- suspensión - red trenzada | 838.000 |
| N1P56 | Poste de metálico - 10 m - urbano- suspensión - red trenzada | 1.047.000 |
| N1P57 | Poste de metálico - 12 m - urbano- suspensión - red trenzada | 1.256.000 |
| N1P58 | Poste de fibra de vidrio - 8 m - urbano- suspensión - red trenzada | 1.226.000 |
| N1P59 | Poste de fibra de vidrio - 10 m - urbano- suspensión - red trenzada | 1.875.000 |
| N1P60 | Poste de fibra de vidrio - 12 m - urbano- suspensión - red trenzada | 2.102.000 |
| N1P61 | Poste de concreto - 8 m - rural- suspensión - red trenzada | 750.000 |
| N1P62 | Poste de concreto -10 m - rural- suspensión - red trenzada | 917.000 |
| N1P63 | Poste de concreto - 12 m - rural- suspensión - red trenzada | 1.116.000 |
| N1P64 | Poste de madera - 8 m - rural- suspensión - red trenzada | 768.000 |
| N1P65 | Poste de madera - 10 m - rural- suspensión - red trenzada | 909.000 |
| N1P66 | Poste de madera - 12 m - rural- suspensión - red trenzada | 1.007.000 |
| N1P67 | Poste de metálico - 8 m - rural- suspensión - red trenzada | 942.000 |
| N1P68 | Poste de metálico - 10 m - rural- suspensión - red trenzada | 1.151.000 |
| N1P69 | Poste de metálico - 12 m - rural- suspensión - red trenzada | 1.360.000 |
| N1P70 | Poste de fibra de vidrio - 8 m - rural- suspensión - red trenzada | 1.330.000 |
| N1P71 | Poste de fibra de vidrio - 10 m - rural- suspensión - red trenzada | 1.980.000 |
| N1P72 | Poste de fibra de vidrio - 12 m - rural- suspensión - red trenzada | 2.206.000 |
| N1P73 | Poste de concreto - 8 m - urbano - retención - red trenzada | 663.000 |
| N1P74 | Poste de concreto - 10 m - urbano - retención - red trenzada | 829.000 |
| N1P75 | Poste de concreto - 12 m - urbano- retención - red trenzada | 1.028.000 |
| N1P76 | Poste de madera - 8 m - urbano - retención - red trenzada | 680.000 |
| N1P77 | Poste de madera - 10 m - urbano- retención - red trenzada | 822.000 |
| N1P78 | Poste de madera - 12 m - urbano- retención - red trenzada | 920.000 |
| N1P79 | Poste de metálico - 8 m -urbano- retención - red trenzada | 1.067.000 |
| N1P80 | Poste de metálico - 10 m - urbano- retención - red trenzada | 1.722.000 |
| N1P81 | Poste de metálico - 12 m - urbano- retención - red trenzada | 2.377.000 |
| N1P82 | Poste de fibra de vidrio - 8 m - urbano- retención - red trenzada | 1.243.000 |
| N1P83 | Poste de fibra de vidrio - 10 m - urbano- retención - red trenzada | 1.892.000 |
| N1P84 | Poste de fibra de vidrio - 12 m - urbano- retención - red trenzada | 2.118.000 |
| N1P85 | Poste de concreto - 8 m - rural- retención - red trenzada | 767.000 |
| N1P86 | Poste de concreto -10 m - rural- retención - red trenzada | 933.000 |
| N1P87 | Poste de concreto - 12 m - rural- retención - red trenzada | 1.132.000 |
| N1P88 | Poste de madera - 8 m - rural- retención - red trenzada | 784.000 |
| N1P89 | Poste de madera - 10 m - rural- retención - red trenzada | 926.000 |
| N1P90 | Poste de madera - 12 m - rural- retención - red trenzada | 1.024.000 |
| N1P91 | Poste de metálico - 8 m - rural- retención - red trenzada | 1.171.000 |
| N1P92 | Poste de metálico - 10 m - rural- retención - red trenzada | 1.826.000 |
| N1P93 | Poste de metálico - 12 m - rural- retención - red trenzada | 2.481.000 |
| N1P94 | Poste de fibra de vidrio - 8 m - rural- retención - red trenzada | 1.347.000 |
| N1P95 | Poste de fibra de vidrio - 10 m - rural- retención - red trenzada | 1.996.000 |
| N1P96 | Poste de fibra de vidrio - 12 m - rural- retención - red trenzada | 2.222.000 |
| N1C1 | Caja para redes subterráneas tipo sencillo | 1.519.000 |
| N1C2 | Caja para redes subterráneas tipo doble | 3.755.000 |
| N1C3 | Caja para redes subterráneas tipo alumbrado público | 920.000 |
| N1C4 | Caja para redes subterráneas tipo teléfono | 1.519.000 |
Tabla 26. Costo conductores nivel de tensión 1 para red urbana
| UC | DESCRIPCIÓN | VALOR INSTALADO [$/dic 2017] |
| N1L1 | km de conductor/fase aéreo urbano - Aislado - Aluminio - calibre < 6 | 702.400 |
| N1L2 | km de conductor/fase aéreo urbano aéreo urbano - Aislado - Aluminio - calibre 4 | 1.294.900 |
| N1L3 | km de conductor/fase aéreo urbano - Aislado - Aluminio - calibre 2 | 1.887.300 |
| N1L4 | km de conductor/fase aéreo urbano - Aislado - Aluminio - calibre 1 | 2.479.800 |
| N1L5 | km de conductor/fase aéreo urbano - Aislado - Aluminio - calibre 1/0 | 3.072.400 |
| N1L6 | km de conductor/fase aéreo urbano - Aislado - Aluminio - calibre 2/0 | 3.664.900 |
| N1L7 | km de conductor/fase aéreo urbano - Aislado - Aluminio - calibre 3/0 | 4.257.400 |
| N1L8 | km de conductor/fase aéreo urbano - Aislado - Aluminio - calibre 4/0 | 4.849.800 |
| N1L9 | km de conductor/fase aéreo urbano - Aislado - Aluminio - calibre 250 | 5.442.300 |
| N1L10 | km de conductor/fase aéreo urbano - Aislado - Aluminio - calibre 6/0 | 6.034.800 |
| N1L11 | km de conductor/fase aéreo urbano - Aislado - Aluminio - calibre 350 | 6.627.200 |
| N1L12 | km de conductor/fase aéreo urbano - Aislado - Cobre - calibre 12 | 1.149.000 |
| N1L13 | km de conductor/fase aéreo urbano - Aislado - Cobre - calibre 10 | 1.758.100 |
| N1L14 | km de conductor/fase aéreo urbano - Aislado - Cobre - calibre 8 | 3.180.400 |
| N1L15 | km de conductor/fase aéreo urbano - Aislado - Cobre - calibre 6 | 5.945.700 |
| N1L16 | km de conductor/fase aéreo urbano - Aislado - Cobre - calibre 4 | 8.711.100 |
| N1L17 | km de conductor/fase aéreo urbano - Aislado - Cobre - calibre 2 | 11.476.400 |
| N1L18 | km de conductor/fase aéreo urbano - Aislado - Cobre - calibre 1 | 14.241.800 |
| N1L19 | km de conductor/fase aéreo urbano - Aislado - Cobre - calibre 1/0 | 17.007.300 |
| N1L20 | km de conductor/fase aéreo urbano - Aislado - Cobre - calibre 2/0 | 19.772.600 |
| N1L21 | km de conductor/fase aéreo urbano - Aislado - Cobre - calibre 3/0 | 22.537.900 |
| N1L22 | km de conductor/fase aéreo urbano - Aislado - Cobre - calibre 4/0 | 25.303.300 |
| N1L23 | km de conductor/fase aéreo urbano - Aislado - Cobre - calibre 250 | 28.068.600 |
| N1L24 | km de conductor/fase aéreo urbano - Aislado - Cobre - calibre 6/0 | 30.834.000 |
| N1L25 | km de conductor/fase aéreo urbano - Aislado - Cobre - calibre 350 | 33.599.300 |
| N1L26 | km de conductor/fase aéreo urbano - Aislado - Cobre - calibre 400 | 36.364.700 |
| N1L27 | km de conductor/fase aéreo urbano - Aislado - Cobre - calibre 500 | 39.130.000 |
| N1L28 | km de conductor/fase aéreo urbano - Desnudo - Aluminio - calibre 14 | 925.500 |
| N1L29 | km de conductor/fase aéreo urbano - Desnudo - Aluminio - calibre 12 | 1.097.300 |
| N1L30 | km de conductor/fase aéreo urbano - Desnudo - Aluminio - calibre 10 | 1.269.100 |
| N1L31 | km de conductor/fase aéreo urbano - Desnudo - Aluminio - calibre 8 | 1.440.800 |
| N1L32 | km de conductor/fase aéreo urbano - Desnudo - Aluminio - calibre 6 | 1.612.600 |
| N1L33 | km de conductor/fase aéreo urbano - Desnudo - Aluminio - calibre 4 | 1.784.400 |
| N1L34 | km de conductor/fase aéreo urbano - Desnudo - Aluminio - calibre 2 | 1.956.100 |
| N1L35 | km de conductor/fase aéreo urbano - Desnudo - Aluminio - calibre 1 | 2.127.900 |
| N1L36 | km de conductor/fase aéreo urbano - Desnudo - Aluminio - calibre 1/0 | 2.299.900 |
| N1L37 | km de conductor/fase aéreo urbano - Desnudo - Aluminio - calibre 2/0 | 2.471.600 |
| N1L38 | km de conductor/fase aéreo urbano - Desnudo - Aluminio - calibre 3/0 | 2.643.400 |
| N1L39 | km de conductor/fase aéreo urbano - Desnudo - Aluminio - calibre 4/0 | 2.815.200 |
| N1L40 | km de conductor/fase aéreo urbano - Desnudo - Aluminio - calibre 6/0 | 2.986.900 |
| N1L41 | km de conductor/fase aéreo urbano - Desnudo - Aluminio - calibre 180 | 3.158.700 |
| N1L42 | km de conductor/fase aéreo urbano - Desnudo - Aluminio - calibre 336 | 3.330.500 |
| N1L43 | km de conductor/fase aéreo urbano - Desnudo - Cobre - calibre < 10 | 1.184.200 |
| N1L44 | km de conductor/fase aéreo urbano - Desnudo - Cobre - calibre 8 | 1.806.900 |
| N1L45 | km de conductor/fase aéreo urbano - Desnudo - Cobre - calibre 6 | 4.234.100 |
| N1L46 | km de conductor/fase aéreo urbano - Desnudo - Cobre - calibre 4 | 6.661.200 |
| N1L47 | km de conductor/fase aéreo urbano - Desnudo - Cobre - calibre 2 | 9.088.400 |
| N1L48 | km de conductor/fase aéreo urbano - Desnudo - Cobre - calibre 1 | 11.515.500 |
| N1L49 | km de conductor/fase aéreo urbano - Desnudo - Cobre - calibre 1/0 | 13.942.800 |
| N1L50 | km de conductor/fase aéreo urbano - Desnudo - Cobre - calibre 2/0 | 16.370.000 |
| N1L51 | km de conductor/fase aéreo urbano - Desnudo - Cobre - calibre 6/0 | 18.797.100 |
| N1L52 | km de conductor/fase aéreo urbano - Desnudo - Cobre - calibre 750 | 21.224.300 |
| N1L53 | km de conductor/fase aéreo urbano - Trenzado - Aluminio - calibre < 6 | 3.336.800 |
| N1L54 | km de conductor/fase aéreo urbano - Trenzado - Aluminio - calibre 4 | 5.762.100 |
| N1L55 | km de conductor/fase aéreo urbano - Trenzado - Aluminio - calibre 2 | 8.187.300 |
| N1L56 | km de conductor/fase aéreo urbano - Trenzado - Aluminio - calibre 1/0 | 10.612.500 |
| N1L57 | km de conductor/fase aéreo urbano - Trenzado - Aluminio - calibre 2/0 | 13.037.800 |
| N1L58 | km de conductor/fase aéreo urbano - Trenzado - Aluminio - calibre 4/0 | 15.463.000 |
| N1L59 | km de conductor/fase aéreo urbano - Trenzado - Cobre - calibre 12 | 3.987.100 |
| N1L60 | km de conductor/fase aéreo urbano - Trenzado - Cobre - calibre 10 | 5.626.900 |
| N1L61 | km de conductor/fase aéreo urbano - Trenzado - Cobre - calibre 8 | 8.496.500 |
| N1L62 | km de conductor/fase aéreo urbano - Trenzado - Cobre - calibre 6 | 13.471.100 |
| N1L63 | km de conductor/fase aéreo urbano - Trenzado - Cobre - calibre 4 | 23.247.100 |
| N1L64 | km de conductor/fase aéreo urbano - Trenzado - Cobre - calibre 2 | 33.023.100 |
| N1L65 | km de conductor/fase aéreo urbano - Trenzado - Cobre - calibre 1/0 | 42.799.100 |
| N1L66 | km de conductor/fase aéreo urbano - Trenzado - Cobre - calibre 2/0 | 52.575.000 |
Tabla 27. Costo conductores nivel de tensión 1 para red rural
| UC | DESCRIPCIÓN | VALOR INSTALADO [$/dic 2017] |
| N1L67 | km de conductor/fase aéreo rural - Aislado - Aluminio - calibre < 6 | 703.500 |
| N1L68 | km de conductor/fase aéreo rural - Aislado - Aluminio - calibre 4 | 1.296.000 |
| N1L69 | km de conductor/fase aéreo rural - Aislado - Aluminio - calibre 2 | 1.888.400 |
| N1L70 | km de conductor/fase aéreo rural - Aislado - Aluminio - calibre 1 | 2.480.900 |
| N1L71 | km de conductor/fase aéreo rural - Aislado - Aluminio - calibre 1/0 | 3.073.800 |
| N1L72 | km de conductor/fase aéreo rural - Aislado - Aluminio - calibre 2/0 | 3.666.300 |
| N1L73 | km de conductor/fase aéreo rural - Aislado - Aluminio - calibre 3/0 | 4.258.700 |
| N1L74 | km de conductor/fase aéreo rural - Aislado - Aluminio - calibre 4/0 | 4.851.200 |
| N1L75 | km de conductor/fase aéreo rural - Aislado - Aluminio - calibre 250 | 5.443.700 |
| N1L76 | km de conductor/fase aéreo rural - Aislado - Aluminio - calibre 6/0 | 6.036.100 |
| N1L77 | km de conductor/fase aéreo rural - Aislado - Aluminio - calibre 350 | 6.628.600 |
| N1L78 | km de conductor/fase aéreo rural - Aislado - Cobre - calibre 12 | 1.150.100 |
| N1L79 | km de conductor/fase aéreo rural - Aislado - Cobre - calibre 10 | 1.759.200 |
| N1L80 | km de conductor/fase aéreo rural - Aislado - Cobre - calibre 8 | 3.181.500 |
| N1L81 | km de conductor/fase aéreo rural - Aislado - Cobre - calibre 6 | 5.946.800 |
| N1L82 | km de conductor/fase aéreo rural - Aislado - Cobre - calibre 4 | 8.712.200 |
| N1L83 | km de conductor/fase aéreo rural - Aislado - Cobre - calibre 2 | 11.477.500 |
| N1L84 | km de conductor/fase aéreo rural - Aislado - Cobre - calibre 1 | 14.242.900 |
| N1L85 | km de conductor/fase aéreo rural - Aislado - Cobre - calibre 1/0 | 17.008.600 |
| N1L86 | km de conductor/fase aéreo rural - Aislado - Cobre - calibre 2/0 | 19.774.000 |
| N1L87 | km de conductor/fase aéreo rural - Aislado - Cobre - calibre 3/0 | 22.539.300 |
| N1L88 | km de conductor/fase aéreo rural - Aislado - Cobre - calibre 4/0 | 25.304.700 |
| N1L89 | km de conductor/fase aéreo rural - Aislado - Cobre - calibre 250 | 28.070.000 |
| N1L90 | km de conductor/fase aéreo rural - Aislado - Cobre - calibre 6/0 | 30.835.300 |
| N1L91 | km de conductor/fase aéreo rural - Aislado - Cobre - calibre 350 | 33.600.700 |
| N1L92 | km de conductor/fase aéreo rural - Aislado - Cobre - calibre 400 | 36.366.000 |
| N1L93 | km de conductor/fase aéreo rural - Aislado - Cobre - calibre 500 | 39.131.400 |
| N1L94 | km de conductor/fase aéreo rural - Desnudo - Aluminio - calibre 14 | 926.600 |
| N1L95 | km de conductor/fase aéreo rural - Desnudo - Aluminio - calibre 12 | 1.098.400 |
| N1L96 | km de conductor/fase aéreo rural - Desnudo - Aluminio - calibre 10 | 1.270.200 |
| N1L97 | km de conductor/fase aéreo rural - Desnudo - Aluminio - calibre 8 | 1.441.900 |
| N1L98 | km de conductor/fase aéreo rural - Desnudo - Aluminio - calibre 6 | 1.613.700 |
| N1L99 | km de conductor/fase aéreo rural - Desnudo - Aluminio - calibre 4 | 1.785.500 |
| N1L100 | km de conductor/fase aéreo rural - Desnudo - Aluminio - calibre 2 | 1.957.200 |
| N1L101 | km de conductor/fase aéreo rural - Desnudo - Aluminio - calibre 1 | 2.129.000 |
| N1L102 | km de conductor/fase aéreo rural - Desnudo - Aluminio - calibre 1/0 | 2.301.200 |
| N1L103 | km de conductor/fase aéreo rural - Desnudo - Aluminio - calibre 2/0 | 2.473.000 |
| N1L104 | km de conductor/fase aéreo rural - Desnudo - Aluminio - calibre 3/0 | 2.644.800 |
| N1L105 | km de conductor/fase aéreo rural - Desnudo - Aluminio - calibre 4/0 | 2.816.500 |
| N1L106 | km de conductor/fase aéreo rural - Desnudo - Aluminio - calibre 6/0 | 2.988.300 |
| N1L107 | km de conductor/fase aéreo rural - Desnudo - Aluminio - calibre 180 | 3.160.100 |
| N1L108 | km de conductor/fase aéreo rural - Desnudo - Aluminio - calibre 336 | 3.331.800 |
| N1L109 | km de conductor/fase aéreo rural - Desnudo - Cobre - calibre < 10 | 1.185.300 |
| N1L110 | km de conductor/fase aéreo rural - Desnudo - Cobre - calibre 8 | 1.808.000 |
| N1L111 | km de conductor/fase aéreo rural - Desnudo - Cobre - calibre 6 | 4.235.200 |
| N1L112 | km de conductor/fase aéreo rural - Desnudo - Cobre - calibre 4 | 6.662.300 |
| N1L113 | km de conductor/fase aéreo rural - Desnudo - Cobre - calibre 2 | 9.089.500 |
| N1L114 | km de conductor/fase aéreo rural - Desnudo - Cobre - calibre 1 | 11.516.600 |
| N1L115 | km de conductor/fase aéreo rural - Desnudo - Cobre - calibre 1/0 | 13.944.200 |
| N1L116 | km de conductor/fase aéreo rural - Desnudo - Cobre - calibre 2/0 | 16.371.300 |
| N1L117 | km de conductor/fase aéreo rural - Desnudo - Cobre - calibre 6/0 | 18.798.500 |
| N1L118 | km de conductor/fase aéreo rural - Desnudo - Cobre - calibre 750 | 21.225.700 |
| N1L119 | km de conductor/fase aéreo rural - Trenzado - Aluminio - calibre < 6 | 3.338.500 |
| N1L120 | km de conductor/fase aéreo rural - Trenzado - Aluminio - calibre 4 | 5.763.800 |
| N1L121 | km de conductor/fase aéreo rural - Trenzado - Aluminio - calibre 2 | 8.189.000 |
| N1L122 | km de conductor/fase aéreo rural - Trenzado - Aluminio - calibre 1/0 | 10.614.200 |
| N1L123 | km de conductor/fase aéreo rural - Trenzado - Aluminio - calibre 2/0 | 13.039.500 |
| N1L124 | km de conductor/fase aéreo rural - Trenzado - Aluminio - calibre 4/0 | 15.464.700 |
| N1L125 | km de conductor/fase aéreo rural - Trenzado - Cobre - calibre 12 | 3.988.800 |
| N1L126 | km de conductor/fase aéreo rural - Trenzado - Cobre - calibre 10 | 5.628.600 |
| N1L127 | km de conductor/fase aéreo rural - Trenzado - Cobre - calibre 8 | 8.498.200 |
| N1L128 | km de conductor/fase aéreo rural - Trenzado - Cobre - calibre 6 | 13.472.800 |
| N1L129 | km de conductor/fase aéreo rural - Trenzado - Cobre - calibre 4 | 23.248.800 |
| N1L130 | km de conductor/fase aéreo rural - Trenzado - Cobre - calibre 2 | 33.024.800 |
| N1L131 | km de conductor/fase aéreo rural - Trenzado - Cobre - calibre 1/0 | 42.800.800 |
| N1L132 | km de conductor/fase aéreo rural - Trenzado - Cobre - calibre 2/0 | 52.576.800 |
Tabla 28. Costo conductores nivel de tensión 1 para red subterránea
| UC | DESCRIPCIÓN | VALOR INSTALADO[$/dic 2017] |
| N1L133 | km de conductor/fase subterráneo urbano - Aislado - Aluminio - calibre < 6 | 702.300 |
| N1L134 | km de conductor/fase subterráneo urbano - Aislado - Aluminio - calibre 4 | 1.294.800 |
| N1L135 | km de conductor/fase subterráneo urbano - Aislado - Aluminio - calibre 2 | 1.887.200 |
| N1L136 | km de conductor/fase subterráneo urbano - Aislado - Aluminio - calibre 1 | 2.479.700 |
| N1L137 | km de conductor/fase subterráneo urbano - Aislado - Aluminio - calibre 1/0 | 3.072.400 |
| N1L138 | km de conductor/fase subterráneo urbano - Aislado - Aluminio - calibre 2/0 | 3.664.800 |
| N1L139 | km de conductor/fase subterráneo urbano - Aislado - Aluminio - calibre 3/0 | 4.257.300 |
| N1L140 | km de conductor/fase subterráneo urbano - Aislado - Aluminio - calibre 4/0 | 4.849.800 |
| N1L141 | km de conductor/fase subterráneo urbano - Aislado - Aluminio - calibre 250 | 5.442.200 |
| N1L142 | km de conductor/fase subterráneo urbano - Aislado - Aluminio - calibre 6/0 | 6.034.700 |
