RESOLUCIÓN 201 DE 2016
(febrero 1o)
Diario Oficial No. 49.781 de 9 de febrero de 2016
MINISTERIO DE HACIENDA Y CRÉDITO PÚBLICO
Por la cual se señala al Banco de la República y a los establecimientos de crédito, los términos y condiciones para realizar el intercambio de flujos derivados de la cobertura de tasa de interés que facilite la financiación de vivienda urbana nueva No Vis; se precisa el alcance y contenido de los contratos marco de permuta financiera de tasas de interés a los que se refiere el artículo 2.10.1.7.3.1 del Decreto 1068 de 2015, y se dictan otras disposiciones.
EL MINISTRO DE HACIENDA Y CRÉDITO PÚBLICO,
en uso de sus facultades legales, en especial las previstas en el Capítulo 7, Título 1 de la Parte 10 del Libro 2 del Decreto 1068 de 2015, y
CONSIDERANDO:
Que en el Capítulo 7, Título 1 de la Parte 10 del Libro 2 del Decreto 1068 de 2015, se creó una cobertura de tasa de interés, la cual responde a una política contracíclica diseñada por el Gobierno Nacional con el fin de generar inversión en el sector de la construcción, importante generador de empleo no calificado y demandante masivo de insumos de otros sectores de la economía.
Que de acuerdo con lo previsto en el artículo 2.10.1.7.1.1 del Decreto 1068 de 2015, el Ministerio de Hacienda y Crédito Público, debe señalar al Banco de la República y a los establecimientos de crédito, entre otros aspectos, los términos y condiciones para realizar el intercambio de flujos derivados de la cobertura, y precisar el alcance y contenido de los contratos marco de cobertura a los que se refiere el artículo 2.10.1.7.3.1 del citado decreto, así como los demás aspectos derivados de la aplicación del Capítulo 7, Título 1 de la Parte 10 del Libro 2 del Decreto 1068 de 2015.
Que el artículo 2.10.1.7.2.4 del Decreto 1068 de 2015 señala que corresponde al Ministerio de Hacienda y Crédito Público definir el número de coberturas disponibles para los créditos y contratos de leasing en cada uno de los segmentos de vivienda que serán objeto del beneficio allí previsto, de conformidad a la disponibilidad presupuestal que exista para el efecto.
Que el artículo 2.10.1.7.2.3 del Decreto 1068 de 2015, establece que en caso de que haya lugar a la restitución de los recursos de la cobertura por parte de los establecimientos de crédito al Frech No Vis, esta se efectuará de acuerdo con las instrucciones que imparta el Viceministerio Técnico del Ministerio de Hacienda y Crédito Público.
Que por lo anteriormente expuesto, y con la finalidad de lograr la efectividad del mecanismo de la cobertura a la tasa de interés de que trata el Capítulo 7, Título 1 de la Parte 10 del Libro 2 del Decreto 1068 de 2015, se hace necesario expedir la presente resolución.
Que en mérito de lo expuesto,
RESUELVE:
DE LOS CONTRATOS MARCO DE PERMUTA FINANCIERA DE TASA DE INTERÉS E INTERCAMBIO DE FLUJOS.
ARTÍCULO 1o. CONTRATOS MARCO DE PERMUTA FINANCIERA DE TASA DE INTERÉS. <Artículo modificado por el artículo 1 de la Resolución 1783 de 2020. El nuevo texto es el siguiente:> Los establecimientos de crédito y las cajas de compensación familiar interesados en acceder a la cobertura que ofrece el Gobierno nacional a través del FRECH NO VIS deberán celebrar con el Banco de la República, como administrador del FRECH, un contrato marco de permuta financiera de tasas de interés para realizar el intercambio de flujos derivados de la cobertura, de conformidad con lo previsto en el Capítulo 7 del Título 1 de la Parte 10 del Libro 2 del Decreto 1068 de 2015. Dichos contratos deberán contener como mínimo las siguientes cláusulas;
a) Parles: El Banco de la República, en su calidad de administrador del FRECH, y ceda establecimiento de crédito o cada caja de compensación familiar.
b) Objeto: Intercambio de flujos derivados de la cobertura de tasas de interés otorgada a los deudores de crédito individual para la compra de vivienda urbana nueva NO VIS y locatarios de contratos de leasing habitacional sobre vivienda urbana nueva NO VIS, en los términos previstos en el Capítulo 7 del Título 1 de la Parte 10 del Libro 2 del Decreto 1068 de 2015.
c) Plazo: Hasta la finalización de la última cobertura de tasa de interés registrada en el FRECH NO VIS por parte de cada establecimiento de crédito y cada caja de compensación familiar.
d) Derechos y obligaciones de las partes: Se deben establecer las obligaciones a que hace referencia el artículo 2.10.1.7.3.1 del Decreto 1068 de 2015.
e) Beneficiarios de la cobertura: i) Los deudores de crédito para la compra de vivienda urbana nueva NO VIS, en los términos previstos en el Capítulo 7 del Título 1 de la Parte 10 del Libro 2 del Decreto 1068 de 2015 o ii) Los locatarios de contratos de leasing habitacional sobre vivienda urbana nueva NO VIS, en los términos previstos en el Capítulo 7 del Título 1 de la Parte 10 del ibidem 2 del Decreto 1068 de 2015.
f) Alcance de la cobertura: La cobertura consagrada en el Capítulo 7 del Título 1 de la Parte 10 del Libro 2 del Decreto 1068 de 2015, se encuentra limitada al número de coberturas disponibles para los créditos de vivienda y contratos de leasing habitacional, según corresponda en cada uno de los segmentos de vivienda señalados en el artículo 2.10.1.7.1.2. del Decreto 1068 de 2015, conforme a la disponibilidad presupuestal que exista para el efecto y lo definido en el artículo 8o de esta resolución y sus modificaciones.
g) Condiciones del intercambio de flujos: El intercambio de flujos entre los establecimientos de crédito, les cajas de compensación familiar y el FRECH NO VIS, se realizará de acuerdo con las condiciones previstas en el Capítulo 7 del Título 1 de la Parte 10 del Libro 2 del Decreto 1068 de 2015, la presente resolución y las demás normes que los reglamenten, modifiquen, adicionen, sustituyen y complementen.
h) Contenido de la información: El envío de toda la información por parte de los establecimientos de crédito y las cajas de compensación familiar al Banco de la República, como administrador del FRECH, en los términos previstos en el subnumeral 1.3. del numeral 1 del artículo 2.10.1.7.3.1 del Decreto 1068 de 2015, se entenderá certificada por el representante legal de la entidad.
ARTÍCULO 2o. CONDICIONES PARA REALIZAR EL INTERCAMBIO DE FLUJOS DE LA COBERTURA.
1. Inicio: La cobertura iniciará a partir del desembolso del crédito o del inicio del contrato de leasing habitacional con derecho al beneficio.
2. Fecha de liquidación: <Numeral modificado por el artículo 1 de la Resolución 188 de 2022. El nuevo texto es el siguiente:> La fecha de liquidación de la cobertura corresponderá a la fecha de corte que tenga cada crédito de vivienda o contrato de leasing habitacional. En ese sentido, el saldo de capital vigente no vencido aplicable, para efectos del cálculo de los intereses y las coberturas correspondientes a las que hace referencia el numeral 1 y el numeral 2 incluidas las que se enmarquen dentro de lo previsto en el parágrafo 3 del artículo 2.10.1.7.1.2. del Decreto número 1068 de 2015 será el de la fecha de la anterior liquidación.
3. Intercambio de flujos: <Numeral modificado por el artículo 1 de la Resolución 188 de 2022. El nuevo texto es el siguiente:> Dentro del proceso de intercambio de flujos entre el establecimiento de crédito o la caja de compensación familiar, según sea el caso, y el FRECH NO VIS, el establecimiento de crédito o la caja de compensación familiar, según corresponda, se compromete a informar y certificar la tasa de interés pactada en el crédito para compra de vivienda urbana nueva o el costo financiero en el contrato de leasing habitacional sobre vivienda urbana nueva, así como a calcular y certificar mensualmente, a través del representante legal, los valores correspondientes al literal a) y al literal b) o al literal a) y al literal c) o al literal a) y al literal d), según sea el caso:
a) El monto en pesos, resultante de aplicar el equivalente mensual de la tasa de interés pactada en el crédito al saldo de capital vigente no vencido al momento de la liquidación anterior de la cobertura;
b) Para las coberturas a las que hace referencia el numeral 1 del artículo 2.10.1.7.1.2. del Decreto número 1068 de 2015: El monto en pesos, resultante de aplicar el equivalente mensual de la tasa de la cobertura (2.5% efectivo anual) al saldo de capital vigente no vencido al momento de la liquidación anterior a la cobertura. En ningún caso este monto podrá ser superior al monto en pesos contemplado en el literal a) de este numeral o;
c) Para las coberturas a las que hace referencia el numeral 2 del artículo 2.10.1.7.1.2. del Decreto número 1068 de 2015: El monto mensual en pesos, resultante de dividir hasta cuarenta y dos (42) salarios mínimos mensuales legales vigentes (SMMLV) al momento del desembolso del crédito de vivienda o de inicio del contrato de leasing habitacional, entre ochenta y cuatro (84) mensualidades. Este monto se destinará a cubrir el monto mensual de los intereses causados sobre el saldo del capital vigente no vencido del crédito de vivienda o del contrato de leasing habitacional durante el período de liquidación de la cobertura. En ningún caso el monto de la cobertura mensual podrá ser superior al monto causado por intereses corrientes en el respectivo mes y se abonará al componente de intereses corrientes de las primeras 84 cuotas o cánones mensuales del crédito de vivienda o del contrato de leasing habitacional, según corresponda o;
d) Para las coberturas a las que hace referencia el numeral 2 del artículo 2.10.1.7.1.2. del Decreto número 1068 de 2015 que se enmarquen dentro de lo previsto en el parágrafo 3 del mismo artículo: El monto mensual en pesos, resultante de dividir hasta cincuenta y dos (52) salarios mínimos mensuales legales vigentes (SMMLV) al momento del desembolso del crédito de vivienda o de inicio del contrato de leasing habitacional, entre ochenta y cuatro (84) mensualidades. Este monto se destinará a cubrir el monto mensual de los intereses causados sobre el saldo del capital vigente no vencido del crédito de vivienda o del contrato de leasing habitacional durante el período de liquidación de la cobertura. En ningún caso el monto de la cobertura mensual podrá ser superior al monto causado por intereses corrientes en el respectivo mes y se abonará al componente de intereses corrientes de las primeras 84 cuotas o cánones mensuales del crédito de vivienda o del contrato de leasing habitacional, según corresponda.
En todo caso, el monto a reconocer y entregar por parte del establecimiento de crédito o la caja de compensación familiar al FRECH NO VIS debe ser igual a la diferencia entre el literal a) y el literal b) o el literal a) y el literal c) o el literal a) y el literal d), según sea el caso, conforme a lo establecido en el presente numeral, la cual será certificada por el mismo establecimiento de crédito o caja de compensación familiar. Este monto deberá ser positivo, o igual a cero en el caso en que la tasa de interés pactada sea menor o igual a la tasa de la cobertura. Tratándose de la cobertura prevista en el numeral 2 incluidas las que se enmarquen dentro de lo previsto en el parágrafo 3 del artículo 2.10.1.7.1.2. del Decreto número 1068 de 2015, cuando el monto de los intereses corrientes causados no sea mayor a la cobertura, el FRECH NO VIS pagará únicamente lo correspondiente a los intereses corrientes causados.
Así mismo, el FRECH NO VIS se compromete a reconocer y entregar al establecimiento de crédito y a la caja de compensación familiar el monto en pesos, resultante de aplicar el equivalente mensual de la tasa de interés pactada en el crédito individual para compra de vivienda urbana nueva o el costo financiero en el contrato de leasing habitacional sobre vivienda urbana nueva al saldo de capital vigente no vencido al momento de la liquidación anterior de la cobertura, conforme al monto certificado por el mismo establecimiento de crédito o caja de compensación familiar para el literal a) del presente numeral.
Para efectos del cálculo de los flujos que intervienen en la permuta financiera de tasa de interés y de los montos a certificar se aplicará lo siguiente:
3.1. Liquidación para meses completos <Numeral modificado por el artículo 2 de la Resolución 1783 de 2020. El nuevo texto es el siguiente:>
3.1.1. Para los créditos de vivienda desembolsados o contratos de leasing habitacional iniciados, a los que hace referencia el numeral 1 del artículo 2.10.1.7.1.2. del Decreto 1068 de 2015.
Para efectos del cálculo de los montos a certificar y entregar por parte del establecimiento de crédito, se tendrá en cuenta la siguiente fórmula para tos créditos de vivienda o contratos de leasing habitacional denominados en Unidades de Valor Real (UVR):
Cuandoiuvr > Cob1; entonces
Monto Ecrédito = Interési - Coberturat
MontoFRESH = Interést
Interést = SUVRt-1 *((1 + iuvr)1/2-1)* UVRt
Coberturat SUVRt-1 *((1+Cobi)1/2-1) *UVRt
En caso contrario,
Coberturat = Interést
Donde,
Monto Ecrédito: Monto en pesos a reconocer y entregar por los establecimientos de crédito.
MontoFRESH: Monto en pesos a reconocer y entregar por el FRECH NO VIS.
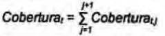
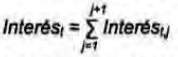
Interést: Monto en pesos correspondiente al interés liquidado sobre el saldo de capital vigente no vencido en la fecha anterior de liquidación de la cobertura.
Coberturat: Monto en pesos correspondiente a la cobertura liquidada sobre el saldo de capital vigente no vencido en la fecha anterior de liquidación de la cobertura.
SUVRt-1: Saldo en UVR de capital vigente no vencido en la fecha anterior de liquidación de la cobertura.
iuvr: tasa efectiva anual pactada sobre UVR
((1 + iuvr)1/2-1): Tasa efectiva mensual equivalente sobre UVR.
Cobi: Porcentaje de cobertura aplicable al rengo i de valor de la vivienda. Este porcentaje seré del 2.5% efectivo anual.
UVRt: Valor de la UVR en la fecha de liquidación de la cobertura.
De forma análoga, para calcular el monto a certificar, reconocer y entregar por parte del establecimiento de crédito para los créditos de vivienda o contratos de leasing habitacional denominados en pesos, las ecuaciones aplicables son las siguientes:
Cuando ipesos > Cobi entonces
MontoECredito = Interést - Coberturat
MontoFRECH = interést
Interést = St-1 *((1 + ípesos)1/2-1)
Coberturat = St-1 *((1+Cobi)1/2-1)
En caso contrario,
Coberturat = Interést
Donde,
St-1 Saldo en pesos de capital vigente no vencido al final de la fecha anterior de liquidación de la cobertura.
ipesos: Tasa efectiva anual pactada.
((1 + ípesos)1/2-1) Tasa efectiva mensual equivalente.
En el caso de presentarse prepagos, abonos o pago de cánones extraordinarios, el cálculo de los intereses y la cobertura deberán tener en cuenta el saldo de capital vigente no vencido para cada etapa (antes y después del abono) y la tasa efectiva ajustada al período de tiempo para el que ese saldo de capital es aplicable, de conformidad con les instrucciones que imparta la Superintendencia Financiera de Colombia
3.1.2. <Subnumeral modificado por el artículo 1 de la Resolución 188 de 2022. El nuevo texto es el siguiente:> Para los créditos de vivienda que se desembolsen o contratos de leasing habitacional que se inicien, a los que hace referencia el numeral 2 y el parágrafo 3 del artículo 2.10.1.7.1.2. del Decreto número 1068 de 2015.
Para efectos del cálculo de los montos a certificar y entregar por parte del establecimiento de crédito y caja de compensación familiar, se tendrá en cuenta la siguiente fórmula para los créditos de vivienda o contratos de leasing habitacional denominados en Unidades de Valor Real (UVR):

