RESOLUCIÓN 910 DE 2008
(junio 5)
Diario Oficial No. 47.030 de 24 de junio de 2008
MINISTERIO DE AMBIENTE, VIVIENDA Y DESARROLLO TERRITORIAL
<NOTA DE VIGENCIA: Resolución derogada por el artículo 50 de la Resolución 762 de 2022>
Por la cual se reglamentan los niveles permisibles de emisión de contaminantes que deberán cumplir las fuentes móviles terrestres, se reglamenta el artículo 91 del Decreto 948 de 1995 y se adoptan otras disposiciones.
EL MINISTRO DE AMBIENTE, VIVIENDA Y DESARROLLO TERRITORIAL,
en ejercicio de sus funciones legales, y en especial las conferidas en los numerales 2, 10, 11, 14 y 25 del artículo 5o de la Ley 99 de 1993, en los artículos 65, 91, 92 y en los Capítulos IV y VIII del Decreto 948 de 1995 que contiene el Reglamento de Protección y Control de la Calidad del Aire.
CONSIDERANDO:
Que el artículo 78 de la Constitución Política establece que el saneamiento ambiental es un servicio público a cargo del Estado;
Que los artículos 79 y 80 de la Constitución Política establecen como obligación del Estado, proteger la diversidad e integridad del ambiente; fomentar la educación ambiental; prevenir y controlar los factores de deterioro ambiental; imponer las sanciones legales y exigir la reparación de los daños causados;
Que corresponde al Ministerio de Ambiente, Vivienda y Desarrollo Territorial, de acuerdo con los numerales 2 y 10 del artículo 5o de la Ley 99 de 1993, regular las condiciones generales para el saneamiento del medio ambiente, y el uso, manejo y aprovechamiento de los recursos naturales con el fin de mitigar o eliminar el impacto de actividades contaminantes del entorno, determinar las normas ambientales mínimas y las regulaciones de carácter general aplicables a todas las actividades que puedan generar directa o indirectamente daños ambientales;
Que de conformidad con el numeral 11 y 14 del artículo 5o de la Ley 99 de 1993, es función del Ministerio de Ambiente, Vivienda y Desarrollo Territorial dictar las regulaciones ambientales de carácter general para controlar y reducir la contaminación atmosférica en todo el territorio nacional y definir y regular los instrumentos administrativos y los mecanismos para la prevención y control de los factores de deterioro ambiental;
Que de conformidad con el numeral 25 del artículo 5o de la Ley 99 de 1993, corresponde al Ministerio de Ambiente, Vivienda y Desarrollo Territorial establecer los límites máximos permisibles de emisión que puedan afectar el medio ambiente o los recursos naturales renovables;
Que de conformidad con el numeral 12 del artículo 31 de la Ley 99 de 1993, las Corporaciones Autónomas Regionales, y las autoridades a que se refieren los artículos 66 de la Ley 99 de 1993 y 13 de la Ley 768 de 2002, les compete en el área de su jurisdicción ejercer las funciones de evaluación, control y seguimiento ambiental del uso del aire y los demás recursos naturales, las cuales comprenderán la emisión o incorporación de residuos líquidos, sólidos y gaseosos al aire, así como las emisiones que puedan causar daño o poner en peligro los recursos naturales renovables;
Que el Decreto 948 de 1995 contiene el reglamento de protección y control de la calidad del aire y define las acciones y los mecanismos administrativos que las autoridades ambientales deberán desarrollar para mejorar y preservar la calidad del aire y evitar reducir el deterioro del medio ambiente;
Que el literal b) del artículo 4o del Decreto 948 de 1995 establece que la quema de combustibles fósiles utilizados por el parque automotor, es una actividad contaminante sujeta a prioritaria atención y control por parte de las autoridades ambientales;
Que de conformidad con el artículo 65 y el Capítulo IV del Decreto 948 de 1995 que contiene el Reglamento de Protección y Control de la Calidad del Aire, le corresponde al Ministerio de Ambiente, Vivienda y Desarrollo Territorial establecer los estándares permisibles de emisión de contaminantes producidos por fuentes móviles, para lo cual debe establecer las regulaciones, prohibiciones y restricciones sobre emisiones contaminantes de fuentes móviles;
Que según lo dispuesto en el artículo 92 del mencionado decreto, le compete al Ministerio de Ambiente, Vivienda y Desarrollo Territorial determinar los mecanismos de evaluación de emisiones de vehículos automotores;
Que con base en estudios científicos y técnicos de calidad del aire en el territorio nacional y la información de las pruebas de verificación del cumplimiento de las normas establecidas en la Resolución 005 de 1996, el Ministerio de Ambiente, Vivienda y Desarrollo Territorial considera necesario establecer normas de emisión para vehículos automotores activados con gasolina y diésel (ACPM), con el propósito de proteger el medio ambiente, los recursos naturales renovables y la salud de la población en general;
Que en artículo 2o de la Ley 769 de 2002 se define el nivel de emisión de gases contaminantes como la cantidad descargada de gases contaminantes por parte de un vehículo automotor, que debe ser establecida por la autoridad ambiental competente;
En merito de lo expuesto,
RESUELVE:
DISPOSICIONES GENERALES Y DEFINICIONES.
ARTÍCULO 1o. OBJETO. <Resolución derogada por el artículo 50 de la Resolución 762 de 2022> La presente resolución establece los niveles máximos permisibles de emisión de contaminantes que deben cumplir las fuentes móviles terrestres, reglamenta los requisitos y certificaciones a las que están sujetos los vehículos y demás fuentes móviles, sean importadas o de fabricación nacional, y se adoptan otras disposiciones.
ARTÍCULO 2o. EXCEPCIONES. <Resolución derogada por el artículo 50 de la Resolución 762 de 2022> <Artículo modificado por el artículo 1 de la Resolución 1111 de 2013. Rige a partir del 15 de enero de 2015. Consultar el texto vigente hasta esta fecha en Legislación Anterior. El nuevo texto es el siguiente:> Se exceptúa del cumplimiento de las disposiciones de la presente resolución las locomotoras, equipos fuera de carretera para combate o defensa, equipos o maquinaria para obras civiles (vibradores, grúas) o viales (retroexcavadoras, mezcladoras, cortadoras, compactadores, vibrocompactadores, terminadoras o finishers), equipos internos para manejo de carga en la industria y terminales, equipos para minería (retroexcavadoras, cargadores, palas, camiones con capacidad superior a 50 toneladas), equipos agrícolas (trilladoras, cosechadoras, tractores, sembradoras, empacadoras, podadoras) ya sean movidas por llantas, rodillos, cadenas u orugas y en general los equipos establecidos como maquinaria o vehículos NONROAD, las declaradas por la autoridad de tránsito como vehículos antiguos o clásicos y los vehículos eléctricos.
PARÁGRAFO. Los límites máximos de emisión permisibles para vehículos pesados con motor dedicado a gas natural o GLP en prueba dinámica, que se ensamblen o se importen al país para transitar o circular en el territorio nacional, de acuerdo a su clasificación vehicular y ciclo de prueba utilizado, a partir de la entrada en vigencia de la presente resolución, son los siguientes:
Límites máximos de emisión permisibles para vehículos pesados ciclo Otto dedicados a gas natural o GLP, a partir de la entrada en vigencia de la presente resolución, evaluados mediante el Ciclo Transitorio de Servicio Pesado.
| CO | NOx + NMHC |
(g/bHP-h)
| LHDGE | 14,4 | 1,0 |
| HHDGE | 37,1 | 1,0 |
Límites máximos de emisión permisibles para vehículos pesados ciclo Otto dedicados a gas natural o GLP, a partir de la entrada en vigencia de la presente resolución, evaluados mediante el ciclo ETC.
| Subcategoría | CO | NMHC | CH4 | NOx |
| (g/kW-h) | ||||
| ETC | ETC | ETC | ETC | |
| N2, N3, M2, M3 | 4 | 0,55 | 1,1 | 3,5 |
ARTÍCULO 3o. DEFINICIONES. <Resolución derogada por el artículo 50 de la Resolución 762 de 2022> Para efectos de la presente resolución se adoptan las definiciones contenidas en el Anexo 1.
ARTÍCULO 4o. REPOTENCIACIÓN, HABILITACIÓN, TRANSFORMACIÓN, O ADECUACIÓN DEL PARQUE AUTOMOTOR DE SERVICIO PÚBLICO DE TRANSPORTE. <Resolución derogada por el artículo 50 de la Resolución 762 de 2022> El parque automotor de servicio público de transporte, que por disposición del Ministerio de Transporte haya sido repotenciado, habilitado, transformado, adecuado o cualquier otra categoría similar que busque la extensión de la vida útil determinada por la ley, deberá cumplir con las normas de emisión para prueba estática establecidas en la presente resolución para el año modelo equivalente según corresponda (Otto o Diésel);
El año modelo equivalente para estos vehículos corresponderá al año modelo del automotor más el número de años por el cual se reconozca la repotenciación, habilitación, transformación o adecuación, de acuerdo con lo establecido por el Ministerio de Transporte en la Resolución número 2502 del 22 de febrero de 2002, o la norma que la modifique, adicione o sustituya.
LÍMITES MÁXIMOS DE EMISIÓN PERMISIBLES PARA FUENTES MÓVILES EN PRUEBA ESTÁTICA.
ARTÍCULO 5o. LÍMITES MÁXIMOS DE EMISIÓN PERMISIBLES PARA VEHÍCULOS A GASOLINA. <Resolución derogada por el artículo 50 de la Resolución 762 de 2022> En la Tabla 1 se establecen los máximos niveles de emisión que podrá emitir toda fuente móvil clasificada como vehículo automotor con motor a gasolina, durante su funcionamiento en velocidad de crucero y en condición de marcha mínima, ralentí o prueba estática, a temperatura normal de operación.
TABLA 1
Límites máximos de emisión permisibles para vehículos accionados con gasolina en velocidad de crucero y en condición de marcha mínima, ralentí o prueba estática
| Año modelo | CO (%) | HC (ppm) |
| 1970 y anterior | 5,0 | 800 |
| 1971-1984 | 4,0 | 650 |
| 1985-1997 | 3,0 | 400 |
| 1998 y posterior | 1,0 | 200 |
PARÁGRAFO 1o. Cuando la concentración de O2 exceda el 5% o la concentración de CO2 sea inferior al 7%, se entenderá que existe dilución de la muestra y el vehículo automotor deberá ser rechazado.
PARÁGRAFO 2o. A partir de los vehículos año modelo 2010, los comercializadores representantes de marca, importadores, fabricantes o ensambladores de dichos vehículos deberán garantizar una emisión máxima permisible equivalente al 80% del valor establecido en la Tabla 1 para los vehículos con año modelo 1998 y posterior.
ARTÍCULO 6o. LÍMITES MÁXIMOS DE EMISIÓN PERMISIBLES PARA VEHÍCULOS BICOMBUSTIBLES GASOLINA-GAS NATURAL VEHICULAR O GASOLINA-GLP. <Resolución derogada por el artículo 50 de la Resolución 762 de 2022> En la tabla 2 se establecen los máximos niveles de emisión que podrá emitir toda fuente móvil clasificada como vehículo automotor convertido a gas natural vehicular o GLP, durante su funcionamiento en velocidad de crucero y en condición de marcha mínima, ralentí o prueba estática, a temperatura normal de operación, operando con gas natural vehicular o GLP, respectivamente.
TABLA 2
Límites máximos de emisión permisibles para vehículos convertidos a gas natural vehicular o GLP en velocidad de crucero y en condición de marcha mínima, ralentí o prueba estática
| Año modelo | CO (%) | HC (ppm) |
| 1970 y anterior | 5,0 | 800 |
| 1971-1984 | 4,0 | 650 |
| 1985-1997 | 3,0 | 400 |
| 1998 y posterior | 1,0 | 200 |
PARÁGRAFO. A partir de los vehículos año modelo 2010, los comercializadores representantes de marca, importadores, fabricantes o ensambladores de dichos vehículos deberán garantizar una emisión máxima permisible equivalente al 80% del valor establecido en la Tabla 2 para los vehículos con año modelo 1998 y posterior.
ARTÍCULO 7o. LÍMITES MÁXIMOS DE EMISIÓN PERMISIBLES PARA MOTOCICLETAS, MOTOCICLOS Y MOTOTRICICLOS. <Resolución derogada por el artículo 50 de la Resolución 762 de 2022> En la Tabla 3 se establecen los máximos niveles de emisión que podrá emitir toda fuente móvil clasificada como motocicleta, motociclo o mototriciclo con mezcla de gasolina aceite (dos tiempos) durante su funcionamiento en condición de marcha mínima o ralentí y a temperatura normal de operación, y en la Tabla 4 se establecen los límites máximos de emisión permisibles para motocicletas, motociclos y mototriciclos accionadas con gasolina (cuatro tiempos) en marcha mínima o ralentí, a temperatura normal de operación.
