RESOLUCIÓN 71 DE 2006
(octubre 3)
Diario Oficial No. 46.421 de 14 de octubre de 2006
COMISIÓN DE REGULACIÓN DE ENERGÍA Y GAS
Por la cual se adopta la metodología para la remuneración del Cargo por Confiabilidad en el Mercado Mayorista de Energía.
LA COMISIÓN DE REGULACIÓN DE ENERGÍA Y GAS,
en ejercicio de las atribuciones legales, en especial las conferidas por las Leyes 142 y 143 de 1994, y en desarrollo de los Decretos 1524 y 2253 de 1994, y
CONSIDERANDO:
Que según la Ley 143 de 1994, artículo 4o, el Estado, en relación con el servicio de electricidad, tendrá como objetivos en el cumplimiento de sus funciones, los de abastecer la demanda de electricidad de la comunidad bajo criterios económicos y de viabilidad financiera, asegurando su cubrimiento en un marco de uso racional y eficiente de los diferentes recursos energéticos del país; asegurar una operación eficiente, segura y confiable en las actividades del sector; y mantener los niveles de calidad y seguridad establecidos;
Que la Ley 143 de 1994, artículo 20, definió como objetivo fundamental de la Regulación en el sector eléctrico, asegurar una adecuada prestación del servicio mediante el aprovechamiento eficiente de los diferentes recursos energéticos, en beneficio del usuario en términos de calidad, oportunidad y costo del servicio;
Que para el cumplimiento del objetivo señalado, la Ley 143 de 1994, artículo 23, le atribuyó a la Comisión de Regulación de Energía y Gas, entre otras, las siguientes funciones:
Crear las condiciones para asegurar la disponibilidad de una oferta energética eficiente capaz de abastecer la demanda bajo criterios sociales, económicos, ambientales y de viabilidad financiera, promover y preservar la competencia, para lo cual, la oferta eficiente, en el sector eléctrico, debe tener en cuenta la capacidad de generación de respaldo.
Valorar la capacidad de generación de respaldo de la oferta eficiente.
Definir y hacer operativos los criterios técnicos de calidad, confiabilidad y seguridad del servicio de energía.
Establecer el Reglamento de Operación para realizar el planeamiento y la coordinación de la operación del Sistema Interconectado Nacional, y
Determinar las condiciones para la liberación gradual del mercado hacia la libre competencia;
Que según la Ley 142 de 1994, artículo 74, son funciones y facultades especiales de la CREG, entre otras, las de regular el ejercicio de las actividades de los sectores de energía y gas combustible para asegurar la disponibilidad de una oferta energética eficiente; propiciar la competencia en el sector de minas y energía y proponer la adopción de las medidas necesarias para impedir abusos de posición dominante y buscar la liberación gradual de los mercados hacia la libre competencia; y establecer criterios para la fijación de compromisos de ventas garantizadas de energía y potencia entre las empresas eléctricas y entre estas y los grandes usuarios;
Que según las Leyes 142 y 143 de 1994, el mercado de energía mayorista se rige, entre otros, por el principio de libertad de entrada y de salida, que supone esencialmente autonomía para que cualquier persona decida la oportunidad para ingresar a dicho mercado y su permanencia o retiro, sin más exigencias que las indispensables para asegurar el cumplimiento de fines legales tales como la eficiencia, la seguridad, la libre competencia y el adecuado funcionamiento del mercado;
Que según el artículo 27 de la Ley 143 de 1994, salvo en situación de emergencia, las empresas de generación térmica que efectúen ventas de energía eléctrica a través del Sistema Interconectado Nacional, deberán realizar contratos para garantizar, a largo plazo, el suministro de combustible en forma oportuna y a precios económicos;
Que la Comisión de Regulación de Energía y Gas, en desarrollo de los objetivos y funciones señalados, mediante la Resolución CREG- 001 de 1996, creó un Cargo por Capacidad en el Mercado Mayorista, cuya vigencia se determinó por un período de diez años, que termina en noviembre de 2006;
Que mediante la Resolución CREG- 116 de 1996 se adoptaron las normas de carácter general, impersonal y abstracto sobre el método de cálculo del Cargo por Capacidad en el Mercado Mayorista de Electricidad, las cuales han sido precisadas y aclaradas por las Resoluciones CREG- 113 de 1998 y CREG- 047 y CREG- 059 de 1999;
Que mediante el mencionado Cargo por Capacidad se buscó garantizar la disponibilidad de una oferta eficiente de energía eléctrica, capaz de abastecer la demanda en el Sistema Interconectado Nacional, a través de un mecanismo no garantizado de remuneración de la inversión por kilovatio instalado de los generadores que contribuyen a la confiabilidad del Sistema bajo criterios de eficiencia y de hidrología crítica;
Que mediante la Resolución CREG- 072 de 2000, corregida y aclarada por la Resolución CREG- 077 de 2000, la Comisión introdujo ajustes al método de cálculo del Cargo por Capacidad, con el objetivo fundamental de reflejar señales necesarias para hacer sostenible el Sistema Interconectado Nacional a largo plazo, y por ende, para la confiabilidad y la prestación eficiente del servicio público domiciliario de electricidad, consistentes en evaluar la firmeza específica de cada planta y/o unidad de generación y dar una mayor estabilidad al Cargo en su variación anual, buscando una posible transición hacia un esquema de mercado para la asignación del Cargo por Capacidad;
Que mediante la Resolución CREG- 050 de 2004, la Comisión sometió a consideración de los agentes y demás interesados el Documento CREG-038 de 2004, el cual contiene una propuesta para la determinación y asignación del Cargo por Confiabilidad en el Mercado de Energía Mayorista;
Que posteriormente, la Comisión mediante Documento CREG-072 de 2005, puso a consideración de los agentes y terceros interesados un documento en el cual identificó ocho alternativas para la definición del nuevo Cargo por Confiabilidad, y un conjunto de principios y criterios de evaluación de las mismas;
Que a partir de la anterior propuesta, se realizó un taller con la participación de los agentes del Mercado Mayorista en el cual se evaluaron los criterios para cada una de las alternativas, cuyos resultados fueron presentados por la CREG en el seminario del mercado de energía mayorista realizado por el Consejo Nacional de Operación y el Comité Asesor de Comercialización en octubre del año 2005;
Que mediante Resolución CREG- 125 de 2005 la Comisión complementó algunas disposiciones relacionadas con el reporte de información por parte de los agentes generadores en materia de contratos de combustible para la determinación de la energía firme a ser utilizada en la asignación del Cargo por Capacidad;
Que posteriormente, el 15 de diciembre de 2005, los generadores agrupados en Acolgen presentaron a la CREG los resultados de los análisis elaborados por los consultores del grupo de generadores hidráulicos y del grupo de generadores térmicos;
Que con los resultados obtenidos de este análisis, que están contenidos en el Documento CREG-122 de 2005, la CREG, en su sesión del 20 de diciembre, aprobó continuar con la dirección de trabajo que se propuso y ratificó el cronograma previsto en el Documento CREG-072 de 2005;
Que la CREG en su Sesión número 290, llevada a cabo el 12 de mayo de 2006, aprobó someter a consideración de los agentes, los usuarios, terceros interesados y público en general, las propuestas sobre los módulos correspondientes al Mercado secundario de opciones de energía firme (Documento CREG-032 de 2006); retiro de plantas (Documento CREG-033 de 2006); verificación de instalaciones de generadores nuevos (Documento CREG-034 de 2006); y Análisis de índices de indisponibilidad histórica (Documento CREG-035 de 2006); los cuales fueron publicados en la página Internet de la CREG, con la Circular número 021 de 2006;
Que en la Sesión número 292 de la CREG, efectuada el 5 de junio de 2006, la CREG evaluó y aprobó la propuesta para establecer un Precio de Ejercicio para el nuevo Cargo por Confiabilidad, presentada en el Documento CREG-038 de 2006, que se sometió a consideración de los agentes, usuarios, terceros interesados y público en general, mediante la Circular CREG- 027 de 2006 publicada en la página Internet de la CREG;
Que en la sesión de la CREG del 12 de junio de 20 06 se discutió el tema de combustibles alternos, en donde se estudiaron las plantas con capacidad de utilizar combustibles alternos y las características de suministro, para lo cual se aprobó someter a consideración de los agentes, los usuarios, terceros interesados y público en general, la propuesta contenida en el Documento CREG-039, sobre “Contratación de Suministro de Combustibles para Generación Eléctrica”, el cual fue publicado en la página Internet de la CREG, con la Circular CREG- 025 de 2006;
Que en la sesión del 16 de junio de 2006, la CREG aprobó someter a discusión de los agentes, usuarios, terceros interesados y público en general, las propuestas sobre Definición del Producto (Documento CREG-041 de 2006); Energía Firme para el Cargo por Confiabilidad (Documento CREG-042 de 2006); Determinación del Precio de Ejercicio (Documento CREG-043 de 2006); Transición Mecanismo de Remuneración del Cargo por Confiabilidad (Documento CREG-044 de 2006); y Liquidación y Administración de Cuentas y Mecanismo de Remuneración del Cargo por Confiabilidad (Documento CREG-045 de 2006), los cuales fueron publicados en la página de Internet de la CREG con la Circular CREG- 027 del 23 de junio de 2006;
Que en la sesión del 29 de junio de 2006, la CREG aprobó someter a discusión de agentes, usuarios y terceros interesados mediante resolución de consulta la propuesta sobre el diseño de la subasta de Energía Firme, el tratamiento de las plantas menores en este esquema de asignación de Cargo por Confiabilidad, el formato de declaración de información de contratos de combustible, las pruebas opcionales sin efecto sobre los Indices de Indisponibilidad Histórica Forzada (IHF), el período de validación de parámetros para el cálculo de la energía firme, la auditoría de estos parámetros, el diseño de las Subastas de Reconfiguración, la definición de plantas y/o unidades de generación nuevas y el tratamiento a los costos de racionamiento;
Que los siguientes agentes enviaron a la CREG sus comentarios a los documentos sometidos a discusión: Acolgen (E-2006-004206), EPSA (E-2006-004258), Isagen (E-2006-004209), Termocandelaria (E-2006-004167, E-2006-004731, E-2006-004920) y XM (E-2006-004212);
Que en cumplimiento de los artículos 8o, 9o y 10 del Decreto 2696 de 2004, la Comisión de Regulación de Energía y Gas, en su Sesión número 297 del 17 de julio de 2006, ordenó hacer público el Proyecto de Resolución, “por la cual se ap rueba la metodología para la remuneración del Cargo por Confiabilidad en el Mercado Mayorista de Energía”, que contiene de manera integrada las propuestas sobre cada uno de los respectivos módulos del Cargo por Confiabilidad sometidas a consideración con los documentos anteriormente señalados, así como la propuesta sobre el diseño de la subasta de Energía Firme conforme a las orientaciones y recomendaciones del consultor internacional, profesor Peter Cramton, contratado por la CREG para el efecto;
Que mediante la Resolución CREG- 043 del 17 de julio de 2006, publicada en el Diario Oficial número 46.348, del día dos (2) de agosto de 2006, se hizo público el mencionado Proyecto de Resolución y se invitó a los agentes, a los usuarios, a las Autoridades Locales Municipales y Departamentales competentes y a la Superintendencia de Servicios Públicos Domiciliarios, para que remitan sus observaciones o sugerencias sobre la propuesta, dentro de los treinta (30) días siguientes a la publicación de esa resolución en la página Web de la Comisión de Regulación de Energía y Gas;
Que la citada Resolución CREG- 043 de 2006, con el respectivo Proyecto de Resolución, está publicada en la página Web de la CREG, desde el día 31 de julio de 2006;
Que mediante la Circular 031 de 2006, publicada en la página Web de la CREG desde el día 1o de agosto de 2006, la Comisión invitó a las empresas de los sectores de energía eléctrica y de gas natural, a los usuarios y terceros interesados, a un seminario, que se llevó a cabo los días 25 y 26 de julio de 2006, con la participación del Profesor Shmuel Oren, de la Universidad de California, y del señor Raj Addepalli, del New York Independent System Operator, quienes presentaron comentarios a la propuesta de cargo por confiabilidad formulada por la Comisión y divulgaron sus experiencias relacionadas con mercados de capacidad en los Estados Unidos;
Que mediante la Circular 032 de 2006, publicada en la página Web de la CREG desde el día 1o de agosto de 2006, la Comisión invitó a las empresas de los sectores de energía eléctrica y de gas natural, a los usuarios y terceros interesados, a un taller, que se llevó a cabo el día 3 de agosto de 2006, en el que se presentaron los nuevos elementos de la propuesta de Cargo por Confiabilida d contenidos en el Proyecto de Resolución publicado con la Resolución CREG- 043 de 2006;
Que mediante la Circular 033 de 2006, publicada en la página Web de la CREG desde el día 1o de agosto de 2006, la Comisión invitó a las empresas de los sectores de energía eléctrica y de gas natural, a los usuarios y terceros interesados, a una reunión que se llevó a cabo el día 9 de agosto de 2006, en la cual los interesados presentaron al doctor Peter Cramton sus comentarios e inquietudes sobre el informe que el consultor entregó como parte del estudio y que fue sometido a consulta mediante Circular CREG- 030 de 2006;
Que como resultado de los análisis efectuados internamente y en los talleres, seminario y reunión llevados a cabo con los agentes, el consultor y demás interesados, y de los comentarios recibidos sobre el Proyecto de Resolución publicado con la Resolución CREG- 043 de 2006, en materia cálculo de la energía para Cargo por Confiabilidad; el proceso de liquidación; y el producto asociado a las obligaciones del Cargo por Confiabilidad; la CREG analizó diferentes alternativas con el fin de realizar los cambios requeridos en el mencionado Proyecto de Resolución;
Que las propuestas de cambios que la Comisión consideró pertinentes, según lo señalado anteriormente, están contenidos en los Documentos CREG 073, 074 y 075 de 2006, los cuales fueron sometidos a consideración de agentes, usuarios y terceros interesados mediante la Circular número 38, publicada en la página Web de la CREG desde el 9 de septiembre de 2006;
Que mediante la Circular número 039, publicada en la página Web de la CREG desde el día 20 de septiembre de 2006, la Comisión invitó a las empresas del sector de energía eléctrica y a los usuarios y terceros interesados, a un taller, que se llevó a cabo el día 21 de septiembre de 2006, en el cual se presentó el Modelo para cálculo de la Energía Firme para el Cargo por Confiabilidad;
Que mediante Comunicación S-2006-2163 del 22 de agosto de 2006, la Dirección Ejecutiva de la CREG envió al Consejo Nacional de Operación, el Proyecto de Resolución publicado con la Resolución CREG- 043 de 2006, con el fin de oír s u concepto;
Que el Consejo Nacional de Operación, mediante comunicación radicada en la CREG con el número E-2006-006818, del 22 de septiembre de 2006, se pronunció sobre el mencionado Proyecto de Resolución;
Que los comentarios, sugerencias, observaciones y demás aspectos que presentaron los agentes y demás interesados, así como el concepto del Consejo Nacional de Operación, fueron analizados por la CREG, y se incorporaron los respectivos cambios al proyecto de acuerdo con los comentarios y sugerencias que se consideraron pertinentes, como consta en los documentos antes señalados; y en el Documento CREG-085 de 2006 que contiene el análisis de las distintas comunicaciones recibidas;
Que agotado el trámite previsto en el Decreto 2696 de 2004 y cumplido el requisito señalado en el artículo 23, literal i) de la Ley 143 de 1994, la Comisión de Regulación de Energía y Gas, en su sesión del 3 de octubre de 2006, aprobó la metodología para la remuneración del Cargo por Confiabilidad en el Mercado Mayorista de Energía y acordó expedir esta resolución,
RESUELVE:
ARTÍCULO 1o. OBJETO. Mediante la presente resolución se adopta la metodología y otras disposiciones para la remuneración del Cargo por Confiabilidad en el Mercado Mayorista de Energía. Las normas contenidas en esta resolución hacen parte del Reglamento de Operación.
DEFINICIONES.
ARTÍCULO 2o. DEFINICIONES. <Artículo modificado por el artículo 4 de la Resolución 2 de 2019. El nuevo texto es el siguiente:> Para la interpretación y aplicación de esta resolución se tendrán en cuenta, además de las definiciones establecidas en las Leyes 142 y 143 de 1994 y en las resoluciones vigentes de la CREG, las siguientes:
Activo de generación de última instancia: Planta o unidad de generación que no participa en las Subastas de Energía Firme y que es utilizada únicamente para cubrir total o parcialmente Obligaciones de Energía Firme de un agente.
Administrador del Sistema de Intercambios Comerciales (ASIC): Dependencia del Centro Nacional de Despacho de que tratan las Leyes 142 y 143 de 1994, encargada del registro de fronteras comerciales, de los contratos de energía a largo plazo; de la liquidación, facturación, cobro y pago del valor de los actos, contratos, transacciones y en general de todas las obligaciones que resulten por el intercambio de energía en la bolsa, para generadores y comercializadores; de las Subastas de Obligaciones de Energía Firme; del mantenimiento de los sistemas de información y programas de computación requeridos; y del cumplimiento de las demás tareas que sean necesarias para el funcionamiento adecuado del Sistema de Intercambios Comerciales (SIC).
Cargo por confiabilidad: Remuneración que se paga a un agente generador por la disponibilidad de activos de generación con las características y cumplimiento de la Obligación de Energía Firme que le fue asignada en una Subasta para la Asignación de Obligaciones de Energía Firme o en el mecanismo que haga sus veces. Esta energía está asociada a la Capacidad de Generación de Respaldo de que trata el artículo 23 de la Ley 143 de 1994 y es la que puede comprometerse para garantizar a los usuarios la confiabilidad en la prestación del servicio de energía eléctrica bajo condiciones críticas.
Condiciones Críticas: <Definición modificada por el artículo 1 de la Resolución 101 066 de 2024. El nuevo texto es el siguiente:> Situación que presenta el mercado mayorista de energía cuando el precio de bolsa es mayor a algunos de los precios escasez.
Contrato de respaldo de energía firme o contrato de respaldo: Es un contrato bilateral que se celebra entre agentes generadores a través del Mercado Secundario, con el fin de asegurar el cumplimiento de las Obligaciones de Energía Firme de un generador. Su precio, cantidad, garantía, duración y recaudo se determina de común acuerdo entre las partes siguiendo los lineamientos del Mercado Secundario establecido en la presente resolución.
Curva S: Gráfico presentado por los agentes que representen comercialmente plantas y/o unidades de generación nuevas o especiales como requisito para participar en las subastas, que muestra en la ordenada el porcentaje estimado de avance del proyecto durante el tiempo de ejecución y en la abscisa el tiempo trascurrido.
Declaración de respaldo: Manifestación suscrita por un agente generador mediante la cual registra ante el ASIC, ENFICC no comprometida o Energía Disponible Adicional, ambas de plantas o unidades de propiedad del mismo generador o representadas comercialmente por él, con el fin de cubrir Obligaciones de Energía Firme respaldadas con otra u otras de sus plantas o unidades de generación.
Demanda total doméstica: Sumatoria de los valores de la demanda doméstica de todos los comercializadores, que incluye los factores de pérdidas para referir a nivel de 220 kV y las pérdidas del STN.
Demanda objetivo: Equivale a la Demanda Total Doméstica de Energía para cada uno de los meses comprendidos entre el 1 de diciembre y el 30 de noviembre del año siguiente al Período de Planeación, más un porcentaje que fijará la CREG. La Demanda Total Doméstica de Energía corresponderá a la proyección más reciente elaborada por la UPME para el escenario de proyección que seleccione la CREG.
Para efectos de la asignación de Obligaciones de Energía Firme y de la construcción de la función de demanda de la Subasta se descontará de la Demanda Objetivo, así definida, la energía ya cubierta con Obligaciones de Energía Firme asignadas anteriormente y vigentes en el período a subastar y la ENFICC de las Plantas no Despachadas Centralmente que tengan contratos en los que suministre energía para cubrir demanda del período de vigencia a subastar.
Demanda comercial: Corresponde al valor de la demanda real del comercializador, que incluye los factores de pérdidas en las redes de transmisión regional o de distribución local para referir a nivel de 220 kV y las pérdidas del STN.
Demanda desconectable: Demanda de energía de usuarios que están dispuestos a reducir su consumo a cambio de una contraprestación.
Energía disponible adicional de plantas hidráulicas: Es la cantidad de energía eléctrica, adicional a la ENFICC, que es capaz de entregar una planta de generación hidráulica en los meses del período que definió la Energía Firme para el Cargo por Confiabilidad.
Energía firme no comprometida o ENFICC no comprometida: Energía Firme del Cargo por Confiabilidad (ENFICC) verificada por el CND para una planta y/o unidad que no está asignada en OEF ni está destinada para respaldar OEF.
Energía firme para el cargo por confiabilidad (ENFICC): Es la máxima energía eléctrica que es capaz de entregar una planta de generación continuamente, en condiciones de baja hidrología, en un período de un año.
Estación de verano: Período comprendido entre el 1 de diciembre de cualquier año calendario y el 30 de abril del año calendario inmediatamente siguiente.
Estación de invierno: Período comprendido entre el 1 de mayo y el 30 de noviembre de cualquier año calendario.
Exceso de demanda de energía firme: Cantidad resultante de restar de la curva de demanda, la oferta agregada de los agentes generadores participantes en la subasta, para un nivel de precio determinado.
Exceso de oferta de energía firme: Cantidad resultante de restar de la oferta agregada de los agentes generadores participantes en la subasta, la demanda de Energía Firme para un nivel de precio determinado.
Función de demanda de energía firme: Conjunto de pares que relacionan cantidades de Energía Firme expresadas en kilovatios hora (kWh) y los precios respectivos, expresados en dólares por kilovatio hora (USD/kWh), que el sistema está dispuesto a adquirir en el proceso de subasta, y que ha sido previamente anunciada a los participantes en la misma.
Función de oferta de ENFICC: Conjunto de pares que relacionan las cantidades de Energía Firme para el Cargo por Confiabilidad expresadas en kilovatios hora (kWh) y los precios respectivos expresados en dólares por kilovatios hora (USD/kWh), que cada uno de los generadores que participan en la Subasta está dispuesto a comprometer.
Para cada generador la oferta expresada en kilovatios-hora (kWh) no podrá exceder la suma de la Energía Firme para el Cargo por Confiabilidad de las plantas y/o unidades de generación representadas comercialmente por él, ni asignar a la ENFICC de una planta y/o unidad de generación más de un precio.
Grupo de plantas con precios variables superiores (PCVS). <Definición adicionado por el artículo 2 de la Resolución 101 066 de 2024. El nuevo texto es el siguiente:> Plantas que respaldan sus OEF con combustibles líquidos, mezclas de combustibles líquidos o gas combustible.”
Grupo de plantas con precios variables inferiores (PCVI). <Definición adicionado por el artículo 2 de la Resolución 101 066 de 2024. El nuevo texto es el siguiente:> Plantas que respaldan sus OEF con recursos renovables o carbón en más del 50%.
Incumplimiento grave e insalvable de la puesta en operación de la planta: Serán aquellos previstos en el Reglamento de Garantías de que trata el artículo 78 de la presente resolución.
Información hidrológica oficial del SIN: Información Hidrológica de los aportes de los ríos del SIN evaluada y aprobada por el procedimiento para verificación de parámetros establecido por el CNO en el Acta de Reunión 074 del 16 de julio de 1998 y los acuerdos que la modifiquen o sustituyan. Para las series hidrológicas que hasta la fecha no se han sometido a este procedimiento la Información Hidrológica Oficial del SIN es la información hidrológica con que contaba el CND antes del 16 de julio de 1998. Para las series hidrológicas de proyectos nuevos la Información Hidrológica Oficial del SIN será, mientras se someten al procedimiento de aprobación del CNO, aquella reportada en los respectivos Comités o Subcomités Técnicos del Consejo Nacional de Operación, o en su defecto la reportada para el Cargo por Capacidad del año 1999.
Mercado secundario de energía firme o mercado secundario: Mercado bilateral en el que los generadores negocian entre sí un Contrato de Respaldo para garantizar, durante un período de tiempo determinado, el cumplimiento parcial o total de las Obligaciones de Energía Firme adquiridas por uno de ellos.
Obligación de Energía Firme (OEF): <Definición modificada por el artículo 1 de la Resolución 101 066 de 2024. El nuevo texto es el siguiente:> Vínculo resultante de la Subasta o del mecanismo que haga sus veces, que impone a un generador el deber de generar, de acuerdo con el Despacho Ideal, una cantidad diaria de energía durante el Período de Vigencia de la Obligación, cuando el Precio de Bolsa supere al precio de escasez asociado a la obligación asignada. Esta cantidad de energía corresponde a la programación de generación horaria resultante del Despacho Ideal hasta una cantidad igual a la asignación hecha en la Subasta, considerando solamente la Demanda Doméstica, calculada de acuerdo con lo definido en esta resolución.
Período de planeación: Tiempo que transcurre entre la fecha de ejecución de la subasta o del mecanismo de asignación que haga sus veces y la fecha de inicio del Período de Vigencia de la Obligación asignada en dicha subasta.
Período de precalificación: Período de tiempo que transcurre entre la vigencia de la resolución de que trata el artículo 18 de esta resolución y el día de realización de la Subasta.
Período de transición: Período que inicia el 1 de diciembre de 2006 y finaliza el 30 de noviembre de 2009 o del año para el cual se realice la primera subasta de Obligaciones de Energía Firme.
Período de vigencia de la obligación: Período de tiempo durante el cual un agente generador queda vinculado al cumplimiento de su Obligación de Energía Firme.
Período del cargo por confiabilidad o período cargo: Comprende el período entre diciembre 1 del año t-1 a noviembre 30 del año t.
Plantas y/o unidades de generación con información de operación insuficiente: Plantas y/o unidades de generación cuyas horas de operación, más las horas d indisponibilidad, no superan el 20% del total de las horas de los tres (3) años establecidos para el cálculo de su Índice de Indisponibilidad Histórica de Salidas Forzadas, IHF.
Plantas y/o unidades de generación con información reciente: Plantas y/o unidades de generación que tengan menos de treinta y seis (36) meses de operación con la misma configuración con la que se está evaluando el Índice de Indisponibilidad Histórica de Salidas Forzadas, IHF. Cuando por decisión del agente se configuren diferentes unidades en una sola planta, su historia se tomará a partir de la fecha de entrada en operación de la última unidad del grupo.
Planta y/o unidad de generación existente: Planta y/o unidad de generación que, al momento de efectuar la subasta, o el mecanismo de asignación que haga sus veces, esté en operación comercial. También se considerará dentro de esta categoría, la ENFICC no comprometida de plantas que estén en operación comercial y que hayan recibido asignaciones de OEF previamente a través de cualquier mecanismo.
Planta y/o unidad de generación nueva: Planta y/o unidad de generación que no ha iniciado la etapa de construcción al momento de efectuar la Subasta o el mecanismo de asignación que haga sus veces. A esta fecha la(s) turbina(s) y el (los) generadores que hagan parte de la planta y/o unidad no podrán tener más de tres (3) años de fabricación. El cumplimiento de este requisito deberá constar en un certificado de fecha de fabricación expedido por el fabricante de la(s) turbina(s) y generador(es) que será verificado por el auditor de la construcción contratado por el ASIC. El incumplimiento de este requisito dará lugar a la pérdida de la OEF y la ejecución de las garantías que se tengan constituidas para garantizar el cumplimiento de las obligaciones.
Planta y/o unidad de generación especial: Se consideran Plantas y/o Unidades de Generación Especiales las que se encuentran en proceso de construcción o instalación a la fecha de ejecución de la subasta, o del mecanismo de asignación que haga sus veces, y las instaladas que vayan a ser repotenciadas siempre y cuando se cumpla con lo establecido en el artículo 6o de esta resolución.
Planta y/o unidad de generación que respalda una obligación de energía firme. Es la planta y/o Unidad de generación cuya ENFICC fue declarada por el propietario o por quien la representa comercialmente y dio lugar a la asignación de la Obligación de Energía Firme en la subasta o en el mecanismo que haga sus veces.
Precio de cierre de la subasta o precio de cierre: Precio correspondiente a la oferta del último agente asignado con ENFICC de conformidad con el proceso de subasta.
Precio de escasez: Valor definido por la CREG y actualizado mensualmente que determina el nivel del precio máximo al que se remuneran las Obligaciones de Energía Firme de una planta específica. El valor del Precio de Escasez es el que corresponde al vínculo resultante de la subasta o el mecanismo que haga sus veces o del menú de corto plazo o el menú de largo plazo.
Precio de Escasez de Activación (PEa): <Definición modificada por el artículo 1 de la Resolución 101 066 de 2024. El nuevo texto es el siguiente:> Es el valor del precio de escasez asociado a las OEF asignadas. A partir de este valor se hacen efectivas la OEF asignadas.
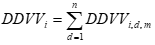
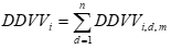
Precio de escasez ponderado (PEpm): <Definición modificada por el artículo 1 de la Resolución 101 066 de 2024. El nuevo texto es el siguiente:> Es el valor promedio ponderado de los precios de escasez mensual, se calculará así:

Donde:
| Precio de escasez ponderado del mes m. Este valor lo deberá publicar el ASIC mensualmente en su página web. | |
| Precio de escasez de la planta | |
| Obligación mensual de energía firme respaldada por la planta |
Precio marginal de escasez (PME): Es el precio definido y actualizado mensualmente con la metodología definida en el Capítulo 1 de la Resolución CREG 140 de 2017.
Reglamento de la subasta: Plan detallado establecido por la CREG, que contiene los parámetros y demás aspectos necesarios para la realización de la subasta.
Retiro definitivo de plantas y/o unidades de generación de las subastas para la asignación de obligaciones de energía firme: Decisión libre y voluntaria que toma un agente generador de no participar en las Subastas con plantas y/o unidades de generación representadas comercialmente por él, expresamente identificadas, que se debe comunicar a la CREG y al Administrador de la Subasta, y que solo será pública una vez finalizada la Subasta.
Retiro temporal de plantas y/o unidades de generación de las subastas de obligaciones de energía firme: Decisión libre y voluntaria que toma un generador de entregar curva de retiro después del precio determinado por la regulación en el proceso de Subasta para la asignación de Obligaciones de Energía Firme para un año determinado, con plantas o unidades de generación existentes representadas comercialmente por él, expresamente identificadas, que se debe comunicar a la CREG y al Administrador de la Subasta, y que solo será pública una vez finalizada la Subasta.
Sistema de Información del Mercado Secundario: Plataforma de Internet de consulta pública administrada por el ASIC en donde los generadores anuncian la Energía Firme no comprometida y que voluntariamente quieren transar en el Mercado Secundario. Mediante este sistema de información el ASIC publicará la información de precios, cantidades y plazos de las transacciones del Mercado Secundario.
Subasta para la asignación de obligaciones de energía firme o subasta: Proceso de negociación de Obligaciones de Energía Firme, con reglas definidas para la formación del precio y asignación de cantidades basada en las ofertas realizadas por los participantes.
Subasta de reconfiguración: Proceso de compra o venta de Obligaciones de Energía Firme mediante un mecanismo de subasta de sobre cerrado.
OBLIGACIONES DE ENERGÍA FIRME.
ARTÍCULO 3o. CÁLCULO DEL MONTO DE LA OBLIGACIÓN. La Obligación de Energía Firme de un generador, exigible en cada uno de los meses, los días o las horas, según sea el caso, durante el Período de Vigencia de la Obligación, se calculará teniendo en cuenta la ENFICC que comprometió en la Subasta, o en el mecanismo que haga sus veces, y el total de la energía asignada en esa Subasta. Dicho cálculo se efectuará aplicando lo establecido en los numerales 1.1, 1.2 y 1.3 del Anexo 1 de esta resolución.
ARTÍCULO 4o. PRECIO DE ESCASEZ. El Precio de Escasez se determinará y actualizará mensualmente de conformidad con la metodología establecida en el numeral 1.4 del Anexo 1 de esta resolución.
ARTÍCULO 5o. PERÍODO DE VIGENCIA DE LA OBLIGACIÓN. <Ver Notas de Vigencia> <Artículo modificado por el artículo 2 de la Resolución 139 de 2011. El nuevo texto es el siguiente:> El período de vigencia de la obligación para el caso de las plantas y/o unidades de generación existentes será de un año, que inicia el día siguiente a la fecha en que finaliza el Período de Planeación.
Para plantas y/o unidades de generación existentes con obras, especiales y nuevas, el propietario o quien las representa comercialmente, elegirá el período de vigencia de la obligación para ese recurso en particular, que podrá ser:
i) Entre uno y veinte (20) años para las plantas y/o unidades nuevas. Para determinar el Período de Vigencia de la Obligación, el ASIC lo calculará aplicando las siguientes fórmulas:
PVOPN = PVOE – máximo (AFT, AFG)
| PVOPN | Período de Vigencia de la Obligación para planta nueva |
| PVOE | Período de Vigencia de la Obligación elegido por el agente, el cual va de 1 a 20 años. |
| AFT | Años de fabricación de la turbina contados desde la fecha de fabricación hasta la fecha de entrada en operación comercial de la planta. |
| AFG | Años de fabricación del generador contados desde la fecha de fabricación hasta la fecha de entrada en operación comercial de la planta. |
<Inciso modificado por el artículo 2 de la Resolución 161 de 2011. El nuevo texto es el siguiente:> Si la turbina y el generador son fabricados con posterioridad a la fecha de la subasta, las variables AFT y AFG serán cero (0).
ii) Entre uno y diez (10) años para las plantas y/o unidades especiales.
iii) Entre uno y cinco (5) años para las existentes con obras.
Estos plazos se contarán a partir de la fecha de finalización del período de planeación de la asignación en el período de transición, de la subasta o del mecanismo que haga sus veces, por medio del cual se asignó la obligación de energía firme. Una vez elegido este período, no podrá ser modificado.
ARTÍCULO 6o. CONDICIONES PARA ACCEDER A LA CALIFICACIÓN DE PLANTA Y/O UNIDAD DE GENERACIÓN ESPECIAL DESPUÉS DE UNA REPOTENCIACIÓN. La repotenciación de una planta y/o unidad de generación dará lugar a que dicho activo sea considerado Planta y/o Unidad de Generación Especial si cumple cualquiera de estas condiciones:
1. Si la ENFICC de la planta y/o unidad de generación es menor o igual a 2 TWh-año, el incremento de la ENFICC por la repotenciación debe ser mayor o igual al 40% de la misma.
2. Si la ENFICC de la planta y/o unidad de generación es mayor a 2TWh-año, el incremento de la ENFICC por la repotenciación debe ser mayor o igual a 0.8 TWh
ARTÍCULO 7o. OBLIGACIONES ADICIONALES PARA LOS AGENTES CON PLANTAS Y/O UNIDADES DE GENERACIÓN NUEVAS O ESPECIALES. <Artículo modificado por el artículo 12 de la Resolución 61 de 2007. El nuevo texto es el siguiente:> Además de las establecidas en otros artículos de esta resolución, los agentes con plantas y/o unidades de generación nuevas o especiales a quienes les hayan sido asignadas obligaciones de energía firme, tendrán las siguientes obligaciones:
1. Poner en operación comercial la planta y/o unidad de generación a más tardar en la fecha de inicio del Período de Vigencia de la Obligación y con la ENFICC asignada en la Subasta.
2. Cumplir el cronograma de construcción o repotenciación de la planta y la Curva S.
3. Pagar el costo de la auditoría establecida en el artículo 8o de esta resolución, periódicamente en forma anticipada. El incumplimiento en el pago de la auditoría, dará lugar a la ejecución de la garantía a que se refiere el numeral 4 de este artículo y la pérdida para el generador de la Obligación de Energía Firme y la remuneración asociada a ella.
4. Constituir y mantener vigente la garantía de cumplimiento de la fecha de inicio de la operación comercial de las plantas o unidades de generación en instalación o por instalar o repotenciar con la ENFICC asignada en la Subasta, y del pago de la auditoría. Estas garantías deben cumplir las disposiciones contenidas en el Capítulo VIII de esta resolución.
5. Haberse constituido en Empresa de Servicios Públicos con anterioridad al plazo fijado por la CREG para el otorgamiento de las garantías exigibles para el cumplimiento de las Obligaciones de Energía Firme.
ARTÍCULO 8o. AUDITORÍA PARA PLANTAS Y/O UNIDADES DE GENERACIÓN NUEVAS O ESPECIALES. La obligación de cumplir con la Curva S, con el cronograma de construcción o repotenciación de la planta o unidad de generación y con la puesta en operación de la misma, será objeto de verificación mediante una auditoría que deberá ser contratada por el Administrador de la Subasta de acuerdo con las disposiciones contenidas en el numeral 1.5 del Anexo 1 de esta resolución.
ARTÍCULO 9o. EFECTOS DEL INCUMPLIMIENTO DEL CRONOGRAMA DE CONSTRUCCIÓN O DE REPOTENCIACIÓN, O DE LA PUESTA EN OPERACIÓN DE LA PLANTA. <Artículo modificado por el artículo 13 de la Resolución 61 de 2007. El nuevo texto es el siguiente:> El incumplimiento de las obligaciones relacionadas con el cronograma de construcción o con la puesta en operación de la planta o unidad de generación producirá los siguientes efectos:
1. La no presentación del cronograma de construcción o de repotenciación de la planta o unidad de generación en el plazo estipulado en el numeral 2.2 del Anexo 2 de esta resolución, o de la curva S del proyecto, dará lugar a la descalificación del agente para participar en la respectiva Subasta.
2. El retraso en el cronograma de construcción o repotenciación de la planta o unidad de generación frente a la Curva S que no constituya incumplimiento grave e insalvable, dará lugar al ajuste de la garantía de conformidad con los procedimientos que se definan en el Reglamento de Garantías para el Cargo por Confiabilidad de que trata el artículo 78 de esta resolución.
3. El incumplimiento grave e insalvable de la puesta en operación de la planta o unidad de generación dará lugar a:
a) La ejecución de la garantía;
b) La pérdida para el generador de la asignación de la Obligación de Energía Firme y la remuneración asociada a ella.
4. <Numeral modificado por el artículo 2 de la Resolución 153 de 2011. El nuevo texto es el siguiente:> Cuando la fecha de puesta en operación de la planta, determinada por el auditor, sea posterior a la fecha de inicio del Período de Vigencia de la Obligación y no constituya incumplimiento grave e insalvable, el agente deberá garantizar el cumplimiento de su Obligación de Energía Firme a través de un contrato con uno o algunos de los anillos de seguridad, vigente desde la fecha de inicio del Período de Vigencia de la Obligación y hasta la nueva fecha de puesta en operación de la planta. La omisión en la obligación de garantizar la Obligación de Energía Firme a través de un contrato con uno o algunos de los anillos de seguridad dará lugar a que el incumplimiento se considere grave e insalvable con las consecuencias previstas en el numeral 3 de este artículo.
PARÁGRAFO. En el caso del incumplimiento grave e insalvable que se determina cuando el informe del auditor indica que la puesta en operación de la planta o unidad de generación tendrá un atraso mayor a un año, contado a partir de la fecha de inicio del Periodo de Vigencia de la Obligación, la CREG, con el propósito de establecer plenamente la existencia del incumplimiento, determinar sus consecuencias y garantizar el derecho de defensa de los afectados, agotará el trámite previsto en los artículos 106 y ss. de la Ley 142 de 1994 y, en lo no previsto en ellos, aplicará las normas de la parte primera del Código Contencioso Administrativo que sean compatibles. En firme la decisión definitiva sobre la actuación y determinada la existencia del incumplimiento, se comunicará la decisión al ASIC y este adoptará las medidas correspondientes de acuerdo con la Resolución CREG 071 de 2006 y las normas que la modifiquen, adicionen o sustituyan.
ARTÍCULO 10. CONDICIONES DE OPERACIÓN DE LAS PLANTAS Y/O UNIDADES DE GENERACIÓN NUEVAS O ESPECIALES. Una vez entre en operación la planta o unidad de generación que respalda la Obligación de En ergía Firme, el generador quedará sometido al cumplimiento de todas las reglas de operación y en general a toda la regulación aplicable para las plantas existentes en el Sistema Interconectado Nacional y en el Mercado Mayorista de Energía.
ARTÍCULO 11. RETIRO DE AGENTES DEL MERCADO MAYORISTA DE ENERGÍA QUE TENGAN ASIGNADAS OBLIGACIONES DE ENERGÍA FIRME. Durante el Período de Vigencia de la Obligación de Energía Firme, el agente podrá retirarse del mercado mayorista cuando haya enajenado la planta o unidad que respalda la Obligación de Energía Firme y haya cedido al adquirente los compromisos y derechos derivados de la Obligación asignada.
La cesión solamente se podrá hacer a agentes generadores inscritos en el mercado mayorista, que cumplan con la normatividad vigente para su participación en el mismo.
El agente cedente deberá mantener vigentes las garantías asociadas a la Obligación de Energía Firme asignada y será el responsable del cumplimiento de dicha Obligación, hasta cuando el Administrador del Sistema de Intercambios Comerciales acepte las garantías que deberá otorgar el cesionario en condiciones equivalentes a las exigidas al cedente.
El procedimiento y demás disposiciones aplicables al retiro del agente cuando tiene asignadas Obligaciones de Energía Firme se detallan en el numeral 1.6.1 del Anexo 1 de esta resolución.
ARTÍCULO 12. RETIRO DEL MERCADO MAYORISTA DE ENERGÍA DE AGENTES QUE NO TENGAN OBLIGACIONES DE ENERGÍA FIRME ASIGNADAS. Las causales de retiro, las responsabilidades a que da lugar y las demás reglas para el retiro de un agente del Mercado Mayorista de Energía cuando no tiene asignadas Obligaciones de Energía Firme, serán las previstas en el numeral 1.6.2 del Anexo 1 de esta resolución, que modifica el artículo 12 de la Resolución CREG-024 de 1995.
ARTÍCULO 13. ENAJENACIÓN DE PLANTAS O UNIDADES DE GENERACIÓN QUE RESPALDAN OBLIGACIONES DE ENERGÍA FIRME ASIGNADAS, SIN RETIRO DEL AGENTE DEL MERCADO MAYORISTA DE ENERGÍA. Cuando se enajenen plantas y/o unidades de generación que respaldan una Obligación de Energía Firme asignada y el agente no se retire del mercado, se dará aplicación a lo dispuesto en el artículo 11 de esta resolución en lo relacionado con la cesión y la responsabilidad por el cumplimiento de la Obligación de Energía Firme asignada, sin perjuicio del cumplimiento de la normatividad vigente para las fusiones, adquisición de propiedad accionaria o de activos de generación.
ARTÍCULO 14. RETIRO DE PLANTAS O UNIDADES DE GENERACIÓN QUE RESPALDAN OBLIGACIÓN DE ENERGÍA FIRME ASIGNADA. <Artículo modificado por el artículo 4 de la Resolución 70 de 2014. El nuevo texto es el siguiente:> Cuando una planta o unidad de generación que respalda una Obligación de Energía Firme sale del Sistema, cualquiera que sea la causa que provoque su salida, el agente la podrá retirar del mercado mayorista, cuando haya garantizado el cumplimiento de la Obligación de Energía Firme asignada, a través de la cesión de las Obligaciones de Energía Firme a uno o varios agentes generadores inscritos en el mercado mayorista, que cumpla con la normatividad vigente para su participación en el mismo y para recibir asignaciones de OEF conforme a la regulación aplicable.
El agente cedente de la OEF de la planta a retirar deberá mantener vigentes las garantías asociadas a la Obligación de Energía Firme asignada que tenga constituidas y será el responsable del cumplimiento de dicha Obligación, hasta cuando el Administrador del Sistema de Intercambios Comerciales acepte las garantías que deberá otorgar el cesionario en condiciones equivalentes a las exigidas al cedente.
En estos eventos el retiro de la planta o unidad se hará efectivo previa notificación y coordinación con el CND.
ARTÍCULO 15. RETIRO DE PLANTAS O UNIDADES DE GENERACIÓN QUE NO RESPALDAN OBLIGACIONES DE ENERGÍA FIRME. Las plantas o unidades de generación que no respaldan Obligaciones de Energía Firme se podrán retirar libremente del mercado, previa notificación al CND y a la CREG. La reincorporación de la planta igualmente se podrá hacer previa notificación y coordinación con el CND.
ARTÍCULO 16. NORMAS COMUNES PARA EL RETIRO Y REINGRESO DE CUALQUIER PLANTA O UNIDAD DE GENERACIÓN. Se aplicarán las siguientes normas para el retiro y el reingreso de cualquier planta del Mercado Mayorista de Energía:
1. Para el retiro de una planta o unidad de generación se aplicarán las siguientes reglas:
a) Si el agente desea conservar la capacidad de transporte asignada, asociada a la planta o unidad de generación que va a ser retirada, hasta por un año, contado desde la fecha de retiro efectivo, deberá efectuar el depósito establecido en la regulación vigente. En caso contrario, perderá la capacidad de transporte asignada a partir del retiro efectivo;
b) Al cabo de un año, contado desde la fecha en que se produjo el retiro de una planta o unidad, expirará la capacidad de transporte asignada que tenía en el Sistema Interconectado Nacional la planta o unidad de generación retirada, caso en el cual para la reincorporación de estos activos al sistema y al mercado, el agente deberá cumplir el procedimiento vigente para la asignación de la capacidad de transporte, y
c) Cuando el retiro de una planta tenga como única causa la voluntad del agente, deberá informar por lo menos con tres (3) meses de antelación a la CREG, con copia al CND y al ASIC, la fecha prevista para el retiro.
Si de acuerdo con el concepto del CND, el retiro de la planta o de la unidad de generación pueda comprometer la seguridad energética o eléctrica del Sistema Interconectado Nacional, el CND deberá identificar las medidas o inversiones necesarias que suplan la ausencia de esta generación e informar de tal situación al agente generador y a los demás agentes que puedan resultar afectados. El CND hará efectivo el retiro de la planta a partir de la fecha que el agente haya definido como fecha de retiro.
2. Para el reingreso de una planta o unidad de generación se aplicarán las siguientes reglas:
a) Informar previamente a la CREG y al CND la intención de reincorporar la planta o unidad de generación al Sistema Interconectado Nacional;
b) Coordinar previamente con el CND las pruebas y demás maniobras a que haya lugar, de acuerdo con el Reglamento de Operación;
c) Cumplir previamente los requisitos exigidos en el Reglamento de Operación para la operación comercial en el Mercado Mayorista de Energía, y
d) En caso de haber perdido la asignación de la capacidad de transporte deberá obtener nuevamente dicha asignación, cumpliendo el trámite previsto en la regulación vigente.
SUBASTA PARA LA ASIGNACIÓN DE OBLIGACIONES DE ENERGÍA FIRME.
ARTÍCULO 17. SUBASTA PARA LA ASIGNACIÓN DE OBLIGACIONES DE ENERGÍA FIRME. Excepto en los casos previstos específicamente en esta resolución, las Obligaciones de Energía Firme se asignarán entre los agentes participantes mediante una Subasta de Obligaciones de Energía Firme.
ARTÍCULO 18. OPORTUNIDAD PARA LLEVAR A CABO LA SUBASTA O EL MECANISMO DE ASIGNACIÓN QUE HAGA SUS VECES. <Ver Notas de Vigencia> Durante el primer semestre de cada año la CREG verificará si la suma de la ENFICC de cada una de las plantas y/o unidades de generación es mayor o igual a la Demanda Objetivo calculada para el año que inicia el 1o de diciembre del año t+p, de acuerdo con lo establecido en el artículo 19 de esta resolución.
La CREG fijará, mediante resolución, la oportunidad en que el ASIC debe llevar a cabo la Subasta o el mecanismo de asignación que haga sus veces; así como el cronograma de las actividades que deben ejecutarse duran te los Períodos de Precalificación y de Planeación de la Subasta, o las fechas máximas de ejecución de las actividades asociadas al mecanismo de asignación, según sea el caso.
ARTÍCULO 19. PERÍODO DE PLANEACIÓN. <Ver Notas de Vigencia> <Artículo modificado por el artículo 2 de la Resolución 101 de 2007. El nuevo texto es el siguiente:> Para una Subasta o el mecanismo de asignación que haga sus veces, que se realice en el año t, el Período de Planeación finalizará el treinta (30) de noviembre del año t+p. El valor de p será el que defina la CREG.
ARTÍCULO 20. AGENTES HABILITADOS PARA PARTICIPAR EN LA SUBASTA O EN EL MECANISMO DE ASIGNACIÓN QUE HAGA SUS VECES. <Ver Notas de Vigencia> Unicamente podrán participar en la Subasta, o en el mecanismo de asignación que haga sus veces, aquellos agentes propietarios o que representen comercialmente plantas y/o unidades de generación a las cuales se les haya determinado la Energía Firme para el Cargo por Confiabilidad, de acuerdo con la metodología establecida en el Capítulo IV de esta resolución; y que hayan cumplido con los siguientes requisitos según el tipo de planta o unidad de generación:
1. Plantas y/o unidades de generación Nuevas o Especiales.
Los propietarios de plantas y/o unidades de generación nuevas o especiales, o quienes los representen comercialmente, deberán:
a) Aportar Certificación expedida por la Unidad de Planeación Minero Energética (UPME), en la que conste que el proyecto está inscrito en el registro de proyectos de generación de energía eléctrica, mínimo en la fase 2;
b) Aportar Certificación expedida por la UPME, en la que conste la presentación ante esa entidad del estudio de conexión a la red de transmisión;
c) Constituir una garantía de cumplimiento de la fecha de inicio de la operación comercial de la planta y/o unidad de generación en instalación o por instalar o repotenciar con la ENFICC que se le asigne en la Subasta.
d) En el caso de plantas hidráulicas, deberán disponer de registros históricos, con una extensión mínima de veinte (20) años, de caudales promedio mensual de los ríos que aportan a la planta;
e) Cumplir los pasos previstos del Período de Precalificación de la Subasta que se establecen en el numeral 2.2 del Anexo 2 de esta resolución.
2. Plantas y/o unidades de generación existentes:
Los propietarios de plantas y/o unidades de generación térmicas existentes, o quienes los representen comercialmente, deberán:
a) <Literal modificado por el artículo 14 de la Resolución 61 de 2007. El nuevo texto es el siguiente:> Entregar la garantía que asegure que presentará el contrato de combustible necesario para cubrir la Obligación de Energía Firme que le sea asignada en la subasta.
b) Aportar copia de las licencias ambientales asociadas a la operación con el combustible o combustibles elegidos por el generador para respaldar su ENFICC. En caso de no ser requeridas por la autoridad ambiental pertinente los propietarios de la planta y/o unidad de generación o quien lo represente comercialmente deberán enviar una comunicación informando este hecho;
c) Cumplir los pasos del Período de Precalificación de la Subasta que se establecen en el numeral 2.2 del Anexo 2 de esta resolución.
PARÁGRAFO. Las plantas y/o unidades de generación no despachadas centralmente no participarán en la Subasta. Para los efectos de esta resolución, los Cogeneradores recibirán el mismo tratamiento de las Plantas no Despachadas Centralmente.
ARTÍCULO 21. REGLAS APLICABLES A LA SUBASTA PARA LA ASIGNACIÓN DE OBLIGACIONES DE ENERGÍA FIRME. Las Subastas para la Asignación de Obligaciones de Energía Firme serán realizadas aplicando el numeral 2.3 del Anexo 2 de esta resolución.
PARÁGRAFO. Para los casos en los cuales a la apertura de la Subasta no se presenten agentes propietarios o que representan comercialmente plantas y/o unidades de generación nuevas, el Administrador de la Subasta la dará por terminada e informará a la CREG de conformidad con el Protocolo* de la Subasta para la Asignación de Obligaciones de Energía Firme.
ARTÍCULO 22. PROTOCOLO DE LA SUBASTA PARA LA ASIGNACIÓN DE OBLIGACIONES DE ENERGÍA FIRME. <Artículo derogado en los términos del artículo 2 de la Resolución 102 de 2007>
ARTÍCULO 23. ADMINISTRADOR DE LA SUBASTA PARA LA ASIGNACIÓN DE OBLIGACIONES DE ENERGÍA FIRME O ADMINISTRADOR DE LA SUBASTA. Para todos los efectos las funciones de administración de las Subastas para la Asignación de Obligaciones de Energía Firme serán realizadas por el ASIC.
ARTÍCULO 24. AUDITOR DE LA SUBASTA PARA LA ASIGNACIÓN DE OBLIGACIONES DE ENERGÍA FIRME O AUDITOR DE LA SUBASTA. El Auditor de la Subasta será una persona natural o jurídica que deberá contratar el Administrador de la Subasta, y q ue se encargará de verificar la correcta aplicación de la regulación vigente para el desarrollo de la Subasta.
ARTÍCULO 25. REGLAS PARA LA ASIGNACIÓN DE OBLIGACIONES DE ENERGÍA FIRME PARA LOS CASOS EN LOS CUALES NO SE REQUIERA LA REALIZACIÓN DE UNA SUBASTA. <Artículo modificado por el artículo 2 de la Resolución 19 de 2008. El nuevo texto es el siguiente:> Para los años que la CREG determine que no se requiere la realización de una Subasta, las Obligaciones de Energía Firme serán asignadas por el ASIC a cada uno de los generadores a prorrata de su Enficc de tal manera que se cubra la Demanda Objetivo descontando las Obligaciones de Energía Firme asignadas anteriormente y vigentes en el período a subastar y la Enficc de las Plantas no Despachas Centralmente con contratos. Para tal efecto se utilizará la declaración de Enficc más reciente hecha por cada agente generador.
ARTÍCULO 26. PRECIO DEL CARGO POR CONFIABILIDAD CUANDO SE HA REALIZADO SUBASTA. Para los años en los cuales se realice Subasta, y se hayan cumplido las condiciones establecidas en el numeral 2.3 del Anexo 2 de esta resolución, el Cargo por Confiabilidad correspondiente a todas las Obligaciones de Energía Firme asignadas en esa Subasta se pagará al Precio de Cierre de la Subasta, salvo los casos especiales de que tratan el artículo 27 y el artículo 30 de esta resolución.
ARTÍCULO 27. PRECIO DEL CARGO POR CONFIABILIDAD EN CASOS ESPECIALES DE SUBASTA. <Artículo modificado por el artículo 3 de la Resolución 101 de 2007. El nuevo texto es el siguiente:> El precio del Cargo por Confiabilidad en Casos Especiales de Subasta se determinará de acuerdo con lo establecido en el Reglamento de la Subasta contenido en el Anexo 10 de esta resolución.
ARTÍCULO 28. PRECIO DEL CARGO POR CONFIABILIDAD CUANDO NO HAY SUBASTA. <Artículo modificado por el artículo 11 de la Resolución 101 066 de 2024. El nuevo texto es el siguiente:> Para los años en los que no se realice Subasta, el Cargo por Confiabilidad de las Obligaciones de Energía Firme asignadas según el artículo 25 se pagará al Precio de Cierre de la última Subasta que haya cumplido con las condiciones establecidas en el numeral 2.3 del Anexo 2 de esta resolución.
El precio de estas obligaciones se calculará utilizando la siguiente fórmula:

Donde:
| Precio de la Obligación de Energía Firme respaldada con la planta o unidad de generación i, aplicable entre el 1 de diciembre del año en que no se realizó Subasta, NS, y el 30 de noviembre del año siguiente. | |
| Precio de cierre de la última subasta, según grupo de plantas, que cumplió con las condiciones establecidas en el numeral 2.3 del Anexo 2 de esta resolución. | |
| Índice de Precios al Productor de los Estados Unidos de América correspondiente a bienes de capital, reportado por la Oficina de Estadísticas Laborales del Departamento de Trabajo de los Estados Unidos (Serie ID: WPSSOP3200), para el mes de noviembre del año NS. | |
| Índice de Precios al Productor de los Estados Unidos de América correspondiente a bienes de capital, reportado por la Oficina de Estadísticas Laborales del Departamento de Trabajo de los Estados Unidos (Serie ID: WPSSOP3200), para el mes y el año del Precio de Cierre PCSE. |
ARTÍCULO 29. ACTUALIZACIÓN DEL CARGO POR CONFIABILIDAD. <Artículo corregido por el artículo 1 de la Resolución 22 de 2008. El nuevo texto es el siguiente:> El precio de las Obligaciones de Energía Firme se actualizará a partir de cada 1o de diciembre, siempre y cuando hayan transcurrido más de seis (6) meses desde la fecha en que fue asignada la obligación, utilizando la siguiente fórmula:

Donde:
| Pi,t: | Precio de la Obligación de Energía Firme respaldada con la planta o unidad de generación i, aplicable entre el 1o de diciembre del año t y el 30 de noviembre del año t+1, expresado en dólares por kilovatio hora (US$/kWh). |
| Pi, asignación: | Precio al que fue asignada la Obligación de Energía Firme respaldada con la planta o unidad de generación i, expresado en dólares por kilovatio hora (US$/kWh). |
| IPPnov,t: | Indice de Precios al Productor de los Estados Unidos de América correspondiente a bienes de capital, reportado por la Oficina de Estadísticas Laborales del Departamento de Trabajo de los Estados Unidos (Serie ID: WPSSOP3200), para el mes de noviembre del año t. |
| IPPasignación: | Indice de Precios al Productor de los Estados Unidos de América correspondiente a bienes de capital, reportado por la Oficina de Estadísticas Laborales del Departamento de Trabajo de los Estados Unidos (Serie ID: WPSSOP3200), para el mes y el año en que se efectuó la asignación de la Obligación de Energía Firme. Para las asignaciones de Obligaciones de Energía Firme realizadas en el período diciembre de 2006 a noviembre de 2007, el Indice de Precios al Productor será el correspondiente a noviembre del año 2006. |
PARÁGRAFO. Para los períodos de vigencia entre el primero (1o) de diciembre de 2007 a treinta (30) de noviembre de 2008, primero (1o) de diciembre de 2008 a treinta (30) de noviembre de 2009 y primero (1o) de diciembre de 2009 a treinta (30) de noviembre de 2010, el precio del Cargo por Confiabilidad que se aplicará será el que resulte de utilizar la siguiente fórmula:

Donde:
| Pdict,novt+1: | Precio del Cargo por Confiabilidad, expresado en dólares por megavatios hora (US$/MWh), aplicable entre el 1o de diciembre del año t y el 30 de noviembre del año t+1, donde t es 2007, 2008 ó 2009 según el período de vigencia que corresponda. |
| IPPnovt: | Indice de Precios al Productor de los Estados Unidos de América correspondiente a bienes de capital, reportado por la Oficina de Estadísticas Laborales del Departamento de Trabajo de los Estados Unidos (Serie ID: WPSSOP3200), para el mes de noviembre del año t. |
| IPPnov2006: | Indice de Precios al Productor de los Estados Unidos de América correspondiente a bienes de capital, reportado por la Oficina de Estadísticas Laborales del Departamento de Trabajo de los Estados Unidos (Serie ID: WPSSOP3200), para el mes de noviembre del año 2006”. |
ARTÍCULO 30. BANDA PARA LOS VALORES APLICABLES A LAS PLANTAS Y/O UNIDADES DE GENERACIÓN EXISTENTES EN LOS PRIMEROS TRES AÑOS DE SUBASTAS. Para la definición del precio del Cargo por Confiabilidad aplicable a las Obligaciones de Energía Firme respaldadas con plantas y/o unidades de generación existentes, que se asignen en las primeras tres Subastas, la CREG podrá fijar un valor máximo y un valor mínimo. Estos valores serán incorporados en el Protocolo* de la Subasta.
ARTÍCULO 31. PARTICIPACIÓN EN LA SUBASTA CON PLANTAS O UNIDADES DE GENERACIÓN CON PERÍODOS DE CONSTRUCCIÓN SUPERIORES AL PERÍODO DE PLANEACIÓN DE LA SUBASTA. <Artículo modificado por el artículo 5 de la Resolución 101 de 2007. El nuevo texto es el siguiente:> Quienes desarrollen plantas o unidades de generación con periodos de construcción superiores al Período de Planeación de las obligaciones de Energía Firme que se subastan en el año t pero inferiores o iguales a diez (10) años (en adelante GPPS), podrán optar por recibir asignaciones de Obligaciones de Energía Firme hasta diez (10) años antes del inicio del Período de Vigencia de las mismas, de conformidad con el procedimiento establecido en el Anexo 11 de esta resolución.
PARÁGRAFO. El ASIC someterá a consideración de la CREG, a más tardar dentro de los dos (2) meses siguientes a la fecha de entrada en vigencia de la presente resolución, el Reglamento de la Subasta de Sobre Cerrado, de que trata el Anexo 11 de esta resolución, para el caso de plantas y/o unidades de generación GPPS, el cual deberá contener, entre otros aspectos, plazo para manifestar el retiro del proyecto por parte de los agentes, contenido del sobre, tiempo de preparación, condiciones de entrega del sobre, forma de establecer el precio marginal, y entrega de garantías.
ARTÍCULO 32. CERTIFICACIÓN DE LA ASIGNACIÓN DE OBLIGACIONES DE ENERGÍA FIRME. <Ver Notas de Vigencia> Una vez que el agente reciba su asignación de Obligaciones de Energía Firme, ya sea como resultado de una Subasta o del mecanismo que haga sus veces, y entregue a la CREG los contratos de suministro y transporte de combustibles y las garantías exigidas según el caso dentro de los plazos estipulados para ello en el cronograma establecido en el artículo 18 de esta resolución, el ASIC expedirá una certificación de la asignación de Obligaciones de Energía Firme para cada una de las plantas y/o unidades de generación. Esta certificación deberá contener como mínimo:
1. La identificación de las leyes colombianas que crearon y regulan el Sistema Interconectado Nacional y el Mercado Mayorista de Energía.
2. La identificación de las leyes colombianas que le atribuyen la función de Administración del Sistema de Intercambios Comerciales de Energía en el Mercado Mayorista.
3. La identificación de las leyes colombianas que imponen la Obligación de Valorar la Capacidad de Generación de Respaldo de la oferta eficiente.
4. La Resolución de la CREG que ordenó adelantar la respectiva Subasta, o el mecanismo que haga sus veces, para la Asignación de Obligaciones de Energía Firme para el Cargo por Confiabilidad.
5. La Obligación de Energía Firme que le fue asignada al respectivo agente.
6. El Período de Vigencia de la Obligación de Energía Firme Asignada.
7. <Numeral modificado por el artículo 12 de la Resolución 101 066 de 2024. El nuevo texto es el siguiente:> El precio de escasez que corresponda, precio marginal de escasez, precios escasez superior, precios de escasez inferior o el precio de escasez del Anexo 1 de la presente resolución, según el proceso de asignación en que haya participado y el Precio de Cierre de la Subasta.
ARTÍCULO 33. NORMATIVIDAD APLICABLE Y VIGENCIA DE LAS OBLIGACIONES DE ENERGÍA FIRME. <Ver Notas de Vigencia> Cada Subasta para la Asignación de Obligaciones de Energía Firme se regirá por la normatividad que regule la realización de la Subasta, que esté vigente en el momen to de iniciar dicho proceso.
La CREG podrá modificar hacia el futuro las normas contenidas en la presente resolución, con arreglo a lo que dispongan las normas superiores, buscando en todo caso que se remunere la capacidad de generación de respaldo de que trata el artículo 23 de la Ley 143 de 1994.
No obstante, las Obligaciones de Energía Firme que se asignen a cada generador tendrán el Período de Vigencia que esté definido en las normas que rigieron la realización de la Subasta, durante el cual se pagará la correspondiente remuneración prevista en esas mismas normas, sin perjuicio de los casos de incumplimiento por parte del generador previstos en la regulación, que le afecten la asignación y su remuneración.
ENERGÍA FIRME PARA EL CARGO POR CONFIABILIDAD, ENFICC.
ARTÍCULO 34. RESPONSABLE DEL CÁLCULO DE LA ENFICC. La ENFICC será calculada por cada agente, teniendo en cuenta los parámetros y reglas establecidas en el Anexo 3 de esta resolución.
ARTÍCULO 35. ENERGÍA FIRME PARA CARGO POR CONFIABILIDAD DE PLANTAS HIDRÁULICAS. <Artículo modificado por el artículo 2 de la Resolución 103 de 2018. El nuevo texto es el siguiente:> La Energía Firme para Cargo por Confiabilidad de las plantas hidráulicas será la ENFICC Base obtenida de aplicar el numeral 3.1 del Anexo 3 de esta resolución.
Si el generador declara una ENFICC superior a la ENFICC Base se utilizará esta última.
PARÁGRAFO. Los agentes generadores con plantas o unidades de generación que se encuentren en operación comercial a la fecha de entrada en vigencia de la Resolución CREG 103 de 2018, podrán declarar una ENFICC superior a la ENFICC Base, hasta la ENFICC X%PSS que se defina en la resolución que fija la oportunidad para la asignación de OEF mediante subasta o el mecanismo que haga sus veces.
En todo caso, la diferencia entre la OEF que le sea asignada y la ENFICC Base deberá respaldarse con una garantía de conformidad con lo establecido en el Capítulo VIII de la Resolución CREG 071 de 2006
ARTÍCULO 36. ENERGÍA FIRME PARA EL CARGO POR CONFIABILIDAD DE LAS UNIDADES Y/O PLANTAS TÉRMICAS. La ENFICC de las unidades y/o plantas térmicas se calculará de conformidad con el numeral 3.2 del Anexo 3 de esta resolución, considerando las condiciones de abastecimiento de combustibles y el IHF.
ARTÍCULO 37. ENERGÍA FIRME PARA CARGO POR CONFIABILIDAD DE PLANTAS NO DESPACHADAS CENTRALMENTE. La ENFICC de las Plantas no Despachadas Centralmente se calculará de acuerdo con el numeral 3.3 del Anexo 3 de esta resolución.
ARTÍCULO 38. VERIFICACIÓN DE LA ENFICC. El valor de la ENFICC declarado por el agente será verificado por el CND, de conformidad con el numeral 5.1 del Anexo 5 de esta resolución. Para tal efecto, el agente deberá reportar a la CREG, en la fecha que esta determine, los formatos del numeral 5.2 del Anexo 5 de la resolución, debidamente diligenciados; de lo contrario la capacidad de la planta y/o unidad de generación a ser utilizada para la declaración de la ENFICC será igual a cero (0) MW.
ARTÍCULO 39. VERIFICACIÓN DE PARÁMETROS. Los parámetros declarados por los agentes para el cálculo de la ENFICC se verificarán mediante el mecanismo definido en el Anexo 6 de esta resolución.
La contratación de la verificación de los parámetros estará a cargo del Centro Nacional de Despacho, quien definirá los Términos de Referencia observando lo dispuesto en el numeral 6.1 del Anexo 6 de esta resolución. Dicha verificación de parámetros deberá efectuarse, en lo posible, durante la Estación de Verano inmediatamente siguiente a la fecha de realización de la Subasta. El costo de la contratación será pagado por los agentes que tengan asignaciones de obligaciones de energía firme mayores a cero (0) en el correspondiente período, a prorrata de la ENFICC asignada. El ASIC emitirá notas débito por este concepto a los respectivos agentes, que serán deducibles de las notas crédito de estos generadores.
La definición de la existencia de discrepancias entre los valores verificados de los parámetros y los reportados por los agentes, por fuera de los rangos de holgura o margen de error definidos por la CREG, dará lugar a que la asignación de Obligaciones de Energía Firme sea igual a cero (0) para el Período de Vigencia de la Obligación para el cual se utilizó la información sobre parámetros entregada por los agentes. Lo anterior implica la cesación de los pagos por concepto de Cargo por Confiabilidad que aún no se hayan efectuado y la devolución de los pagos recibidos en la forma como lo defina la CREG.
En consecuencia, los pagos por concepto del Cargo por Confiabilidad están sometidos a condición resolutoria, consistente en que si mediante acto administrativo en firme de la CREG, se determina la existencia de las referidas discrepancias, por fuera de los rangos de holgura o margen de error definidos por la CREG, los pagos hechos sobre el correspondiente período, se tendrán como pago de lo no debido.
La CREG con el propósito de establecer plenamente la existencia de dichas discrepancias y sus consecuencias y de garantizar el derecho de defensa de los afectados, agotará el trámite previsto en los artículos 106 y ss. de la Ley 142 de 1994 y en lo no previsto en ellos, aplicará las normas de la parte primera del Código Contencioso Administrativo que sean compatibles. En firme la decisión definitiva sobre la actuación y determinada la existencia de plantas y/o unidades con discrepancias, por fuera de los rangos de holgura o margen de error definidos por la CREG, se comunicará la decisión al ASIC, quien deberá adoptar las medidas correspondientes. Para las posteriores asignaciones de Obligaciones de Energía Firme se considerará la energía firme resultante de la corrección del parámetro con discrepancias según se establezca en la correspondiente actuación administrativa.
PARÁGRAFO. Se verificarán todos los parámetros declarados por los agentes para las plantas y/o unidades de generación que respaldan su Obligación de Energía Firme en el Período de Transición de conformidad con lo previsto en el artículo 87 numeral 1 de esta resolución. La oportunidad para posteriores verificaciones será definida por la CREG.
ARTÍCULO 40. INDISPONIBILIDAD HISTÓRICA DE SALIDAS FORZADAS, IHF, PARA LA ESTIMACIÓN DE LA ENFICC. Para la estimación de la ENFICC de las centrales hidroeléctricas se considerará el IHF por planta. Para las centrales termoeléctricas se considerará el IHF por unidad, con excepción de aquellas que declaren que las unidades que la componen no operan en forma individual, caso en el cual se hará por planta.
ARTÍCULO 41. DECLARACIÓN DE LA ENFICC. <Aparte modificado por el artículo 21 de la Resolución 101-6 de 2023. Rige a partir de la derogatoria de la Resolución 167 de 2017 según el artículo 25. Consultar el texto vigente hasta esta derogatoria en Legislación Anterior. El nuevo texto es el siguiente:> La declaración de la ENFICC se hará por una sola vez, antes del inicio del Período de Transición, empleando el formato de comunicación del Anexo 4 de esta resolución. No obstante, el agente podrá declarar una distinta con al menos tres (3) meses de antelación al inicio de una Subasta o del mecanismo de asignación que haga sus veces, cuando:
1. Sea una planta o unidad de generación a la que no se le haya calculado previamente ENFICC; o
2. Una planta y/o unidad de generación tenga cambios en sus características que afecten su ENFICC en uno de los dos (2) casos siguientes: que el incremento de su ENFICC exceda el 10% de la misma, por desvíos de ríos, por modificaciones en el contrato de combustibles, cambios en alguno de los factores o parámetros que afecten el cálculo de la energía firme de plantas de energía eléctrica; o que el incremento de su ENFICC por tales cambios exceda el 10% del incremento de la demanda nacional del año inmediatamente anterior al que se hace el cálculo.
Esta revisión solamente tendrá efecto en la oferta del generador para la siguiente Subasta o para los años siguientes del Período de Transición.
En el caso de plantas y/o unidades de generación térmica cuyos contratos de suministro y transporte de combustible no cubran el Período de Vigencia de la Obligación, y que no hayan cumplido las exigencias de los artículos 48 y 49 de esta resolución, la ENFICC se recalculará de conformidad con los ajustes a que dé lugar la nueva información de los contratos. Esto sin perjuicio del cumplimiento de su Obligación de Energía Firme durante el Período de Vigencia establecido, y de la ejecución de la respectiva garantía.
PARÁGRAFO 1o. Una planta y/o unidad de generación que tenga cambios en sus características que afecten su ENFICC, disminuyéndola en más del 10%, deberá declarar nuevamente los parámetros para que le sea recalculada la ENFICC. La CREG podrá iniciar este proceso de oficio.
PARÁGRAFO 2o. Cuando no se realice declaración de ENFICC, se tomará como declaración la última realizada y verificada por el CND.
ARTÍCULO 42. ENERGÍA DISPONIBLE ADICIONAL DE PLANTAS HIDRÁULICAS. <Artículo modificado por el artículo 3 de la Resolución 103 de 2018. El nuevo texto es el siguiente:> La Energía Disponible Adicional de Plantas Hidráulicas será la energía que excede la ENFICC declarada por el generador, calculada para cada uno de los meses del período que definió la ENFICC Base.
La Energía Disponible Adicional de las Plantas Hidráulicas que el agente generador destinará al Mercado Secundario, de conformidad con lo establecido en el artículo 43 de esta resolución, deberá declararse utilizando el formato del Anexo 4 de esta resolución.
PARÁGRAFO. La Energía Disponible Adicional para los agentes generadores con plantas o unidades de generación en operación comercial a la fecha de entrada en vigencia de la Resolución CREG 103 de 2018, será la energía que excede la ENFICC declarada, calculada para cada uno de los meses del periodo que definió la ENFICC respectiva.
En caso de declarar una ENFICC mayor a la ENFICC Base y menor a la ENFICC X%PSS, el cálculo de la Energía Disponible Adicional tomará como referencia el valor de ENFICC más cercano a la declaración del agente.
ARTÍCULO 43. ENERGÍA DE REFERENCIA PARA EL MERCADO SECUNDARIO. La Energía que podrá ofertar una planta o unidad de generación en el mercado secundario será la siguiente:
1. Para plantas hidráulicas: La Energía Disponible Adicional más la diferencia entre la ENFICC declarada y la ENFICC comprometida; y
2. Para plantas térmicas: La correspondiente a la diferencia entre la ENFICC y la ENFICC comprometida. En este caso la energía que resulte de esta diferencia debe respaldarse con los contratos de suministro y transporte de combustibles en las mismas condiciones exigidas a la ENFICC asociada a las Obligaciones de Energía Firme.
DISPONIBILIDAD DE COMBUSTIBLES.
ARTÍCULO 44. REGLA GENERAL. Los contratos de suministro de combustibles y transporte en firme de gas natural, así como los mecanismos adicionales que emplee el agente generador para sus plantas y/o unidades de generación térmica, deben garantizar el respaldo de las Obligaciones de Energía Firme de un agente generador. El esquema de atención de las necesidades de combustible de la planta y/o unidad de generación puede incluir contratos en firme de suministro y transporte; almacenamiento e inventarios, Contratos de Respaldo, contratos del mercado secundario de suministro y transporte de gas, según sea el caso.
PARÁGRAFO 1o. Cuando el agente reporte inventarios de combustible para respaldar su ENFICC deberá remitir a la CREG en los plazos establecidos en este Capítulo, un documento expedido por una firma auditora, debidamente acreditada, que certifique la cantidad de energía, en MBTU, asociada al combustible almacenado.
PARÁGRAFO 2o. La CREG podrá verificar la disponibilidad física del combustible en Planta.
ARTÍCULO 45. REQUERIMIENTOS DE CONTRATACIÓN DE COMBUSTIBLES DURANTE EL PERÍODO DE PRECALIFICACIÓN. <Ver Notas de Vigencia> Todos los agentes generadores con plantas y/o unidades de generación térmica que aspiren recibir asignación de Obligaciones de Energía Firme deberán enviar, en los plazos establecidos por la CREG mediante la resolución de que trata el artículo 18, copia del contrato firmado o una garantía de seriedad que asegure la contratación del suministro de combustibles, y la contratación del transporte en firme de gas natural, según sea el caso, en las cantidades necesarias para respaldar su declaración de ENFICC. En caso de enviar contratos firmados, estos deberán cumplir con lo dispuesto en el artículo 48.
Adicionalmente, deberán remitir los formatos contenidos en el numeral 5.2 del Anexo 5 de esta resolución.
La garantía aquí exigida deberá acogerse a lo dispuesto en el Capítulo VIII de esta resolución.
ARTÍCULO 46. DOCUMENTACIÓN ALTERNATIVA DURANTE EL PERÍODO DE PRECALIFICACIÓN PARA PLANTAS Y/O UNIDADES DE GENERACIÓN QUE PLANEEN UTILIZAR CARBÓN. <Ver Notas de Vigencia> Los agentes generadores con plantas y/o unidades de generación térmica que planeen utilizar carbón mineral para respaldar su ENFICC podrán entregar, en reemplazo de la garantía exigida en el artículo 45, la siguiente información de la(s) mina(s) que suministraría(n) el carbón:
1. Copia del auto aprobatorio del Plan de Trabajos y Obras expedido por la autoridad minera, y
2. Carta de compromiso firmada por el representante legal de la(s) mina(s) y aceptada(s) por el generador, en donde conste que cuenta con las reservas y capacidad de producción necesarios para atender el contrato de suministro, que se firmaría en caso de que la planta lo requiera para atender las Obligaciones de Energía Firme que adquiera en la Subasta o en el mecanismo de asignación que haga sus veces.
ARTÍCULO 47. DOCUMENTACIÓN ADICIONAL REQUERIDA DURANTE EL PERÍODO DE PRECALIFICACIÓN PARA PLANTAS Y/O UNIDADES DE GENERACIÓN QUE PLANEEN UTILIZAR GAS NATURAL. <Ver Notas de Vigencia> Para los agentes generadores con plantas y/o unidades de generación térmica que planeen utilizar gas natural para respaldar su declaración de ENFICC, la CREG podrá solicitar al Ministerio de Minas y Energía un balance que establezca, para cada campo, la viabilidad física de entrega en firme del gas natural comprometido en los contratos de suministro presentados por los agentes.
Adicionalmente, los transportadores de gas natural con contratos vigentes o solicitudes de contrato de transporte en firme de gas natural, cuyo remitente sea un generador térmico, deberán enviar a la CREG, dentro de los plazos establecidos en el artículo 45, una certificación en la que conste, para cada uno de los tramos que serán utilizados por el agente generador y para cada mes de vigencia de estos contratos, la capacidad máxima de transporte, la capacidad ya contratada en firme por personas naturales o jurídicas, distintas a generadores termoeléctricos, y la capacidad de transporte en firme ya contratada o que contratará con cada agente generador.
PARÁGRAFO 1o. En aquellos casos en los cuales un generador térmico presente contratos firmes de suministro y/o transporte de gas natural, obtenidos en el mercado secundario de este combustible, deberá presentar certificación escrita del representante legal del cesionario del contrato en la que conste las condiciones de duración y las cantidades cedidas.
PARÁGRAFO 2o. Durante el Período de Transición las certificaciones de que trata este artículo deberán enviarse a la CREG a más tardar el quince (15) de noviembre anterior al inicio del nuevo Período de Vigencia de la Obligación.
ARTÍCULO 48. REQUERIMIENTOS DE CONTRATACIÓN DE COMBUSTIBLES DURANTE EL PERÍODO DE PLANEACIÓN. <Ver Notas de Vigencia> Todos los agentes generadores con plantas y/o unidades de generación térmica que respalden Obligaciones de Energía Firme deberán enviar, al inicio del Período de Planeación y en el plazo establecido por la CREG mediante la resolución de que trata el artículo 18 de esta resolución, copia de los contratos de suministro de combustibles, y de transporte para el caso de gas natural, así como las certificaciones de la energía asociada al combustible almacenado, que respalden la ENFICC asociada a su Obligación de Energía Firme, desde la fecha de inicio del Período de Vigencia de la Obligación. Para el caso de gas natural, la vigencia mínima de estos contratos será de un año, y para otros combustibles la vigencia mínima será de seis (6) meses.
En caso de no contar con estos contratos en el plazo establecido por la CREG, el agente generador deberá enviar una garantía de cumplimiento que asegure la disponibilidad de contratos de suministro de combustibles y transporte de gas natural en la fecha de inicio del Período de Vigencia de la Obligación. En todo caso, el contrato o la garantía de cumplimiento, según sea el caso, debe establecerse antes del vencimiento de la garantía de seriedad de que trata el artículo 45. Esta garantía deberá acogerse a lo dispuesto en el Capítulo VIII de esta resolución.
Los agentes generadores que hayan optado por el envío de garantías de cumplimiento deberán remitir a la CREG, al finalizar el Período de Planeación, y dentro del plazo establecido mediante la resolución de que trata el artículo 18, copia de los contratos de suministro de combustibles y transporte de gas natural, con la duración mínima establecida para cada tipo de combustible.
En cada remisión de la copia de los contratos de suministro de combustibles y transporte de gas natural, los agentes generadores deberán adjuntar los formatos correspondientes del numeral 5.2 del Anexo 5 de esta resolución, debidamente diligenciados, con la información referente a esos nuevos contratos.
PARÁGRAFO 1o. <Parágrafo modificado por el artículo 3 de la Resolución 96 de 2006. El nuevo texto es el siguiente:> Los generadores con plantas y/o unidades que utilicen combustibles diferentes a gas natural, podrán contabilizar su disponibilidad física de combustible en planta, a la fecha de inicio de la vigencia de los contratos, a efecto del cálculo de sus requerimientos de combustible que respaldan la ENFICC asociada a su Obligación de Energía en Firme. Todos los generadores con unidades y/o plantas de generación térmica podrán descontar de sus obligaciones de contratación de combustibles los períodos de mantenimientos programados, siempre y cuando presenten Declaraciones de Respaldo o Contratos de Respaldo, debidamente registrados ante el ASIC, vigentes durante el período de mantenimiento programado.
PARÁGRAFO 2o. Durante el Período de Transición la copia de los contratos de suministro y transporte de combustibles, y de transporte de gas natural, así como las garantías de cumplimiento deben enviarse a la CREG a más tardar el veinticinco (25) de noviembre anterior al inicio del nuevo Período de Vigencia de la Obligación.
PARÁGRAFO 3o. En aquellos casos en los cuales un generador térmico presente contratos firmes de suministro y/o transporte de gas natural, obtenidos en el mercado secundario de este combustible, deberá presentar certificación escrita del representante legal del cesionario del contrato en la que conste las condiciones de duración y las cantidades cedidas.
PARÁGRAFO 4o. Durante el primer año del Período de Transición, los agentes generadores con Obligaciones de Energía Firme que planeen utilizar gas natural para respaldar esta obligación, podrán celebrar contratos de suministro y transporte en firme de gas natural que garanticen la disponibilidad del combustible para los primeros seis (6) meses de este primer año, siempre y cuando cumplan alguno de los siguientes requerimientos a más tardar el 1o de abril de 2007:
1. Enviar a la CREG copia de los contratos de suministro y transporte de combustibles para el período comprendido entre el 1o de junio de 2007 y el 30 de noviembre de 2007.
2. Registrar ante el ASIC un Contrato de Respaldo de Energía Firme vigente entre el 1o de junio de 2007 y el 30 de noviembre de 2007, suficiente para cubrir la ENFICC asociada a la Obligación de Energía Firme asignada al agente.
Cualquiera sea la alternativa escogida por el agente, deberá respaldarla con una garantía de cumplimiento de acuerdo con lo establecido en el Capítulo VIII de esta resolución y en el parágrafo 2o de este artículo.
ARTÍCULO 49. EXTENSIÓN DE GARANTÍAS CUANDO LOS CONTRATOS DE COMBUSTIBLE NO CUBREN TODO EL PERÍODO DE VIGENCIA DE LA OBLIGACIÓN. <Artículo modificado por el artículo 16 de la Resolución 61 de 2007. El nuevo texto es el siguiente:> Cuando la duración de estos contratos sea inferior al Período de Vigencia de la Obligación, el agente generador deberá garantizar la disponibilidad continua del combustible. Para ello remitirá a la CREG, un mes antes de la fecha de finalización de cada uno de estos contratos, la copia de los contratos firmados que reemplazan a aquellos que están próximos a finalizar, y con la duración mínima establecida en el artículo 48, así como los formatos del numeral 5.2 del Anexo 5 de esta resolución debidamente diligenciados, correspondientes a la información de los nuevos contratos.
Si la duración de los nuevos contratos es inferior al Período de Vigencia de la Obligación el agente deberá remitir, en la misma fecha en que entregue los contratos o en aquella que fije la CREG con base en el artículo 18 de esta resolución, una garantía que asegure la renovación de los mismos en las condiciones exigidas en este Capítulo. Esta garantía debe cumplir las disposiciones contenidas en el Capítulo VIII de esta resolución.
ARTÍCULO 50. VERIFICACIÓN DE CONTRATOS, LOGÍSTICA Y DISPONIBILIDAD DE COMBUSTIBLES. La CREG verificará la veracidad de la información consignada en los formatos del Anexo 5 de esta resolución frente a lo estipulado en los contratos de suministro y transporte de combustibles.
ARTÍCULO 51. EFECTOS DEL INCUMPLIMIENTO EN LA PRESENTACIÓN DE CONTRATOS Y GARANTÍAS. Vencidos los plazos establecidos en esta resolución sin que el generador haya cumplido con la entrega de la copia de los contratos de suministro de combustible, y para el caso de las plantas y/o unidades de generación que vayan a operar con gas natural de los contratos de suministro y transporte de este energético; o de las garantías que aseguren la presentación de los respectivos contratos; a partir de esa misma fecha perderá la asignación de la Obligación de Energía Firme y la remuneración asociada. Igualmente, a partir del vencimiento de dicho plazo, se harán efectivas las garantías de seriedad o de cumplimiento a que se refieren el artículo 45 y el artículo 48 respectivamente, otorgadas por el generador incumplido.
PARÁGRAFO. <Parágrafo modificado por el artículo 12 de la Resolución 86 de 2006. El nuevo texto es el siguiente:> Durante el Período de Transición, este incumplimiento dará lugar a la reasignación de Obligaciones de Energía Firme a prorrata de la Enficc no comprometida, salvo lo previsto en el Parágrafo 4o del artículo 48 de la presente resolución caso en el cual el respectivo agente mantendrá la asignación de la obligación de energía firme durante su periodo de vigencia.
LIQUIDACIÓN.
ARTÍCULO 52. EXIGIBILIDAD DE LAS OBLIGACIONES DE ENERGÍA FIRME EN EL DESPACHO IDEAL. <Artículo modificado por el artículo 13 de la Resolución 101 066 de 2024. El nuevo texto es el siguiente:> Las obligaciones de energía firme serán exigibles a cada uno de los generadores remunerados por concepto de Cargo por Confiabilidad durante cada una de las horas en las que el Precio de Bolsa sea mayor al precio de escasez de activación que le corresponda. Dichas obligaciones deberán ser cumplidas de conformidad con el Despacho Ideal.
ARTÍCULO 53. VERIFICACIÓN DEL CUMPLIMIENTO DE LA ENTREGA DE ENERGÍA FIRME Y LIQUIDACIÓN. <Artículo modificado por el artículo 14 de la Resolución 101 066 de 2024. El nuevo texto es el siguiente:> Para cada una de las horas en las cuales el Precio de Bolsa supere al precio de escasez de activación que le corresponda, el ASIC determinará el valor de las desviaciones de las Obligaciones de Energía Firme para cada uno de los generadores de acuerdo con lo establecido en el Anexo 7 de esta resolución.
ARTÍCULO 54. ASIGNACIÓN DE EXCEDENTES ASOCIADOS CON INCUMPLIMIENTOS POR PARTE DE UN GENERADOR DE SUS OBLIGACIONES DE ENERGÍA FIRME. Si como resultado del incumplimiento de las Obligaciones de Energía Firme por parte de un generador se produce racionamiento, los saldos en la Bolsa que no puedan ser asignados a otros generadores serán distribuidos entre los comercializares del SIN a prorrata de la cantidad de energía racionada a cada uno de ellos. Estos saldos deberán ser devueltos por cada comercializador a los usuarios del SIN como un menor valor de restricciones. Para los casos en los cuales el Precio de Bolsa sea inferior al segundo escalón del Costo de Racionamiento, este cálculo se realizará considerando un precio de bolsa igual al segundo escalón del costo de racionamiento.
ARTÍCULO 55. PRECIO DE LAS TRANSACCIONES EN BOLSA CUANDO EL PRECIO DE BOLSA (PB) ES MAYOR AL PRECIO DE ACTIVACIÓN. <Artículo modificado por el artículo 15 de la Resolución 101 066 de 2024. El nuevo texto es el siguiente:> Todas las transacciones de compra y venta de energía en la Bolsa que se realicen durante las horas en las cuales el Precio de Bolsa supera el precio de escasez de activación serán liquidadas de acuerdo con los siguientes casos y considerando las siguientes reglas:
- Para los casos que se presentan a continuación, se tendrá en cuenta la siguiente descripción de las variables del precio de escasez:
PE1 = Precio de escasez con menor valor entre PEI, PE y PES.
PE2 = Precio de escasez con valor intermedio entre PEI, PE y PES.
PE3 = Precio de escasez con mayor valor entre PEI, PE y PES.
Donde:
PEI = Precios de escasez inferior definido en el artículo 2 de la presente resolución.
PE = Precios de escasez del anexo 1 de la Resolución CREG 071 de 2006.
PES = Precios de escasez superior definido en el artículo 2 de la presente resolución.
- <Viñeta modificada por el artículo 2 de la Resolución 101 69 de 2025. El nuevo texto es el siguiente:> Cuando se tenga una planta con asignaciones de OEF con varios precios de activación diferentes, la generación ideal de la planta será distribuida en proporción a la relación entre en las OEF con precios de activación distintos y la OEF total. Cada fracción será tratada para el cálculo como una planta independiente.
- <Viñeta modificada por el artículo 2 de la Resolución 101 69 de 2025. El nuevo texto es el siguiente:> Para la determinación de variables
,
y
empleadas en este artículo se deberá tomar la Obligación Diaria de Energía Firme Ajustada de que trata el Anexo 7 que corresponda y distribuirla en proporción de la demanda comercial horaria.
1. Caso 1: PE1 < PB = PE2