| N1L143 | km de conductor/fase subterráneo urbano - Aislado - Aluminio - calibre 350 | 6.627.200 |
| N1L144 | km de conductor/fase subterráneo urbano - Aislado - Cobre - calibre 12 | 1.148.900 |
| N1L145 | km de conductor/fase subterráneo urbano - Aislado - Cobre - calibre 10 | 1.758.000 |
| N1L146 | km de conductor/fase subterráneo urbano - Aislado - Cobre - calibre 8 | 3.180.300 |
| N1L147 | km de conductor/fase subterráneo urbano - Aislado - Cobre - calibre 6 | 5.945.700 |
| N1L148 | km de conductor/fase subterráneo urbano - Aislado - Cobre - calibre 4 | 8.711.000 |
| N1L149 | km de conductor/fase subterráneo urbano - Aislado - Cobre - calibre 2 | 11.476.300 |
| N1L150 | km de conductor/fase subterráneo urbano - Aislado - Cobre - calibre 1 | 14.241.700 |
| N1L151 | km de conductor/fase subterráneo urbano - Aislado - Cobre - calibre 1/0 | 17.007.200 |
| N1L152 | km de conductor/fase subterráneo urbano - Aislado - Cobre - calibre 2/0 | 19.772.500 |
| N1L153 | km de conductor/fase subterráneo urbano - Aislado - Cobre - calibre 3/0 | 22.537.900 |
| N1L154 | km de conductor/fase subterráneo urbano - Aislado - Cobre - calibre 4/0 | 25.303.200 |
| N1L155 | km de conductor/fase subterráneo urbano - Aislado - Cobre - calibre 250 | 28.068.600 |
| N1L156 | km de conductor/fase subterráneo urbano - Aislado - Cobre - calibre 6/0 | 30.833.900 |
| N1L157 | km de conductor/fase subterráneo urbano - Aislado - Cobre - calibre 350 | 33.599.300 |
| N1L158 | km de conductor/fase subterráneo urbano - Aislado - Cobre - calibre 400 | 36.364.600 |
| N1L159 | km de conductor/fase subterráneo urbano - Aislado - Cobre - calibre 500 | 39.129.900 |
| N1L160 | km de conductor/fase subterráneo urbano - Desnudo - Aluminio - calibre 14 | 925.400 |
| N1L161 | km de conductor/fase subterráneo urbano - Desnudo - Aluminio - calibre 12 | 1.097.200 |
| N1L162 | km de conductor/fase subterráneo urbano - Desnudo - Aluminio - calibre 10 | 1.269.000 |
| N1L163 | km de conductor/fase subterráneo urbano - Desnudo - Aluminio - calibre 8 | 1.440.700 |
| N1L164 | km de conductor/fase subterráneo urbano - Desnudo - Aluminio - calibre 6 | 1.612.500 |
| N1L165 | km de conductor/fase subterráneo urbano - Desnudo - Aluminio - calibre 4 | 1.784.300 |
| N1L166 | km de conductor/fase subterráneo urbano - Desnudo - Aluminio - calibre 2 | 1.956.100 |
| N1L167 | km de conductor/fase subterráneo urbano - Desnudo - Aluminio - calibre 1 | 2.127.800 |
| N1L168 | km de conductor/fase subterráneo urbano - Desnudo - Aluminio - calibre 1/0 | 2.299.800 |
| N1L169 | km de conductor/fase subterráneo urbano - Desnudo - Aluminio - calibre 2/0 | 2.471.600 |
| N1L170 | km de conductor/fase subterráneo urbano - Desnudo - Aluminio - calibre 3/0 | 2.643.300 |
| N1L171 | km de conductor/fase subterráneo urbano - Desnudo - Aluminio - calibre 4/0 | 2.815.100 |
| N1L172 | km de conductor/fase subterráneo urbano - Desnudo - Aluminio - calibre 6/0 | 2.986.900 |
| N1L173 | km de conductor/fase subterráneo urbano - Desnudo - Aluminio - calibre 180 | 3.158.600 |
| N1L174 | km de conductor/fase subterráneo urbano - Desnudo - Aluminio - calibre 336 | 3.330.400 |
| N1L175 | km de conductor/fase subterráneo urbano - Desnudo - Cobre - calibre < 10 | 1.184.100 |
| N1L176 | km de conductor/fase subterráneo urbano - Desnudo - Cobre - calibre 8 | 1.806.800 |
| N1L177 | km de conductor/fase subterráneo urbano - Desnudo - Cobre - calibre 6 | 4.234.000 |
| N1L178 | km de conductor/fase subterráneo urbano - Desnudo - Cobre - calibre 4 | 6.661.100 |
| N1L179 | km de conductor/fase subterráneo urbano - Desnudo - Cobre - calibre 2 | 9.088.300 |
| N1L180 | km de conductor/fase subterráneo urbano - Desnudo - Cobre - calibre 1 | 11.515.400 |
| N1L181 | km de conductor/fase subterráneo urbano - Desnudo - Cobre - calibre 1/0 | 13.942.800 |
| N1L182 | km de conductor/fase subterráneo urbano - Desnudo - Cobre - calibre 2/0 | 16.369.900 |
| N1L183 | km de conductor/fase subterráneo urbano - Desnudo - Cobre - calibre 6/0 | 18.797.100 |
| N1L184 | km de conductor/fase subterráneo urbano - Desnudo - Cobre - calibre 750 | 21.224.200 |
| N1L185 | km de conductor/fase subterráneo urbano - Trenzado - Aluminio - calibre < 6 | 3.335.900 |
| N1L186 | km de conductor/fase subterráneo urbano - Trenzado - Aluminio - calibre 4 | 5.761.200 |
| N1L187 | km de conductor/fase subterráneo urbano - Trenzado - Aluminio - calibre 2 | 8.186.400 |
| N1L188 | km de conductor/fase subterráneo urbano - Trenzado - Aluminio - calibre 1/0 | 10.611.700 |
| N1L189 | km de conductor/fase subterráneo urbano - Trenzado - Aluminio - calibre 2/0 | 13.036.900 |
| N1L190 | km de conductor/fase subterráneo urbano - Trenzado - Aluminio - calibre 4/0 | 15.462.200 |
| N1L191 | km de conductor/fase subterráneo urbano - Trenzado - Cobre - calibre 12 | 3.986.300 |
| N1L192 | km de conductor/fase subterráneo urbano - Trenzado - Cobre - calibre 10 | 5.626.000 |
| N1L193 | km de conductor/fase subterráneo urbano - Trenzado - Cobre - calibre 8 | 8.495.700 |
| N1L194 | km de conductor/fase subterráneo urbano - Trenzado - Cobre - calibre 6 | 13.470.200 |
| N1L195 | km de conductor/fase subterráneo urbano - Trenzado - Cobre - calibre 4 | 23.246.200 |
| N1L196 | km de conductor/fase subterráneo urbano - Trenzado - Cobre - calibre 2 | 33.022.200 |
| N1L197 | km de conductor/fase subterráneo urbano - Trenzado - Cobre - calibre 1/0 | 42.798.200 |
| N1L198 | km de conductor/fase subterráneo urbano - Trenzado - Cobre - calibre 2/0 | 52.574.200 |
Tabla 29. Costo instalado de canalizaciónes ($ dic 2017)
| UC | DESCRIPCIÓN | VALOR INSTALADO [$/m dic 2017] |
| N1C5 | Canalización con 1 ducto | 124.000 |
| N1C6 | Canalización con 2 ductos | 124.000 |
| N1C7 | Canalización con 3 ductos | 185.000 |
| N1C8 | Canalización con 4 ductos | 185.000 |
| N1C9 | Canalización con 5 ductos | 245.000 |
| N1C10 | Canalización con 6 ductos | 245.000 |
| N1C11 | Canalización con 7 ductos | 369.000 |
| N1C12 | Canalización con 8 ductos | 369.000 |
| N1C13 | Canalización con 9 ductos | 430.000 |
| N1C14 | Canalización con 10 ductos | 430.000 |
| N1C15 | Canalización con 11 ductos | 490.000 |
| N1C16 | Canalización con 12 ductos | 490.000 |
| N1C17 | Canalización con 13 ductos | 614.000 |
| N1C18 | Canalización con 14 ductos | 614.000 |
| N1C19 | Canalización con 15 ductos | 675.000 |
| N1C20 | Canalización con 16 ductos | 675.000 |
| N1C21 | Canalización con 17 ductos | 735.000 |
| N1C22 | Canalización con 18 ductos | 735.000 |
| N1C23 | Canalización con 20 ductos | 859.000 |
| N1C24 | Canalización con 24 ductos | 980.000 |
Tabla 30. Costo otros elementos ($ Dic 2017)
| DESCRIPCIÓN | VALOR INSTALADO [$/m dic 2017] |
| Palomilla | 25.971 |
| Puesta a tierra | 154.040 |
| Caja derivación acometidas | 153.498 |
Tabla 31. Costo instalado de transformadores urbanos de nivel de tensión 1
| UC | DESCRIPCIÓN | VALOR INSTALADO [$ Dic 2017] |
| N1T1 | Transformador Aéreo Monofásico urbano de 5 kVA | 5.087.000 |
| N1T2 | Transformador Aéreo Monofásico urbano de 7,5 kVA | 5.487.000 |
| N1T3 | Transformador Aéreo Monofásico urbano de 10 kVA | 5.887.000 |
| N1T4 | Transformador Aéreo Monofásico urbano de 15 kVA | 6.286.000 |
| N1T5 | Transformador Aéreo Monofásico urbano de 25 kVA | 6.686.000 |
| N1T6 | Transformador Aéreo Monofásico urbano de 37,5 kVA | 7.133.000 |
| N1T7 | Transformador Aéreo Monofásico urbano de 50 kVA | 7.532.000 |
| N1T8 | Transformador Aéreo Monofásico urbano de 75 kVA | 7.932.000 |
| N1T9 | Transformador Aéreo Trifásico urbano de 15 kVA | 5.678.000 |
| N1T10 | Transformador Aéreo Trifásico urbano de 20 kVA | 6.934.000 |
| N1T11 | Transformador Aéreo Trifásico urbano de 30 kVA | 8.190.000 |
| N1T12 | Transformador Aéreo Trifásico urbano de 45 kVA | 9.446.000 |
| N1T13 | Transformador Aéreo Trifásico urbano de 50 kVA | 10.702.000 |
| N1T14 | Transformador Aéreo Trifásico urbano de 75 kVA | 11.958.000 |
| N1T15 | Transformador Aéreo Trifásico urbano de 112,5 kVA | 13.265.000 |
| N1T16 | Transformador Aéreo Trifásico urbano de 150 kVA | 14.521.000 |
| N1T17 | Transformador Pedestal Trifásico urbano de 45 kVA | 36.995.000 |
| N1T18 | Transformador Pedestal Trifásico urbano de 75 kVA | 39.854.000 |
| N1T19 | Transformador Pedestal Trifásico urbano de 112,5 kVA | 42.713.000 |
| N1T20 | Transformador Pedestal Trifásico urbano de 225 kVA | 45.572.000 |
| N1T21 | Transformador Pedestal Trifásico urbano de 250 kVA | 48.431.000 |
| N1T22 | Transformador Pedestal Trifásico urbano de 300 kVA | 51.290.000 |
| N1T23 | Transformador Pedestal Trifásico urbano de 400 kVA | 54.149.000 |
| N1T24 | Transformador Pedestal Trifásico urbano de 500 kVA | 57.008.000 |
| N1T25 | Transformador Pedestal Trifásico urbano de 630 kVA | 60.332.000 |
| N1T26 | Transformador Pedestal Trifásico urbano de 1000 kVA | 63.191.000 |
| N1T27 | Transformador Subestación Trifásico urbano de 45 kVA | 74.095.000 |
| N1T28 | Transformador Subestación Trifásico urbano de 75 kVA | 75.852.000 |
| N1T29 | Transformador Subestación Trifásico urbano de 112,5 kVA | 78.049.000 |
| N1T30 | Transformador Subestación Trifásico urbano de 150 kVA | 80.246.000 |
| N1T31 | Transformador Subestación Trifásico urbano de 225 kVA | 84.640.000 |
| N1T32 | Transformador Subestación Trifásico urbano de 250 kVA | 86.104.000 |
| N1T33 | Transformador Subestación Trifásico urbano de 300 kVA | 89.033.000 |
| N1T34 | Transformador Subestación Trifásico urbano de 400 kVA | 94.891.000 |
| N1T35 | Transformador Subestación Trifásico urbano de 500 kVA | 100.749.000 |
| N1T36 | Transformador Subestación Trifásico urbano de 630 kVA | 114.465.000 |
| N1T37 | Transformador Subestación Trifásico urbano de 1000 kVA | 136.140.000 |
Tabla 32. Costo instalado de transformadores rurales de nivel de tensión 1
| UC | DESCRIPCIÓN | VALOR INSTALADO [$/m dic 2017] |
| N1T38 | Transformador Aéreo Monofásico rural de 5 kVA | 5.658.000 |
| N1T39 | Transformador Aéreo Monofásico rural de 7,5 kVA | 6.058.000 |
| N1T40 | Transformador Aéreo Monofásico rural de 10 kVA | 6.458.000 |
| N1T41 | Transformador Aéreo Monofásico rural de 15 kVA | 6.857.000 |
| N1T42 | Transformador Aéreo Monofásico rural de 25 kVA | 7.257.000 |
| N1T43 | Transformador Aéreo Monofásico rural de 37,5 kVA | 7.726.000 |
| N1T44 | Transformador Aéreo Monofásico rural de 50 kVA | 8.125.000 |
| N1T45 | Transformador Aéreo Monofásico rural de 75 kVA | 8.525.000 |
| N1T46 | Transformador Aéreo Trifásico rural de 15 kVA | 6.255.000 |
| N1T47 | Transformador Aéreo Trifásico rural de 20 kVA | 7.511.000 |
| N1T48 | Transformador Aéreo Trifásico rural de 30 kVA | 8.767.000 |
| N1T49 | Transformador Aéreo Trifásico rural de 45 kVA | 10.023.000 |
| N1T50 | Transformador Aéreo Trifásico rural de 50 kVA | 11.279.000 |
| N1T51 | Transformador Aéreo Trifásico rural de 75 kVA | 12.535.000 |
| N1T52 | Transformador Aéreo Trifásico rural de 112,5 kVA | 13.930.000 |
| N1T53 | Transformador Aéreo Trifásico rural de 150 kVA | 15.186.000 |
| N1T54 | Transformador Pedestal Trifásico rural de 45 kVA | 36.995.000 |
| N1T55 | Transformador Pedestal Trifásico rural de 75 kVA | 39.854.000 |
| N1T56 | Transformador Pedestal Trifásico rural de 112,5 kVA | 42.713.000 |
| N1T57 | Transformador Pedestal Trifásico rural de 225 kVA | 45.572.000 |
| N1T58 | Transformador Pedestal Trifásico rural de 250 kVA | 48.431.000 |
| N1T59 | Transformador Pedestal Trifásico rural de 300 kVA | 51.290.000 |
| N1T60 | Transformador Pedestal Trifásico rural de 400 kVA | 54.149.000 |
| N1T61 | Transformador Pedestal Trifásico rural de 500 kVA | 57.008.000 |
| N1T62 | Transformador Pedestal Trifásico rural de 630 kVA | 60.332.000 |
| N1T63 | Transformador Pedestal Trifásico rural de 1000 kVA | 63.191.000 |
| N1T64 | Transformador Subestación Trifásico rural de 45 kVA | 74.095.000 |
| N1T65 | Transformador Subestación Trifásico rural de 75 kVA | 75.852.000 |
| N1T66 | Transformador Subestación Trifásico rural de 112,5 kVA | 78.049.000 |
| N1T67 | Transformador Subestación Trifásico rural de 150 kVA | 80.246.000 |
| N1T68 | Transformador Subestación Trifásico rural de 225 kVA | 84.640.000 |
| N1T69 | Transformador Subestación Trifásico rural de 250 kVA | 86.104.000 |
| N1T70 | Transformador Subestación Trifásico rural de 300 kVA | 89.033.000 |
| N1T71 | Transformador Subestación Trifásico rural de 400 kVA | 94.891.000 |
| N1T72 | Transformador Subestación Trifásico rural de 500 kVA | 100.749.000 |
| N1T73 | Transformador Subestación Trifásico rural de 630 kVA | 114.465.000 |
| N1T74 | Transformador Subestación Trifásico rural de 1000 kVA | 136.140.000 |
Las cajas de derivación de acometidas se reconocen únicamente en redes áereas con conductor trenzado, se asocia una sola caja por transformador
14.4 CATEGORÍAS DE UNIDADES CONSTRUCTIVAS. <Numeral modificado por el artículo 25 de la Resolución 85 de 2018. El nuevo texto es el siguiente:>
Para la clasificación de las UC de los niveles de tensión 4, 3 y 2, establecidas en este capítulo, se deben utilizar las siguientes categorías:
Tabla 33. Unidades constructivas de la categoría de transformadores de potencia
| CATEGORÍA | DESCRIPCIÓN | NIVEL DE TENSIÓN | VIDA ÚTIL | UC ASOCIADAS |
| 1 | Transformadores de potencia | 4 | 35 | N6T1 a N6T3, N5T1 a N5T25 y N4T1 a N4T19 |
| 1 | Transformadores de potencia | 3 | 35 | N3T1 a N3T7 |
Tabla 34. Unidades constructivas de la categoría de compensación reactiva
| CATEGORÍA | DESCRIPCIÓN | NIVEL DE TENSIÓN | VIDA ÚTIL | UC ASOCIADAS |
| 2 | Compensación reactiva | 4 | 35 | Unidad constructiva especial |
| 2 | Compensación reactiva | 3 | 35 | Unidad constructiva especial |
| 2 | Compensación reactiva | 2 | 35 | Unidad constructiva especial |
Tabla 35. Unidades constructivas de la categoría de bahías y celdas
| CATEGORÍA | DESCRIPCIÓN | NIVEL DE TENSIÓN | VIDA ÚTIL | UC ASOCIADAS |
| 3 | Bahías y celdas | 4 | 35 | N5S2, N5S4, N5S6, N5S8, N5S10, N5S12, N5S14, N5S16, N4S1 a N4S16, N4S47 a N4S56, y N4S65 a N4S66 |
| 3 | Bahías y celdas | 3 | 35 | N3S1 a N3S20 y N3S61 a N3S62 |
| 3 | Bahías y celdas | 2 | 35 | N2S1 a N2S12 y N2S15 a N2S18 |
Tabla 36. Unidades constructivas de la categoría de equipos de control, protección y comunicaciones
| CATEGORÍA | DESCRIPCIÓN | NIVEL DE TENSIÓN | VIDA ÚTIL | UC ASOCIADAS |
| 4 | Equipos de control y comunicaciones | 4 | 10 | N4P1 a N4P6 y N4EQ4 |
| 4 | Equipos de control y comunicaciones | 3 | 10 | N3P1 a N3P6, N3EQ1 y N3EQ14 |
| 4 | Equipos de control y comunicaciones | 2 | 10 | N2P1, N2EQ3, N2EQ10, y N2EQ34 |
Tabla 37. Unidades constructivas de la categoría de equipos de subestación
| CATEGORÍA | DESCRIPCIÓN | NIVEL DE TENSIÓN | VIDA ÚTIL | UC ASOCIADAS |
| 5 | Equipos de subestación | 4 | 35 | N4EQ2 |
| 5 | Equipos de subestación | 3 | 35 | N3EQ10 a N3EQ11 y N3EQ22, a N3EQ27 |
| 5 | Equipos de subestación | 2 | 35 | N2EQ36 a N2EQ40 |
Tabla 38. Unidades constructivas de la categoría de otros activos de subestación
| CATEGORÍA | DESCRIPCIÓN | NIVEL DE TENSIÓN | VIDA ÚTIL | UC ASOCIADAS |
| 6 | Otros activos subestación | 4 | 45 | N4S20 a N4S46, N4S57 a N4S64 |
| 6 | Otros activos subestación | 3 | 45 | N3S24 a N3S62 |
| 6 | Otros activos subestación | 2 | 45 | N2S20 a N2S28 y N2S60 a N2S64 |
Tabla 39. Unidades constructivas de la categoría de líneas aéreas
| CATEGORÍA | DESCRIPCIÓN | NIVEL DE TENSIÓN | VIDA ÚTIL | UC ASOCIADAS |
| 7 | Líneas aéreas | 4 | 45 | N4L60 a N4L75, N4L80 a N4L85, N4L89, N4L91 a N4L94 |
| 7 | Líneas aéreas | 3 | 45 | N3L60 a N3L81 a N3L84a N3L112, N3L124 a N3L128 |
| 7 | Líneas aéreas | 2 | 45 | N2L70 a N2L75, N2L80 a N2L106, N2L120 a N2L124 y N2L136 a N2L139. |
Tabla 40. Unidades constructivas de la categoría de líneas subterráneas
| CATEGORÍA | DESCRIPCIÓN | NIVEL DE TENSIÓN | VIDA ÚTIL | UC ASOCIADAS |
| 8 | Líneas subterráneas | 4 | 45 | N4L76 a N4L79 y N4L86 a N4L88 |
| 8 | Líneas subterráneas | 3 | 45 | N3L82 a N3L83, N3L102 a N3L123 |
| 8 | Líneas subterráneas | 2 | 45 | N2L76 a N2L79, N2L107 a N2L119 y N2L125 a N2L135 |
Tabla 41. Unidades constructivas de la categoría de equipos de línea
| CATEGORÍA | DESCRIPCIÓN | NIVEL DE TENSIÓN | VIDA ÚTIL | UC ASOCIADAS |
| 9 | Equipos de línea | 3 | 45 | N3EQ2 a N3EQ9 y N3EQ22 a N3EQ25 |
| 9 | Equipos de línea | 2 | 45 | N2EQ1, N2EQ2, N2EQ4 a N2EQ9, N2EQ11 a N2EQ16 N2EQ18 a N2EQ31 y N2EQ35 |
Tabla 42. Unidades constructivas de la categoría de centros de control
| CATEGORÍA | DESCRIPCIÓN | NIVEL DE TENSIÓN | VIDA ÚTIL | UC ASOCIADAS |
| 10 | Centro de control | - | 10 | N0P1 a N0P13 |
Para la clasificaciòn de los circuitos de nivel de tensiòn 1 se deben utilizar las siguientes categorìas:
Tabla 43. Clasificación de activos de nivel de tensión 1
| CATEGORÍA | DESCRIPCIÓN | NIVEL | VIDA ÚTIL GRUPO | UC ASOCIADAS |
| 11 | Transformadores de distribución | 1 | 25 | N1T1 a N1T74 |
| 12 | Redes de distribución | 1 | 35 | N1L1 a N1L132, N1L133 a N1L198, N1P1 a N1P96 N1C1 a N1C4 y N1C5 a N1C24 |
CAPITULO 15. UC PARA VALORACIÓN DE ACTIVOS BRA INICIAL.
Para la valoración de los activos construidos a partir de enero de 2008 y hasta la fecha de corte, que hacen parte de la BRA inicial, se utilizan las UC y los valores definidos en este capítulo.