TABLA 3
Máximos niveles de emisión permisibles para motocicletas, motociclos y mototriciclos accionados con mezcla de gasolina aceite (dos tiempos) en marcha mínima o ralentí
| Año modelo | CO (%) | HC (ppm) |
| 2009 y anterior | 4,5 | 10.000 |
| 2010 y posterior | 4,5 | 2.000 |
TABLA 4
Límites máximos de emisión permisibles para motocicletas, motociclos y mototriciclos accionadas con gasolina (cuatro tiempos) en condición de marcha mínima o ralentí
| Año modelo | CO (%) | HC (ppm) |
| Todos | 4,5 | 2.000 |
PARÁGRAFO 1o. A partir del año modelo 2010, los comercializadores representantes de marca, importadores, fabricantes o ensambladores de motocicletas, motociclos o mototriciclos de dos (2) tiempos deben garantizar una emisión máxima permisible equivalente al 80% del valor de hidrocarburos establecido en la Tabla 3 para los vehículos con año modelo 2010 y posterior.
PARÁGRAFO 2o. A partir del año modelo 2010, los comercializadores representantes de marca, importadores, fabricantes o ensambladores de motocicletas, motociclos o mototriciclos de cuatro (4) tiempos deberán garantizar una emisión máxima permisible equivalente al 80% del valor de hidrocarburos establecido en la Tabla 4.
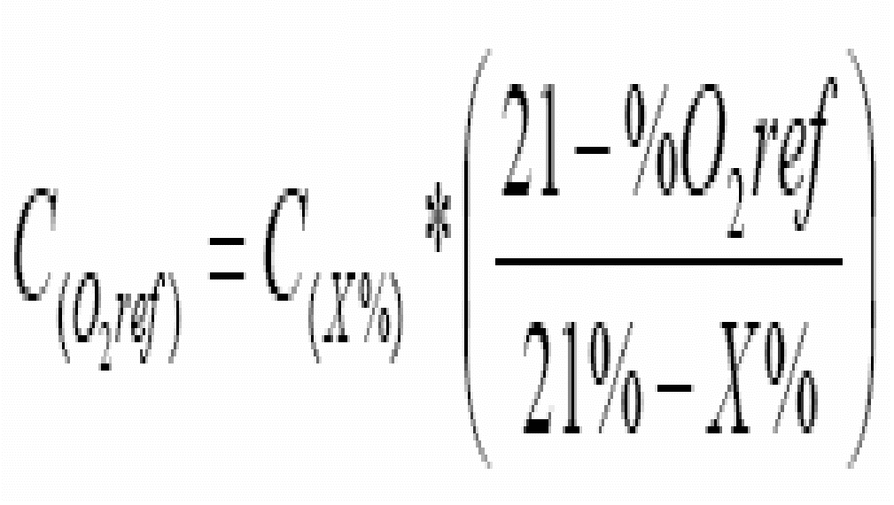
PARÁGRAFO 3o. Los límites máximos de emisión permisibles son establecidos para un valor de exceso de oxígeno máximo de 11% para motocicletas, motociclos y mototriciclos de dos (2) tiempos, y de 6% máximo para motocicletas, motociclos y mototriciclos de cuatro (4) tiempos. Solamente los valores obtenidos con concentraciones de oxígeno superiores a los máximos establecidos deberán ser corregidos y ajustados según la siguiente ecuación, que deberá ser integrada al software del equipo de medición, para su posterior comparación con la Tabla 3 o Tabla 4.
Cuando el oxígeno medido sea menor al oxígeno máximo, las mediciones de contaminantes se deberán comparar directamente con la Tabla 3 o Tabla 4. Las ecuaciones para obtener los valores corregidos son las siguientes:

Donde:
| C(O2ref): | Concentración del contaminante con la corrección de oxígeno, basado en el oxígeno de referencia del tipo de motor (2 o 4 tiempos). |
| C(X%): | Concentración del contaminante medido en los gases de salida sin corrección por oxígeno. |
| %O2ref: | Oxígeno de referencia del tipo de motor (2 o 4 tiempos) en (%). |
| X%: | Oxígeno medido en los gases de salida en (%). |
PARÁGRAFO 4o. Las motocicletas, motociclos y mototriciclos de dos (2) y cuatro (4) tiempos año modelo 2010 y posteriores, deberán comparar los límites máximos de emisión permisibles para un valor de exceso de oxígeno máximo de 6%.
ARTÍCULO 8o. LÍMITES MÁXIMOS DE EMISIÓN PERMISIBLES PARA VEHÍCULOS DIÉSEL. <Resolución derogada por el artículo 50 de la Resolución 762 de 2022> En la Tabla 5 se establecen los máximos niveles de opacidad que podrá emitir toda fuente móvil clasificada como vehículo automotor con motor diésel durante su funcionamiento en condición de aceleración libre y a temperatura normal de operación.
TABLA 5
Límites máximos de opacidad permisibles para vehículos accionados con diésel (ACPM) en aceleración libre
| Año modelo | Opacidad (%) |
| 1970 y anterior | 50 |
| 1971-1984 | 45 |
| 1985-1997 | 40 |
| 1998 y posterior | 35 |
PARÁGRAFO. A partir de los vehículos año modelo 2010, los comercializadores representantes de marca, importadores, fabricantes o ensambladores de dichos vehículos deberán garantizar una emisión máxima permisible equivalente al 80% del valor establecido en la Tabla 5 para los vehículos con año modelo 1998 y posterior.
ARTÍCULO 9o. LÍMITES MÁXIMOS DE EMISIÓN PERMISIBLES PARA VEHÍCULOS QUE UTILIZAN MEZCLAS DE COMBUSTIBLES. <Resolución derogada por el artículo 50 de la Resolución 762 de 2022> Los vehículos que utilizan mezclas de combustibles deberán cumplir con los límites máximos permisibles establecidos en la Tabla 1 si corresponden a vehículos ciclo Otto y la Tabla 5 si corresponden a vehículos ciclo Diésel. Las motocicletas, motociclos y mototriciclos que utilicen mezclas de combustibles deberán cumplir con los límites máximos establecidos en la Tabla 3 según el año modelo si son de dos (2) tiempos o en la Tabla 4 si son de cuatro (4) tiempos.
ARTÍCULO 10. LÍMITES MÁXIMOS DE EMISIÓN PERMISIBLES PARA MOTOCARROS. <Resolución derogada por el artículo 50 de la Resolución 762 de 2022> Los motocarros con motor de motocicleta y en general todos los vehículos con componentes mecánicos de motocicleta, deberán cumplir los límites máximos de emisión permisibles y los procedimientos de evaluación determinados para motocicletas, motociclos y mototriciclos.
DISPOSICIONES SOBRE LA CERTIFICACIÓN INICIAL DE LAS EMISIONES CONTAMINANTES DE LAS FUENTES MÓVILES.
ARTÍCULO 11. CERTIFICACIÓN DE LAS EMISIONES EN VELOCIDAD DE CRUCERO Y MARCHA MÍNIMA, RALENTÍ O PRUEBA ESTÁTICA. <Resolución derogada por el artículo 50 de la Resolución 762 de 2022> Las fuentes móviles clasificadas como vehículo automotor con motor ciclo Otto que se ensamblen, importen o comercialicen deberán obtener la certificación de emisiones de monóxido de carbono (CO) e hidrocarburos (HC) en condición de velocidad de crucero y marcha mínima o ralentí, que deberá encontrarse dentro de los límites establecidos en la presente resolución. Las motocicletas, motociclos y mototriciclos que se ensamblen, importen, fabriquen o comercialicen deberán obtener la certificación de emisiones de Monóxido de Carbono (CO) e Hidrocarburos (HC) en condición de marcha mínima o ralentí, que deberán encontrarse dentro de los límites establecidos en la presente resolución. Dicha certificación deberá ser expedida por el comercializador representante de marca, importador o ensamblador del vehículo siempre y cuando los equipos y procedimientos que se utilicen para tal efecto, cumplan con las Normas Técnicas Colombianas establecidas en la Resolución 3500 de 2005, o en las normas que las modifiquen, adicionen o sustituyan.
A partir de la entrada en vigencia de la presente resolución, los comercializadores representantes de marca, importadores, fabricantes o ensambladores de fuentes móviles clasificadas como vehículo automotor, especificarán las condiciones de reglaje del motor y el cumplimiento de los niveles de emisión establecidos en la presente resolución en un autoadhesivo que se fijará en un lugar visible dentro de la cubierta del motor o la cabina del vehículo y en una certificación que será entregada a quienes adquieran los vehículos, sin perjuicio de los demás documentos en donde deban constar.
A partir del 1o de enero de 2009, los comercializadores representantes de marca, importadores, fabricantes o ensambladores de motocicletas, motociclos y mototriciclos, especificarán las condiciones de reglaje del motor y el cumplimiento de los niveles de emisión establecidos en la presente resolución en una certificación que deberá ser entregada a quienes adquieran los vehículos, sin perjuicio de los demás documentos en donde deban constar.
La certificación de que trata este artículo debe incluir por lo menos la siguiente información: fecha de la prueba, nombre o razón social, documento de identidad (NIT o cédula de ciudadanía), dirección, teléfono, ciudad y departamento de quien expide la certificación y marca, línea, clase, modelo, cilindrada, VIN o serial y número de motor del vehículo al que se le expide la certificación.
Dicho documento debe certificar el cumplimiento de los niveles máximos permisibles establecidos en la presente resolución o en la que la adicione, sustituya o modifique.
Los comercializadores representantes de marca, importadores, fabricantes y ensambladores, de motocicletas, motociclos y mototriciclos deberán especificar adicionalmente si corresponde a un vehículo de dos (2) o cuatro (4) tiempos.
ARTÍCULO 12. CERTIFICACIÓN DE LAS EMISIONES DE OPACIDAD EN CONDICIÓN DE ACELERACIÓN LIBRE. <Resolución derogada por el artículo 50 de la Resolución 762 de 2022> Las fuentes móviles clasificadas como vehículo automotor con motor ciclo Diésel que se ensamblen, importen o comercialicen deberán obtener la certificación de emisiones de opacidad en condición de aceleración libre, que deberá encontrarse dentro de los límites establecidos en la presente resolución. Dicha certificación deberá ser expedida por el comercializador representante de marca, importador, fabricante o ensamblador del vehículo siempre y cuando los equipos y procedimientos que se utilicen para tal efecto, cumplan con las Normas Técnicas Colombianas establecidas en la Resolución 3500 de 2005 o en las normas que las modifiquen, adicionen o sustituyan.
A partir de la entrada en vigencia de la presente resolución, los comercializadores representantes de marca, importadores, fabricantes o ensambladores de fuentes móviles clasificadas como vehículo automotor, especificarán las condiciones de reglaje del motor y el cumplimiento de los niveles de emisión establecidos en la presente resolución en un autoadhesivo que se fijará en un lugar visible dentro de la cubierta del motor o la cabina del vehículo y en una certificación que será entregada a quienes adquieran los vehículos, sin perjuicio de los demás documentos en donde deban constar.
La certificación de que trata este artículo debe incluir por lo menos la siguiente información: fecha de la prueba, nombre o razón social, documento de identidad (NIT o cédula de ciudadanía), dirección, teléfono, ciudad y departamento de quien expide la certificación y marca, línea, clase, modelo, cilindrada, VIN o serial y número de motor del vehículo al que se le expide la certificación.
Dicho documento debe certificar el cumplimiento de los niveles máximos permisibles establecidos en la presente resolución o en la que la adicione, sustituya o modifique.
ARTÍCULO 13. VIGENCIA DE LA CERTIFICACIÓN DE CUMPLIMIENTO DE LAS NORMAS DE EMISIÓN EN CONDICIÓN DE MARCHA MÍNIMA (RALENTÍ), VELOCIDAD CRUCERO O ACELERACIÓN LIBRE. <Resolución derogada por el artículo 50 de la Resolución 762 de 2022> El comercializador representante de marca, importador, fabricante o ensamblador deberá garantizar que el diseño del vehículo permite el cumplimiento de los niveles de emisión establecidos en la presente resolución, por un periodo de dos (2) años para vehículos automotores, motocicletas, motociclos y mototriciclos, contados a partir de su año de matrícula o registro inicial, siempre y cuando el mantenimiento sea realizado siguiendo las recomendaciones establecidas en los manuales de operación y mantenimiento de los mismos.
PARÁGRAFO 1o. Los comercializadores representantes de marca, importadores, fabricantes o ensambladores se obligan a realizar la prueba de medición de gases por lo menos al 25% por cada modelo de los vehículos producidos, ensamblados, importados, fabricados o comercializados que vayan a circular en el país. Los resultados deben ser guardados en una base de datos y enviados anualmente dentro de los primeros treinta (30) días de cada año a la Dirección de Desarrollo Sectorial Sostenible del Ministerio de Ambiente, Vivienda y Desarrollo Territorial, en medio digital y mediante correo electrónico.
PARÁGRAFO 2o. La base de datos debe incluir por lo menos la información especificada en los numerales 1, 2, 3 y 11 del literal a), Información General, del Formato Uniforme de Resultados de las Revisiones Técnico-Mecánica y de Gases que se establece en el Anexo 1 de la Resolución 5600 de 2006, expedida por los Ministerios de Transporte y de Ambiente, Vivienda y Desarrollo Territorial, o en las normas que la modifiquen, adicionen o sustituyan. Se exceptúa del numeral 3, la información relacionada con placa, servicio, número de licencia de tránsito y color.