Donde,
MontoEcrédito: Monto en pesos a reconocer y entregar por los establecimientos de crédito y cajas de compensación familiar.
MontoFRECH = Monto en pesos a reconocer y entregar por el FRECH NO VIS.
Interést: Monto en pesos correspondiente al interés liquidado sobre el saldo de capital vigente no vencido en la fecha anterior de liquidación de la cobertura.
Coberturat: Monto en pesos de la cobertura correspondiente al período de liquidación con fecha de liquidación t.
Cobi: Monto total de la cobertura aplicable al crédito o contrato de leasing habitacional. Este monto puede tener dos valores así:
Cob1: Equivalente a cuarenta y dos (42) salarios mínimos mensuales legales vigentes (SMMLV) al momento del desembolso del crédito o de inicio del contrato.
Cob2: Equivalente a cincuenta y dos (52) salarios mínimos mensuales legales vigentes (SMMLV) al momento del desembolso del crédito o de inicio del contrato, cuando las viviendas financiadas cumplan con los criterios de sostenibilidad adicionales de acuerdo con el parágrafo 3 del artículo 2.10.1.7.1.2. y el parágrafo 2 del artículo 2.10.1.7.1.3. del Decreto número 1068 de 2015.
SUVRt-1: Saldo en UVR de capital vigente no vencido en la fecha anterior de liquidación de la cobertura.