15.1. UC DE NIVELES DE TENSIÓN 4, 3 Y 2.
En este listado se establecen los costos para las UC de los niveles de tensión 4, 3 y 2
Tabla 44. UC de modúlos de transformador de conexión al STN
| UC | DESCRIPCIÓN UNIDAD CONSTRUCTIVA | VALOR INSTALADO [$Dic 2007] |
| N5S1 | Bahía de transformador, doble barra más seccionador de transferencia, 500 kV | 2.942.854.000 |
| N5S2 | Bahía de transformador, barra sencilla, 230 kV | 1.120.491.000 |
| N5S3 | Bahía de transformador, barra principal y transferencia, 230 kV | 1.231.406.000 |
| N5S4 | Bahía de transformador, doble barra, 230 kV | 1.246.422.000 |
| N5S5 | Bahía de transformador, doble barra más transferencia, 230 kV | 1.381.486.000 |
| N5S6 | Bahía de transformador, doble barra más seccionador by pass, 230 kV | 1.420.507.000 |
| N5S7 | Módulo común activos de conexión al STN | 76.393.000 |
| N5S8 | Centro de supervisión y control para activos de conexión STN | 157.346.000 |
| N5S9 | Bahía de transformador, doble barra encapsulada, 230 kV | 2.158.697.000 |
| N5S10 | Servicios auxiliares de conexión al STN | 152.035.000 |
Tabla 45. UC de equipos de subestación de nivel de tensión 4
| UC | DESCRIPCIÓN UNIDAD CONSTRUCTIVA | VALOR INSTALADO [$Dic 2007] |
| N4S1 | Bahía de línea - configuración barra sencilla - tipo convencional | 645.516.000 |
| N4S2 | Bahía de transformador - configuración barra sencilla - tipo convencional | 568.989.000 |
| N4S3 | Bahía de línea - configuración barra doble - tipo convencional | 701.954.000 |
| N4S4 | Bahía de transformador - configuración barra doble - tipo convencional | 625.434.000 |
| N4S5 | Bahía de línea - configuración barra doble con by pass - tipo convencional | 808.493.000 |
| N4S6 | Bahía de transformador - barra doble con by pass - tipo convencional | 726.570.000 |
| N4S7 | Bahía de línea - configuración barra principal y transferencia - tipo convencional | 700.846.000 |
| N4S8 | Bahía de transformador - barra principal y transferencia convencional | 624.348.000 |
| N4S9 | Bahía de línea - configuración interruptor y medio - tipo convencional | 876.747.000 |
| N4S10 | Bahía de transformador - configuración interruptor y medio - tipo convencional | 825.629.000 |
| N4S11 | Bahía de línea - configuración en anillo - tipo convencional | 695.866.000 |
| N4S12 | Bahía de transformador - configuración en anillo - tipo convencional | 644.748.000 |
| N4S13 | Bahía de línea - configuración barra sencilla - tipo encapsulada (SF6) | 1.809.964.000 |
| N4S14 | Bahía de transformador - configuración barra sencilla - tipo encapsulada(SF6) | 1.739.851.000 |
| N4S15 | Bahía de línea - configuración barra doble - tipo encapsulada (SF6) | 1.844.363.000 |
| N4S16 | Bahía de transformador - configuración barra doble - tipo encapsulada(SF6) | 1.774.176.000 |
| N4S17 | Bahía de maniobra - (acople - transferencia o seccionamiento) - tipo convencional | 534.030.000 |
| N4S18 | Bahía de maniobra - tipo encapsulada (SF6) | 1.304.904.000 |
| N4S19 | Protección diferencial de barras de una/dos/tres/cuatro zonas | 81.322.000 |
| N4S20 | Módulo de barraje tipo 1 - configuración barra sencilla - tipo convencional | 91.189.000 |
| N4S21 | Módulo de barraje tipo 2 - configuración barra sencilla - tipo convencional | 124.021.000 |
| N4S22 | Módulo de barraje tipo 3 - configuración barra sencilla - tipo convencional | 124.813.000 |
| N4S23 | Módulo de barraje tipo 4 - configuración barra sencilla - tipo convencional | 160.536.000 |
| N4S24 | Módulo de barraje tipo 1 - configuración barra doble - tipo convencional | 155.379.000 |
| N4S25 | Módulo de barraje tipo 2 - configuración barra doble - tipo convencional | 287.361.000 |
| N4S26 | Módulo de barraje tipo 3 - configuración barra doble - tipo convencional | 379.501.000 |
| N4S27 | Módulo de barraje tipo 4 - configuración barra doble - tipo convencional | 453.562.000 |
| N4S28 | Módulo de barraje tipo 1 - barra doble con by pass - tipo convencional | 166.178.000 |
| N4S29 | Módulo de barraje tipo 2 - barra doble con by pass - tipo convencional | 314.234.000 |
| N4S30 | Módulo de barraje tipo 3 - barra doble con by pass - tipo convencional | 422.505.000 |
| N4S31 | Módulo de barraje tipo 4 - barra doble con by pass - tipo convencional | 517.893.000 |
| N4S32 | Módulo de barraje tipo 1 - barra principal y transferencia - convencional | 155.477.000 |
| N4S33 | Módulo de barraje tipo 2 - barra principal y transferencia - convencional | 287.459.000 |
| N4S34 | Módulo de barraje tipo 3 - barra principal y transferencia - convencional | 379.456.000 |
| N4S35 | Módulo de barraje tipo 4 - barra principal y transferencia - convencional | 464.169.000 |
| N4S36 | Módulo de barraje tipo 2 - configuración interruptor y medio - tipo convencional | 198.189.000 |
| N4S37 | Módulo de barraje tipo 3 - configuración interruptor y medio - tipo convencional | 230.400.000 |
| N4S38 | Módulo de barraje tipo 4 - configuración interruptor y medio - tipo convencional | 296.534.000 |
| N4S39 | Módulo de barraje tipo 2 - configuración en anillo - tipo convencional | 129.189.000 |
| N4S40 | Módulo de barraje tipo 3 - configuración en anillo - tipo convencional | 148.235.000 |
| N4S41 | Módulo común tipo 1 (1 a 3 bahías) – convencional/encapsulada | 519.313.000 |
| N4S42 | Módulo común tipo 2 (4 a 6 bahías) – convencional/encapsulada | 1.067.222.000 |
| N4S43 | Módulo común tipo 3 (7 a 9 bahías) – convencional/encapsulada | 1.583.739.000 |
| N4S44 | Módulo común tipo 4 (más 9 bahías) – convencional/encapsulada | 1.959.991.000 |
| N4S45 | Sistema de control de la subestación (S/E 115 kV/34.5 kV) o (S/E 115kV/ 13.8 kV) | 112.285.000 |
| N4S46 | Campo móvil encapsulado nivel 4 | 2.266.512.000 |
| N4S47 | Bahía de maniobra - (seccionamiento de barras sin interruptor) - tipo convencional | 92.754.000 |
| N4S48 | Casa de control nivel de tensión 4 ($/m2) | 2.000.000 |
Tabla 46. UC de equipos de subestación de nivel de tensión 3
| UC | DESCRIPCIÓN UNIDAD CONSTRUCTIVA | VALOR INSTALADO [$Dic 2007] |
| N3S1 | Bahía de línea - configuración barra sencilla -tipo convencional | 330.511.000 |
| N3S2 | Bahía de transformador - configuración barra sencilla - tipo convencional | 279.974.000 |
| N3S3 | Bahía de línea - configuración barra doble - tipo convencional | 362.691.000 |
| N3S4 | Bahía de transformador - configuración barra doble - tipo convencional | 288.396.000 |
| N3S5 | Bahía de línea - configuración barra principal y transferencia - tipo convencional | 362.791.000 |
| N3S6 | Bahía de transformador - barra principal y transferencia - convencional | 312.283.000 |
| N3S7 | Bahía de línea - configuración barra sencilla - tipo encapsulada (SF6) | 433.388.000 |
| N3S8 | Bahía de transformador - configuración barra sencilla - tipo encapsulada (SF6) | 386.204.000 |
| N3S9 | Bahía de línea - configuración barra doble - tipo encapsulada (SF6) | 433.981.000 |
| N3S10 | Bahía de transformador - configuración barra doble - tipo encapsulada (SF6) | 383.966.000 |
| N3S11 | Celda de línea - subestación tipo metalclad | 235.694.000 |
| N3S12 | Celda de transformador o acople - subestación tipo metalclad | 162.889.000 |
| N3S13 | Bahía de línea - subestación convencional reducida - tipo 1 | 228.601.000 |
| N3S14 | Bahía de transformador - subestación convencional reducida - tipo 1 | 137.296.000 |
| N3S15 | Bahía de línea - subestación convencional reducida - tipo 2 | 287.591.000 |
| N3S16 | Bahía de transformador - subestación convencional reducida - tipo 2 | 135.324.000 |
| N3S17 | Bahía de línea - subestación reducida | 84.812.000 |
| N3S18 | Bahía de transformador - subestación reducida | 83.685.000 |
| N3S19 | Bahía de acople - tipo convencional | 227.998.000 |
| N3S20 | Bahía de acople - tipo encapsulada (SF6) | 316.972.000 |
| N3S21 | Protección diferencial - barra sencilla - tipo 1 o tipo 2 | 31.649.000 |
| N3S22 | Protección diferencial - configuraciones diferentes a barra sencilla - tipo 1 o 2 | 33.563.000 |
| N3S23 | Protección diferencial - barraje partido | 58.762.000 |
| N3S24 | Módulo de barraje - barra sencilla - tipo convencional - tipo 1 | 30.596.000 |
| N3S25 | Módulo de barraje - barra sencilla - tipo convencional - tipo 2 | 43.404.000 |
| N3S26 | Módulo de barraje - barra sencilla - tipo convencional - tipo 3 | 56.738.000 |
| N3S27 | Módulo de barraje - barra doble - tipo 1 | 56.503.000 |
| N3S28 | Módulo de barraje - barra doble - tipo 2 | 83.130.000 |
| N3S29 | Módulo de barraje - barra doble - tipo 3 | 108.704.000 |
| N3S30 | Módulo de barraje - barra principal y transferencia - tipo convencional - tipo 1 | 56.503.000 |
| N3S31 | Módulo de barraje - barra principal y transferencia - tipo convencional - tipo 2 | 82.077.000 |
| N3S32 | Módulo de barraje - barra principal y transferencia - tipo convencional - tipo 3 | 108.704.000 |
| N3S33 | Módulo de barraje - convencional reducida | 14.388.000 |
| N3S34 | Módulo común - tipo 1 | 286.545.000 |
| N3S35 | Módulo común - tipo 2 | 367.658.000 |
| N3S36 | Módulo común - tipo 3 | 479.784.000 |
| N3S37 | Módulo común - tipo 4 | 149.978.000 |
| N3S38 | Sistemas de control de la subestación | 35.407.000 |
| N3S39 | Subestación móvil 30 MVA | 1.845.005.000 |
| N3S40 | Subestación móvil 15 MVA | 1.433.156.000 |
| N3S41 | Subestación móvil 21 MVA | 1.582.747.000 |
| N3S42 | Subestación móvil 7.5 MVA | 516.357.000 |
| N3S43 | Subestación simplificada (rural) | 87.615.000 |
| N3S44 | Casa de control nivel de tensión 3 ($/m2) | 2.000.000 |
Tabla 47, UC de equipos de subestación de nivel de tensión 2
| UC | DESCRIPCIÓN UNIDAD CONSTRUCTIVA | VALOR INSTALADO [$Dic 2007] |
| N2S1 | Bahía de línea - configuración barra sencilla - tipo convencional | 211.154.000 |
| N2S2 | Bahía de transformador - configuración barra sencilla - tipo convencional | 199.147.000 |
| N2S3 | Bahía de línea - configuración barra doble - tipo convencional | 231.263.000 |
| N2S4 | Bahía de transformador - configuración barra doble - tipo convencional | 219.263.000 |
| N2S5 | Bahía de línea - configuración barra principal y transferencia - tipo convencional | 226.892.000 |
| N2S6 | Bahía de transformador - barra principal y transferencia - convencional | 209.647.000 |
| N2S7 | Bahía de línea - subestación reducida | 72.416.000 |
| N2S8 | Bahía de acople o seccionamiento (configuraciones en que aplica) - convencional | 183.832.000 |
| N2S9 | Celda de salida de circuito - barra sencilla - subestación metalclad | 105.116.000 |
| N2S10 | Celda de llegada de transformador - barra sencilla - subestación metalclad | 109.152.000 |
| N2S11 | Celda de interconexión o de acople - barra sencilla - subestación metalclad | 97.783.000 |
| N2S12 | Celda de medida o auxiliares - barra sencilla - subestación metalclad | 97.011.000 |
| N2S13 | Gabinete protección de barras - subestación metalclad | 136.263.000 |
| N2S14 | Ducto de barras o cables llegada transformador - barra sencilla - se metalclad | 53.178.000 |
| N2S15 | Celda de salida de circuito - doble barra - subestación metalclad | 135.189.000 |
| N2S16 | Celda de llegada de transformador - doble barra - subestación metalclad | 115.716.000 |
| N2S17 | Celda de interconexión o de acople - doble barra - subestación metalclad | 103.865.000 |
| N2S18 | Celda de medida o auxiliares - doble barra - subestación metalclad | 102.405.000 |
| N2S19 | Ducto barras/cables llegada transformador - doble barra - subestación metalclad | 58.129.000 |
| N2S20 | Módulo de barraje - barra sencilla tipo 1 | 17.222.000 |
| N2S21 | Módulo de barraje - barra sencilla tipo 2 | 23.803.000 |
| N2S22 | Módulo de barraje - barra sencilla tipo 3 | 30.639.000 |
| N2S23 | Módulo de barraje - barra doble tipo 1 | 30.451.000 |
| N2S24 | Módulo de barraje - barra doble tipo 2 | 44.082.000 |
| N2S25 | Módulo de barraje - barra doble tipo 3 | 57.201.000 |
| N2S26 | Módulo de barraje - barra principal y transferencia - tipo 1 | 30.451.000 |
| N2S27 | Módulo de barraje - barra principal y transferencia - tipo 2 | 44.082.000 |
| N2S28 | Módulo de barraje - barra principal y transferencia - tipo 3 | 57.201.000 |
| N2S29 | Módulo de barraje - subestación reducida | 14.239.000 |
Tabla 48. UC de líneas de nivel de nivel de tensión 4
| UC | DESCRIPCIÓN UNIDAD CONSTRUCTIVA | VALOR INSTALADO [$Dic 2007] |
| N4L1 | km línea urbana - circuito sencillo - estructura concreto - conductor D-N4-1 | 203.914.000 |
| N4L2 | km línea urbana - circuito sencillo - estructura concreto - conductor D-N4-2 | 212.204.000 |
| N4L3 | km línea urbana - circuito sencillo - estructura concreto - conductor D-N4-3 | 231.231.000 |
| N4L4 | km línea urbana - circuito sencillo - estructura concreto - conductor D-N4-4 | 238.890.000 |
| N4L5 | km línea rural - circuito sencillo - estructura concreto - conductor D-N4-1 | 161.668.000 |
| N4L6 | km línea rural - circuito sencillo - estructura concreto - conductor D-N4-2 | 169.923.000 |
| N4L7 | km línea rural - circuito sencillo - estructura concreto - conductor D-N4-3 | 206.539.000 |
| N4L8 | km línea rural - circuito sencillo - estructura concreto - conductor D-N4-4 | 214.164.000 |
| N4L9 | km línea urbana - circuito doble - estructura concreto - conductor D-N4-1 | 257.809.000 |
| N4L10 | km línea urbana - circuito doble - estructura concreto - conductor D-N4-2 | 273.925.000 |
| N4L11 | km línea urbana - circuito doble - estructura concreto - conductor D-N4-3 | 309.580.000 |
| N4L12 | km línea urbana - circuito doble - estructura concreto - conductor D-N4-4 | 328.924.000 |
| N4L13 | km línea rural - circuito doble - estructura concreto - conductor D-N4-1 | 220.682.000 |
| N4L14 | km línea rural - circuito doble - estructura concreto - conductor D-N4-2 | 236.730.000 |
| N4L15 | km línea rural - circuito doble - estructura concreto - conductor D-N4-3 | 289.807.000 |
| N4L16 | km línea rural - circuito doble - estructura concreto - conductor D-N4-4 | 309.110.000 |
| N4L17 | km línea urbana - circuito sencillo - poste metálico - conductor D-N4-1 | 332.836.000 |
| N4L18 | km línea urbana - circuito sencillo - poste metálico - conductor D-N4-2 | 341.127.000 |
| N4L19 | km línea urbana - circuito sencillo - poste metálico - conductor D-N4-3 | 356.103.000 |
| N4L20 | km línea urbana - circuito sencillo - poste metálico - conductor D-N4-4 | 367.813.000 |
| N4L21 | km línea rural - circuito sencillo - poste metálico - conductor D-N4-1 | 253.880.000 |
| N4L22 | km línea rural - circuito sencillo - poste metálico - conductor D-N4-2 | 262.135.000 |
| N4L23 | km línea rural - circuito sencillo - poste metálico - conductor D-N4-3 | 277.069.000 |
| N4L24 | km línea rural - circuito sencillo - poste metálico - conductor D-N4-4 | 318.328.000 |
| N4L25 | km línea urbana - circuito doble - poste metálico - conductor D-N4-1 | 386.398.000 |
| N4L26 | km línea urbana - circuito doble - poste metálico - conductor D-N4-2 | 408.513.000 |
| N4L27 | km línea urbana - circuito doble - poste metálico - conductor D-N4-3 | 438.169.000 |
| N4L28 | km línea urbana - circuito doble - poste metálico - conductor D-N4-4 | 451.427.000 |
| N4L29 | km línea rural - circuito doble - poste metálico - conductor D-N4-1 | 312.431.000 |
| N4L30 | km línea rural - circuito doble - poste metálico - conductor D-N4-2 | 364.052.000 |
| N4L31 | km línea rural - circuito doble - poste metálico - conductor D-N4-3 | 393.625.000 |
| N4L32 | km línea rural - circuito doble - poste metálico - conductor D-N4-4 | 406.827.000 |
| N4L33 | km línea urbana - circuito sencillo - torre metálica - conductor D-N4-1 | 217.935.000 |
| N4L34 | km línea urbana - circuito sencillo - torre metálica - conductor D-N4-2 | 223.507.000 |
| N4L35 | km línea urbana - circuito sencillo - torre metálica - conductor D-N4-3 | 254.902.000 |
| N4L36 | km línea urbana - circuito sencillo - torre metálica - conductor D-N4-4 | 261.805.000 |
| N4L37 | km línea rural - circuito sencillo - torre metálica - conductor D-N4-1 | 196.693.000 |
| N4L38 | km línea rural - circuito sencillo - torre metálica - conductor D-N4-2 | 204.527.000 |
| N4L39 | km línea rural - circuito sencillo - torre metálica - conductor D-N4-3 | 222.313.000 |
| N4L40 | km línea rural - circuito sencillo - torre metálica - conductor D-N4-4 | 229.216.000 |
| N4L41 | km línea urbana - circuito doble - torre metálica - conductor D-N4-1 | 311.045.000 |
| N4L42 | km línea urbana - circuito doble - torre metálica - conductor D-N4-2 | 326.814.000 |
| N4L43 | km línea urbana - circuito doble - torre metálica - conductor D-N4-3 | 380.053.000 |
| N4L44 | km línea urbana - circuito doble - torre metálica - conductor D-N4-4 | 393.900.000 |
| N4L45 | km línea rural - circuito doble - torre metálica - conductor D-N4-1 | 261.089.000 |
| N4L46 | km línea rural - circuito doble - torre metálica - conductor D-N4-2 | 276.756.000 |
| N4L47 | km línea rural - circuito doble - torre metálica - conductor D-N4-3 | 313.713.000 |
| N4L48 | km línea rural - circuito doble - torre metálica - conductor D-N4-4 | 327.519.000 |
| N4L49 | km de línea – subterránea | 2.526.812.000 |
| N4L50 | km de línea – submarina | 1.643.678.000 |
| N4L51 | km de línea - conexión internacional - 138 kV | 208.304.000 |
| N4L52 | km de fibra óptica ADSS/OPGW | 32.685.000 |
Tabla 49. UC de líneas de nivel de tensión 3
| UC | DESCRIPCIÓN UNIDAD CONSTRUCTIVA | VALOR INSTALADO [$Dic 2007] |
| N3L1 | km línea urbana - circuito sencillo - poste concreto - conductor D-N3-1 | 77.632.000 |
| N3L2 | km línea urbana - circuito sencillo - poste concreto - conductor D-N3-2 | 83.028.000 |
| N3L3 | km línea urbana - circuito sencillo - poste concreto - conductor D-N3-3 | 89.152.000 |
| N3L4 | km línea rural - circuito sencillo - poste concreto - conductor D-N3-1 | 44.215.000 |
| N3L5 | km línea rural - circuito sencillo - poste concreto - conductor D-N3-2 | 51.500.000 |
| N3L6 | km línea rural - circuito sencillo - poste concreto - conductor D-N3-3 | 59.767.000 |
| N3L7 | km línea urbana - circuito doble - poste concreto - conductor D-N3-1 | 149.010.000 |
| N3L8 | km línea urbana - circuito doble - poste concreto - conductor D-N3-2 | 159.765.000 |
| N3L9 | km línea urbana - circuito doble - poste concreto - conductor D-N3-3 | 171.968.000 |
| N3L10 | km línea rural - circuito doble - poste concreto - conductor D-N3-1 | 84.438.000 |
| N3L11 | km línea rural - circuito doble - poste concreto - conductor D-N3-2 | 99.008.000 |
| N3L12 | km línea rural - circuito doble - poste concreto - conductor D-N3-3 | 115.542.000 |
| N3L13 | km línea rural - circuito sencillo - torre metálica - conductor D-N3-1 | 63.709.000 |
| N3L14 | km línea rural - circuito sencillo - torre metálica - conductor D-N3-2 | 70.994.000 |
| N3L15 | km línea rural - circuito sencillo - torre metálica - conductor D-N3-3 | 79.261.000 |
| N3L16 | km línea rural - circuito doble - torre metálica - conductor D-N3-1 | 105.444.000 |
| N3L17 | km línea rural - circuito doble - torre metálica - conductor D-N3-2 | 120.015.000 |
| N3L18 | km línea rural - circuito doble - torre metálica - conductor D-N3-3 | 136.549.000 |
| N3L19 | km línea urbana - circuito sencillo - poste > 20 m - conductor D-N3-1 | 283.580.000 |
| N3L20 | km línea urbana - circuito sencillo - poste > 20 m - conductor D-N3-2 | 288.957.000 |
| N3L21 | km línea urbana - circuito sencillo - poste > 20 m - conductor D-N3-3 | 295.059.000 |
| N3L22 | km línea urbana - circuito doble - poste > 20 m - conductor D-N3-1 | 328.307.000 |
| N3L23 | km línea urbana - circuito doble - poste > 20 m - conductor D-N3-2 | 339.061.000 |
| N3L24 | km línea urbana - circuito doble - poste > 20 m - conductor D-N3-3 | 351.264.000 |