ARTÍCULO 14. VERIFICACIÓN DE LAS CERTIFICACIONES. <Resolución derogada por el artículo 50 de la Resolución 762 de 2022> La autoridad ambiental competente podrá, en cualquier tiempo, verificar el contenido de las certificaciones expedidas por los comercializadores representantes de marca, importadores, fabricantes o ensambladores sobre el cumplimiento de las normas establecidas en la presente resolución, así como las características de funcionamiento de los equipos y procedimientos utilizados para la medición de los contaminantes en condición de velocidad de crucero, marcha mínima (ralentí) o en aceleración libre.
La autoridad ambiental competente podrá, sin previo aviso, verificar el cumplimiento de los límites máximos de emisión establecidos en la presente resolución, en condiciones de velocidad de crucero, marcha mínima o ralentí y en aceleración libre, de forma selectiva, en los vehículos y motocicletas, motociclos y mototriciclos nuevos que vayan a ser vendidos por los comercializadores representantes de marca, importadores, fabricantes o ensambladores.
PARÁGRAFO 1o. El procedimiento de selección que seguirán las autoridades ambientales para la evaluación de las emisiones contaminantes, en condición de velocidad de crucero, marcha mínima o ralentí y en aceleración libre, a los vehículos o motocicletas, motociclos y mototriciclos que vayan a ser vendidos por parte de los comercializadores representantes de marca, importadores, fabricantes o ensambladores será el siguiente:
1. Sobre un lote de vehículos o motocicletas, motociclos y mototriciclos se evaluará como mínimo el 10% de los vehículos del mismo, en forma proporcional al modelo o referencia.
2. De verificarse que alguno de los vehículos o motocicletas, motociclos y mototriciclos evaluados no cumplen con los niveles de emisión, el comercializador representante de marca, importador, fabricante o ensamblador deberá realizar la revisión y ajustes necesarios al lote de vehículos o motocicletas, motociclos y mototriciclos. Desde que se verifique un incumplimiento y durante el periodo en que se realicen los ajustes necesarios al lote de vehículos o motocicletas, motociclos y mototriciclos, no se podrá comercializar ninguno de los vehículos o motocicletas, motociclos y mototriciclos que pertenezcan al lote evaluado.
3. Una vez la empresa informe a la autoridad ambiental competente sobre los ajustes efectuados, se procederá a realizar una nueva evaluación, siguiendo los pasos 1 y 2. En este evento, los costos que demande ésta, serán cubiertos por el comercializador representante de marca, importador, fabricante o ensamblador.
PARÁGRAFO 2o. Los equipos y procedimientos que utilice la autoridad ambiental competente deberán cumplir con las Normas Técnicas Colombianas establecidas en la Resolución 3500 de 2005 o en las normas que la modifiquen, adicionen o sustituyan.
VIGILANCIA Y CONTROL DE LAS FUENTES MÓVILES.
ARTÍCULO 15. OPERATIVOS DE REVISIÓN. <Resolución derogada por el artículo 50 de la Resolución 762 de 2022> En ejercicio de la función legal de vigilancia y control, autoridades ambientales competentes, realizarán operativos de verificación de emisiones a las fuentes móviles en circulación, en conjunto con las secretarías y demás organismos de tránsito departamentales, distritales y municipales, cuando menos cada dos meses dentro de su jurisdicción, siguiendo los procedimientos establecidos en el Capítulo III de la presente resolución, e impondrán sanciones conforme a la facultad dada por la ley para cada autoridad.
Para ello, deberán contar con los equipos de medición móvil y el personal idóneo para realizar los operativos, o realizar convenios de cooperación o contratos con personas naturales o personas jurídicas que demuestren la capacidad técnica y operativa para realizar los operativos de revisión, de acuerdo con lo establecido en la presente resolución.
ARTÍCULO 16. EMISIONES VISIBLES EN VEHÍCULOS A GASOLINA. <Resolución derogada por el artículo 50 de la Resolución 762 de 2022> La autoridad de tránsito iniciará el proceso sancionatorio a que hace referencia el Título IV de la Ley 769 de 2002, cuando en una fuente móvil clasificada como vehículo automotor a gasolina se aprecien emisiones visibles, como humos azules o negros, por períodos mayores a diez (10) segundos consecutivos, previa verificación de que el vehículo se encuentra funcionando a su temperatura normal de operación.
ARTÍCULO 17. EMISIONES VISIBLES EN VEHÍCULOS DIÉSEL. <Resolución derogada por el artículo 50 de la Resolución 762 de 2022> La autoridad de tránsito iniciará el proceso sancionatorio a que hace referencia el Título IV de la Ley 769 de 2002, cuando en una fuente móvil clasificada como vehículo automotor diésel se aprecien emisiones que produzcan un oscurecimiento igual o superior al Patrón número 4 de la escala de Ringelmann durante tres aceleraciones a fondo consecutivas, previa verificación de que el vehículo se encuentra funcionando a su temperatura normal de operación.
CLASIFICACIÓN DE LAS FUENTES MÓVILES.
ARTÍCULO 18. CLASIFICACIÓN DE VEHÍCULOS AUTOMOTORES. <Resolución derogada por el artículo 50 de la Resolución 762 de 2022> <Artículo modificado por el artículo 3 de la Resolución 1111 de 2013. Rige a partir del 15 de enero de 2015. Consultar el texto vigente hasta esta fecha en Legislación Anterior. El nuevo texto es el siguiente:> Para efectos de la presente resolución se adoptará la clasificación de las fuentes móviles para la medición de emisiones conforme a los ciclos de prueba de los Estados Unidos contenida en la Tabla 6 y conforme a los ciclos de prueba de la Unión Europea contenida en la Tabla 7.
TABLA 6
Clasificación de las fuentes móviles para la medición de emisiones conforme a los ciclos de prueba de Estados Unidos
| Categoría | Subcategoría | Capacidad | Peso neto | Peso bruto | ALVW | LVW |
| (kg) | ||||||
| LDV | = 12 Pasajeros | = 3.856 | ||||
| LDT | LLDT | LDT1 | > 12 Pasajeros | = 2.722 | = 2.722 | = 1.701 |
| LDT2 | > 1.701 | |||||
| HLDT | LDT3 | > 2.722 | = 2.608 | |||
| LDT4 | = 3.856 | > 2.608 | ||||
| HDV | MDPV | < 12 Pasajeros | >2.722 | > 3.856 | ||
| < 4.537 | ||||||
| LHDGE | > 3.856 | |||||
| = 6.350 | ||||||
| HHDGE | > 6.350 | |||||
| LHDDE | > 3.856 < 8.845 | |||||
| MHDDE | = 8.845 = 14.969 | |||||
| HHDDE | > 14.969 | |||||
| Urban bus | > 15 Pasajeros | |||||
TABLA 7
Clasificación de las fuentes móviles para la medición de emisiones conforme a los ciclos de prueba de la Unión Europea
| Categoría | Subcategoría | Capacidad | Peso bruto (kg) | RW (kg) | |
| Para vehículos ciclo Otto | Para vehículos ciclo Diésel | ||||
| M | M1 | = 8 Pasajeros | |||
| M2 | > 8 Pasajeros | = 5.000 | |||
| M3 | > 5.000 | ||||
| N | N1 | Clase I | = 3.500 | < 1.250 | = 1.305 |
| Clase II | = 1.250 = 1.700 | > 1.305 = 1.760 | |||
| Clase III | > 1.700 | > 1.760 | |||
| N2 | > 3.500 | ||||
| = 12.000 | |||||
| N3 | > 12.000 | ||||
LÍMITES MÁXIMOS DE EMISIÓN PERMISIBLES PARA FUENTES MÓVILES EN PRUEBA DINÁMICA.
ARTÍCULO 19. LÍMITES MÁXIMOS DE EMISIÓN PERMISIBLES PARA VEHÍCULOS CON MOTOR A GASOLINA. <Resolución derogada por el artículo 50 de la Resolución 762 de 2022> En la Tabla 8, Tabla 9 y Tabla 10 se establecen los máximos niveles de emisión que podrá emitir toda fuente móvil clasificada como vehículo automotor con motor a gasolina en prueba dinámica, que se ensamble o se importe al país para transitar o circular en el territorio nacional, de acuerdo a su clasificación vehicular y ciclo de prueba utilizado, a partir del año modelo 2010.
TABLA 8
Límites máximos de emisión permisibles para vehículos livianos y medianos accionados con gasolina en prueba dinámica, evaluados mediante ciclos de Estados Unidos (FTP-75)
| Categoría | Subcategoría | CO | HC | HCNM | NOx | |
| (g/km) | ||||||
| LDV | --- | 2,11 | 0,25 | 0,16 | 0,25 | |
| LDT | LLDT | LDT1 | 2,11 | --- | 0,16 | 0,25 |
| LDT2 | 2,73 | --- | 0,20 | 0,44 | ||
| HLDT | LDT3 | 2,73 | 0,20 | --- | 0,44 | |
| LDT4 | 3,11 | 0,24 | --- | 0,68 | ||
TABLA 9
Límites máximos de emisión permisibles para vehículos pesados accionados con gasolina en prueba dinámica, evaluados mediante ciclos de Estados Unidos (Ciclo Transitorio de Servicio Pesado)
| Categoría | Subcategoría | CO | HC | NOx |
| (g/BHP-h) | ||||
| HDV | LHDGE | 14,4 | 1,1 | 4,0 |
| HHDGE | 37,1 | 1,9 | 4,0 | |
TABLA 10
Límites máximos de emisión permisibles para vehículos livianos y medianos accionados con gasolina en prueba dinámica, evaluados mediante ciclos de la Unión Europea (ECE-15+EUDC)
| Categoría | Subcategoría | CO | HC + NOx | |
| (g/km) | ||||
| M | M1 | 2,20 | 0,50 | |
| N | N1 | Clase I | 2,20 | 0,50 |
| Clase II | 4,00 | 0,65 | ||
| Clase III | 5,00 | 0,80 | ||
PARÁGRAFO. Todo vehículo pesado accionado con gasolina deberá cumplir con los límites máximos permisibles en prueba dinámica establecidos en la Tabla 9.
ARTÍCULO 20. EMISIONES EVAPORATIVAS PERMISIBLES PARA VEHÍCULOS CON MOTOR A GASOLINA. <Resolución derogada por el artículo 50 de la Resolución 762 de 2022> Las emisiones evaporativas de toda fuente móvil clasificada como vehículo automotor con motor a gasolina, que se ensamble o se importe al país para transitar o circular en el territorio nacional, no podrán ser superiores a 2 gramos por prueba.
ARTÍCULO 21. LÍMITES MÁXIMOS DE EMISIÓN PERMISIBLES PARA MOTOCICLETAS, MOTOCICLOS Y MOTOTRICICLOS CON MOTOR A GASOLINA. <Resolución derogada por el artículo 50 de la Resolución 762 de 2022> En la Tabla 11 y Tabla 12 se establecen los máximos niveles de emisión que podrá emitir toda fuente móvil clasificada como motocicleta, motociclo o mototriciclo con motor a gasolina en prueba dinámica, que se ensamble o se importe al país para transitar o circular en el territorio nacional, de acuerdo al ciclo de prueba utilizado, a partir del 1o de enero de 2009.
TABLA 11
Límites máximos de emisión permisible para motocicletas, motociclos y mototriciclos accionados con gasolina en prueba dinámica, evaluados mediante ciclo de Estados Unidos (FTP-75)
| Categoría | CO(g/km) | HC(g/km) |
| Todas | 12 | 5 |
TABLA 12
Límites máximos de emisión permisible para motocicletas, motociclos y mototriciclos accionados con gasolina en prueba dinámica, evaluados mediante ciclo de la Unión Europea (ECE R-40)
| Categoría | CO(g/km) | HC(g/km) | NOx (g/km) |
| Dos tiempos | 8 | 4 | 0,1 |
| Cuatro tiempos | 13 | 3 | 0,3 |
PARÁGRAFO 1o. A partir del 1o de enero de 2011 toda fuente móvil clasificada como motocicleta, motociclo o mototriciclo con motor a gasolina que se ensamble o se importe al país para transitar o circular en el territorio nacional en prueba dinámica deberá cumplir con los máximos niveles de emisión en prueba dinámica que se establecen en la Tabla 13 y Tabla 14 de acuerdo con el ciclo de prueba utilizado.
TABLA 13
Límites máximos de emisión permisible para motocicletas, motociclos y mototriciclos accionados con gasolina en prueba dinámica, evaluados mediante ciclo de Estados Unidos (FTP-75)
| Categoría | CO(g/km) | HC(g/km) | HC + NOx(g/km) |
| Cilindrada menor a 280 cc | 12 | 1 | |
| Cilindrada mayor o igual a 280 cc | 12 | 1,4 | |
TABLA 14
Límites máximos de emisión permisible para motocicletas, motociclos y mototriciclos accionados con gasolina en prueba dinámica, evaluados mediante ciclo de la Unión Europea (ECE R-40)
| Categoría | CO(g/km) | HC(g/km) | NOx (g/km) |
| Cilindrada menor 150 cc | 5,5 | 1,2 | 0,3 |
| Cilindrada mayor o igual 150 cc | 5,5 | 1,0 | 0,3 |
PARÁGRAFO 2o. Las motocicletas, motociclos y mototriciclos evaluados mediante ciclo de Estados Unidos (FTP -75) de acuerdo con la Tabla 13 y con cilindrada menor a 280 cc podrán compararse con el límite máximo de emisión permisible de HC + NOx de 1,4 g/km en lugar del límite máximo de emisión permisible de HC de 1 g/km.