SMMLV: Valor del salario mínimo mensual legal vigente en la fecha del desembolso del crédito o de inicio del contrato.
De forma análoga, para calcular el monto a certificar, reconocer y entregar por parte del establecimiento de crédito y las cajas de compensación familiar para los créditos de vivienda o contratos de leasing habitacional denominados en pesos, las ecuaciones aplicables son las siguientes:

Donde,

En el caso de presentarse prepagos, abonos o pago de cánones extraordinarios, el cálculo de los intereses deberá tener en cuenta el saldo de capital vigente no vencido para cada etapa (antes y después del abono) y la tasa efectiva ajustada al período de tiempo para el que ese saldo de capital es aplicable, de conformidad con las instrucciones que imparta la Superintendencia Financiera de Colombia y la Superintendencia del Subsidio Familiar según sea el caso. En estos eventos, los intereses corrientes causados sobre el saldo de capital vigente no vencido al término de cada subperíodo (etapa) de liquidación harán parte del componente de intereses corrientes del respectivo período de liquidación y la cobertura se entenderá abonada a este.
3.2. Cuando el periodo de liquidación de la cobertura no corresponda a meses completos <Numeral modificado por el artículo 2 de la Resolución 1783 de 2020. El nuevo texto es el siguiente:>
3.2.1. Para los créditos de vivienda desembolsados o contratos de leasing habitacional iniciados, a los que hace referencia el numeral 1 del artículo 2.10.1.7.1.2. del Decreto 1068 de 2015.
Cuando el periodo de liquidación de la cobertura corresponda a periodos distintos a meses completos, en razón a que se presenta, por ejemplo, un cambio en la fecha de corte de facturación del crédito, o esta no se establezca al término del mes siguiente del desembolso del crédito, o la cesión de la obligación, o la fecha de terminación de la vigencia de la cobertura no ocurra en la fecha de corte de facturación del crédito, la fórmula aplicable para los créditos de vivienda o contratos de leasing habitacional denominados en UVR será la siguiente:
Cuando iuvr > Cobi; entonces
MontoEcredito = Interest - Coberturat
MontoFRECH = Interest
Interest = SUVRt-1 *((1+iuvr)1/2-1)*(n)/30)*UVRt
Coberturat = SUVRt-1 *((1+Cobi)1/2-1) *(n/30)*UVRt
En caso contrario,
Coberturat = Interest
MontoEcredito = 0
Donde,
MontoEcredito : Monto en pesos a reconocer y en tragar por los establecimientos de crédito.
MontoFRECH: Monto en pesos a reconocer y entregar por el FRECH NO VIS.
Interest: Monto en pesos correspondiente al interés liquidado sobré el saldo de capital vigente no vencido al inicio del período que se está liquidando.
Coberturat: Monto en pesos correspondiente a la cobertura liquidada sobre el saldo de capital vigente no vencido al inicio del período que se está liquidando.
SUVRt-1: Saldo en UVR de capital vigente no vencido al inicio del período que se está liquidando.
iuvr: Tasa remuneratoria efectiva anual pactada.
(1+iuvr)1/2-1): Tasa efectiva mensual equivalente a la tasa remuneratoria efectiva anual i„.
n: Duración del período de liquidación de la cobertura, que corresponderá al número de días calendario entre el día siguiente a la fecha de la anterior liquidación de la cobertura y la fecha en que corresponda realizar la nueva liquidación de esta. Para el caso del primer periodo de liquidación, los días calendario se contarán a partir del día siguiente al desembolso. En el evento en que la fecha de terminación de la vigencia de la cobertura o de la cesión de la misma se presente en fecha distinta a la de corte de facturación del crédito, la fecha de liquidación de la cobertura corresponderá a la fecha de terminación de la cobertura o de la cesión de la misma.
Cobi: Porcentaje de cobertura aplicable al rango i de valor de la vivienda. Este porcentaje será 2.5% efectivo anual.
UVRi: Valor de la UVR en la fecha de liquidación de la cobertura.
De forma análoga, para los créditos denominados en pesos, las fórmulas a aplicar son las siguientes:
Cuando ipesos > Cobi; entonces
MontoEcredito = MAX (Interést - Coberturat,0)
MontoFRECH= Interést
Interést = St-1 *((1 +Ípesos)1/2 -1) ' (n/30)
Coberturat = St-1 *((1+Cobi)1/2 -1) * (n/30)
En caso contrario,
Coberturat = Interést
MontoEcredito = 0
Donde,
St-1: Saldo en pesos del capital vigente no vencido al inicio del periodo que se está liquidando
ipesos: Tasa efectiva anual pactada.
(1+ipesos)1/2- 1): Tasa efectiva mensual equivalente
3.2.2. <Subnumeral modificado por el artículo 1 de la Resolución 188 de 2022. El nuevo texto es el siguiente:> Para los créditos de vivienda que se desembolsen o contratos de leasing habitacional que se inicien, a los que hace referencia el numeral 2 y el parágrafo 3 del artículo 2.10.1.7.1.2. del Decreto número 1068 de 2015.
Cuando el período de liquidación de la cobertura corresponda a períodos distintos a meses completos, en razón a que se presenta, por ejemplo, un cambio en la fecha de corte de facturación del crédito, o esta no se establezca al término del mes siguiente del desembolso del crédito, o la cesión de la obligación, o la fecha de terminación de la vigencia de la cobertura no ocurra en la fecha de corte de facturación del crédito, la fórmula aplicable para los créditos de vivienda o contratos de leasing habitacional denominados en UVR será la siguiente:

Donde,
MontoEcrédito: Monto en pesos a reconocer y entregar por los establecimientos de crédito y las cajas de compensación familiar.
MontoFRECH: Monto en pesos a reconocer y entregar por el FRECH NO VIS.
Interést: Monto en pesos correspondiente al interés liquidado sobre el saldo de capital vigente no vencido al inicio del período que se está liquidando.
Coberturat: Monto en pesos de la cobertura correspondiente al período de liquidación con fecha de liquidación t.
Cobi: Monto total de la cobertura aplicable al crédito o contrato de leasing habitacional. Este monto puede tener dos valores así:
Cob1: Equivalente a cuarenta y dos (42) salarios mínimos mensuales legales vigentes (SMMLV) al momento del desembolso del crédito o de inicio del contrato.
Cob2: Equivalente a cincuenta y dos (52) salarios mínimos mensuales legales vigentes (SMMLV) al momento del desembolso del crédito o de inicio del contrato, cuando las viviendas financiadas cumplan con los criterios de sostenibilidad adicionales de acuerdo con el parágrafo 3 del artículo 2.10.1.7.1.2. y el parágrafo 2 del artículo 2.10.1.7.1.3. del Decreto número 1068 de 2015.

n: Duración del período de liquidación de la cobertura, que corresponderá al número de días calendario entre el día siguiente a la fecha de la anterior liquidación de la cobertura y la fecha en que corresponda realizar la nueva liquidación de esta. Para el caso del primer período de liquidación, los días calendario se contarán a partir del día siguiente al desembolso. En el evento en que la fecha de terminación de la vigencia de la cobertura o de la cesión de la misma se presente en fecha distinta a la de corte de facturación del crédito, la fecha de liquidación de la cobertura corresponderá a la fecha de terminación de la cobertura o de la cesión de la misma.
UVRt: Valor de la UVR en la fecha de liquidación de la cobertura.
SMMLV: Valor del salario mínimo mensual legal vigente en la fecha del desembolso del crédito o de inicio del contrato.
De forma análoga, para los créditos denominados en pesos, las fórmulas a aplicar son las siguientes:

Donde,

3.3. Cuando en el periodo de liquidación se presenten modificaciones en el saldo del crédito o del contrato de leasing habitacional <Numeral modificado por el artículo 2 de la Resolución 1783 de 2020. El nuevo texto es el siguiente:>
3.3.1. Para los créditos de vivienda desembolsados o contratos de leasing habitacional iniciados, a los que hace referencia el numeral 1 del artículo 2.10.1.7.1.2. del Decreto 1068 de 2015,
Cuando dentro del periodo de liquidación se presenten eventos que modifiquen el saldo del crédito de vivienda o del contrato de leasing habitacional, tales como la realización de prepagos parciales, el periodo de liquidación se dividirá en subperiodos, de forme que el cálculo del Interést y de la Coberturat para dicho periodo de liquidación tengan en cuenta el saldo de capital vigente no vencido para cada etapa y la tasa efectiva ajustada al periodo de tiempo para el cual el correspondiente saldo de capital es aplicable
En este sentido, para los créditos denominados en UVR, las fórmulas a aplicar son les siguientes:
Cuando iuvr > Cobi, entonces
MontoEcredito = Interést - Coberturat
MontoFRECH- Interést