| N3L25 | km línea urbana - 3 fases - semiaislada - conductor sa-n3-1 | 102.748.000 |
| N3L26 | km línea urbana - 3 fases - semiaislada - conductor sa-n3-2 | 144.078.000 |
| N3L27 | km conductor subterráneo urbano - 3 cable monopolar - cu aislado XLPE 35 kv-750 kcmil | 424.732.000 |
| N3L28 | km conductor subterráneo urbano - 3 cable monopolar - cu aislado XLPE 35 kV - 500 kcmil | 323.807.000 |
| N3L29 | km conductor subterráneo urbano - 3 cable monopolar - cu aislado XLPE 35 kV - 350 kcmil | 252.108.000 |
| N3L30 | km conductor subterráneo urbano 3 cable monopolar - cu aislado XLPE 35 kV - 4/0 AWG | 194.042.000 |
| N3L31 | km conductor subterráneo urbano - 3 cable monopolar - cu aislado XLPE 35 kV - 1/0 AWG | 163.029.000 |
| N3L32 | km canalización urbana 4x6" | 457.516.000 |
| N3L33 | km canalización urbana 6x6" | 537.317.000 |
Tabla 50. UC de líneas de nivel de tensión 2
| UC | DESCRIPCIÓN UNIDAD CONSTRUCTIVA | VALOR INSTALADO [$Dic 2007] |
| N2L1 | km línea urbana - poste concreto - vano tipo 1 - 3 hilos (3 fases, sin neutro) - conductor D-N2-1 | 56.124.000 |
| N2L2 | km línea urbana - poste concreto - vano tipo 1 - 3 hilos (3 fases, sin neutro) - conductor D-N2-2 | 58.634.000 |
| N2L3 | km línea urbana - poste concreto - vano tipo 1 - 3 hilos (3 fases, sin neutro) - conductor D-N2-3 | 64.622.000 |
| N2L4 | km línea urbana - poste concreto - vano tipo 1 - 3 hilos (3 fases, sin neutro) - conductor D-N2-4 | 75.879.000 |
| N2L5 | km línea urbana - poste concreto - vano tipo 1 - 3 hilos (3 fases, sin neutro) - conductor D-N2-5 | 95.701.000 |
| N2L6 | km línea urbana - poste concreto - vano tipo 2 - 3 hilos (3 fases, sin neutro) - conductor D-N2-1 | 34.946.000 |
| N2L7 | km línea urbana - poste concreto - vano tipo 2 - 3 hilos (3 fases, sin neutro) - conductor D-N2-2 | 37.456.000 |
| N2L8 | km línea urbana - poste concreto - vano tipo 2 - 3 hilos (3 fases, sin neutro) - conductor D-N2-3 | 43.239.000 |
| N2L9 | km línea urbana - poste concreto - vano tipo 2 - 3 hilos (3 fases, sin neutro) - conductor D-N2-4 | 54.701.000 |
| N2L10 | km línea urbana - poste concreto - vano tipo 2 - 3 hilos (3 fases, sin neutro) - conductor D-N2-5 | 74.523.000 |
| N2L11 | km línea urbana - poste concreto - vano tipo 1 - 4 hilos (3 fases, con neutro) - conductor D-N2-1 | 68.718.000 |
| N2L12 | km línea urbana - poste concreto - vano tipo 1 - 4 hilos (3 fases, con neutro) - conductor D-N2-2 | 72.306.000 |
| N2L13 | km línea urbana - poste concreto - vano tipo 1 - 4 hilos (3 fases, con neutro) - conductor D-N2-3 | 80.285.000 |
| N2L14 | km línea urbana - poste concreto - vano tipo 1 - 4 hilos (3 fases, con neutro) - conductor D-N2-4 | 95.206.000 |
| N2L15 | km línea urbana - poste concreto - vano tipo 1 - 4 hilos (3 fases, con neutro) - conductor D-N2-5 | 121.530.000 |
| N2L16 | km línea urbana - poste concreto - vano tipo 2 - 4 hilos (3 fases, con neutro) - conductor D-N2-1 | 45.695.000 |
| N2L17 | km línea urbana - poste concreto - vano tipo 2 - 4 hilos (3 fases, con neutro) - conductor D-N2-2 | 49.282.000 |
| N2L18 | km línea urbana - poste concreto - vano tipo 2 - 4 hilos (3 fases, con neutro) - conductor D-N2-3 | 56.976.000 |
| N2L19 | km línea urbana - poste concreto - vano tipo 2 - 4 hilos (3 fases, con neutro) - conductor D-N2-4 | 72.183.000 |
| N2L20 | km línea urbana - poste concreto - vano tipo 2 - 4 hilos (3 fases, con neutro) - conductor D-N2-5 | 98.507.000 |
| N2L21 | km línea urbana - poste concreto - vano tipo 1 - 2 hilos (2 fases, sin neutro) - conductor D-N2-1 | 49.190.000 |
| N2L22 | km línea urbana - poste concreto - vano tipo 1 - 2 hilos (2 fases, sin neutro) - conductor D-N2-2 | 50.858.000 |
| N2L23 | km línea urbana - poste concreto - vano tipo 1 - 2 hilos (2 fases, sin neutro) - conductor D-N2-4 | 62.309.000 |
| N2L24 | km línea urbana - poste concreto - vano tipo 2 - 2 hilos (2 fases, sin neutro) - conductor D-N2-1 | 29.978.000 |
| N2L25 | km línea urbana - poste concreto - vano tipo 2 - 2 hilos (2 fases, sin neutro) - conductor D-N2-2 | 31.647.000 |
| N2L26 | km línea urbana - poste concreto - vano tipo 2 - 2 hilos (2 fases, sin neutro) - conductor D-N2-4 | 43.097.000 |
| N2L27 | km línea rural - poste concreto - vano tipo 1 - 3 hilos (3 fases, sin neutro) - conductor D-N2-1 | 34.632.000 |
| N2L28 | km línea rural - poste concreto - vano tipo 1 - 3 hilos (3 fases, sin neutro) - conductor D-N2-2 | 37.235.000 |
| N2L29 | km línea rural - poste concreto - vano tipo 1 - 3 hilos (3 fases, sin neutro) - conductor D-N2-3 | 43.320.000 |
| N2L30 | km línea rural - poste concreto - vano tipo 1 - 3 hilos (3 fases, sin neutro) - conductor D-N2-4 | 55.379.000 |
| N2L31 | km línea rural - poste concreto - vano tipo 1 - 3 hilos (3 fases, sin neutro) - conductor D-N2-5 | 76.235.000 |
| N2L32 | km línea rural - poste concreto - vano tipo 2 - 3 hilos (3 fases, sin neutro) - conductor D-N2-1 | 29.401.000 |
| N2L33 | km línea rural - poste concreto - vano tipo 2 - 3 hilos (3 fases, sin neutro) - conductor D-N2-2 | 32.004.000 |
| N2L34 | km línea rural - poste concreto - vano tipo 2 - 3 hilos (3 fases, sin neutro) - conductor D-N2-3 | 38.074.000 |
| N2L35 | km línea rural - poste concreto - vano tipo 2 - 3 hilos (3 fases, sin neutro) - conductor D-N2-4 | 50.148.000 |
| N2L36 | km línea rural - poste concreto - vano tipo 2 - 3 hilos (3 fases, sin neutro) - conductor D-N2-5 | 70.794.000 |
| N2L37 | km línea rural - poste concreto - vano tipo 1 - 4 hilos (3 fases, con neutro) - conductor D-N2-1 | 43.985.000 |
| N2L38 | km línea rural - poste concreto - vano tipo 1 - 4 hilos (3 fases, con neutro) - conductor D-N2-2 | 46.830.000 |
| N2L39 | km línea rural - poste concreto - vano tipo 1 - 4 hilos (3 fases, con neutro) - conductor D-N2-3 | 52.899.000 |
| N2L40 | km línea rural - poste concreto - vano tipo 1 - 4 hilos (3 fases, con neutro) - conductor D-N2-4 | 64.905.000 |
| N2L41 | km línea rural - poste concreto - vano tipo 1 - 4 hilos (3 fases, con neutro) - conductor D-N2-5 | 85.682.000 |
| N2L42 | km línea rural - poste concreto - vano tipo 2 - 4 hilos (3 fases, con neutro) - conductor D-N2-1 | 36.841.000 |
| N2L43 | km línea rural - poste concreto - vano tipo 2 - 4 hilos (3 fases, con neutro) - conductor D-N2-2 | 39.686.000 |
| N2L44 | km línea rural - poste concreto - vano tipo 2 - 4 hilos (3 fases, con neutro) - conductor D-N2-3 | 45.683.000 |
| N2L45 | km línea rural - poste concreto - vano tipo 2 - 4 hilos (3 fases, con neutro) - conductor D-N2-4 | 57.761.000 |
| N2L46 | km línea rural - poste concreto - vano tipo 2 - 4 hilos (3 fases, con neutro) - conductor D-N2-5 | 78.538.000 |
| N2L47 | km línea rural - poste concreto - vano tipo 2 - 2 hilos (2 fases, sin neutro) - conductor D-N2-1 | 30.318.000 |
| N2L48 | km línea rural - poste concreto - vano tipo 2 - 2 hilos (2 fases, sin neutro) - conductor D-N2-2 | 32.062.000 |
| N2L49 | km línea rural - poste concreto - vano tipo 2 - 2 hilos (2 fases, sin neutro) - conductor D-N2-4 | 44.250.000 |
| N2L50 | km línea urbana - poste concreto - vano tipo 1 - 4 hilos (3 fases, con neutro) - conductor SA-N2-1 | 111.106.000 |
| N2L51 | km línea urbana - poste concreto - vano tipo 1 - 4 hilos (3 fases, con neutro) - conductor SA-N2-2 | 122.840.000 |
| N2L52 | km línea urbana - poste concreto - vano tipo 1 - 4 hilos (3 fases, con neutro) - conductor SA-N2-3 | 135.765.000 |
| N2L53 | km línea urbana - poste concreto - vano tipo 1 - 2 hilos (1 fase, con neutro) - conductor SA-N2-1 | 94.055.000 |
| N2L54 | km conductor subterráneo urbano - 3 cables monopolares - cu aislado xlp o EPR, 15 kV - 4 AWG | 52.127.000 |
| N2L55 | km conductor subterráneo urbano - 3 cables monopolares - cu aislado xlp o EPR, 15 kV - 2 AWG | 81.125.000 |
| N2L56 | km conductor subterráneo urbano - 3 cables monopolares - cu aislado xlp o EPR, 15 kV - 1/0 AWG | 91.758.000 |
| N2L57 | km conductor subterráneo urbano - 3 cables monopolares - cu aislado xlp o EPR, 15 kV - 2/0 AWG | 102.390.000 |
| N2L58 | km conductor subterráneo urbano - 3 cables monopolares - cu aislado xlp o EPR, 15 kV - 3/0 AWG | 114.938.000 |
| N2L59 | km conductor subterráneo urbano - 3 cables monopolares - cu aislado xlp o EPR, 15 kV - 4/0 AWG | 130.111.000 |
| N2L60 | km conductor subterráneo urbano - 3 cables monopolares - cu aislado xlp o EPR, 15 kV - 300 kcmil | 166.586.000 |
| N2L61 | km conductor subterráneo urbano - 3 cables monopolares - cu aislado xlp o EPR, 15 kV - 350 kcmil | 181.176.000 |
| N2L62 | km conductor subterráneo urbano - 3 cables monopolares - cu aislado xlp o EPR, 15 kV - 500 kcmil | 228.877.000 |
| N2L63 | km conductor subterráneo urbano - 3 cables monopolares - aaac aislado xlp o EPR, 15 kV - 500 kcmil | 182.038.000 |
| N2L64 | km conductor subterráneo urbano - 3 cables monopolares - aaac aislado xlp o EPR, 15 kV - 750 kcmil | 251.252.000 |
| N2L65 | km conductor subterráneo urbano - 1 cable monopolar - cu aislado xlp o EPR, 15 kV- 1/0 AWG | 30.586.000 |
| N2L66 | km canalización urbana 2x4" | 224.811.000 |
| N2L67 | km canalización urbana 4x4" | 278.426.000 |
| N2L68 | km canalización urbana 6x4" | 340.573.000 |
| N2L69 | km canalización urbana 6x4" y 3x6" | 533.351.000 |
Tabla 51. UC de transformadores de conexión al STN
| UC | DESCRIPCIÓN UNIDAD CONSTRUCTIVA | COSTO DE INSTALACIÓN [$Dic 2007] | VALOR UNITARIO [$/MVA Dic 2007] |
| N5T1 | Transformador trifásico (OLTC) - conexión al STN - hasta 10 MVA | 161.846.000 | 54.795.000 |
| N5T2 | Transformador trifásico (OLTC) - conexión al STN - de 11 a 20 MVA | 174.071.000 | 48.568.000 |
| N5T3 | Transformador trifásico (OLTC) - conexión al STN - de 21 a 40 MVA | 234.809.000 | 44.500.000 |
| N5T4 | Transformador trifásico (OLTC) - conexión al STN - de 41 a 50 MVA | 254.438.000 | 42.096.000 |
| N5T5 | Transformador trifásico (OLTC) - conexión al STN - de 51 a 60 MVA | 267.152.000 | 40.902.000 |
| N5T6 | Transformador trifásico (OLTC) - conexión al STN - 61-90 MVA | 414.005.000 | 39.052.000 |
| N5T7 | Transformador trifásico (OLTC) - conexión al STN - 91-100 MVA | 438.082.000 | 37.640.000 |
| N5T8 | Transformador trifásico (OLTC) - conexión al STN - 101-120 MVA | 455.779.000 | 36.763.000 |
| N5T9 | Transformador trifásico (OLTC) - conexión al STN - 121-150 MVA | 484.711.000 | 35.538.000 |
| N5T10 | Transformador trifásico (OLTC) - conexión al STN – 151-180 MVA | 518.654.000 | 34.336.000 |
| N5T11 | Autotransformador monofásico (OLTC) - conexión al STN - hasta 20 MVA | 171.525.000 | 48.603.000 |
| N5T12 | Autotransformador monofásico (OLTC) - conexión al STN - 21-40 MVA | 234.549.000 | 44.091.000 |
| N5T13 | Autotransformador monofásico (OLTC) - conexión al STN - 41-50 MVA | 251.540.000 | 39.057.000 |
| N5T14 | Autotransformador monofásico (OLTC) - conexión al STN - 51-60 MVA | 263.494.000 | 37.764.000 |
| N5T15 | Autotransformador monofásico (OLTC) - conexión al STN - 61-90 MVA | 408.773.000 | 35.760.000 |
| N5T16 | Autotransformador monofásico (OLTC) - conexión al STN - 91-100 MVA | 431.218.000 | 34.231.000 |
| N5T17 | Autotransformador monofásico (OLTC) - conexión al STN - 101 - 120 MVA | 447.662.000 | 33.281.000 |
| N5T18 | Autotransformador monofásico (OLTC) - conexión al STN - 121 - 150 MVA | 474.457.000 | 31.953.000 |
| N5T19 | Transformador tridevanado trifásico (OLTC) - conexión STN- hasta 20 MVA | 177.568.000 | 77.123.000 |
| N5T20 | Transformador tridevanado trifásico (OLTC) - conexión al STN – 21-40 MVA | 243.846.000 | 58.716.000 |
| N5T21 | Transformador tridevanado trifásico (OLTC) - conexión al STN – 41-50 MVA | 262.103.000 | 50.134.000 |
| N5T22 | Transformador tridevanado trifásico (OLTC) - conexión al STN – 51- 60 MVA | 275.341.000 | 47.929.000 |
| N5T23 | Transformador tridevanado trifásico (OLTC) - conexión al STN – 61- 90 MVA | 422.682.000 | 44.513.000 |
| N5T24 | Transformador tridevanado trifásico (OLTC) - conexión al STN- 91-120 MVA | 458.270.000 | 40.799.000 |
| N5T25 | Transformador tridevanado trifásico (OLTC) - conexión al STN- > 121MVA | 471.952.000 | 38.021.000 |
Tabla 52. UC de transformadores de potencia
| UC | DESCRIPCIÓN UNIDAD CONSTRUCTIVA | COSTO DE INSTALACIÓN [$Dic 2007] | VALOR UNITARIO [$/MVA Dic 2007] |
| N4T1 | Transformador trifásico (OLTC) - lado de alta en el nivel 4 - hasta 5 MVA | 152.592.000 | 95.390.000 |
| N4T2 | Transformador trifásico (OLTC) - lado de alta en el nivel 4 - de 5 a 10 MVA | 161.743.000 | 74.400.000 |
| N4T3 | Transformador trifásico (OLTC) - lado de alta en el nivel 4 - de 11 a 15 MVA | 172.110.000 | 64.011.000 |
| N4T4 | Transformador trifásico (OLTC) - lado de alta en el nivel 4 - de 16 a 20 MVA | 181.070.000 | 57.047.000 |
| N4T5 | Transformador trifásico (OLTC) - lado de alta en el nivel 4 - de 21 a 30 MVA | 192.852.000 | 49.593.000 |
| N4T6 | Transformador trifásico (OLTC) - lado de alta en el nivel 4 - de 31 a 40 MVA | 247.740.000 | 42.513.000 |
| N4T7 | Transformador trifásico (OLTC) - lado de alta en el nivel 4 - de 41 a 50 MVA | 261.206.000 | 37.201.000 |
| N4T8 | Transformador trifásico (OLTC) - lado de alta en el nivel 4 - de 51 a 60 MVA | 273.655.000 | 32.950.000 |
| N4T9 | Transformador trifásico (OLTC) - lado de alta en el nivel 4 - de 61 a 80 MVA | 416.987.000 | 29.569.000 |
| N4T10 | Transformador trifásico (OLTC) - lado alta en el nivel 4 - de 81 a 100 MVA | 465.610.000 | 25.125.000 |
| N4T11 | Transformador trifásico (OLTC) - lado alta en el nivel 4 - mayor a 100 MVA | 470.974.000 | 20.350.000 |
| N4T12 | Transformador tridevanado trifásico (OLTC) - lado alta nivel 4 - hasta 5 MVA | 153.214.000 | 107.134.000 |
| N4T13 | Transformador tridevanado trifásico (OLTC) - lado alta nivel 4 - de 6 a 10 MVA | 164.096.000 | 86.212.000 |
| N4T14 | Transformador tridevanado trifásico (OLTC) - lado alta nivel 4- de 11 a 20 MVA | 180.004.000 | 72.187.000 |
| N4T15 | Transformador tridevanado trifásico (OLTC) - lado alta nivel 4- de 21 a 30 MVA | 198.017.000 | 59.343.000 |
| N4T16 | Transformador tridevanado trifásico (OLTC) - lado alta nivel 4- de 31 a 40 MVA | 253.892.000 | 50.807.000 |
| N4T17 | Transformador tridevanado trifásico (OLTC) - lado alta nivel 4- de 41 a 50 MVA | 268.073.000 | 44.404.000 |
| N4T18 | Transformador tridevanado trifásico (OLTC) - lado alta nivel 4- de 51 a 60 MVA | 281.030.000 | 39.278.000 |
| N4T19 | Transformador tridevanado trifásico (OLTC) - alta nivel 4- mayor a 60 MVA | 282.338.000 | 33.289.000 |
| N3T1 | Transformador trifásico (nltc) - lado alta nivel 3 - de 0.5 a 2.5 MVA | 96.712.000 | 53.376.000 |
| N3T2 | Transformador trifásico (nltc) - lado alta nivel 3 - de 2.6 a 6 MVA | 103.303.000 | 47.184.000 |
| N3T3 | Transformador trifásico (OLTC) - lado alta nivel 3 - de 6.1 a 10 MVA | 112.806.000 | 43.497.000 |
| N3T4 | Transformador trifásico (OLTC) - lado alta nivel 3 - de 11 a 15 MVA | 126.108.000 | 40.679.000 |
| N3T5 | Transformador trifásico (OLTC) - lado alta nivel 3 - de 16 a 20 MVA | 138.748.000 | 38.765.000 |
| N3T6 | Transformador trifásico (OLTC) - lado alta nivel 3 - de 21 a 30 MVA | 157.082.000 | 36.717.000 |
| N3T7 | Transformador trifásico (OLTC) - lado alta nivel 3 - mayor a 31 MVA | 208.869.000 | 34.070.000 |
Tabla 53. UC de equipos de compensación
| UC | DESCRIPCIÓN UNIDAD CONSTRUCTIVA | COSTO DE INSTALACIÓN [$ Dic 2007] | VALOR UNITARIO [$/kVAr Dic 2007] |
| N4CR1 | Compensación reactiva - capacidad final mayor de 3 a 6 MVAr - nivel 4 | 31.883.000 | 16.740 |
| N4CR2 | Compensación reactiva - capacidad final mayor de 6 a 12 MVAr - nivel 4 | 36.038.000 | 14.820 |
| N4CR3 | Compensación reactiva - capacidad final mayor de 12 a 18 MVAr - nivel 4 | 42.492.000 | 13.550 |
| N4CR4 | Compensación reactiva - capacidad final mayor de 18 a 54 MVAr - nivel 4 | 73.560.000 | 13.130 |
| N4CR5 | Compensación reactiva - capacidad final mayor de 54 a 90 MVAr - nivel 4 | 130.401.000 | 13.130 |
| N3CR1 | Compensación reactiva - capacidad final mayor de 1,2 a 2,4 MVAr - nivel 3 | 21.112.000 | 20.740 |
| N3CR2 | Compensación reactiva - capacidad final mayor de 2,4 a 5,4 MVAr - nivel 3 | 22.833.000 | 17.980 |
| N3CR3 | Compensación reactiva - capacidad final mayor de,4 a 14,4 MVAr - nivel 3 | 26.589.000 | 15.920 |
| N3CR4 | Compensación reactiva - capacidad final mayor de 14,4 a 28,8 MVAr - nivel 3 | 48.879.000 | 15.920 |
| N3CR5 | Compensación reactiva - capacidad final mayor de 28,8 a 43,2 MVAr - nivel 3 | 71.680.000 | 15.920 |
| N2CR1 | Compensación reactiva - capacidad final mayor de 90 a 180 kVAr - nivel 2 | 10.525.000 | 35.930 |
| N2CR2 | Compensación reactiva - capacidad final mayor de 180 a 360 kVAr - nivel 2 | 10.608.000 | 31.810 |
| N2CR3 | Compensación reactiva - capacidad final mayor de 360 a 600 kVAr - nivel 2 | 11.641.000 | 28.490 |
| N2CR4 | Compensación reactiva - capacidad final mayor de 600 a 1200 kVAr - nivel 2 | 12.304.000 | 25.230 |
| N2CR5 | Compensación reactiva - capacidad final mayor de 1200 a 2400 kVAr -nivel 2 | 13.243.000 | 22.340 |
| N2CR6 | Compensación reactiva - capacidad final mayor de 2400 a 3600 kVAr -nivel 2 | 14.655.000 | 20.420 |
Tabla 54. UC de centros de control y calidad
| UC | DESCRIPCIÓN UNIDAD CONSTRUCTIVA | VALOR INSTALADO [$Dic 2007] |
| CCS1 | Scada tipo 1 | 10.230.886.000 |
| CCS2 | Sistema de manejo de energía: EMS tipo 1 | 3.111.908.000 |
| CCS3 | Sistema de gestión de distribución: DMS tipo 1 | 1.346.228.000 |
| CCS4 | Sistema de información geográfico: GIS tipo 1 | 1.874.446.000 |
| CCS5 | Enlace ICCP tipo 1 | 169.820.000 |
| CCS6 | Sistemas de medida calidad y registro (des-fes, pq, kWh) tipo 1 | 1.357.097.000 |
| CCS7 | Sistema de comunicaciones tipo 1 | 1.044.178.000 |
| CCS8 | Edificio de control tipo 1 | 1.030.524.000 |
| CCS9 | Scada tipo 2 | 5.341.312.000 |
| CCS10 | Sistema de manejo de energía: EMS tipo 2 | 1.624.656.000 |
| CCS11 | Sistema de gestión de distribución: DMS tipo 2 | 704.306.000 |
| CCS12 | Sistema de información geográfico: GIS tipo 2 | 1.073.394.000 |
| CCS13 | Enlace ICCP tipo 2 | 88.659.000 |
| CCS14 | Sistemas de medida calidad y registro (des-fes, pq, kWh) tipo 2 | 704.772.000 |
| CCS15 | Sistema de comunicaciones tipo 2 | 846.723.000 |
| CCS16 | Edificio de control tipo 2 | 1.059.999.000 |
| CCS17 | Scada tipo 3 | 865.217.000 |
| CCS18 | Sistema de manejo de energía: EMS tipo 3 | 559.995.000 |
| CCS19 | Sistema de gestión de distribución: DMS tipo 3 | 242.257.000 |
| CCS20 | Sistema de información geográfico: GIS tipo 3 | 256.793.000 |
| CCS21 | Enlace ICCP tipo 3 | 30.560.000 |
| CCS22 | Sistemas de medida calidad y registro (des-fes, pq, kWh) tipo 3 | 242.924.000 |
| CCS23 | Sistema de comunicaciones tipo 3 | 291.853.000 |
| CCS24 | Edificio de control tipo 3 | 785.177.000 |
| CCS25 | Scada tipo 4 | 477.554.000 |
| CCS26 | Sistema de manejo de energía: EMS tipo 4 | 145.257.000 |
| CCS27 | Sistema de gestión de distribución: DMS tipo 4 | 62.839.000 |
| CCS28 | Sistema de información geográfico: GIS tipo 4 | 50.672.000 |
| CCS29 | Enlace ICCP tipo 4 | 7.927.000 |
| CCS30 | Sistemas de medida calidad y registro (des-fes, pq, kWh) tipo 4 | 63.012.000 |
| CCS31 | Sistema de comunicaciones tipo 4 | 75.704.000 |
| CCS32 | Edificio de control tipo 4 | 666.607.000 |
El tipo de centro de control se define de acuerdo con la siguiente clasificación:
Tabla 55. Clasificación de centros de control
| TIPO CC | NÚMERO DE SEÑALES |
| TIPO 1 | Señales > 50000 |
| TIPO 2 | 15000 < Señales <=50000 |
| TIPO 3 | 5000 < Señales <=15000 |
| TIPO 4 | Señales <=5000 |
El OR deberá calcular el número de señales a partir de su inventario de activos, asignado a cada una de las UC relacionadas en la Tabla 61 con las que cuente el OR en número de señales por UC indicado.