PARÁGRAFO 3o. Las motocicletas, motociclos y mototriciclos de cilindrada inferior a 50 cm3 quedan excluidas de cumplir con los límites máximos de emisión permisible en prueba dinámica.
PARÁGRAFO 4o. En el caso de los motocarros evaluados mediante ciclo de la Unión Europea (ECE R-40) de acuerdo con la Tabla 12 los valores límites se multiplicarán por el factor 1,5.
ARTÍCULO 22. LÍMITES MÁXIMOS DE EMISIÓN PERMISIBLES PARA VEHÍCULOS CON MOTOR DIÉSEL. <Resolución derogada por el artículo 50 de la Resolución 762 de 2022> En la Tabla 15, Tabla 16, Tabla 17 y Tabla 18 se establecen los máximos niveles de emisión que podrá emitir toda fuente móvil clasificada como vehículo automotor con motor diésel en prueba dinámica, que se ensamble o se importe al país para transitar o circular en el territorio nacional, de acuerdo a su clasificación vehicular y ciclo de prueba utilizado, a partir del año modelo 2010.
TABLA 15
Límites máximos de emisión permisibles para vehículos livianos y medianos accionados con diésel (ACPM) en prueba dinámica, evaluados mediante ciclos de Estados Unidos (FTP-75)
| Categoría | Subcategoría | CO | HC | HCNM | NOx | MP | |
| (g/km) | |||||||
| LDV | --- | 2,11 | 0,25 | 0,16 | 0,62 | 0,05 | |
| LDT | LLDT | LDT1 | 2,11 | --- | 0,16 | 0,62 | 0,05 |
| LDT2 | 2,73 | --- | 0,20 | --- | 0,05 | ||
| HLDT | LDT3 | 2,73 | 0,20 | --- | --- | --- | |
| LDT4 | 3,11 | 0,24 | --- | --- | --- | ||
TABLA 16
Límites máximos de emisión permisibles para vehículos pesados accionados con diésel (ACPM) en prueba dinámica, evaluados mediante ciclos de Estados Unidos (Ciclo Transitorio de Servicio Pesado)
| Categoría | Subcategoría | CO | HC | NOx | MP |
| (g/BHP-h) | |||||
| HDV | LHDDE MHDDE HHDDE ó Urban bus | 15,5 | 1,3 | 5,0 | 0,1 |
TABLA 17
Límites máximos de emisión permisibles para vehículos livianos y medianos accionados con diésel (ACPM) en prueba dinámica, evaluados mediante ciclos de la Unión Europea (ECE-15+EUDC)
| Categoría | Subcategoría | CO | HC + NOx | MP | |
| (g/km) | |||||
| M | M1 | 1,00 | 0,70 | 0,08 | |
| N | N1 | Clase I | 1,00 | 0,70 | 0,08 |
| Clase II | 1,25 | 1,00 | 0,12 | ||
| Clase III | 1,50 | 1,20 | 0,17 | ||
TABLA 18
Límites máximos de emisión permisibles para vehículos pesados accionados con diésel (ACPM) en prueba dinámica, evaluados mediante ciclos de la Unión Europea (ECE R-49)
| Categoría | Sub categoría | CO | HC | NOx | MP |
| (g/kW-h) | |||||
| M | M2 | ||||
| M3 | 4,0 | 1,1 | 7,0 | 0,15 | |
| N | N2 | ||||
| N3 | |||||
<Tabla adicionada por el artículo 4 de la Resolución 1111 de 2013. Rige a partir del 15 de enero de 2015. El nuevo texto es el siguiente:> En la Tabla 19 se establecen los máximos niveles de emisión para los vehículos livianos y medianos, motor ciclo Diésel, a partir de la entrada en vigencia de la presente resolución.
TABLA 19
Límites máximos de emisión permisibles para vehículos livianos y medianos a partir de la entrada en vigencia de la presente resolución con motor ciclo Diésel, evaluados mediante el ciclo NEDC
| Subcategoría | CO | NOX | HC+NOX | MP | |
| (g/km) | |||||
| M1 | 0,50 | 0,25 | 0,30 | 0,025 | |
| N1 | Clase I | 0,50 | 0,25 | 0,30 | 0,025 |
| Clase II | 0,63 | 0,33 | 0,39 | 0,04 | |
| Clase III | 0,74 | 0,39 | 0,46 | 0,06 | |
Los vehículos livianos y medianos con motor ciclo Diésel, cuyo peso máximo sobrepase los 2.500 kg serán verificados con los límites establecidos para la subcategoría N1 de la Tabla 19.
PARÁGRAFO 1o. A partir de la entrada en vigencia de la presente resolución, cuando el comercializador representante de marca, importador, fabricante o ensamblador de vehículos livianos y medianos con motor ciclo Diésel utilice el ciclo FTP en lugar del ciclo NEDC, deberá cumplir con los límites establecidos en la Tabla 20.
<Tabla adicionada por el artículo 4 de la Resolución 1111 de 2013. Rige a partir del 15 de enero de 2015. El nuevo texto es el siguiente:>
TABLA 20
Límites máximos de emisión permisibles para vehículos livianos y medianos a partir de la entrada en vigencia de la presente resolución con motor ciclo Diésel, evaluados mediante el ciclo FTP
| Subcategoría | CO | HCNM | NOX | MP | |
| g/km | |||||
| Estándar intermedio | LDV, LDT1 | 2,11 | 0,047 | 0,124 | 0,037 |
| LDT2 | 2,11 | 0,062 | 0,124 | 0,037 | |
| LDT3, LDT4, MDPV | 2,11 | 0,087 | 0,124 | 0,037 | |
| Estándar final | LDV, LDT1 | 2,61 | 0,056 | 0,186 | 0,037 |
| LDT2 | 2,61 | 0,081 | 0,186 | 0,037 | |
| LDT3, LDT4, MDPV | 2,61 | 0,112 | 0,186 | 0,037 | |
El cumplimiento de los límites máximos de emisión permisibles se verificará con el estándar intermedio o con el estándar final. En cualquiera de los casos el reporte técnico deberá especificar el estándar seleccionado.
<Tabla adicionada por el artículo 4 de la Resolución 1111 de 2013. Rige a partir del 15 de enero de 2015. El nuevo texto es el siguiente:> En la Tabla 21 se establecen los máximos niveles de emisión para los vehículos pesados motor ciclo Diésel, a partir de la entrada en vigencia de la presente resolución.
TABLA 21
Límites máximos de emisión permisibles para vehículos pesados a partir de la entrada en vigencia de la presente resolución con motor ciclo Diésel, evaluados mediante los ciclos ESC, ETC y ELR
| Subcategoría | CO | HC | HCNM | NOX | MP | Opacidad | |||||
| (g/kW-h) | (m-1) | ||||||||||
| ESC | ETC | ESC | ETC | ESC | ETC | ESC | ETC | ESC | ETC | ELR | |
| N2, N3, M2, M3 | 1,5 | 4,0 | 0,46 | - | - | 0,55 | 3,5 | 3,5 | 0,02 | 0,03 | 0,5 |
El laboratorio que realiza la prueba de emisiones podrá optar por medir HC en la prueba ETC en lugar de medir HCNM. En este caso, el límite para HC es el mismo que se establece en la Tabla 21 para HCNM.
PROCEDIMIENTO DE EVALUACIÓN DE EMISIONES PARA FUENTES MÓVILES EN PRUEBA DINÁMICA.
ARTÍCULO 23. PROCEDIMIENTOS DE EVALUACIÓN EN PRUEBA DINÁMICA. <Resolución derogada por el artículo 50 de la Resolución 762 de 2022> Los procedimientos para la evaluación de las emisiones en prueba dinámica serán los ciclos FTP-75 y el Ciclo Transitorio de Servicio Pesado, según corresponda, para las pruebas basadas en la reglamentación de los Estados Unidos y los ciclos ECE-15+EUDC, ECE R-49 y ECE R-40, según corresponda, para las pruebas basadas en la reglamentación de la Unión Europea, tal como se establece en la Norma Técnica Colombiana NTC 4542 Segunda actualización. “Determinación de emisiones de vehículos prototipos. Pruebas Dinámicas”, o en la norma que la modifique, adicione o sustituya.
ARTÍCULO 24. PROCEDIMIENTOS DE EVALUACIÓN DE EMISIONES EVAPORATIVAS. <Resolución derogada por el artículo 50 de la Resolución 762 de 2022> El procedimiento para la evaluación de las emisiones evaporativas, medidas en las fuentes móviles clasificadas como vehículo automotor importadas, fabricadas, o ensambladas en el país, es el método SHED.
CERTIFICADO DE EMISIONES POR PRUEBA DINÁMICA Y VISTO BUENO POR PROTOCOLO DE MONTREAL.
ARTÍCULO 25. VERIFICACIÓN DE SUSTANCIAS AGOTADORAS DE LA CAPA DE OZONO. <Resolución derogada por el artículo 50 de la Resolución 762 de 2022> El comercializador representante de marca, importador, fabricante o ensamblador de fuentes móviles terrestres, cuyos sistemas de refrigeración y aire acondicionado no contengan o no requieran para su producción u operación las sustancias agotadoras de la capa de ozono listadas en el artículo tercero de la Resolución 1652 de 2007, deberán obtener el Visto Bueno por Protocolo de Montreal ante el Ministerio de Ambiente, Vivienda y Desarrollo Territorial.
ARTÍCULO 26. PROCEDIMIENTO. <Resolución derogada por el artículo 50 de la Resolución 762 de 2022> El comercializador representante de marca, importador, fabricante o ensamblador de fuentes móviles terrestres deberá radicar la solicitud de registro de importación en la Ventanilla Unica de Comercio Exterior, VUCE, del Ministerio de Comercio, Industria y Turismo, y diligenciar la información del Visto Bueno con base en el Certificado de Emisiones por Prueba Dinámica y Visto Bueno por Protocolo de Montreal, aprobado por el Ministerio de Ambiente, Vivienda y Desarrollo Territorial.
Para obtener la aprobación del Certificado de Emisiones por Prueba Dinámica y Visto Bueno por Protocolo de Montreal, el comercializador representante de marca, importador, fabricante o ensamblador debe presentar ante la Dirección de Licencias, Permisos y Trámites Ambientales del Ministerio de Ambiente, Vivienda y Desarrollo Territorial o quien haga sus veces, el formato respectivo acompañado con el reporte técnico de la prueba o ensayo. El Ministerio de Ambiente, Vivienda y Desarrollo Territorial procederá a verificar que la información allegada en el formato respectivo cumple con los requisitos exigidos en la presente resolución.
ARTÍCULO 27. EXPEDICIÓN. <Resolución derogada por el artículo 50 de la Resolución 762 de 2022> El reporte técnico de la prueba o ensayo deberá ser expedido por un Laboratorio de Pruebas y Ensayos Acreditado, por la autoridad competente del país de origen.
Los comercializadores representantes de marca, importadores, fabricantes o ensambladores, que tengan por objeto la comercialización a terceros de los vehículos, deberán obtener el Certificado de Emisiones por Prueba Dinámica expedido por la casa matriz o la firma propietaria del diseño.
PARÁGRAFO 1o. Igualmente serán válidos aquellos reportes técnicos de las pruebas o ensayos, expedidos por la Autoridad Ambiental del país de origen, o la que haga sus veces, quedando su aprobación sujeta a las siguientes condiciones:
a) Las pruebas deberán ser realizadas de acuerdo con los métodos y procedimientos establecidos para tal fin en la presente resolución;
b) La normativa de emisión por fuentes móviles vigente a la fecha en dicho país deberá ser igual o más exigente que la vigente para Colombia, de acuerdo con lo establecido en la presente resolución.
PARÁGRAFO 2o. A partir del año modelo 2010, los vehículos nuevos deberán realizar el procedimiento y diligenciar y presentar ante el Ministerio de Ambiente, Vivienda y Desarrollo Territorial el formato de que tratan el artículo 26 y artículo 29 de la presente resolución.
ARTÍCULO 28. REPORTE TÉCNICO DE LA PRUEBA O ENSAYO. <Resolución derogada por el artículo 50 de la Resolución 762 de 2022> El reporte técnico de la prueba o ensayo deberá contener cuando menos la siguiente información básica:
a) Ciudad, país y fecha en la cual se realizó la prueba;
b) Nombre del laboratorio que realizó la prueba;
c) Marca de la fuente móvil;
d) Nombres de los modelos y/o las variantes cubiertas por la prueba;
e) Código del modelo base. Los dígitos correspondientes a las posiciones 4 a 8 del Número de Identificación del Vehículo (VIN) para la certificación de un modelo en general o en su defecto el código de identificación completo establecido por el fabricante (VIN de 17 dígitos) para el caso de la certificación de unidades específicas;
f) Clasificación de la fuente móvil;
g) Código del motor, cilindrada y sistema de alimentación;
h) Indicación de los sistemas y dispositivos de control de emisiones;
i) Descripción del sistema de transmisión (automático o mecánico), relaciones de transmisión y radio dinámico de las llantas;
j) Valores de las emisiones de contaminantes obtenidos durante la prueba y valores de las emisiones evaporativas;
k) Número consecutivo o codificación, fecha, teléfonos, direcciones, fax, correo electrónico y todas las identificaciones necesarias y suficientes para contactar y verificar la veracidad del documento.