Donde:
| A | ![]() |
| B | ![]() |
| C | ![]() |
| D | ![]() |
| <Variable modificada por el artículo 9 de la Resolución 101 087 de 2025. Aplica a partir del 10 de marzo de 2026. Consultar el texto vigente hasta esta fecha en Legislación Anterior. El nuevo texto es el siguiente:> Demanda total doméstica del SIN más la reducción de demanda RDV y el programa de racionamiento en la hora h, del día d, del mes m, menos la suma de: i) la Generación Ideal (GI) de plantas no despachadas centralmente para la hora h, del día d, del mes m, y ii) la cantidad de energía Exc_Neg de la que trata el literal b), numeral 2.3. del Artículo 24 de la Resolución CREG 174 de 2021 y aquellas que la adicionen, complementen o sustituyan. |
| Precio de las transacciones en bolsa de la hora h, del día d, del mes m, para el caso 1. Este valor lo deberá publicar el ASIC en su página web. | |
| Precio de escasez que le aplique a la planta i del generador j en el mes m. | |
| Obligación de energía firme respaldada por la planta i del generador j que le aplica PE1 para la hora h, del día d, del mes m. | |
| Precio de bolsa nacional de la hora h, del día d, del mes m. | |
| Generación ideal de la planta i del generador j, para la hora h, del día d, del mes m, que le aplica PE1. | |
| Generación ideal de la planta i del generador j, para la hora h, del día d, del mes m, que le aplica PE2. | |
| Generación ideal de la planta i del generador j, para la hora h, del día d, del mes m, que le aplica PE3. | |
| X | Plantas a las que les aplica el PE1 |
| Y | Plantas a las que les aplica el PE2 |
| Z | Plantas a las que les aplica el PE3 |
| V | <Descripción variable modificada por el artículo 6 de la Resolución 101 69 de 2025. El nuevo texto es el siguiente:> Plantas Despachadas Centralmente sin OEF y la generación ideal RDV y PRG considerada en el cálculo de las Desviaciones de OEF previstas en el Anexo 7 de la Resolución CREG 071 de 2006. |
2. Caso 2: PE2 < PB = PE3
![]()
Donde:
| E | ![]() |
| Precio de las transacciones en bolsa de la hora h, del día d, del mes m, para el caso 2. Este valor lo deberá publicar el ASIC en su página web. | |
| Precios de escasez que le aplique de la planta i del generador j en el mes m. | |
| Obligación de energía firme respaldada por la planta i del generador j que le aplica PE2 para la hora h, del día d, del mes m. |
3. Caso 3: PB > PE3

| F | ![]() |
| Precio de las transacciones en bolsa de la hora h, del día d, del mes m, para el caso 3. Este valor lo deberá publicar el ASIC en su página web. | |
| Precios de escasez que le aplique de la planta i del generador j en el mes m. | |
| Obligación de energía firme respaldada por la planta i del generador j que le aplica PE3 para la hora h, del día d, del mes m. |
Lo anterior, sin perjuicio de las disposiciones contenidas en la regulación vigente en materia de precios de reconciliación y de liquidación de las Transacciones Internacionales de Energía.
ARTÍCULO 56. CARGO POR CONFIABILIDAD DE LAS PLANTAS Y/O UNIDADES DE GENERACIÓN NO DESPACHADAS CENTRALMENTE. <Artículo modificado por el artículo 8 de la Resolución 101 69 de 2025. El nuevo texto es el siguiente:> Para las Plantas y/o Unidades de Generación no Despachadas Centralmente se aplicarán las siguientes reglas:
a. Todos aquellos generadores no despachados centralmente que tengan contratos de venta de energía de conformidad con las disposiciones contenidas en la regulación vigente, deberán producir diariamente la ENFICC declarada de conformidad con las disposiciones contenidas en esta resolución, siempre que al menos durante una de las horas del día se presenten condiciones críticas.
b. Cuando la generación real diaria de estos generadores sea menor a la ENFICC declarada, el ASIC incrementará la cuenta por pagar del respectivo agente en un monto igual al producto entre el valor del CERE y la diferencia entre la ENFICC diaria y la generación real diaria utilizada por el ASIC para las transacciones comerciales, este valor será asignado a cada uno de los comercializadores del SIN a prorrata de su demanda comercial como un menor costo de restricciones que debe ser trasladado a los usuarios finales.
c. Para cada una de las horas en las cuales se presenten condiciones críticas y la Planta no Despachada Centralmente tenga contratos de venta de energía a Precio de Bolsa de conformidad con la regulación vigente, el precio del contrato será igual al PTB para la hora respectiva.
d. Para los efectos de que trata el anexo 7 de esta resolución, la Obligación Diaria de Energía Firme de las Plantas no Despachadas Centralmente será igual a su Generación Ideal.
e. Para los efectos de que trata el anexo 8 de la presente Resolución, las plantas no despachadas centralmente solo recaudan Cargo por Confiabilidad por sus ventas de energía en bolsa.
ARTÍCULO 57. RECAUDO Y PAGO DEL CARGO POR CONFIABILIDAD A LOS AGENTES GENERADORES CON OBLIGACIONES DE ENERGÍA FIRME. El ASIC efectuará la conciliación, liquidación y facturación del Cargo por Confiabilidad de conformidad con el Anexo 8 de esta resolución.
ANILLOS DE SEGURIDAD.
ARTÍCULO 58. OBJETO. Los Anillos de Seguridad son un conjunto de mecanismos orientados a facilitar el cumplimiento de las Obligaciones de Energía Firme. Estos mecanismos son el Mercado Secundario de Energía Firme, las Subastas de Reconfiguración, la Demanda Desconectable Voluntariamente y la Generación de Ultima Instancia.
7.1 MERCADO SECUNDARIO DE ENERGÍA FIRME.
ARTÍCULO 59. OBJETO. <Artículo modificado por el artículo 7 de la Resolución 79 de 2006. El nuevo texto es el siguiente:> El Mercado Secundario de Energía Firme es el mecanismo que le permite a cada uno de los generadores que determinen que su energía no es suficiente para cumplir sus Obligaciones de Energía Firme, negociar con otros generadores que tengan Energía de Referencia para el Mercado Secundario, de conformidad con el artículo 43 de esta resolución, el respaldo de sus compromisos a través de Contratos de Respaldo, según lo establecido en esta resolución.
ARTÍCULO 60. PARTICIPANTES. <Artículo modificado por el artículo 4 de la Resolución 96 de 2006. El nuevo texto es el siguiente:> En el Mercado Secundario de Energía Firme participarán exclusivamente los generadores. Los oferentes de este mercado serán los generadores con Energía de Referencia para el Mercado Secundario. Los compradores serán los generadores que requieran temporalmente ENFICC para el cumplimiento de sus Obligaciones de Energía Firme.
ARTÍCULO 61. FUNCIONAMIENTO. <Artículo modificado por el artículo 9 de la Resolución 79 de 2006. El nuevo texto es el siguiente:> Los generadores que tengan Energía de Referencia para el Mercado Secundario y que voluntariamente quieran participar en este mercado, publicarán la cantidad de energía que ofrecen en el Sistema de Información del Mercado Secundario, en la forma como lo establezca el ASIC.
El agente generador que requiera ENFICC para cumplir sus Obligaciones de Energía Firme negociará bilateralmente estos Contratos de Respaldo con los generadores oferentes, de acuerdo con esta resol ución.
Las negociaciones en el mercado secundario no podrán modificar en forma alguna las condiciones en las cuales los generadores se comprometieron en la Subasta a suministrar la Energía Firme.
ARTÍCULO 62. CONTENIDO DE LOS CONTRATOS DE RESPALDO DE ENERGÍA FIRME Y DE LAS DECLARACIONES DE RESPALDO. <Artículo modificado por el artículo 5 de la Resolución 96 de 2006. El nuevo texto es el siguiente:> La forma, contenido, garantías y condiciones establecidas en los Contratos de Respaldo de Energía Firme podrán pactarse libremente entre las partes. Las partes deberán incluir en el contrato la información referente a la identificación de los generadores que intervienen, del recurso de generación comprometido y del respaldado, la cantidad diaria determinada de Energía Firme negociada en el contrato, expresada en kilovatios hora día, y su período de vigencia.
La Declaración de Respaldo deberá contener la información referente a la identificación del generador que declara, del recurso de generación comprometido y del respaldado, la cantidad diaria determinada de Energía Firme comprometida con la declaración, expresada en kilovatios hora día, y su período de vigencia.
ARTÍCULO 63. REGISTRO DE CONTRATOS DEL MERCADO SECUNDARIO DE ENERGÍA FIRME. <Artículo modificado por el artículo 10 de la Resolución 79 de 2006. El nuevo texto es el siguiente:> Todos los Contratos de Respaldo de Energía Firme que se celebren entre generadores, como resultado de su negociación en el Mercado Secundario, deberán registrarse ante el ASIC en la forma como él lo establezca.
El plazo máximo para el registro de estos contratos será de tres (3) días calendario contados desde la fecha de su celebración, y el mínimo será de dos (2) días antes de su fecha de entrada en vigencia.
PARÁGRAFO 1o. El ASIC publicará en el Sistema de Información del Mercado Secundario las cantidades transadas bilateralmente, identificando el plazo de estos compromisos, su entrada en vigencia y el precio al que fueron pactados.
PARÁGRAFO 2o. <Parágrafo derogado por el artículo 13 <sic> de la Resolución 96 de 2006.>
PARÁGRAFO 3o. El incumplimiento en la entrega de la energía pactada en un Contrato de Respaldo será responsabilidad de las partes contratantes y no modificará las acciones previstas por la CREG para el incumplimiento en la entrega de la ENFICC asignada a los generadores en la Subasta o en el mecanismo de asignación que haga sus veces.
PARÁGRAFO 4o. <Parágrafo modificado por el artículo 6 de la Resolución 96 de 2006. El nuevo texto es el siguiente:> Los Contratos de Respaldo y las Declaraciones de Respaldo serán despachados en el orden en que fueron registrados ante el ASIC, cumpliendo las siguientes condiciones:
Las cantidades a despachar no podrán superar los excedentes diarios de generación ideal con respecto a las Obligaciones de Energía Firme del vendedor.
Las cantidades a despachar no podrán superar el déficit diario de generación ideal con respecto a las Obligaciones d e Energía Firme del comprador.
En todos los casos las cantidades a despachar de cada Contrato de Respaldo o Declaración de Respaldo no podrán superar la cantidad registrada, de acuerdo con las disposiciones contenidas en la presente resolución.
7.2 SUBASTAS DE RECONFIGURACIÓN.
ARTÍCULO 64. OBJETO. La Subasta de Reconfiguración es el mecanismo mediante el cual se ajustan los requerimientos que deben ser cubiertos con las Obligaciones de Energía Firme, según los cambios en las proyecciones de demanda de energía.
ARTÍCULO 65. PERIODICIDAD. Anualmente la CREG evaluará la diferencia entre las Obligaciones de Energía Firme adquiridas para un año en particular y la proyección de demanda de energía más reciente calculada por la UPME. Con base en esta evaluación ordenará la realización de una Subasta de Reconfiguración para la compra o para la venta de Obligaciones de Energía Firme, según sea el caso, de conformidad con lo establecido en esta resolución.
ARTÍCULO 66. PARTICIPANTES. <Artículo derogado por el artículo 20 de la Resolución 51 de 2012>
ARTÍCULO 67. FUNCIONAMIENTO DE UNA SUBASTA DE RECONFIGURACIÓN PARA LA COMPRA DE ENERGÍA. <Artículo derogado por el artículo 20 de la Resolución 51 de 2012>
ARTÍCULO 68. FUNCIONAMIENTO DE LAS SUBASTAS DE RECONFIGURACIÓN PARA LA VENTA DE ENERGÍA. <Artículo derogado por el artículo 20 de la Resolución 51 de 2012>
ARTÍCULO 69. FUNCIÓN DE DEMANDA DE LA SUBASTA DE RECONFIGURACIÓN PARA LA COMPRA DE ENERGÍA FIRME. <Artículo derogado por el artículo 20 de la Resolución 51 de 2012>
ARTÍCULO 70. FUNCIÓN DE OFERTA AGREGADA PARA LA SUBASTA DE RECONFIGURACIÓN PARA LA COMPRA DE ENERGÍA FIRME. <Artículo derogado por el artículo 20 de la Resolución 51 de 2012>
ARTÍCULO 71. FUNCIÓN DE DEMANDA DE LA SUBASTA DE RECONFIGURACIÓN PARA LA VENTA DE ENERGÍA FIRME. <Artículo derogado por el artículo 20 de la Resolución 51 de 2012>
ARTÍCULO 72. FUNCIÓN DE OFERTA DE LA SUBASTA DE RECONFIGURACIÓN PARA LA VENTA DE ENERGÍA FIRME. <Artículo derogado por el artículo 20 de la Resolución 51 de 2012>
7.3 DEMANDA DESCONECTABLE VOLUNTARIAMENTE.
ARTÍCULO 73. OBJETO. Mediante el mecanismo de Demanda Desconectable Voluntariamente un generador que anticipe que su energía no es suficiente para cumplir con sus Obligaciones de Energía Firme, podrá negociar con los usuarios, por medio de sus comercializadores, la reducción voluntaria de la demanda de energía. Esta negociación se efectuará a través de un mecanismo cuyo funcionamiento será definido por la CREG en resolución aparte.
7.4 GENERACIÓN DE ÚLTIMA INSTANCIA.
ARTÍCULO 74. OBJETO. La Generación de Ultima Instancia es el mecanismo mediante el cual un generador que anticipe que su energía no es suficiente para cumplir con sus Obligaciones de Energía Firme, negociará el suministro de esta energía con el propietario o el representante comercial de un Activo de Generación de Ultima Instancia.
ARTÍCULO 75. REGISTRO DEL ACTIVO DE GENERACIÓN DE ULTIMA INSTANCIA. <Artículo modificado por el artículo 11 de la Resolución 79 de 2006. El nuevo texto es el siguiente:> El generador que respalde sus Obligaciones de Energía Firme con la utilización de un Activo de Generación de última Instancia deberá registrarlo ante el CND y el ASIC de conformidad con la regulación vigente.
Este activo será despachado de acuerdo con la regulación vigente.
GARANTÍAS.
ARTÍCULO 76. EVENTOS DE GARANTÍAS. <Ver Notas de Vigencia> Exclusivamente para efectos de respaldar las obligaciones asociadas al Cargo por Confiabilidad, se exigirán según sea el caso, las siguientes garantías:
1. Garantía por la energía firme incremental referente a una declaración de energía firme superior a la ENFICC Base, para el caso de plantas hidráulicas. Esta garantía se hará exigible a partir del segundo año del Período de Transición.
2. Garantía por la construcción y puesta en operación de plantas y/o unidades de generación nuevas y especiales.
3. Garantía por la energía firme asociada al primer año de operación de una unidad nueva de acuerdo con el IHF empleado para el cálculo de la ENFICC.
4. Garantía por el incremento futuro de ENFICC debido a la mejora en el índice IHF de una planta o unidad de generación.
5. Garantía de continuidad de los contratos de suministro y transporte de combustibles cuando la duración de los mismos es inferior al Período de Vigencia de la Obligación.
6. Cualquier otro evento que se derive de lo ordenado en la presente resolución.
ARTÍCULO 77. PRINCIPIOS. En general todas las garantías establecidas en esta resolución deberán acoger los siguientes principios:
1. Deben cubrir todos los conceptos que surjan dentro de este mercado a cargo de los agentes generadores o de otros participantes.
2. El administrador designado debe tener la preferencia para obtener incondicionalmente y de manera inmediata el pago de la obligación garantizada en el momento de su ejecución.
3. Deben ser otorgadas de manera irrevocable e incondicional a la orden del administrador.
4. Deben ser líquidas y fácilmente realizables en el momento en que deban hacerse efectivas.
ARTÍCULO 78. REGLAMENTO DE GARANTÍAS PARA EL CARGO POR CONFIABILIDAD. El ASIC someterá a consideración de la CREG, a más tardar dentro de los tres meses siguientes a la fecha de entrada en vigencia de la presente resolución el Reglamento de Garantías para el Cargo por Confiabilidad, que deberá amparar las Obligaciones de Energía Firme de acuerdo con los principios establecidos en este Capítulo.
El Reglamento de Garantías para el Cargo por Confiabilidad deberá, entre otros, contener los eventos a garantizar, los riesgos cubiertos, la metodología aplicable para la determinación de los montos a garantizar, los mecanismos de ajuste de las garantías si se requieren y el destino de los dineros resultantes de hacerlas efectivas.
PARÁGRAFO. Las características de las garantías exigibles durante el Período de Transición serán definidas en resolución aparte.
TRANSICIÓN.
ARTÍCULO 79. PERÍODO DE TRANSICIÓN. Para la aplicación de la presente resolución se define un período de transición que inicia el 1o de diciembre de 2006 y finaliza el 30 de noviembre de 2009 o del año para el cual se realice la primera Subasta de Obligaciones de Energía Firme de conformidad con las disposiciones contenidas en la presente resolución. Durante el Período de Transición se tendrán en cuenta las reglas definidas en este Capítulo.
ARTÍCULO 80. REQUISITOS PARA PARTICIPAR EN LA ASIGNACIÓN DE ENFICC. Los generadores deberán cumplir con los mismos requisitos definidos en el artículo 20 de esta resolución.
ARTÍCULO 81. ADECUACIÓN DE LA PLANTA Y/O UNIDAD DE GENERACIÓN TÉRMICA DEBIDO A LA SUSTITUCIÓN DE GAS NATURAL. <Artículo modificado por el artículo 7 de la Resolución 96 de 2006. El nuevo texto es el siguiente:> Durante el primer año del Período de Transición los generadores térmicos a gas natural que planeen utilizar combustibles distintos a este para su operación, y que a la fecha de asignación del Cargo por Confiabilidad no cuenten con las instalaciones para hacerlo, podrán optar por solicitar la retención del pago del Cargo por Confiabilidad asociado a su Obligación de Energía Firme, hasta la fecha de puesta en operación de la infraestructura necesaria para generar con combustibles distintos a gas natural. Al cabo de este plazo se hará la entrega de los montos retenidos. En ningún caso se exime al generador del cumplimiento de su Obligación de Energía Firme vigente durante el primer año del Período de Transición.
La devolución del pago retenido tendrá lugar una vez una firma auditora reconocida, contratada por el generador, ejecute una prueba de generación a la planta operando con el combustible sustituto, de acuerdo con lo establecido en la Resolución CREG-109 de 2005 o aquellas que la modifiquen, adicionen o sustituyan; y que esta prueba sea calificada como exitosa por dicha firma auditora.
La prueba se programará dentro de los primeros seis (6) meses del Período de Vigencia de la Obligación. En caso de que la prueba no se realice en estos seis (6) meses, el generador térmico tendrá como plazo adicional para aprobarla, los seis (6) meses siguientes, siempre y cuando haya registrado previamente ante el ASIC un contrato respaldo o una Declaración de Respaldo que cubran la Obligación de Energía Firme respaldada por la planta que sustituirá el gas natural, hasta el momento en el cual la prueba de que trata el presente a rtículo sea calificada como exitosa.
En caso de que el generador no registre el Contrato de Respaldo o la Declaración de Respaldose terminará la Obligación de Energía Firme asociada a esta planta y/o unidad de generación, los valores retenidos serán devueltos a la demanda de conformidad con la regulación vigente, y se hará efectiva la garantía de que trata el presente artículo.
Para optar por esta alternativa, los agentes generadores deberán informarlo a la CREG como parte de la declaración de parámetros, y deberán remitir a más tardar el dieciocho (18) de diciembre de 2006 una garantía de cumplimiento de la puesta en operación de la planta con el combustible alterno. Esta garantía deberá cumplir lo dispuesto en el Capítulo VIII de esta resolución.
PARÁGRAFO 1o. El incumplimiento en la presentación oportuna de la garantía de que trata el presente artículo dará lugar a:
La pérdida de la asignación de la Obligación de Energía Firme y de la remuneración asociada a ella, y
La reasignación de Obligaciones de Energía Firme a prorrata de la ENFICC no comprometida.
PARÁGRAFO 2o. Los generadores térmicos a gas natural que opten por esta alternativa deberán remitir a la CREG a más tardar un (1) mes antes de la programación de la prueba de que trata el presente Artículo el contrato de suministro de combustible distinto a gas natural necesario para garantizar la Obligación de Energía Firme respaldada por la planta que sustituirá el gas natural.
PARÁGRAFO 3o. Las sumas de dinero retenidas y que deban ser pagadas a los generadores una vez cumplido lo dispuesto en el presente Artículo, así como los rendimientos generados por la administración de este dinero, si los hubiere, serán asignados en la facturación de las transacciones en el mercado de energía mayorista a expedir en el mes calendario siguiente a la realización de la prueba calificada como exitosa.
ARTÍCULO 82. DETERMINACIÓN DEL PAGO POR CONCEPTO DE CARGO POR CONFIABILIDAD. Durante el Período de Transición el valor del Cargo por Confiabilidad será de trece dólares con cero cuarenta y cinco centavos por megavatio hora (13.045 US$/MWh). Este valor se indexará de conformidad con lo establecido en el artículo 29 de esta resolución.
ARTÍCULO 83. ASIGNACIÓN DE LAS OBLIGACIONES DE ENERGÍA FIRME. <Artículo modificado por el artículo 2 de la Resolución 28 de 2007. El nuevo texto es el siguiente:> Durante el período de transición la asignación de las Obligaciones de Energía Firme a cada uno de los generadores se realizará, cada año, a prorrata de la Energía Firme declarada para cada una de las plantas o unidades de generación, de conformidad con las disposiciones contenidas en esta resolución. Para efectos de la asignación se deberá descontar de la Demanda Objetivo las Obligaciones de Energía Firme respaldadas con plantas especiales por repotenciación y cierres de ciclos, asignadas previamente a los agentes que hayan optado por lo establecido en el artículo 85 de esta resolución.
Durante el Período de Transición, las Obligaciones de Energía Firme asignadas para cubrir la Demanda Objetivo, descontando las Obligaciones de Energía Firme respaldadas con plantas especiales por repotenciación o cierres de ciclo que se hayan previamente a los agentes que opten por lo establecido en el artículo 85 de esta resolución, no podrán ser superiores a la energía resultante de sumar la ENFICC declarada para cada una de las plantas o unidades de generación.
ARTÍCULO 84. PERÍODO DE VIGENCIA DE LA OBLIGACIÓN DURANTE EL PERÍODO DE TRANSICIÓN. Durante el Período de Transición, las Obligaciones de Energía Firme respaldadas con plantas y/o unidades de generación existentes tendrán un Período de Vigencia de doce (12) meses comprendidos entre el 1o de diciembre del año t y el 30 de noviembre del año t+1.
ARTÍCULO 85. PLANTAS ESPECIALES POR REPOTENCIACIÓN Y CIERRES DE CICLO. <Artículo modificado por el artículo 1 de la Resolución 27 de 2007. El nuevo texto es el siguiente:> Los generadores con plantas o unidades de generación que entren en operación durante el período de transición como resultado de cierres de ciclo o repotenciación, podrán optar por extender hasta por diez (10) años el Período de Vigencia de la Obligación de Energía Firme respaldada con estas plantas. Esta decisión deberán comunicarla a la CREG y al Administrador de la Subasta a más tardar el dieciséis de abril de 2007, remitiendo la siguiente información:
1. La totalidad de la información aplicable a una planta o unidad de generación nueva.
2. Certificación expedida por la Autoridad Ambiental Competente según la ley y los decretos que regulen la materia, en la que conste que el agente ha entregado el estudio de impacto ambiental para la obtención de las licencias ambientales asociadas a la operación con el combustible o combustibles elegidos por el generador, y
3. Estimación de la ENFICC correspondiente.
Los generadores que opten por las disposiciones contenidas en el presente artículo tendrán sobre el incremento de capacidad las mismas obligaciones relacionadas con el reporte periódico de información exigibles a los nuevos generadores.
ARTÍCULO 86. OBLIGACIONES DE LOS GENERADORES DURANTE EL PERÍODO DE TRANSICIÓN. Durante el período de transición los generadores con asignación de Obligaciones de Energía Firme, deberán cumplir todas las obligaciones y deberes establecidos en la presente resolución, y tendrán derecho a percibir las remuneraciones aquí previstas.
ARTÍCULO 87. CRONOGRAMA DEL PERÍODO DE TRANSICIÓN. Para la asignación de Obligaciones de Energía Firme en el Período de Transición los agentes deberán dar cumplimiento al siguiente cronograma:
1. Declaración de Parámetros para la determinación de la ENFICC
A más tardar el veintitrés (23) de octubre de 2006, los generadores con plantas y/o unidades de generación que aspiren ser remuneradas por concepto de Cargo por Confiabilidad durante el Período de Transición, deberán reportar a la CREG los parámetros requeridos para la determinación de la ENFICC. Dichos parámetros deberán ser declarados de conformidad con las disposiciones contenidas en la presente resolución.
2. Documento de Parámetros para la determinación de la ENFICC <Numeral modificado por el artículo 1 de la Resolución 94 de 2006. El nuevo texto es el siguiente:> A más tardar el treinta (30) de octubre de 2006, la CREG publicará un documento con la totalidad de parámetros reportados por cada uno de los agentes generadores para cada una de las plantas y/o unidades de generación. Este documento, con las aclaraciones que presenten oportunamente los agentes en respuesta a los requerimientos que haga la Comisión sobre los parámetros publicados, deberá ser usado por los agentes generadores para la determinación de la ENFICC de cada una de sus plantas y/o unidades de generación.
3. Entrega de la proyección de demanda de energía
A más tardar el seis (6) de noviembre de cada año la UPME remitirá a la CREG los tres escenarios de proyección de la Demanda Total Doméstica, desagregados mensualmente, para el período comprendido entre diciembre de ese año y noviembre del año siguiente.
4. Declaración de la ENFICC <Numeral modificado por el artículo 13 de la Resolución 79 de 2006. El nuevo texto es el siguiente:> A más tardar el 15 de noviembre de 2006, los agentes generadores térmicos deberán reportar la información sobre contratos de suministro y transporte de combustible de acuerdo con los formatos del numeral 5.2 del Anexo 5 de esta resolución.
Con esta información, y la de las certificaciones establecidas en el Artículo 47 de esta resolución, la CREG calculará los índices IMM y TCR de cada planta o unidad de generación térmica. Estos índices serán publicados por la CREG mediante Circular el 17 de noviembre de 2006.
El 20 de noviembre, todos los agentes generadores deberán declarar la ENFICC de cada una de las plantas y/o unidades de generación que representen comercialmente, la cual será utilizada en el proceso de asignación de Obligaciones de Energía Firme realizado por el ASIC de conformidad con las disposiciones contenidas en la presente resolución. Esta declaración deberá hacerse utilizando el formato del Anexo 4 de esta resolución. Las plantas de generación hidráulica que deseen participar en el Mercado Secundario de Energía Firme con Energía Disponible Adicional, deberán diligenciar en el formato del Anexo 4 la información correspondiente a esta última.
Una vez declarada la ENFICC de cada una de las plantas y/o unidades de generación, y la Energía Disponible Adicional, el CND deberá verificar que los valores declarados se encuentren dentro de los límites establecidos en la presente resolución. Para los casos en los cuales la ENFICC declarada sea superior a la máxima energía firme resultante de aplicar la metodología establecida en la Regulación, el CND considerará como valor declarado para las plantas y/o unidades de generación hidráulica la ENFICC Base, y para el caso de las plantas y/o unidades de generación térmica la que resulte de aplicar la metodología de cálculo de la ENFICC con los parámetros remitidos por el agente. En el caso de plantas hidráulicas, este ajuste a la ENFICC modificará automáticamente la Energía Disponible Adicional.
5. Asignación de Obligaciones de Energía Firme
La asignación de Obligaciones de Energía Firme será realizada por el ASIC de conformidad con las disposiciones contenidas en la presente resolución. A más tardar el veintidós (22) de noviembre de cada año, el ASIC deberá publicar la asignación de Obligaciones de Energía Firme para el año siguiente, discriminando las de cada generador.
6. <Numeral modificado por el artículo 13 de la Resolución 79 de 2006. El nuevo texto es el siguiente:> Entrega de contratos de combustible, garantías, licencia ambiental y certificado de Asignación de Obligaciones de Energía Firme.
Aquellos generadores con plantas y/o unidades de generación que no hayan remitido la copia de los contratos de suministro de combustibles y transporte de gas natural necesarios para garantizar la Obligación de Energía Firme asignada, deberán remitirla a más tardar el 25 de noviembre de cada año.
Adicionalmente, en esta fecha deberán enviar a la CREG la copia de la licencia ambiental para la operación con el combustible o combustibles elegidos por el agente para respaldar su Obligación de Energía Firme. En caso de no ser r equeridas por la autoridad ambiental pertinente, los propietarios de la planta y/o unidad de generación, o quien los represente comercialmente, deberán enviar una comunicación informando este hecho.
Para los casos en los cuales la copia de los contratos de que trata el presente artículo no sea remitida en los plazos establecidos en la presente resolución, la asignación de Obligación de Energía Firme para la planta y/o unidad de generación será igual a cero gigavatios hora (0 GWh).
Una vez verificada la información de contratos y garantías de que trata el presente artículo, el ASIC emitirá a más tardar el 30 de noviembre de cada año una certificación de la asignación de Obligaciones de Energía Firme para cada uno de los agentes, con plantas y/o unidades de generación que las respaldan, la cual deberá contener la ENFICC asignada, el Período de Vigencia y el precio del Cargo por Confiabilidad asociado a ellas.
DISPOSICIONES FINALES.
ARTÍCULO 88. Modifícase el artículo 4o de la Resolución CREG-034 de 2001, el cual quedará así:
“Cuando un generador declare para el despacho horario una disponibilidad igual a cero (0) y la planta y/o unidad de generación sea requerida por el CND para cubrir una generación de seguridad, si la planta y/o unidad de generación se encuentra indisponible y las autoridades competentes determinan que su indisponibilidad no es justificada, el agente será responsable por los perjuicios derivados del racionamiento causado, sin perjuicio de que la Superintendencia de Servicios Públicos Domiciliarios pueda tomar posesión de la empresa, de conformidad con el artículo 59.1 de la Ley 142 de 1994”.
ARTÍCULO 89. DEROGATORIAS EXPRESAS. Deróganse el numeral 3.4 del Anexo “Código de Operación” contenido en la Resolución CREG- 025 de 1995; y las Resoluciones CREG 018 de 1998; 056 de 1998; 037 de 1999 y 125 de 2005.
ARTÍCULO 90. PRUEBAS DE GENERACIÓN. <Artículo derogado por el artículo 25 de la Resolución 85 de 2007.>
ARTÍCULO 91. RECONCILIACIÓN POSITIVA POR PRUEBAS DE GENERACIÓN. La energía generada correspondiente a las pruebas de que trata la presente resolución, que sean declaradas como exitosas, será objeto de Reconciliación Positiva, de conformidad con las disposiciones contenidas en la Resolución CREG- 034 de 2001, o aquellas que la sustituyan, modifiquen o adicionen, incluyendo las horas de inflexibilidad asociadas a dicha prueba.
PARÁGRAFO. Para establecer el valor de la variable GSA prevista en la Resolución CREG- 034 de 2001, se considerará, para efectos de este artículo, la totalidad de la generación asociada con la prueba, es decir, la generación real.
ARTÍCULO 92. ASIGNACIÓN DE COSTOS HORARIOS DE LA RECONCILIACIÓN POSITIVA. Los costos horarios de la Reconciliación Positiva asociada con las pruebas de generación de que trata la presente resolución, serán asignados a los comercializadores del SIN, a prorrata de su demanda comercial, y a todos los enlaces internacionales a prorrata de la exportación.
La energía generada correspondiente a las pruebas que sean declaradas como no exitosas, será remunerada de conformidad con la regulación vigente al momento de realización de las pruebas solicitadas por el agente, aplicando las disposiciones contenidas en la Resolución CREG- 121 de 1998 o aquellas que la sustituyan, modifiquen o adicionen.
ARTÍCULO 93. RECONCILIACIÓN NEGATIVA ASOCIADA CON PRUEBAS DE GENERACIÓN. La Reconciliación Negativa asociada con la realización de las pruebas de generación de que trata la presente resolución se efectuará de conformidad con las disposiciones contenidas en la Resolución CREG- 034 de 2001, o aquellas que la modifiquen, complementen o sustituyan.
ARTÍCULO 94. Las disposiciones contenidas en la presente resolución no aplican para las pruebas que sean realizadas en virtud de lo establecido en la Resolución CREG- 121 de 1998 o aquellas que la sustituyan, modifiquen o adicionen.
ARTÍCULO 95. VIGENCIA. Esta resolución rige a partir de la fecha de su publicación en el Diario Oficial y deroga las disposiciones que le sean contrarias.
Publíquese y cúmplase.
Dada en Bogotá, D. C., a 3 de octubre de 2006.
Viceministro de Minas y Energía,
delegado del Ministro de Minas y Energía.
MANUEL MAIGUASHCA OLANO,
El Presidente,
El Director Ejecutivo,
CAMILO QUINTERO MONTAÑO.
OBLIGACIONES DE ENERGIA FIRME.
La Obligación Mensual de Energía Firme respaldada por cada plantas y/o unidad de generación representada comercialmente por el agente generador j se determinará mediante la siguiente expresión:

donde:
| OMEFRi,j,m | Obligación Mensual de Energía Firme respaldada por la planta o unidad de generación i del generador j en el mes m. |
| EAi,j | ENFICC asignada al generador j en la Subasta o en el mecanismo que haga sus veces y respaldada con la planta o unidad de generación i . |
| Dm | Demanda Objetivo del mes m. |
| Dj | Demanda Objetivo para el primer año del Período de Vigencia de la Obligación asignada al generador j. |
Para cada agente generador j la Obligación Mensual de Energía Firme (OMEFj) será igual a la suma de las Obligaciones Mensuales de Energía Firme respaldadas por cada una de las plantas o unidades de generación de su propiedad o que representa comercialmente.
1.2 DETERMINACIÓN DE LA OBLIGACIÓN DIARIA DE ENERGÍA FIRME. <Numeral modificado por el artículo 17 de la Resolución 11 de 2015. El nuevo texto es el siguiente:> Para efectos de facturación y liquidación, la Obligación de Energía Firme Diaria respaldada por cada una de las plantas o unidades de generación representadas comercialmente por el generador j, se determinará mediante la siguiente expresión:
![]()
Donde:
![]()
![]()
![]()
![]()
![]()
![]()
| ODEFRi,j,d,m | Obligación diaria de energía firme respaldada por la planta o unidad de generación i del generador j en el día d del mes m. |
| OMEFRi,j,m | Obligación mensual de energía firme respaldada por la planta o unidad de generación i del generador j en el mes m. |
| DCd,m | Demanda comercial total doméstica del sistema para el día d del mes m. |
| DDVVd,m | Demanda desconectable voluntaria verificada en el día d del mes m. |
| RDVd,m | RD verificada en el día d del mes m |
| PGRd,m | Programa de racionamiento verificado en el día d del mes m |
| DCm | Demanda comercial total doméstica del sistema para el mes m |
| DDVVm | Demanda desconectable voluntaria verificada en el mes m |
| RDVm | Reducción de energía verificada del programa RD en el mes m |
| PGRm | Programa de racionamiento verificado en el mes m |
| DDVVi,j,d,m | Demanda desconectable voluntaria verificada, asociada a la planta o unidad de generación i del generador j en el día d del mes m. |
| RDVc,h,d,m | Reducción de energía del programa de RD asociada al comercializador c en la hora h del día d del mes m. |
| PGRh,d,m | Programa de racionamiento verificado en la hora h del día d del mes m |
| k | Número de plantas y/o unidades de generación |
| n | Número de días del mes m |
| Nc | Número de comercializadores |
Para cada agente generador j la Obligación Diaria de Energía Firme (ODEFj,m,d) será igual a la suma de las Obligaciones Diarias de Energía Firme respaldadas por cada una de las plantas o unidades de generación de su propiedad o que representa comercialmente, descontando las OEFV diarias que haya adquirido el agente j para sus plantas en una subasta de reconfiguración.
Para la Segunda Liquidación se realizará una estimación de la Obligación de Energía Firme Diaria del generador j, así:


Donde:
| ODEFRi,j,T,m | Obligación Diaria de Energía Firme respaldada por la planta o unidad de generación i del generador j en los días de tipo T del mes m. |
| OMEFRi,j,m | Obligación Mensual de Energía Firme respaldada por la planta o unidad de generación i del generador j en el mes m. |
| DCT,m-1 | Demanda Comercial Doméstica total del sistema para el día de tipo T del mes m-1. |
| DDVVi,j,T,m-1 | Demanda desconectable voluntaria verificable asociada a la planta o unidad de generación i del generador j para el día de tipo T del mes m-1. |
| RDVT,m-1 | Reducción de energía verificada del programa de RD en el día tipo T del mes m-1 |
| PGRT,m-1 | Programa de racionamiento verificado en el día tipo T del mes m-1. |
| DCm-1 | Demanda Comercial total Doméstica del sistema para el mes m-1. |
| DDVVm-1 | Demanda desconectable voluntaria verificable en el mes m-1 |
| RDVm-1 | Reducción de energía verificada del programa de RD en el mes m-1 |
| PGRm-1 | Programa de racionamiento verificado en el mes m-1. |
| NDT,m-1 | Número de días del tipo T en el mes m-1 Para los efectos que trata el presente anexo, los tipos de día (T) corresponden a: Domingos y festivos; sábados; y días ordinarios. |
1.3 DETERMINACIÓN DE LA OBLIGACIÓN HORARIA DE ENERGÍA FIRME.
La Obligación de Energía Firme Horaria se determinará así:
![]()

donde:
| OEFTd,m,h: | Obligación de Energía Firme Total para la hora h del día d del mes m. |
| ODEFj,m,d: | Obligación Diaria de Energía Firme para el agente j en día d del mes m. |
| DCm,d: | Demanda Comercial total del sistema para el día d del mes m. |
| DCd,m,h: | Demanda Comercial total del sistema para la hora h del día d del mes m. |
1.4 PRECIO DE ESCASEZ. <Numeral modificado por el artículo 3 de la Resolución 70 de 2014. El nuevo texto es el siguiente:> El precio de escasez será el que resulte de aplicar la siguiente fórmula:
![]()
Donde:
| PEm: | Precio de Escasez Total vigente para el mes m, expresado en pesos por kilovatio hora ($/kWh). |
| Precio de Escasez Parte Combustible vigente para el mes m, expresado en pesos por kilovatio hora ($/kWh.). Este valor se actualizará mensualmente de acuerdo con el del numeral 1.4.1 de este anexo. |
El valor actualizado se convertirá a $/kWh con la TRM oficial del día en que se efectúe el cálculo, publicada por la Superintendencia Financiera.
| COMm: | Parte variable del costo de operación y mantenimiento para el mes m, expresado en pesos por kilovatio hora ($/kWh), será de diez pesos con seiscientos sesenta y siete milésimas de peso de junio de 2006 por kilovatio hora ($10.667/kWh). Este costo se actualizará mensualmente, con la última variación mensual del IPC, publicado por el DANE, en el momento del cálculo. |
| OCVm-1: | <Descripción modificada por el artículo 1 de la Resolución 207 de 2015. El nuevo texto es el siguiente:> Suma de los siguientes costos variables asociados al SIN calculados por el ASIC con la mejor información al momento del cálculo y expresados en pesos por kilovatio hora ($/kWh): i) CEE, ii) FAZNI, iii) Aportes Ley 99 de 1993, y iv) el valor total del servicio de AGC descontando la parte correspondiente de la reconciliación negativa, según se define en el artículo 3o de la Resolución CREG 063 de 2000, del último mes con facturación dividido por la demanda de energía comercial nacional de ese mes. |
La actualización del PEm y sus componentes se hará dos (2) días calendario antes del primer día del mes m y el PEm actualizado estará vigente durante todos los días del mes m.
1.4.1 INDEXACIÓN DEL PRECIO DE ESCASEZ PARTE COMBUSTIBLE. <Numeral modificado por el artículo 3 de la Resolución 70 de 2014. El nuevo texto es el siguiente:> El Precio de Escasez correspondiente a la Parte Combustible se indexará mensualmente a partir de la entrada en vigencia de la resolución, para lo cual se aplicará la siguiente fórmula:

| INDICE m-1: | Promedio aritmético del precio de cierre diario Platts US Gulf Coast Residual Fuel No 6 1.0% sulfur fuel oil, de los últimos 30 días con datos a la fecha de cálculo. |
| INDICEdic2013: | Promedio aritmético del precio de cierre diario Platts US Gulf Coast Residual Fuel No 6 1.0% sulfur fuel oil, en el mes diciembre 2013. |
1.5 CONTRATACIÓN DE LA AUDITORÍA PARA PLANTAS O UNIDADES DE GENERACIÓN NUEVAS O ESPECIALES. <Numeral modificado por el artículo 1 de la Resolución 101-34 de 2022. El nuevo texto es el siguiente:> Para la contratación de la auditoría del cumplimiento de las obligaciones contenidas en el Artículo 8 de esta resolución, el Administrador de la Subasta definirá los Términos de Referencia de acuerdo con lo establecido en esta resolución y observando, como mínimo, las siguientes condiciones:
1. El auditor será elegido mediante selección objetiva.
2. La contratación de la auditoría para todas las plantas nuevas, especiales o existentes con obras, que resulten con asignaciones de Obligaciones de Energía Firme en la Subasta, deberá iniciarse una vez publicado el resultado de la subasta y surtirse a la brevedad posible, de tal forma que el primer informe del auditor se entregue a más tardar seis (6) meses después de la expedición de la certificación de asignaciones de OEF de que trata el artículo 32 de la Resolución CREG 071 de 2006.
3. El costo de la auditoría será pagado por quien tenga asignada la Obligación de Energía Firme, de acuerdo con las condiciones establecidas en el Reglamento de Garantías y en los Términos de Referencia.
4. El auditor estará obligado a rendir cada seis (6) meses al Ministerio de Minas y Energía, a la CREG, al CND y a la UPME, un informe de avance del proyecto y un informe final a su culminación. El auditor estará obligado a rendir informe cada tres (3) meses durante el año anterior a la fecha de inicio del período de vigencia de la obligación asignada y en adelante, hasta tanto inicie su operación comercial o pierda las obligaciones de energía firme, de conformidad con lo previsto en la regulación.
La entrega de los informes de auditoría deberá realizarse como máximo tres (3) meses después de la fecha de corte del período a auditar. Será obligación de los agentes suministrar en forma oportuna la información completa que requiera el auditor para elaborar el informe.
5. En su actuación el auditor deberá ser diligente en la incorporación de toda la información relevante para sus análisis y conclusiones, además de la señalada en el numeral 6. Los informes de auditoría deben ser claros, precisos y detallados dentro de una actuación en el establecimiento de:
a) El incumplimiento grave e insalvable de la puesta en operación de la planta o unidad de generación.
b) El retraso en el cronograma de construcción o de repotenciación, o de la puesta en operación de la planta o unidad de generación, y de la Curva S.
6. El auditor verificará que la Curva S de ejecución real sea elaborada utilizando los mismos parámetros (tales como los factores de ponderación de las diferentes actividades del proyecto), usados en la elaboración de la Curva S declarada por el interesado, en cumplimiento de la Resolución CREG 071 de 2006 y las normas que la modifiquen, adicionen o sustituyan.
7. El auditor, para el primer informe de que trata el numeral 2, deberá considerar en sus evaluaciones la fecha de conexión que establezca la UPME en el concepto de conexión del generador para la alternativa seleccionada por el desarrollador. En caso de que el informe del auditor evidencie que el desarrollador, debido al concepto de conexión de la UPME, ha propuesto acciones de recuperación tendientes a cumplir con el IPVO y la fecha de entrada en operación, estas acciones deberán haber sido incorporadas para seguimiento en el cronograma y la Curva S al momento de presentación del primer informe, sin modificar la fecha de entrada de operación.
8. No se admitirán informes de auditoría ambiguos.
9. En los informes de auditoría se explicarán y relacionarán todos los antecedentes, estudios, métodos, memorias de cálculo, exámenes, experimentos e investigaciones que sirvieron de base para dictaminar respecto de determinadas plantas o unidades, alguno de los eventos señalados en el numeral 5 de este título. Explícitamente se deberá indicar el número de días de desviación comparando la Curva S de ejecución real con la declarada por el interesado. Con este mismo número de días el auditor estimará la nueva fecha de puesta en operación.
10. El auditor calculará la ENFICC de la planta o unidad de generación utilizando los parámetros reales de la planta, estimados con base en los protocolos y los procedimientos definidos en el Anexo 6 de la Resolución CREG 071 de 2006 y las nomas que la modifiquen, adicionen o sustituyan.
11. Previamente a la entrega de los informes, el auditor validará sus conclusiones con el agente interesado, dando acceso a la documentación técnica reunida y permitiéndole contradecir el proyecto de informe y formular solicitudes de complementación o aclaración que se resolverán en el informe periódico y en el informe final, según corresponda.
12. Una vez rendido el informe del Auditor y ante un incumplimiento del cronograma, el agente podrá solicitar, a su costo y dentro de los seis (6) meses siguientes, la realización de una nueva auditoría, la cual debe ser efectuada por el mismo auditor.
1.6 RETIRO DE AGENTES DEL MERCADO MAYORISTA DE ENERGÍA.
1.6.1 RETIRO DE AGENTES QUE TIENEN ASIGNADAS OBLIGACIONES DE ENERGÍA FIRME.
El retiro de un agente del Mercado que tiene asignadas Obligaciones de Energía Firme solamente se podrá hacer efectivo después de haber cumplido las siguientes condiciones:
1. Que el Administrador del Sist ema de Intercambios Comerciales haya aceptado las garantías que debe otorgar el agente cesionario, si ese fuera el caso.
2. Que el agente haya notificado a la CREG y al CND la cesión efectuada.
3. Que haya cedido los contratos de energía a largo plazo que tenga suscritos en el Mercado Mayorista.
4. Que esté a paz y salvo por todo concepto con el Mercado, y
5. Cumplir los trámites establecidos en el artículo 12 de la Resolución CREG-024 de 1995.
Modificación del artículo 12 de la Resolución CREG-024 de 1995. El artículo 12 de la Resolución CREG-024 de 1995, quedará así:
“Retiro del Mercado Mayorista de Energía de agentes que no tengan Obligaciones de Energía Firme asignadas. Son causales para el retiro del mercado mayorista de los agentes que no tengan Obligaciones de Energía Firme asignada, las siguientes:
1. Por retiro voluntario del agente, previo cumplimiento de todas sus obligaciones con el mercado mayorista.
2. Por dejar de cumplir sus requisitos como agente del mercado mayorista, definidos en el artículo 6o de la presente resolución.
3. Por haber entrado en proceso de liquidación.
4. Por sanción impuesta por la Superintendencia, ante las causas graves que determine la CREG.
5. Por incumplimiento. El Administrador del SIC o cualquiera de las empresas víctimas del incumplimiento de un acto o contrato de energía en la bolsa, puede pedir a la CREG que solicite a la Superintendencia de Servicios Públicos Domiciliarios la intervención de la empresa incumplida.
PARÁGRAFO 1o. Si una de las empresas contratantes se encuentra en situación de disolución, deberá, en todo caso, cumplir los contratos a su cargo que sean indispensables para no interrumpir la prestación de los servicios que regulan las Leyes 142 y 143 de 1994 y que estén a su cargo. Al presentarse la causal de disolución, la empresa participante en el mercado mayorista dará aviso a la Superintendencia de Servicios Públicos Domiciliarios, a la Nación a través del Ministerio de Minas y Energía, a la CREG y al Administrador del SIC.
PARÁGRAFO 2o. Si una de las empresas participantes del mercado mayorista entra en proceso de liquidación, la autoridad competente puede negociar la cesión de sus contratos a otras empresas para que sustituyan a la primera en el cumplimiento de sus obligaciones o en el ejercicio de sus derechos; de lo cual dará aviso al Administrador del SIC para que este registre la cesión de los contratos. En todos los contratos entre los agentes del mercado mayorista que hayan de cumplirse por medio del Administrador del SIC se entiende que cada parte acepta las cesiones de sus derechos que pueda hacer la otra en favor de la Nación.
PARÁGRAFO 3o. Cuando, por cualquier causa, una empresa decida que no seguirá participando del mercado mayorista para formar y cumplir actos y contratos con este, dará aviso al Administrador del SIC con cuatro meses de anticipación, por lo menos; y mientras ese período transcurre la empresa seguirá estando sujeta a las normas de la presente resolución, y el Administrador del SIC podrá hacer, por sí mismo, las liquidaciones, y afectar las cuentas o hacer exigibles las garantías que considere del caso.
PARÁGRAFO 4o. El retiro de un agente del mercado mayorista, no lo exime de las deudas que tuviese en el mercado mayorista; por lo tanto, el Administrador del SIC debe continuar con la acción de cobro mientras existan deudas por los actos y contratos efectuados por medio de él”.
Viceministro de Minas y Energía,
delegado del Ministro de Minas y Energía.
MANUEL MAIGUASHCA OLANO,
El Presidente,
El Director Ejecutivo,
CAMILO QUINTERO MONTAÑO.
SUBASTA PARA LA ASIGNACION DE OBLIGACIONES DE ENERGIA FIRME.
<Anexo derogado por el artículo 48 de la Resolución 101-24 de 2022>
2.1 FUNCIÓN DE DEMANDA DE ENERGÍA. <Anexo derogado por el artículo 48 de la Resolución 101-24 de 2022> <Numeral modificado por el artículo 6 de la Resolución 101 de 2007. El nuevo texto es el siguiente:> La función de Demanda de Energía que será cubierta mediante las Obligaciones de Energía Firme resultantes de la subasta se definirá de acuerdo con lo establecido en el Reglamento de la Subasta contenido en el Anexo 10 de esta resolución.
2.2 PASOS DEL PERÍODO DE PRECALIFICACIÓN DE LA SUBASTA. <Anexo derogado por el artículo 48 de la Resolución 101-24 de 2022> <Numeral modificado por el artículo 6 de la Resolución 101 de 2007. El nuevo texto es el siguiente:> Durante el Período de Precalificación de la Subasta se ejecutarán las actividades definidas en el cronograma de que trata el artículo 18 de esta resolución.
2.3 SUBASTA PARA LA ASIGNACIÓN DE OBLIGACIONES DE ENERGÍA FIRME. <Anexo derogado por el artículo 48 de la Resolución 101-24 de 2022> <Numeral modificado por el artículo 5 de la Resolución 103 de 2018. El nuevo texto es el siguiente:> La Asignación de Obligaciones de Energía Firme se llevará a cabo mediante una subasta de sobre cerrado acuerdo con lo establecido en el Reglamento de la Subasta, contenido en el Anexo 10 de esta resolución.
2.4 ACTUALIZACIÓN DEL COSTO DEL ENTRANTE. <Anexo derogado por el artículo 48 de la Resolución 101-24 de 2022> Cuando concluya la Subasta habiéndose cumplido todo el proceso establecido en el numeral 2.3 anterior, el Costo del Entrante (CE) para la siguiente subasta será igual al 70% del CE de la última Subasta, más el 30% del Precio de Cierre de la misma. En caso contrario el CE para la siguiente subasta no será modificado.
2.5 CONTENIDO DEL PROTOCOLO DE LA SUBASTA PARA LA ASIGNACIÓN DE OBLIGACIONES DE ENERGÍA FIRME. <Numeral derogado en los términos del artículo 2 de la Resolución 102 de 2007>
Viceministro de Minas y Energía,
delegado del Ministro de Minas y Energía.
MANUEL MAIGUASHCA OLANO,
El Presidente,
El Director Ejecutivo,
CAMILO QUINTERO MONTAÑO.
CALCULO DE LA ENERGIA FIRME PARA EL CARGO POR CONFIABILIDAD.
<Anexo 3 modificado por el artículo 15 de la Resolución 79 de 2006. El nuevo texto es el siguiente: >
3.1 METODOLOGÍA DE CÁLCULO DE LA ENFICC DE UNA PLANTA HIDRÁULICA. <Anexo 3 modificado por el artículo 15 de la Resolución 79 de 2006. El nuevo texto es el siguiente: >
La Energía Firme para el Cargo por Confiabilidad (ENFICC) de una planta hidráulica se calculará como se establece a continuación:
En cada mes m del período de análisis, se debe cumplir la siguiente ecuación de balance hídrico:
![]()
donde:
| em: | Volumen del embalse al final del mes m, expresado en millones de metros cúbicos (Mm3). |
| am: | Aportes en el mes m, expresado en millones de metros cúbicos (Mm3). |
| tm: | Turbinado en el mes m, expresado en millones de metros cúbicos (Mm3). |
| vm: | Vertimientos durante el mes m, expresado en millones de metros cúbicos (Mm3). |
Para la evaluación de la ENFICC se empleará un modelo computacional que tendrá en cuenta las características y restricciones propias de cada uno de los sistemas hidráulicos, para lo cual se debe considerar:
1. La topología de la planta o grupo de plantas.
2. Los límites del embalse: mínimo técnico y máximo técnico.
3. Restricciones de uso del embalse: curva guía mínima y curva guía máxima.
4. La curva guía inferior de un embalse solamente puede ser afectada para cumplir con los flujos mínimos para acueducto y riego, en aquellos períodos donde no es posible cumplirlos, sin remover esta restricción.
5. Capacidad de turbinamiento máxima y mínima de la planta.
6. Indice de Indisponibilidad Histórica de Salidas Forzadas – IHF
7. Capacidad máxima de bombeo.
8. Capacidad de canales de descarga.
9. La Información Hidrológica Oficial del SIN
10. En el modelo computacional se considerará que:
a) Solamente se generará por encima de la ENFICC (Energía Disponible Adicional) de cada período de optimización, en los meses en que el nivel de embalse sea igual o mayor al de la curva guía máxima o el nivel de espera definido por el volumen de espera, en caso de tenerlo;
b) Vertimientos solamente se pueden dar cuando se supere el límite máximo del embalse y la máxima capacidad factible de la planta;
c) El nivel del volumen del embalse sólo podrá estar por encima de la curva guía máxima o el nivel de espera, si lo tiene la planta, cuando la planta haya alcanzado su capacidad máxima de turbinamiento;
d) El nivel del volumen del embalse sólo podrá ser menor o igual a la curva guía mínima, si la tiene la planta, cuando la planta este turbinando 0 m3/s;
e) Debe aplicar para:
i) la ENFICC de plantas autónomas, las cuales están compuestas por el sistema embalse planta;
ii) La ENFICC de varios Embalse-Planta en cadena, en donde se calcula la ENFICC a la primera planta aguas arriba (G1). Para la siguiente planta (G2) se utiliza el mismo modelo considerando como aportes al embalse asociados a esta planta, además de los naturales, el caudal turbinado y/o vertido de la planta aguas arriba obtenido del paso anterior. Así sucesivamente para las plantas de la cadena (Ver Gráfica 1), y
iii) la ENFICC de un sistema de varios embalses asociados a una cadena de plantas, en donde se calcula la ENFICC a la primera planta aguas arriba (G1), aplicando la metodología a la cadena de embalses asociados aguas arriba. Para la siguiente planta (G2) se optimiza de forma autónoma considerando como aportes, además de los naturales, optimizando plantas con varios embalses asociados aguas, el caudal turbinado y/o vertido de la planta aguas arriba (Ver Gráfica 2).

Gráfica 1. Tratamiento de plantas autónomas y cadena de plantas.

Gráfica 2. Tratamiento un sistema de varios embalses asociados a cadena de plantas.
La formulación matemática de este modelo será la descrita en el Anexo 9 de esta resolución.
3.1.1 HORIZONTE DE ANÁLISIS. <Numeral modificado por el artículo 15 de la Resolución 79 de 2006. El nuevo texto es el siguiente: >
Corresponderá a todo el horizonte de la Información Hidrológica Oficial del SIN por planta.
Cuando existan diferentes horizontes de información de ríos que aportan a una misma planta, se tomará un horizonte de análisis estandarizado correspondiente a la historia hidrológica más reciente.
3.1.2 PERÍODOS DE OPTIMIZACIÓN. <Numeral modificado por el artículo 15 de la Resolución 79 de 2006. El nuevo texto es el siguiente: >
Serán períodos de un año, contado desde el primero de mayo del primer año hasta el 30 de abril del siguiente año, y así sucesivamente hasta completar el horizonte de análisis.
Existirá un número de períodos de optimización igual al número de años de información del horizonte de análisis estandarizado, descontando los períodos que queden remanentes por efecto de iniciar el primero de mayo y terminar el 30 de abril.
3.1.3 NIVEL INICIAL DEL EMBALSE. <Numeral modificado por el artículo 15 de la Resolución 79 de 2006. El nuevo texto es el siguiente: >
Para el primer período de optimización, que inicia el mes de mayo del primer año del horizonte de análisis estandarizado, se tomará un nivel de embalse del 50%. Para los siguientes períodos de optimización se tomará como nivel inicial el nivel final del embalse para el último mes del año inmediatamente anterior, que resulta de la aplicación de la metodología.
3.1.4 CURVA DE DISTRIBUCIÓN DE PROBABILIDAD. <Numeral modificado por el artículo 15 de la Resolución 79 de 2006. El nuevo texto es el siguiente: >
Con la ENFICC que se obtiene para cada período de optimización, expresada en kilovatios hora día año (kWh-día/año), se construirá una curva de distribución de probabilidad por planta, ordenando los resultados de menor a mayor. El menor valor corresponderá al 100% de probabilidad de ser superado y el mayor valor corresponderá al 0% de probabilidad de ser superado.
3.1.5 CÁLCULO DE LA ENFICC POR PLANTA. <Numeral modificado por el artículo 6 de la Resolución 103 de 2018. El nuevo texto es el siguiente:>
1. ENFICC BASE
Corresponde a aquella generación que es capaz de entregar la planta en la condición del 100% PSS.
2. ENFICC X% PSS
Para las plantas o unidades de generación hidráulica que se encuentren en operación comercial a la fecha de entrada en vigencia de la Resolución CREG 103 de 2018, la ENFICC X% PSS corresponde a aquella generación que es capaz de entregar la planta en la condición del X% PSS de la curva de distribución de probabilidades. El valor que se asigne corresponderá a la energía calculada para el período más próximo a la condición del X% PSS, el cual será definido por la CREG en la resolución que fija la oportunidad para la asignación de OEF.
3.1.6 MODELO DE OPTIMIZACIÓN. <Numeral modificado por el artículo 15 de la Resolución 79 de 2006. El nuevo texto es el siguiente: >
La formulación matemática del Modelo de Optimización será la contenida en el Anexo 9 de esta resolución. El modelo computacional y el manual estará disponible en la página web de la CREG o en el sitio que ella determine mediante circular.
3.1.7 CÁLCULO DE LA ENFICC ANUAL. <Numeral modificado por el artículo 15 de la Resolución 79 de 2006. El nuevo texto es el siguiente: >
Para determinar la ENFICC anual se aplicará la siguiente fórmula:
![]()
Donde:
| ED: | ENFICC declarada por el generador expresada en kilovatios hora día (kWh/día) |
| dm: | Número de días del año. |
En el caso de plantas de generación hidráulica, la ENFICC de cada una de las unidades será igual a la ENFICC de la planta dividida entre el número de unidades.
3.2 METODOLOGÍA DE CÁLCULO DE LA ENFICC DE UNA PLANTA O UNIDAD TÉRMICA. <Numeral modificado por el artículo 15 de la Resolución 79 de 2006. El nuevo texto es el siguiente: >
La ENFICC anual de las plantas o unidades térmicas (ENFICCPT) se establecerá de acuerdo con la siguiente fórmula:

Donde:
| n: | Número de combustibles de los que dispondrá la planta para operar. En caso de que se utilice más de un combustible al mismo tiempo, el valor de n será igual a uno (1). |
| CENi : | Capacidad Efectiva Neta (MW) con el combustible i o la combinación de combustibles. |
| âi: | Factor entre 0 y 1 para el combustible i o la combinación de combustibles. Corresponderá al menor valor entre los siguientes índices: 1. Disponibilidad de la Planta (1-IHF), donde IHF será el Indice de Indisponibilidad Histórica de Salidas Forzadas. 2. Indice de Disponibilidad de suministro de combustibles para operación continua (IDS) definido en el numeral 3.2.2. 3. Indice de Disponibilidad de Transporte de gas natural para operación continua (IDT) definido en el numeral 3.2.3. Este índice aplicará propo rcionalmente a la cantidad de gas natural que utilizará la planta y/o unidad de generación térmica para su operación. |
| hi : | Horas de Operación con el combustible i o la combinación de combustibles. La suma de hi para los n combustibles de los que dispondrá la planta para operar, deberá ser igual al número de horas del primer año del Período de Vigencia de la Obligación. |
| daño: | Días del primer año del Período de Vigencia de la Obligación. |
En el caso de utilizar combustibles en forma alternada los índices asociados al âi se calcularán por cada combustible en la misma forma que se haría para el caso de una planta que utiliza un solo combustible.
En el caso de utilizar una combinación de combustibles los índices asociados al âi tendrán en cuenta la participación de cada combustible en la combinación.
3.2.1 INDICE DE INDISPONIBILIDAD HISTÓRICA DE SALIDAS FORZADAS, IHF. <Numeral modificado por el artículo 15 de la Resolución 79 de 2006. El nuevo texto es el siguiente: >
Se estima de acuerdo a lo definido en el numeral 3.4.
3.2.2 INDICE DE DISPONIBILIDAD DE SUMINISTRO DE COMBUSTIBLES (IDS). <Numeral modificado por el artículo 15 de la Resolución 79 de 2006. El nuevo texto es el siguiente: >
El Indice de Disponibilidad de Suministro de Combustibles (IDS) para operación continua se calculará así:

Donde:
| n: | Número de combustibles de los que dispondrá la planta para operar al mismo tiempo. |
| CSi : | Cantidad de energía del combustible i, expresada en MBTU, contratada o que será contratada para suministro en firme del combustible i en el primer año del Período de Vigencia de la Obligación, de conformidad con lo establecido en el Capítulo V de esta resolución. |
| CR: | Cantidad de energía de respaldo. Considera la energía contratada o que será contratada con otros agentes para respaldar las Obligaciones de Energía Firme en las horas de mantenimiento programado. |
| IMMi : | En el caso de gas natural, corresponde al mínimo entre uno (1) y el resultado que se obtenga del balance de suministro en firme de gas natural, de que trata el Artículo 47 de esta resolución. Para combustibles distintos de gas, este valor es igual a uno (1). |
| CAi : | Cantidad de energía almacenada del combustible i, expresada en MBTU, disponible al inicio del primer año del Período de Vigencia de la Obligación, de conformidad con lo dispuesto en el Capítulo V de esta resolución. |
| CM: | Cantidad de energía requerida para operar a plena Capacidad Efectiva Neta durante el año de la Obligación de Energía Firme, expresada en MBTU. Se calculará utilizando la siguiente fórmula: |
![]()
Donde:
| Heat Ratei : | Eficiencia declarada de la planta o unidad de generación térmica con el combustible i, o la combinación de combustibles, expresada en MBTU/MWh. |
| CENi : | Capacidad Efectiva Neta de la planta y/o unidad de generación con el combustible i o la combinación de combustibles, expresada en megavatios (MW). |
| hi : | Horas de Operación con el combustible i o la combinación de combustibles. Si la planta va a hacer uso de combustibles en forma alternada, la suma de los hi de estos combustibles debe ser igual al número de horas del primer año del Período de Vigencia de la Obligación. |
3.2.3 INDICE DE DISPONIBILIDAD DE TRANSPORTE DE COMBUSTIBLE PARA OPERACIÓN CONTINUA (IDT). <Numeral modificado por el artículo 7 <sic> de la Resolución 96 de 2006. El nuevo texto es el siguiente:>
Plantas o Unidades de Generación Térmica a gas natural
El Indice de Disponibilidad de Transporte de combustible (IDT) para operación continua de plantas o unidades térmicas a gas natural, se calculará mediante la siguiente fórmula:
![]()
donde:
| CT: | Cantidad de energía, expresada en MBTU, asociada al transporte de gas natural contratado o que será contratado en firme para el primer año del Período de Vigencia de la Obligación, de conformidad con lo establecido en el Capítulo V de esta resolución. |
| TCR: | Indice de Disponibilidad de transporte de gas natural evaluada por la CREG. |
| CM: | Cantidad anual de energía, expresada en MBTU, que debe ser transportada para operar a plena Capacidad Efectiva Neta durante el año de la Obligación de Energía Firme |
| CR: | Cantidad de energía de respaldo expresada en MBTU. Considera Declaraciones de Respaldo o la energía contratada o que será contratada con otros agentes para respaldar las Obligaciones de Energía Firme en las horas de mantenimiento programado. |
En el caso de plantas o unidades de generación que se encuentren ubicadas en boca de pozo o que no requieran de transporte, se considerará un IDT igual a uno (1).
- Plantas o Unidades de Generación Térmicas con capacidad de operar con más de un combustible
Para plantas o unidades de generación térmica con capacidad de operar con más de un combustibles, el Indice de Disponibilidad de Transporte de combustible (IDT) para operación continua se calculará empleando la siguiente fórmula:


donde:
| IDTgas: | Indice de Disponibilidad de Transporte de gas. El IDT para combustibles diferentes a gas natural será igual a 1. |
| IMMgas: | En el caso de gas natural, corresponderá al mínimo entre uno (1) y el resultado que se obtenga del balance de suministro en firme de gas natural, de que trata el artículo 47 de esta resolución. |
| IMM i : | En el caso de gas natural, corresponderá al mínimo entre uno (1) y el resultado que se obtenga del balance de suministro en firme de gas natural, de que trata el artículo 47 de esta resolución. Para combustibles distintos de gas natural, este valor será igual a uno (1). |
| CTgas: | Cantidad de energía, expresada en MBTU, asociada al transporte de gas natural contratado o que será contratado en firme para el primer año del Período de Vigencia de la Obligación, de conformidad con lo establecido en el Capítulo V de esta resolución. El valor de esta variable será el menor entre la declarada por el agente y la disponibilidad de transporte de gas evaluada por la CREG. |
| CSi : | Cantidad de energía del combustible i, expresada en MBTU, contratada o que será contratada para suministro en firme del combustible i en el primer año del Período de Vigencia de la Obligación, de conformidad con lo establecido en el Capítulo V de esta resolución. |
| CSgas: | Cantidad de energía procedente del gas natural, expresada en MBTU, que podrá ser suministrada en firme para el primer año del Período de Vigencia de la Obligación de Energía Firme de conformidad con lo establecido en el Capítulo V de esta resolución. |
Para las plantas o unidades de generación térmica de los agentes que aspiren se les asignen Obligaciones de Energía Firme en la Subasta o en el mecanismo de asignación que haga sus veces, la construcción de los índices señalados en los numerales 3.2.3 y 3.2.4 de este Anexo tendrá en cuenta la información de los documentos que adjunten los representantes comerciales de la planta, en donde exista el compromiso de entrega de los combustibles durante el Período de Vigencia de la Obligación de conformidad con lo establecido en el Cap ítulo V de esta resolución.
En el caso de plantas de generación térmica, la ENFICC de cada una de las unidades será igual a la ENFICC de la planta dividida entre el número de unidades.
3.3 METODOLOGÍA DE CÁLCULO DE LA ENFICC DE UNA PLANTA NO DESPACHADA CENTRALMENTE. <Numeral modificado por el artículo 15 de la Resolución 79 de 2006. El nuevo texto es el siguiente: > La ENFICC de las Plantas no Despachadas Centralmente (ENFICCPNDC) se establecerá de acuerdo con la siguiente fórmula:

Donde:
| CEN: | Capacidad Efectiva Neta (MW) |
| Disponibilidad de la Planta. El valor de esta variable será declarado por el agente, de no hacerlo se empleará un valor igual al 35%. | |
| haño: | Horas del primer año del Período de Vigencia de la Obligación |
| daño: | Días del primer año del Período de Vigencia de la Obligación. |
El 35% que se asumirá para plantas que no declaran disponibilidad podrá ser modificado si el propietario de la planta o el agente que la represente comercialmente sustenta con cifras demostrables un nuevo valor. La CREG podrá solicitar auditoría del cálculo de estos parámetros.
3.4 INDICE DE INDISPONIBILIDAD HISTÓRICA DE SALIDAS FORZADAS, IHF. <Numeral modificado por el artículo 15 de la Resolución 79 de 2006. El nuevo texto es el siguiente: >
3.4.1 CÁLCULO INDICE DE INDISPONIBILIDAD HISTÓRICA DE SALIDAS FORZADAS, IHF. <Numeral modificado por el artículo 15 de la Resolución 79 de 2006. El nuevo texto es el siguiente: >
<Incisos que establecen las condiciones para descontar el mantenimiento programado de las variables HI y HD modificados por el artículo 3 de la Resolución 127 de 2020. El nuevo texto es el siguiente:>
Los IHF se determinarán empleando la siguiente fórmula:
Donde:

IHF: Indisponibilidad histórica Forzada
HI: Horas de indisponibilidad forzada sin considerar horas de mantenimiento programado.
HO: Horas de operación o en línea.
HD: Horas equivalentes de indisponibilidad por derrateos, sin considerar mantenimientos programados, calculadas como:

Donde:
CEN: Capacidad efectiva neta de la unidad o planta
HID: Horas fuera de operación o fuera de línea
H: Constante de conversión de unidades (1 hora)
CDeh: Capacidad disponible equivalente durante la hora h, la cual aplica para el cálculo de HI y HD.

Donde:
CDh: Capacidad disponible durante la hora h
CCRi,d,m: Compras en contratos de respaldo de los anillos de seguridad del Cargo por Confiabilidad o en declaraciones de respaldo para la planta o unidad de generación i vigentes el día d del mes m.
ODEFRi,d,m: Obligación Diaria de Energía Firme respaldada por la planta o unidad de generación i en el día d del mes m, expresada en kilovatios-hora (kWh).
De las variables HI y HD se podrán descontar las horas de mantenimiento programado, siempre y cuando se presenten las siguientes condiciones: i) hayan sido respaldadas con los anillos de seguridad, registrados previamente ante el ASIC y ii) el acumulado, CmttC, de los anillos de seguridad, no sea mayor que CmttP. Los valores CmttC y CmttP, serán calculados según las siguientes expresiones:

Donde:
CmttC: Cantidad acumulada en compras en anillos de seguridad para la planta o unidad de generación en MWh.
Cmsd,m: Cantidad de compras en anillos de seguridad para la planta o unidad de generación en MWh para el día d del mes m.
n: Número de días acumulados del año iniciando en el mes 36 antes del mes de cálculo del IHF.

Donde:
CmttP: Cantidad máxima de compras en anillos de seguridad en MWh a aplicar en el cálculo del IHF.
CEN: Capacidad Efectiva Neta en MW.
da: días del año se toma desde el mes 36 antes del mes de cálculo del IHF.
hd: horas del día.
p: variable que toma un valor de 20% para plantas operando con gas o combustibles líquidos, 30% cuando es carbón u otro combustible diferente a los nombrados específicamente y 15% cuando es hidráulica. Para plantas con información de operación insuficiente, los valores anteriores se multiplican por 5/12.
En caso de que la planta haya hecho uso de la cesión de OEF para plantas existentes de que trata la Resolución CREG 114 de 2014, la variable ñ para plantas operando con cualquier tipo de combustible se calcula de la siguiente forma:

Donde:
NDC: Número de días con mantenimiento programado del período comprendido entre el mes 36 antes del mes de cálculo del IHF cubiertos con cesión de OEF.
NDP: Número de días del período comprendido entre el mes 36 antes del mes de cálculo del IHF.
n: Número de días acumulados del año iniciando en el mes 36 antes del mes de cálculo del IHF.
DPmsd: Declaraciones de respaldo diaria de que trata el artículo 1 de la Resolución CREG 081 de 2014.
El mantenimiento se tendrá por respaldado a partir del momento en que el agente registre ante el ASIC un contrato con un anillo de seguridad que deberá contener la información exigida en la regulación.
El mantenimiento se tendrá por respaldado a partir del momento en que el agente registre ante el ASIC un contrato con un anillo de seguridad que deberá contener la información exigida en la regulación.
Durante el Período de Transición los valores de las variables HI y HD serán calculados por los agentes con los eventos de generación registrados en los sistemas de información del CND.
Las variables CmttC y CmttP se aplican para el cálculo del IHF que consideren información que inicie a partir del 1o de octubre de 2010.
Indisponibilidad Histórica Forzada para Plantas y/o Unidades de Generación con Información de Operación Insuficiente.
El IHF de las Plantas y/o Unidades de Generación con Información de Operación Insuficiente se calculará con la información correspondiente a las estaciones de verano de los tres (3) últimos años de operación.
Indisponibilidad Histórica Forzada para Plantas y/o Unidades de Generación con Información Reciente <Aparte modificado por el artículo 20 de la Resolución 101-6 de 2023. Rige a partir de la derogatoria de la Resolución 167 de 2017 según el artículo 25. Consultar el texto vigente hasta esta derogatoria en Legislación Anterior. El nuevo texto es el siguiente:>
El IHF de las Plantas y/o Unidades de Generación con Información Reciente se determinará de acuerdo con su tiempo de operación, con base en la siguiente tabla:
| Tipo de Tecnología | 1er Año (1ª columna) | 2do Año (2a Columna) | 3er Año (3a Columna) |
| Gas y Combustibles Líquidos | 0.2 | El menor valor entre 0.15 y el índice histórico del primer año completo de operación | El índice histórico del segundo año completo de operación |
| Carbón y otros combustibles no incluidos en los casos anteriores | 0.3 | El menor valor entre 0.2 y el índice histórico del primer año completo de operación | El índice histórico del segundo año completo de operación |
| Hidráulicas | 0.15 | El menor valor entre 0.1 y el índice histórico del primer año completo de operación | El índice histórico del segundo año completo de operación |
| Eólica | 0.1 | El menor valor entre 0.06 y el índice histórico del primer año completo de operación | El índice histórico del segundo año completo de operación |
| Solar Fotovoltaica | 0.1 | El menor valor entre 0.06 y el índice histórico del primer año completo de operación | El índice histórico del segundo año completo de operación |
a) Si una unidad aún no ha entrado en operación, pero se considera en el horizonte de análisis, o se encuentra en operación desde hace menos de doce (12) meses, se utilizarán los siguientes IHF:
- Para el primer año de operación de la unidad, el valor que aparece en la primera columna;
- Para el segundo año de operación de la unidad en adelante, los valores de 0.15 para unidades térmicas a gas y combustibles líquidos, 0.2 para unidades térmicas a carbón y otros combustibles no contemplados en los casos anteriores, 0.1 para unidades hidráulicas, 0.06 para plantas eólicas y 0.06 para plantas solares fotovoltaicas.
b) Si una unidad es calificada como especial o nueva, se utilizarán los siguientes IHF:
- Para el primer año de operación de la unidad, el valor que aparece en la primera columna de la tabla anterior;
- Para el segundo año de operación de la unidad en adelante, el valor será de 0.05.
Cuando la unidad entre en operación, el IHF se actualizará de acuerdo con la tabla según se cumplan los años de operación.
c) Para el cálculo de la ENFICC, el generador podrá declarar un IHF menor, y superior a 0.05, siempre y cuando aporte las garantías correspondientes a la diferencia de la ENFICC entre su declaración y la que resultaría de considerar el IHF calculado con base en la información histórica.
d) Si una unidad se encuentra en operación desde hace más de doce (12) meses, pero su operación no ha completado veinticuatro (24) meses, se utilizarán para todo el horizonte, desde la entrada en operación de la unidad, los índices resultantes de la segunda columna.
e) Si una unidad se encuentra en operación desde hace más de veinticuatro (24) meses, pero su operación no ha completado treinta y seis (36) meses, y tiene información suficiente, se utilizarán para todo el horizonte, desde la entrada en operación de la unidad, los índices resultantes de la tercera columna.
f) Si una unidad se encuentra en operación desde hace más de veinticuatro (24) meses, pero su operación no ha completado treinta y seis (36) meses y tiene información insuficiente, el índice se calculará con la información correspondiente a las estaciones de verano involucradas en el período considerado
En el cálculo de los IHF para todo tipo de plantas y/o unidades de generación, no se incluirán:
1. Los eventos relacionados con el STN y/o STR que afecten el índice.
2. Los eventos resultantes de una declaración de racionamiento programado por parte del Ministerio de Minas y Energía en los términos del Decreto 880 de 2007, o aquel que lo modifique o sustituya, en virtud del cual se señalan los sectores de consumo más prioritarios.
Para efectos de excluir del cálculo de los IHF los eventos relacionados con la declaración de racionamiento programado, el generador debe cumplir con las siguientes disposiciones:
i) Tener celebrados contratos firmes de suministro y transporte de gas natural.
ii) En la respectiva hora no tener previamente programados mantenimientos.
iii) Destinar el gas contratado al sector prioritario definido por el Ministerio de Minas y Energía.
iv) Para este efecto el transportador y el productor de gas reportarán al CND y al ASIC, inmediatamente termine el ciclo de nominación vigente en gas, la cantidad de energía nominada por cada generador térmico a gas con destino al sector prioritario definido por el Ministerio de Minas y Energía.
3. En el cálculo del IHF de las plantas o unidades de generación térmica a gas natural que declaren, para el Período de Vigencia de la Obligación, la operación continua con un combustible diferente a gas natural, o la infraestructura y el combustible alterno para respaldar la operación con gas natural, se excluirán los siguientes eventos:
i) Los relacionados con el STN y/o STR que afecten el índice, y
ii) Los relacionados con indisponibilidad de gas natural.
Para tal efecto, el generador deberá suscribir una garantía que cubra el diferencial de energía asociado al cambio en el IHF. Esta garantía deberá cumplir con lo dispuesto en el Capítulo VIII de esta resolución y deberá ser remitida a la CREG a más tardar el 25 de noviembre del año en el que inicia el Período de Vigencia de la Obligación.
La planta o unidad térmica que va a utilizar o respaldar la operación continua con combustible diferente a gas natural, deberá aprobar una prueba de generación con este combustible efectuada de acuerdo con lo establecido en la Resolución CREG-109 de 2005, o aquellas que la modifiquen, adicionen o sustituyan. Esta prueba deberá realizarse dentro de los primeros dos (2) meses del Período de Vigencia de la Obligación y su éxito será declarado por el agente al CND siempre y cuando una firma auditora reconocida, contratada por el generador, certifique que la generación durante la prueba se efectuó con el combustible diferente a gas natural.
Si la prueba es calificada como no exitosa, el generador deberá suscribir un Contrato de Respaldo suficiente para cubrir el diferencial de energía asociado al cambio en el IHF, vigente hasta que se efectúe una prueba exitosa. En caso contrario se hará efectiva la garantía.
Si esta planta o unidad térmica retorna a la utilización de gas natural, para una nueva asignación de Obligaciones de Energía Firme se aplicarán los numerales 1 y 2 anteriores.
3.4.2 DECLARACIÓN DE LOS INDICES DE INDISPONIBILIDAD HISTÓRICA FORZADA. <Numeral modificado por el artículo 18 de la Resolución 61 de 2007. El nuevo texto es el siguiente:> Para efectos de calcular la ENFICC de una planta o unidad de generación utilizando un IHF menor al resultante de aplicar la metodología establecida en la presente resolución, sin que este IHF sea inferior a 0.05, el agente deberá:
1. Aportar las garantías que sean requeridas en la presente resolución para respaldar la Obligación de Energía Firme asociada a la mejora del IHF.
2. <Numeral modificado por el artículo 14 de la Resolución 101 079 de 2025. El nuevo texto es el siguiente:> Entregar mediante el SUICC en la fecha establecida en la regulación vigente para la declaración de parámetros, un cronograma de mejora trimestral del valor del IHF.
3. Cumplir con el cronograma trimestral de mejora con anterioridad al inicio del Período de Vigencia de la Obligación. Este cronograma deberá distribuirse de tal manera que en el 50% del período declarado para la mejora, la reducción del IHF sea, al menos, del 50% de la mejora total declarada.
Durante el período establecido en el cronograma de mejora, el CND realizará trimestralmente una verificación del valor del IHF de la planta o unidad de generación calculándolo de conformidad con la regulación vigente. Cuando el IHF calculado por el CND sea mayor que el establecido en el cronograma de mejora, el agente está incumpliendo el cronograma.
La verificación de que el agente ha incumplido el cronograma durante dos evaluaciones consecutivas o no ha obtenido al menos el 50% de la reducción total declarada del IHF en el 50% del período declarado para la mejora, implica la terminación de la Obligación de Energía Firme asociada a la mejora del IHF y el ASIC procederá a hacer efectivas las garantías constituidas para cubrir este evento.
PARÁGRAFO. Para efectos del cálculo del IHF, el CND deberá considerar los eventos de generación registrados en sus sistemas de información para los últimos treinta y seis (36) meses de operación o los que correspondan de conformidad con la regulación vigente.
FORMATO PARA LA DECLARACION DE ENFICC Y ENERGIA DISPONIBLE ADICIONAL.
<Anexo 4 modificado por el artículo 16 de la Resolución 79 de 2006. El nuevo texto es el siguiente:>
Señores
Comisión de Regulación de Energía y Gas – CREG
Referencia: Declaración de ENFICC para la asignación de Obligaciones de Energía Firme y de la Energía Disponible Adicional para el período comprendido entre _____________________ y ________________________
Yo __________________, en mi calidad de representante legal de la empresa _____________, declaro que la Energía Firme para el Cargo por Confiabilidad, ENFICC, de las siguientes plantas y/o unidades de generación para la asignación de Obligaciones de Energía Firme y el Período de Vigencia asociado a ellas es:
| PLANTA Y/O UNIDAD DE GENERACION | ENFICC (KWh/día) | Período de Vigencia de la Obligación | |
| Fecha de inicio (mes, año) | Fecha de finalización (mes, año) | ||
La Energía Disponible Adicional de las plantas hidráulicas que represento comercialmente, y que ofertaré en el Mercado Secundario de Energía Firme en cada mes es:
| PLANTA DE GENERACION HIDRAULICA | ENERGIA DISPONIBLE ADICIONAL (KWh/día) | MES |
Atentamente,
Firma:
C. de C. No. __________________________
Representante Legal de _____________________________
VERIFICACION DE LA ENFICC.
5.1 VERIFICACIÓN DE LA ENFICC. <Ver Notas de Vigencia>
Una vez declarada la Energía Firme para el Cargo por Confiabilidad de cada una de las plantas y/o unidades de generación, el CND deberá verificar que el valor se encuentre dentro de los límites establecidos en la presente resolución. Para los casos en los cuales la ENFICC declarada sea superior a la máxima energía firme resultante de aplicar la metodología establecida en esta resolución, el CND considerará como valor declarado para las plantas de generación hidráulica la ENFICC Base, y para las plantas y/o unidades de generación térmica la ENFICC que resulte del cálculo hecho por el CND con base en la información reportada por el generador.
5.2 FORMATOS DE REPORTE DE LA INFORMACIÓN PARA EL CÁLCULO DE LA ENFICC.
Los siguientes formatos deberán ser diligenciados por los agentes, y remitidos a la CREG en comunicación firmada por el Representante Legal, en la oportunidad señalada en los plazos señalados en esta resolución.
En el caso de contratos verbales, deberán diligenciarse los mismos formatos referentes a la contratación de suministro y/o transporte de combustibles, adjuntando a ellos la información sobre fechas de celebración, de inicio y de terminación del contrato verbal. Estos formatos deben ser firmados por el Representante Legal de cada una de las partes que intervienen en el contrato.
<Inciso modificado por el artículo 4 de la Resolución 127 de 2020. El nuevo texto es el siguiente:> Todas las cifras de estos formatos deberán reportarse con dos decimales de precisión. Los IHF, factores de conversión y eficiencias térmicas con cuatro (4) decimales. Los IHF serán calculados con la información disponible hasta el mes anterior al momento de efectuar el cálculo.
Formato 1. Plantas o Unidades Hidráulicas.
Plantas o Unidades hidráulicas
| Nombre | Capacidad Efectiva Neta1 (MW) | Eficiencia Planta o Unidad (MW/m3/s) | IHF (%) |
1 En ningún caso, durante el Período de Vigencia de la Obligación, la Capacidad Efectiva Neta registrada ante el Mercado de Energía Mayorista podrá ser superior al valor aquí declarado.
Formato 2. Topología de Plantas Hidráulicas
| ELEMENTO | APORTES (Punto de Entrada) | DESCARGAS (Punto de Salida) | VERTIMIENTOS | |||||||||
| Clase2 | Nombre | Río | Embalse | Planta | Otro | Río Embalse | Planta | Otro | Río | Embalse | Planta | Otro |
2 Las clases de Elementos son: Planta (P), Embalse (E) Arcos de Descarga (AD), Bombeo (B), Filtraciones (F) y Otros Usos (OU)
Notas:
- En cada casilla no puede ir más de un elemento.
- En OTRO pueden ir Arcos de Descargas, Bombeo o Filtraciones, identificándolos según se defina en los elementos. Por ejemplo, AD1 es Arco de Descarga 1.
- Otros Usos puede corresponder a acueducto y riego.
- Adicionalmente se debe anexar el diagrama topológ ico.
Formato 3. Plantas o Unidades Térmicas
Plantas o Unidades Térmicas
| Nombre | Capacidad Efectiva Neta3 (MW) | Eficiencia (MBTU/MWh) | IHF (%) |
3 En ningún caso, durante el Período de Vigencia de la Obligación, la Capacidad Efectiva Neta registrada ante el Mercado de Energía Mayorista podrá ser superior al valor aquí declarado.
Formato 4. Serie Histórica de Caudales Medios Mensuales de los ríos del SIN
En este formato se deberá reportar la serie aprobada por el acuerdo del CNO vigente, para dar cumplimiento al procedimiento de la información hidrológica oficial del SIN.
Serie histórica de Caudales históricos medios mensuales de los ríos del SIN
| Río | Año | Mes | m3/s |
Formato 5. Embalses
EMBALSES
| Embalse | Mínimo Técnico (Mm3) | Máximo Técnico (Mm3) |
Formato 6. Filtraciones
FILTRACIONES
| Embalse | m3/s |
Formato 7. Curva de Operación del Embalse
Esta curva define los niveles mínimos o máximos mensuales que se deben mantener en el embalse para la operación sin ningún tipo de restricciones. Estas restricciones serán las ocasionadas por el uso del agua para propósitos diferentes al de generación de energía eléctrica (Caudal mínimo garantizado aguas abajo del embalse, agua para consumo humano, riego, navegación, etc.).
Curva de operación de embalse
| Embalse | Mes | Volumen de espera (Mm3) | Curva guía mínima (Mm3) | Curva guía máxima (Mm3) |
Formato 8. Capacidad de Arcos de Descarga
Capacidad de arcos de descarga
| Nombre | Flujo mínimo (m3/s) | Flujo máximo (m3/s) | Fecha de entrada (mes, año) | Fecha de salida (mes, año) |
Formato 9. Arcos de Bombeo
Arcos de Bombeo
| Nombre | Flujo mínimo (m3/s) | Flujo máximo (m3/s) | Fecha de entrada (mes, año) | Fecha de salida (mes, año) |
Formato 10. Capacidad Máxima de Arcos de Generación
CAPACIDAD MAXIMA DE ARCOS DE GENERACION
| Nombre | Flujo mínimo (m3/s) | Flujo máximo (m3/s) |
Formato 11. Descargas Máximas Embalses de Bogotá
DESCARGAS MAXIMAS EMBALSES DE BOGOTA
| Embalse | m3/s |
| Sisga | |
| Tominé | |
| Neusa | |
| Chuza | |
Formato 12. Capacidad Túneles de Chivor
CAPACIDAD TUNELES DE CHIVOR
| Túnel | m3/s |
| Tunjita | |
| Rucio | |
| Negro | |
Formato 13. Demanda de Acueducto y Riego
Demanda de Acueducto y Riego (m3/s)
| Nombre | Año T | Año T+1 | Año T+2 | Año T+n | Factor de recuperación (%) |
<Inciso adicionado al Formato 13 por el artículo 17 de la Resolución 79 de 2006. El nuevo texto es el siguiente:> Corresponde a la proyección de demanda de acueducto y riego para el Período de Vigencia de la Obligación.
5.2.1 CONTRATACIÓN DE COMBUSTIBLES PARA GENERACIÓN ELÉCTRICA.
Los formatos que se definen a continuación deberán ser diligenciados para cada uno de los años del Período de Vigencia de la Obligación que el generador aspira le sea asignada.
5.2.1.1 GENERADORES TÉRMICOS A GAS.
Los generadores térmicos a gas natural, deberán remitir diligenciado y firmado por el representante legal del generador, y dentro de los términos y plazos establecidos en la presente resolución, los siguientes formatos:
Formato 14. Suministro de gas natural
ENERGIA CONTRATADA EN FIRME PARA CADA MES (MBTU)
| Planta o Unidad de Generación | Campo que suministra | Dic. | Ene. | Feb. | Mar. | Abr. | May. | Jun. | Jul. | Ago. | Sep. | Oct. | Nov. |
Formato 15. Transporte de gas natural
<Formato modificado por el artículo 5 de la Resolución 85 de 2007. El nuevo texto es el siguiente:> El generador deberá utilizar la equivalencia entre 1 MBTU y 1kpc (1 MBTU = 1kpc) para efectos de diligenciar este formato. Quienes dispongan de certificaciones en las que conste un factor diferente al aquí establecido, podrán usar dicho factor. Estas certificaciones deberán ser remitidas a la CREG con la declaración de parámetros.
TRANSPORTE DE GAS CONTRATADO EN FIRME PARA CADA MES (MBTU)
| Planta o Unidad de Generación | Punto de Entrada | Punto de Salida | Dic. | Ene. | Feb. | Mar. | Abr. | May. |
TRANSPORTE DE GAS CONTRATADO EN FIRME PARA CADA MES (MBTU)
| Planta o Unidad de Generación | Punto de Entrada | Punto de Salida | Jun. | Jul. | Ago. | Sep. | Oct. | Nov. |
5.2.1.2 GENERADORES TÉRMICOS A CARBÓN Y OTROS COMBUSTIBLES DIFERENTES AL GAS NATURAL.
Los generadores térmicos a carbón y otros combustibles, deberán remitir diligenciados y firmados por el representante legal del generador, y dentro de los términos y plazos establecidos en la presente resolución los siguientes formatos.
Formato 16. Suministro de Combustibles diferentes al gas natural
En el formato 15 deberá reportarse la cantidad de energía contratada en firme para cada mes, expresada en MBTU y puesta en planta.
ENERGIA CONTRATADA EN FIRME PARA CADA MES PROCEDENTE DE CARBON Y OTROS COMBUSTIBLES DISTINTOS A GAS (MBTU)
| Planta o Unidad de Generación | Combustible | Dic. | Ene. | Feb. | Mar. | Abr. | May. | Jun. | Jul. | Ago. | Sep. | Oct. | Nov. |
Formato 17. Almacenamiento de Combustibles
En este formato deberá reportarse la cantidad de energía almacenada al inicio del Período de Vigencia de la Obligación, expresada en MBTU.
ENERGIA ALMACENADA PROCEDENTE DE CARBON
Y OTROS COMBUSTIBLES DISTINTOS A GAS
| Planta y/o Unidad de Generación | Combustible | Capacidad de Almacenamiento del Combustible | Cantidad Almacenada al Inicio de la Obligación (MBTU) |
Formato 18. Energía contratada para cubrir mantenimientos
ENERGIA CONTRATADA MENSUALMENTE PARA CUBRIR MANTENIMIENTOS (MBTU)
| Planta o Unidad de Generación que respalda | Dic. | Ene. | Feb. | Mar. | Abr. | May. | Jun. | Jul. | Ago. | Sep. | Oct. | Nov. |
Formato 20. Plantas Eólicas
<Formato modificado por el artículo 22 de la Resolución 101-6 de 2023. Rige a partir de la derogatoria de la Resolución 167 de 2017 según el artículo 25. Consultar el texto vigente hasta esta derogatoria en Legislación Anterior. El nuevo texto es el siguiente:>
Plantas Eólicas
| Nombre | Capacidad Efectiva Neta1 (MW) | IHF(%) |
1. En ningún caso, durante el Período de Vigencia de la Obligación, la Capacidad Efectiva Neta registrada ante el Mercado de Energía Mayorista podrá ser superior al valor aquí declarado. El valor de CEN se puede actualizar según lo definido en la Resolución CREG 096 de 2006, o aquellas que la adicionen, modifiquen o sustituyan.
Formato 21. Serie histórica horaria de velocidad y dirección del viento, y temperatura ambiente (TA), de diez años de datos, o de más años, de la Planta Eólica. <Formato modificado por el artículo 22 de la Resolución 101-6 de 2023. Rige a partir de la derogatoria de la Resolución 167 de 2017 según el artículo 25. Consultar el texto vigente hasta esta derogatoria en Legislación Anterior. El nuevo texto es el siguiente:>
En este formato se deberán reportar las series de velocidad y dirección del viento, y temperatura ambiente, declaradas para el cálculo de la ENFICC y que sirven de entrada al modelamiento energético.
Serie histórica horaria de datos de la planta eólica
| Planta | Año | Mes | Día | Hora | Velocidad del viento (m/s) | Dirección del viento [Grados relativos al norte geográfico] | TA [Grados centígrados] |
Formato 21.1 Serie histórica diezminutal de velocidad y dirección del viento, del año de datos, o de más años, en el sitio de la planta Eólica. <Formato adicionado por el artículo 22 de la Resolución 101-6 de 2023. El nuevo texto es el siguiente:>
En este formato se deberá reportar la serie de datos en sitio de la planta utilizada para aplicación de la metodología de cálculo de ENFICC. Si se utiliza la metodología de cálculo de ENFICC sin datos en sitio, no se deberá declarar este formato.
| Planta | Año | Mes | Día | Hora | Minuto | Velocidad del viento (m/s) | Dirección del viento [Grados relativos al norte geográfico] |
Formato 22. Plantas Geotérmicas. <Formato adicionado por el artículo 4 de la Resolución 132 de 2014. El nuevo texto es el siguiente:>
Plantas Geotérmicas
| Nombre | Temperatura del Recurso Geotérmico, TR [oC] | Flujo del Recurso Geotérmico, FREC [kg/s] | IHF [%] |
Formato 23. Serie histórica de temperatura ambiente, TA. <Formato adicionado por el artículo 4 de la Resolución 132 de 2014. El nuevo texto es el siguiente:>
En este formato se deberá reportar la serie aprobada por el acuerdo del CNO vigente para dar cumplimiento al procedimiento de la información oficial de temperatura ambiente.
Serie Histórica de Temperatura Ambiente, TA
| Planta | Fecha | Hora | oC |
Formato 22. <sic> Plantas Solares Fotovolticas. <Formato derogado por el artículo 6 de la Resolución 201 de 2017>
Formato 23. <sic> Serie Historica de Temperatura Ambiente. <Formato derogado por el artículo 6 de la Resolución 201 de 2017>
Formato 24. Plantas Solares Fotovoltaicas. <Formato modificado por el artículo 19 de la Resolución 101-7 de 2023. Rige a partir de la derogatoria de la Resolución 201 de 2017 según el artículo 21. Consultar el texto vigente hasta esta derogatoria en Legislación Anterior. El nuevo texto es el siguiente:>
Plantas Solares Fotovoltaicas
| Nombre | Capacidad Efectiva Neta1 (MW) | IHF (%) |
1 En ningún caso, durante el Período de Vigencia de la Obligación, la Capacidad Efectiva Neta registrada ante el Mercado de Energía Mayorista podrá ser superior al valor aquí declarado. El valor de CEN se puede actualizar según lo definido en la Resolución CREG 096 de 2006, o aquellas que la adicionen, modifiquen o sustituyan.
Formato 24.1. Serie histórica horaria de irradiación global solar horizontal (GHI) y temperatura ambiente (TA), de diez años de datos, o de más años, de la Planta Solar. <Formato modificado por el artículo 19 de la Resolución 101-7 de 2023. Rige a partir de la derogatoria de la Resolución 201 de 2017 según el artículo 21. Consultar el texto vigente hasta esta derogatoria en Legislación Anterior. El nuevo texto es el siguiente:>
En este formato se deberán reportar las series de irradiación global horizontal (GHI) y temperatura ambiente (TA) declaradas para el cálculo de la ENFICC y que sirven de entrada al modelamiento energético.
Serie histórica horaria de datos de la planta solar
| Planta | Año | Mes | Día | Hora | GHI [ kWh/m2] | TA [°C] |
Formato 24.2. Serie histórica horaria de irradiación global horizontal (GHI) y temperatura ambiente (TA), del año de datos, o de más años, en el sitio de la Planta Solar. <Formato modificado por el artículo 19 de la Resolución 101-7 de 2023. Rige a partir de la derogatoria de la Resolución 201 de 2017 según el artículo 21. Consultar el texto vigente hasta esta derogatoria en Legislación Anterior. El nuevo texto es el siguiente:>
En este formato se deberá reportar la serie de datos en sitio de la planta utilizada para aplicación de la metodología de cálculo de ENFICC. Si se utiliza la metodología de cálculo de ENFICC sin datos en sitio, no se deberá declarar este formato.
Serie histórica horaria de irradiación Global Solar Horizontal, GHI, y temperatura ambiente, TA, en el sitio de la planta
| Planta | Año | Mes | Día | Hora | GHI [kWh/m2] | TA [°C] |
Viceministro de Minas y Energía,
delegado del Ministro de Minas y Energía.
MANUEL MAIGUASHCA OLANO,
El Presidente,
El Director Ejecutivo,
CAMILO QUINTERO MONTAÑO.
MECANISMO DE VERIFICACION DE LA INFORMACION PARA LA ESTIMACION DE LA ENFICC.
6.1 REQUISITOS MÍNIMOS PARA LA CONTRATACIÓN DE LA AUDITORÍA PARA LA VERIFICACIÓN DE PARÁMETROS.
Para la definición de los términos de referencia de la contratación de la verificación de parámetros, el CND observará las siguientes pautas:
El contratista será elegido mediante selección objetiva.
Los parámetros a verificar son todos los declarados para las plantas y/o unidades que respalden asignaciones de obligaciones de energía firme superiores a cero (0).
El informe de verificación de parámetros observará los criterios generales definidos en esta resolución y en las demás normas de la CREG y acuerdos del CNO, vigentes antes de la fecha de declaración de parámetros para la estimación de la ENFICC.
El informe final de verificación de parámetros debe ser claro, preciso y detallado en el establecimiento de discrepancias por fuera de los rangos de holgura o margen de error definidos en este anexo, entre los valores verificados y los valores de los parámetros reportados por los agentes. No se admitirán informes ambiguos.
En el informe final de verificación de parámetros se explicarán y relacionarán todos los antecedentes, estudios, métodos, memorias de cálculo, exámenes, experimentos e investigaciones que sirvieron de base para dictaminar respecto de determinadas plantas y/o unidades, discrepancias en el valor de los parámetros reportados.
Las pruebas para plantas térmicas o hidráulicas que se requieran se realizarán siguiendo los procedimientos y/o protocolos establecidos para tal fin por el CNO.
Previo a la entrega del informe final, el contratista validará sus conclusiones con los agentes afectados, dando acceso a las memorias de cálculo y permitiéndoles contradecir el informe y formular solicitudes de complementación o aclaración que se resolverán en el informe final.
El informe final debe ser entregado en la fecha que establezca la CREG mediante Circular.
6.2 CRITERIOS DE LA VERIFICACIÓN DE PARÁMETROS.
La verificación de parámetros observará los siguientes criterios:
Las holguras y márgenes de error que se definen buscan garantizar que aquellos valores declarados por el agente, con discrepancias que conlleven a la asignación de una menor ENFICC, no sean considerados como discrepancias.
En los parámetros para los cuales existen protocolos de pruebas acordados en el CNO la firma contratada debe verificar que la información reportada por el agente correspondiente a la CREG, no tenga discrepancias frente a los reportes de resultados de la última prueba realizada de acuerdo con los protocolos definidos por el CNO, siempre y cuando esta haya sido hecha con la periodicidad establecida por el CNO o haya contado con autorización expresa de este para su aplazamiento.
Si el agente no ha llevado a cabo alguna de las pruebas, de acuerdo con los protocolos o frecuencia establecidos por el CNO y no existió autorización expresa del CNO para aplazar o no realizar la prueba, el agente deberá llevar a cabo la prueba correspondiente por lo menos un mes antes de finalizar la estación de verano. Los costos de dichas pruebas serán asumidos por cada agente. A la realización de la prueba asistirá la firma contratada para llevar a cabo la verificación de parámetros, con el fin de tomar nota del cumplimiento del protocolo correspondiente. Si un mes antes de finalizada la estación de verano (31 de marzo) no se ha realizado la prueba, de acuerdo con el protocolo respectivo aprobado por el CNO para este parámetro, el CND procederá a contratar la elaboración de la prueba y el ASIC podrá descontar el costo de dichas pruebas, de las cuentas a favor del correspondiente generador.
6.3 PROCEDIMIENTO PARA LA VERIFICACIÓN DE PARÁMETROS.
El procedimiento para la verificación de cada uno de los parámetros asociados al cálculo de la ENFICC es el siguiente:
Consumos Térmicos Específicos Netos plantas térmicas
| Documentos base | Acuerdo CNO 311 de octubre 30 de 2004 o aquellos que lo modifiquen o sustituyan por el cual se establece el procedimiento para efectuar la prueba de Consumo Térmico Específico Neto y Capacidad Efectiva Neta en las Plantas Térmicas del Sistema Interconectado Nacional. |
| Alcance | Determinar si existen discrepancias entre los valores de Consumo Térmico Específico Neto, declarados por los agentes y los valores resultantes de la prueba, siempre que esta se haya realizado siguiendo los protocolos acordados por el CNO. Si la planta o unidad no había entrado en operación comercial al momento de declarar el parámetro, se debe verificar que la declaración de los parámetros corresponde a lo indicado por el protocolo a partir de los datos de recepción de la planta. En caso de no existir esta documentación se deberá realizar la prueba respectiva, la cual correrá a cargo del agente generador. |
| Actividades de la firma contratada para la verificación de parámetros | - Recibe de la CREG los valores declarados por los agentes. - Solicita a cada agente los reportes de resultados oficiales de la última prueba realizada. - Verifica la fecha de realización de la prueba remitida por el agente. Si la última prueba se realizó por fuera de los plazos establecidos por el CNO y no existe autorización de este. * Solicita al agente la realización de la prueba, y verifica que la fecha no sea posterior a la finalización de la estación de verano. * Asiste a la prueba. * Verifica que se cumple el protocolo. * Solicita los reportes de resultados oficiales de la prueba realizada. - Compara lo declarado con el resultado de la prueba. - Determina la veracidad o no de los valores declarados por el agente ante la CREG, considerando los márgenes de tolerancia y error respectivos. |
| Tolerancia | De llevarse a cabo la prueba se aceptarán valores declarados que no sean inferiores en más del 7% del resultado de la prueba, evaluando ambas cifras con una aproximación a cuatro decimales. |
| Margen de error | De no llevarse a cabo la prueba, se considerará discrepancia cualquier valor declarado que sea inferior al de los reportes de resultados de la última prueba realizada, evaluando ambas cifras con una aproximación a cuatro decimales |
Factores de Conversión Plantas Hidráulicas
| Documentos base | Protocolo para la determinación de Factores de Conversión Plantas Hidráulicas aprobado por el CNO mediante Acuerdo 360 de mayo 25 de 2006 o aquellos que lo modifiquen o sustituyan. |
| Alcance | Determinar si existen discrepancias entre los valores del Factor de Conversión Hidráulico, declarados por los agentes y los valores resultantes de la prueba, siempre que esta se haya realizado siguiendo los protocolos acordados por el CNO. Si la planta no había entrado en operación comercial al momento de declarar el parámetro, se debe verificar que la declaración de los parámetros corresponde a lo indicado por el protocolo a partir de los datos de recepción de la planta. En caso de no existir esta documentación se deberá realizar la prueba respectiva, la cual correrá a cargo del agente generador. En el caso de este parámetro se puede requerir de una o más pruebas para la obtención de la curva del Factor de Conversión versus el nivel de embalse, curva a partir de la cual se obtiene el Factor de Conversión Medio de la planta. En este caso el auditor deberá verificar que el valor reportado por el agente a la CREG haya sido estimado según el protocolo aprobado para este parámetro por el CNO. Para la verificación de este parámetro se aplicará el procedimiento para comprobar dos resultados promedio. |
| Actividades de la firma contratada para la verificación de parámetros | - Recibe de la CREG los valores declarados por los agentes. - Solicita a cada agente los reportes de resultados oficiales de la última prueba realizada. - Verifica la fecha de realización de la prueba remitida por el agente. * Si la última prueba se realizó por fuera de los plazos establecidos por el CNO y no existe autorización de este. * Solicita al agente la realización de la prueba o pruebas, y verifica que la fecha no sea posterior a la finalización de la estación de verano * Asiste a la(s) prueba(s) * Verifica que se cumple el protocolo. * Solicita los reportes de resultados oficiales de la prueba realizada - Compara lo declarado con el resultado de la prueba. - Determina la veracidad o no de los valores declarados por el agente ante la CREG, considerando los márgenes de tolerancia y error respectivos. |
Tolerancia | De llevarse a cabo la prueba se aceptarán valores declarados que no superen en más del 13% el resultado de la prueba, evaluando ambas cifras con una aproximación a cuatro decimales |
| Margen de error | De no llevarse a cabo la prueba, se considerará discrepancia cualquier valor declarado, que supere los valores de los reportes de resultados de la última prueba realizada, evaluando ambas cifras con una aproximación a cuatro decimales. |
Capacidad Efectiva Neta Plantas Térmicas
| Documentos base | Acuerdo 103 del CNO de noviembre 15 de 2000 o aquellos que lo modifiquen o sustituyan. Protocolo por el cual se establece el procedimiento para efectuar la prueba de Consumo Térmico Especifico Neto y Capacidad Efectiva Neta en las plantas térmicas del Sistema Interconectado Nacional aprobado por el CNO mediante Acuerdo 311 de octubre 30 de 2004 o aquellos que lo modifiquen o sustituyan. Acuerdo 289 de abril 2 de 2004 o aquellos que lo modifiquen o sustituyan por el cual se permite a los generadores térmicos registrar ante el ASIC como Capacidad Efectiva Neta, un valor diferente al declarado para el Cargo por Capacidad. Convenios existentes, anteriores a la fecha del reporte de información a la CREG. |
| Alcance | Determinar si existen discrepancias entre los valores de Capacidad Efectiva Neta de Plantas Térmicas declarados por los agentes y los valores resultantes de la prueba, siempre que esta se haya realizado siguiendo los protocolos acordados por el CNO. Si la planta o unidad no había entrado en operación comercial al momento de declarar el parámetro, se debe verificar que la estimación de los parámetros declarados corresponde a lo indicado por el protocolo a partir de los datos de recepción de la planta. En caso de no existir esta documentación se deberá realizar la prueba respectiva, la cual correrá a cargo del agente generador. |
| Actividades de la firma contratada para la verificación de parámetros | - Recibe de la CREG los valores declarados por los agentes. - Solicita a cada agente los reportes de resultados oficiales de la última prueba realizada. - Verifica la fecha de realización de la prueba remitida por el agente. Si la última prueba se realizó por fuera de los plazos establecidos por el CNO y no existe autorización de este. * Solicita al agente la realización de la prueba, y verifica que la fecha no sea posterior a la finalización de la estación de verano. * Asiste a la prueba. * Verifica que se cumple el protocolo. * Solicita los reportes de resultados oficiales de la prueba realizada. - Compara lo declarado con el resultado de la prueba. - Solicita al agente copia del contrato de conexión o en su defecto convenios existentes, anteriores a la fecha del reporte de información a la CREG. Determina la veracidad o no de los valores declarados por el agente ante la CREG, considerando los márgenes de tolerancia y error respectivos. |
| Tolerancia | De llevarse a cabo la prueba se aceptarán valores declarados que no superen en más del 7%, evaluando ambas cifras con una aproximación a dos decimales. |
| Margen de error | De no llevarse a cabo la prueba, se considerará discrepancia cualquier valor declarado, que sea superior al de los reportes de resultados de la última prueba realizada, evaluando ambas cifras con una aproximación a dos decimales. Así mismo se considerará discrepancia si el valor declarado supera al valor consignado en el contrato de conexión o en su defecto acuerdos anteriores, aproximando las cifras a números enteros. |
Capacidad Efectiva Neta Plantas Hidráulicas
| Documentos base | Acuerdo número 153 del CNO de julio 27 de 2001 o aquellos que lo modifiquen o sustituyan. Contrato de conexión. Convenios existentes, anteriores a la fecha del reporte de información a la CREG. |
| Alcance | Determinar si los valores de Capacidad Efectiva Neta de Plantas Hidráulicas declarados por los agentes, superan los valores consignados en el contrato de conexión o en el convenio respectivo, según sea el caso. |
| Actividades de la firma contratada para la verificación de parámetros | - Recibe de la CREG los valores declarados por los agentes. - Solicita al agente copia del contrato de conexión o del convenio según sea el caso. - Compara si el valor declarado para el parámetro es menor o igual al establecido en el contrato de conexión o en su defecto en los convenios existentes antes de la fecha de declaración de parámetros. - Verifica si el valor declarado es igualado o superado al menos una vez en los registros de la frontera comercial. - Para Plantas/Unidades nuevas solicita información remitida al agente por el fabricante. |
| Margen de error | Se considerará discrepancia si el valor declarado supera al valor consignado en el contrato de conexión o en su defecto, en convenios existentes, anteriores a la fecha del reporte de información a la CREG, aproximando ambas cifras a números enteros. También se considera discrepancia si el valor declarado a pesar de ser igual o inferior al declarado en el contrato de conexión o en el respectivo convenio, no ha sido igualado o superado por los valores registrados en la Frontera Comercial, expresados en megavatios (MW) con dos cifras decimales, en los términos establecidos en el Acuerdo número 153 del CNO julio 27 de 2001 o aquellos que lo modifiquen o sustituyan. |
Volumen de Espera
| Documentos base | Acuerdo número 153 del CNO de julio 27 de 2001 o aquellos que lo modifiquen o sustituyan. Licencias ambientales y actos administrativos que impongan esta restricción. |
| Alcance | Determinar si el embalse ha sido concebido como multipropósito con capacidad de regulación de crecientes o si la autoridad ambiental le impuso esta restricción. Si la respuesta es positiva, deberá verificar que se haya declarado este parámetro. |
| Actividades de la firma contratada para la verificación de parámetros | - Recibe de la CREG los valores declarados por los agentes. - Solicita al agente y a la autoridad ambiental información sobre esta restricción. |
| Margen de error | Se considerará discrepancia si el agente generador estando obligado a declarar el parámetro no lo hace. |
Curva Guía Mínima y Máxima
| Documentos base | Acuerdo número 153 del CNO de julio 27 de 2001 o aquellos que lo modifiquen o sustituyan. Licencias ambientales y actos administrativos que impongan esta restricción. |
| Alcance | Determinar si el embalse ha sido concebido como multipropósito con capacidad de regulación de crecientes o si la autoridad ambiental le impuso esta restricción. Si la respuesta es positiva deberá verificar que se haya declarado este parámetro. |
| Actividades de la firma contratada para la verificación de parámetros | - Recibe de la CREG los valores declarados por los agentes. - Solicita al agente y a la autoridad ambiental información sobre esta restricción. |
| Margen de error | Se considerará discrepancia si el agente generador estando obligado a declarar el parámetro no lo hace. |
Arcos de Generación
| Documentos base | Acuerdo número 153 del CNO de julio 27 de 2001 o aquellos que lo modifiquen o sustituyan. Parámetros de diseño del embalse. Estudios hidráulicos. |
| Alcance | Determinar si el valor declarado para este parámetro está de acuerdo con lo establecido en el Anexo 7 del Acuerdo número 153 del CNO de julio 27 de 2001 o aquellos que lo modifiquen o sustituyan. |
| Actividades de la firma contratada para la verificación de parámetros | - Recibe de la CREG los valores declarados por los agentes. - Solicita al agente copia de los parámetros de diseño y de los estudios hidráulicos a que haya lugar. - Determina el mecanismo mediante el cual el generador calculó el valor declarado. Dicho mecanismo debe corresponder a uno de los establecidos en el Anexo 7 del Acuerdo número 153 del CNO de julio 27 de 2001 o aquellos que lo modifiquen o sustituyan. - Calcula el parámetro siguiendo la metodología adoptada por el generador. |
| Margen de error | Se considerará discrepancia cualquier valor declarado superior al calculado por la firma. |
Arcos de Descarga
| Documentos base | Acuerdo número 153 del CNO de julio 27 de 2001 o aquellos que lo modifiquen o sustituyan. Parámetros de diseño. Estudios hidráulicos. |
| Alcance | Determinar si el valor declarado para este parámetro está de acuerdo con lo establecido en el Anexo 8 del Acuerdo número 153 del CNO de julio 27 de 2001 o en aquellos que lo modifiquen o sustituyan. |
| Actividades de la firma contratada para la verificación de parámetros | - Recibe de la CREG los valores declarados por los agentes. - Solicita al agente copia de los parámetros de diseño y de los estudios hidráulicos a que haya lugar. - Determina el valor bien sea haciendo uso de la información de diseño o de los estudios hidráulicos. |
| Margen de error | Se considerará discrepancia cualquier valor declarado superior al calculado por la firma. |
Arcos de Bombeo
| Documentos base | Acuerdo número 153 del CNO de julio 27 de 2001 o aquellos que lo modifiquen o sustituyan. Información de diseño. Información de las estaciones de bombeo. |
| Alcance | Determinar si el valor declarado para este parámetro está de acuerdo con lo establecido en el Anexo 9 del Acuerdo número 153 del CNO de julio 27 de 2001 o aquellos que lo modifiquen o sustituyan. |
| Actividades de la firma contratada para la verificación de parámetros | - Recibe de la CREG los valores declarados por los agentes. - Solicita al agente copia de los parámetros de diseño y de la información de capacidad nominal de la estación de bombeo. - Determina el valor, bien sea haciendo uso de la información de diseño o de la capacidad nominal de la estación de bombeo. |
| Margen de error | Se considerará discrepancia cualquier valor declarado superior al calculado por la firma. |
Demanda de acueducto y riego
| Documentos base | Acuerdo número 153 del CNO de julio 27 de 2001 o aquellos que lo modifiquen o sustituyan. Información suministrada por las personas naturales o jurídicas que administran la extracción desde las fuentes, tales como empresas de acueducto y autoridades ambientales entre otras. |
| Alcance | Determinar si el valor declarado para este parámetro está de acuerdo con lo establecido en el Anexo 10 del Acuerdo número 153 del CNO de julio 27 de 2001 o aquellos que lo modifiquen o sustituyan. |
| Actividades de la firma contratada para la verificación de parámetros | - Recibe de la CREG los valores declarados por los agentes. - Solicita al agente copia de la información recibida de las personas naturales o jurídicas que administran la extracción desde las fuentes. |
| Margen de error | Se considerará discrepancia cualquier valor declarado inferior al establecido en los documentos base. |
Factor de Retorno de Acueducto y Riego
| Documentos base | Acuerdo número 153 del CNO de julio 27 de 2001 o aquellos que lo modifiquen o sustituyan. Información suministrada por las personas naturales o jurídicas que administran los sistemas de aguas residuales. |
| Alcance | Determinar si el valor declarado para este parámetro está de acuerdo con lo establecido en el Anexo 11 del Acuerdo número 153 del CNO de julio 27 de 2001 o aquellos que lo modifiquen o sustituyan. |
| Actividades de la firma contratada para la verificación de parámetros | - Recibe de la CREG los valores declarados por los agentes. - Solicita al agente copia de la información recibida de las personas naturales o jurídicas que administran los sistemas de aguas residuales. |
| Margen de error | Se considerará discrepancia cualquier valor declarado superior al establecido en los documentos base. |
IHF Plantas Térmicas
| Documentos base | Información histórica Bitácoras de planta. Eventos de unidades de generación registrados en el CND |
| Alcance | Determinar si el cálculo del Indice IHF, reportados por los agentes, de aquellas plantas y unidades térmicas, corresponde con lo establecido en esta resolución. |
| Actividades de la firma contratada para la verificación de parámetros | - Recibe de la CREG los valores declarados por los agentes. - Solicita a cada agente las Bitácoras de planta. - Conforma una base de cálculo con la información de las Bitácoras. - Solicita al CND, la relación de los eventos registrados durante el período de verificación. - Si en la relación entregada por el CND, existe un número de eventos superior en 10% al número de eventos registrados por el agente en su bitácora, procede a la inclusión de los eventos verificados dentro de la base de cálculo. - Determina si se trata de una Planta y/o Unidad de Generación con Información de Operación Insuficiente de acuerdo con la reglamentación vigente y el margen de error definido para esta clasificación, como se explica adelante. - Con la información de la base de cálculo procede al cálculo de los IHF. |
| Margen de error | Se considerará discrepancia si el valor declarado de IHF es inferior al calculado por la firma que realiza la verificación de parámetros, en más del 10%, evaluando ambas cifras con una aproximación a cuatro decimales. |
IHF Plantas Hidráulicas
| Documentos base | Información histórica Bitácoras de planta. Eventos de unidades de generación registrados en el CND. |
| Alcance | Determinar si el cálculo de los Indices IHF, reportados por los agentes de aquellas plantas y unidades hidráulicas corresponde con lo establecido en esta resolución. |
| Actividades de la firma contratada para la verificación de parámetros | - Recibe de la CREG los valores declarados por los agentes. - Solicita a cada agente las Bitácoras de planta. - Conforma una base de cálculo con la información de las Bitácoras. - Solicita al CND la relación de los eventos registrados durante el período de verificación. - Si en la relación entregada por el CND existe un número de eventos superior en 10% al número de eventos registrados por el agente en su bitácora, procede a la inclusión de los eventos verificados dentro de la base de cálculo. - Determina si se trata de una planta o unidad con información insuficiente de acuerdo con la reglamentación vigente y el margen de error definido para esta clasificación, como se explica adelante. - Con la información de la base de cálculo procede al cálculo de los IHF. |
| Margen de error | Se considerará discrepancia si el valor declarado de IHF es inferior al calculado por la firma que realiza la verificación de parámetros, en más del 10%, evaluando ambas cifras con una aproximación a cuatro decimales. |
Suministro de Combustibles y Transporte de Gas Natural
| Documentos base | Declaración mensual de suministro de combustibles y transporte de gas natural, según sea el caso. Contratos de suministro de combustibles y transporte de gas natural, según sea el caso. |
| Alcance | Determinar si los valores declarados por el agente generador están soportados por los contratos de suministro de combustibles y transporte de gas natural presentados. |
| Actividades de la firma contratada para la verificación de parámetros | - Recibe de la CREG los valores declarados por los agentes y la copia de los contratos de suministro de combustibles y transporte de gas natural. - Confronta los valores declarados por el agente con los contratos de suministro de combustibles y transporte de gas natural presentados. - Determina si los contratos presentados contienen la obligación de suministro en firme de combustibles y transporte en firme de gas natural. |
| Margen de error | Se considerará discrepancia cualquier diferencia entre el valor reportado por el agente generador y el valor calculado por la firma auditora con fundamento en el contrato. También se considerará discrepancia la determinación, por parte del auditor, de que el contrato no garantiza la firmeza en el suministro de combustibles y/o en el transporte de gas natural. |
<Numeral 6.3 adicionado con los siguientes procedimientos de verificación de parámetros asociados al cálculo de la ENFICC, por el artículo 1 de la Resolución 79 de 2007. El nuevo texto es el siguiente:>
TOPOLOGÍA PLANTAS HIDRÁULICAS
| Documentos base | Acuerdo CNO 396 de mayo 31 de 2007, Anexo 1 o aquellos que lo modifiquen o sustituyan. |
| Alcance | Determinar si la Topología de Plantas Hidráulicas, declarada por el agente cumple con lo establecido en el Anexo 1 del Acuerdo CNO 396. |
| Actividades de la firma contratada para la verificación de parámetros | – Recibe de la CREG la topología de Plantas Hidráulicas declarada por los agentes. – Observando el protocolo del CNO verifica que la topología declarada corresponda a las características físicas e hidráulicas existentes. – Compara lo declarado con el resultado de la verificación. – Determina la veracidad o no de la Topología de Plantas Hidráulicas declarada por el agente ante la CREG. |
| Discrepancia | Se considerará discrepancia cualquier diferencia entre la topología de Plantas Hidráulicas declarada por el agente y la verificada por la firma auditora. |
FILTRACIONES
| Documentos base | Acuerdo CNO 396 de mayo 31 de 2007 Anexo 3 o aquellos que lo modifiquen o sustituyan. Información suministrada por las personas naturales o jurídicas que administran la extracción desde las fuentes. Licencia ambiental. |
| Alcance | Determinar si el parámetro Filtraciones, declarado por el agente generador cumple con lo establecido en el Anexo 3 del Acuerdo CNO 396. |
| Actividades de la firma contratada para la verificación de parámetros | -- Recibe de la CREG los valores declarados por los agentes. -- Solicita al agente copia de la licencia ambiental. -- Obtiene la información de las personas naturales o jurídicas que administran la extracción desde las fuentes. |
Discrepancia | Se considerará discrepancia cualquier valor declarado inferior al establecido en los documentos base. |
DESCARGAS MÁXIMAS EMBALSES (APLICABLE A BOGOTÁ)
| Documentos base | Acuerdo CNO 396 de mayo 31 de 2007 Anexo 4 o aquellos que lo modifiquen o sustituyan. Parámetros de diseño. Acuerdos operativos existentes al momento de la declaración entre las entidades que manejan y operan los embalses. |
| Alcance | Determinar si el parámetro Descargas Máximas Embalses, declarado por el agente cumple con lo establecido en el Anexo 4 del Acuerdo CNO 396. |
| Actividades de la firma contratada para la verificación de parámetros | -- Recibe de la CREG los valores declarados por los agentes. -- Solicita al agente copia de los parámetros de diseño que incluyan la capacidad hidráulica de diseño de la descarga. -- Solicita al agente copia de los acuerdos operativos existentes al momento de la declaración entre las entidades que manejan y operan los embalses. |
| Discrepancia | Se considerará discrepancia cualquier valor declarado superior al establecido en los documentos base. |
CAPACIDAD TÚNELES (APLICABLE A CHIVOR)
| Documentos base | Acuerdo CNO 396 de mayo 31 de 2007 Anexo 5 o aquellos que lo modifiquen o sustituyan. Parámetros de diseño. Estudios hidráulicos. |
| Alcance | Determinar si el parámetro Capacidad Túneles de Chivor, declarado por el agente cumple con lo establecido en el Anexo 5 del Acuerdo 396 CNO. |
| Actividades de la firma contratada para la verificación de parámetros | -- Recibe de la CREG los valores declarados por los agentes. -- Solicita al agente copia de los parámetros de diseño y de los estudios hidráulicos a que haya lugar. -- Determina el valor bien sea haciendo uso de la información de diseño o de los estudios hidráulicos. |
| Discrepancia | Se considerará discrepancia cualquier valor declarado superior al calculado por la firma. |
ALMACENAMIENTO DE COMBUSTIBLES
Documentos base | Acuerdo CNO 396 de mayo 31 de 2007 Anexo 6 o aquellos que lo modifiquen o sustituyan. Información. Certificación de energía en MBTU asociada al combustible almacenado (Art. 44, parágrafo 1o, Resolución CREG-071 de 2006). |
| Alcance | Determinar si el parámetro Almacenamiento de Combustibles, declarado por el agente cumple con lo establecido en el Anexo 6 del Acuerdo CNO 396 y en el parágrafo 1o del artículo 44 de la Resolución CREG-071 de 2006. |
| Actividades de la firma contratada para la verificación de parámetros | -- Recibe de la CREG los valores declarados por los agentes. -- Solicita al agente copia de la información utilizada para la declaración. -- Determina la capacidad de almacenamiento de conformidad con el Anexo 6 del Acuerdo 396 del CNO. -- Verifica la existencia de la certificación de energía en MBTU asociada al combustible almacenado a que se refiere el parágrafo 1o del artículo 44 de la Resolución CREG-071 de 2006 y verifica que corresponda a la cantidad declarada. |
| Discrepancia | Se considerará discrepancia cualquier valor declarado superior al calculado por la firma. |
ENERGÍA CONTRATADA PARA CUBRIR MANTENIMIENTOS
| Documentos base | Contrato de mercado secundario |
| Alcance | Verificar si el contrato del mercado secundario cumple con: -- Garantizar la energía firme reportada. -- Se encuentra debidamente registrado ante el ASIC al momento de la declaración. |
| Actividades de la firma contratada para la verificación de parámetros | -- Recibe de la CREG el valor declarado por el agente. -- Solicita al ASIC certificación de registro del contrato. -- Solicita al ASIC copia del contrato. -- Confronta los valores declarados por el agente con los contratos del mercado secundario. |
| Discrepancia | Se considerará discrepancia cualquier valor declarado superior al calculado por la firma, así como los casos en los cuales el contrato no se encuentre registrado al momento de la declaración. |
SERIE HISTÓRICA DE CAUDALES MEDIOS MENSUALES DE LOS RÍOS DEL SIN
| Documentos base | Acuerdo CNO 159 de agosto 30 de 2001. Procedimientos de cálculo de este parámetro presentados por cada empresa al Subcomité Hidrológico y de Plantas Hidráulicas, los cuales constan en las respectivas actas. |
| Alcance | Determinar si el parámetro Serie Histórica de Caudales Medios Mensuales de los ríos del SIN, declarado por el agente cumple con lo establecido en el Procedimiento de cálculo de este parámetro presentado por cada empresa al Subcomité Hidrológico y de Plantas Hidráulicas. |
| Actividades de la firma contratada para la verificación de parámetros | -- Recibe de la CREG el valor declarado por el agente. -- Solicita al CNO copia del acta donde consta el procedimiento de cálculo de este parámetro presentado por la empresa al Subcomité Hidrológico y de Plantas Hidráulicas. -- Calcula el valor del parámetro siguiendo el procedimiento presentado por la empresa. |
| Discrepancia | Se considerará discrepancia cualquier valor declarado superior al calculado por la firma auditora. |
<Procedimientos adicionados por el artículo 4 de la Resolución 30 de 2019. El nuevo texto es el siguiente:>
Embalses. Mínimo técnico
| Documentos base | Acuerdo número 512 del CON, o aquellos que lo modifiquen o sustituyan. Batimetrías. |
| Alcance | Determinar si el valor declarado para este parámetro está de acuerdo con lo establecido en el Acuerdo número 512 del CON, o aquellos que lo modifiquen o sustituyan. |
| Actividades de la firma contratada para la verificación de parámetros | - Recibe de la CREG los valores declarados por los agentes. - Solicita al agente copia de los parámetros de diseño y de los estudios hidráulicos a que haya lugar. - Determina el mecanismo mediante el cual el generador calculó el valor declarado. Dicho mecanismo debe corresponder a uno de los establecidos en el Acuerdo número 512 del CON, o aquellos que lo modifiquen o sustituyan. - Calcula el parámetro siguiendo la metodología adoptada por el generador, según lo definido en el Acuerdo número 512 del CNO o aquellos que lo modifiquen o sustituyan. |
| Margen de error | Se considerará discrepancia cualquier valor declarado inferior al calculado por la firma. |
Embalses. Máximo técnico
| Documentos base | Acuerdo número 512 del CON, o aquellos que lo modifiquen o sustituyan. Batimetrías. |
| Alcance | Determinar si el valor declarado para este parámetro está de acuerdo con lo establecido en el Acuerdo número 512 del CON, o aquellos que lo modifiquen o sustituyan. |
| Actividades de la firma contratada para la verificación de parámetros | - Recibe de la CREG los valores declarados por los agentes. - Solicita al agente copia de los parámetros de diseño y de los estudios hidráulicos a que haya lugar. - Determina el mecanismo mediante el cual el generador calculó el valor declarado.Dicho mecanismo debe corresponder a uno de los establecidos en el Acuerdo número 512 del CON, o aquellos que lo modifiquen o sustituyan. - Calcula el parámetro siguiendo la metodología adoptada por el generador, según lo definido en el Acuerdo número 512 del CON, o aquellos que lo modifiquen o sustituyan. |
| Margen de error | Se considerará discrepancia cualquier valor declarado superior al calculado por la firma. |
Suministro, Transporte e Infraestructura de Importación de Gas Natural Importado
| Documentos base | - Declaración mensual de suministro y transporte de gas natural importado, según sea el caso. - Contratos de suministro y transporte de gas natural importado, según sea el caso. - Contratos de acceso a la capacidad de la infraestructura de importación o su equivalente. |
| Alcance | Determinar si los valores declarados por el agente generador están soportados por los contratos de suministro de combustibles, transporte y acceso a la capacidad de la infraestructura de importación de gas natural importado presentados. |
| Actividades de la firma contratada para la verificación de parámetros | - Recibe de la CREG los valores declarados por los agentes y la copia de los contratos de suministro de combustibles, transporte y acceso a la capacidad de la infraestructura de importación de gas natural importado. - Confronta los valores declarados por el agente con los contratos de suministro de combustibles, transporte y acceso a la capacidad de la infraestructura de gas natural importados presentados. - En el caso de que infraestructura utilizada sea compartida, verificar la disponibilidad de capacidad de la infraestructura para atender simultáneamente las plantas con las cuales tenga contratos. - Determina si los contratos presentados contienen la obligación de suministro de combustible, transporte y acceso a la infraestructura de importación y permiten contar con la firmeza de gas natural importado, revisando en sitio la infraestructura, capacidades de almacenamiento, capacidades de descarga de producto, tiempos de programación y recibo de producto, y cualquier otro elemento necesario para la logística de abastecimiento. |
| Margen de error | Se considerará discrepancia cualquier diferencia entre el valor reportado por el agente generador y el valor calculado por la firma auditora con fundamento en los contratos. También se considerará discrepancia la determinación, por parte del auditor, de que el contrato no garantiza la firmeza en el suministro de combustibles y/o en el transporte de gas natural. |
Viceministro de Minas y Energía,
delegado del Ministro de Minas y Energía.
MANUEL MAIGUASHCA OLANO,
El Presidente,
El Director Ejecutivo,
CAMILO QUINTERO MONTAÑO.
LIQUIDACION.
<Anexo modificado por el artículo 1 de la Resolución 101 69 de 2025. El nuevo texto es el siguiente:>
Para determinar la liquidación horaria de cada uno de los agentes generadores cuando el precio de bolsa nacional horario en algún periodo horario del día d, supere alguno de los precios de escasez de activación, se aplicarán las siguientes reglas:
Para la determinación de la Obligación Diaria de Energía Firme (ODEF) se aplicará el siguiente procedimiento, para aquellas plantas i a las cuales el Precio de Bolsa Nacional haya sido superior al precio de escasez de activación de alguna de sus Obligaciones de Energía Firme, en alguna hora del día.
a) Consideración de la Demanda Desconectable Voluntaria Verificada
La consideración de la Demanda Desconectable Voluntaria Verificada en las Obligaciones Diarias de Energía Firme se realiza mediante la siguiente expresión:
![]()
Donde:
| Obligación Diaria de Energía Firme de la planta i, del agente generador j, en el día d, del mes m, con el mecanismo de la DDV. | |
| Obligación Diaria de Energía Firme Respaldada de la planta i, del generador j, en el día d, del mes m, considerando las OEF activadas en algún periodo del día. | |
| Demanda Desconectable Voluntaria Verificada de la planta i, del agente j, en el día d, del mes m. |
b) Consideración del Mercado Secundario
La consideración del Mercado Secundario en la Obligación Diaria de Energía Firme (ODEF) para todas las plantas de generación se realiza mediante la siguiente expresión:
![]()
Donde:
| Obligación Diaria de Energía Firme de la planta i | |
| Obligación Diaria de Energía Firme de la planta i, del agente j, en el día d, del mes m, con el mecanismo de la DDV. | |
| Ventas en Contratos de Respaldo o en Declaración de Respaldo de la planta i, del agente generador j, en el día d del mes m, que hayan sido despachadas. | |
| Compras en Contratos de Respaldo o en Declaración de Respaldo de la planta i, del agente generador j, en el día d, del mes m, que hayan sido despachadas. |
Si la planta i tiene contratos o declaraciones de respaldo de compra o venta en el mercado secundario del Cargo por Confiabilidad, éstos serán despachados de acuerdo con las siguientes reglas:
i. El despacho de los contratos según lo previsto en el Parágrafo 4 del Artículo 63 de la Resolución CREG 071 de 2006 y aquellas que modifiquen adicionan o sustituyan, se aplicará cuando la condición de activación de las OEF se presente para la planta compradora, independiente de la condición de activación o no de las OEF del vendedor.
ii. El despacho de estos contratos o declaraciones de respaldo se realizarán bajo las reglas y condiciones definidas en el Parágrafo 4 del Artículo 63 de la Resolución CREG 071 de 2006 y aquellas que modifiquen adicionan o sustituyan, considerando para ello: i) la generación ideal nacional diaria de las plantas, ii) la Obligación Diaria de Energía Firme de las plantas con el mecanismo de la DDV,
, resultado del literal a) anterior.
Para los casos en los cuales la planta i no tenga Obligación Diaria de Energía Firme activadas, y haya tenido ventas en contratos del mercado secundario
, se le asignará la
resultante de este numeral al menor precio de escasez de sus contrapartes compradoras, según el despacho de dichos contratos.
2. DETERMINACIÓN DEL FACTOR DE AJUSTE DIARIO (FA).
Para los casos en los cuales la demanda total doméstica más la reducción de demanda de RDV y el programa de racionamiento, sean menor que la suma de la ODEF de todas las plantas, se calculará un factor de ajuste (FA) con la siguiente expresión:
![]()
Donde:
| Factor de Ajuste Diario | |
| Demanda Total Doméstica del día d, del mes m. | |
| RD verificada del día d, del mes m. | |
| Programa de racionamiento verificado del día d, del mes m. | |
| Generación ideal del día d, del mes m de los recursos no despachados centralmente. | |
| Obligación Diaria de Energía Firme del agente generador j, del día d, del mes m. | |
| Variable ODEF del día d, del mes m, de los recursos no despachados centralmente. |
Cuando la demanda total doméstica diaria más la RDV diaria y el PGR diario, sean mayor o igual que la suma de la ODEF de todas las plantas de generación, el factor FA será igual a uno (1).
Para las plantas o unidades de generación no despachadas centralmente el factor FA siempre será igual a uno (1).
3. DETERMINACIÓN DE LA OBLIGACIÓN DIARIA DE ENERGÍA FIRME AJUSTADA.
La Obligación Diaria de Energía Firme Ajustada de cada planta despachada centralmente se determinará como sigue:
![]()
Donde:
| Obligación Diaria de Energía Firme Ajustada de la planta i, del agente generador j, del día d, del mes m. | |
| Factor de Ajuste Diario | |
| Obligación Diaria de Energía Firme de la planta i, del agente generador j, del día d, del mes m. |
4. DISTRIBUCIÓN DE LA OBLIGACIÓN DIARIA DE ENERGÍA FIRME AJUSTADA.
En caso de que una planta presente asignaciones de OEF activadas a diferentes precios de escasez, se distribuirá la Obligación Diaria de Energía Firme
, resultante del literal b) anterior, así:
![]()
| Obligación Diaria de Energía Firme Ajustada de la planta i, asociada al precio de escasez | |
| Obligación Diaria de Energía Firme Ajustada de la planta i | |
| Obligación de Energía Firme asignada a la planta i |
Las plantas que presenten asignaciones de OEF activadas a un solo precio de escasez
, incluyendo las plantas sin OEF activadas que resultaron con ventas en contratos
, la variable
será igual a: ![]()
Cada porción de Obligación Diaria de Energía Firme Ajustada de la planta i, asociada al precio de escasez
, (
, será tratada como una planta independiente a su respectivo precio de escasez.
5. DISTRIBUCIÓN DE LA GENERACIÓN IDEAL DE LAS PLANTAS DE GENERACIÓN.
En caso de que una planta presente asignaciones de OEF activadas a diferentes precios de escasez, se distribuirá la generación ideal nacional horaria de la planta así:
![]()
Donde:
| Generación ideal nacional de la planta i, asociada al precio de escasez | |
| Generación ideal nacional de la planta i, del agente generador j, del día d, del mes m. | |
| Obligación Diaria de Energía Firme Ajustada de la planta i, asociada al precio de escasez |
Las plantas que presenten asignaciones de OEF activadas a un solo precio de escasez
, y para las plantas con OEF no activadas, plantas sin OEF y plantas no despachadas centralmente, la variable
será igual a:![]()
La determinación de las desviaciones de la Obligación Diaria de Energía Firme Ajustada de las plantas, incluyendo importaciones, se realiza de acuerdo con la siguiente expresión:
![]()
Donde:
| Desviación de la Obligación Diaria de Energía Firme Ajustada de la planta i asociada al precio de escasez â, del agente generador j; o a la planta i, del agente generador j, asociada a la RDV diaria o al PGR verificado del día d, del mes m. | |
| Obligación Diaria de Energía Firme Ajustada de la planta i, asociada al precio de escasez â, del agente generador j, del día d, del mes m. | |
| Generación ideal nacional de la planta i, asociada al precio de escasez Se tendrá en cuenta para la liquidación, las plantas de generación asociadas a reducción de demanda RDV diaria, y las plantas de generación asociadas a reducción de demanda PGR diaria verificado, de la siguiente manera: a) Sí la demanda total doméstica diaria más la reducción de demanda diaria RDV y el programa de racionamiento diario, es igual que la suma de la ODEFA de todas las plantas de generación, se tendrá en cuenta para la liquidación la siguiente generación ideal: b) Sí la demanda total doméstica diaria más RDV diaria y el PGR diario, es mayor que la suma de la ODEFA de todas las plantas de generación se tendrá en cuenta para la liquidación la siguiente generación ideal: i. Si la demanda total doméstica diaria es mayor o igual que la suma de la ODEFA de todas las plantas de generación, no se tendrá en cuenta para la liquidación la generación ideal de las plantas de generación asociadas a reducción de demanda de RDV diaria la cual será igual a ii. En caso contrario, las plantas de generación asociadas a reducción de demanda RDV diaria, y las plantas de generación asociadas a reducción de demanda PGR diario verificado, tendrán la siguiente generación ideal: Dónde: |
Las plantas asociadas a reducción de demanda RDV y del PGR no tendrán asignadas ODEFA, y para todos los casos de la liquidación del presente anexo, la
de estas plantas tendrán un valor de cero (0).
Para las importaciones, sin asignación de OEF, el valor de
es igual a cero (0).
La Obligación Diaria de Energía Firme Ajustada de la hora h de las plantas no despachadas centralmente, siempre será igual a la generación ideal de la planta en la hora h.
Para las plantas sin OEF activadas y que no resultaron con ventas en contratos
, y las plantas sin OEF, la
de estas plantas tendrán un valor de cero (0).
Para cada planta que resulte con Desviación de la Obligación Diaria de Energía Firme Ajustada,
mayor o igual a cero, se calculará la Obligación Horaria de Energía Firme Ajustada, como sigue:
![]()
Donde:
| Obligación Horaria de Energía Firme Ajustada de la planta i, asociada al precio de escasez | |
| Obligación Diaria de Energía Firme Ajustada de la planta i, asociada al precio de escasez | |
| Generación ideal nacional de la planta i, asociada al precio de escasez | |
| Generación ideal nacional de la planta i, asociada al precio de escasez |
Para el cálculo de la variable
se debe emplear la siguiente expresión:
![]()
Donde:
| Generación ideal nacional de la planta i, asociada al precio de escasez | |
| Generación ideal nacional de la planta i, del agente generador j, en la hora h, del día d, del mes m. | |
| Obligación Diaria de Energía Firme Ajustada de la planta i, asociada al precio de escasez |
Las plantas que presenten asignaciones de OEF activadas a un solo precio de escasez
, y para las plantas con OEF no activadas, plantas sin OEF y plantas no despachadas centralmente, la variable
será igual a:
.
Para los casos en los que la variable
es mayor o igual que cero (0), se aplicarán las siguientes reglas:
![]()
Donde:
| Valor de la Desviación de la Obligación Horaria de Energía Firme Ajustada de la planta i, asociada al precio de escasez | |
| Generación ideal nacional de la planta i, asociada al precio de escasez | |
| Obligación Horaria de Energía Firme Ajustada de la planta i, asociada al precio de escasez â, del agente generador j, en la hora h, del día d, del mes m. | |
| Precio de Bolsa nacional en la hora h, del día d, del mes m. | |
| Precio de las transacciones en bolsa en la hora h, del día d, del mes m. |
El valor de la variable
corresponde a un pago a efectuar al agente generador representante de la planta i.
9. CÁLCULO DEL VALOR TOTAL DE LAS DESVIACIONES.
El valor total de las desviaciones se calculará con la siguiente expresión:
![]()
Donde:
| Total del | |
| Valor de la Desviación de la Obligación Horaria de Energía Firme Ajustada de la planta i, asociada al precio de escasez â, del agente generador j, en la hora h, del día d, del mes m. | |
| Subconjunto de plantas i (incluye importaciones) para los cuales la variable |
10. AJUSTE FRENTE PRECIO DE TRANSACCIÓN EN BOLSA.
Para realizar el ajuste de pago a Precio de Transacción en Bolsa frente al precio de escasez de la planta, se aplicarán las siguientes reglas:
Para cada planta despachada centralmente con
mayor o igual a cero (0) y
mayor a cero (0), se calculará un ajuste de pago o cobro en la hora, así:
![]()
Donde:
| Ajuste de la planta i con desviaciones positivas o iguales a cero, asociada al precio de escasez â, del agente generador j, en la hora h, del día d, en el mes m | |
| Obligación Horaria de Energía Firme Ajustada de la planta i, asociada al precio de escasez â, del agente generador j, en la hora h, del día d, del mes m. | |
| Precio de escasez | |
| Precio de Transacción en Bolsa en la hora h. |
Si el valor de la variable
es positivo corresponde a un pago a efectuar al agente generador representante de la planta i, en caso contrario es un cobro al agente representante de la planta i.
10.2. AJUSTE FRENTE AL PRECIO DE TRANSACCIÓN EN BOLSA PARA PLANTAS CON DESVIACIONES NEGATIVAS, ![]()
Para cada planta despachada centralmente con
menor a cero (0) y
mayor que cero, se calculará un ajuste de pago o cobro o en cada hora, así:
![]()
Donde:
| Ajuste de la planta i con desviaciones negativas, asociada al precio de escasez â, del agente generador j, en la hora h, del día d, en el mes m. | |
| Generación ideal de la planta i, asociada al precio de escasez â, del agente generador j, en la hora h, del día d, del mes m. | |
| Precio de escasez | |
| Precio de Transacción en Bolsa en la hora h. |
Si el valor de la variable
es positivo corresponde a un pago a efectuar al agente generador representante de la planta i, en caso contrario es un cobro al agente representante de la planta i.
10.3. CÁLCULO DEL AJUSTE NETO.
El valor del ajuste neto del sistema se calcula como sigue:

Donde:
| Ajuste neto en la hora h, del día d, en el mes m. | |
| Ajuste de la planta i con desviaciones positivas o iguales a cero, del agente generador j, asociada al precio de escasez â, en la hora h, del día d, en el mes m. | |
| Ajuste de la planta i con desviaciones negativas, asociada al precio de escasez â, del agente generador j, en la hora h, del día d, en el mes m. | |
| Numero de plantas con desviaciones positivas o desviaciones iguales a cero. | |
| Numero de plantas con desviaciones negativas. |
11. REGLAS DE ASIGNACIÓN Y CIERRE DE LA LIQUIDACIÓN.
Se determinará el cierre de la liquidación de acuerdo con las siguientes reglas.
11.1. CÁLCULO DEL VALOR TOTAL.
Se calculará el valor total de las Desviaciones Positivas y el ajuste neto de precios de escasez de todo el sistema. Así:
![]()
Donde:
| Valor total en la hora h, del día d, en el mes m. | |
| Valor total de la | |
| Ajuste neto en la hora h, del día d, en el mes m. |
11.2. DETERMINACIÓN DE LA MAGNITUD DE LA DESVIACIÓN POR AGENTES.
Para cada agente generador j que represente plantas con
menor a cero (0), se le calculará la magnitud de la desviación negativa de la Obligación Diaria de Energía Firme Ajustada total de sus plantas de generación empleando la siguiente expresión:

Donde,
| Desviación de la Obligación Diaria de Energía Firme Ajustada del agente generador j, del día d, del mes m. | |
| Desviación de la Obligación Diaria de Energía Firme Ajustada de la planta k asociada al precio de escasez â, del agente generador j; o a la planta k, del agente j, asociada a la RDV diaria o al PGR verificado del día d, del mes m. | |
| Plantas con | |
| Numero de precios de escasez â asignados a las OEF de la planta. |
11.3. COBRO A LOS AGENTES CON PLANTAS CON
MENOR A CERO (0).
Sí el valor
resulta mayor a cero, se realizará un cobro a cada agente generador j que represente plantas con
menor a cero (0).
![]()
Donde,
| Cobro que se le asigna al agente generador j, en la hora h, del día d, en el mes m. | |
| Valor total en la hora h, del día d, en el mes m. | |
| Desviación de la Obligación Diaria de Energía Firme Ajustada del agente generador j, del día d, del mes m. |
11.4. CIERRE DE LA LIQUIDACIÓN.
Para el cierre de la liquidación se deberá considerar las siguientes reglas:
a) En caso de que no existir agentes generadores con
menor a cero (0), el valor
se asignará a los comercializadores a prorrata de la demanda comercial de la hora h, a través de la cuenta de restricciones a quienes se les calculará un valor de
.
b) Sí el valor
resulta menor a cero, el mismo se asignará a los comercializadores a prorrata de la demanda comercial de la hora h, a través de la cuenta de restricciones.
CONCILIACION, LIQUIDACION Y FACTURACION DEL CARGO POR CONFIABILIDAD.
<Anexo 8 modificado por el artículo 19 de la Resolución 79 de 2006. El nuevo texto es el siguiente:> El SIC procederá a efectuar la conciliación, liquidación y facturación del Cargo por Confiabilidad de conformidad con las siguientes reglas:
8.1.1 DETERMINACIÓN DE LA REMUNERACIÓN REAL INDIVIDUAL DIARIA DE LA OBLIGACIÓN DE ENERGÍA FIRME ASOCIADA A LA PLANTA Y/O UNIDAD DE GENERACIÓN (RRID) Y REMUNERACIÓN REAL TOTAL (RRT). <Numeral modificado por el artículo 18 de la Resolución 101 066 de 2024. El nuevo texto es el siguiente:> La remuneración real individual diaria de la Obligación de Energía Firme respaldada por la planta o unidad de generación i en el día d del mes m (RRIDi,d,m) se calculará de acuerdo con la siguiente fórmula:

Donde:
| Disponibilidad Comercial de la planta i en la hora h del día d del mes m, expresado en kilovatios (kW), sin considerar la indisponibilidad respaldada mediante contratos de respaldo, declaraciones de respaldo o cualquier otro anillo de seguridad diferente a Subasta de Reconfiguración de Venta. Este respaldo debió registrarse previamente ante el ASIC. Para los contratos de mercado secundario cuando el precio de bolsa sea mayor que el precio de escasez de activación que le corresponda y que hace efectiva la obligación, se considerarán las cantidades despachadas de estos tipos de cubrimiento. Cuando no se cumpla la condición anterior, se considerará la cantidad registrada de estos tipos de cubrimiento. |
El cálculo de esta componente se realizará de la siguiente forma:

Donde:
| <Descripción modificada por el artículo 14 de la Resolución 101 69 de 2025. El nuevo texto es el siguiente:> Compras en contratos de respaldo o en declaraciones de respaldo para la planta o unidad de generación i, vigentes en el día d, del mes m. La planta o unidad de generación que brinde este tipo de respaldos CCR deberá tener una Disponibilidad Comercial Normal en el día d del mes m, mayor o igual a la suma de sus OEF y al respaldo asociado para el día d. |
| Demanda Desconectable Voluntaria asociada a la planta i en el día d del mes m. Para los casos en que el precio de bolsa haya superado el precio de escasez de activación que le corresponda y que hace efectiva la obligación en algunos periodos horarios del día d, se considerará la Demanda Desconectable Voluntaria Verificada, DDVVi,d,m, de la planta i. Mientras el precio de bolsa haya sido inferior al precio de escasez de activación en todos los periodos horarios del día d, se considerará la DDV contratada, CDDVi,d,m, de la planta i. | |
| Disponibilidad Comercial Normal calculada según la metodología definida en la Resolución CREG-024 de 1995 para la planta o unidad de generación i en la hora h del día d. | |
| OEF de Venta para cumplir la OEF de la planta o unidad de generación i en el día d del mes m, expresada en kilovatios-hora (kWh). | |
| Obligación Diaria de Energía Firme respaldada por la planta o unidad de generación i en el día d del mes m, expresada en kilovatios-hora (kWh). | |
| Ventas en contratos de respaldo o en declaraciones de respaldo con la planta o unidad de generación i vigentes en el día d del mes m. | |
| PCCi,m: | Precio Promedio Ponderado del Cargo por Confiabilidad de la Obligación de Energía Firme respaldada por la planta o unidad de generación i vigente en el mes m, expresado en dólares por kilovatio-hora (USD/kWh), que se calculará de acuerdo con la siguiente expresión: |

Donde:
| Precio al cual fue asignada la Obligación de Energía Firme asociada a la planta y/o unidad de generación i vigente en el mes m, asignada en la subastas o en el mecanismo que haga sus veces, expresado en dólares por kilovatio hora (USD/kWh). | |
| Obligación Diaria de Energía Firme respaldada por la planta o unidad de generación i en el mes m, asignada en la subastas o el mecanismo que haga sus veces. | |
| s: | Subasta para la asignación de Obligaciones de Energía Firme, mecanismo que haga sus veces o Subasta de Reconfiguración. |
El valor de PCCi,m se convertirá a pesos por kilovatio hora (COP/kWh), utilizando la TRM correspondiente al último día del mes liquidado, publicada por la Superintendencia Financiera.
La Remuneración Real Total Mensual para el mes m (RRTm) se obtendrá aplicando la siguiente fórmula:

Donde:
RRIDi,d,m: Remuneración Real Individual Diaria de la Obligación de Energía Firme respaldada por la planta y/o unidad de generación i en el día d del mes m.
n: Número de días del mes m.
k: Número de plantas y/o unidades de generación.
8.1.2 CÁLCULO DEL COSTO EQUIVALENTE REAL EN ENERGÍA DEL CARGO POR CONFIABILIDAD (CERE). <Numeral modificado por el artículo 8 de la Resolución 49 de 2018. El nuevo texto es el siguiente:> Para efectos de liquidación y facturación de cada uno de los meses del Período de Vigencia de la Obligación se usará el CERE, que será calculado mediante la siguiente expresión:
![]()
Donde:
| CEREm | Costo equivalente real en energía del mes m. |
| RRTm | Remuneración real total mensual en el mes m. |
| GRm | <Variable modificada por el artículo 7 de la Resolución 101 087 de 2025. Aplica a partir del 10 de marzo de 2026. Consultar el texto vigente hasta esta fecha en Legislación Anterior. El nuevo texto es el siguiente:> Generación real en el mes m expresada en kilovatios hora (kWh). Para las plantas no despachadas centralmente se considera exclusivamente sus ventas de energía en bolsa. A la generación real se le descuenta la expresión Exc_Neg definida del literal b) del numeral 2.3. del artículo 24 de la Resolución CREG 174 de 2021 y aquellas que la adicionen, modifiquen o sustituyan |
| DDVVm | Demanda desconectable voluntaria verificada en el mes m. |
| RDVm | Reducción de energía verificada del programa RD en el mes m |
| EXPTIEm | Exportaciones a través del mecanismo de TIE en el mes m. |
El costo equivalente en energía (CEE), expresado en pesos por kilovatio hora (COP/kWh) que será usado para efectos de cotización en la Bolsa, se calculará cada mes mediante la fórmula:

Donde:
| CEEm | : | Costo equivalente en energía del mes m. |
| Pi,m,s | : | Precio al cual fue asignada la Obligación de Energía Firme asociada a la planta y/o unidad de generación i vigente en el mes m, asignada en la subasta s o en el mecanismo que haga sus veces, expresado en dólares por kilovatio hora (USD/kWh). |
| OMERFi,j,m | : | Obligación mensual de energía firme respaldada por la planta o unidad de generación i del generador j en el mes m. |
| ETDPm | : | Energía total demandada proyectada en el SIN para cada mes, expresada en kilovatios hora. |
El valor de Pi,m,s se convertirá a pesos por kilovatio hora (COP/kWh), utilizando TRM correspondiente al día hábil inmediatamente anterior al día de la fijación del CEE, publicada por la Superintendencia Financiera.
El CND fijará el CEE para las ofertas de cada nuevo mes con tres (3) días de anticipación.
8.2 LIQUIDACIÓN Y FACTURACIÓN.
8.2.1 CÁLCULO DEL VALOR A RECAUDAR DE CADA PLANTA Y/O UNIDAD DE GENERACIÓN i (VRi,m). <Numeral modificado por el artículo 8 de la Resolución 101 087 de 2025. Aplica a partir del 10 de marzo de 2026. Consultar el texto vigente hasta esta fecha en Legislación Anterior. El nuevo texto es el siguiente:> Cada planta y/o unidad de generación recaudará a través de sus ventas de energía la cantidad resultante de aplicar la siguiente expresión:
![]()
Donde:
| Generación real de la planta o unidad de generación i en el mes m, expresada en kilovatios hora. Las plantas no despachadas centralmente recaudarán con sus ventas en bolsa | |
| Descuento a la generación real de cada planta o unidad de generación despachada centralmente i, en el mes m, por concepto de exportaciones |
El procedimiento para excluir las exportaciones a través del mecanismo de las TIE y que corresponde al descuento
, el cual aplica a la generación real de cada planta o unidad de generación despachada centralmente, diferente a las importaciones TIE se calcula de la siguiente forma:

Donde:
| Exportaciones a través del mecanismo de TIE expresadas en kilovatios hora, efectuadas en el mes m. |
La variable
será igual a cero (0) para los comercializadores a los cuales se les haya calculado la expresión Exc_Neg definida del literal b) del numeral 2.3. del Artículo 24 de la Resolución CREG 174 de 2021 y aquellas que la adicionen, modifiquen o sustituyan.
8.2.2 CÁLCULO DEL VALOR A DISTRIBUIR DE CADA PLANTA Y/O UNIDAD DE GENERACIÓN I (VDI).
<Numeral modificado por el artículo 14 de la Resolución 203 de 2013. El nuevo texto es el siguiente:> Cada planta y/o unidad de generación i tendrá derecho a recibir la cantidad resultante de aplicar la siguiente expresión:
![]()
Donde:
| n: | Número de días del mes m. |
![]()
Donde:
| DDVVi,d,m: | Demanda desconectable voluntaria verificable asociada a la planta y/o unidad de generación i en el día d del mes m. |
| n: | Número de días del mes m. |
Con el resultado del Valor a Distribuir (VDi), el Valor a recaudar (VRi) y la Demanda Desconectable Voluntaria Verificable (DDVVi) multiplicada por el CERE, se calculará mensualmente para cada planta y/o unidad de generación i, el valor Fi mediante la siguiente expresión:
![]()
Cuando Fi sea positivo, se originará un saldo a favor del agente generador en el SIC. Cuando Fi sea negativo, se producirá por parte del SIC un cobro al agente generador correspondiente.
MODELO DE OPTIMIZACION PARA EL CALCULO DE LA ENFICC.
<Anexo 9 modificado por el artículo 20 de la Resolución 79 de 2006. El nuevo texto es el siguiente:>
9.1 FORMULACIÓN DEL MODELO DE OPTIMIZACIÓN. <Numeral modificado por el artículo 20 de la Resolución 79 de 2006. El nuevo texto es el siguiente: >
Para modelar dentro del problema de optimización los criterios y procedimientos descritos en el Anexo 3 y hacer posible el cálculo de la ENFICC en un solo paso la formulación matemática es la siguiente:
Maximice
ENFICC
Sujeto a:
Restricción de balance hidráulico para plantas autónomas
| Balance hidráulico Autónomo |
Restricción de balance hidráulico para Tratamiento de Cadenas (Modelo de Cadenas)
| Balance hidráulico planta sin bombeo | |
| Balance hidráulico planta con bombeo | |
| Control de bombeo |
Restricción de producción para plantas
| Producción de ENFICC base | |
| Turbinado para plantas sin bombeo | |
| Turbinado plantas con bombeo (Modelo Cadena) |
Restricciones para controlar vertimientos
| Control de nivel máximo del embalse | |
| Control límite máximo variable de vertimiento | |
| Límite mínimo de vertimiento | |
| Control máximo de turbinamiento factible 1 | |
| Energía Disponible Adicional | |
| Control activación variable binaria ui, m |
Restricciones de criterios definidos para plantas con curva guía máxima o volumen de espera
| Control de Activación de Curva Máxima | |
| Control de Activación de Curva Máxima | |
| Control máximo de turbinamiento factible 2 | |
| Control activación variables binarias |
Restricciones para cumplir los criterios definidos para plantas con curva guía mínima
| Control de mínimo técnico | |
| Activación Curva Guía Mínima | |
| Control de turbinamiento a cero |
Restricciones para Garantizar convergencia por Turbinamientos Mínimos
| Control de mínimo técnico | |
| Restricción de relajación turbinado mínimo | |
| Control activación variable de relajación |
Límites:
![]()
![]()