Tabla 56. UC de equipos de nivel de tensión 4
| UC | DESCRIPCIÓN UNIDAD CONSTRUCTIVA | VALOR INSTALADO [$Dic 2007] |
| N4EQ1 | Unidad de adquisición de datos | 74.373.000 |
| N4EQ2 | Transformador de tensión nivel 4 | 33.967.000 |
| N4EQ3 | Armario concentrador (marshall in kiosk) | 9.776.000 |
| N4EQ4 | Unidad de calidad de potencia (pq) creg 024 de 2005 | 14.907.000 |
| N4EQ5 | Enlace de comunicaciones satelital | 11.776.000 |
| N4EQ6 | Enlace de comunicaciones microondas | 61.043.000 |
| N4EQ7 | Enlace de fibra óptica | 14.080.000 |
| N4EQ8 | Sistema de comunicaciones por onda portadora | 28.446.000 |
| N4EQ9 | Sistema de teleprotección | 18.665.000 |
| N4EQ10 | Interface de usuario (IHM) | 92.069.000 |
| N4EQ11 | Unidad terminal remota | 149.672.000 |
| N4EQ12 | Gateway de comunicaciones | 13.848.000 |
Tabla 57. UC de equipos de nivel de tensión 3
| UC | DESCRIPCIÓN UNIDAD CONSTRUCTIVA | VALOR INSTALADO [$Dic 2007] |
| N3EQ1 | Equipo de medida | 568.000 |
| N3EQ2 | Juego de cuchillas para operación sin carga nivel 3 | 788.000 |
| N3EQ3 | Juego de pararrayos nivel 3 | 546.000 |
| N3EQ4 | Juego de seccionadores tripolar bajo carga nivel 3 | 29.773.000 |
| N3EQ5 | Reconectador N3 | 73.482.000 |
| N3EQ6 | Regulador 36 kV | 162.349.000 |
| N3EQ7 | Seccionalizador manual bajo carga | 20.246.000 |
| N3EQ8 | Seccionalizador eléctrico (motorizado) N3 | 20.246.000 |
| N3EQ9 | Transición aérea - subterránea N3 | 6.298.000 |
| N3EQ10 | Transformador de puesta a tierra | 108.471.000 |
| N3EQ11 | Transformador de tensión nivel 3 | 11.346.000 |
| N3EQ12 | Unidad de adquisición de datos nivel 3 | 58.512.000 |
| N3EQ13 | Armario concentrador (marshall in kiosk) | 9.776.000 |
| N3EQ14 | Unidad de calidad de potencia (pq) creg 024 de 2005 | 14.907.000 |
| N3EQ15 | Interface de usuario (IHM) | 84.254.000 |
| N3EQ16 | Gateway de comunicaciones | 13.848.000 |
| N3EQ17 | Enlace de comunicaciones satelital | 11.776.000 |
| N3EQ18 | Enlace de comunicaciones microondas | 61.043.000 |
| N3EQ19 | Enlace de fibra óptica | 14.080.000 |
| N3EQ20 | Unidad terminal remota | 141.857.000 |
| N3EQ21 | Sistema de teleprotección | 18.665.000 |
| N3EQ22 | Juego de cortacircuitos nivel 3 | 533.000 |
| N3EQ23 | Juego de pararrayos nivel 3 (44 kV) | 1.580.000 |
| N3EQ24 | Transición aérea - subterránea n3 (44 kV) | 6.775.000 |
| N3EQ25 | Indicador falla subterráneo nivel 3 | 2.118.000 |
Tabla 58. UC de equipos de nivel de tensión 2
| UC | DESCRIPCIÓN UNIDAD CONSTRUCTIVA | VALOR INSTALADO [$Dic 2007] |
| N2EQ1 | Barraje de derivación subterráneo N2 | 1.603.000 |
| N2EQ2 | Caja de maniobra N2, sumergible con codos | 20.940.000 |
| N2EQ3 | Control de bancos de capacitores | 3.074.000 |
| N2EQ4 | Banco de condensadores montaje en poste 150 kVAr | 7.882.000 |
| N2EQ5 | Banco de condensadores montaje en poste 300 kVAr | 13.834.000 |
| N2EQ6 | Banco de condensadores montaje en poste 450 kVAr | 19.786.000 |
| N2EQ7 | Banco de condensadores montaje en poste 600 kVAr | 25.737.000 |
| N2EQ8 | Banco de condensadores montaje en poste 900 kVAr | 37.641.000 |
| N2EQ9 | Cortacircuitos 15 kV monofásico | 183.000 |
| N2EQ10 | Equipo de medida | 568.000 |
| N2EQ11 | Indicador falla monofásico | 610.000 |
| N2EQ12 | Juego de cortacircuitos monofásicos N2 | 443.000 |
| N2EQ13 | Juego de cuchillas para operación sin carga | 399.000 |
| N2EQ14 | Pararrayos monofásicos | 266.000 |
| N2EQ15 | Juego de pararrayos monofásicos N2 | 371.000 |
| N2EQ16 | Juego de seccionadores trifásico bajo carga líneas | 22.812.000 |
| N2EQ17 | Juego de seccionadores trifásico bajo carga S/E | 22.657.000 |
| N2EQ18 | Regulador de voltaje trifásicos de distribución | 157.305.000 |
| N2EQ19 | Regulador de voltaje monofásico hasta 50 kVA | 35.520.000 |
| N2EQ20 | Regulador de voltaje monofásico hasta 150 kVA | 43.834.000 |
| N2EQ21 | Regulador de voltaje monofásico hasta 276 kVA | 52.684.000 |
| N2EQ22 | Regulador de voltaje monofásico hasta 500 kVA | 82.698.000 |
| N2EQ23 | Regulador de voltaje monofásico hasta 1000 kVA | 128.988.000 |
| N2EQ24 | Seccionador monopolar 14.4 Kv | 2.955.000 |
| N2EQ25 | Seccionador trifásico vacío | 17.323.000 |
| N2EQ26 | Seccionalizador con control inteligente, 400ª | 20.246.000 |
| N2EQ27 | Seccionalizador eléctrico, 400 a - en SF6 | 17.323.000 |
| N2EQ28 | Seccionalizador motorizado N2 | 20.246.000 |
| N2EQ29 | Seccionalizador manual (bajo carga), 400 A | 17.323.000 |
| N2EQ30 | Interruptor en aire bajo carga | 11.363.000 |
| N2EQ31 | Transición aérea - subterránea N2 | 5.327.000 |
| N2EQ32 | Unidad de adquisición de datos nivel 2 | 58.512.000 |
| N2EQ33 | Armario concentrador (marshall in kiosk) | 9.776.000 |
| N2EQ34 | Unidad de calidad de potencia (pq) creg 024 de 2005 | 14.907.000 |
| N2EQ35 | Reconectador N2 | 42.362.000 |
| N2EQ36 | Interruptor de transferencia en SF6 N2 | 69.422.000 |
| N2EQ37 | Transformador de puesta a tierra | 108.471.000 |
| N2EQ38 | Transformador de tensión nivel 2 | 5.699.000 |
Tabla 59. UC Áreas típicas reconocidas para terrenos de las UC
SUBESTACIONES CONVENCIONALES NIVEL DE TENSIÓN 4
| CONFIGURACIÓN | BAHÍA DE LÍNEA [m2] | BAHÍA TRANSFORMADOR [m2] | BAHÍA ACOPLE, SECCIONAMIENTO, TRANSFERENCIA [m2] | MÓDULO COMÚN TIPO 1 [m2] | MÓDULO COMÚN TIPO 2 [m2] | MÓDULO COMÚN TIPO 3 [m2] | MÓDULO COMÚN TIPO 4 [m2] |
| BARRA SENCILLA | 270 | 290 | 0 | 960 | 2100 | 3060 | 3760 |
| DOBLE BARRA | 405 | 435 | 405 | 1260 | 2760 | 4260 | 5260 |
| DOBLE BARRA MAS BYPASS | 405 | 435 | 405 | 1260 | 2760 | 4260 | 5260 |
| BARRA PRINCIPAL Y TRANSFERENCIA | 405 | 435 | 405 | 1260 | 2760 | 4260 | 5260 |
| INTRERRUPTOR Y MEDIO | 440 | 540 | 0 | 0 | 3110 | 4820 | 5260 |
| ANILLO | 360 | 510 | 0 | 0 | 2260 | 3460 | - |
SUBESTACIONES ENCAPSULADAS NIVEL DE TENSIÓN 4
| CONFIGURACIÓN | BAHÍA DE LÍNEA [m2] | BAHÍA TRANSFORMADOR [m2] | MÓDULO COMÚN TIPO 1 [m2] |
| BARRA SENCILLA | 30 | 30 | 60 |
| DOBLE BARRA | 40 | 50 | 60 |
SUBESTACIONES CONVENCIONALES NIVEL DE TENSIÓN 3
| CONFIGURACIÓN | BAHÍA DE LÍNEA [m2] | BAHÍA TRANSFORMADOR [m2] | BAHÍA ACOPLE, SECCIONAMIENTO, TRANSFERENCIA [m2] | MÓDULO COMÚN TIPO 1 [m2] | MÓDULO COMÚN TIPO 2 [m2] | MÓDULO COMÚN TIPO 3 [m2] |
| TODAS LAS CONFIGURACIONES | 100 | 120 | 100 | 670 | 1330 | 1990 |
SUBESTACIONES CONVENCIONALES REDUCIDAS NIVEL DE TENSIÓN 3
| CONFIGURACIÓN | BAHÍA DE LÍNEA [m2] | BAHÍA TRANSFORMADOR [m2] | MÓDULO COMÚN TIPO [m2] |
| TODAS LAS CONFIGURACIONES | 40 | 60 | 160 |
SUBESTACIONES REDUCIDAS TIPO RURAL NIVEL DE TENSIÓN 3
| CONFIGURACIÓN | BAHÍA TRANSFORMADOR [m2] |
| TODAS LAS CONFIGURACIONES | 70 |
SUBESTACIONES ENCAPSULADAS Y METALCLAD NIVEL DE TENSIÓN 3
| CONFIGURACIÓN | MÓDULO COMÚN TIPO [m2] |
| TODAS LAS CONFIGURACIONES | 60 |
SUBESTACIONES CONVENCIONALES NIVEL DE TENSIÓN 2
| CONFIGURACIÓN | BAHÍA DE LÍNEA [m2] | BAHÍA TRANSFORMADOR [m2] |
| TODAS LAS CONFIGURACIONES | 16 | 16 |
TRANSFORMADORES
| CONFIGURACIÓN | CONEXIÓN AL STN [m2] | LADO DE ALTA EN EL NIVEL 4 [m2] | LADO DE ALTA EN EL NIVEL 3 [m2] |
| BANCOS MONOFÁSICOS | 160 | 70 | 20 |
| TRANSFORMADORES TRIFÁSICOS | 60 | 30 | 10 |
CENTROS DE CONTROL
| CONFIGURACIÓN | [m2] |
| CENTROS DE CONTROL TIPO 1 | 500 |
| CENTROS DE CONTROL TIPO 2 | 410 |
| CENTROS DE CONTROL TIPO 3 | 220 |
| CENTROS DE CONTROL TIPO 4 | 130 |
Tabla 60. Área reconocida por componente para el edificio de controlde subestación
| ITEM | AREA RECONOCIDA [m2] |
| ÁREAS GENERALES S/E NIVEL 4 - AG4,s | 75 |
| ÁREAS GENERALES S/E NIVEL 3 - AG3,s | 56,25 |
| BAHÍA - ABh | 11,25 |
| CELDA - ACe | 7,5 |
Tabla 61. Señales por unidad constructiva
| UC | DESCRIPCIÓN UC | SEÑALES POR UC |
| N4S1 | Bahía de línea - configuración barra sencilla - tipo convencional | 108 |
| N4S2 | Bahía de transformador - configuración barra sencilla - tipo convencional | 160 |
| N4S3 | Bahía de línea - configuración barra doble - tipo convencional | 108 |
| N4S4 | Bahía de transformador - configuración barra doble - tipo convencional | 160 |
| N4S5 | Bahía de línea - configuración barra doble con by pass - tipo convencional | 108 |
| N4S6 | Bahía de transformador - configuración barra doble con by pass - tipo convencional | 160 |
| N4S7 | Bahía de línea - configuración barra principal y transferencia - tipo convencional | 108 |
| N4S8 | Bahía de transformador - configuración barra principal y transferencia - tipo convencional | 160 |
| N4S9 | Bahía de línea - configuración interruptor y medio - tipo convencional | 162 |
| N4S10 | Bahía de transformador - configuración interruptor y medio - tipo convencional | 240 |
| N4S11 | Bahía de línea - configuración en anillo - tipo convencional | 162 |
| N4S12 | Bahía de transformador - configuración en anillo - tipo convencional | 240 |
| N4S13 | Bahía de línea - configuración barra sencilla - tipo encapsulada (SF6) | 108 |
| N4S14 | Bahía de transformador - configuración barra sencilla - tipo encapsulada(SF6) | 160 |
| N4S15 | Bahía de línea - configuración barra doble - tipo encapsulada (SF6) | 108 |
| N4S16 | Bahía de transformador - configuración barra doble - tipo encapsulada(SF6) | 160 |
| N4S17 | Bahía de maniobra - (acople - transferencia o seccionamiento) - tipo convencional | 108 |
| N4S18 | Bahía de maniobra - tipo encapsulada (SF6) | 108 |
| N3S1 | Bahía de línea - configuración barra sencilla -tipo convencional | 60 |
| N3S2 | Bahía de transformador - configuración barra sencilla - tipo convencional | 90 |
| N3S3 | Bahía de línea - configuración barra doble - tipo convencional | 60 |
| N3S4 | Bahía de transformador - configuración barra doble - tipo convencional | 90 |
| N3S5 | Bahía de línea - configuración barra principal y transferencia - tipo convencional | 60 |
| N3S6 | Bahía de transformador - configuración barra principal y transferencia - tipo convencional | 90 |
| N3S7 | Bahía de línea - configuración barra sencilla - tipo encapsulada (SF6) | 60 |
| N3S8 | Bahía de transformador - configuración barra sencilla - tipo encapsulada (SF6) | 90 |
| N3S9 | Bahía de línea - configuración barra doble - tipo encapsulada (SF6) | 60 |
| N3S10 | Bahía de transformador - configuración barra doble - tipo encapsulada (SF6) | 90 |
| N3S11 | Celda de línea - subestación tipo metalclad | 60 |
| N3S12 | Celda de transformador o acople - subestación tipo metalclad | 60 |
| N3S13 | Bahía de línea - subestación convencional reducida - tipo 1 | 60 |
| N3S14 | Bahía de transformador - subestación convencional reducida - tipo 1 | 90 |
| N3S15 | Bahía de línea - subestación convencional reducida - tipo 2 | 60 |
| N3S16 | Bahía de transformador - subestación convencional reducida - tipo 2 | 90 |
| N3S17 | Bahía de línea - subestación reducida | 60 |
| N3S18 | Bahía de transformador - subestación reducida | 90 |
| N3S19 | Bahía de acople - tipo convencional | 60 |
| N3S20 | Bahía de acople - tipo encapsulada (SF6) | 60 |
| N2S1 | Bahía de línea - configuración barra sencilla - tipo convencional | 60 |
| N2S2 | Bahía de transformador - configuración barra sencilla - tipo convencional | 90 |
| N2S3 | Bahía de línea - configuración barra doble - tipo convencional | 60 |
| N2S4 | Bahía de transformador - configuración barra doble - tipo convencional | 90 |
| N2S5 | Bahía de línea - configuración barra principal y transferencia - tipo convencional | 60 |
| N2S6 | Bahía de transformador - configuración barra principal y transferencia - tipo convencional | 90 |
| N2S7 | Bahía de línea - subestación reducida | 60 |
| N2S8 | Bahía de acople o seccionamiento (configuraciones en que aplica) - tipo convencional | 60 |
| N2S9 | Celda de salida de circuito - barra sencilla - subestación metalclad | 60 |
| N2S10 | Celda de llegada de transformador - barra sencilla - subestación metalclad | 60 |
| N2S11 | Celda de interconexión o de acople - barra sencilla - subestación metalclad | 60 |
| N2S12 | Celda de medida o auxiliares - barra sencilla - subestación metalclad | 30 |
| N2S13 | Gabinete protección de barras - subestación metalclad | 30 |
| N2S14 | Ducto de barras o cables llegada transformador - barra sencilla - subestación metalclad | 30 |
| N2S15 | Celda de salida de circuito - doble barra - subestación metalclad | 60 |
| N2S16 | Celda de llegada de transformador - doble barra - subestación metalclad | 90 |
| N2S17 | Celda de interconexión o de acople - doble barra - subestación metalclad | 60 |
| N2S18 | Celda de medida o auxiliares - doble barra - subestación metalclad | 30 |
15.2 CATEGORIAS DE UNIDADES CONSTRUCTIVAS. <Numeral modificado por el artículo 26 de la Resolución 85 de 2018. El nuevo texto es el siguiente:>
Tabla 62. Unidades constructivas de la categoría de transformadores de potencia
| CATEGORÍA | DESCRIPCIÓN | NIVEL DE TENSIÓN | VIDA ÚTIL | UC ASOCIADAS |
| 1 | Transformadores de potencia | 4 | 30 | N5T1 a N5T25 y N4T1 a N4T19 |
| 1 | Transformadores de potencia | 3 | 30 | N3T1 a N3T8 |
Tabla 63. Unidades constructivas de la categoría de compensaciones
| CATEGORÍA | DESCRIPCIÓN | NIVEL DE TENSIÓN | VIDA ÚTIL | UC ASOCIADAS |
| 2 | Compensaciones | 4 | 30 | N4CR1 a N4CR5 |
| 2 | Compensaciones | 3 | 30 | N3CR1 a N3CR5 |
| 2 | Compensaciones | 2 | 30 | N2CR1 a N2CR6 |
Tabla 64. Unidades constructivas de la categoría de bahías y celdas
| CATEGORÍA | DESCRIPCIÓN | NIVEL DE TENSIÓN | VIDA ÚTIL | UC ASOCIADAS |
| 3 | Bahías y celdas | 4 | 30 | N5S1 a N5S6, N5S9, N4S1E, N4S1 a N4S18, N4S46 y N4S47 |
| 3 | Bahías y celdas | 3 | 30 | N3S1 a N3S20 y N3S39 a N3S43 |
| 3 | Bahías y celdas | 2 | 30 | N2S1 a N2S11 y N2S15 a N2S17 |
Tabla 65. Unidades constructivas de la categoría de equipos de control y comunicaciones
| CATEGORÍA | DESCRIPCIÓN | NIVEL DE TENSIÓN | VIDA ÚTIL | UC ASOCIADAS |
| 4 | Equipos de control y comunicaciones | 4 | 10 | N5S8, N4S19, N4S45, N4EQ1 y N4EQ4 a N4EQ12 |
| 4 | Equipos de control y comunicaciones | 3 | 10 | N3S21 a N3S23, N3S38, N3EQ1, N3EQ12 y N3EQ14 a N3EQ21 |
| 4 | Equipos de control y comunicaciones | 2 | 10 | N2EQ3, N2EQ10, N2EQ32 y N2EQ34 |
Tabla 66. Unidades constructivas de la categoría de equipos de subestación
| CATEGORÍA | DESCRIPCIÓN | NIVEL DE TENSIÓN | VIDA ÚTIL | UC ASOCIADAS |
| 5 | Equipos de subestación | 4 | 40 | N4EQ2, N4EQ2E, N4EQ3, N4EQ4E, N4EQ13, N4EQ13E, N4EQ14 y N4EQ14E |
| 5 | Equipos de subestación | 3 | 30 | N3EQ10, N3EQ11 y N3EQ13 |
| 5 | Equipos de subestación | 2 | 30 | N2EQ33, N2EQ37, N2EQ38 y N2EQ40 |
Tabla 67. Unidades constructivas de la categoría de otros activos de subestación
| CATEGORÍA | DESCRIPCIÓN | NIVEL DE TENSIÓN | VIDA ÚTIL | UC ASOCIADAS |
| 6 | Otros activos subestación | 4 | 30 | N5S7, N5S10, N4S20 a N4S44 y N4S48 |
| 6 | Otros activos subestación | 3 | 30 | N3S24 a N3S37 y N3S44 |
| 6 | Otros activos subestación | 2 | 30 | N2S12 a N2S14 y N2S18 a N2S29 |
Tabla 68. Unidades constructivas de la categoría de centros de control
| CATEGORÍA | DESCRIPCIÓN | NIVEL DE TENSIÓN | VIDA ÚTIL | UC ASOCIADAS |
| 7 | Centro de control | - | 10 | CCS1 a CCS32 |
Tabla 69. Unidades constructivas de la categoría de líneas aéreas
| CATEGORÍA | DESCRIPCIÓN | NIVEL DE TENSIÓN | VIDA ÚTIL | UC ASOCIADAS |
| 8 | Líneas aéreas | 4 | 40 | N4L1 a N4L48 y N4L51 a N4L54 |
| 8 | Líneas aéreas | 3 | 40 | N3L1 a N3L26 |
| 8 | Líneas aéreas | 2 | 30 | N2L1 a N2L53 |
Tabla 70. Unidades constructivas de la categoría de líneas subterráneas
| CATEGORÍA | DESCRIPCIÓN | NIVEL DE TENSIÓN | VIDA ÚTIL | UC ASOCIADAS |
| 9 | Líneas subterráneas | 4 | 40 | N4L49 y N4L50 |
| 9 | Líneas subterráneas | 3 | 40 | N3L27 a N3L33 |
| 9 | Líneas subterráneas | 2 | 30 | N2L54 a N2L70 |
Tabla 71. Unidades constructivas de la categoría de equipos de línea
| CATEGORÍA | DESCRIPCIÓN | NIVEL DE TENSIÓN | VIDA ÚTIL | UC ASOCIADAS |
| 10 | Equipos de línea | 3 | 30 | N3EQ2 a N3EQ9 y N3EQ22 a N3EQ25 |
| 10 | Equipos de línea | 2 | 30 | N2EQ1, N2EQ2, N2EQ4 a N2EQ9, N2EQ11 a N2EQ31, N2EQ35 y N2EQ36 |
Para la clasificación de los circuitos de nivel de tensión 1 se deben utilizar las siguientes categorías:
Tabla 72. Clasificación de activos de nivel de tensión 1
| CATEGORÍA | DESCRIPCIÓN | NIVEL | VIDA ÚTIL |
| 11 | Transformadores de distribución | 1 | 20 |
| 12 | Redes aéreas | 1 | 30 |
CAPITULO 16. ÍNDICES DE RIESGO POR MUNICIPIO.