PARÁGRAFO 1o. La Superintendencia de Industria y Comercio, en su calidad de Organismo Acreditador Nacional, informará al Ministerio de Ambiente, Vivienda y Desarrollo Territorial sobre los Laboratorios de Pruebas y Ensayos Acreditados, Organismos de Certificación y Organismos de Acreditación, de los respectivos países de origen que presenten los comercializadores representantes de marca, importadores, fabricantes o ensambladores.
PARÁGRAFO 2o. Para los vehículos de categorías HDV, M2, M3, N2 o N3, el informe técnico deberá contener por lo menos la información de los literales: a), b), g), h), j) y l).
ARTÍCULO 29. ADOPCIÓN DE FORMATOS. <Resolución derogada por el artículo 50 de la Resolución 762 de 2022> Se adoptan los siguientes formatos para los comercializadores representantes de marca, ensambladores o fabricantes que importen los vehículos automotores y/o motocicletas, motociclos o mototriciclos con el objeto de su comercialización o de uso propio, que se encuentran en los siguientes anexos:
<Texto modificado por el artículo 3 de la Resolución 1111 de 2013. Rige a partir del 15 de enero de 2015. Consultar el texto vigente hasta esta fecha en Legislación Anterior. El nuevo texto es el siguiente:>
ANEXO 2. FORMATO ÚNICO PARA EL CERTIFICADO DE EMISIONES POR PRUEBA DINÁMICA Y VISTO BUENO POR PROTOCOLO DE MONTREAL.
ARTÍCULO 30. IDIOMA. <Resolución derogada por el artículo 50 de la Resolución 762 de 2022> El Certificado de Emisiones por Prueba Dinámica y Visto Bueno por Protocolo de Montreal y el reporte técnico de la prueba o ensayo deberán remitirse al Ministerio de Ambiente, Vivienda y Desarrollo Territorial en español o en otro idioma con su respectiva traducción al español.
ARTÍCULO 31. NECESIDAD DE UN NUEVO CERTIFICADO DE EMISIONES POR PRUEBA DINÁMICA Y VISTO BUENO POR PROTOCOLO DE MONTREAL. <Resolución derogada por el artículo 50 de la Resolución 762 de 2022> Será necesario que los comercializadores representantes de marca, ensambladores, fabricantes o quienes importen los vehículos automotores y/o motocicletas, motociclos o mototriciclos soliciten ante la ante la Dirección de Licencias, Permisos y Trámites Ambientales del Ministerio de Ambiente, Vivienda y Desarrollo Territorial o quien haga sus veces un nuevo Certificado de Emisiones por Prueba Dinámica y Visto Bueno por Protocolo de Montreal, para la familia de vehículos que ya ha sido certificada cuando a ésta se le modifique una o varias de las especificaciones del vehículo comprendidas en el Certificado inicial en relación con la familia del motor, las relaciones de transmisión, los dispositivos de control de emisiones o lo contemplado al respecto, en el Código Federal de Regulaciones de los Estados Unidos (CFR) partes 86 a 99 o en la Directiva 93/59 de la Unión Europea, o sus adiciones, modificaciones o sustituciones.
Cada vez que el Ministerio de Ambiente, Vivienda y Desarrollo Territorial establezca nuevos niveles permisibles de emisión de contaminantes para fuentes móviles terrestres a gasolina o diésel (ACPM), en condición de prueba dinámica, la familia de vehículos nuevos que ya ha sido certificada, los comercializadores representantes de marca, ensambladores, fabricantes o quienes importen los vehículos automotores y/o motocicletas, motociclos o mototriciclos deberán solicitar un nuevo Certificado de Emisiones por Prueba Dinámica y Visto Bueno por Protocolo de Montreal, cuando no cumpla con los nuevos niveles permisibles.
ARTÍCULO 32. UTILIZACIÓN DE OTROS PROCEDIMIENTOS. <Resolución derogada por el artículo 50 de la Resolución 762 de 2022> <Artículo modificado por el artículo 5 de la Resolución 1111 de 2013. Rige a partir del 15 de enero de 2015. Consultar el texto vigente hasta esta fecha en Legislación Anterior. El nuevo texto es el siguiente:> Será válido el Certificado de Emisiones por Prueba Dinámica realizado por un método, ciclo o procedimiento diferente a los estipulados en la presente resolución siempre y cuando dicho método, ciclo o procedimiento sea más reciente y estricto que los aquí descritos, y cuente con aprobación oficial de la Agencia de Protección Ambiental de los Estados Unidos (EPA) o de la Unión Europea y los límites de emisión de la fuente móvil cumplan con los límites vigentes establecidos por la Agencia de Protección Ambiental de los Estados Unidos (EPA) o la Unión Europea, respectivamente para dichos métodos, ciclos o procedimientos.
PARÁGRAFO. Para los límites máximos de emisión permisibles establecidos en la Tabla 21 de la presente resolución se consideran más estrictos los siguientes: EURO V con sistemas de autodiagnóstico a bordo OBD o superiores de la Unión Europea y EPA10 con sistemas de autodiagnóstico a bordo HD OBD o superiores de la Agencia de Protección Ambiental de los Estados Unidos. En todo caso será responsabilidad de los ensambladores, importadores, fabricantes y representantes de marca, conocer la calidad de los combustibles que se estén distribuyendo en el país con el fin de determinar si las características del combustible se ajustan a las fuentes móviles que se van a importar o ensamblar.
DISPOSICIONES FINALES.
ARTÍCULO 33. EVALUACIÓN DE EMISIONES CONTAMINANTES DE FUENTES MÓVILES. <Resolución derogada por el artículo 50 de la Resolución 762 de 2022> La metodología, los equipos y procedimientos para determinar las emisiones contaminantes de las fuentes móviles son las establecidas en las Normas Técnicas Colombianas contempladas en la Resolución 3500 de 2005, o la norma que la modifique, adicione o sustituya.
ARTÍCULO 34. INFORMACIÓN AL PÚBLICO SOBRE LAS NORMAS DE EMISIÓN. <Resolución derogada por el artículo 50 de la Resolución 762 de 2022> Los Centros de Diagnóstico Automotor habilitados, deberán exhibir al público una cartelera informativa con los límites máximos de emisión vigentes.
ARTÍCULO 35. AUTORIZACIÓN Y SEGUIMIENTO DEL PROCESO DE MEDICIÓN DE EMISIONES CONTAMINANTES. <Resolución derogada por el artículo 50 de la Resolución 762 de 2022> Las autoridades ambientales, los comercializadores representantes de marca, fabricantes, ensambladores e importadores de vehículos y/o motocicletas, motociclos y mototriciclos, así como los laboratorios ambientales que realicen medición de emisiones contaminantes para cumplir lo establecido en la presente resolución, deberán contar con la autorización del proceso de medición de emisiones contaminantes otorgada por el Instituto de Hidrología, Meteorología y Estudios Ambientales, IDEAM.
La solicitud de la autorización a la que se refiere el presente artículo se deberá presentar ante el IDEAM a partir de dieciocho (18) meses contados desde la entrada en vigencia de la presente resolución.
Para efectos de seguimiento de la autorización otorgada, el IDEAM hará una visita de verificación in situ cada doce (12) meses.
PARÁGRAFO 1o. El IDEAM establecerá el procedimiento para la autorización y seguimiento a que hace referencia este artículo, en un plazo máximo de doce (12) meses contados a partir de la entrada en vigencia de la presente resolución.
PARÁGRAFO 2o. A partir del 1o de enero de 2011 solamente serán aceptadas por las autoridades ambientales competentes, las mediciones de emisiones contaminantes realizadas por los comercializadores representantes de marca, importadores, fabricantes o ensambladores de vehículos y/o motocicletas, motociclos y mototriciclos y de los laboratorios ambientales, que cuenten con la respectiva autorización otorgada por el IDEAM o laboratorios extranjeros acreditados por otro organismo de acreditación.
PARÁGRAFO 3o. A partir del 1o de enero de 2011, las autoridades ambientales competentes que realicen mediciones de emisiones contaminantes deberán contar con la respectiva autorización otorgada por el IDEAM.
ARTÍCULO 36. REPORTE DE VEHÍCULOS ENSAMBLADOS E IMPORTADOS. <Resolución derogada por el artículo 50 de la Resolución 762 de 2022> Anualmente y durante los primeros treinta (30) días de cada año, los comercializadores representantes de marca, importadores, fabricantes o ensambladores de vehículos y/o motocicletas, motociclos y mototriciclos que hayan presentado el Certificado de Emisiones por Prueba Dinámica y Visto Bueno por Protocolo de Montreal ante el Ministerio de Ambiente, Vivienda y Desarrollo Territorial para su Visto Bueno, deberán presentar a la Dirección de Desarrollo Sectorial Sostenible de este Ministerio o quien haga sus veces un reporte con la cantidad de vehículos que han ingresado al país en el año inmediatamente anterior amparados por cada Certificado emitido.
ARTÍCULO 37. SANCIONES. <Resolución derogada por el artículo 50 de la Resolución 762 de 2022> El incumplimiento de las disposiciones señaladas en la presente resolución dará lugar a la imposición de las sanciones por parte de las autoridades de tránsito y por las autoridades ambientales dentro del ámbito de sus competencias.
ARTÍCULO 38. DE LOS ANEXOS. <Resolución derogada por el artículo 50 de la Resolución 762 de 2022> El Anexo 1 sobre definiciones, los Anexos 2 y 3 sobre el formato del Certificado de Emisiones por Prueba Dinámica y Visto Bueno por Protocolo de Montreal para vehículos automotores y los Anexos 4 y 5 sobre el formato del Certificado de Emisiones por Prueba Dinámica para motocicletas, motociclos y mototriciclos, hacen parte integral de la presente resolución.
ARTÍCULO 39. VIGENCIA Y DEROGATORIAS. La presente resolución rige a partir de su publicación.
La presente resolución deroga todas las disposiciones que le sean contrarias y en especial en su totalidad la Resolución 005 de 1996, la Resolución 909 de 1996, la Resolución 236 de 1999, la Resolución 237 de 1999 y la Resolución 2380 de 2007.
Las Resoluciones 1048 de 1999 y 0822 de 2000 continuarán vigentes únicamente para los vehículos año modelo 2008 y 2009, en lo relacionado con los niveles permisibles de emisión de contaminantes producidos por fuentes móviles terrestres a gasolina o diésel en condición de prueba dinámica.
Publíquese y cúmplase.
Dada en Bogotá, D. C., a 5 de junio de 2008.
El Ministro de Ambiente, Vivienda y Desarrollo Territorial,
JUAN LOZANO RAMÍREZ.
DEFINICIONES.
<Anexo modificado por el Anexo 1, según lo dispuesto en el artículo 2, de la Resolución 1111 de 2013. Rige a partir del 15 de enero de 2015. Consultar el texto vigente hasta esta fecha en Legislación Anterior. El nuevo texto es el siguiente:>
Aceleración Libre: Es el aumento de revolución del motor de la fuente móvil llevado rápidamente a máxima aceleración estable, sin carga y en neutro (para cajas manuales) y en parqueo (para cajas automáticas).
Acreditación: Procedimiento mediante el cual se reconoce la competencia técnica y la idoneidad de los organismos de certificación e inspección, laboratorios de ensayo y metrología.
ACPM: Aceite Combustible para Motores.
ALVW: Adjusted Loaded Vehicle Weight. Promedio numérico del peso neto vehicular y el peso bruto vehicular.
Año Modelo: Año que identifica el de producción del tipo de vehículo automotor.
Categoría M: Vehículo automotor con al menos cuatro ruedas, diseñado y construido para el transporte de pasajeros. Está dividido en tres categorías: M1, M2 y M3.
Categoría M1: Vehículo diseñado y construido para transportar hasta 8 pasajeros más el conductor.
Categoría M2: Vehículo diseñado y construido para transportar más de 8 pasajeros más el conductor y cuyo peso bruto vehicular no supere las 5 toneladas.
Categoría M3: Vehículo diseñado y construido para transportar más de 8 pasajeros más el conductor y cuyo peso bruto vehicular supere las 5 toneladas.
Categoría N: Vehículo automotor con al menos cuatro ruedas, diseñado y construido para el transporte de carga. Está dividido en tres categorías: N1, N2 y N3.
Categoría N1: Vehículo diseñado y construido para transportar carga, con un peso bruto vehicular no superior a 3,5 toneladas. Esta categoría se divide en tres clases de acuerdo al peso de referencia.
Categoría N2: Vehículo diseñado y construido para transportar carga, con un peso bruto vehicular superior a 3,5 toneladas y que no exceda 12 toneladas.
Categoría N3: Vehículo diseñado y construido para transportar carga, con un peso bruto vehicular superior a 12 toneladas.
Certificación: Procedimiento mediante el cual un tercero expide constancia escrita de conformidad que un producto, un proceso o un servicio, cumple con los requisitos especificados en una norma técnica u otro documento normativo específico.