![]()
donde:
Si tiene curva guía mínima
Si no tiene curva guía mínima
![]()
| Variable de nivel de embalse en Mm3 en el mes m para la planta i | |
| Variable de nivel de turbinamiento de la planta en Mm3 en el mes m para la planta i | |
| Variable de nivel de vertimiento de la planta en Mm3 en el mes m para la planta i | |
| Variable del nivel de turbinamiento correspondiente a la ENFICC base para la planta i | |
| Variable del nivel de turbinamiento correspondiente a Energía Disponible Adicional para la planta i | |
| Variable de relajación de la restricción de turbinamiento mínimo para la planta i | |
| Variable de nivel de turbinamiento (bombeo más turbinamiento aguas abajo) de la planta i en Millones de metros cúbicos (Mm3 o hm3) en el mes m | |
| Variable de nivel de bombeo de la planta i Mm3 en el mes m | |
| Variable de nivel de bombeo recibida por la planta i proveniente de la planta j en Mm3 en el mes m | |
| Conjunto de embalses asociados aguas arriba j que turbinan, vierten o bombean en la primera planta de la cadena i (sólo para cálculo de ENFICC de cadenas) | |
| Variable binaria (1/0) que controla que sólo se genere por encima de la ENFICC (Energía Disponible Adicional) en los meses (m) en que el embalse este al máximo de su capacidad. | |
| Variable binaria (1/0) que controla que sólo se sólo se vierta en los meses (m) en que el embalse este por encima del máximo de su capacidad. | |
| Variables binarias (1/0) que controlan la operación de la planta para cuando el volumen del embalse supera el nivel de la curva guía máxima. | |
| Variable binaria (1/0) que controla la activación de la relajación de la restricción de turbinamiento mínimo | |
| Variable binaria (1/0) para el manejo de la curva mínima técnica | |
| Dato de caudal aportado a la planta en el mes m en Mm3. Para plantas en cadena que usan el Modelo Autónomo, se debe sumar como aporte el valor turbinado y/o vertido de las plantas asociadas aguas arriba. | |
| Dato del factor medio de conversión de la planta i | |
| Para el mes m = 1, corresponde al dato de entrada del nivel inicial del embalse. Para m > 1, corresponde a la Variable que indica el nivel del embalse para el mes m-1 | |
| Índice de Indisponibilidad Histórica Forzada de la planta | |
| Capacidad Efectiva Neta de la planta i en MW | |
| Número de horas del mes m | |
| Dato del valor del nivel máximo de la curva guía o volumen de espera del embalse en Mm3 en el mes m | |
| Dato del valor del nivel mínimo de la curva guía mínima del embalse en Mm3 en el mes m | |
| Capacidad máxima del embalse en Mm3 | |
| Mínimo nivel del embalse en Mm3 |
9.2 PARÁMETROS DE CONVERGENCIA. <Numeral modificado por el artículo 20 de la Resolución 79 de 2006. El nuevo texto es el siguiente: >
En el caso de que el problema de optimización incluya variables binarias, requiere ser resuelto usando técnicas de programación entera mixta (MIP), para lo cual se considerará un parámetro de convergencia absoluta de 1x10-4.
9.3 RESULTADOS. <Numeral modificado por el artículo 20 de la Resolución 79 de 2006. El nuevo texto es el siguiente: >
Los resultados del problema de optimización se expresarán en números enteros y en kilovatios hora/día (kWh/día).
REGLAMENTO DE LA SUBASTA PARA LA ASIGNACIÓN DE OBLIGACIONES DE ENERGÍA FIRME.
<Anexo derogado por el artículo 48 de la Resolución 101-24 de 2022>
REPORTE DE INFORMACIÓN.
1.1 REPORTE DE INFORMACIÓN SOBRE PLANTAS O UNIDADES DE GENERACIÓN NUEVAS. <Anexo derogado por el artículo 48 de la Resolución 101-24 de 2022> <Numeral modificado por el Anexo -artículo 6 - de la Resolución 2 de 2019. El nuevo texto es el siguiente:>
Las personas que se encuentren gestionando o adelantando proyectos de plantas o unidades de generación nuevas deberán remitir a la CREG la siguiente información, en los plazos que aquí se señalan y en la forma que para el efecto establezca la Dirección Ejecutiva mediante circular.
1.1.1. DECLARACIÓN DE INTERÉS. <Anexo derogado por el artículo 48 de la Resolución 101-24 de 2022> <Numeral modificado por el Anexo -artículo 6 - de la Resolución 2 de 2019. El nuevo texto es el siguiente:>
Documento suscrito por el representante legal, mediante el cual se informa a la CREG el interés de participar en la Subasta para la Asignación de Obligaciones de Energía Firme. Esta declaración se deberá reportar a la CREG dentro de los plazos establecidos en la resolución de que trata el artículo 18 de la Resolución CREG 071 de 2006 y deberá contener:
a) Identificación del agente.
b) Identificación del proyecto.
c) Período de Vigencia de la Obligación para el cual se tiene interés, expresado en años.
d) Fecha estimada de entrada en operación comercial de la planta o unidad de generación.
e) Estimación de la capacidad efectiva neta de la planta o unidad de generación y su ENFICC.
La Dirección Ejecutiva de la CREG mediante circular informará el número de proyectos inscritos, en la fecha que para tal fin se establezca en el cronograma de que trata el artículo 18 de la Resolución CREG 071 de 2006. La información recibida con la Declaración de Interés, se publicará posteriormente con los parámetros que declaren los agentes.
1.1.2 DECLARACIÓN DE PARÁMETROS. <Anexo derogado por el artículo 48 de la Resolución 101-24 de 2022> <Numeral modificado por el Anexo -artículo 6 - de la Resolución 2 de 2019. El nuevo texto es el siguiente:>
La declaración de los parámetros para la determinación de la ENFICC y la información requerida para participar en la Subasta para la asignación de Obligaciones de Energía Firme deberá ser remitida en los plazos establecidos en la resolución de que trata el artículo 18 de la Resolución CREG 071 de 2006.
Los agentes que van a declarar fraccionamiento de plantas nuevas para la Subasta deberán reportar los parámetros y ENFICC del total de cada una de las posibles combinaciones de fracciones, en los mismos plazos señalados en este numeral.
1.2 REPORTE DE INFORMACIÓN SOBRE PLANTAS O UNIDADES DE GENERACIÓN EXISTENTES. <Anexo derogado por el artículo 48 de la Resolución 101-24 de 2022> <Numeral modificado por el Anexo -artículo 6 - de la Resolución 2 de 2019. El nuevo texto es el siguiente:>
Los agentes generadores que representen plantas o unidades de generación existentes en el Mercado de Energía Mayorista deberán remitir a la CREG la siguiente información en los plazos que aquí se señalan y en la forma que para el efecto establezca la Dirección Ejecutiva mediante circular.
1.2.1. RETIROS TEMPORALES. <Anexo derogado por el artículo 48 de la Resolución 101-24 de 2022> <Numeral modificado por el Anexo -artículo 6 - de la Resolución 2 de 2019. El nuevo texto es el siguiente:>
Los agentes generadores que representen comercialmente plantas o unidades de generación existentes y que planeen retirarlas temporalmente de la Subasta para la asignación de Obligaciones de Energía Firme deberán informar a la CREG, dentro de los plazos que esta defina, mediante comunicación suscrita por el representante legal debidamente autorizado, su decisión de retiro temporal. Con dicha comunicación deberán remitir:
a) Una función de oferta de ENFICC, para cada una de las plantas o unidades de generación expresamente identificadas, en la cual se determine el retiro temporal de cada planta o unidad para los casos en que el precio de la Subasta sea menor a 0.8 veces el CE. La función de oferta de ENFICC reportada no podrá ser modificada durante el proceso de Subasta.
b) Período de Vigencia para el cual se hace efectivo el retiro temporal de la planta o unidad de generación.
Cuando el agente opte por el retiro temporal de una planta o unidad de generación deberá remitir la totalidad de la información requerida en la regulación vigente, en la oportunidad aquí señalada.
1.2.2. RETIROS DEFINITIVOS. <Anexo derogado por el artículo 48 de la Resolución 101-24 de 2022> <Numeral modificado por el Anexo -artículo 6 - de la Resolución 2 de 2019. El nuevo texto es el siguiente:>
Los agentes generadores que representen comercialmente plantas o unidades de generación existentes y que planeen retirarlas definitivamente de la Subasta para la asignación de Obligaciones de Energía Firme deberán informar a la CREG, dentro de los plazos que esta defina, mediante comunicación suscrita por el representante legal debidamente autorizado, su decisión de retiro definitivo.
La información sobre retiros solo será pública una vez finalizada la Subasta. Por tal razón, el Administrador de la Subasta y los agentes no podrán divulgar esta información antes de dicha oportunidad. La divulgación de esta información antes de finalizada la Subasta, independientemente de que quien la haga participe o no en la Subasta, será considerada como un acto contrario a la regulación que afecta la debida realización de la Subasta.
1.2.3. CONFIRMACIÓN DE LA ENFICC. <Anexo derogado por el artículo 48 de la Resolución 101-24 de 2022> <Numeral modificado por el Anexo -artículo 6 - de la Resolución 2 de 2019. El nuevo texto es el siguiente:>
Todos los agentes que representan comercialmente plantas o unidades de generación que hayan declarado ENFICC de conformidad con la regulación vigente, deberán remitir a la CREG, dentro de los plazos que esta defina, una comunicación suscrita por el representante legal en la cual confirmen la ENFICC asociada a cada una de las plantas o unidades de generación o informen posibles modificaciones a la misma por causas expresamente previstas en la regulación.
Lo anterior sin perjuicio de las fechas que para la declaración de ENFICC establezca la CREG en la Resolución de que trata el artículo 18 de la Resolución CREG 071 de 2006.
1.3. REPORTE DE INFORMACIÓN POR PARTE DE GENERADORES CON PLANTAS O UNIDADES DE GENERACIÓN QUE DESEEN PRESENTAR OBRAS QUE NO SE HAN INICIADO A LA FECHA DE LA SUBASTA, PARA CLASIFICAR Y PARTICIPAR COMO PLANTAS ESPECIALES CON CIERRES DE CICLO O POR REPOTENCIACIÓN, O COMO PLANTAS EXISTENTES CON OBRAS. <Anexo derogado por el artículo 48 de la Resolución 101-24 de 2022> <Numeral modificado por el Anexo -artículo 6 - de la Resolución 2 de 2019. El nuevo texto es el siguiente:>
Los agentes generadores con plantas existentes que deseen adelantar obras que no se han iniciado a la fecha de la Subasta, para clasificar y participar como plantas especiales con cierres de ciclos o por repotenciación, o como planta existente con obras, deberán remitir a la CREG la siguiente información, en los plazos que aquí se señalan y en la forma que para el efecto establezca la Dirección Ejecutiva mediante circular.
1.3.1. DECLARACIÓN DE INTERÉS. <Anexo derogado por el artículo 48 de la Resolución 101-24 de 2022> <Numeral modificado por el Anexo -artículo 6 - de la Resolución 2 de 2019. El nuevo texto es el siguiente:>
Documento suscrito por el representante legal mediante el cual se informa a la CREG el interés de participar en la Subasta para la asignación de Obligaciones de Energía Firme. Esta declaración deberá ser remitida en los plazos que para tal fin establezca la resolución de que trata el artículo 18 de la Resolución CREG 071 de 2006 y deberá contener:
a) Identificación del Agente.
b) Identificación del Proyecto.
c) Período de Vigencia de la Obligación para el cual se tiene interés, indicando fecha
de inicio (mes, año) y fecha de finalización (mes, año).
d) Fecha estimada de entrada en operación comercial de la planta o unidad de generación con la obra o de las obras que incrementan la ENFICC.
e) Estimación de la capacidad efectiva neta de la planta o unidad de generación, diferenciando la capacidad actual y lo que se agregaría con la obra. Igualmente se debe entregar una estimación de la ENFICC, diferenciando la ENFICC actual y la que se agregaría con la obra.
La Dirección Ejecutiva de la CREG mediante circular informará el número de proyectos inscritos, en la fecha que para tal fin se establezca en el cronograma de que trata el artículo 18 de la Resolución CREG 071 de 2006. La demás información recibida con la Declaración de Interés, se publicará posteriormente con los parámetros que declaren los agentes.
1.3.2. DECLARACIÓN DE PARÁMETROS. <Anexo derogado por el artículo 48 de la Resolución 101-24 de 2022> <Numeral modificado por el Anexo -artículo 6 - de la Resolución 2 de 2019. El nuevo texto es el siguiente:>
La declaración de los parámetros para la determinación de la ENFICC y la información requerida para participar en la Subasta de Obligaciones de Energía Firme deberá ser remitida en los plazos que para tal fin establezca la resolución de que trata el artículo 18 de la Resolución CREG 071 de 2006.
1.3.3. PERÍODO DE VIGENCIA DE LA OBLIGACIÓN. <Anexo derogado por el artículo 48 de la Resolución 101-24 de 2022> <Numeral modificado por el Anexo -artículo 6 - de la Resolución 2 de 2019. El nuevo texto es el siguiente:>
El Período de Vigencia de la Obligación al que podrá optar el agente que la respalde con plantas o unidades especiales, existentes con obras o existente, será el que se obtenga de aplicar las siguientes reglas:
a) Si al cierre de la subasta, la ENFICC de la planta o unidad incluye la ENFICC adicional de la obra a ejecutar, el agente podrá optar por un Período de Vigencia de la Obligación así:
i) Hasta por diez (10) años, si es planta especial con cierre de ciclo o por repotenciación.
ii) Hasta por cinco (5) años, si es planta existente con obras.
b) Si al cierre de la subasta, la ENFICC de la planta es igual a la ENFICC de la planta existente, el Período de Vigencia de la Obligación será de un (1) año.
1.4. PROHIBICIÓN DE MODIFICAR LA INFORMACIÓN DECLARADA PARA PARTICIPAR EN UNA SUBASTA. <Anexo derogado por el artículo 48 de la Resolución 101-24 de 2022> <Numeral modificado por el Anexo -artículo 6 - de la Resolución 2 de 2019. El nuevo texto es el siguiente:>
Vencido el plazo previsto para la realización de las actividades establecidas en la resolución de que trata el artículo 18 de la Resolución CREG 071 de 2006, no se podrá modificar la información declarada para participar en la respectiva Subasta.
RESPONSABILIDADES Y DEBERES.
2.1. RESPONSABILIDADES Y DEBERES DEL ADMINISTRADOR DE LA SUBASTA. <Anexo derogado por el artículo 48 de la Resolución 101-24 de 2022> <Numeral modificado por el Anexo -artículo 6 - de la Resolución 2 de 2019. El nuevo texto es el siguiente:>
El Administrador de la Subasta para la asignación de Obligaciones de Energía Firme será el ASIC y tendrá entre otras, las siguientes responsabilidades y deberes:
a) Establecer, operar y mantener el sistema de recepción de ofertas, el cual deberá estar en operación a más tardar diez (10) días calendario antes de la fecha programada para la realización de la Subasta.
b) Conservar registros históricos, en medios electrónicos, de las funciones de oferta de ENFICC registradas en el sistema de recepción de ofertas y la función de demanda para el desarrollo de la Subasta, de conformidad con las disposiciones legales vigentes en materia de conservación de documentos.
c) Ofrecer e impartir la capacitación y asistencia necesaria a todos los agentes en el manejo y operación del sistema de recepción de ofertas, de conformidad con las características propias de cada uno.
d) Reportar a las autoridades competentes las actuaciones irregulares que se presenten en el proceso de subasta, sin perjuicio de las funciones atribuidas al Auditor.
e) Contratar el Auditor de la Subasta para la asignación de Obligaciones de Energía Firme, proceso que debe estar finalizado a más tardar treinta (30) días calendario antes de la fecha programada para la realización de la subasta.
f) Informar con (2) días hábiles de anticipación, el periodo de recepción de ofertas. Se debe indicar la hora de inicio y cierre de este periodo y debe ser durante el mismo día en el que se realiza la Subasta. El sistema de recepción de ofertas deberá estar habilitado para el acceso de los agentes habilitados durante este periodo.
g) Ejecutar la Subasta de asignación de Obligaciones de Energía Firme, conforme a lo dispuesto en este reglamento.
h) Emitir los certificados de asignación de Obligaciones de Energía Firme establecidos en la regulación vigente, en los cuales además se hará constar expresamente que dichas obligaciones tienen la naturaleza de una transacción de energía firme realizada en el Mercado de Energía Mayorista.
i) Suspender la Subasta cuando sea requerido por el Auditor de conformidad con las disposiciones contenidas en el presente Reglamento.
j) Establecer los canales formales de comunicación entre los agentes y el Administrador durante el periodo de recepción de ofertas. Y realizar todas las comunicaciones durante el periodo de recepción de ofertas con los participantes de la Subasta a través de los mismos.
k) El Administrador de la Subasta podrá elaborar los reglamentos que considere necesarios para llevar a cabo las actividades encomendadas, los cuales deberán ser puestos a consideración de la CREG para su aprobación a más tardar treinta (30) días calendario antes de la realización de la subasta. En especial deberá establecer la estructura computacional y de comunicaciones requerida por los agentes y que sean necesarias para su acceso al sistema de recepción de ofertas.
l) Todo valor agregado dado por el Administrador a la información resultante del proceso de subasta será de propiedad y dominio exclusivo del Administrador. En consecuencia, el Administrador podrá comercializar la información por los medios que considere conveniente. Lo anterior sin perjuicio de las disposiciones contenidas en el presente Reglamento.
m) Una vez finalizada la Subasta, en el término de un (1) día el Administrador de la Subasta publicará al público en general, los resultados de la Subasta, es decir, el precio de cierre, así como las Obligaciones de Energía en Firme asignadas. De igual forma, deberá publicar la oferta de la(s) planta(s) que quedaron asignadas y que presentaron un precio de oferta igual al precio de cierre de la Subasta.
2.2. RESPONSABILIDADES Y DEBERES DEL AUDITOR DE LA SUBASTA. <Anexo derogado por el artículo 48 de la Resolución 101-24 de 2022> <Numeral modificado por el Anexo -artículo 6 - de la Resolución 2 de 2019. El nuevo texto es el siguiente:>
El Auditor de la Subasta será una persona natural o jurídica con reconocida experiencia en procesos de auditoría, quien tendrá a su cargo las siguientes responsabilidades y deberes:
a) Verificar la correcta aplicación de la regulación vigente para el desarrollo de la Subasta.
b) Verificar que las comunicaciones entre los agentes participantes y el Administrador de la Subasta durante el periodo de recepción de ofertas se realicen única y exclusivamente mediante los canales formales de comunicación establecidos por este último.
c) Verificar que durante la Subasta se sigan expresamente los pasos y reglas establecidos en este reglamento.
d) Solicitar al Administrador la suspensión de la Subasta cuando considere que no se está dando cumplimiento a las disposiciones contenidas en la regulación vigente.
e) Remitir a la CREG, dentro de los cinco (5) días hábiles siguientes a la finalización de la subasta, un informe en el cual se establezca, sin ambigüedades, el cumplimiento o no de la regulación vigente en dicho proceso.
f) Para los casos en los cuales el Auditor establezca que en la Subasta respectiva no se dio cumplimiento a la normatividad vigente, el proceso adelantado no producirá efectos, y la CREG procederá a programar la Subasta nuevamente, sin perjuicio de las acciones penales y/o civiles y las actuaciones administrativas a que haya lugar contra las personas hayan incumplido la normatividad vigente.
2.3. OBLIGACIONES DE LOS AGENTES EN RELACIÓN CON EL USO DEL SISTEMA DE RECEPCIÓN DE OFERTAS. <Anexo derogado por el artículo 48 de la Resolución 101-24 de 2022> <Numeral modificado por el Anexo -artículo 6 - de la Resolución 2 de 2019. El nuevo texto es el siguiente:>
Los agentes participantes de la Subasta para la asignación de las Obligaciones de Energía Firme deberán cumplir las siguientes obligaciones relacionadas con la utilización del sistema de recepción de ofertas:
a) Tener a su disposición la estructura operativa y el equipo computacional y de comunicaciones apropiado de acuerdo con las especificaciones operativas y técnicas establecidas por el Administrador de la Subasta para acceder al sistema de recepción de ofertas.
b) Asistir a las capacitaciones que el Administrador de la Subasta imparta en materia de manejo y operación del sistema de recepción de ofertas.
c) Mantener bajo su exclusiva responsabilidad y estrictos estándares de seguridad y confidencialidad, las claves de acceso al sistema de recepción de ofertas.
d) Durante el periodo de recepción de ofertas, el agente deberá comunicarse con el Administrador de la Subasta solamente mediante los canales formales que este último disponga.
e) Abstenerse de realizar actos de competencia desleal, contrarios a la libre competencia o contrarios a legislación o a la regulación vigente o que afecten la transparencia del proceso o la adecuada formación de precios.
f) Informar de manera inmediata al Administrador cualquier error o falla del sistema de recepción de ofertas.
SUBASTA PARA LA ASIGNACIÓN DE OBLIGACIONES DE ENERGÍA FIRME.
3.1. TIPO DE SUBASTA Y PROCEDIMIENTO GENERAL. <Anexo derogado por el artículo 48 de la Resolución 101-24 de 2022> <Numeral modificado por el Anexo -artículo 6 - de la Resolución 2 de 2019. El nuevo texto es el siguiente:>
La subasta para la asignación de Obligaciones de Energía Firme será de sobre cerrado y de precio único. Esta Subasta seguirá el siguiente procedimiento general:
a) La CREG remitirá los parámetros para la construcción de la función de demanda a la que hace referencia el numeral 3.2 de este anexo, en el día establecido en la resolución de que trata el artículo 18 de la Resolución CREG 071 de 2006.
b) Se da inicio al periodo de recepción de ofertas, durante el cual los agentes habilitados para participar en la Subasta podrán ingresar al sistema de recepción de ofertas con sus respectivas claves para remitir su función de oferta de ENFICC.
c) Finalizado el periodo para la recepción de ofertas, el Administrador de la Subasta dará inicio a la Subasta.
d) El Administrador de la Subasta procede a la determinación del precio de cierre de la Subasta y las cantidades de Obligaciones de Energía Firme asignadas a cada planta o unidad de generación, de acuerdo con función de oferta agregada y la función de demanda, así como las reglas que contiene este reglamento.
e) El Administrador de la Subasta informa los resultados del proceso de Subasta, en el día establecido en la resolución de que trata el artículo 18 de la Resolución CREG 071 de 2006.
3.2. FUNCIÓN DE DEMANDA DE LA SUBASTA PARA LA ASIGNACIÓN DE OBLIGACIONES DE ENERGÍA FIRME. <Anexo derogado por el artículo 48 de la Resolución 101-24 de 2022> <Numeral modificado por el Anexo -artículo 6 - de la Resolución 2 de 2019. El nuevo texto es el siguiente:>
La función de demanda de la Subasta indica la cantidad de energía firme que se propone asignar mediante Obligaciones de Energía Firme para cada nivel de precio, hasta el precio máximo de la Subasta.
La función de demanda estará descrita por una sucesión de cuatro (4) segmentos rectos entre los puntos O, C1, C2, C3 y C4, así:
| Segmento OC1 | Entre los puntos O=(0,PMS) y C1=(M1, PMS) |
| Segmento C1C2 | Entre los puntos C1=(M1,PMS) y C2=(M2, P2) |
| Segmento C2C3 | Entre los puntos C2=(M2,P2) y C3=(M3, P3) |
| Segmento C3C4 | Entre los puntos C3=(M3,P3) y C4=(M4, PMC) |
A partir del punto C4, es decir, para cantidades mayores a M4 la demanda es horizontal con precio PMC.
Donde:
| PMS: | Precio máximo de la Subasta en dólares por kilovatio hora (USD-kWh) |
| M1: | Cantidad mínima de energía firme a comprar en kilovatios hora día (kWh-día). |
| M2, M3, M4: | Cantidades de demanda en kilovatios hora día (kWh-día) |
| P2, P3: | Precios a definir por la CREG en dólares por kilovatio hora (USD-kWh) |
| PMC: | Precio mínimo de compra de la Subasta en dólares por kilovatio hora (USD-kWh) |
Todos los valores de los parámetros para la construcción de la función de demanda serán informados por la CREG al Administrador de la Subasta, de acuerdo con el cronograma de la resolución a la que hace referencia el artículo 18 de la Resolución CREG 071 de 2006.
Las variables que hacen referencia a cantidades de energía en firme de la función de demanda que se utilizará en la Subasta, es decir, M1, M2, M3 y M4 deberán contemplar los descuentos realizados por el ASIC según la regulación vigente.
3.3. SISTEMA DE RECEPCIÓN DE OFERTAS. <Anexo derogado por el artículo 48 de la Resolución 101-24 de 2022> <Numeral modificado por el Anexo -artículo 6 - de la Resolución 2 de 2019. El nuevo texto es el siguiente:>
La plataforma tecnológica requerida para la recepción de ofertas que serán utilizadas para la Subasta para la asignación de Obligaciones de Energía Firme será implementada por el Administrador de la Subasta y deberá cumplir con los siguientes requisitos mínimos:
a) Debe ser una plataforma basada en protocolos de Internet, que permita el acceso a cada uno de los agentes habilitados para participar en la Subasta para la asignación de Obligaciones de Energía Firme desde el sitio en el territorio nacional donde estos dispongan de la infraestructura de computación y comunicaciones necesarias para tal fin.
b) Las bases de datos y servidores del sistema de recepción de ofertas deberán permanecer en el sitio que para tal fin establezca el Administrador.
c) Debe garantizar la autenticación de los usuarios que acceden al sistema de recepción de ofertas.
d) Debe cumplir las exigencias establecidas en la legislación que rige en materia de comercio electrónico.
e) Debe tener un sistema de manejo de información confidencial.
f) Debe incluir sistemas de respaldo que garanticen la operación continua durante el periodo de recepción de ofertas.
g) El sistema de recepción de ofertas deberá estar dotado de un registro de todos los procesos realizados en él, incluyendo el registro de ingreso de cada uno de los usuarios. Asimismo, deberá registrar la hora, minuto, segundo y centésima de segundo en el que el usuario ingresa la función de oferta de ENFICC.
h) El sistema de recepción de ofertas deberá verificar de manera automática que la función de oferta de ENFICC remitida por cada uno de los agentes cumpla con las condiciones establecidas en el presente reglamento.
i) El Administrador de la Subasta deberá realizar una auditoría operativa y de sistemas para verificar el adecuado funcionamiento del sistema de recepción de ofertas y certificar su correcta operación frente a las especificaciones técnicas, operativas y de seguridad, respecto del programa y de los equipos. Igualmente, deberá remitir el certificado de dicha auditoría a la CREG antes de la fecha de inicio de la Subasta.
j) El Administrador de la Subasta no será responsable por la suspensión o interrupción de los servicios, ni por las deficiencias mecánicas, electrónicas o de software que se observen en la prestación del servicio, derivadas de las limitaciones tecno lógicas propias del sistema computacional, ni por cualquier otro hecho que escape al control del Administrador, como caso fortuito o fuerza mayor. No obstante, es obligación del Administrador contar con los sistemas de respaldo que considere necesarios para el correcto funcionamiento del sistema de recepción de ofertas.
k) Aquellos agentes cuyos sistemas computacionales o de comunicaciones no cumplan con los requisitos establecidos solo podrán entregar sus funciones de oferta de ENFICC haciendo uso de las estaciones de trabajo habilitadas para tal fin en las oficinas del Administrador. Estas estaciones de trabajo deberán estar físicamente aisladas de tal forma que se impida cualquier comunicación entre quienes estén haciendo uso de ellas.
3.4. MECANISMOS DE CONTINGENCIA. <Anexo derogado por el artículo 48 de la Resolución 101-24 de 2022> <Numeral modificado por el Anexo -artículo 6 - de la Resolución 2 de 2019. El nuevo texto es el siguiente:>
Cuando el sistema de recepción de ofertas se suspenda por las causas señaladas a continuación, se procederá como se indica para cada una de ellas.
3.4.1. SUSPENSIÓN TOTAL DE LA OPERACIÓN DEL SISTEMA DE RECEPCIÓN DE OFERTAS. <Anexo derogado por el artículo 48 de la Resolución 101-24 de 2022> <Numeral modificado por el Anexo -artículo 6 - de la Resolución 2 de 2019. El nuevo texto es el siguiente:>
Si el sistema de recepción de ofertas interrumpe su operación por fallas técnicas durante el transcurso del periodo de recepción de ofertas, afectando total o parcialmente el servicio se procederá como sigue:
a) Una vez restablecida la operación del sistema de recepción de ofertas, antes del plazo de cierre de recepción de ofertas, el Administrador procederá a informarlo a los participantes.
b) Una vez restablecida la operación del sistema de recepción de ofertas y si superó el plazo de cierre de recepción de ofertas, el Administrador procederá a informarlo a los participantes, y se amplía el plazo de recepción de ofertas por un lapso de tiempo igual, en horas hábiles, al que estuvo suspendido, el sistema de recepción de ofertas. En cualquier caso, el plazo adicional no deberá ser menor a una (1) hora.
3.4.2. SUSPENSIÓN PARCIAL DE LA OPERACIÓN DEL SISTEMA DE RECEPCIÓN DE OFERTAS. <Anexo derogado por el artículo 48 de la Resolución 101-24 de 2022> <Numeral modificado por el Anexo -artículo 6 - de la Resolución 2 de 2019. El nuevo texto es el siguiente:>
Se entenderá como suspensión parcial de la operación del sistema de recepción de ofertas a la falla asociada a las estaciones de trabajo de cualquiera de los participantes o de sus sistemas de comunicación.
Cuando se presente la suspensión parcial de la operación del sistema de recepción de ofertas, el participante cuya estación de trabajo o sistema de información falló deberá remitir vía alterna establecida por el Administrador, la función de oferta de ENFICC cumpliendo con la reglamentación vigente. Dichas funciones de ofertas de ENFICC serán ingresadas al sistema de recepción de ofertas, según la alternativa y formato establecidos por el Administrador.
3.5. CLAVES DE ACCESO AL SISTEMA DE RECEPCIÓN DE OFERTAS. <Anexo derogado por el artículo 48 de la Resolución 101-24 de 2022> <Numeral modificado por el Anexo -artículo 6 - de la Resolución 2 de 2019. El nuevo texto es el siguiente:>
El Administrador de la Subasta entregará, al representante legal de cada uno de los agentes habilitados para participar en la Subasta de Obligaciones de Energía Firme, una clave de acceso al sistema de recepción de ofertas.
El agente será el único responsable por el uso que sus operadores, funcionarios o cualquier persona hagan de la clave de acceso y deberá velar porque la misma se mantenga y use bajo estricta reserva y seguridad. El Administrador de la Subasta podrá establecer el uso de firma digital que sustituya las claves de que tratan el presente numeral.
3.6. PERIODO DE RECEPCIÓN DE OFERTAS. <Anexo derogado por el artículo 48 de la Resolución 101-24 de 2022> <Numeral modificado por el Anexo -artículo 6 - de la Resolución 2 de 2019. El nuevo texto es el siguiente:>
El periodo de recepción de ofertas corresponde al tiempo comprendido entre la hora de apertura y cierre de recepción de ofertas, el cual deberá ser informado por el Administrador de la Subasta, al menos dos (2) días hábiles antes de la realización de la Subasta.
La hora de apertura y cierre para la recepción de ofertas deberá estar comprendido como máximo entre las 8:00 horas y hasta las 14:00 horas del mismo día en que se realice la Subasta para la asignación de Obligaciones de Energía Firme, según lo establecido en el cronograma de la resolución a la que hace referencia el artículo 18 de la Resolución CREG 071 de 2006. Para todos los efectos se considerará la hora legal para Colombia.
3.7. FUNCIÓN DE OFERTA DE ENFICC. <Anexo derogado por el artículo 48 de la Resolución 101-24 de 2022> <Numeral modificado por el Anexo -artículo 6 - de la Resolución 2 de 2019. El nuevo texto es el siguiente:>
Para la Subasta, los agentes habilitados para participar en ella deberán enviar una función de oferta de ENFICC que contenga la siguiente información:
a) Precio y cantidad de energía firme ENFICC que están dispuestos a comprometer.
b) Nombre de la planta o unidad de generación que respaldará la Obligación de Energía Firme.
La cantidad de energía firme ENFICC asociada a cada uno de los bloques ofertados deberá estar expresada en kilovatios hora día (kWh día) que deben ser iguales a la ENFICC de cada planta o unidad de generación que represente el agente generador, en número entero.
En caso de plantas nuevas o plantas de las que trata el numeral 3.7.2 de este anexo, para las cuales se permite el fraccionamiento, el bloque corresponde a la ENFICC de cada fracción.
El precio de la energía firme ofertada deberá ser único para cada bloque ofertado y debe estar expresado en dólares americanos por megavatio hora (USD/MWh), con una cifra decimal.
En caso de que las fracciones correspondan a una planta que tiene unidades interdependientes, tal como ocurre con una planta de ciclo combinado que el cierre de ciclo depende del ciclo simple, y que dichas unidades queden asignadas con OEF, el cumplimiento de dichas OEF se hará verificando la planta completa.
Las plantas nuevas o especiales que recibieron asignaciones previas, que al momento de efectuar la subasta estén en construcción, y que inician su período de vigencia de OEF para el período a subastar o antes de este, podrán participar en la subasta con cantidad de energía firme no comprometida y su remuneración será el mínimo entre el precio de cierre de la subasta y el precio de la última asignación que tenga anterior a esta subasta.
Para dicha energía no comprometida, el período de asignación será el mínimo entre diez (10) años y los años restantes para cumplir la asignación que se le hizo asignación la primera vez, contados a partir del período a subastar.
Las plantas existentes con obras que recibieron asignaciones previas, que al momento de efectuar la subasta estén en construcción, y que inician su periodo de vigencia de OEF para el período a subastar o antes de este, podrán participar en la subasta con cantidad de energía firme no comprometida y su remuneración será el mínimo entre el precio de cierre de la subasta y el precio de la última asignación que tenga anterior a esta subasta. Para dicha energía no comprometida, el período de asignación será de un (1) año.
3.7.1. FUNCIONES DE OFERTA DE ENFICC PARA AGENTES CON PLANTAS O UNIDADES DE GENERACIÓN EXISTENTES Y EXISTENTES CON OBRAS Y ESPECIALES QUE INICIARON SUS OBRAS ANTES DE LA SUBASTA. <Anexo derogado por el artículo 48 de la Resolución 101-24 de 2022> <Numeral modificado por el Anexo -artículo 6 - de la Resolución 2 de 2019. El nuevo texto es el siguiente:>
Las funciones de oferta de ENFICC que sean respaldadas con plantas o unidades de generación existentes y existentes con obra y especiales que iniciaron sus obras antes de la subasta deberán cumplir con los siguientes requisitos:
a) La cantidad de energía firme ofertada debe ser igual a la ENFICC declarada para la planta o unidad de generación que la respalda, para el rango de precios mayores o iguales al precio establecido para los retiros temporales.
b) Para precios inferiores al precio establecido para los retiros temporales, el agente podrá remitir una función de oferta de ENFICC presentada con la comunicación de retiro temporal.
3.7.2. FUNCIONES DE OFERTA DE ENFICC PARA AGENTES CON PLANTAS O UNIDADES DE GENERACIÓN EXISTENTES QUE DESEEN PRESENTAR OBRAS ADICIONALES QUE NO SE HAN INICIADO A LA FECHA DE LA SUBASTA, PARA CLASIFICAR Y PARTICIPAR COMO PLANTAS ESPECIALES CON CIERRE DE CICLO O POR REPOTENCIACIÓN, O COMO PLANTAS EXISTENTES CON OBRAS. <Anexo derogado por el artículo 48 de la Resolución 101-24 de 2022> <Numeral modificado por el Anexo -artículo 6 - de la Resolución 2 de 2019. El nuevo texto es el siguiente:>
Las funciones de oferta de ENFICC que sean respaldadas con plantas o unidades de generación que deseen presentar obras adicionales cuya construcción no ha iniciado a la fecha de la subasta, para clasificar y participar como plantas especiales con cierre de ciclo o por repotenciación, o como plantas existentes con obras deberán cumplir con los siguientes requisitos:
a) La cantidad de energía firme ofertada puede ser como máximo la ENFICC correspondiente a la obra adicional, para el rango de precios superiores o igual al precio establecido para los retiros temporales.
b) Para precios inferiores al precio establecido para los retiros temporales, la cantidad de energía ofertada corresponderá a la función de oferta de ENFICC presentada para la planta existente con la comunicación de retiro temporal, si es del caso.
En caso de que se retire la ENFICC de la obra adicional, la planta o unidad de generación mantendrá la clasificación que le corresponda sin considerar dicha obra.
3.8. INADMISIÓN Y CORRECCIÓN DE OFERTAS. <Anexo derogado por el artículo 48 de la Resolución 101-24 de 2022> <Numeral modificado por el Anexo -artículo 6 - de la Resolución 2 de 2019. El nuevo texto es el siguiente:>
Cuando un agente habilitado para participar en la Subasta de Obligaciones de Energía Firme envíe al sistema de recepción de ofertas una función de oferta de ENFICC que no cumpla con las condiciones establecidas en el reglamento, esta será inadmitida automáticamente por el sistema. Dicha situación deberá ser informada inmediatamente al agente respectivo con el fin de que realice las correcciones necesarias.
Para los casos en los cuales el agente no envíe una función de oferta de ENFICC que cumpla con las condiciones establecidas en el reglamento, antes del cierre de recepción de ofertas, se retira la ENFICC representada por el agente.
3.9. INICIO DE LA SUBASTA. <Anexo derogado por el artículo 48 de la Resolución 101-24 de 2022> <Numeral modificado por el Anexo -artículo 6 - de la Resolución 2 de 2019. El nuevo texto es el siguiente:>
La Subasta iniciará quince (15) minutos después del cierre de recepción de ofertas.
3.10. FUNCIÓN DE OFERTA AGREGADA. <Anexo derogado por el artículo 48 de la Resolución 101-24 de 2022> <Numeral modificado por el Anexo -artículo 6 - de la Resolución 2 de 2019. El nuevo texto es el siguiente:>
La función de oferta agregada indica la cantidad de energía firme ofertada para asignar mediante Obligaciones de Energía Firme para cada nivel de precio, hasta el precio máximo de la Subasta.
Una vez finalizado el periodo de recepción de ofertas, el Administrador tomará la última función de oferta de ENFICC remitida por cada participante a través del sistema de recepción de ofertas.
Esta función de oferta agregada será el resultado de ordenación de las funciones de oferta de ENFICC de menor a mayor precio. Todas las ofertas que tengan un precio superior al precio máximo de la Subasta deben ser eliminadas. Una vez ordenadas las ofertas de ENFICC y eliminadas aquellas con un precio mayor al precio máximo de la subasta, se asumirá una oferta inelástica (vertical) para el rango de precios entre la última oferta ordenada y el precio máximo de la subasta.
Las cantidades de energía firme ofertadas por los participantes deben haber sido verificadas por el ASIC según la regulación vigente y no deben estar comprometidas con Obligaciones de Energía Firme asignadas previamente mediante subastas o el mecanismo que haga sus veces.
3.11. TERMINACIÓN ANTICIPADA DE LA SUBASTA. <Anexo derogado por el artículo 48 de la Resolución 101-24 de 2022> <Numeral modificado por el Anexo -artículo 6 - de la Resolución 2 de 2019. El nuevo texto es el siguiente:>
Cuando al inicio de la Subasta se verifique que no se presentaron funciones de oferta de ENFICC respaldadas con plantas o unidades de generación nuevas o con plantas de las que trata el numeral 3.7.2 de este reglamento, el Administrador de la Subasta la dará por terminada e informará a la CREG, la cual establecerá el procedimiento a seguir.
3.12. DETERMINACIÓN DEL PRECIO DE CIERRE DE LA SUBASTA Y DE LA ASIGNACIÓN DE LA OBLIGACIÓN DE ENERGÍA FIRME. <Anexo derogado por el artículo 48 de la Resolución 101-24 de 2022> <Numeral modificado por el Anexo -artículo 6 - de la Resolución 2 de 2019. El nuevo texto es el siguiente:>
El precio de cierre de la Subasta y las asignaciones de Obligaciones de Energía firme resultantes de este proceso se determinarán a partir de la igualación entre la función de oferta agregada y la función de demanda, así como las reglas descritas en este numeral.
El precio de cierre de la Subasta será aplicable a las Obligaciones de Energía Firme asignadas como resultado de este proceso y que son respaldadas con plantas o unidades de generación; que no tienen Obligación de Energía Firme para el año para el cual se realiza la subasta y que se encuentren en alguna de las siguientes categorías: nuevas; existentes que deseen presentar obras adicionales que no se han iniciado a la fecha de la subasta para clasificar como plantas especiales con cierre de ciclo o repotenciación o como plantas existentes con obras; existentes; y existentes con obras y especiales que iniciaron las obras antes de la subasta.
3.12.1. CASOS EN LOS CUALES LA FUNCIÓN DE DEMANDA CORTA A LA FUNCIÓN DE OFERTA AGREGADA EN UN SEGMENTO VERTICAL DE LA FUNCIÓN DE OFERTA AGREGADA. <Anexo derogado por el artículo 48 de la Resolución 101-24 de 2022> <Numeral modificado por el Anexo -artículo 6 - de la Resolución 2 de 2019. El nuevo texto es el siguiente:>
En el caso que la función de demanda corta con la función de oferta agregada en un segmento vertical de la función de oferta agregada se procederá de la siguiente forma:
a) Se identifica la cantidad de energía firme observada en el punto de corte de la función de oferta agregada y la función de demanda (Q*).
b) El precio de cierre de la Subasta será igual al mínimo precio de la función de oferta agregada asociado a la cantidad Q*.
c) Las asignaciones de Obligaciones de Energía en Firme resultantes de la Subasta serán iguales a la cantidad de energía firme ofertada por cada agente, cuyo precio de oferta fue inferior o igual al precio de cierre de la Subasta, con el período de vigencia señalado en la Declaración de Interés.
3.12.2. CASOS EN LOS CUALES LA FUNCIÓN DE DEMANDA DE OBLIGACIONES DE ENERGÍA FIRME CORTA LA FUNCIÓN DE OFERTA AGREGADA EN UN SEGMENTO HORIZONTAL DE LA FUNCIÓN DE OFERTA AGREGADA. <Anexo derogado por el artículo 48 de la Resolución 101-24 de 2022> <Numeral modificado por el Anexo -artículo 6 - de la Resolución 2 de 2019. El nuevo texto es el siguiente:>
En el caso que la función de demanda corta con la función de oferta agregada en un segmento horizontal de la función de oferta agregada se procederá de la siguiente forma:
a) Cuando se tenga una sola oferta al precio en que la función de demanda corta la función de oferta agregada (la oferta marginal es de un solo bloque ofertado), entonces se deberán contemplar los siguientes casos:
i) Si el exceso de oferta resultante, medido como la diferencia entre la oferta agregada y la función de demanda al precio de la oferta marginal, es menor o igual al 50% de la cantidad de energía firme ofertada en la oferta marginal, entonces:
i.i) El precio de cierre de la Subasta será el precio de la oferta marginal.
i.ii) Las asignaciones de Obligaciones de Energía en Firme resultantes de la Subasta serán iguales a las cantidades de energía firme ofertadas por cada agente, cuyos precios de oferta hayan sido inferiores o iguales al precio de cierre de la Subasta, con el período de vigencia señalado en la Declaración de Interés.
ii) Si el exceso de oferta es mayor al 50% de la cantidad de energía firme ofertada en la oferta marginal, entonces:
ii.i) A la oferta marginal no se le asignan Obligaciones de Energía en Firme. Las ofertas con precio inferior al precio de la oferta marginal se consideran en mérito.
ii.ii) El precio de cierre de la Subasta será igual al máximo precio entre los precios de las ofertas que están en mérito.
ii.iii) Las asignaciones de Obligaciones de Energía en Firme resultantes de la Subasta serán iguales a las cantidades de energía firme ofertadas por cada agente, cuyos precios de oferta hayan sido inferiores o iguales al precio de cierre de la Subasta, con el período de vigencia señalado en la Declaración de Interés.
b) En caso que haya más de una oferta al mismo precio en que la función de demanda corta la función de oferta agregada (se tienen varias ofertas marginales), entonces se deberá realizar el siguiente procedimiento:
i) Se construyen todas las permutaciones posibles de los bloques de las ofertas marginales.
ii) Para cada posible permutación:
1. Se construye la función de oferta agregada con los bloques de las ofertas marginales ordenados según el orden de la permutación y se descartan todas las ofertas con precios superiores al precio de las ofertas marginales.
2. Se descartan tantos bloques de ofertas marginales como se requiera, antes de que al precio marginal la cantidad de energía firme de la función de demanda se torne menor que la función de oferta agregada. La oferta marginal que quede de última en esta permutación se denomina oferta límite de la permutación.
3. Si el exceso de oferta resultante es menor o igual al 50% de la cantidad de energía firme de la oferta límite de la permutación, se cuantifica el exceso de oferta resultante de la permutación incluyendo la oferta límite.
4. Si el exceso de oferta resultante es mayor al 50% de la oferta límite de la permutación, se cuantifica el exceso de demanda tras sustraer la oferta límite de la permutación.
5. Cada permutación junto con el exceso de oferta o de demanda calculado según los pasos 1 a 4 se denomina una posible asignación marginal. Si tanto el exceso de oferta como el exceso de demanda de alguna posible asignación marginal son ambos iguales a cero (0), entonces se considera esta posible asignación marginal como con exceso de oferta en el paso iii, a continuación.
iii) Entre las posibles asignaciones marginales construidas en el paso ii, se identifican aquellas en las que se tenga exceso de oferta. Si al menos una posible asignación marginal tiene un exceso de oferta mayor o igual a cero, el precio de cierre de la Subasta será el de las ofertas marginales, y las cantidades a asignar se determinarán con base en la posible asignación marginal en la que se minimice el exceso de oferta, así:
iii.i) Las asignaciones de Obligaciones de Energía en Firme resultantes de la Subasta serán iguales a las cantidades de energía firme ofertadas por cada agente cuyos precios de oferta hayan sido inferiores al precio de cierre de la Subasta, con el período de vigencia señalado en la Declaración de Interés.
iii.ii) Además, las asignaciones de Obligaciones de Energía en Firme resultantes de la Subasta para las ofertas marginales serán iguales a las que le corresponde a cada agente en la posible asignación marginal que minimiza el exceso de oferta, con el período de vigencia señalado en la Declaración de Interés.
iv) Entre las posibles asignaciones marginales construidas en el paso ii, si ninguna tiene exceso de oferta, se identifican aquellas en las que se tenga exceso de demanda. El precio de cierre de la Subasta será el de las ofertas marginales, y las cantidades a asignar se determinarán con base en la posible asignación marginal en la que se minimice el exceso de demanda, así:
iv.i) Las asignaciones de Obligaciones de Energía en Firme resultantes de la Subasta serán iguales a las cantidades de energía firme ofertadas por cada agente cuyos precios de oferta hayan sido inferiores al precio de cierre de la Subasta, con el período de vigencia señalado en la Declaración de Interés.
iv.ii) Además, las asignaciones de Obligaciones de Energía en Firme resultantes de la Subasta para las ofertas marginales serán iguales a las que le corresponde a cada agente en la posible asignación marginal que minimiza el exceso de demanda, con el período de vigencia señalado en la Declaración de Interés.