| CODIGO DANE | DEPTO | MUNICIPIO | IRF |
| 91263 | AMAZONAS | EL ENCANTO | 21,69 |
| 91405 | AMAZONAS | LA CHORRERA | 23,64 |
| 91407 | AMAZONAS | LA PEDRERA | 22,41 |
| 91430 | AMAZONAS | LA VICTORIA | 23,09 |
| 91001 | AMAZONAS | LETICIA | 19,31 |
| 91460 | AMAZONAS | MIRITI-PARANA | 23,15 |
| 91530 | AMAZONAS | PUERTO ALEGRIA | 24,21 |
| 91536 | AMAZONAS | PUERTO ARICA | 21,96 |
| 91540 | AMAZONAS | PUERTO NARIÑO | 18,44 |
| 91669 | AMAZONAS | PUERTO SANTANDER | 31,10 |
| 91798 | AMAZONAS | TARAPACA | 18,56 |
| 5002 | ANTIOQUIA | ABEJORRAL | 24,08 |
| 5004 | ANTIOQUIA | ABRIAQUI | 24,02 |
| 5021 | ANTIOQUIA | ALEJANDRIA | 50,49 |
| 5030 | ANTIOQUIA | AMAGA | 57,64 |
| 5031 | ANTIOQUIA | AMALFI | 38,89 |
| 5034 | ANTIOQUIA | ANDES | 46,86 |
| 5036 | ANTIOQUIA | ANGELOPOLIS | 55,54 |
| 5038 | ANTIOQUIA | ANGOSTURA | 36,81 |
| 5040 | ANTIOQUIA | ANORI | 51,42 |
| 5044 | ANTIOQUIA | ANZA | 33,75 |
| 5045 | ANTIOQUIA | APARTADO | 39,34 |
| 5051 | ANTIOQUIA | ARBOLETES | 45,36 |
| 5055 | ANTIOQUIA | ARGELIA | 56,29 |
| 5059 | ANTIOQUIA | ARMENIA | 36,51 |
| 5079 | ANTIOQUIA | BARBOSA | 39,93 |
| 5088 | ANTIOQUIA | BELLO | 28,47 |
| 5086 | ANTIOQUIA | BELMIRA | 22,18 |
| 5091 | ANTIOQUIA | BETANIA | 40,00 |
| 5093 | ANTIOQUIA | BETULIA | 48,81 |
| 5107 | ANTIOQUIA | BRICEÑO | 49,85 |
| 5113 | ANTIOQUIA | BURITICA | 22,83 |
| 5120 | ANTIOQUIA | CACERES | 70,72 |
| 5125 | ANTIOQUIA | CAICEDO | 23,68 |
| 5129 | ANTIOQUIA | CALDAS | 52,50 |
| 5134 | ANTIOQUIA | CAMPAMENTO | 40,13 |
| 5138 | ANTIOQUIA | CAÑASGORDAS | 36,94 |
| 5142 | ANTIOQUIA | CARACOLI | 47,45 |
| 5145 | ANTIOQUIA | CARAMANTA | 41,08 |
| 5147 | ANTIOQUIA | CAREPA | 41,94 |
| 5148 | ANTIOQUIA | CARMEN D VIBORAL | 28,75 |
| 5150 | ANTIOQUIA | CAROLINA | 46,02 |
| 5154 | ANTIOQUIA | CAUCASIA | 55,77 |
| 5172 | ANTIOQUIA | CHIGORODO | 48,05 |
| 5190 | ANTIOQUIA | CISNEROS | 63,82 |
| 5101 | ANTIOQUIA | BOLIVAR | 47,08 |
| 5197 | ANTIOQUIA | COCORNA | 57,71 |
| 5206 | ANTIOQUIA | CONCEPCION | 37,11 |
| 5209 | ANTIOQUIA | CONCORDIA | 42,28 |
| 5212 | ANTIOQUIA | COPACABANA | 27,70 |
| 5234 | ANTIOQUIA | DABEIBA | 24,69 |
| 5237 | ANTIOQUIA | DON MATIAS | 40,64 |
| 5240 | ANTIOQUIA | EBEJICO | 33,97 |
| 5250 | ANTIOQUIA | EL BAGRE | 66,03 |
| 5264 | ANTIOQUIA | ENTRERRIOS | 21,81 |
| 5266 | ANTIOQUIA | ENVIGADO | 35,94 |
| 5282 | ANTIOQUIA | FREDONIA | 57,33 |
| 5284 | ANTIOQUIA | FRONTINO | 43,85 |
| 5306 | ANTIOQUIA | GIRALDO | 25,77 |
| 5308 | ANTIOQUIA | GIRARDOTA | 31,56 |
| 5310 | ANTIOQUIA | GOMEZ PLATA | 45,94 |
| 5313 | ANTIOQUIA | GRANADA | 40,00 |
| 5315 | ANTIOQUIA | GUADALUPE | 41,05 |
| 5318 | ANTIOQUIA | GUARNE | 24,83 |
| 5321 | ANTIOQUIA | GUATAPE | 55,97 |
| 5347 | ANTIOQUIA | HELICONIA | 51,45 |
| 5353 | ANTIOQUIA | HISPANIA | 42,94 |
| 5360 | ANTIOQUIA | ITAGUI | 36,01 |
| 5361 | ANTIOQUIA | ITUANGO | 31,06 |
| 5364 | ANTIOQUIA | JARDIN | 49,17 |
| 5368 | ANTIOQUIA | JERICO | 41,99 |
| 5376 | ANTIOQUIA | LA CEJA | 30,31 |
| 5380 | ANTIOQUIA | LA ESTRELLA | 45,42 |
| 5390 | ANTIOQUIA | LA PINTADA | 33,63 |
| 5400 | ANTIOQUIA | LA UNION | 41,43 |
| 5411 | ANTIOQUIA | LIBORINA | 22,80 |
| 5425 | ANTIOQUIA | MACEO | 53,38 |
| 5440 | ANTIOQUIA | MARINILLA | 27,68 |
| 5001 | ANTIOQUIA | MEDELLIN | 28,30 |
| 5467 | ANTIOQUIA | MONTEBELLO | 29,72 |
| 5475 | ANTIOQUIA | MURINDO | 50,68 |
| 5480 | ANTIOQUIA | MUTATA | 54,02 |
| 5483 | ANTIOQUIA | NARIÑO | 62,70 |
| 5495 | ANTIOQUIA | NECHI | 67,90 |
| 5490 | ANTIOQUIA | NECOCLI | 51,51 |
| 5501 | ANTIOQUIA | OLAYA | 21,13 |
| 5541 | ANTIOQUIA | PEÑOL | 28,21 |
| 5543 | ANTIOQUIA | PEQUE | 26,80 |
| 5576 | ANTIOQUIA | PUEBLORRICO | 42,64 |
| 5579 | ANTIOQUIA | PUERTO BERRIO | 73,10 |
| 5585 | ANTIOQUIA | PTO NARE | 55,04 |
| 5591 | ANTIOQUIA | PUERTO TRIUNFO | 61,31 |
| 5604 | ANTIOQUIA | REMEDIOS | 64,92 |
| 5607 | ANTIOQUIA | RETIRO | 30,24 |
| 5615 | ANTIOQUIA | RIONEGRO | 27,63 |
| 5628 | ANTIOQUIA | SABANALARGA | 19,03 |
| 5631 | ANTIOQUIA | SABANETA | 45,68 |
| 5642 | ANTIOQUIA | SALGAR | 46,87 |
| 5647 | ANTIOQUIA | SAN ANDRES | 26,34 |
| 5649 | ANTIOQUIA | SAN CARLOS | 69,73 |
| 5652 | ANTIOQUIA | SAN FRANCISCO | 82,26 |
| 5656 | ANTIOQUIA | SAN JERONIMO | 27,95 |
| 5658 | ANTIOQUIA | SN JSE D MONTAÑA | 22,47 |
| 5659 | ANTIOQUIA | SN JUAN DE URABA | 54,15 |
| 5660 | ANTIOQUIA | SAN LUIS | 63,65 |
| 5664 | ANTIOQUIA | SAN PEDRO | 19,22 |
| 5665 | ANTIOQUIA | SN PEDRO D URABA | 35,14 |
| 5667 | ANTIOQUIA | SAN RAFAEL | 71,38 |
| 5670 | ANTIOQUIA | SAN ROQUE | 53,60 |
| 5674 | ANTIOQUIA | SAN VICENTE | 25,28 |
| 5679 | ANTIOQUIA | SANTA BARBARA | 31,22 |
| 5042 | ANTIOQUIA | ANTIOQUIA | 17,92 |
| 5686 | ANTIOQUIA | STA ROSA DE OSOS | 24,31 |
| 5690 | ANTIOQUIA | SANTO DOMINGO | 54,23 |
| 5697 | ANTIOQUIA | SANTUARIO | 32,36 |
| 5736 | ANTIOQUIA | SEGOVIA | 65,03 |
| 5756 | ANTIOQUIA | SONSON | 33,32 |
| 5761 | ANTIOQUIA | SOPETRAN | 25,87 |
| 5789 | ANTIOQUIA | TAMESIS | 41,01 |
| 5790 | ANTIOQUIA | TARAZA | 70,75 |
| 5792 | ANTIOQUIA | TARSO | 40,10 |
| 5809 | ANTIOQUIA | TITIRIBI | 36,71 |
| 5819 | ANTIOQUIA | TOLEDO | 28,19 |
| 5837 | ANTIOQUIA | TURBO | 48,00 |
| 5842 | ANTIOQUIA | URAMITA | 30,41 |
| 5847 | ANTIOQUIA | URRAO | 31,33 |
| 5854 | ANTIOQUIA | VALDIVIA | 67,89 |
| 5856 | ANTIOQUIA | VALPARAISO | 32,61 |
| 5858 | ANTIOQUIA | VEGACHI | 50,52 |
| 5861 | ANTIOQUIA | VENECIA | 59,41 |
| 5873 | ANTIOQUIA | VIGIA DEL FUERTE | 48,88 |
| 5885 | ANTIOQUIA | YALI | 37,75 |
| 5887 | ANTIOQUIA | YARUMAL | 32,54 |
| 5890 | ANTIOQUIA | YOLOMBO | 41,23 |
| 5893 | ANTIOQUIA | YONDO | 52,01 |
| 5895 | ANTIOQUIA | ZARAGOZA | 61,81 |
| 81001 | ARAUCA | ARAUCA | 22,85 |
| 81065 | ARAUCA | ARAUQUITA | 21,41 |
| 81220 | ARAUCA | CRAVO NORTE | 24,85 |
| 81300 | ARAUCA | FORTUL | 24,44 |
| 81591 | ARAUCA | PUERTO RONDON | 22,03 |
| 81736 | ARAUCA | SARAVENA | 31,99 |
| 81794 | ARAUCA | TAME | 24,93 |
| 8078 | ATLANTICO | BARANOA | 33,50 |
| 8001 | ATLANTICO | BARRANQUILLA | 27,25 |
| 8137 | ATLANTICO | CAMPO DE LA CRUZ | 34,61 |
| 8141 | ATLANTICO | CANDELARIA | 33,39 |
| 8296 | ATLANTICO | GALAPA | 38,05 |
| 8372 | ATLANTICO | JUAN DE ACOSTA | 21,97 |
| 8421 | ATLANTICO | LURUACO | 27,65 |
| 8433 | ATLANTICO | MALAMBO | 15,35 |
| 8436 | ATLANTICO | MANATI | 33,40 |
| 8520 | ATLANTICO | PALMAR DE VARELA | 30,45 |
| 8549 | ATLANTICO | PIOJO | 25,51 |
| 8558 | ATLANTICO | POLONUEVO | 31,79 |
| 8560 | ATLANTICO | PONEDERA | 29,40 |
| 8573 | ATLANTICO | PUERTO COLOMBIA | 31,38 |
| 8606 | ATLANTICO | REPELON | 25,61 |
| 8634 | ATLANTICO | SABANAGRANDE | 21,36 |
| 8638 | ATLANTICO | SABANALARGA | 33,81 |
| 8675 | ATLANTICO | SANTA LUCIA | 38,43 |
| 8685 | ATLANTICO | SANTO TOMAS | 30,42 |
| 8758 | ATLANTICO | SOLEDAD | 27,24 |
| 8770 | ATLANTICO | SUAN | 37,35 |
| 8832 | ATLANTICO | TUBARA | 22,01 |
| 8849 | ATLANTICO | USIACURI | 33,20 |
| 13006 | BOLIVAR | ACHI | 66,00 |
| 13030 | BOLIVAR | ALTOS DEL ROSARIO | 45,44 |
| 13042 | BOLIVAR | ARENAL | 34,80 |
| 13052 | BOLIVAR | ARJONA | 48,66 |
| 13062 | BOLIVAR | ARROYOHONDO | 38,31 |
| 13074 | BOLIVAR | BARRANCO DE LOBA | 66,17 |
| 13140 | BOLIVAR | CALAMAR | 26,87 |
| 13160 | BOLIVAR | CANTAGALLO | 58,62 |
| 13001 | BOLIVAR | CARTAGENA | 32,81 |
| 13188 | BOLIVAR | CICUCO | 42,79 |
| 13222 | BOLIVAR | CLEMENCIA | 39,87 |
| 13212 | BOLIVAR | CORDOBA | 25,82 |
| 13244 | BOLIVAR | CARMEN D BOLIVAR | 36,13 |
| 13248 | BOLIVAR | EL GUAMO | 36,94 |
| 13268 | BOLIVAR | EL PEÑON | 50,79 |
| 13300 | BOLIVAR | HATILLO DE LOBA | 67,90 |
| 13430 | BOLIVAR | MAGANGUE | 37,29 |
| 13433 | BOLIVAR | MAHATES | 50,77 |
| 13440 | BOLIVAR | MARGARITA | 47,27 |
| 13442 | BOLIVAR | MARIA LA BAJA | 55,62 |
| 13468 | BOLIVAR | MOMPOS | 49,93 |
| 13458 | BOLIVAR | MONTECRISTO | 88,32 |
| 13473 | BOLIVAR | MORALES | 36,68 |
| 13490 | BOLIVAR | NOROSI | 46,95 |
| 13549 | BOLIVAR | PINILLOS | 53,75 |
| 13580 | BOLIVAR | REGIDOR | 63,21 |
| 13600 | BOLIVAR | RIO VIEJO | 59,43 |
| 13620 | BOLIVAR | SAN CRISTOBAL | 29,76 |
| 13647 | BOLIVAR | SAN ESTANISLAO | 21,37 |
| 13650 | BOLIVAR | SAN FERNANDO | 47,71 |
| 13654 | BOLIVAR | SAN JACINTO | 40,49 |
| 13655 | BOLIVAR | SAN JACINTO DEL CAUCA | 82,08 |
| 13657 | BOLIVAR | SAN JUAN NEPOMUCENO | 44,22 |
| 13667 | BOLIVAR | SAN MARTIN DE LOBA | 67,88 |
| 13670 | BOLIVAR | SAN PABLO | 56,92 |
| 13673 | BOLIVAR | SANTA CATALINA | 31,90 |
| 13683 | BOLIVAR | SANTA ROSA | 41,72 |
| 13688 | BOLIVAR | STA ROSA DEL SUR | 43,37 |
| 13744 | BOLIVAR | SIMITI | 41,98 |
| 13760 | BOLIVAR | SOPLAVIENTO | 21,42 |
| 13780 | BOLIVAR | TALAIGUA NUEVO | 42,87 |
| 13810 | BOLIVAR | TIQUISIO | 51,62 |
| 13836 | BOLIVAR | TURBACO | 26,76 |
| 13838 | BOLIVAR | TURBANA | 27,17 |
| 13873 | BOLIVAR | VILLANUEVA | 29,75 |
| 13894 | BOLIVAR | ZAMBRANO | 28,49 |
| 15022 | BOYACA | ALMEIDA | 5,02 |
| 15047 | BOYACA | AQUITANIA | -4,63 |
| 15051 | BOYACA | ARCABUCO | 18,41 |
| 15087 | BOYACA | BELEN | 8,73 |
| 15090 | BOYACA | BERBEO | 15,58 |
| 15092 | BOYACA | BETEITIVA | 8,89 |
| 15097 | BOYACA | BOAVITA | 8,84 |
| 15104 | BOYACA | BOYACA | 6,31 |
| 15106 | BOYACA | BRICEÑO | 52,86 |
| 15109 | BOYACA | BUENAVISTA | 25,15 |
| 15114 | BOYACA | BUSBANZA | 6,17 |
| 15131 | BOYACA | CALDAS | 22,68 |
| 15135 | BOYACA | CAMPOHERMOSO | 24,68 |
| 15162 | BOYACA | CERINZA | 10,53 |
| 15172 | BOYACA | CHINAVITA | 8,52 |
| 15176 | BOYACA | CHIQUINQUIRA | 23,03 |
| 15232 | BOYACA | CHIQUIZA | 15,89 |
| 15180 | BOYACA | CHISCAS | 17,75 |
| 15183 | BOYACA | CHITA | -2,06 |
| 15185 | BOYACA | CHITARAQUE | 44,63 |
| 15187 | BOYACA | CHIVATA | 11,78 |
| 15236 | BOYACA | CHIVOR | 12,17 |
| 15189 | BOYACA | CIENEGA | 15,26 |
| 15204 | BOYACA | COMBITA | 13,42 |
| 15212 | BOYACA | COPER | 64,13 |
| 15215 | BOYACA | CORRALES | 6,48 |
| 15218 | BOYACA | COVARACHIA | 18,43 |
| 15223 | BOYACA | CUBARA | 41,18 |
| 15224 | BOYACA | CUCAITA | 12,26 |
| 15226 | BOYACA | CUITIVA | 1,44 |
| 15238 | BOYACA | DUITAMA | 9,87 |
| 15244 | BOYACA | EL COCUY | 8,75 |
| 15248 | BOYACA | EL ESPINO | 18,24 |
| 15272 | BOYACA | FIRAVITOBA | 8,28 |
| 15276 | BOYACA | FLORESTA | 7,05 |
| 15293 | BOYACA | GACHANTIVA | 28,54 |
| 15296 | BOYACA | GAMEZA | 1,50 |
| 15299 | BOYACA | GARAGOA | 16,03 |
| 15317 | BOYACA | GUACAMAYAS | 18,07 |
| 15322 | BOYACA | GUATEQUE | 14,05 |
| 15325 | BOYACA | GUAYATA | 14,08 |
| 15332 | BOYACA | GUICAN | 10,48 |
| 15362 | BOYACA | IZA | 2,24 |
| 15367 | BOYACA | JENESANO | 13,45 |
| 15368 | BOYACA | JERICO | -3,67 |
| 15380 | BOYACA | LA CAPILLA | 14,18 |
| 15403 | BOYACA | LA UVITA | 8,04 |
| 15401 | BOYACA | LA VICTORIA | 64,29 |
| 15377 | BOYACA | LABRANZAGRANDE | 17,60 |
| 15425 | BOYACA | MACANAL | 15,42 |
| 15442 | BOYACA | MARIPI | 31,66 |
| 15455 | BOYACA | MIRAFLORES | 16,00 |
| 15464 | BOYACA | MONGUA | -1,87 |
| 15466 | BOYACA | MONGUI | 4,95 |
| 15469 | BOYACA | MONIQUIRA | 50,40 |
| 15476 | BOYACA | MOTAVITA | 10,72 |
| 15480 | BOYACA | MUZO | 62,18 |
| 15491 | BOYACA | NOBSA | 9,96 |
| 15494 | BOYACA | NUEVO COLON | 11,95 |
| 15500 | BOYACA | OICATA | 13,65 |
| 15507 | BOYACA | OTANCHE | 72,93 |
| 15511 | BOYACA | PACAVITA | 5,22 |
| 15514 | BOYACA | PAEZ | 21,69 |
| 15516 | BOYACA | PAIPA | 12,10 |
| 15518 | BOYACA | PAJARITO | 36,01 |
| 15522 | BOYACA | PANQUEBA | 13,11 |
| 15531 | BOYACA | PAUNA | 34,87 |
| 15533 | BOYACA | PAYA | 20,03 |
| 15537 | BOYACA | PAZ DE RIO | 12,29 |
| 15542 | BOYACA | PESCA | 3,79 |
| 15550 | BOYACA | PISVA | 13,18 |
| 15572 | BOYACA | PUERTO BOYACA | 58,51 |
| 15580 | BOYACA | QUIPAMA | 64,95 |
| 15599 | BOYACA | RAMIRIQUI | 4,89 |
| 15600 | BOYACA | RAQUIRA | 20,00 |
| 15621 | BOYACA | RONDON | 17,78 |
| 15632 | BOYACA | SABOYA | 28,45 |
| 15638 | BOYACA | SACHICA | 17,21 |
| 15646 | BOYACA | SAMACA | 15,32 |
| 15660 | BOYACA | SAN EDUARDO | 14,24 |
| 15664 | BOYACA | SAN JOSE DE PARE | 33,55 |
| 15667 | BOYACA | SN LUIS D GACENO | 39,16 |
| 15673 | BOYACA | SAN MATEO | 7,84 |
| 15676 | BOYACA | SN MIGUEL D SEMA | 26,51 |
| 15681 | BOYACA | SN PABLO BORBUR | 51,29 |
| 15690 | BOYACA | SANTA MARIA | 35,50 |
| 15693 | BOYACA | STA ROSA VITERBO | 8,00 |
| 15696 | BOYACA | SANTA SOFIA | 24,97 |
| 15686 | BOYACA | SANTANA | 32,92 |
| 15720 | BOYACA | SATIVANORTE | 13,85 |
| 15723 | BOYACA | SATIVASUR | 13,88 |
| 15740 | BOYACA | SIACHOQUE | 5,28 |
| 15753 | BOYACA | SOATA | 8,54 |
| 15757 | BOYACA | SOCHA | 8,91 |
| 15755 | BOYACA | SOCOTA | 2,54 |
| 15759 | BOYACA | SOGAMOSO | 8,30 |
| 15761 | BOYACA | SOMONDOCO | 14,70 |
| 15762 | BOYACA | SORA | 10,60 |
| 15764 | BOYACA | SORACA | 1,35 |
| 15763 | BOYACA | SOTAQUIRA | 21,68 |
| 15774 | BOYACA | SUSACON | 12,86 |
| 15776 | BOYACA | SUTAMARCHAN | 23,96 |
| 15778 | BOYACA | SUTATENZA | 13,54 |
| 15790 | BOYACA | TASCO | 9,14 |
| 15798 | BOYACA | TENZA | 14,98 |
| 15804 | BOYACA | TIBANA | 11,59 |
| 15806 | BOYACA | TIBASOSA | 8,12 |
| 15808 | BOYACA | TINJACA | 17,35 |
| 15810 | BOYACA | TIPACOQUE | 16,79 |
| 15814 | BOYACA | TOCA | 10,04 |
| 15816 | BOYACA | TOGUI | 50,42 |
| 15820 | BOYACA | TOPAGA | 4,51 |
| 15822 | BOYACA | TOTA | 0,87 |
| 15001 | BOYACA | TUNJA | 9,32 |
| 15832 | BOYACA | TUNUNGUA | 52,72 |
| 15835 | BOYACA | TURMEQUE | 11,86 |
| 15837 | BOYACA | TUTA | 12,84 |
| 15839 | BOYACA | TUTASA | 7,77 |
| 15842 | BOYACA | UMBITA | 3,21 |
| 15861 | BOYACA | VENTAQUEMADA | 14,89 |
| 15407 | BOYACA | VILLA DE LEYVA | 17,24 |
| 15879 | BOYACA | VIRACACHA | 2,47 |
| 15897 | BOYACA | ZETAQUIRA | 20,26 |
| 17013 | CALDAS | AGUADAS | 25,31 |
| 17042 | CALDAS | ANSERMA | 38,10 |
| 17050 | CALDAS | ARANZAZU | 26,86 |
| 17088 | CALDAS | BELALCAZAR | 35,70 |
| 17174 | CALDAS | CHINCHINA | 40,18 |
| 17272 | CALDAS | FILADELFIA | 28,44 |
| 17380 | CALDAS | LA DORADA | 52,35 |
| 17388 | CALDAS | LA MERCED | 26,65 |
| 17001 | CALDAS | MANIZALES | 23,07 |
| 17433 | CALDAS | MANZANARES | 43,10 |
| 17442 | CALDAS | MARMATO | 37,39 |
| 17444 | CALDAS | MARQUETALIA | 47,91 |
| 17446 | CALDAS | MARULANDA | 19,27 |
| 17486 | CALDAS | NEIRA | 26,53 |
| 17495 | CALDAS | NORCASIA | 77,06 |
| 17513 | CALDAS | PACORA | 35,51 |
| 17524 | CALDAS | PALESTINA | 39,25 |
| 17541 | CALDAS | PENSILVANIA | 44,36 |
| 17614 | CALDAS | RIOSUCIO | 45,59 |
| 17616 | CALDAS | RISARALDA | 31,71 |
| 17653 | CALDAS | SALAMINA | 29,82 |
| 17662 | CALDAS | SAMANA | 92,00 |
| 17665 | CALDAS | SAN JOSE | 31,68 |
| 17777 | CALDAS | SUPIA | 35,65 |
| 17867 | CALDAS | VICTORIA | 58,90 |
| 17873 | CALDAS | VILLAMARIA | 26,59 |
| 17877 | CALDAS | VITERBO | 32,48 |
| 18029 | CAQUETA | ALBANIA | 38,70 |
| 18094 | CAQUETA | BELEN ANDAQUIES | 28,53 |
| 18150 | CAQUETA | CARTAGENA DE CHAIRA | 24,09 |
| 18205 | CAQUETA | CURILLO | 25,66 |
| 18247 | CAQUETA | EL DONCELLO | 36,02 |
| 18256 | CAQUETA | EL PAUJIL | 34,16 |
| 18001 | CAQUETA | FLORENCIA | 39,29 |