Certificación de la Casa Fabricante: Documento expedido por la casa fabricante de un vehículo automotor en el cual se consignan los resultados de la medición de las emisiones de contaminantes del aire, provenientes de los vehículos prototipo seleccionados como representativos de los modelos nuevos que saldrán al mercado.
Certificado de Conformidad: Documento emitido de acuerdo con las reglas de un sistema de certificación, en el cual se manifiesta adecuada confianza de que un producto, proceso o servicio debidamente identificado, está conforme con las especificaciones de una norma técnica u otro documento normativo específico.
Certificado de Emisiones por Prueba Dinámica: Documento en el cual se consignan los resultados de la medición de contaminantes del aire, evaluadas mediante los procedimientos establecidos por peso vehicular, incluyendo las emisiones evaporativas, conforme a los métodos, ciclos o procedimientos establecidos en la presente resolución, provenientes de los vehículos prototipo seleccionados como representativos de los modelos nuevos que se importen, fabriquen o se ensamblen en el país.
Ciclo: Es el tiempo necesario para que el vehículo alcance la temperatura normal de operación en condiciones de marcha mínima o ralentí. Para las fuentes móviles equipadas con electroventilador, es el período que transcurre entre el encendido del ventilador del sistema de enfriamiento y el momento en que el ventilador se detiene.
Ciclo ECE-15+EUDC: Es el ciclo de prueba dinámico establecido por la Unión Europea para los vehículos livianos y medianos y definido en las Directivas números 93/59/EEC y 91/441/EEC.
Ciclo ECE R-40: Es el ciclo de prueba dinámico establecido por la Unión Europea para las motocicletas, motociclos y mototriciclos, definido en la Directiva número 97/24/EC.
Ciclo ECE R-49: Es el ciclo de prueba dinámico establecido por la Unión Europea para los vehículos pesados, definido en la Directiva número 88/77/EEC.
Ciclo ELR: Prueba Europea de Respuesta Bajo Carga. Ciclo de prueba dinámico establecido por la Unión Europea con el fin de medir opacidad.
Ciclo ESC: Ciclo Europeo de Estado Continuo. Ciclo de prueba dinámico establecido por la Unión Europea con el fin de certificar emisiones de vehículos pesados.
Ciclo ETC: Ciclo Europeo de Transición. Ciclo de prueba dinámico establecido por la Unión Europea con el fin de certificar emisiones de vehículos pesados.
Ciclo NEDC: Nuevo Ciclo Europeo. Ciclo de prueba dinámico establecido por la Unión Europea para certificar vehículos livianos. Este ciclo es similar al ECE15+EUDC, con la diferencia que en el nuevo ciclo la medición de emisiones comienza cuando se enciende el vehículo y no después de haberlo precalentado.
Ciclo FTP: Ciclo de prueba dinámico establecido por la Agencia de Protección Ambiental de los Estados Unidos (EPA), para los vehículos livianos y medianos y especificado en el Código Federal de Regulaciones, partes 86 a 99.
Ciclo Transitorio de Servicio Pesado: Ciclo de prueba dinámica establecido por la Agencia de Protección Ambiental de los Estados Unidos (EPA), para determinar las emisiones por el tubo de escape de los motores utilizados en los vehículos pesados y el cual se encuentra especificado en el Código Federal de Regulaciones (CFR) de ese país, bajo el título 40, parte 86, subparte N.
Clase I: Para la reglamentación Euro 1 y Euro 2, cualquier vehículo de la Categoría N1 con un peso de referencia que no supere 1.250 kg, se utilizará en la presente resolución para los vehículos ciclo Otto. Para la reglamentación Euro 3 o Euro 4 cualquier vehículo de la Categoría N1 con un peso de referencia menor o igual a 1.305 kg, se utilizará en la presente resolución para los vehículos ciclo Diésel.
Clase II: Para la reglamentación Euro 1 y Euro 2, cualquier vehículo de la Categoría N1 con un peso de referencia superior a 1.250 kg y que no supere 1.700 kg, se utilizará en la presente resolución para los vehículos ciclo Otto. Para la reglamentación Euro 3 o Euro 4, cualquier vehículo de la Categoría N1 con un peso de referencia superior a 1.305 kg e inferior o igual a 1.760 kg, se utilizará en la presente resolución para los vehículos ciclo Diésel.
Clase III: Para la reglamentación Euro 1 y Euro 2, cualquier vehículo de la Categoría N1 con un peso de referencia superior a 1.700 kg, se utilizará en la presente resolución para los vehículos ciclo Otto. Para la reglamentación Euro 3 o Euro 4, cualquier vehículo de la Categoría N1 con un peso de referencia superior a 1.760 kg, se utilizará en la presente resolución para los vehículos ciclo Diésel.
CO: Monóxido de Carbono.
CO2: Dióxido de Carbono.
Emisiones de Gases de Escape: Son las cantidades de Hidrocarburos (HC), Monóxido de Carbono (CO) y Óxidos de Nitrógeno (NOx) emitidas a la atmósfera a través del escape de un vehículo como resultado de su funcionamiento.
Equipo: Es el conjunto completo con todos los accesorios para la operación normal de medición de gases de escape.
Estándar Final: Es la certificación para 193.237 kilómetros (120.000 millas) o para 241.546 kilómetros (150.000 millas) llevada a cabo mediante prueba dinamométrica, bajo el ciclo FTP.
Estándar Intermedio: Es la certificación para 80.515 kilómetros (50.000 millas) llevada a cabo mediante prueba dinamométrica, bajo el ciclo FTP.
Fuente Móvil: Es la fuente de emisión que por razón de su uso o propósito, es susceptible de desplazarse.
GLP: Gas Licuado de Petróleo.
HC: Hidrocarburos.
HCNM: Hidrocarburos diferentes al metano.
HDV: Heavy-Duty Vehicle. Cualquier vehículo automotor con un peso bruto vehicular superior a 3.856 kg o con un peso neto vehicular superior a 2.722 kg o con un área frontal básica superior a 4,18 m2. Los motores diésel usados en estos vehículos se dividen en tres clases de servicio llamados LHDDE, MHDDE y HHDDE, de acuerdo con el peso bruto vehicular. Los motores Otto usados en estos vehículos se dividen en dos clases de servicio llamados LHDGE y HHDGE, de acuerdo con el peso bruto vehicular. También pertenecen a esta categoría los MDPV.
HHDDE: Heavy Heavy-Duty Diésel Engines (Incluye Urban Bus). Cualquier motor diésel instalado en un HDV cuyo peso bruto vehicular sea superior a 14.969 kg.
HHDGE: Heavy Heavy-Duty Gasoline Engines (Incluye Urban Bus). Cualquier motor a gasolina instalado en un HDV cuyo peso bruto vehicular sea superior a 6.350 kg.
HLDT: Heavy Light-Duty Truck. Cualquier LDT con un peso bruto vehicular superior a 2.722 kg. Se divide en dos categorías, LDT3 y LDT4, dependiendo del peso ALVW.
Humo: Es la materia que en la emisión de escape reduce la transmisión de la luz.
Laboratorio de Pruebas y Ensayos: Laboratorio nacional, extranjero o internacional, que posee la competencia e idoneidad necesarias para llevar a cabo en forma general la determinación de las características, aptitud o funcionamiento de materiales o productos.
Laboratorio de Pruebas y Ensayos Acreditado: Laboratorio de pruebas y ensayos que ha sido acreditado por el organismo de acreditación.
LDT: Light-Duty Truck. Cualquier vehículo automotor con un peso bruto vehicular de 3.856 kg o menos, con un peso neto de 2.722 kg o menos y con un área frontal básica de 4,18 m2 o menos, que está diseñado principalmente para transporte de carga y de pasajeros, o es una derivación de este vehículo, o está diseñado principalmente para el transporte de pasajeros con una capacidad de más de 12 personas, o que se consigue con elementos adicionales que permiten su operación y uso fuera de las carreteras o autopistas. Se divide en dos categorías, LLDT y HLDT, dependiendo del peso bruto vehicular.
LDT1: Light-Duty Truck 1. Cualquier vehículo LLDT con un peso LVW hasta de 1.701 kg.
LDT2: Light-Duty Truck 2. Cualquier vehículo LLDT con un peso LVW superior a 1.701 kg.
LDT3: Light-Duty Truck 3. Cualquier vehículo HLDT con un peso ALVW hasta de 2.608 kg.
LDT4: Light-Duty Truck 4. Cualquier vehículo HLDT con un peso ALVW superior a 2.608 kg.
LDV: Light-Duty Vehicle: Vehículo de pasajeros o una derivación de este, con capacidad hasta de 12 pasajeros y un peso bruto vehicular menor o igual a 3.856.
LHDDE: Light Heavy-Duty Diesel Engines. Cualquier motor diésel instalado en un HDV cuyo peso bruto vehicular sea superior a 3.856 kg y que no supere 8.845 kg.
LHDGE: Light Heavy-Duty Gasoline Engines. Cualquier motor a gasolina instalado en un HDV cuyo peso bruto vehicular sea superior a 3.856 kg y menor o igual a 6.350 kg.
LLDT: Light Light-Duty Truck. Cualquier LDT con un peso bruto vehicular hasta 2.722 kg. Se divide en dos categorías, LDT1 y LDT2, dependiendo del peso LVW.
LVW: Loaded Vehicle Weigth. Peso neto vehicular más 136 kg.
Marcha Mínima o Ralentí: Son las especificaciones de velocidad del motor establecidas por el fabricante o ensamblador del vehículo, requeridas para mantenerlo funcionando sin carga y en neutro (para cajas manuales) y en parqueo (para cajas automáticas). Cuando no se disponga de la especificación del fabricante o ensamblador del vehículo, la condición de marcha mínima o ralentí se establecerá a un máximo de 900 revoluciones por minuto del motor.
Maquinaria o Vehículos NONROAD: Se refiere a cualquier máquina móvil, equipo industrial transportable o cualquier vehículo con o sin carrocería, que no ha sido diseñado para el transporte de pasajeros o carga en carretera, en el cual se ha instalado una máquina de combustión interna. Esta definición incluye, pero no está limitada a las máquinas instaladas en:
Plataformas industriales de perforación, compresores, entre otros.
Equipos de construcción, incluyendo motoniveladoras, tractores, excavadores hidráulicos, cargadores, entre otros.
Equipos agrícolas, trilladoras, entre otros.
Equipos para la silvicultura
Vehículos agrícolas autopropulsados.
Equipos para el manejo de materiales.
Camiones para cargar y levantar.
Equipos de mantenimiento de carreteras.
Equipos para limpieza de nieve.
Equipos para el soporte terrestre en los aeropuertos.
Ascensores.
Grúas móviles.
Cuatrimotos.
Los equipos que no están incluidos en esta definición son los barcos, las locomotoras, los aviones y los equipos de generación.
MDPV: Medium-Duty Passenger Vehicle. Cualquier HDV con un peso vehicular inferior a 4.537 kg y diseñado principalmente para transporte de pasajeros. Esta definición no incluye: vehículos que no tengan su unidad de carga adjunta (cabezotes), vehículos con capacidad superior a 12 personas, vehículos cuyo diseño tenga atrás del conductor capacidad para más de 9 personas, vehículos equipados con un área de carga abierta de 1,83 metros o más (por ejemplo pick-up). Una cabina cubierta sin acceso al compartimiento de los pasajeros será considerada “área de carga abierta” para propósitos de esta definición.
Método SHED: Procedimiento aprobado por la Agencia de Protección Ambiental de los Estados Unidos (EPA) o por la Unión Europea, para determinar las emisiones evaporativas en vehículos a gasolina mediante la recolección de estas en una cabina sellada en la que se ubica el vehículo sometido a prueba. SHED es la sigla correspondiente al nombre de dicho método (Sealed Housing For Evaporative Determination). Los procedimientos, equipos y métodos de medición utilizados se encuentran consignados en el Código Federal de Regulaciones de los Estados Unidos, partes 86 a 99 y en las Directivas números 91/441/EEC y 93/59/EEC.
MHDDE: Medium Heavy-Duty Diesel Engines. Cualquier motor diésel instalado en un HDV cuyo peso bruto vehicular sea superior a 8.845 kg y que no supere 14.969 kg.
MP: Material Particulado.
Motocarro: Vehículo automotor de tres ruedas con estabilidad propia con componentes mecánicos de motocicleta, para el transporte de personas o mercancías con capacidad útil hasta 770 kilogramos.
NOx: Óxidos de Nitrógeno.
O2: Oxígeno.
Opacidad: Fracción de luz que al ser enviada desde una fuente, a través de una trayectoria obstruida por humo, no llega al receptor de instrumento de medida.
Organismo de Certificación: Entidad imparcial, pública o privada, que posee la competencia y la confiabilidad necesarias para administrar un sistema de certificación, consultando los intereses generales.
Peso Bruto Vehicular: Peso máximo de diseño del vehículo cargado, especificado por el fabricante del mismo.
Peso de Referencia (RW): Es el peso neto vehicular más 100 kg.
Peso Neto Vehicular: Es el peso real del vehículo en condiciones de operación con todo el equipo estándar de fábrica y con combustible a la capacidad nominal del tanque.
Porcentaje de Opacidad: Es la unidad de medición que permite determinar el grado de opacidad del humo en una fuente emisora. Para las mediciones en estado de aceleración, el porcentaje de opacidad corresponde el valor opacidad reportado al diámetro del tubo de escape.