Interestj = SUVRt-1j-1 * ((1+iuvr)1/2-1)*(n/30)*UVRtj

Coberturatj = SUVRt-1j-1*((1+Cobi)1/2-1)*(n/30)*UVRtj
En caso contrario,
Coberturat = Interést
MontóEcredito = 0
Donde,
MontóEcredito: Monto en pesos a reconocer y entregar por los establecimientos de crédito
MontoFRECH: Monto en pesos a reconocer y entregar por el FRECH NO VIS.
Interéstj: Monto en pesos correspondiente el interés liquidado sobre el saldo de capital vigente no vencido aplicable luego de hacer efectivo el abono o canon extraordinario j. En particular, Interés, corresponde al interés liquidado entre la lecha anterior de liquidación de la cobertura y le fecha del primer abono o cargo extraordinario; e, Interés., corresponde al Interés liquidado entre la fecha del último abono o canon extraordinario y la fecha de liquidación de la cobertura.
Coberturatj: Monto en pesos correspondiente a la cobertura liquidada sobre ei saldo de capital vigente no vencido aplicable luego de hacer efectivo el abono o canon extraordinario j, En particular, Cobertura, t corresponde a la cobertura liquidada entre la fecha anterior de liquidación de la misma y la fecha del primer abono o cargo extraordinario; y, Coberturatj., corresponde a la cobertura liquidada entre la fecha del último ebono o canon extraordinario y la fecha de liquidación de la cobertura.
SUVRt-1j-1: Saldo en UVR de capital vigente no vencido aplicable luego de hacer efectivo el abono o canon extraordinario j-1 SUVRt-1j-1, corresponde al saldo en UVR de capital vigente no vencido al final de la fecha anterior de liquidación de la cobertura.
Iuvr: Tasa efectiva anual pactada.
((1-iuvr)1/2-1): Tesa efectiva mensual equivalente a la lasa remuneratoria efectiva anual pactada, iuvr.
j = 1,...,J: Es el Indice del pago o canon extraordinario recibido durante el periodo que está siendo liquidado.
nj Duración del subperíodo j, el cual corresponderá al número de rilas calendario entre el día inmediatamente siguiente a la fecha del pago o canon extraordinario j-1 y la fecha del pago o canon extraordinario j. En este sentido, ni es el número de riles calendario entre el día siguiente a la fecha anterior de liquidación de la cobertura y la fecha del primer pago o canon extraordinario, y nj, es el número de días calendario entre el día siguiente a la fecha del último abono o canon extraordinario y la fecha de liquidación de la cobertura. Por consiguiente, la sumatoria de los n, es equivalente a la duración del periodo de liquidación de la cobertura n.
n: Duración del periodo de liquidación de la cobertura, que corresponderá al número de días calendario entre el día siguiente a la lecha de la anterior liquidación de la cobertura y la fecha en que corresponda realizarla nueva liquidación de esta.
Cobi: Porcentaje de cobertura aplicable al rango i del valor de la vivienda. Este porcentaje será 2.5% efectivo anual.
UVRtj: Valor de la UVR en la fecha del abono o canon extraordinario j del periodo En particular, UVRtj es el valor de la UVR en la fecha de liquidación de la cobertura.
De forma análoga, para los créditos de vivienda o contratos de leasing habitacional denominados en pesos, las fórmulas a aplicar son las siguientes:
Cuando lpesos > Cobi; entonces
MontoEcredito = Interést - Coberturat
MontoFRECH = Interést

Interéstj = St-1j-1*((1+ipesos)1/2 -1) *(nj/30)

Coberturatj = St-1j-1 * ((1+ Cobi)1/2 -1) *(nj/30)
En caso contrano.
Coberturat = Interést
MontoEcredito = 0
Donde,
St-1,j-1: Saldo de capital vigente no vencido aplicable luego de hacer efectivo el abono o canon extraordinario j. St-1,j-1 corresponde al saldo de capital vigente no venado al final de la fecha anterior de liquidación de la cobertura.
ipesos: Tasa efectiva anual pactada.
((1+ipesos)1/2-1): Tasa efectiva mensual equivalente a la tasa efectiva anual pactada, in,»,
En todo caso, la tasa efectiva anual pactada, utilizada para el cálculo de las fórmulas de que tratan tos subnumerales 3.1.1, 3.2,1 y 3.3,1, corresponderá a aquella que se encuentre vigente al inicio del periodo de liquidación de la cobertura. En consecuencia, si el establecimiento de crédito cobra al deudor una tasa de interés diferente a la pactada, la tasa de interés efectivamente cobrada será la utilizada para el cálculo del intercambio de flujos derivado de la cobertura. En ningún caso la cobertura resultante podrá ser superior a la tasa pactada del crédito o a te efectivamente cobrada al deudor según sea el caso.
En caso de pego parcial de los créditos de vivienda o contratos de leasing habitacional o de abonos extraordinarios, el establecimiento de crédito aplicará la suma correspondiente de acuerdo con la opción señalada por el titular del crédito, debiendo siempre calcularla cobertura sobre el saldo de capital no vencido de los créditos objeto de la cobertura.
Para tos contratos de leasing habitacional, tanto el interés como la cobertura, se calcularán con referencia al saldo insoluto no vencido de la obligación a la fecha de la anterior liquidación de la cobertura.
3.3.2. <Subnumeral modificado por el artículo 1 de la Resolución 188 de 2022. El nuevo texto es el siguiente:> Para los créditos de vivienda que se desembolsen o contratos de leasing habitacional que se inicien, a los que hace referencia el numeral 2 y el parágrafo 3 del artículo 2.10.1.7.1.2. del Decreto número 1068 de 2015.
Cuando dentro del período de liquidación se presenten eventos que modifiquen el saldo del crédito o del contrato de leasing habitacional, tales como la realización de prepagos parciales, el período de liquidación se dividirá en subperíodos, de forma que el cálculo del Interést para dicho período de liquidación tenga en cuenta el saldo de capital vigente no vencido para cada etapa y la tasa efectiva ajustada al período de tiempo para el cual el correspondiente saldo de capital es aplicable. En estos casos, los intereses corrientes causados sobre el saldo de capital vigente no vencido al término de cada subperíodo de liquidación harán parte del componente de intereses corrientes del respectivo período de liquidación y la cobertura se entenderá abonada a este.
En este sentido, para los créditos denominados en UVR, las fórmulas a aplicar son las siguientes:

Donde,
MontoEcredito: Monto en pesos a reconocer y entregar por los establecimientos de crédito y las cajas de compensación familiar.
MontoFRECH: Monto en pesos a reconocer y entregar por el FRECH NO VIS.
Interést,j: Monto en pesos correspondiente al interés liquidado sobre el saldo de capital vigente no vencido aplicable luego de hacer efectivo el abono o canon extraordinario j. En particular, Interést.1 corresponde al interés liquidado entre la fecha anterior de liquidación de la cobertura y la fecha del primer abono o cargo extraordinario; e, Interest,J+1 corresponde al interés liquidado entre la fecha del último abono o canon extraordinario y la fecha de liquidación de la cobertura.
Coberturat: Monto en pesos de la cobertura correspondiente al período de liquidación con fecha de liquidación t.
Cobi: Monto total de la cobertura aplicable al crédito o contrato de leasing habitacional. Este monto puede tener dos valores así:
Cob1: Equivalente a cuarenta y dos (42) salarios mínimos mensuales legales vigentes (SMMLV) al momento del desembolso del crédito o de inicio del contrato.
Cob2: Equivalente a cincuenta y dos (52) salarios mínimos mensuales legales vigentes (SMMLV) al momento del desembolso del crédito o de inicio del contrato, cuando las viviendas financiadas cumplan con los criterios de sostenibilidad adicionales de acuerdo con el parágrafo 3 del artículo 2.10.1.7.1.2. y el parágrafo 2 del artículo 2.10.1.7.1.3. del Decreto número 1068 de 2015.
SUVRt-,1,j-1: Saldo en UVR de capital vigente no vencido aplicable luego de hacer efectivo el abono o canon extraordinario j-1. SUVRt-1,0 corresponde al saldo en UVR de capital vigente no vencido al final de la fecha anterior de liquidación de la cobertura.

nj: Duración del subperíodo j, el cual corresponderá al número de días calendario entre el día inmediatamente siguiente a la fecha del pago o canon extraordinario j-1 y la fecha del pago o canon extraordinarioJ. En este sentido, n1, es el número de días calendario entre el día siguiente a la fecha anterior de liquidación de la cobertura y la fecha del primer pago o canon extraordinario; y nJ+1 es el número de días calendario entre el día siguiente a la fecha del último abono o canon extraordinario y la fecha de liquidación de la cobertura. Por consiguiente, la sumatoria de los nj es equivalente a la duración del período de liquidación de la cobertura n.
n: Duración del período de liquidación de la cobertura, que corresponderá al número de días calendario entre el día siguiente a la fecha de la anterior liquidación de la cobertura y la fecha en que corresponda realizar la nueva liquidación de esta.
UVRt,j: Valor de la UVR en la fecha del abono o canon extraordinario j del período. En particular, UVRt,J+1 es el valor de la UVR en la fecha de liquidación de la cobertura.
SMMLV: Valor del salario mínimo mensual legal vigente en la fecha del desembolso del crédito o de inicio del contrato.
De forma análoga, para los créditos de vivienda o contratos de leasing habitacional denominados en pesos, las fórmulas a aplicar son las siguientes:

Donde,
St,-1,j-1: Saldo de capital vigente no vencido aplicable luego de hacer efectivo el abono o canon extraordinario j. St,-1,0 corresponde al saldo de capital vigente no vencido al final de la fecha anterior de liquidación de la cobertura.