| 18410 | CAQUETA | LA MONTAÑITA | 26,19 |
| 18460 | CAQUETA | MILAN | 25,60 |
| 18479 | CAQUETA | MORELIA | 39,24 |
| 18592 | CAQUETA | PUERTO RICO | 40,01 |
| 18610 | CAQUETA | SAN JOSE DE FRAGUA | 41,55 |
| 18753 | CAQUETA | SAN VICENTE CAGUAN | 21,47 |
| 18756 | CAQUETA | SOLANO | 23,77 |
| 18785 | CAQUETA | SOLITA | 23,11 |
| 18860 | CAQUETA | VALPARAISO | 25,00 |
| 85010 | CASANARE | AGUAZUL | 38,18 |
| 85015 | CASANARE | CHAMEZA | 25,81 |
| 85125 | CASANARE | HATO COROZAL | 20,02 |
| 85136 | CASANARE | LA SALINA | 10,13 |
| 85139 | CASANARE | MANI | 23,61 |
| 85162 | CASANARE | MONTERREY | 38,05 |
| 85225 | CASANARE | NUNCHIA | 28,03 |
| 85230 | CASANARE | OROCUE | 30,42 |
| 85250 | CASANARE | PAZ DE ARIPORO | 24,08 |
| 85263 | CASANARE | PORE | 23,81 |
| 85279 | CASANARE | RECETOR | 31,98 |
| 85300 | CASANARE | SABANALARGA | 40,62 |
| 85315 | CASANARE | SACAMA | 22,78 |
| 85325 | CASANARE | SN LUIS PALENQUE | 19,51 |
| 85400 | CASANARE | TAMARA | 21,67 |
| 85410 | CASANARE | TAURAMENA | 43,66 |
| 85430 | CASANARE | TRINIDAD | 19,39 |
| 85440 | CASANARE | VILLANUEVA | 31,33 |
| 85001 | CASANARE | YOPAL | 33,78 |
| 19022 | CAUCA | ALMAGUER | 3,60 |
| 19050 | CAUCA | ARGELIA | 10,66 |
| 19075 | CAUCA | BALBOA | 12,42 |
| 19100 | CAUCA | BOLIVAR | 16,15 |
| 19110 | CAUCA | BUENOS AIRES | 39,46 |
| 19130 | CAUCA | CAJIBIO | 32,72 |
| 19137 | CAUCA | CALDONO | 21,10 |
| 19142 | CAUCA | CALOTO | 28,48 |
| 19212 | CAUCA | CORINTO | 21,89 |
| 19256 | CAUCA | EL TAMBO | 33,21 |
| 19290 | CAUCA | FLORENCIA | 9,55 |
| 19300 | CAUCA | GUACHENE | 23,76 |
| 19318 | CAUCA | GUAPI | 40,45 |
| 19355 | CAUCA | INZA | 5,74 |
| 19364 | CAUCA | JAMBALO | 12,98 |
| 19392 | CAUCA | LA SIERRA | 25,18 |
| 19397 | CAUCA | LA VEGA | 6,15 |
| 19418 | CAUCA | LOPEZ | 52,84 |
| 19450 | CAUCA | MERCADERES | 19,28 |
| 19455 | CAUCA | MIRANDA | 20,90 |
| 19473 | CAUCA | MORALES | 28,09 |
| 19513 | CAUCA | PADILLA | 21,29 |
| 19517 | CAUCA | PAEZ | 6,38 |
| 19532 | CAUCA | PATIA | 23,30 |
| 19533 | CAUCA | PIAMONTE | 23,63 |
| 19548 | CAUCA | PIENDAMO | 24,99 |
| 19001 | CAUCA | POPAYAN | 18,66 |
| 19573 | CAUCA | PUERTO TEJADA | 20,93 |
| 19585 | CAUCA | PURACE | 7,78 |
| 19622 | CAUCA | ROSAS | 27,05 |
| 19693 | CAUCA | SAN SEBASTIAN | -0,17 |
| 19701 | CAUCA | SANTA ROSA | 7,44 |
| 19698 | CAUCA | SANTANDER DE QUILICHAO | 31,54 |
| 19743 | CAUCA | SILVIA | 3,81 |
| 19760 | CAUCA | SOTARA | 6,54 |
| 19780 | CAUCA | SUAREZ | 42,04 |
| 19785 | CAUCA | SUCRE | 15,12 |
| 19807 | CAUCA | TIMBIO | 19,82 |
| 19809 | CAUCA | TIMBIQUI | 30,01 |
| 19821 | CAUCA | TORIBIO | 14,38 |
| 19824 | CAUCA | TOTORO | 4,08 |
| 19845 | CAUCA | VILLA RICA | 25,08 |
| 20011 | CESAR | AGUACHICA | 36,57 |
| 20013 | CESAR | AGUSTIN CODAZZI | 48,31 |
| 20032 | CESAR | ASTREA | 47,38 |
| 20045 | CESAR | BECERRIL | 36,17 |
| 20060 | CESAR | BOSCONIA | 37,76 |
| 20175 | CESAR | CHIMICHAGUA | 52,31 |
| 20178 | CESAR | CHIRIGUANA | 38,03 |
| 20228 | CESAR | CURUMANI | 35,76 |
| 20238 | CESAR | EL COPEY | 30,94 |
| 20250 | CESAR | EL PASO | 29,77 |
| 20295 | CESAR | GAMARRA | 46,00 |
| 20310 | CESAR | GONZALEZ | 16,29 |
| 20383 | CESAR | LA GLORIA | 63,21 |
| 20400 | CESAR | JAGUA DE IBIRICO | 38,75 |
| 20621 | CESAR | LA PAZ | 35,07 |
| 20443 | CESAR | MANAURE DL CESAR | 22,76 |
| 20517 | CESAR | PAILITAS | 47,65 |
| 20550 | CESAR | PELAYA | 53,27 |
| 20570 | CESAR | PUEBLO BELLO | 37,61 |
| 20614 | CESAR | RIO DE ORO | 18,01 |
| 20710 | CESAR | SAN ALBERTO | 41,59 |
| 20750 | CESAR | SAN DIEGO | 43,92 |
| 20770 | CESAR | SAN MARTIN | 47,75 |
| 20787 | CESAR | TAMALAMEQUE | 42,68 |
| 20001 | CESAR | VALLEDUPAR | 31,80 |
| 27006 | CHOCO | ACANDI | 33,58 |
| 27025 | CHOCO | ALTO BAUDO | 47,73 |
| 27050 | CHOCO | ATRATO | 72,50 |
| 27073 | CHOCO | BAGADO | 75,78 |
| 27075 | CHOCO | BAHIA SOLANO | 77,35 |
| 27077 | CHOCO | BAJO BAUDO | 66,79 |
| 27099 | CHOCO | BOJAYA | 48,86 |
| 27150 | CHOCO | CARMEN DEL DARIEN | 45,53 |
| 27160 | CHOCO | CERTEGUI | 87,26 |
| 27205 | CHOCO | CONDOTO | 79,78 |
| 27135 | CHOCO | CANTON DE SAN PABLO | 66,48 |
| 27245 | CHOCO | EL CARMEN | 41,86 |
| 27250 | CHOCO | EL LITORAL SAN JUAN | 51,19 |
| 27361 | CHOCO | ITSMINA | 79,76 |
| 27372 | CHOCO | JURADO | 47,46 |
| 27413 | CHOCO | LLORO | 88,66 |
| 27425 | CHOCO | MEDIO ATRATO | 54,51 |
| 27430 | CHOCO | MEDIO BAUDO | 43,29 |
| 27450 | CHOCO | MEDIO SAN JUAN | 79,82 |
| 27491 | CHOCO | NOVITA | 73,49 |
| 27495 | CHOCO | NUQUI | 58,60 |
| 27001 | CHOCO | QUIBDO | 72,72 |
| 27580 | CHOCO | RIO IRO | 84,19 |
| 27600 | CHOCO | RIO QUITO | 67,62 |
| 27615 | CHOCO | RIOSUCIO | 37,31 |
| 27660 | CHOCO | SAN JOSE DEL PALMAR | 42,16 |
| 27745 | CHOCO | SIPI | 57,84 |
| 27787 | CHOCO | TADO | 74,65 |
| 27800 | CHOCO | UNGUIA | 30,38 |
| 27810 | CHOCO | UNION PANAMERICANA | 73,46 |
| 23068 | CORDOBA | AYAPEL | 55,27 |
| 23079 | CORDOBA | BUENAVISTA | 41,64 |
| 23090 | CORDOBA | CANALETE | 32,31 |
| 23162 | CORDOBA | CERETE | 46,65 |
| 23168 | CORDOBA | CHIMA | 35,26 |
| 23182 | CORDOBA | CHINU | 44,56 |
| 23189 | CORDOBA | CIENAGA DE ORO | 53,25 |
| 23300 | CORDOBA | COTORRA | 31,25 |
| 23350 | CORDOBA | LA APARTADA | 45,92 |
| 23417 | CORDOBA | LORICA | 41,42 |
| 23419 | CORDOBA | LOS CORDOBAS | 47,29 |
| 23464 | CORDOBA | MOMIL | 28,46 |
| 23466 | CORDOBA | MONTELIBANO | 49,11 |
| 23001 | CORDOBA | MONTERIA | 48,16 |
| 23500 | CORDOBA | MOÑITOS | 39,37 |
| 23555 | CORDOBA | PLANETA RICA | 36,55 |
| 23570 | CORDOBA | PUEBLO NUEVO | 52,54 |
| 23574 | CORDOBA | PUERTO ESCONDIDO | 42,59 |
| 23580 | CORDOBA | PTO LIBERTADOR | 40,10 |
| 23586 | CORDOBA | PURISIMA | 29,82 |
| 23660 | CORDOBA | SAHAGUN | 50,25 |
| 23670 | CORDOBA | SN AND SOTAVENTO | 48,15 |
| 23672 | CORDOBA | SAN ANTERO | 41,46 |
| 23675 | CORDOBA | SN BERNAR VIENTO | 27,95 |
| 23678 | CORDOBA | SAN CARLOS | 32,41 |
| 23682 | CORDOBA | SAN JOSE DE URE | 51,78 |
| 23686 | CORDOBA | SAN PELAYO | 43,43 |
| 23807 | CORDOBA | TIERRALTA | 29,81 |
| 23815 | CORDOBA | TUCHIN | 46,63 |
| 23855 | CORDOBA | VALENCIA | 22,56 |
| 25001 | C/MARCA | AGUA DE DIOS | 20,62 |
| 25019 | C/MARCA | ALBAN | 16,85 |
| 25035 | C/MARCA | ANAPOIMA | 19,71 |
| 25040 | C/MARCA | ANOLAIMA | 15,49 |
| 25599 | C/MARCA | APULO | 20,12 |
| 25053 | C/MARCA | ARBELAEZ | 19,24 |
| 25086 | C/MARCA | BELTRAN | 30,85 |
| 25095 | C/MARCA | BITUIMA | 20,53 |
| 25099 | C/MARCA | BOJACA | 4,18 |
| 25120 | C/MARCA | CABRERA | 8,86 |
| 25123 | C/MARCA | CACHIPAY | 14,69 |
| 25126 | C/MARCA | CAJICA | 13,40 |
| 25148 | C/MARCA | CAPARRAPI | 31,00 |
| 25151 | C/MARCA | CAQUEZA | 4,75 |
| 25154 | C/MARCA | CARMEN DE CARUPA | 6,81 |
| 25168 | C/MARCA | CHAGUANI | 26,44 |
| 25175 | C/MARCA | CHIA | 7,86 |
| 25178 | C/MARCA | CHIPAQUE | 0,21 |
| 25181 | C/MARCA | CHOACHI | 3,59 |
| 25193 | C/MARCA | CHOCONTA | 4,13 |
| 25200 | C/MARCA | COGUA | 17,05 |
| 25214 | C/MARCA | COTA | 7,85 |
| 25224 | C/MARCA | CUCUNUBA | 11,84 |
| 25245 | C/MARCA | EL COLEGIO | 21,42 |
| 25258 | C/MARCA | EL PEÑON | 51,30 |
| 25260 | C/MARCA | EL ROSAL | 9,23 |
| 25269 | C/MARCA | FACATATIVA | 13,05 |
| 25279 | C/MARCA | FOMEQUE | 4,93 |
| 25281 | C/MARCA | FOSCA | 6,19 |
| 25286 | C/MARCA | FUNZA | 9,31 |
| 25288 | C/MARCA | FUQUENE | 11,30 |
| 25290 | C/MARCA | FUSAGASUGA | 17,80 |
| 25293 | C/MARCA | GACHALA | 10,34 |
| 25295 | C/MARCA | GACHANCIPA | 5,68 |
| 25297 | C/MARCA | GACHETA | 16,93 |
| 25299 | C/MARCA | GAMA | 12,24 |
| 25307 | C/MARCA | GIRARDOT | 31,45 |
| 25312 | C/MARCA | GRANADA | 6,91 |
| 25317 | C/MARCA | GUACHETA | 17,49 |
| 25320 | C/MARCA | GUADUAS | 28,33 |
| 25322 | C/MARCA | GUASCA | 2,86 |
| 25324 | C/MARCA | GUATAQUI | 24,09 |
| 25326 | C/MARCA | GUATAVITA | 13,03 |
| 25328 | C/MARCA | GUAY DE SIQUIMA | 16,92 |
| 25335 | C/MARCA | GUAYABETAL | 23,29 |
| 25339 | C/MARCA | GUTIERREZ | 5,29 |
| 25368 | C/MARCA | JERUSALEN | 23,93 |
| 25372 | C/MARCA | JUNIN | 14,59 |
| 25377 | C/MARCA | LA CALERA | 8,33 |
| 25386 | C/MARCA | LA MESA | 16,72 |
| 25394 | C/MARCA | LA PALMA | 42,05 |
| 25398 | C/MARCA | LA PEÑA | 36,88 |
| 25402 | C/MARCA | LA VEGA | 28,90 |
| 25407 | C/MARCA | LENGUAZAQUE | 11,76 |
| 25426 | C/MARCA | MACHETA | 3,28 |
| 25430 | C/MARCA | MADRID | 4,30 |
| 25436 | C/MARCA | MANTA | 13,78 |
| 25438 | C/MARCA | MEDINA | 35,76 |
| 25473 | C/MARCA | MOSQUERA | 4,11 |
| 25483 | C/MARCA | NARIÑO | 21,28 |
| 25486 | C/MARCA | NEMOCON | 7,32 |
| 25488 | C/MARCA | NILO | 23,70 |
| 25489 | C/MARCA | NIMAIMA | 34,50 |
| 25491 | C/MARCA | NOCAIMA | 34,48 |
| 25513 | C/MARCA | PACHO | 20,70 |
| 25518 | C/MARCA | PAIME | 69,56 |
| 25524 | C/MARCA | PANDI | 25,69 |
| 25530 | C/MARCA | PARATEBUENO | 34,87 |
| 25535 | C/MARCA | PASCA | 12,53 |
| 25572 | C/MARCA | PUERTO SALGAR | 58,95 |
| 25580 | C/MARCA | PULI | 17,83 |
| 25592 | C/MARCA | QUEBRADANEGRA | 30,12 |
| 25594 | C/MARCA | QUETAME | 11,12 |
| 25596 | C/MARCA | QUIPILE | 16,39 |
| 25612 | C/MARCA | RICAURTE | 27,67 |
| 25645 | C/MARCA | S ANTONIO TQDAMA | 8,51 |
| 25649 | C/MARCA | SAN BERNARDO | 18,76 |
| 25653 | C/MARCA | SAN CAYETANO | 28,52 |
| 25658 | C/MARCA | SAN FRANCISCO | 27,41 |
| 25662 | C/MARCA | SN JUAN RIO SECO | 20,79 |
| 25718 | C/MARCA | SASAIMA | 39,05 |
| 25736 | C/MARCA | SESQUILE | 1,17 |
| 25740 | C/MARCA | SIBATE | 3,27 |
| 25743 | C/MARCA | SILVANIA | 23,90 |
| 25745 | C/MARCA | SIMIJACA | 10,76 |
| 25754 | C/MARCA | SOACHA | 6,19 |
| 25758 | C/MARCA | SOPO | 7,98 |
| 25769 | C/MARCA | SUBACHOQUE | 8,12 |
| 25772 | C/MARCA | SUESCA | -1,11 |
| 25777 | C/MARCA | SUPATA | 22,18 |
| 25779 | C/MARCA | SUSA | 18,38 |
| 25781 | C/MARCA | SUTATAUSA | 8,33 |
| 25785 | C/MARCA | TABIO | 6,66 |
| 25793 | C/MARCA | TAUSA | 12,82 |
| 25797 | C/MARCA | TENA | 14,15 |
| 25799 | C/MARCA | TENJO | 7,86 |
| 25805 | C/MARCA | TIBACUY | 18,24 |
| 25807 | C/MARCA | TIBIRITA | 13,58 |
| 25815 | C/MARCA | TOCAIMA | 20,62 |
| 25817 | C/MARCA | TOCANCIPA | 12,30 |
| 25823 | C/MARCA | TOPAIPI | 51,36 |
| 25839 | C/MARCA | UBALA | 9,79 |
| 25841 | C/MARCA | UBAQUE | 6,46 |
| 25843 | C/MARCA | UBATE | 8,40 |
| 25845 | C/MARCA | UNE | 2,04 |
| 25851 | C/MARCA | UTICA | 29,55 |
| 25506 | C/MARCA | VENECIA | 23,74 |
| 25862 | C/MARCA | VERGARA | 32,17 |
| 25867 | C/MARCA | VIANI | 17,34 |
| 25871 | C/MARCA | VILLAGOMEZ | 48,04 |
| 25873 | C/MARCA | VILLAPINZON | 3,80 |
| 25875 | C/MARCA | VILLETA | 31,64 |
| 25878 | C/MARCA | VIOTA | 24,19 |
| 25885 | C/MARCA | YACOPI | 57,96 |
| 25898 | C/MARCA | ZIPACON | 8,55 |
| 25899 | C/MARCA | ZIPAQUIRA | 15,19 |
| 94343 | GUAINIA | BARRANCO MINAS | 24,61 |
| 94886 | GUAINIA | CACAHUAL | 23,44 |
| 94001 | GUAINIA | INIRIDA | 22,97 |
| 94885 | GUAINIA | LA GUADALUPE | 23,23 |
| 94663 | GUAINIA | MAPIRIPANA | 24,51 |
| 94888 | GUAINIA | MORICHAL NUEVO | 28,24 |
| 94887 | GUAINIA | PANA PANA | 23,87 |
| 94884 | GUAINIA | PUERTO COLOMBIA | 22,29 |
| 94883 | GUAINIA | SAN FELIPE | 7,00 |
| 95015 | GUAVIARE | CALAMAR | 26,33 |
| 95025 | GUAVIARE | EL RETORNO | 34,57 |
| 95200 | GUAVIARE | MIRAFLORES | 25,58 |
| 95001 | GUAVIARE | SN JOSE GUAVIARE | 28,55 |
| 41006 | HUILA | ACEVEDO | 20,58 |
| 41013 | HUILA | AGRADO | 12,29 |
| 41016 | HUILA | AIPE | 25,41 |
| 41020 | HUILA | ALGECIRAS | 17,60 |
| 41026 | HUILA | ALTAMIRA | 17,97 |
| 41078 | HUILA | BARAYA | 15,69 |
| 41132 | HUILA | CAMPOALEGRE | 13,16 |
| 41206 | HUILA | COLOMBIA | 16,18 |
| 41244 | HUILA | ELIAS | 7,23 |
| 41298 | HUILA | GARZON | 10,52 |
| 41306 | HUILA | GIGANTE | 21,67 |
| 41319 | HUILA | GUADALUPE | 18,82 |
| 41349 | HUILA | HOBO | 21,36 |
| 41357 | HUILA | IQUIRA | 24,76 |
| 41359 | HUILA | ISNOS | 17,23 |
| 41378 | HUILA | LA ARGENTINA | 7,73 |
| 41396 | HUILA | LA PLATA | 20,40 |
| 41483 | HUILA | NATAGA | 10,86 |
| 41001 | HUILA | NEIVA | 15,29 |
| 41503 | HUILA | OPORAPA | 8,29 |
| 41518 | HUILA | PAICOL | 15,05 |
| 41524 | HUILA | PALERMO | 19,30 |
| 41530 | HUILA | PALESTINA | 17,73 |
| 41548 | HUILA | PITAL | 10,27 |
| 41551 | HUILA | PITALITO | 16,27 |
| 41615 | HUILA | RIVERA | 25,30 |
| 41660 | HUILA | SALADOBLANCO | 5,75 |
| 41668 | HUILA | SAN AGUSTIN | 17,87 |
| 41676 | HUILA | SANTA MARIA | 19,90 |
| 41770 | HUILA | SUAZA | 18,28 |
| 41791 | HUILA | TARQUI | 16,34 |
| 41799 | HUILA | TELLO | 15,78 |
| 41801 | HUILA | TERUEL | 26,08 |
| 41797 | HUILA | TESALIA | 15,20 |
| 41807 | HUILA | TIMANA | 8,13 |
| 41872 | HUILA | VILLAVIEJA | 16,48 |
| 41885 | HUILA | YAGUARA | 19,56 |
| 44035 | GUAJIRA | ALBANIA | 17,89 |
| 44078 | GUAJIRA | BARRANCAS | 16,95 |
| 44090 | GUAJIRA | DIBULLA | 35,41 |
| 44098 | GUAJIRA | DISTRACCION | 27,65 |
| 44110 | GUAJIRA | EL MOLINO | 33,64 |
| 44279 | GUAJIRA | FONSECA | 19,99 |
| 44378 | GUAJIRA | HATO NUEVO | 17,03 |
| 44420 | GUAJIRA | LA JAGUA DEL PILAR | 41,75 |
| 44430 | GUAJIRA | MAICAO | 22,47 |
| 44560 | GUAJIRA | MANAURE | 14,53 |
| 44001 | GUAJIRA | RIOHACHA | 22,93 |
| 44650 | GUAJIRA | SAN JUAN DEL CESAR | 20,28 |
| 44847 | GUAJIRA | URIBIA | 8,41 |
| 44855 | GUAJIRA | URUMITA | 31,46 |
| 44874 | GUAJIRA | VILLANUEVA | 43,78 |
| 47030 | MAGDALENA | ALGARROBO | 31,15 |
| 47053 | MAGDALENA | ARACATACA | 35,57 |
| 47058 | MAGDALENA | ARIGUANI | 39,17 |
| 47161 | MAGDALENA | CERRO SN ANTONIO | 26,87 |
| 47170 | MAGDALENA | CHIVOLO | 39,70 |
| 47189 | MAGDALENA | CIENAGA | 26,37 |
| 47205 | MAGDALENA | CONCORDIA | 37,32 |
| 47245 | MAGDALENA | EL BANCO | 67,88 |
| 47258 | MAGDALENA | EL PIÑON | 32,78 |
| 47268 | MAGDALENA | EL RETEN | 36,17 |
| 47288 | MAGDALENA | FUNDACION | 36,64 |
| 47318 | MAGDALENA | GUAMAL | 33,99 |
| 47460 | MAGDALENA | NUEVA GRANADA | 47,26 |
| 47541 | MAGDALENA | PEDRAZA | 37,63 |
| 47545 | MAGDALENA | PIJIÑO DEL CARMEN | 41,81 |
| 47551 | MAGDALENA | PIVIJAY | 36,72 |
| 47555 | MAGDALENA | PLATO | 31,80 |
| 47570 | MAGDALENA | PUEBLOVIEJO | 20,36 |
| 47605 | MAGDALENA | REMOLINO | 30,46 |
| 47660 | MAGDALENA | SABANAS DE SAN ANGEL | 40,93 |
| 47675 | MAGDALENA | SALAMINA | 29,91 |
| 47692 | MAGDALENA | SAN S BUENAVISTA | 34,32 |
| 47703 | MAGDALENA | SAN ZENON | 49,93 |
| 47707 | MAGDALENA | SANTA ANA | 42,85 |
| 47720 | MAGDALENA | STA BARBARA DE PINTO | 36,18 |
| 47001 | MAGDALENA | SANTA MARTA | 13,51 |
| 47745 | MAGDALENA | SITIONUEVO | 21,92 |
| 47798 | MAGDALENA | TENERIFE | 32,52 |
| 47960 | MAGDALENA | ZAPAYAN | 40,81 |
| 47980 | MAGDALENA | ZONA BANANERA | 38,32 |
| 50006 | META | ACACIAS | 37,96 |
| 50110 | META | BARRANCA DE UPIA | 32,12 |
| 50124 | META | CABUYARO | 27,07 |
| 50150 | META | CASTILLA L NUEVA | 34,59 |
| 50223 | META | CUBARRAL | 34,21 |
| 50226 | META | CUMARAL | 52,76 |
| 50245 | META | EL CALVARIO | 16,02 |
| 50251 | META | EL CASTILLO | 33,75 |
| 50270 | META | EL DORADO | 34,39 |
| 50287 | META | FUENTE DE ORO | 32,11 |