Reglaje de Motor: Son las condiciones determinadas por el fabricante que pueden modificar las condiciones del ciclo de combustión de un vehículo automotor, como por ejemplo luz (gap) de válvulas, luz (gap) de bujías, avance de encendido, avance de inyección, revoluciones de ralentí o revoluciones gobernadas.
Servicio público de transporte terrestre automotor mixto en motocarro: Es aquel que se presta bajo la responsabilidad de una empresa de transporte legalmente constituida y debidamente habilitada y autorizada, a través de un contrato celebrado entre la empresa de transporte y cada una de las personas que utilizan el servicio para su traslado simultáneo con el de sus bienes o carga del sector veredal al centro urbano de acopio dentro de la jurisdicción de un municipio.
Sistema de Autodiagnóstico a Bordo (OBD): Dispositivos o sistemas instalados a bordo del vehículo y conectados al módulo electrónico de control, que tiene como objetivo identificar el deterioro o el mal funcionamiento de los componentes del sistema de control de emisiones, alertar al usuario del vehículo para proceder al mantenimiento o a la reparación del sistema de control de emisiones, almacenar y proveer acceso a las ocurrencias de defectos y o fallas en los sistemas de control y contar con información sobre el estado de mantenimiento y reparación de los sistemas del control de emisiones.
Sistema cerrado de Ventilación Positiva del Cárter: Es el que previene la liberación de gases del depósito de aceite del motor (Cárter) a la atmósfera, conduciéndolos a la cámara de combustión, donde se queman junto con la mezcla aire/combustible. Este sistema utiliza como elemento principal una válvula de ventilación positiva (PCV).
Sistema de Control de Emisiones Evaporativas: Es aquel que recoge los vapores de gasolina provenientes del tanque de combustible o del carburador y los conduce hacia el depósito que contiene carbón activado (Cánister), para después drenarlos y llevarlos a la cámara de combustión donde se queman al tiempo con la mezcla aire/combustible.
Sistema de Recirculación de Gases de Escape: Es aquel que tiene la función de recircular pequeñas cantidades de gases de escape hacia el múltiple de admisión, con lo cual se reduce la emisión de Óxidos de Nitrógeno.
Temperatura Normal de Operación: Temperatura del aceite del motor, establecida por el fabricante o ensamblador del vehículo, para la operación normal del motor. Cuando no se disponga de la especificación del fabricante o ensamblador del vehículo, la temperatura normal de operación se logra cuando el aceite en el cárter del motor ha alcanzado como mínimo los 60oC.
Tiempo de Calentamiento: Es el lapso entre el momento en que el equipo es energizado o encendido y el momento cuando cumple con los requerimientos de estabilidad en la lectura.
Urban bus: Vehículo propulsado por un HHDV, diseñado para transportar 15 o más pasajeros.
Vehículo Automotor: Clasificación dada en la presente resolución a toda fuente móvil objeto de seguimiento y diferente a motocicleta, motociclo, mototriciclo o motocarro.
Vehículo Bi-combustible: Vehículo automotor que utiliza un motor de combustión interna que puede operar con gas natural o con gasolina (u otro combustible de ignición por chispa como etanol). Generalmente, se construye a partir de un vehículo ciclo Otto.
Vehículo Ciclo Diésel: Vehículo que opera con un motor de combustión interna cuya función se basa en un ciclo termodinámico, en el cual se inyecta en la cámara de combustión el combustible después de haberse realizado una compresión de aire por el pistón. La relación de compresión de la carga del aire es lo suficientemente alta como para encender el combustible inyectado, es decir, el calor se aporta a presión constante. Para efectos de esta resolución, se incluyen los vehículos ciclo Diésel que operen con combustible diésel y sus mezclas con biodiésel, gas natural o gas licuado de petróleo.
Vehículo Ciclo Otto: Vehículo que opera con un motor de combustión interna cuya función se basa en un ciclo termodinámico, en el cual las operaciones de admisión, compresión, explosión y escape se realizan en un cilindro desde que entra la mezcla carburada hasta que son expulsados los gases. En este ciclo, la adición de calor se realiza a volumen constante. Para efectos de esta resolución, se incluyen los vehículos ciclo Otto que operen gas natural o gas licuado de petróleo.
Vehículo con motor a Hidrógeno: Vehículo que ha sido diseñado y construido para operar con hidrógeno como fuente primaria de energía para propulsarse.
Vehículo Dedicado a Gas Natural: Vehículo que ha sido diseñado y construido para operar exclusivamente con gas natural vehicular.
Vehículo Dedicado a GLP: Vehículo que ha sido diseñado y construido para operar exclusivamente con GLP.
Vehículo Dual: Vehículo automotor que utiliza un motor de combustión interna con una mezcla de gas natural y diésel. El diésel es inyectado directamente en el interior de la cámara de combustión, mientras el gas es introducido al interior de la entrada de aire por medio del carburador o por medio de inyección de gas. Generalmente, se construye a partir de un vehículo ciclo Diésel.
Vehículo Eléctrico: Vehículo impulsado exclusivamente por uno o más motores eléctricos, que obtienen corriente de un sistema de almacenamiento de energía recargable, como baterías u otros dispositivos portátiles de almacenamiento de energía eléctrica, incluyendo celdas de combustibles de hidrógeno o que obtienen la corriente a través de catenarias. Estos vehículos no cuentan con motores de combustión interna o sistemas de generación eléctrica a bordo como medio para suministrar energía eléctrica.
Vehículo Híbrido: Vehículo que funciona, alternada o simultáneamente, mediante la combinación de un motor eléctrico y un motor de combustión interna ciclo Otto o ciclo Diésel. Pertenecen a esta categoría los vehículos híbridos en serie (incluyendo los vehículos eléctricos que cuentan con motores de combustión interna o sistemas de generación eléctrica a bordo como medio para suministrar energía eléctrica), híbridos en paralelo e híbridos enchufables.
Vehículo Prototipo o de Certificación: Prototipo, con motor de desarrollo o nuevo, representativo de la producción de un tipo de vehículo.
Velocidad de Crucero: Revoluciones de un motor ciclo Otto comprendidas entre las 2.500 ± 250 rpm, las cuales son mantenidas estables y sin carga alguna al motor, en neutro o en condición de parqueo y sin ningún elemento de consumo eléctrico encendido.
Verificación: Es el proceso mediante el cual, a través de mediciones efectuadas utilizando los equipos y procedimientos establecidos en esta resolución, se determina la calidad de las emisiones producidas por las fuentes móviles. El resultado de la verificación se consigna en un reporte que se entrega al propietario, poseedor o tenedor de un vehículo.
FORMATO ÚNICO PARA EL CERTIFICADO DE EMISIONES POR PRUEBA DINÁMICA Y VISTO BUENO POR PROTOCOLO DE MONTREAL.
<Anexos 2, 3, 4 y 5 modificados por el Anexo 2, según lo dispuesto en el artículo 2, de la Resolución 1111 de 2013. Rige a partir del 15 de enero de 2015. Consultar el texto vigente hasta esta fecha en Legislación Anterior. El nuevo texto es el siguiente:>
| (1) | REPÚBLICA DE COLOMBIA CERTIFICADO DE EMISIONES POR PRUEBA DINÁMICA Y VISTO BUENO POR PROTOCOLO DE MONTREAL |
NOSOTROS, (2), FABRICANTES O IMPORTADORES DE LAS FUENTES MÓVILES (3), CERTIFICAMOS QUE EL MODELO DE CADA FUENTE MÓVIL QUE A CONTINUACIÓN SE DESCRIBE CUMPLE CON LAS REGULACIONES AMBIENTALES DE LA REPÚBLICA DE COLOMBIA, DE ACUERDO CON LO ESTABLECIDO EN LA RESOLUCIÓN (4) DEL (5), EMITIDA POR EL MINISTERIO O MINISTERIOS COMPETENTES. ESTE CERTIFICADO AMPARA SOLAMENTE A CADA MODELO DE FUENTE MÓVIL AQUÍ DESCRITO QUE SEA IMPORTADA, FABRICADA O ENSAMBLADA POR CADA TITULAR RELACIONADO A CONTINUACIÓN:
| RESULTADOS DE LAS PRUEBAS | TITULARES DEL CERTIFICADO | |||||
| ELEMENTO | Ciclo 1 | Ciclo 2 | Ciclo 3 | UNIDAD | NOMBRE | NIT |
| g / km | ||||||
| VALOR | VALOR | VALOR | g / kW - h | |||
| Monóxido de Carbono (CO) | g / BHP - h | |||||
Hidrocarburos (HC)
Hidrocarburos diferentes al metano (NMHC)
| Metano (CH4) | ESTÁNDAR | RELACIONES DE TRANSMISIÓN |
| Óxidos de Nitrógeno (NOX) | Intermedio | |
| Hidrocarburos y Óxidos de Nitrógeno (HC+NOX) | Final | |
| Material Particulado (PM) | ||
| Opacidad (m-1) | RADIO DINÁMICO | |
Consumo de combustible (km/galón)
Otros
ESTÁNDAR DE EMISIONES (EPA, EURO)
IDENTIFICACIÓN DE CADA MODELO
| NOMBRE DE CADA MODELO CUBIERTO | CÓDIGO DE CADA MODELO | SISTEMAS DE CONTROL DE EMISIONES | CARACTERÍSTICAS DEL MODELO | |
| PCV | CLASIFICACIÓN | |||
| CÁNISTER | PESO BRUTO VEHICULAR (kg) | |||
| TWC | AÑO MODELO | |||
| EGR | CÓDIGO MOTOR | |||
| OBD | CILINDRADA (cc) | |||
| TIPO DE MOTOR | 2 TIEMPOS | OS | COMBUSTIBLE | DIÉSEL |
| 4 TIEMPOS | T.C | GASOLINA | ||
| SISTEMA DE TRANSMISIÓN | MECÁNICO | SCR | GAS NATURAL | |
| AUTOMÁTICO | DOC | HÍBRIDO GASOLINA | ||
| CVT | DPF | HÍBRIDO DIÉSEL | ||
| OTRO ¿CUÁL? | ECU | OTRO | ||
| SISTEMA DE ALIMENTACIÓN | MPFI | TIPO | ENSAMBLADO | |
| I. DIRECTA | OTRO, ¿CUÁL? | IMPORTADO | ||
| OTRO ¿CUÁL? | FABRICADO | |||
IDENTIFICACIÓN DE LA PRUEBA
| Ciclo(s) de prueba realizado(s) | Consecutivo reporte de laboratorio |
| Organismo de certificación | Ciudad y país donde se realizó la prueba |
| Organismo de acreditación | Fecha de realización de la prueba |
| Laboratorio de pruebas y ensayos | Dirección, teléfono, fax, e-mail del organismo que expide el reporte técnico |
| Autoridad ambiental o la que haga sus veces | |
VISTO BUENO POR PROTOCOLO DE MONTREAL
| SISTEMA DE AIRE ACONDICIONADO | SISTEMA DE REFRIGERACIÓN | ||
| SÍ | NO | SÍ | NO |
| SUSTANCIA REFRIGERANTE DE DISEÑO | SUSTANCIA REFRIGERANTE DE DISEÑO | ||
| DESCRIPCIÓN DEL VEHÍCULO | DESCRIPCIÓN DE LA IMPORTACIÓN | ||
| Vehículo pesado de pasajeros | Motocicleta, Motociclo, Mototriciclo | COMERCIALIZACIÓN | USO PROPIO |
| Vehículo pesado de carga | OBSERVACIONES: | ||
| Vehículo liviano | Motocarro | ||
| Taxi | |||
| POR LA CASA MATRIZ O FIRMA PROPIETARIA DEL DISEÑO | AUTORIDAD NACIONAL DE LICENCIAS AMBIENTALES (ANLA) O QUIEN HAGA SUS VECES | ||
| NOMBRE | |||
| CARGO | |||
| POR EL COMERCIALIZADOR REPRESENTANTE DE MARCA, ENSAMBLADOR, IMPORTADOR, FABRICANTE O QUIEN IMPORTE VEHÍCULOS PARA COMERCIALIZACIÓN O PARA USO PROPIO | |||
| NOMBRE | APROBACIÓN TÉCNICA (FIRMA): | ||
| CARGO | FECHA DE APROBACIÓN TÉCNICA: | ||
INSTRUCCIONES PARA EL DILIGENCIAMIENTO FORMATO DEL ÚNICO PARA EL CERTIFICADO DE EMISIONES POR PRUEBA DINÁMICA Y VISTO BUENO POR PROTOCOLO DE MONTREAL
A continuación se describe el procedimiento mediante el cual deberá diligenciarse el formato obtener la aprobación del Certificado de Emisiones por Prueba Dinámica y Visto Bueno por Protocolo de Montreal. Note que el diligenciamiento de algunos campos depende del tipo de vehículo y del tipo de uso del certificado.
ASPECTOS GENERALES
1. Logo de la casa fabricante o propietaria del diseño (solo si el Certificado es para comercialización).
2. Para el caso de comercialización indicar el nombre del fabricante o ensamblador. Para el caso de uso propio indicar el nombre del importador.