En todo caso, la tasa efectiva anual pactada, utilizada para el cálculo de las fórmulas de que tratan los subnumerales 3.1.2. 3.2.2. y 3.3.2., corresponderá a aquella que se encuentre vigente al inicio del período de liquidación de la cobertura. En consecuencia, si el establecimiento de crédito y/o la caja de compensación familiar cobra al deudor una tasa de interés diferente a la pactada, la tasa de interés efectivamente cobrada será la utilizada para el cálculo de los intereses corrientes (Interést) contemplados en el intercambio de flujos derivado de la cobertura. En ningún caso la cobertura resultante podrá ser superior al monto de los intereses corrientes causados a la tasa pactada del crédito o a la efectivamente cobrada al deudor según sea el caso.
En caso de pago parcial de los créditos de vivienda o contratos de leasing habitacional, o de abonos extraordinarios, el establecimiento de crédito y/o la caja de compensación de familiar aplicará la suma correspondiente de acuerdo con la opción señalada por el titular del crédito.
Para los contratos de leasing habitacional, el interés se calculará con referencia al saldo insoluto no vencido de la obligación a la fecha de la anterior liquidación de la cobertura
4. Pago de la cobertura <Numeral modificado por el artículo 2 de la Resolución 1783 de 2020. El nuevo texto es el siguiente:> El pago producto de la permuta financiera por parte del FRECH NO VIS a los establecimientos de crédito y a las cajas de compensación familiar se realizará por el monto neto de las obligaciones generadas mes a mes, derivadas del intercambio de flujos.
<Inciso adicionado por el artículo 6 de la Resolución 2166 de 2020. El nuevo texto es el siguiente:> Para los créditos de vivienda y contratos de leasing habitacional con cobertura vigente que hayan sido objeto del otorgamiento de periodos de gracia o prórrogas o de redefinición de sus condiciones crediticias en el marco de las Circulares Externas 007, 014 y 022 de 2020 de la Superintendencia Financiera de Colombia, el valor a reconocer y pagar por parte del FRECH por concepto de la cobertura, no podrá exceder el monto mensual proyectado para la cobertura de cada crédito de vivienda o contrato de leasing habitacional de acuerdo con lo establecido en el parágrafo transitorio del artículo 2.10.1.7.1.5 del Decreto número 1068 de 2015 y en los términos previstos en el artículo transitorio del Capítulo I de la presente resolución, y demás normas que los modifiquen, adicionen, complementen o sustituyan.
5. Cobro y aplicación de intereses de mora: <Numeral modificado por el artículo 1 de la Resolución 188 de 2022. El nuevo texto es el siguiente:> En caso de retraso o mora en el crédito de vivienda o de las obligaciones pecuniarias del contrato de leasing habitacional, el establecimiento de crédito o la caja de compensación familiar, según sea el caso, calculará y cobrará los intereses de mora correspondientes sobre el capital vencido, sin que ello afecte la continuidad en su aporte ni el cálculo de la cobertura a las que hace referencia el numeral 1 y el numeral 2 incluidas las que se enmarquen dentro de lo previsto en el parágrafo 3 del artículo 2.10.1.7.1.2. del Decreto número 1068 de 2015, la cual se liquidará sobre la misma base que se utiliza para el cálculo de los intereses pactados en el crédito de vivienda o en el contrato de leasing habitacional. No obstante lo anterior, en ningún caso, los intereses moratorios podrán ser cubiertos con cargo a los recursos de la cobertura, así como ningún otro costo derivado del otorgamiento o administración del crédito o del contrato de leasing habitacional, según corresponda
6. Vigencia de la cobertura: La cobertura solo será aplicable durante los primeros siete (7) años de vigencia contados a partir del desembolso del crédito o de la fecha de inicio del contrato de leasing habitacional, o hasta el momento en que se presente algunos de los eventos de terminación anticipada de la cobertura.
ARTÍCULO 3o. REGISTRO DE CRÉDITOS Y CONTRATOS DE LEASING HABITACIONAL. <Artículo modificado por el artículo 3 de la Resolución 1783 de 2020. El nuevo texto es el siguiente:> Dentro de los Cinco (5) primeros días hábitos de cada rites, los establecimientos de crédito y las cajas de compensación familiar presentarán al Banco de la República, como administrador del FRECH, para su registro en el FRECH NO VIS, una relación de los créditos de vivienda desembolsados y de tos contratos de leasing habitacional iniciados en el mes inmediatamente anterior, con derecho a la cobertura, que hayan sido previamente registrados en TransUnion [antes Central de Información Financiera - CIFIN], Si transcurridos tres (3) meses, contados a partir del vencimiento de la feche establecida en este artículo, el establecimiento de crédito o la caja de compensación familiar no presenta la relación para su respectivo registro en el FRECH NO VIS, perderá el derecho a realizar el registro de los créditos de vivienda y de los contratos de leasing habitacional y a presentar las cuentas de cobro de que trata el articulo siguiente de esta resolución. Lo anterior no afectará el beneficio de cobertura que pueda tener el deudor o locatario.
La relación de los créditos de vivienda y contratos de leasing habitacional que se presenten para su registro en el FRECH NO VIS deberá ir suscrita por el representante legal del establecimiento de crédito o de la caja de compensación familiar, según corresponda.
En todo caso, la cobertura se registrará en el FRECH NO VIS, atendiendo el cumplimiento de los siguientes requisitos: a) desembolso efectivo del crédito o inicio del contrato de leasing habitacional y b) facha de recibo en el Banco de la República de la relación de los créditos de vivienda y contratos de leasing habitacional con derecho a la cobertura presentados por el establecimiento de crédito o la caja de compensación familiar, según corresponda, respetándose estrictamente el orden de llegada.
ARTÍCULO 4o. CUENTAS DE COBRO Y PAGO DE LA PERMUTA. <Artículo modificado por el artículo 4 de la Resolución 1783 de 2020. El nuevo texto es el siguiente:> Sin perjuicio de que las coberturas sean liquidadas en fechas distintas, tos establecimientos de crédito y las cajas de compensación familiar presentarán dentro de los cinco (5) primeros días hábiles de cada mes al Banco de la República, como administrador del FRECH, las cuentas de cobro correspondientes a los créditos de vivienda y contratos de leasing habitacional registrados con cobertura en el FRECH NO VIS, por el monto neto del intercambio de flujos calculado para tos créditos de vivienda y contratos de leasing habitacional objeto de cobertura, liquidados durante el mes anterior.
La cuenta de cobro deberá ir suscrita por el representante legal del establecimiento de crédito o de la caja de compensación familiar.
El Banco de la República, por su parte, efectuará el pago correspondiente a las cuentas de cobro antes señaladas, dentro de los catorce (14) días hábiles siguientes al vencimiento del término previsto para la presentación de las cuentas de cobro.
En el evento en que el establecimiento de crédito o la caja de compensación familiar presente fas cuentas de cobro en un plazo distinto al establecido en el presente artículo, no se efectuará ningún reconocimiento adicional sobre los valores liquidados por concepto de la cobertura En todo caso, el establecimiento de crédito o la caja de compensación familiar perderá el derecho a presentar la cuenta de cobro correspondiente cuando transcurran tres (3) meses, contados a partir del vencimiento del plazo establecido en el inciso primero de este artículo, Lo anterior no afectaré el beneficio reconocido al deudor.
ARTÍCULO 5o. TERMINACIÓN ANTICIPADA. La cobertura se terminará de forma anticipada en los siguientes eventos:
a) Pago anticipado del crédito o hacer uso de la opción de compra en los contratos de leasing habitacional: El pago anticipado del crédito o el ejercicio de la opción de compra tratándose de contratos de leasing habitacional, antes del vencimiento del plazo establecido como vigencia de la cobertura, dará lugar a su terminación automática desde la fecha en que se realice el pago o se ejerza la opción de compra;
b) Mora de los deudores o locatarios: La mora en el pago de tres (3) cuotas consecutivas, correspondientes a las cuotas del crédito o a los cánones acordados en el contrato de leasing habitacional objeto de la cobertura, ocasionará la terminación automática de la misma, a partir del día hábil siguiente al vencimiento de la tercera cuota incumplida, sin necesidad de aviso o requerimiento alguno. En este caso, el titular del crédito o del contrato de leasing habitacional perderá el derecho a la cobertura respecto del saldo del crédito correspondiente, y de ninguna manera podrá exigir su restitución, o acceder a una nueva, mediante la vinculación con otro crédito o contrato de leasing habitacional;
c) Petición de los deudores o locatarios: <Literal modificado por el artículo 5 de la Resolución 1783 de 2020. El nuevo texto es el siguiente:> Los deudores titulares de créditos de vivienda o locatarios del contrato de leasing habitacional objeto de cobertura podrán dada por terminada en cualquier tiempo durante su vigencia, previa notificación escrita al establecimiento de crédito o a la caja de compensación familiar respectiva. La terminación de la cobertura se haré efectiva e partir del día en el que el establecimiento de crédito o la caja de compensación familiar reciba la notificación escrita, aunque se informe al Banco de la República en el siguiente periodo de corte. En este caso el titular del crédito de vivienda o contrato de leasing habitacional perderé el derecho a la cobertura respecto del saldo del crédito, y de ninguna manera, podré exigir su restitución, o acceder a una nueva, mediante la vinculación con otro crédito de vivienda o contrato de leasing habitacional.
d) Por cesión del crédito por parte del deudor: La cesión del crédito objeto de cobertura generará la terminación automática de la misma, sin penalidad alguna a partir de la fecha en que se produzca dicha cesión;
e) Por cesión del contrato de leasing habitacional por parte del locatario: La cesión del contrato de leasing habitacional generará la terminación automática de la misma, sin penalidad alguna, a partir de la fecha en que se produzca dicha cesión;
f) Por modificación del crédito o del contrato de leasing habitacional: <Literal modificado por el artículo 5 de la Resolución 1783 de 2020. El nuevo texto es el siguiente:> La modificación del crédito de vivienda o del contrato de leasing habitacional que al momento de la modificación implique el incremento de los montos o saldos de las obligaciones o también la ampliación del plazo de los créditos de vivienda o los contratos de leasing habitacional, daré lugar a la terminación de la cobertura a partir de la fecha en que se efectúe la modificación, excepto cuando se trate de la cobertura prevista en el numeral 2 del artículo 2.10.1.7.1.2 del Decreto 1068 de 2015.
g) Por aceleración del plazo: <Literal modificado por el artículo 5 de la Resolución 1783 de 2020. El nuevo texto es el siguiente:> La cobertura finalizaré por la aplicación de les causales definidas en el pagaré para la aceleración del plazo, a partir de la fecha en que el establecimiento de crédito o la caja de compensación familiar establezca dicha aceleración de plazo.
PARÁGRAFO. <Parágrafo modificado por el artículo 5 de la Resolución 1783 de 2020. El nuevo texto es el siguiente:> La ocurrencia de cualquiera de los eventos antes señalados, obliga al establecimiento de crédito y a la caja de compensación familiar a certificar ante el Banco de la República, la fecha exacta en la que se produjo la terminación anticipada de la cobertura.