v) En caso de que persistan empates en los casos iii) o iv) se escogerá la posible asignación marginal que involucre mayor número de bloques. Si persisten empates, se identifica el registro de tiempo de cada una de las ofertas en cada posible asignación marginal empatada. Se comparan los tiempos de registro de la oferta más temprana de cada posible asignación marginal y se escoge la posible asignación marginal con la oferta más temprana. Si persiste un empate, se procede a comparar el registro de tiempo de la segunda oferta más temprana en las posibles asignaciones marginales empatadas, y así sucesivamente hasta dirimir el empate.
3.13. CASOS ESPECIALES DEL PROCESO DE SUBASTA. <Anexo derogado por el artículo 48 de la Resolución 101-24 de 2022> <Numeral modificado por el Anexo -artículo 6 - de la Resolución 2 de 2019. El nuevo texto es el siguiente:>
Para todos los efectos se define una subasta con carácter de especial cuando se cumpla al menos una de las siguientes condiciones:
3.13.1. OFERTA INSUFICIENTE. <Anexo derogado por el artículo 48 de la Resolución 101-24 de 2022> <Numeral modificado por el artículo 1 de la Resolución 26 de 2019. El nuevo texto es el siguiente:> La Subasta se calificará de oferta insuficiente, si la función de oferta agregada no es suficiente para atender la Demanda Objetivo con los descuentos realizados por el ASIC según la regulación.
Cuando la Subasta se califique de oferta insuficiente, el Precio del Cargo por Confiabilidad asociado a las Obligaciones de Energía Firme asignadas y respaldadas con plantas o unidades de generación existentes, existentes con obras o especiales, de que trata el numeral 3.7.1 de este anexo, será el valor mínimo entre el resultante de incrementar el CE en un (10) diez por ciento y el precio de cierre de la Subasta.
Las Obligaciones de Energía Firme asignadas y respaldadas con plantas o unidades de generación nuevas o con plantas o unidades de las que trata el numeral 3.7.2 de este anexo serán remuneradas al precio de cierre de la Subasta.
3.13.2. COMPETENCIA INSUFICIENTE. <Anexo derogado por el artículo 48 de la Resolución 101-24 de 2022> <Numeral modificado por el Anexo -artículo 6 - de la Resolución 2 de 2019. El nuevo texto es el siguiente:>
La Subasta se calificará como de competencia insuficiente cuanto ocurran simultáneamente los eventos a. y b. que se describen a continuación.
a) La suma de la ENFICC declarada y verificada no asignada en Obligaciones de Energía Firme para el año a subastar de las siguientes plantas:
i) Plantas o unidades de que trata el numeral 3.7.1 de este anexo;
ii) Plantas o unidades existentes de que trata el numeral 3.7.2. de este anexo, sin considerar la ENFICC adicional por obras o repotenciación;
iii) Plantas no Despachadas Centralmente, cuyos agentes que las representan tengan contratos en los que suministre energía para cubrir la demanda del período de vigencia a subastar; menos la ENFICC de las plantas o unidades con la condición de retiro temporal, es menor a la demanda mínima a cubrir (M1) de la función de demanda, con los descuentos realizados por el ASIC según la regulación vigente.
b) La diferencia entre la oferta agregada total y la Demanda Objetivo con los descuentos realizados por el ASIC según la regulación vigente, es menor que el 4% de la Demanda Objetivo, o, existe un agente cuya oferta de ENFICC asociada a plantas o unidades nuevas es 'pivotal', es decir, las plantas o unidades nuevas de por lo menos un agente son necesarias para atender la demanda al nivel M1 con los descuentos realizados por ASIC según la regulación.
Cuando una Subasta sea calificada como de competencia insuficiente, el Precio del Cargo por Confiabilidad asociado a las Obligaciones de Energía Firme respaldadas con plantas o unidades de generación de que trata el numeral 3.7.1 de este anexo, será el valor mínimo entre el resultante de incrementar el CE en un (10) diez por ciento y el precio de cierre de la Subasta.
El precio del Cargo por Confiabilidad asociado a las Obligaciones de Energía Firme asignadas y respaldadas con plantas o unidades de generación nuevas o con las que trata el numeral 3.7.2 de este anexo será igual al precio de cierre de la Subasta.
3.13.3. PARTICIPACIÓN INSUFICIENTE. <Anexo derogado por el artículo 48 de la Resolución 101-24 de 2022> <Numeral modificado por el Anexo -artículo 6 - de la Resolución 2 de 2019. El nuevo texto es el siguiente:>
La Subasta se calificará como de participación insuficiente cuando se cumpla la siguiente condición.
El 50% o más del total de las Obligaciones de Energía Firme asignadas a plantas nuevas o de las que trata el numeral 3.7.2 de este anexo, se asignan a plantas o unidades representadas por agentes que individualmente tengan una participación en ENFICC igual o mayor al 15% de la Demanda Objetivo del año a subastar.
La participación del agente se medirá como la proporción entre la suma de la ENFICC de las plantas existentes y/o las plantas o unidades de que trata el numeral 3.7.1 de este anexo representadas por el mismo agente sobre la Demanda Objetivo del año a subastar.
Cuando una Subasta sea calificada como de participación insuficiente, el Precio del Cargo por Confiabilidad asociado a las Obligaciones de Energía Firme respaldadas con plantas o unidades de generación existentes, existentes con obras y especiales, de que trata el numeral 3.7.1 de este anexo, será el valor mínimo entre el resultante de incrementar el CE en un diez (10) por ciento y el precio de cierre de la Subasta.
Las Obligaciones de Energía Firme asignadas y respaldadas con plantas o unidades de generación nuevas o con plantas o unidades de que trata el numeral 3.7.2 de este Reglamento serán remuneradas al precio de cierre de la subasta.
3.14. SELECCIÓN DEL DESARROLLADOR PARA EL CASO DE UN PROYECTO CON VARIOS DESARROLLADORES. <Anexo derogado por el artículo 48 de la Resolución 101-24 de 2022> <Numeral modificado por el Anexo -artículo 6 - de la Resolución 2 de 2019. El nuevo texto es el siguiente:>
En caso que existan varios agentes interesados en desarrollar un mismo proyecto se aplicarán las siguientes condiciones para participar en la subasta y reglas para seleccionar el desarrollador al cual se le asignan las Obligaciones de Energía Firme.
3.14.1. CONDICIONES PARA PARTICIPAR EN LA SUBASTA. <Anexo derogado por el artículo 48 de la Resolución 101-24 de 2022> <Numeral modificado por el Anexo -artículo 6 - de la Resolución 2 de 2019. El nuevo texto es el siguiente:>
a) Identificación del proyecto que participará en la Subasta para la asignación de Obligaciones de Energía Firme, con varios desarrolladores.
i) Los agentes que hayan declarado un proyecto o proyectos correspondientes a plantas nuevas y/o a las que se refiere el numeral 3.7.2 deberán verificar si su proyecto es excluyente con otro u otros, ya sea por que hayan tenido conocimiento por el documento de publicación de proyectos, por solicitud de la CREG o por cualquier otro motivo. El proyecto es excluyente con otro bien sea porque se trate del mismo proyecto o porque la construcción de uno descarta o es incompatible con la construcción del otro.
En caso de que para estos efectos un agente requiera de aclaraciones a la información declarada por otro agente, el interesado informará a la CREG detalladamente sobre los puntos de los parámetros que requiere aclaración, con el fin de que esta solicite las aclaraciones pertinentes. Estas últimas se informarán una vez sean recibidas en la CREG.
ii) Los agentes que hayan declarado proyectos correspondientes a plantas nuevas y/o a las que se refiere el numeral 3.7.2 deberán entregar a la CREG, junto con la declaración de ENFICC, una comunicación suscrita por el representante legal en la que informe si su proyecto es excluyente y en caso de serlo, deberá informar con cuál o cuáles proyectos de los contenidos en dicho documento se excluye.
iii) En caso de no tener certeza sobre la compatibilidad o no exclusión de un proyecto con otro, deberá reportarlo como excluyente para su participación en la Subasta.
iv) Si un agente que declaró proyectos correspondientes a plantas nuevas no entregó a la CREG la información prevista en el numeral ii) en el plazo previsto, se entenderá que cada uno de los proyectos para los cuales declaró parámetros no es excluyente con otro u otros proyectos contenidos en documento que contiene los parámetros para el cálculo de la ENFICC.
Por tanto, posteriormente no se podrá invocar el carácter excluyente del proyecto para justificar la no entrega de las respectivas garantías que respalden la asignación de las Obligaciones de Energía Firme, ni para justificar el incumplimiento de cualquier obligación asociada al Cargo por Confiabilidad.
v) Si solamente un desarrollador declara el proyecto como excluyente con otro, estos proyectos se considerarán como excluyentes. Lo anterior, sin perjuicio de las acciones judiciales que puedan ejercer contra este desarrollador quienes pudieran resultar afectados con la declaración de excluyente de un proyecto que no lo sea.
vi) Los proyectos declarados o considerados como excluyentes según las normas anteriores, se tratarán en la Subasta como un solo proyecto con varios desarrolladores quienes se someten al resultado de la subasta.
b) Información requerida para participar en la Subasta con un proyecto con varios desarrolladores:
Para el caso de proyectos con los mismos estudios se requiere la documentación de los numerales i) a iv) siguientes. Para el caso de proyectos con estudios realizados independientemente por varios agentes se requiere la documentación de los numerales iii) y iv) siguientes.
i) Promesa de compra-venta del estudio entre el dueño o poseedor del estudio y el desarrollador. En la promesa de compra-venta se deberá incluir, entre otros aspectos, el valor base del estudio y la aceptación por las partes del resultado de la Subasta para la asignación de Obligaciones de Energía Firme y de la Subasta de Sobre Cerrado para GPPS.
ii) Sobre cerrado en donde el desarrollador establece el valor que está dispuesto a pagar por el estudio, en caso de que existan varios desarrolladores del mismo proyecto por igual cantidad de ENFICC.
iii) Garantía para amparar la participación en la subasta de acuerdo con lo definido en el Capítulo 3 de la Resolución CREG 061 de 2007, o aquellas que la modifiquen.
iv) Toda la información exigida en la resolución de que trata el artículo 18 de la Resolución CREG 071 de 2006 y en los plazos que allí se establezcan.
La documentación exigida en los numerales i) a iii) de este literal deberá ser remitida por cada desarrollador en el plazo establecido para la entrega de las garantías para participar en la Subasta en la resolución de que trata el artículo 18 de la Resolución CREG 071 de 2006.
3.14.2. REGLAS PARA LA SUBASTA. <Anexo derogado por el artículo 48 de la Resolución 101-24 de 2022> <Numeral modificado por el Anexo -artículo 6 - de la Resolución 2 de 2019. El nuevo texto es el siguiente:>
En el proceso de construcción de la función de oferta agregada, el Administrador de la Subasta utilizará la información de las funciones de oferta de ENFICC de proyectos excluyentes siguiendo las siguientes reglas:
a) Comparará las funciones de oferta de ENFICC remitidas por los desarrolladores de cada proyecto excluyente y seleccionará la función de oferta de ENFICC que tenga menor precio, en cada caso. Las demás funciones de oferta de ENFICC serán descartadas en la construcción de oferta agregada.
b) En caso de empate en el precio ofertado para el mismo proyecto excluyente, entonces el Administrador de la Subasta seleccionará la función de oferta de ENFICC de quien haya ofertado mayor ENFICC, para la construcción de la función de oferta agregada. Las demás funciones de oferta de ENFICC serán descartadas en la construcción de oferta agregada.
c) En caso de que el empate persista entre dos o más desarrolladores con los mismos estudios que hayan ofertado igual ENFICC, el Administrador de la Subasta procederá a abrir los sobres cerrados, los ordenará de mayor a menor, y asignará al desarrollador que está dispuesto a pagar más por el estudio.
d) Si el empate persiste se utilizará la función de oferta de ENFICC que haya sido ingresada primero al sistema de registro de ofertas, para la construcción de la función de oferta agregada. Las demás funciones de oferta de ENFICC serán descartadas en la construcción de oferta agregada.
PROCEDIMIENTO PARA ASIGNACION DE OEF A GENERADORES QUE REPRESENTAN PLANTAS O UNIDADES DE GENERACION CON PERIODOS DE CONSTRUCCION SUPERIORES AL PERIODO DE PLANEACION DE LA SUBASTA.
<Anexo adicionado por el artículo 7 de la Resolución 101 de 2007. El nuevo texto es el siguiente:>
1. PREPARACIÓN. <Artículo adicionado por el artículo 7 de la Resolución 101 de 2007. El nuevo texto es el siguiente:>
En este anexo se entenderá por GPPS las Plantas o Unidades de Generación con Periodos de Construcción Superiores al Periodo de Planeación de la Subasta.
Una vez conocido el precio de cierre de la subasta realizada en el año t, para obligaciones que inician el 1 de diciembre del año t+p, se procederá de la siguiente forma:
a) El ASIC anunciará el Precio Máximo del Cargo por Confiabilidad a considerar para las GPPS (en adelante PMGPPS). Este precio será igual al aplicable a las Obligaciones de Energía Firme asignadas en dicha Subasta y respaldadas con plantas o unidades de generación nuevas, siempre que la subasta no sea calificada como especial. Cuando la subasta sea calificada como caso especial el PMGPPS será igual al aplicable a los generadores existentes, como resultado de dicha Subasta;
b) El ASIC considerará las plantas o unidades de generación de los agentes generadores que hayan declarado previamente, según la regulación, sus plantas o unidades en esta categoría, y no hayan manifestado su retiro de este proceso;
c) <Literal modificado por el artículo 2 de la Resolución 40 de 2008. El nuevo texto es el siguiente:> Una vez anunciado el PMGPPS, el agente con plantas y/o unidades GPPS deberá comunicar a la CREG si sigue en el proceso de asignaciones GPPS, dentro del término establecido en la Resolución de que trata el artículo 18 de esta Resolución.
d) El ASIC tomará para cada una de las plantas o unidades de generación identificadas, el período de construcción declarado por el agente;
e) <Literal modificado por el artículo 10 de la Resolución 19 de 2008. El nuevo texto es el siguiente:> El ASIC determinará el incremento anual de demanda esperado para cada uno de los años del período comprendido entre el año t+p+1 y el año t+10. Los valores de la demanda corresponderán a los que haya establecido la CREG como demanda objetivo.
f) El ASIC calculará y anunciará las cantidades de ENFICC asignadas a GPPS en Subastas para la Asignación de Obligaciones de Energía Firme, anteriores con periodos de vigencia que inician en el período entre el 1o de diciembre del año t + p + 1 y el 1o de diciembre del año t +10;
g) EL ASIC realizará la asignación de obligaciones de energía firme para generadores que las respaldan con GPPS en un proceso iterativo que inicia con las GPPS que ya tienen Obligaciones de Energía Firme Asignadas, AGPPS, aplicando lo establecido en los numerales 2 y 3 de este Anexo y teniendo en cuenta la siguiente notación.
AGPPS(k,q,m): Es la asignación a la planta generadora k en el año t-q con inicio del Período de Vigencia de la OEF en el año m, para m entre t + p + i y t + 10.
Donde:
k: Nombre de la planta.
i: Variable que tomará un valor entre 1 y 10 – p.
q: Variable que define el número de años de antigüedad, respecto del año t, de una OEF asignada a una GPPS con anterioridad a la Subasta del año t. Por lo tanto, q tomará un valor entre 10 - p - i y 0, de tal forma que define un grupo al cual pertenecen las GPPS para el año t + p + i como se explica en el numeral 2 siguiente.
p: Período de planeación para la subasta en el año t.
m: Año de inicio del Periodo de Vigencia de la OEF.
2. CRITERIO DE ORDENAMIENTO PARA OFERTAR EN LAS ASIGNACIONES. <Artículo adicionado por el artículo 7 de la Resolución 101 de 2007. El nuevo texto es el siguiente:>
En la asignación de Obligaciones de Energía Firme respaldadas con GPPS, que se realice como resultado de una subasta del año t, se iniciará con aquellas GPPS que tienen asignaciones de mayor antigüedad.
Por tanto, para la asignación del año t+p+i, se comenzará con las plantas con AGPPS(k,q,m) ? 0, para todo q en forma regresiva, desde q=10-p-i hasta q=1, y para todo k; se terminará con las GPPS para q=0 y todo k que no tienen asignación para el año t+p+i. Todo esto iniciando en i=1 hasta i=10-p.
Esto aplicará para cualquier m = t + p + i, iniciando en i = 1 hasta i = 10 - p.
Así se conformarán los grupos de igual q para cada año de inicio de la obligación.
3. REGLAS PARA REALIZAR LAS ASIGNACIONES. <Artículo adicionado por el artículo 7 de la Resolución 101 de 2007. El nuevo texto es el siguiente:>
Las asignaciones en el año t para inicio del Periodo de Vigencia de la OEF en el año t + p + i para las plantas k del mismo q se realizará de acuerdo con las siguientes reglas, para cada i entre 1 y 10-p:
a) <Literal modificado por el artículo 11 de la Resolución 19 de 2008. El nuevo texto es el siguiente:>
Todas las k del grupo q ofertarán la cantidad de Enficc que desean que se les asigne en el año t a un precio máximo PMGPPS para el inicio del Periodo de Vigencia de la OEF en el año t + p + i. La máxima cantidad asignable a las plantas del grupo q para el año t + p + i y siguientes estará dada por la siguiente ecuación:
![]()
Donde:
| CM (q,t + p+ i) | Máxima cantidad asignable a una planta o plantas del grupo q para el año t + p + i |
| L (q)= | 0.5 q = 0 0.6 q = 1 0.8 q > 2 |
| A (t + p + i) | Cantidad en ENFICC asignada en obligaciones que inician en el año t + p + i, por este concepto a GPSS en años previstos a t y en iteraciones anteriores. |
| I (t + p + i) | Incremento de la demanda esperado pñara el año t + p + i |
b) El incremento de la demanda esperado para el período de vigencia de la obligación que inicia el 1 de diciembre del año t + p + i, será la diferencia entre las demandas agregadas proyectadas para los períodos que inician el 1 de diciembre del año t + p + i y el 1 de diciembre del año t + p + i – 1;
c) Para cada una de las GPPS que respaldan Obligaciones de Energía Firme, la suma de todas las obligaciones que se le hayan asignado a un agente por una planta no podrán superar la ENFICC de esa planta en ningún año t+p+i;
d) <Literal modificado por el artículo 3 de la Resolución 40 de 2008. El nuevo texto es el siguiente:> El ASIC sumará las cantidades de ENFICC ofertadas y tendrá en cuenta el resultado de esta suma para efectos de la asignación de las Obligaciones de Energía Firme y el precio al que se remunerarán, tal como se establece en el Reglamento de la Subasta de Sobre Cerrado para GPPS, contenido en el Anexo 12 de esta Resolución.
e) <Literal modificado por el artículo 3 de la Resolución 40 de 2008. El nuevo texto es el siguiente:> El ASIC asignará las cantidades de Obligaciones de Energía Firme a los generadores con GPPS de acuerdo con lo definido en el Reglamento de la Subasta de Sobre Cerrado para GPPS, contenido en el Anexo 12 de esta resolución.
f) Como resultado de este proceso, cada planta o unidad de generación con asignación tendrá definido un precio para cada obligación de energía firme que se le haya asignado por este concepto en todos los años que haya participado;
g) El período de vigencia de la obligación de energía firme se iniciará a partir del primer período que se le haya asignado a un generador por una AGPPS. En todo caso este período será igual al declarado por el agente y no puede ser superior a 20 años. Asignaciones posteriores a la primera asignación estarán limitadas al periodo de vigencia definido para esa primera asignación.
ANEXO 12 DE LA RESOLUCION CREG-071 DE 2006.
REGLAMENTO DE LA SUBASTA DE SOBRE CERRADO PARA PARTICIPANTES CON PLANTAS Y\O UNIDADES DE GENERACIÓN CON PERÍODOS DE CONSTRUCCIÓN SUPERIORES AL PERÍODO DE PLANEACIÓN DE LA SUBASTA DEL CARGO POR CONFIABILIDAD (GPPS).
<Anexo 12 adicionado por el artículo 4 de la Resolución 40 de 2008. El nuevo texto es el siguiente:>
OBJETO Y DEFINICIONES.
12.1 OBJETO. <Numeral adicionado por el artículo 4 de la Resolución 40 de 2008. El nuevo texto es el siguiente:>
El presente Reglamento tiene por objeto establecer las condiciones y procedimientos para que los agentes o personas jurídicas que representan plantas y/o unidades de generación con períodos de construcción superiores al período de planeación de la subasta del Cargo por Confiabilidad – GPPS –, participen en la subasta de sobre cerrado según lo establecido en el Anexo 11 de esta Resolución y aquellas que la adicionan, modifiquen o sustituyan.
12.2 DEFINICIONES. <Numeral adicionado por el artículo 4 de la Resolución 40 de 2008. El nuevo texto es el siguiente:>
Para la aplicación del presente reglamento se tendrán en cuenta las definiciones establecidas en esta Resolución y aquellas que la adicionan, modifican o sustituyen y, en especial, las establecidas en la Resolución CREG 061 y 101 de 2007 y las siguientes definiciones:
Año GPPS. <Definición aclarada por el artículo 1 de la Resolución 57 de 2008. El nuevo texto es el siguiente:> Período de doce meses comprendidos entre el 1 de diciembre y el 30 de noviembre siguiente, que hacen parte del Período GPPS.
Auditor de la Subasta: El Auditor de la subasta para agentes con GPPS será una persona natural o jurídica a través de sus representantes en la Subasta GPPS, con reconocida experiencia en procesos de auditoría, que ejercerá sus funciones durante la subasta de sobre cerrado GPPS de acuerdo con los parámetros establecidos en este Anexo.
Cantidad de Energía Firme para Balance GPPS. <Definición adicionada por el artículo 1 de la Resolución 56 de 2008. El nuevo texto es el siguiente:> Energía Firme adicional a la previamente asignada, por planta o unidad GPPS, que el Participante está dispuesto a comprometer en OEF a partir de un Año GPPS. Esta cantidad se oferta para cada Año GPPS en que aspira a tener incrementos de asignación de OEF. La sumatoria de Cantidades de Energía Firme para Balance GPPS ofertadas para una planta no puede ser mayor a la ENFICC de la planta o unidad menos las asignaciones de OEF realizadas previamente a la GPPS. En caso contrario esta oferta se entenderá como no presentada.
Formato para Presentar Ofertas: Formato que diseñará el ASIC, y que con carácter obligatorio utilizarán los participantes para entregar las ofertas, cumpliendo con los requisitos de la oferta establecidos en este Anexo.
Grupo: Conjunto de GPPS que tienen el mismo número de años de antigüedad de asignaciones de OEF.
Máxima Cantidad de Energía Firme. <Definición adicionada por el artículo 1 de la Resolución 56 de 2008. El nuevo texto es el siguiente:> Condición de la Oferta que indica la máxima Energía Firme, por planta o unidad GPPS, que el Participante está dispuesto a comprometer, en adición a las OEF que le hayan sido asignadas previamente, a partir de los Años GPPS para los cuales presenta oferta para asignaciones de OEF.
Mínima Cantidad de Energía Firme: Condición de la Oferta que indica el valor mínimo de Energía Firme, por planta o unidad GPPS, que el Participante está dispuesto a comprometer en la asignación total de Obligaciones de Energía Firme.
Oferta en Sobre Cerrado u Oferta: Oferta de precio y cantidad que presenta en sobre cerrado un agente con GPPS al Administrador del Sistema de Intercambios Comerciales – ASIC. El precio deberá ser igual o inferior al PMGPPS y la cantidad de ENFICC igual o inferior a la previamente declarada, de conformidad con lo establecido en la regulación aplicable.
Participante: Agente o persona jurídica con plantas que cumplen los requisitos establecidos en esta Resolución y en la resolución de que trata el artículo 18 de esta última, o aquellas que la modifiquen, adicionen o sustituyan, para ser calificadas como GPPS, y que está interesada en recibir una determinada cantidad de asignación de obligaciones de energía firme de acuerdo a lo establecido en la regulación vigente.
Período GPPS. <Definición adicionada por el artículo 1 de la Resolución 56 de 2008. El nuevo texto es el siguiente:> Período comprendido entre el 1o de diciembre del año t+p+1 hasta la terminación del período de vigencia de OEF que inicia en el año t+10.
Poder: Es el documento contractual por medio del cual, el representante legal del participante autoriza la representación, en caso de ser necesario, para presentar la Oferta en la subasta y participar de la misma, de acuerdo con lo establecido en este Anexo y en las demás normas de la República de Colombia.
Subasta de Sobre Cerrado para Participantes con GPPS: Mecanismo de negociación para la asignación de Obligaciones de Energía Firme a los agentes o personas jurídicas que representen GPPS a través del cual cada uno de los agentes participan presentando una Oferta en Sobre Cerrado para la asignación de Obligaciones de Energía Firme que serán determinadas por el ASIC de acuerdo a los criterios definidos en esta Resolución.
REPORTE DE INFORMACIÓN.
12.3 REPORTE DE INFORMACIÓN. <Numeral adicionado por el artículo 4 de la Resolución 40 de 2008. El nuevo texto es el siguiente:>
Los Participantes que representen plantas y/o unidades GPPS deben reportar toda la información correspondiente a las plantas o unidades de generación nuevas de acuerdo con el Anexo 10 -Reglamento de la subasta para la asignación de Obligaciones de Energía Firme- de esta Resolución, o aquellas que la modifiquen adicionen o sustituyan, en los plazos de que trata el artículo 18 de esta misma Resolución.
12.4 EFECTOS DE NO ENTREGAR LAS GARANTÍAS PARA AMPARAR LA PARTICIPACIÓN EN LAS ASIGNACIONES DE OBLIGACIONES DE ENERGÍA FIRME PARA LAS GPPS. <Numeral adicionado por el artículo 4 de la Resolución 40 de 2008. El nuevo texto es el siguiente:>
Los participantes que representan plantas y/o unidades GPPS que no entreguen la garantía para amparar la participación en las asignaciones de Obligaciones de Energía Firme para las GPPS, de acuerdo con lo definido en el Capítulo III del Reglamento de Garantías para el Cargo por Confiabilidad adoptado por la Resolución CREG-061 de 2007, no participarán en el proceso de asignación de Obligaciones de Energía Firme para agentes con GPPS.
DEBERES Y RESPONSABILIDADES.
12.5 RESPONSABILIDADES Y DEBERES DEL ADMINISTRADOR DEL SISTEMA DE INTERCAMBIOS COMERCIALES – ASIC–. <Numeral adicionado por el artículo 4 de la Resolución 40 de 2008. El nuevo texto es el siguiente:>
Corresponderá al ASIC las siguientes responsabilidades y deberes respecto a la Subasta de Sobre Cerrado para GPPS:
a) Anunciar el PMGPPS una vez finalizada la subasta para la asignación de OEF, realizada en el año t para obligaciones que inician el 1o de diciembre del año t+p;
b) <Literal corregido por el artículo 2 de la Resolución 57 de 2008. El nuevo texto es el siguiente:> Determinar el incremento anual de demanda esperado para cada uno de los Años GPPS. Los valores de demanda corresponderán a los que haya establecido la CREG como Demanda Objetivo de acuerdo con lo definido en esta Resolución, o aquellas que la modifiquen o sustituyan. La demanda a asignar para cada año corresponderá al 50%, 60% u 80% de este incremento, según corresponda al grupo q sea igual a 0, 1 o mayor o igual de 2 respectivamente.
c) <Literal modificado por el artículo 2 de la Resolución 56 de 2008. El nuevo texto es el siguiente:> Realizar para cada Grupo q de GPPS el balance Año por Año GPPS entre la demanda a asignar y la suma de Cantidades de Energía Firme para Balance GPPS de cada planta o unidad;
d) Publicar los años en los cuales se encuentra que la oferta supera la demanda a asignar, en la fecha que determine la CREG, para cada grupo q de GPPS;
e) <Literal modificado por el artículo 2 de la Resolución 56 de 2008. El nuevo texto es el siguiente:> Anunciar las OEF asignadas a plantas o unidades GPPS en subastas anteriores para los Años GPPS;
f) Realizar la asignación de OEF a los participantes que representan GPPS de acuerdo con el proceso establecido en el Anexo 11 de esta Resolución y el presente Anexo, y aquellas normas que los adicionen, modifiquen o sustituyan;
g) <Literal modificado por el artículo 8 de la Resolución 139 de 2011. El nuevo texto es el siguiente:> Realizar la Subasta de Sobre Cerrado a que hace referencia este Anexo.
h) <Literal modificado por el artículo 8 de la Resolución 139 de 2011. El nuevo texto es el siguiente:> Informar el lugar, fecha y hora en que se realizará la Subasta de Sobre Cerrado para GPPS.
i) Conservar registros históricos, de la totalidad de operaciones realizadas en desarrollo de la subasta, de conformidad con las disposiciones legales vigentes en materia de conservación de documentos;
j) Contratar el Auditor de la Subasta de Sobre Cerrado para Participantes con GPPS;
k) Divulgar la información de la asignación de OEF a planta o unidades GPPS;
l) Resolver las reclamaciones que se presenten por parte de los Participantes de la Subasta de Sobre Cerrado de GPPS.
PARÁGRAFO. La Comisión definirá la información que deberá publicar el ASIC, y la oportunidad para su publicación.
12.6 RESPONSABILIDADES Y DEBERES DE LOS PARTICIPANTES DE LA SUBASTA DE SOBRE CERRADO PARA GPPS. <Numeral adicionado por el artículo 4 de la Resolución 40 de 2008. El nuevo texto es el siguiente:>
Los Participantes de la Subasta GPPS deberán:
a) Presentarse en el lugar, fecha y hora que el ASIC defina para la realización de la Subasta de Sobre Cerrado para GPPS;
b) <Literal modificado por el artículo 3 de la Resolución 56 de 2008. El nuevo texto es el siguiente:> Presentar al ASIC la Oferta en Sobre Cerrado en el plazo establecido en este Anexo y en el formato definido para ello por el ASIC, cuando este lo requiera dentro del proceso de asignación.
c) Abstenerse de realizar actos de competencia desleal, acuerdos contrarios a la libre competencia o contrarios a la legislación o a la regulación vigente aplicable y que afecten la transparencia del proceso o la adecuada formación de precios y, en general, el desarrollo de la Subasta de Sobre Cerrado para GPPS.
12.7 RESPONSABILIDADES Y DEBERES DEL AUDITOR DE LA SUBASTA DE SOBRE CERRADO PARA GPPS. <Numeral adicionado por el artículo 4 de la Resolución 40 de 2008. El nuevo texto es el siguiente:>
El Auditor de la Subasta de Sobre Cerrado para GPPS tendrá a su cargo las siguientes responsabilidades y deberes:
a) Verificar e intervenir cuando sea necesario para garantizar la correcta aplicación de la regulación vigente que rige el desarrollo de la Subasta de Sobre Cerrado para GPPS;
b) Remitir a la CREG, dentro de los cinco (5) días hábiles siguientes a la finalización de la Subasta de Sobre Cerrado para GPPS, un informe en el cual se establezca, sin ambigüedades, el cumplimiento o no de la regulación vigente que rige dicha subasta.
PARÁGRAFO. Cuando el Auditor de la Subasta establezca que en la Subasta de Sobre Cerrado para GPPS respectiva no se dio cumplimiento a la normatividad vigente, el proceso adelantado no producirá efectos para los Participantes, en el estado en el que se encuentre y el ASIC procederá a convocar nuevamente la Subasta de Sobre Cerrado para GPPS en un plazo no mayor a veinte (20) días, sin perjuicio de las acciones penales y/o civiles y las actuaciones administrativas a que haya lugar contra las personas que hayan incumplido la normatividad vigente.
DEL PROCESO DE ASIGNACIÓN DE OBLIGACIONES DE ENERGÍA FIRME A PARTICIPANTES CON GPPS.
12.8 INFORMACIÓN. <Numeral adicionado por el artículo 4 de la Resolución 40 de 2008. El nuevo texto es el siguiente:>
Al finalizar la subasta de que trata el Anexo 10 de esta Resolución o aquellas que la modifiquen o sustituyan, realizada en el año t para la asignación de obligaciones que inician el 1o de diciembre del año t+p, el ASIC anunciará lo siguiente:
a) El valor del Precio Máximo del Cargo por Confiabilidad – PMGPPS;
b) El incremento de la Demanda Objetivo para cada uno de los años del periodo comprendido desde el 1o de diciembre del año t+p+1 hasta el período de vigencia de OEF que inicia en t+10;
c) Las OEF asignadas a GPPS en subastas anteriores para cada uno de los años del periodo comprendido desde el 1o de diciembre del año t+p+1 hasta el período de vigencia de OEF que inicia en t+10.
12.9 CONVOCATORIA DE LA SUBASTA DE SOBRE CERRADO PARA GPPS. <Numeral adicionado por el artículo 4 de la Resolución 40 de 2008. El nuevo texto es el siguiente:>
<Inciso modificado por el artículo 9 de la Resolución 139 de 2011. El nuevo texto es el siguiente:> El ASIC convocará la Subasta de Sobre Cerrado para cada grupo de GPPS con igual q, informando a los Participantes el lugar, fecha y hora que se llevará a cabo la misma, e invitará a presentar la oferta para la Subasta de Sobre Cerrado en el formato que publicará XM E.S.P. en su página web.
PARÁGRAFO 1o. Para realizar el balance del grupo q de GPPS se deben efectuar las asignaciones posibles del grupo q de GPPS inmediatamente mayor.
PARÁGRAFO 2o. Al desarrollador que se le asignaron Obligaciones de Energía Firme para una planta o unidad GPPS, según lo previsto en el presente Reglamento, será el único desarrollador que podrá Ofertar dicha planta o unidad en las Subastas de Sobre Cerrado para GPPS de años posteriores.
12.10 SELECCIÓN DEL DESARROLLADOR PARA EL CASO DE UN PROYECTO CON VARIOS DESARROLLADORES.
<Numeral modificado por el artículo 2 de la Resolución 183 de 2011. El nuevo texto es el siguiente:> Cuando existan agentes interesados en presentar a la subasta para plantas GPPS con un proyecto que tiene varios desarrolladores, para la identificación y la documentación requerida se aplicarán las reglas definidas en el numeral 3.15.1 del Anexo 10 de esta resolución.
Cuando existan agentes interesados en presentar a la subasta para plantas GPPS con proyectos que son excluyentes, para la identificación y la documentación requerida se aplicarán las reglas definidas en los numerales i. al v. del literal a. del numeral 3.15.1 del Anexo 10 de esta resolución.
12.11 REPRESENTACIÓN DE LOS PARTICIPANTES EN LA SUBASTA DE SOBRE CERRADO PARA GPPS. <Numeral adicionado por el artículo 4 de la Resolución 40 de 2008. El nuevo texto es el siguiente:>
Las ofertas presentadas al ASIC por los participantes de la Subasta de Sobre Cerrado para GPPS, en el formato establecido para ello, deberán estar firmadas por el Representante Legal o quien tenga el Poder para ello.
Los Participantes deberán enviar al ASIC el certificado de Existencia y Representación Legal y, en caso de aplicar, el Poder, ambos con una vigencia no superior a dos (2) meses, así como todos los documentos necesarios que respalden la delegación, todo lo anterior, cumpliendo con la normatividad aplicable en la República de Colombia, en especial, lo establecido en el Código de Comercio Colombiano para la Representación Legal de las Sociedades o en caso de aplicar la representación especial, se deberá enviar mediante documento escrito en soporte papel, debidamente firmado por el Representante Legal del Agente o Persona Jurídica interesada.
También deberá enviar una comunicación escrita con los nombres y firmas del Representante Legal o quien haga sus veces o de las personas con Poder.
En todo caso, se deberá prever que el original de las comunicaciones de que trata el presente numeral debe estar disponible en el ASIC y debidamente aprobado por este, en las fechas que para tal efecto defina la CREG.
PARÁGRAFO. Si la información enviada por el participante no cumple con las normas aplicables vigentes, dicho agente o persona jurídica no podrá participar en la subasta de sobre cerrado para GPPS.
12.12 RECEPCIÓN Y APERTURA DE LAS OFERTAS.
<Numeral modificado por el artículo 4 de la Resolución 56 de 2008. El nuevo texto es el siguiente:> Las Ofertas serán recibidas por el ASIC en el lugar, fecha y hora que este defina, según lo previsto en el presente Reglamento. El ASIC procederá a la apertura de las Ofertas en presencia del Auditor y de los representantes de los Participantes o sus apoderados de la subasta GPPS. Se suscribirá por todos los asistentes un acta en la cual se deje constancia de las personas presentes, los representantes de los Participantes, el nombre de la(s) GPPS que representan y el cumplimiento de los requisitos para participar de la subasta de sobre Cerrado GPPS.
Las ofertas en sobre cerrado se recibirán y radicarán con fecha y hora de presentación ante el ASIC.
12.13 CONTENIDO DE LAS OFERTAS.
<Numeral corregido y aclarado por el artículo 3 de la Resolución 57 de 2008. El nuevo texto es el siguiente:> El Participante deberá diligenciar y suscribir el formato definido por el ASIC para presentar las Ofertas para cada una de las GPPS el formato deberá contener:
a) Nombre o Denominación Social del participante.
b) Datos de la persona que firma el formato:
Nombre completo.
Cédula de ciudadanía para personas colombianas.
Cédula de Extranjería o pasaporte.
c) Nombre de la planta o unidad GPPS.
d) Máxima Cantidad de Energía Firme a ofertar en valores enteros de kWh-día acumulada entre los Años GPPS en los cuales aspira a obtener incremento de OEF declarados en el momento de declaración de ENFICC.
e) <Literal modificado por el artículo 3 de la Resolución 161 de 2011. El nuevo texto es el siguiente:> Precio a ofertar en dólares por megavatio hora con un decimal. Este valor deberá ser el mismo para cada uno de los años de vigencia de la obligación que tendría asignación GPPS para los cuales presenta propuesta. Para efectos del proceso de optimización este valor se convertirá en valores enteros en kilovatios hora.
f) <Literal modificado por el artículo 3 de la Resolución 161 de 2011. El nuevo texto es el siguiente:> Mínima Cantidad de Energía Firme. Valor mínimo de OEF acumulado entre los Años GPPS en los cuales aspira a obtener incremento de OEF declarados en el momento de declaración de ENFICC.
Los representantes deberán diligenciar toda la información requerida por el ASIC.
PARÁGRAFO 1. Si el Participante presenta cualquier información adicional a la solicitada en el formato al que se refiere este artículo, lo cual incluye cualquier tipo de notas aclaratorias u otro tipo de información no solicitada, su Oferta no será tenida en cuenta.
PARÁGRAFO 2. La Cantidad de Energía para Balance GPPS no será considerada en el proceso de asignación por subasta. El Año GPPS para el cual o los cuales se declare una Cantidad de Energía para Balance GPPS mayor que cero, serán los únicos períodos en los cuales la planta o unidad puede recibir incremento de asignación como resultado del proceso de subasta para GPPS.
<Numeral modificado por el artículo 4 de la Resolución 56 de 2008. El nuevo texto es el siguiente:> Las Ofertas que no cumplan con las siguientes condiciones se entenderán como no presentadas:
a) Debe ser presentada por el Participante en el formato establecido por el ASIC;
b) Deben ser diligenciada en su totalidad;
c) Debe estar firmada por el representante legal o por la persona con Poder, de acuerdo con lo establecido en el presente reglamento;
d) Se debe ofertar un precio menor o igual al PMGPPS para todos los Años GPPS para los cuales opta. Estos deben coincidir con los Años GPPS para los cuales se declaró la Cantidad de Energía Firme para Balance GPPS;
e) Se debe ofertar una Energía Firme menor o igual a la ENFICC verificada por el CND menos las asignaciones de OEF realizadas previamente a la GPPS.
En el momento en que el ASIC identifique que alguna de las condiciones anteriores no se cumplieron en la Oferta, informará inmediatamente al Participante respectivo, al Auditor de la Subasta y la CREG y se entenderá que la GPPS no participará en la Subasta de Sobre Cerrado para GPPS.
<Numeral modificado por el artículo 4 de la Resolución 56 de 2008. El nuevo texto es el siguiente:> El ASIC realizará las asignaciones de OEF aplicando las siguientes reglas.
12.15.1. En la asignación se tendrá en cuenta la Mínima Cantidad de Energía Firme total asignada por GPPS declarada por los Participantes.
12.15.2. <Numeral derogado por el artículo 11 de la Resolución 139 de 2011>
<Inciso modificado por el artículo 12 de la Resolución 139 de 2011. El nuevo texto es el siguiente:> El ASIC procederá a efectuar la Subasta de Sobre Cerrado de GPPS, utilizando un proceso de optimización con los siguientes pasos:
a) Validación. Se debe verificar que la información ofertada para cada una de las plantas GPPS cumpla las siguientes reglas:
i) La Máxima Cantidad de Energía Firme ofertada no puede ser superior a la ENFICC verificada por el CND menos las asignaciones de OEF realizadas previamente a la GPPS;
ii) La Mínima Cantidad de Energía Firme no puede ser superior a la Máxima Cantidad de Energía Firme ofertada;
iii) El precio ofertado debe ser igual o inferior al PMGPPS y ser igual para todos los Años GPPS en los cuales se presente oferta;
b) Diferenciación de Ofertas. <Literal corregido y aclarado por el artículo 4 de la Resolución 57 de 2008. El nuevo texto es el siguiente:> Se aplicará el siguiente procedimiento:
i. Cuando dos o más plantas GPPS oferten el mismo precio, se aplicará un proceso aleatorio que garantice que todas las ofertas tendrán precios diferentes restando incrementos de 1 US $/GWh.
ii. El precio de oferta para cada GPPS modificado o no por el proceso anterior, se multiplicará por un factor de la siguiente forma en US $/GWh:
![]()
Donde:
| : | precio que se obtiene en el subproceso ii; | |
| : | precio de oferta si no se aplica el subproceso i o de lo contrario, precio que se obtiene en el subproceso i. | |
| n | : | número secuencial de los Años GPPS en que ha ofertado energía firme un participante para una planta o unidad GPPS. Este valor va de 1 al número de Años GPPS para el cual se ha ofertado en cada planta. |
Las variaciones en los precios de oferta serán exclusivamente para fines del proceso de optimización y no para establecer el precio al que finalmente se adjudiquen las Obligaciones de Energía Firme.
En el caso de proyectos con varios desarrolladores se seleccionará el de menor precio resultante de este procedimiento.
c) Proceso de Optimización. <Literal corregido y aclarado por el artículo 4 de la Resolución 57 de 2008. El nuevo texto es el siguiente:> Este proceso tendrá las siguientes características para cada grupo q:
i. Se aplicará al Período GPPS.
ii. La función objetivo será minimizar: La suma de los productos entre las OEF asignadas multiplicado por su precio ofertado, diferenciado conforme a lo indicada en el literal b) anterior, por cada una de la plantas GPPS, más el producto entre la demanda no asignada y un precio igual a uno punto cinco (1.5) veces PMGPPS.
ii. La sumatoria de las asignaciones de OEF en todos los Años GPPS, para cada planta debe ser cero o un número entre la Cantidad Mínima de Energía Firme y la Máxima Cantidad de Energía Firme ofertada para esa GPPS.
iv. La suma de las asignaciones de OEF en un Año GPPS no puede ser superior a la demanda a asignar para dicho año por el proceso de subasta.
v. Las variables de asignación asociadas a cada planta para la formulación del problema de optimización se definen en orden ascendente según el precio de oferta de la planta o unidad resultante del procedimiento de diferenciación de ofertas para cada Año GPPS.
vi. <Ordinal modificado por el artículo 3 de la Resolución 183 de 2011. El nuevo texto es el siguiente:> La asignación de la OEF para cada grupo q se obtendrá de la primera solución encontrada al resolver el problema de optimización planteado en este literal según se establece en el numeral viii.
vii. <Ordinal modificado por el artículo 3 de la Resolución 183 de 2011. El nuevo texto es el siguiente:> Si existen plantas excluyentes en el grupo q, se obtendrá la primera solución de resolver el problema de optimización considerando las plantas del grupo q que no son excluyentes y las de cada una de las combinaciones posibles de las plantas excluyentes. Por lo tanto, se obtendrán tantas soluciones como combinaciones posibles haya. La asignación de las OEF, en este caso, se hará con la solución que tenga el menor valor de la función objetivo truncada a dos decimales y según se establece en el numeral viii. Si hay varias soluciones con valor igual, se seleccionará una de ellas aleatoriamente.
viii. <Ordinal adicionado por el artículo 4 de la Resolución 183 de 2011. El nuevo texto es el siguiente:> Una vez se finalice el proceso de optimización, se calculará para cada uno de los Años GPPS, el precio de oferta más alto de las GPPS que resultaron con asignación, sin el valor incorporado en el proceso de diferenciación. Estos serán los precios para remunerar las OEF para cada uno de los Años GPPS asignados.
La formulación matemática, el modelo computacional y el manual para hacer esta optimización se publicará mediante Circular de la Dirección Ejecutiva que estará disponible en la página WEB de la CREG.
El Manual contendrá todos los parámetros de programación y equipos necesarios para resolver el problema de optimización antes mencionado, dentro de los cuales estará, pero no limitado a ellos, los siguientes:
1. Programa de optimización. Versión y parámetros de ajuste del mismo.
2. Especificaciones de equipo computacional.
El ASIC llevará a cabo el proceso de asignación en presencia del Auditor de la subasta de GPPS y de los representantes de los Participantes o apoderados y publicará los resultados de la asignación: precios, período de vigencia de la obligación y cantidades asignadas a cada GPPS, en la fecha que defina la CREG.
12.16 SUBASTA DESIERTA. <Numeral adicionado por el artículo 4 de la Resolución 40 de 2008. El nuevo texto es el siguiente:>
El ASIC declarará desierta la Subasta de Sobre Cerrado para GPPS cuando no se reciban Ofertas o la totalidad de Ofertas presentadas hayan sido inadmitidas conforme a lo dispuesto en este Anexo.
DISPOSICIONES FINALES.
12.17 RECLAMACIONES. <Numeral adicionado por el artículo 4 de la Resolución 40 de 2008. El nuevo texto es el siguiente:>
Todas las reclamaciones que pudieran suscitarse respecto del desarrollo, ejecución y cumplimiento de la Subasta de Sobre Cerrado para GPPS, deberá tramitarse por los Participantes durante la Subasta en presencia del Auditor de la Subasta y antes del cierre de la misma, para lo cual, el ASIC publicará el procedimiento a seguir. Las respuestas estarán a cargo del ASIC, con base en la regulación vigente, en caso de no ser posible resolver la reclamación el ASIC tendrá la facultad de suspender la Subasta y dar traslado a la CREG.
12.18 GARANTÍAS. <Numeral adicionado por el artículo 4 de la Resolución 40 de 2008. El nuevo texto es el siguiente:>
Para todos los efectos, los Participantes de GPPS deberán cumplir lo establecido en la Resolución CREG 061 de 2007 o aquellas que la modifiquen adicionen o sustituyan.
12.19. LIMITACIÓN DE LA RESPONSABILIDAD DEL ASIC. <Numeral adicionado por el artículo 4 de la Resolución 40 de 2008. El nuevo texto es el siguiente:>
El ASIC no será responsable de la información suministrada por los Participantes, ni de los resultados que de la misma se deriven, así como del desarrollo de la Subasta de Sobre Cerrado para GPPS que dependa de la información suministrada y las actuaciones de los Participantes.
12.20 FECHA Y HORA. <Numeral adicionado por el artículo 4 de la Resolución 40 de 2008. El nuevo texto es el siguiente:>
Para todos los efectos se considerará la fecha y hora legal para la República de Colombia.
12.21 IDIOMA. <Numeral adicionado por el artículo 4 de la Resolución 40 de 2008. El nuevo texto es el siguiente:>
La Subasta de Sobre Cerrado para GPPS y los resultados de la misma serán redactados y se considerarán en castellano, idioma oficial de Colombia.