3. Marca de los vehículos objeto de la solicitud.
4. Número de la resolución vigente en cuanto a límites de emisión de fuentes móviles en prueba dinámica.
5. Fecha de publicación de la resolución vigente en cuanto a límites de emisión de fuentes móviles en prueba dinámica.
RESULTADOS DE LAS PRUEBAS
-- ELEMENTO: Identificación de cada contaminante evaluado y consumo de combustible.
Para el caso específico de los vehículos ciclo Otto evaluados mediante el ciclo de prueba de Estados Unidos, que en la medición reportes Gases Orgánicos No Metánicos (NMOG) es necesario reportar esta medición en la casilla de “OTROS” con su respectivo valor.
-- CICLO 1, CICLO 2 y CICLO 3: Espacio reservado para incluir cada ciclo, método o procedimiento de prueba dinámico utilizado para la determinación de las emisiones. Para el caso de los vehículos pesados Euro IV es necesario reportar todos los ciclos en los que se hace la evaluación de emisiones (ESC, ETC y ELR). En caso de que en la medición solo se utilice un ciclo, solo es necesario diligenciar la columna CICLO 1.
-- VALOR: Espacio reservado para incluir el valor del contaminante evaluado.
En caso de haber realizado la medición de
-- CONSUMO DE COMBUSTIBLE: Consumo de combustible durante la prueba.
-- UNIDAD: Espacio reservado para indicar la unidad en la cual se reportan los contaminantes evaluados de acuerdo al reporte de laboratorio. Solo se debe marcar una unidad por certificado.
-- ESTÁNDAR (solo para vehículos livianos medidos por el ciclo de Estados Unidos): Indique el estándar (final o intermedio) con el cual fue realizada la prueba de acuerdo con las definiciones presentadas en el Anexo 1.
-- RADIO DINÁMICO: Espacio reservado para incluir el valor del radio dinámico o en su defecto, el radio y presión de las llantas durante la prueba de emisiones reportados en el informe del laboratorio.
-- RELACIONES DE TRANSMISIÓN: Espacio reservado para incluir las relaciones de transmisión (cuando aplique).
-- ESTÁNDAR DE EMISIONES (EPA, EURO): especifique el estándar de emisiones al que se le da cumplimiento en el reporte de laboratorio presentado, conforme al ciclo de conducción mediante el cual se desarrolló la prueba: (ejemplo: EURO IV, EURO V, TIER 2 BIN 9 etc.).
TITULARES DEL CERTIFICADO
-- NOMBRE: Espacio reservado para incluir el nombre del titular del certificado.
-- NIT: Espacio reservado para incluir el Número de Identificación Tributaria del titular del certificado.
IDENTIFICACIÓN DE CADA MODELO
-- NOMBRE DE CADA MODELO CUBIERTO: Espacio reservado para incluir cada uno de los modelos cubiertos por el certificado.
-- CÓDIGO DE CADA MODELO: Dígitos correspondientes a las posiciones del 4 al 8 del Número de Identificación del Vehículo (VIN) de cada uno de los modelos cubiertos por el certificado.
Para el caso de vehículos de uso propio, se deben registrar los 17 dígitos correspondientes al Número de Identificación del Vehículo (VIN) de cada uno de los vehículos cubiertos por el certificado.
-- SISTEMAS DE CONTROL DE EMISIONES: Identifique los equipos o sistemas de control de emisiones incorporados al vehículo, los cuales deben corresponder a los del modelo para el cual se efectuó la prueba:
PCV: Válvula de Ventilación Positiva del Cárter.
CANISTER:
TWC: Convertidor Catalítico de Tres Vías.
EGR: Recirculación de Gases de Escape.
OBD: Diagnóstico a bordo.
O.S: Sensor de Oxígeno.
T.C: Turbocargado.
SCR: Reducción catalítica selectiva.
DOC: Catalizadores de oxidación diésel.
DPF: Filtro de partículas diésel.
ECU: Unidad (módulo o sistema) de control electrónico.
OTRO: Espacio reservado para incluir el nombre de otros sistemas de control.
-- SISTEMA DE TRANSMISIÓN: Indique con una X si la transmisión es MECÁNICA, AUTOMÁTICA o Transmisión Continua Variable (CVT).
-- SISTEMA DE ALIMENTACIÓN: Indique con una X si el sistema de alimentación es Inyección Electrónica Multipunto (MPFI), Inyección Directa (I.DIRECTA) o tiene otro sistema de alimentación (Por ejemplo Inyección Electrónica Monopunto-SPFI).
-- TIPO DE MOTOR: Señale con una X si el motor es 2 tiempos o 4 tiempos (este espacio se diligencia si el Certificado se solicita para fuentes móviles tales como motocicleta, motociclo, mototriciclo o motocarro).
CARACTERÍSTICAS DEL MODELO
-- CLASIFICACIÓN: Clasificación de la fuente móvil, de acuerdo a lo establecido en la presente resolución. No es necesario diligenciar esta casilla en el caso de que el Certificado se solicite para fuentes móviles tales como motocicleta, motociclo, mototriciclo o motocarro.
-- PESO BRUTO VEHICULAR: Peso bruto vehicular utilizado para determinar la clasificación de la fuente móvil. En caso de que el certificado cubra varios modelos de vehículos diferentes con los mismos dígitos del VIN del 4 al 8, es necesario registrar el peso bruto vehicular de cada uno de los modelos.
-- AÑO MODELO: Año modelo de las fuentes móviles a importar, ensamblar, fabricar o comercializar.
-- CÓDIGO MOTOR: Corresponde al código registrado en la impronta del motor que lo identifica como parte de un grupo o familia de motores.
-- CILINDRADA: Espacio reservado para incluir la cilindrada del motor en centímetros cúbicos (c.c).
-- COMBUSTIBLE: Indique con una X si el combustible utilizado por las fuentes móviles cubiertas por el certificado operan con DIÉSEL (ACPM), GASOLINA, GAS NATURAL U OTRO COMBUSTIBLE. Si la fuente móvil es híbrida, indique con una X si el vehículo es HÍBRIDO-DIÉSEL o HÍBRIDO-GASOLINA.
-- TIPO: Indique con una X si las fuentes móviles cubiertas por el certificado son ENSAMBLADAS, FABRICADAS o IMPORTADAS.
IDENTIFICACIÓN DE LA PRUEBA
-- CICLO(S) DE PRUEBA REALIZADO(S): Espacio reservado para incluir cada Ciclo, Método o Procedimiento de Prueba Dinámico utilizado para la determinación de las emisiones.
-- ORGANISMO DE CERTIFICACIÓN: Espacio reservado para incluir el nombre del organismo que certifica la prueba.
-- ORGANISMO DE ACREDITACIÓN: Espacio reservado para incluir el nombre del organismo que acredita la prueba.
-- LABORATORIO DE PRUEBAS Y ENSAYOS: Espacio reservado para incluir el nombre del laboratorio que realizó la prueba.
-- AUTORIDAD AMBIENTAL O LA QUE HAGA SUS VECES: Espacio reservado para incluir el nombre de la autoridad ambiental del país donde se realiza la prueba.
-- CONSECUTIVO REPORTE DE LABORATORIO: Espacio reservado para incluir los respectivos números consecutivos que identifican el (los) reporte(s) de laboratorio.
-- CIUDAD Y PAÍS DONDE SE REALIZÓ LA PRUEBA: Espacio reservado para incluir el nombre de la ciudad y el país donde se encuentra la sede del laboratorio que realizó la prueba.
-- FECHA DE REALIZACIÓN DE LA PRUEBA: Espacio reservado para incluir la fecha en que se realizó la prueba al modelo correspondiente.
-- DIRECCIÓN, TELÉFONO, FAX, E-MAIL DEL ORGANISMO QUE EXPIDE EL REPORTE TÉCNICO: Espacio reservado para incluir toda la información precisa, suficiente y necesaria para contactar al Laboratorio o la Autoridad Ambiental que realiza la prueba.
VISTO BUENO POR PROTOCOLO DE MONTREAL
-- SISTEMA DE AIRE ACONDICIONADO: Indicar con una X si la fuente móvil cuenta con sistema de aire acondicionado. En caso afirmativo, indicar la sustancia utilizada como agente refrigerante.
-- SISTEMA DE REFRIGERACIÓN: Indicar con una X si la fuente móvil cuenta con sistema de refrigeración (se incluye transporte refrigerado). En caso afirmativo, indicar la sustancia utilizada como agente refrigerante.
DESCRIPCIÓN DEL VEHÍCULO
Indique con una X si la fuente móvil cubierta por el certificado corresponde a un vehículo de carga, bus, motocicleta, motociclo o mototriciclo. En el caso de un vehículo liviano, indicar adicionalmente si el vehículo es un taxi.
DESCRIPCIÓN DE LA IMPORTACIÓN
Indique con una X si la fuente móvil cubierta por el Certificado se destinará a comercialización o a uso propio.
INFORMACIÓN DE LA CASA MATRIZ O FIRMA PROPIETARIA DEL DISEÑO Y DEL COMERCIALIZADOR REPRESENTANTE DE MARCA, ENSAMBLADOR, IMPORTADOR, FABRICANTE O QUIEN IMPORTE VEHÍCULOS PARA COMERCIALIZACIÓN O USO PROPIO
-- POR LA CASA MATRIZ O FIRMA PROPIETARIA DEL DISEÑO: Espacio reservado para incluir la firma del representante de la casa matriz o firma propietaria del diseño (solo si el Certificado es para comercialización).
-- NOMBRE: Nombre del representante de la casa matriz o firma propietaria del diseño. Espacio reservado para incluir la firma del representante de la casa matriz o firma propietaria del diseño (solo si el Certificado es para comercialización).
-- CARGO: Cargo del representante de la casa matriz o firma propietaria del diseño. Espacio reservado para incluir la firma del representante de la casa matriz o firma propietaria del diseño (solo si el Certificado es para comercialización).
-- POR EL COMERCIALIZADOR REPRESENTANTE DE MARCA, ENSAMBLADOR, IMPORTADOR, FABRICANTE O QUIEN IMPORTE VEHÍCULOS PARA COMERCIALIZACIÓN: Espacio reservado para incluir la firma del comercializador representante de marca, ensamblador, importador, fabricante o quien importe vehículos para comercialización o uso propio.
-- NOMBRE: Nombre del representante del comercializador representante de marca, ensamblador, importador, fabricante o quien importe vehículos para comercialización o uso propio. En caso de que el Certificado sea para comercialización es necesario registrar el número de identificación del importador (NIT o Cédula de ciudadanía).
-- CARGO: Cargo del representante de marca, ensamblador, importador, fabricante o quien importe vehículos para comercialización o uso propio.
-- APROBACIÓN TÉCNICA: Espacio reservado para incluir la firma de aprobación de la dependencia que realiza el concepto técnico.
-- FECHA DE APROBACIÓN TÉCNICA: Espacio reservado para incluir la fecha de aprobación de la dependencia que aprueba el certificado.
<Cuadros originales:
Los siguientes cuadros y/o tablas estaban incluidos en los textos originales de los respectivos artículos de esta norma y por su formato no pudieron ser incluidos dentro de la caja de Legislación Anterior:>
TABLA 6
Clasificación de las fuentes móviles para la medición de emisiones conforme a los ciclos de prueba de los Estados Unidos
| Categoría | Sub categoría | Capacidad | Peso neto[1](Kg) | Peso bruto[2](Kg) | ALVW[3](Kg) | LVW[4](Kg) | |
| LDV | - | - | - | - | - | ||
| LDT | LLDT | LDT1 | > 12 Pasajeros | - | |||
| LDT2 | > 1.701 | ||||||
| HLDT | LDT3 | > 2.722 < 3.856 | - | ||||
| LDT4 | > 2.608 | - | |||||
| HDV | LHDGE | - | > 2.722 | > 3.856 | - | - | |
| HHDGE | > 6.350 | - | - | ||||
| LHDDE | > 3.856 < 8.845 | - | - | ||||
| _MHDDE | |||||||
| _HHDDE | > 14.969 | ||||||
| _Urban bus | > 15 Pasajeros | ||||||
[1] Peso Neto Vehicular: Es el peso real del vehículo en condiciones de operación con todo el equipo estándar de fábrica y con combustible a la capacidad nominal del tanque.
[2] Peso Bruto Vehicular: Peso máximo de diseño del vehículo cargado, especificado por el fabricante del mismo.
[3] ALVW. Adjusted Loaded Vehicle Weight. Promedio numérico del peso neto vehicular y el peso bruto vehicular.
[4] LVW. Loaded Vehicle Weight. Peso neto vehicular más 136 kg.
TABLA 7
Clasificación de las fuentes móviles para la medición de emisiones conforme a los ciclos de prueba de la Unión Europea
| Categoría | Subcategoría | Capacidad | Peso bruto (Kg) | RW[5] (Kg) | |
| M | M1 | - | - | ||
| M2 | > 8 Pasajeros | - | |||
| M3 | > 8 Pasajeros | > 5.000 | - | ||
| N | N1 | Clase I | - | < 1.250 | |
| Clase II | - | ||||
| Clase III | - | > 1.700 | |||
| N2 | - | > 3.500 = 12.000 | - | ||
| N3 | > 12.000 | ||||
[5] RW. Reference Mass. Peso neto vehicular más un peso de 100 kg.