RESOLUCION 240 DE 2004
(marzo 8)
Diario Oficial No. 45.489, de 13 de marzo de 2004
MINISTERIO DE AMBIENTE VIVIENDA Y DESARROLLO TERRITORIAL
<NOTA DE VIGENCIA: Resolución derogada por el artículo 6 de la Resolución 1571 de 2017>
Por la cual se definen las bases para el cálculo de la depreciación y se establece la tarifa mínima de la tasa por utilización de aguas.
LA MINISTRA DE AMBIENTE, VIVIENDA Y DESARROLLO TERRITORIAL,
en uso de sus atribuciones legales, en especial las contenidas en el artículo 5o numeral 29, y los artículos 42 y 43 de la Ley 99 de 1993,
RESUELVE:
ARTÍCULO 1o. BASES PARA EL CÁLCULO DE LA DEPRECIACIÓN PARA LA DETERMINACIÓN DE LA TARIFA MÍNIMA (TM) DE LA TASA POR UTILIZACIÓN DE AGUAS. <Resolución derogada por el artículo 6 de la Resolución 1571 de 2017> La depreciación del recurso por efecto de la utilización del agua que se tendrá en cuenta para calcular la tarifa mínima (TM), incluirá los costos sociales, ambientales y de recuperación del recurso hídrico. Dichos costos se evaluarán económicamente con base en un promedio estimado por metro cúbico, de las inversiones anuales en que han incurrido las autoridades ambientales competentes en los últimos tres (3) años para efectos de prevenir o controlar la depreciación del recurso. Las inversiones incluyen las siguientes actividades:
1. Estudios de investigación básica y aplicada sobre el recurso hídrico encaminados a la elaboración de balances hídricos, evaluación de la calidad del recurso y desarrollo del catastro de usuarios.
2. Establecimiento y operación de sistemas de medición y monitoreo del recurso hídrico.
3. Formulación de Planes de Ordenamiento y Manejo de Cuencas.
4. Proyectos para promover el uso eficiente y ahorro del agua.
5. Adquisición de predios en zonas de páramo, subpáramo, bosques de niebla, áreas de influencia de nacimientos y recarga de acuíferos y de estrellas fluviales.
6. Reforestación, restauración o manejo, de zonas de páramo, bosques de niebla, áreas de influencia de nacimientos y recarga de acuíferos y de estrellas fluviales.
7. Conservación de zonas de páramo, bosques de niebla, áreas de influencia de nacimientos y recarga de acuíferos y de estrellas fluviales.
8. Administración y operación de la tasa pro utilización de agua.
9. Mantenimiento, protección y regulación de cauces.
La estimación de tales costos se hará con base en la información suministrada directamente por las autoridades ambientales competentes y la que esté contenida en los Planes de Ordenamiento y Manejo de Cuenca.
ARTÍCULO 2o. TARIFA MÍNIMA (TM). <Resolución derogada por el artículo 6 de la Resolución 1571 de 2017> La tarifa mínima (TM) de la tasa por utilización de aguas será establecida y estimada en pesos por metro cúbico de agua (pesos/m3).
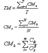
ARTÍCULO 3o. CÁLCULO DE LA TARIFA MÍNIMA (TM). <Resolución derogada por el artículo 6 de la Resolución 1571 de 2017> El monto tarifario mínimo de las tasas por utilización de aguas se calculará, de acuerdo con las siguientes fórmulas:

Donde:
TM: Es la tarifa mínima de la tasa por utilización del agua, expresada en pesos por metro cúbico ($/m3).
CMa: Corresponde a las inversiones medias anuales por metro cúbico incurridas por las autoridades ambientales competentes en las actividades descritas en el artículo 1o.
T: Número de años con información disponible sobre la inversión en el recurso hídrico por parte de las autoridades ambientales.
CMk: Corresponde a la suma de las inversiones anuales por metro cúbico incurridas por la autoridad ambiental competente k en las actividades descritas en el artículo 1o de la presente resolución.
N: Número de autoridades ambientales competentes.
Cik: Corresponde a la inversión en que incurre la autoridad ambiental competente k, en la actividad i, e incluidas en el artículo 1o de la presente resolución.
: Corresponde a la oferta hídrica disponible estimada para la jurisdicción de la autoridad ambiental competente k.
ARTÍCULO 4o. VALOR DE LA TARIFA MÍNIMA. <Resolución derogada por el artículo 6 de la Resolución 1571 de 2017> Teniendo en cuenta las bases para el cálculo de la depreciación contenidas en el artículo 1o y la fórmula de cálculo del artículo 3o de la presente resolución, el valor de la tarifa mínima será de cero punto cinco pesos por metro cúbico (0.5 $/m3).
ARTÍCULO 5o. AJUSTE DE LA TARIFA MÍNIMA. <Resolución derogada por el artículo 6 de la Resolución 1571 de 2017> El valor de la tarifa mínima se ajustará anualmente con base en el Indice de Precios al Consumidor, IPC. Las inversiones para el cálculo de las bases para la depreciación se actualizarán cada cinco (5) años.
ARTÍCULO 6o. VIGENCIA Y DEROGATORIAS. La presente resolución rige a partir de su publicación y deroga todas las disposiciones que le sean contrarias.
PUBLÍQUESE Y CÚMPLASE.
Dada en Bogotá, D. C., a 8 de marzo de 2004.
La Ministra de Ambiente, Vivienda y Desarrollo Territorial,
SANDRA SUÁREZ PÉREZ.