| 50313 | META | GRANADA | 31,39 |
| 50318 | META | GUAMAL | 36,13 |
| 50350 | META | LA MACARENA | 28,28 |
| 50400 | META | LEJANIAS | 32,06 |
| 50325 | META | MAPIRIPAN | 27,24 |
| 50330 | META | MESETAS | 33,39 |
| 50450 | META | PUERTO CONCORDIA | 28,11 |
| 50568 | META | PUERTO GAITAN | 28,99 |
| 50577 | META | PUERTO LLERAS | 26,39 |
| 50573 | META | PUERTO LOPEZ | 28,27 |
| 50590 | META | PUERTO RICO | 27,98 |
| 50606 | META | RESTREPO | 52,46 |
| 50680 | META | SN CARLOS GUAROA | 28,33 |
| 50683 | META | SN JUAN DE ARAMA | 23,17 |
| 50686 | META | SAN JUANITO | 16,15 |
| 50689 | META | SAN MARTIN | 34,98 |
| 50370 | META | LA URIBE | 22,72 |
| 50001 | META | VILLAVICENCIO | 53,23 |
| 50711 | META | VISTA HERMOSA | 33,06 |
| 52019 | NARIÑO | ALBAN | 15,91 |
| 52022 | NARIÑO | ALDANA | 6,24 |
| 52036 | NARIÑO | ANCUYA | 4,60 |
| 52051 | NARIÑO | ARBOLEDA | 5,08 |
| 52079 | NARIÑO | BARBACOAS | 44,39 |
| 52083 | NARIÑO | BELEN | 13,57 |
| 52110 | NARIÑO | BUESACO | 2,53 |
| 52240 | NARIÑO | CHACHAGUI | 13,18 |
| 52203 | NARIÑO | COLON | 15,73 |
| 52207 | NARIÑO | CONSACA | 4,50 |
| 52210 | NARIÑO | CONTADERO | -0,15 |
| 52215 | NARIÑO | CORDOBA | -2,00 |
| 52224 | NARIÑO | CUASPUD | 8,57 |
| 52227 | NARIÑO | CUMBAL | -2,21 |
| 52233 | NARIÑO | CUMBITARA | 4,36 |
| 52250 | NARIÑO | EL CHARCO | 21,32 |
| 52254 | NARIÑO | EL PEÑOL | 2,89 |
| 52256 | NARIÑO | EL ROSARIO | 3,01 |
| 52258 | NARIÑO | EL TABLON | 6,40 |
| 52260 | NARIÑO | EL TAMBO | 10,52 |
| 52520 | NARIÑO | FRNCISCO PIZARRO | 30,06 |
| 52287 | NARIÑO | FUNES | 0,42 |
| 52317 | NARIÑO | GUACHUCAL | -3,01 |
| 52320 | NARIÑO | GUAITARILLA | 8,48 |
| 52323 | NARIÑO | GUALMATAN | -1,28 |
| 52352 | NARIÑO | ILES | -1,60 |
| 52354 | NARIÑO | IMUES | -0,60 |
| 52356 | NARIÑO | IPIALES | 9,08 |
| 52378 | NARIÑO | LA CRUZ | 12,18 |
| 52381 | NARIÑO | LA FLORIDA | 5,14 |
| 52385 | NARIÑO | LA LLANADA | 9,41 |
| 52390 | NARIÑO | LA TOLA | 21,02 |
| 52399 | NARIÑO | LA UNION | 7,46 |
| 52405 | NARIÑO | LEIVA | 5,63 |
| 52411 | NARIÑO | LINARES | 10,29 |
| 52418 | NARIÑO | LOS ANDES | 2,61 |
| 52427 | NARIÑO | MAGUI | 41,78 |
| 52435 | NARIÑO | MALLAMA | 7,40 |
| 52473 | NARIÑO | MOSQUERA | 19,31 |
| 52480 | NARIÑO | NARIÑO | 7,58 |
| 52490 | NARIÑO | OLAYA HERRERA | 19,91 |
| 52506 | NARIÑO | OSPINA | 8,74 |
| 52001 | NARIÑO | PASTO | 0,16 |
| 52540 | NARIÑO | POLICARPA | 3,86 |
| 52560 | NARIÑO | POTOSI | -1,54 |
| 52565 | NARIÑO | PROVIDENCIA | 0,80 |
| 52573 | NARIÑO | PUERRES | -1,63 |
| 52585 | NARIÑO | PUPIALES | 6,49 |
| 52612 | NARIÑO | RICAURTE | 30,55 |
| 52621 | NARIÑO | ROBERTO PAYAN | 28,26 |
| 52678 | NARIÑO | SAMANIEGO | 11,30 |
| 52685 | NARIÑO | SAN BERNARDO | 14,99 |
| 52687 | NARIÑO | SAN LORENZO | 5,96 |
| 52693 | NARIÑO | SAN PABLO | 6,75 |
| 52694 | NARIÑO | SN PEDRO CARTAGO | 15,32 |
| 52683 | NARIÑO | SANDONA | 4,22 |
| 52696 | NARIÑO | SANTA BARBARA | 36,59 |
| 52699 | NARIÑO | SANTACRUZ | 1,87 |
| 52720 | NARIÑO | SAPUYES | 8,21 |
| 52786 | NARIÑO | TAMINANGO | 7,77 |
| 52788 | NARIÑO | TANGUA | 0,31 |
| 52835 | NARIÑO | TUMACO | 10,55 |
| 52838 | NARIÑO | TUQUERRES | 5,67 |
| 52885 | NARIÑO | YACUANQUER | -0,90 |
| 54003 | N. STD | ABREGO | 25,66 |
| 54051 | N. STD | ARBOLEDAS | 17,54 |
| 54099 | N. STD | BOCHALEMA | 10,34 |
| 54109 | N. STD | BUCARASICA | 25,75 |
| 54128 | N. STD | CACHIRA | 14,62 |
| 54125 | N. STD | CACOTA | -2,95 |
| 54172 | N. STD | CHINACOTA | 9,64 |
| 54174 | N. STD | CHITAGA | -0,98 |
| 54206 | N. STD | CONVENCION | 24,90 |
| 54001 | N. STD | CUCUTA | 19,01 |
| 54223 | N. STD | CUCUTILLA | 11,99 |
| 54239 | N. STD | DURANIA | 12,36 |
| 54245 | N. STD | EL CARMEN | 23,25 |
| 54250 | N. STD | EL TARRA | 48,31 |
| 54261 | N. STD | EL ZULIA | 17,96 |
| 54313 | N. STD | GRAMALOTE | 17,99 |
| 54344 | N. STD | HACARI | 18,64 |
| 54347 | N. STD | HERRAN | 3,26 |
| 54385 | N. STD | LA ESPERANZA | 31,23 |
| 54398 | N. STD | LA PLAYA | 17,81 |
| 54377 | N. STD | LABATECA | 2,28 |
| 54405 | N. STD | LOS PATIOS | 10,96 |
| 54418 | N. STD | LOURDES | 14,96 |
| 54480 | N. STD | MUTISCUA | 7,93 |
| 54498 | N. STD | OCAÑA | 20,23 |
| 54518 | N. STD | PAMPLONA | 7,02 |
| 54520 | N. STD | PAMPLONITA | 11,82 |
| 54553 | N. STD | PUERTO SANTANDER | 26,42 |
| 54599 | N. STD | RAGONVALIA | 4,71 |
| 54660 | N. STD | SALAZAR | 27,01 |
| 54670 | N. STD | SAN CALIXTO | 29,22 |
| 54673 | N. STD | SAN CAYETANO | 19,14 |
| 54680 | N. STD | SANTIAGO | 20,81 |
| 54720 | N. STD | SARDINATA | 28,98 |
| 54743 | N. STD | SILOS | 3,75 |
| 54800 | N. STD | TEORAMA | 28,15 |
| 54810 | N. STD | TIBU | 50,36 |
| 54820 | N. STD | TOLEDO | 2,02 |
| 54871 | N. STD | VILLA CARO | 10,47 |
| 54874 | N. STD | VILLA DL ROSARIO | 15,27 |
| 86219 | PUTUMAYO | COLON | 2,84 |
| 86001 | PUTUMAYO | MOCOA | 21,70 |
| 86320 | PUTUMAYO | ORITO | 23,41 |
| 86568 | PUTUMAYO | PUERTO ASIS | 24,19 |
| 86569 | PUTUMAYO | PUERTO CAICEDO | 23,97 |
| 86571 | PUTUMAYO | PUERTO GUZMAN | 27,62 |
| 86573 | PUTUMAYO | PUERTO LEGUIZAMO | 14,76 |
| 86755 | PUTUMAYO | SAN FRANCISCO | 7,28 |
| 86757 | PUTUMAYO | SAN MIGUEL | 23,23 |
| 86760 | PUTUMAYO | SANTIAGO | 3,20 |
| 86749 | PUTUMAYO | SIBUNDOY | 2,77 |
| 86865 | PUTUMAYO | VALLE GUAMUEZ | 24,81 |
| 86885 | PUTUMAYO | VILLAGARZON | 35,96 |
| 63001 | QUINDIO | ARMENIA | 27,94 |
| 63111 | QUINDIO | BUENAVISTA | 20,04 |
| 63130 | QUINDIO | CALARCA | 19,92 |
| 63190 | QUINDIO | CIRCASIA | 27,64 |
| 63212 | QUINDIO | CORDOBA | 19,91 |
| 63272 | QUINDIO | FILANDIA | 27,02 |
| 63302 | QUINDIO | GENOVA | 29,52 |
| 63401 | QUINDIO | LA TEBAIDA | 28,05 |
| 63470 | QUINDIO | MONTENEGRO | 28,70 |
| 63548 | QUINDIO | PIJAO | 19,35 |
| 63594 | QUINDIO | QUIMBAYA | 34,51 |
| 63690 | QUINDIO | SALENTO | 29,14 |
| 66045 | RISARALDA | APIA | 28,93 |
| 66075 | RISARALDA | BALBOA | 38,97 |
| 66088 | RISARALDA | BELEN DE UMBRIA | 41,46 |
| 66170 | RISARALDA | DOS QUEBRADAS | 45,55 |
| 66318 | RISARALDA | GUATICA | 39,80 |
| 66383 | RISARALDA | LA CELIA | 39,32 |
| 66400 | RISARALDA | LA VIRGINIA | 41,61 |
| 66440 | RISARALDA | MARSELLA | 45,24 |
| 66456 | RISARALDA | MISTRATO | 30,81 |
| 66001 | RISARALDA | PEREIRA | 41,61 |
| 66572 | RISARALDA | PUEBLO RICO | 31,67 |
| 66594 | RISARALDA | QUINCHIA | 40,20 |
| 66682 | RISARALDA | STA ROSA D CABAL | 38,93 |
| 66687 | RISARALDA | SANTUARIO | 26,12 |
| 68013 | SANTANDER | AGUADA | 34,62 |
| 68020 | SANTANDER | ALBANIA | 54,12 |
| 68051 | SANTANDER | ARATOCA | 10,15 |
| 68077 | SANTANDER | BARBOSA | 44,86 |
| 68079 | SANTANDER | BARICHARA | 20,49 |
| 68081 | SANTANDER | BARRANCABERMEJA | 48,91 |
| 68092 | SANTANDER | BETULIA | 15,80 |
| 68101 | SANTANDER | BOLIVAR | 43,46 |
| 68001 | SANTANDER | BUCARAMANGA | 12,18 |
| 68121 | SANTANDER | CABRERA | 32,05 |
| 68132 | SANTANDER | CALIFORNIA | 7,36 |
| 68147 | SANTANDER | CAPITANEJO | 15,56 |
| 68152 | SANTANDER | CARCASI | 7,51 |
| 68160 | SANTANDER | CEPITA | 9,51 |
| 68162 | SANTANDER | CERRITO | 10,01 |
| 68167 | SANTANDER | CHARALA | 65,47 |
| 68169 | SANTANDER | CHARTA | 7,52 |
| 68176 | SANTANDER | CHIMA | 58,67 |
| 68179 | SANTANDER | CHIPATA | 37,98 |
| 68190 | SANTANDER | CIMITARRA | 72,64 |
| 68207 | SANTANDER | CONCEPCION | 16,38 |
| 68209 | SANTANDER | CONFINES | 41,11 |
| 68211 | SANTANDER | CONTRATACION | 56,75 |
| 68217 | SANTANDER | COROMORO | 41,14 |
| 68229 | SANTANDER | CURITI | 23,75 |
| 68235 | SANTANDER | EL CARMEN | 45,65 |
| 68245 | SANTANDER | EL GUACAMAYO | 55,59 |
| 68250 | SANTANDER | EL PEÑON | 32,86 |
| 68255 | SANTANDER | EL PLAYON | 27,76 |
| 68264 | SANTANDER | ENCINO | 43,16 |
| 68266 | SANTANDER | ENCISO | 10,38 |
| 68271 | SANTANDER | FLORIAN | 46,47 |
| 68276 | SANTANDER | FLORIDABLANCA | 12,20 |
| 68296 | SANTANDER | GALAN | 18,75 |
| 68298 | SANTANDER | GAMBITA | 58,09 |
| 68307 | SANTANDER | GIRON | 12,88 |
| 68318 | SANTANDER | GUACA | 10,93 |
| 68320 | SANTANDER | GUADALUPE | 59,48 |
| 68322 | SANTANDER | GUAPOTA | 50,81 |
| 68324 | SANTANDER | GUAVATA | 56,64 |
| 68327 | SANTANDER | GUEPSA | 43,32 |
| 68344 | SANTANDER | HATO | 24,64 |
| 68368 | SANTANDER | JESUS MARIA | 44,83 |
| 68370 | SANTANDER | JORDAN | 13,80 |
| 68377 | SANTANDER | LA BELLEZA | 34,71 |
| 68397 | SANTANDER | LA PAZ | 36,07 |
| 68385 | SANTANDER | LANDAZURI | 67,69 |
| 68406 | SANTANDER | LEBRIJA | 11,73 |
| 68418 | SANTANDER | LOS SANTOS | 7,98 |
| 68425 | SANTANDER | MACARAVITA | 16,72 |
| 68432 | SANTANDER | MALAGA | 10,30 |
| 68444 | SANTANDER | MATANZA | 14,74 |
| 68464 | SANTANDER | MOGOTES | 52,21 |
| 68468 | SANTANDER | MOLAGAVITA | 11,23 |
| 68498 | SANTANDER | OCAMONTE | 52,72 |
| 68500 | SANTANDER | OIBA | 50,66 |
| 68502 | SANTANDER | ONZAGA | 19,85 |
| 68522 | SANTANDER | PALMAR | 34,88 |
| 68524 | SANTANDER | PALMAS D SOCORRO | 49,51 |
| 68533 | SANTANDER | PARAMO | 23,72 |
| 68547 | SANTANDER | PIEDECUESTA | 12,88 |
| 68549 | SANTANDER | PINCHOTE | 23,95 |
| 68572 | SANTANDER | PUENTE NACIONAL | 44,70 |
| 68573 | SANTANDER | PUERTO PARRA | 56,64 |
| 68575 | SANTANDER | PUERTO WILCHES | 59,25 |
| 68615 | SANTANDER | RIONEGRO | 18,20 |
| 68655 | SANTANDER | SABANA DE TORRES | 48,18 |
| 68669 | SANTANDER | SAN ANDRES | 13,15 |
| 68673 | SANTANDER | SAN BENITO | 36,00 |
| 68679 | SANTANDER | SAN GIL | 26,63 |
| 68682 | SANTANDER | SAN JOAQUIN | 22,35 |
| 68684 | SANTANDER | SN JSE D MIRANDA | 8,75 |
| 68686 | SANTANDER | SAN MIGUEL | 18,20 |
| 68689 | SANTANDER | SN VTE D CHUCURI | 26,94 |
| 68705 | SANTANDER | SANTA BARBARA | 11,63 |
| 68720 | SANTANDER | STA HELENA OPON | 51,94 |
| 68745 | SANTANDER | SIMACOTA | 42,32 |
| 68755 | SANTANDER | SOCORRO | 34,90 |
| 68770 | SANTANDER | SUAITA | 43,90 |
| 68773 | SANTANDER | SUCRE | 48,32 |
| 68780 | SANTANDER | SURATA | 8,48 |
| 68820 | SANTANDER | TONA | 14,07 |
| 68855 | SANTANDER | VALLE DE SN JOSE | 30,50 |
| 68861 | SANTANDER | VELEZ | 34,32 |
| 68867 | SANTANDER | VETAS | -4,43 |
| 68872 | SANTANDER | VILLANUEVA | 11,35 |
| 68895 | SANTANDER | ZAPATOCA | 19,07 |
| 11001 | BOGOTA D.C. | BOGOTA | 11,96 |
| 70110 | SUCRE | BUENAVISTA | 41,77 |
| 70124 | SUCRE | CAIMITO | 47,34 |
| 70230 | SUCRE | CHALAN | 47,14 |
| 70204 | SUCRE | COLOSO | 45,14 |
| 70215 | SUCRE | COROZAL | 47,42 |
| 70221 | SUCRE | COVEÑAS | 41,26 |
| 70233 | SUCRE | EL ROBLE | 33,38 |
| 70235 | SUCRE | GALERAS | 26,57 |
| 70265 | SUCRE | GUARANDA | 84,30 |
| 70400 | SUCRE | LA UNION | 40,56 |
| 70418 | SUCRE | LOS PALMITOS | 41,27 |
| 70429 | SUCRE | MAJAGUAL | 66,00 |
| 70473 | SUCRE | MORROA | 47,43 |
| 70508 | SUCRE | OVEJAS | 38,33 |
| 70523 | SUCRE | PALMITO | 40,82 |
| 70670 | SUCRE | SAMPUES | 41,98 |
| 70678 | SUCRE | SAN BENITO ABAD | 43,62 |
| 70702 | SUCRE | SAN JUAN BETULIA | 45,76 |
| 70708 | SUCRE | SAN MARCOS | 49,74 |
| 70713 | SUCRE | SAN ONOFRE | 42,82 |
| 70717 | SUCRE | SAN PEDRO | 36,29 |
| 70742 | SUCRE | SINCE | 47,00 |
| 70001 | SUCRE | SINCELEJO | 46,48 |
| 70771 | SUCRE | SUCRE | 55,78 |
| 70820 | SUCRE | TOLU | 38,57 |
| 70823 | SUCRE | TOLUVIEJO | 30,28 |
| 73024 | TOLIMA | ALPUJARRA | 15,47 |
| 73026 | TOLIMA | ALVARADO | 27,02 |
| 73030 | TOLIMA | AMBALEMA | 30,81 |
| 73043 | TOLIMA | ANZOATEGUI | 21,16 |
| 73055 | TOLIMA | ARMERO | 34,86 |
| 73067 | TOLIMA | ATACO | 30,35 |
| 73124 | TOLIMA | CAJAMARCA | 21,62 |
| 73148 | TOLIMA | CARMEN DE APICALA | 27,87 |
| 73152 | TOLIMA | CASABIANCA | 35,12 |
| 73168 | TOLIMA | CHAPARRAL | 28,26 |
| 73200 | TOLIMA | COELLO | 31,54 |
| 73217 | TOLIMA | COYAIMA | 26,61 |
| 73226 | TOLIMA | CUNDAY | 29,72 |
| 73236 | TOLIMA | DOLORES | 19,62 |
| 73268 | TOLIMA | ESPINAL | 24,82 |
| 73270 | TOLIMA | FALAN | 42,78 |
| 73275 | TOLIMA | FLANDES | 31,44 |
| 73283 | TOLIMA | FRESNO | 49,73 |
| 73319 | TOLIMA | GUAMO | 23,23 |
| 73347 | TOLIMA | HERVEO | 34,24 |
| 73349 | TOLIMA | HONDA | 33,84 |
| 73001 | TOLIMA | IBAGUE | 32,76 |
| 73352 | TOLIMA | ICONONZO | 26,49 |
| 73408 | TOLIMA | LERIDA | 29,14 |
| 73411 | TOLIMA | LIBANO | 39,17 |
| 73443 | TOLIMA | MARIQUITA | 50,72 |
| 73449 | TOLIMA | MELGAR | 23,94 |
| 73461 | TOLIMA | MURILLO | 13,52 |
| 73483 | TOLIMA | NATAGAIMA | 36,35 |
| 73504 | TOLIMA | ORTEGA | 26,72 |
| 73520 | TOLIMA | PALOCABILDO | 35,99 |
| 73547 | TOLIMA | PIEDRAS | 20,72 |
| 73555 | TOLIMA | PLANADAS | 30,51 |
| 73563 | TOLIMA | PRADO | 39,68 |
| 73585 | TOLIMA | PURIFICACION | 37,29 |
| 73616 | TOLIMA | RIOBLANCO | 27,04 |
| 73622 | TOLIMA | RONCESVALLES | 3,43 |
| 73624 | TOLIMA | ROVIRA | 31,74 |
| 73671 | TOLIMA | SALDAÑA | 26,38 |
| 73675 | TOLIMA | SAN ANTONIO | 27,09 |
| 73678 | TOLIMA | SAN LUIS | 26,44 |
| 73686 | TOLIMA | SANTA ISABEL | 22,42 |
| 73770 | TOLIMA | SUAREZ | 26,77 |
| 73854 | TOLIMA | VALLE DE SN JUAN | 25,76 |
| 73861 | TOLIMA | VENADILLO | 29,87 |
| 73870 | TOLIMA | VILLAHERMOSA | 32,63 |
| 73873 | TOLIMA | VILLARRICA | 32,71 |
| 76020 | VALLE | ALCALA | 29,07 |
| 76036 | VALLE | ANDALUCIA | 21,48 |
| 76041 | VALLE | ANSERMANUEVO | 26,97 |
| 76054 | VALLE | ARGELIA | 16,97 |
| 76100 | VALLE | BOLIVAR | 17,91 |
| 76109 | VALLE | BUENAVENTURA | 62,37 |
| 76111 | VALLE | BUGA | 24,68 |
| 76113 | VALLE | BUGALAGRANDE | 27,43 |
| 76122 | VALLE | CAICEDONIA | 23,65 |
| 76001 | VALLE | CALI | 18,12 |
| 76126 | VALLE | CALIMA | 16,51 |
| 76130 | VALLE | CANDELARIA | 18,41 |
| 76147 | VALLE | CARTAGO | 26,87 |
| 76233 | VALLE | DAGUA | 13,25 |
| 76243 | VALLE | EL AGUILA | 30,10 |
| 76246 | VALLE | EL CAIRO | 13,96 |
| 76248 | VALLE | EL CERRITO | 22,95 |
| 76250 | VALLE | EL DOVIO | 17,64 |
| 76275 | VALLE | FLORIDA | 18,48 |
| 76306 | VALLE | GINEBRA | 22,69 |
| 76318 | VALLE | GUACARI | 17,05 |
| 76364 | VALLE | JAMUNDI | 23,60 |
| 76377 | VALLE | LA CUMBRE | 14,70 |
| 76400 | VALLE | LA UNION | 17,83 |
| 76403 | VALLE | LA VICTORIA | 19,78 |
| 76497 | VALLE | OBANDO | 24,57 |
| 76520 | VALLE | PALMIRA | 18,08 |
| 76563 | VALLE | PRADERA | 18,29 |
| 76606 | VALLE | RESTREPO | 23,40 |
| 76616 | VALLE | RIOFRIO | 27,62 |
| 76622 | VALLE | ROLDANILLO | 17,73 |
| 76670 | VALLE | SAN PEDRO | 22,40 |
| 76736 | VALLE | SEVILLA | 31,60 |
| 76823 | VALLE | TORO | 27,36 |
| 76828 | VALLE | TRUJILLO | 30,86 |
| 76834 | VALLE | TULUA | 21,38 |
| 76845 | VALLE | ULLOA | 34,27 |
| 76863 | VALLE | VERSALLES | 14,27 |
| 76869 | VALLE | VIJES | 15,87 |
| 76890 | VALLE | YOTOCO | 16,00 |
| 76892 | VALLE | YUMBO | 16,22 |
| 76895 | VALLE | ZARZAL | 27,35 |
| 97161 | VAUPES | CARURU | 26,64 |
| 97001 | VAUPES | MITU | 25,36 |
| 97511 | VAUPES | PACOA | 24,98 |
| 97777 | VAUPES | PAPUNAUA | 26,59 |
| 97666 | VAUPES | TARAIRA | 22,49 |
| 97889 | VAUPES | YAVARATE | 25,69 |
| 99773 | VICHADA | CUMARIBO | 27,88 |
| 99524 | VICHADA | LA PRIMAVERA | 25,65 |
| 99001 | VICHADA | PUERTO CARREÑO | 19,23 |
| 99624 | VICHADA | SANTA ROSALIA | 23,00 |