ARTÍCULO 6o. VENTA, CESIÓN Y TITULARIZACIÓN DE CARTERA OBJETO DE COBERTURA. Para los efectos de lo dispuesto en el parágrafo del artículo 2.10.1.7.1.5 del Decreto 1068 de 2015 la totalidad de los derechos y obligaciones a cargo de los establecimientos de crédito derivados de los contratos marco de permuta financiera de tasa de interés, se entenderán radicados en los establecimientos de crédito que adquieran los créditos o contratos de leasing habitacional a partir de la fecha en que se perfeccione su cesión, venta o enajenación a cualquier título.
En caso de que tales créditos o contratos de leasing habitacional se vinculen a procesos de titularización, los derechos y obligaciones a que se hace referencia en este artículo serán ejercidos por el cesionario, entendido como sociedades titularizadoras, sociedades fiduciarias, o por las entidades legalmente facultadas para titularizar cartera, directamente o por conducto del administrador de los créditos hipotecarios designado por tales entidades para el proceso de titularización correspondiente.
Para efectos del registro de las cesiones de créditos y contratos de leasing habitacional con cobertura registrados en el Frech No Vis, el establecimiento de crédito cedente de la obligación como el cesionario de la misma, o el que ejerza sus derechos, deberán informar de esta situación al Banco de la República, como administrador del Frech. El Banco de la República podrá definir las condiciones adicionales en virtud de las cuales el cesionario deba cumplir con las obligaciones propias del establecimiento de crédito originador de la cartera o del contrato de leasing habitacional.
ARTÍCULO 7o. RESTITUCIONES. <Artículo modificado por el artículo 6 de la Resolución 1783 de 2020. El nuevo texto es el siguiente:> Las sumas provenientes de las restituciones previstas en el artículo 2.10.1.7.2.3 del Decreto 1068 de 2015, que deban realizarlos establecimientos de crédito y las cejes de compensación familiar al FRECH NO VIS con ocasión de los eventos que allí se mencionan, serán trasladados por los establecimientos de crédito y las cajas de compensación familiar a la Dirección General de Crédito Público y Tesoro Nacional del Ministerio de Hacienda y Crédito Público en la cuenta que el Viceministerio Técnico del Ministerio de Hacienda y Crédito Público determine para el efecto. Para realizar las restituciones se deberé tener en cuenta:
1. Cálculo de las restituciones: El Viceministerio Técnico del Ministerio de Hacienda y Crédito Público definiré en su oportunidad la metodología de cálculo pare determinar el valor de las sumas a restituir por parte de los establecimientos de crédito y las cajas de compensación familiar al FRECH NO VIS y que serán reintegradas por estas entidades a la Dirección General de Crédito Público y Tesoro Nacional del Ministerio de Hacienda y Crédito Público.
2. Procedimiento: El establecimiento de crédito o la caja de compensación familiar remitiré una comunicación al Banco de la República, certificada por el representante legal de la entidad, informando: a) el monto total de los recursos objeto de restitución y el monto de los recursos entregados por el FRECH NO VIS ai establecimiento de crédito o a la caja de compensación familiar por la liquidación de la cobertura, adjuntando el soporte del cálculo realizado para determinar el monto total de los recursos objeto de restitución, y b) la identificación completa del deudor beneficiario de la cobertura (tipo de Identificación, número de identificación y nombre completo, el número del crédito de vivienda o del contrato de leasing habitacional), y el evento que dio origen a la restitución de los recursos, con una breve explicación del mismo.
El Banco de la República validaré operativamente la información remitida por el establecimiento de crédito o la caja de compensación familiar comparándola con la registrada en el FRECH NO VIS y si la encuentra acorde dará su conformidad al establecimiento de crédito o a la caja de compensación familiar, con copia a la Dirección General de Crédito Público y Tesoro Nacional del Ministerio de Hacienda y Crédito Público, para que el establecimiento de crédito o la caja de compensación familiar realice la restitución de los recursos directamente a la Dirección General de Crédito Público y Tesoro Nacional del Ministerio de Hacienda y Crédito Público, en la forma que señale el Viceministerio Técnico del Ministerio de Hacienda y Crédito Público. Si la validación no es consistente, el Banco de la República se abstendrá de dar la conformidad e informará por escrito de este hecho al establecimiento de crédito o a la caja de compensación familiar con copia a la Dirección General de Crédito Público y Tesoro Nacional del Ministerio de Hacienda y Crédito Público, indicando las inconsistencias encontradas En este evento el establecimiento de crédito o la caja de compensación familiar deberá remitir una nueva comunicación certificada al Banco de la República con las correcciones a que haya lugar.
ARTÍCULO TRANSITORIO. PERÍODOS DE GRACIA. <Artículo modificado por el artículo 1 de la Resolución 1220 de 2020. El nuevo texto es el siguiente:>
<Inciso modificado por el artículo 2 de la Resolución 526 de 2021. El nuevo texto es el siguiente:>
Cuando se pacten períodos de gracia en capital e intereses en los créditos para adquisición de vivienda o en contratos de leasing habitacional que cuenten con el beneficio de cobertura de tasa de interés, de acuerdo con lo dispuesto en el parágrafo transitorio delos artículos 2.10.1.5.2.1 y 2.10.1.7.1.5 del Decreto número 1068 de 2015, en la Circular Externa 007 y en la Circular Externa 014 de 2020 de la Superintendencia Financiera de Colombia, y hasta por un periodo de seis (6) meses, no se entenderá como causal de terminación anticipada de la cobertura a que se refieren los citados artículos.
En estos casos, se tendrán en cuenta las siguientes reglas adicionales y/o aclaratorias para efectos de realizar el intercambio de flujos derivados de la cobertura de tasa de interés, presentar las cuentas de cobro de la cobertura y determinar los siete (7) años de vigencia de la misma, conforme a la presente resolución:
a) Se mantendrá la liquidación de la cobertura de tasa de interés y el intercambio de flujos con los establecimientos de crédito, de acuerdo con lo establecido en los numerales 2 (Fecha de liquidación) y 3 (Intercambio de flujos) del artículo 2o de la presente resolución. De esta forma se mantendrán los mismos flujos en Pesos y en UVR según sea el caso que se hubiesen tenido de no haberse otorgado los periodos de gracia.
b) Los establecimientos de crédito deberán presentar al Banco de la República, como administrador del FRECH, las cuentas de cobro de las coberturas de los beneficiarios que cuentan con periodo de gracia. Estas cuentas de cobro deberán conservar las condiciones acordadas del crédito hipotecario o del contrato de leasing habitacional (plazo, tasa y amortización) a la fecha de inicio del otorgamiento del periodo de gracia en los términos previstos en el artículo 4o de esta resolución.
c) El plazo de 7 años de vigencia de la cobertura de que trata el numeral 6 del artículo 2o de la presente resolución no será objeto de modificación; el establecimiento de crédito deberá asumir temporalmente los pagos correspondientes de las cuotas o cánones durante el periodo de gracia. Lo anterior, sin perjuicio que los establecimientos de crédito y los deudores de los créditos y locatarios de los contratos, acuerden el pago de las cuotas asumidas por el establecimiento de crédito durante el periodo de gracia.
d) El plazo total del crédito o del contrato de leasing habitacional podrá extenderse de tal forma que el plazo adicional no exceda el del periodo de gracia otorgado, sin que esto implique aumento del número de cuotas faltantes al momento de otorgarse el periodo de gracia, ni el cobro de las coberturas de las cuotas del crédito o de los cánones del contrato de leasing habitacional asumidas por el establecimiento de crédito, conforme a lo previsto en el literal anterior.
Los establecimientos de crédito deberán informar al Banco de la República, como administrador del FRECH, en la forma y oportunidad que este determine, en cumplimiento de los contratos marco de permuta financiera celebrados con estas entidades, los créditos y contratos de leasing habitacional registrados en el FRECH con cobertura de tasa de interés vigente, a los cuales se les haya otorgado los períodos de gracia de que trata el presente artículo. Para tal efecto, suministrarán para cada crédito o contrato de leasing habitacional, entre otros, la siguiente información: Tipo y Número de identificación del deudor principal de la obligación, fecha inicial y fecha final del periodo de gracia, fecha en que se entiende pactado entre las partes el período de gracia, nuevo plazo del crédito o del contrato de leasing en caso de haberse extendido el plazo de la obligación debido al otorgamiento del periodo de gracia, teniendo en cuenta lo previsto en el literal d) de este artículo y demás información que solicite el Banco de la República.
El Banco de la República deberá informar al Ministerio de Hacienda y Crédito Público, en los reportes contractuales mensuales, las novedades de los créditos o contratos de leasing habitacional registrados en el FRECH a que se refiere el inciso anterior, presentadas por los establecimientos de crédito y que hayan sido tramitadas por el Banco de la República, como administrador del FRECH.
PARÁGRAFO. <Parágrafo adicionado por el artículo 2 de la Resolución 2166 de 2020. El nuevo texto es el siguiente:> De conformidad con lo dispuesto en el inciso tercero del parágrafo transitorio del artículo 2.10.1.7.1.5 del Decreto número 1068 de 2015, el Ministerio de Hacienda y Crédito Público establecerá el monto mensual proyectado máximo a reconocer y a pagar por concepto de la cobertura hasta la vigencia de la misma para cada uno de los créditos de vivienda o contratos de leasing habitacional que cuenten con el beneficio de la cobertura de tasa de interés que hayan sido objeto del otorgamiento de periodos de gracia o prórrogas en el marco de las Circulares Externas 007 y 014 de 2020 de la Superintendencia Financiera de Colombia.
En consecuencia, el valor mensual a pagar por concepto de cobertura corresponderá al menor valor entre el monto mensual máximo a reconocer y a pagar proyectado por el Ministerio de Hacienda y Crédito Público y el monto resultante del intercambio de flujos de la cobertura de acuerdo con el numeral 3 y sub numerales 3.1.1, 3.2.1 y 3.3.1 del artículo 2o de la presente resolución. Cuando el periodo de liquidación de la cobertura no corresponda a meses completos, el monto mensual proyectado máximo a pagar de la cobertura se determinará de la forma prevista en el artículo transitorio Plan de Acompañamiento al Deudor (PAD,) de este Capítulo.
El Ministerio de Hacienda y Crédito Público realizará la proyección del valor mensual máximo a pagar para cada crédito de vivienda o contrato de leasing habitacional, teniendo en cuenta lo señalado en los literales a) y b) del artículo transitorio Plan de Acompañamiento al Deudor (PAD), de este Capítulo.
El monto mensual proyectado máximo a pagar por la cobertura que establezca el Ministerio de Hacienda y Crédito Público empezara a aplicarse a partir del mes siguiente en que el Banco de la República como administrador del FRECH, cuente concurrentemente con:
i) El monto mensual proyectado máximo a reconocer y a pagar por concepto de Ja cobertura para cada uno de los créditos de vivienda o contratos de leasing habitacional establecidos e informados por el Ministerio de Hacienda y Crédito Público a los establecimientos de crédito y al Banco de la República como administrador del FRECH. Estos montos podrán ser actualizados por el Ministerio de Hacienda y Crédito Público con la periodicidad que este considere, caso en el cual, los nuevos valores proyectados serán informados a los establecimientos de crédito y al Banco de la República como administrador del FRECH para su aplicación a partir del siguiente mes. Para los créditos de vivienda o contratos de leasing habitacional a los cuales el Ministerio de Hacienda y Crédito Público no reporte información del monto mensual proyectado máximo en pesos a reconocer y pagar, el Banco de la República como administrador del FRECH, no aplicará el monto máximo a pagar de la cobertura previsto en este artículo; y
ii) La información reportada por los establecimientos de crédito al Banco de la Republica como administrador del FRECH señalada en este artículo transitorio relacionada con cada uno de los créditos de vivienda o contratos de leasing habitacional que cuenten con el beneficio de la cobertura que hayan sido objeto del otorgamiento de los periodos de grada o prórrogas en desarrollo de las Circulares Externas 007 y 014 de la Superintendencia Financiera de Colombia.
Lo anterior aplicará para los créditos de vivienda o contratos de leasing habitacional a los que los establecimientos de crédito otorgaron períodos de gracia o prórrogas en capital e intereses hasta el 31 de julio de 2020 en las condiciones previstas en las Circulares Externas 007 y 014 de 2020 de la Superintendencia Financiera de Colombia.
ARTÍCULO TRANSITORIO. PLAN DE ACOMPAÑAMIENTO AL DEUDOR (PAD). <Artículo adicionado por el artículo 4 de la Resolución 2166 de 2020. El nuevo texto es el siguiente:>
<Inciso modificado por el artículo 2 de la Resolución 526 de 2021. El nuevo texto es el siguiente:> Cuando se pacte la redefinición de las condiciones de los créditos de vivienda y contratos de leasing habitacional que cuenten con el beneficio de la cobertura de tasa de interés, en el marco del Plan de Acompañamiento al Deudor (PAD) de que trata la Circular Externa 022 de 2020 de la Superintendencia Financiera de Colombia y de acuerdo con lo dispuesto en el parágrafo transitorio del artículo 2.10.1.7.1.5 del Decreto número 1068 de 2015 y las demás normas que las adicionen, modifiquen, sustituyan o complementen, no se entenderá como causal de terminación anticipada de la cobertura.
En estos casos, el Ministerio de Hacienda y Crédito Público establecerá el monto mensual proyectado máximo a reconocer y a pagar por concepto de la cobertura hasta la vigencia de la misma para cada uno de los créditos de vivienda o contratos de leasing habitacional que cuenten con el beneficio de cobertura de tasa de interés que redefinan sus condiciones financieras en desarrollo del Plan de Acompañamiento al Deudor (PAD).
En consecuencia, el valor mensual a pagar por concepto de la cobertura corresponderá al menor valor entre el monto mensual máximo a reconocer y a pagar proyectado por el Ministerio de Hacienda y Crédito Público y el monto resultante del intercambio de flujos de la cobertura de acuerdo con el numeral 3 y subnumerales 3.1.1, 3.2.1 y 3.3.1 del artículo 2o de la presente resolución.
Cuando el periodo de liquidación de la cobertura no corresponda a meses completos el monto mensual proyectado máximo a pagar de la cobertura se determinara así:
MMPCtn1 = MMPCt * (n1/n)
Donde:
MMPCt = Monto mensual proyectado máximo en pesos a reconocer y pagar por el FRECH para la cobertura liquidada en la fecha de liquidación de la coberturat.
MMPCtn1 = Monto mensual proyectado máximo en pesos a reconocer y pagar por la cobertura en el periodo n1 para la cobertura liquidada en la fecha de liquidación de la coberturat.
n1 = Número de días del periodo de liquidación de la cobertura, el cual será equivalente al número de días existentes entre el día siguiente de la liquidación de la cobertura anterior t-1 y la fecha de liquidación de la coberturat.
n = Número de días calendario del mes en que se inicia el periodo de liquidación de la coberturat.
Cuando el MMPCt sea estimado en UVR, dicho valor se convertirá a pesos utilizando el valor de esta unidad en Ja fecha de liquidación de la coberturat.
Para efectos de la proyección del valor mensual máximo a pagar para cada crédito de vivienda o contrato de leasing habitacional, el Ministerio de Hacienda y Crédito Público tomará como base:
a) Las últimas condiciones financieras (plazo, tasa y sistema de amortización) registradas en el FRECH hasta el 30 de septiembre de 2020 para cada crédito de vivienda o contrato de leasing habitacional, de acuerdo con la información presentada por los establecimientos de crédito al Banco de la República como administrador del FRECH.
b) El último saldo de capital vigente no vencido reportado al Banco de la República como administrador del FRECH en la cuenta de cobro de la cobertura con fecha de liquidación más reciente (mes y año) presentada por el establecimiento de crédito hasta el mes de septiembre de 2020.
El monto mensual proyectado máximo a pagar por la cobertura que establezca el Ministerio de Hacienda y Crédito Público empezará a aplicarse a partir del mes siguiente en que el Banco de la República como administrador del FRECH, cuente concurrentemente con:
i) El monto mensual proyectado máximo a reconocer y a pagar por concepto de la cobertura para cada uno de los créditos de vivienda o contratos de leasing habitacional establecidos e informados por el Ministerio de Hacienda y Crédito Público a los establecimientos de crédito y al Banco de la República como administrador del FRECH. Estos montos podrán ser actualizados por el Ministerio de Hacienda y Crédito Público con la periodicidad que este considere, caso en el cual, los nuevos valores proyectados serán informados a los establecimientos de crédito y al Banco de la República como administrador del FRECH, para su aplicación a partir del siguiente mes. Para los créditos de vivienda o contratos de leasing habitacional a los cuales el Ministerio de Hacienda y Crédito Público no reporte la información de este inciso, el Banco de la República como administrador del FRECH, no aplicará el monto máximo a pagar de la cobertura previsto en este artículo; y
ii) La información reportada por los establecimientos de crédito al Banco de la República como administrador del FRECH, relacionada con cada uno de los créditos de vivienda o contratos de leasing habitacional que cuenten con el beneficio de la cobertura que hayan sido objeto de redefinición de las condiciones crediticias en desarrollo de la Circular Externa 022 de 2020 de la Superintendencia Financiera de Colombia. Para el efecto, el establecimiento de crédito deberá informar al Banco de la República como administrador del FRECH: el Tipo y número de identificación del deudor principal y la fecha de Inicio de vigencia de la redefinición del crédito de vivienda o del contrato de leasing habitacional. El Banco de la República como administrador del FRECH deberá informar al Ministerio de Hacienda y Crédito Público, en los reportes contractuales mensuales, las novedades a que se refiere este inciso.
Adicionalmente, se tendrán en cuenta las siguientes reglas adicionales y/o aclaratorias para efectos de realizar el intercambio de flujos derivados de la cobertura de tasa de interés, presentar las cuentas de cobro de la cobertura y determinar los siete (7) años de vigencia de la misma, conforme a lo señalado en la presente resolución:
i) El plazo de siete (7) años de vigencia de la cobertura no será objeto de modificación.
ii) Para los créditos de vivienda y los contratos de leasing habitacional que tengan el beneficio de la cobertura y sean objeto de redefinición de las condiciones en el marco de la Circular Externa 022 de 2020 de la Superintendencia Financiera de Colombia, se mantendrá la liquidación de la cobertura de tasa de interés y el intercambio de flujos con los establecimientos de crédito, de acuerdo con lo establecido en los numerales 2 (Fecha de liquidación) y 3 (Intercambio de flujos) del artículo 2o de la presente resolución, manteniendo los mismos flujos en Pesos y en UVR, que se hubiesen tenido de no haberse otorgado la redefinición de los créditos de vivienda o contratos de leasing habitacional y conservando las condiciones vigentes (plazo, tasa y amortización) que tenía el crédito de vivienda o el contrato de leasing habitacional con anterioridad a la fecha de redefinición de sus condiciones.
iii) Cuando la redefinición de las condiciones se realice en créditos de vivienda o contratos de leasing habitacional que cuenten con periodos de gracia o prórrogas en desarrollo de las Circulares Externas 007 y 014 de 2020 de la Superintendencia Financiera de Colombia que hayan sido informadas al Banco de la República como administrador del FRECH conforme a lo dispuesto en la Resolución número 1220 de 2020, aplicarán las condiciones dispuestas en este artículo transitorio. Así mismo, de encontrarse vigentes los periodos de gracia o prórrogas señalados anteriormente, los establecimientos de crédito deberán presentar al Banco de la República como administrador del FRECH las cuentas de cobro de las coberturas correspondientes a estos periodos de gracia o prrrogas durante la vigencia de estas medidas de acuerdo con lo establecido en el literal b) del artículo transitorio “Periodos de Gracia” de la presente resolución.
iv) Cuando la redefinición de las condiciones de los créditos de vivienda o contratos de leasing habitacional considere el otorgamiento de periodos de gracia o prórrogas, los establecimientos de crédito deberán presentar al Banco de la República como administrador del FRECH, durante el periodo de gracia o prórroga, las cuentas de cobro de las coberturas que hayan sido objeto de estas medidas de redefinición.
v) El saldo de capital vigente no vencido que reporte el establecimiento de crédito en las cuentas de cobro mensuales que presente al Banco de la República como administrador del FRECH y que correspondan a fechas de liquidación de la cobertura posteriores al mes de agosto de 2020, en ningún caso podrá ser superior o igual al saldo de capital vigente no vencido a que se refiere el literal b) de este artículo.
<Inciso modificado por el artículo 2 de la Resolución 526 de 2021. El nuevo texto es el siguiente:> Lo anterior aplicará para los créditos de vivienda o contratos de leasing habitacional a los que los establecimientos de crédito otorguen las medidas aquí contempladas a sus deudores hasta el 30 de junio de 2021 en las condiciones previstas en la Circular Externa 022 de 2020 de la Superintendencia Financiera de Colombia y las demás normas que la adicionen, modifiquen, sustituyan o complementen.
PARÁGRAFO. <Parágrafo adicionado por el artículo 2 de la Resolución 526 de 2021. El nuevo texto es el siguiente:> Cuando la redefinición de las condiciones se disponga en créditos de vivienda o contratos de leasing habitacional que cuenten con el beneficio de la cobertura de que trata el numeral 2 del artículo 2.10.1.7.1.2 del Decreto número 1068 de 2015 solo aplicará lo previsto en el primer y último inciso de este artículo transitorio. En todo caso, el establecimiento de crédito deberá informar al Banco de la República, como administrador del FRECH, el Tipo y Número de identificación del deudor principal y la fecha de inicio de vigencia de la redefinición del crédito o del contrato. El Banco de la República deberá informar al Ministerio de Hacienda y Crédito Público estas novedades en los reportes contractuales mensuales.
Para la cobertura anteriormente señalada no será aplicable el inciso segundo del numeral 4 del artículo 2o ni el parágrafo del artículo 4o de la presente resolución, adicionados por los artículos 6o y 8o de la Resolución número 2166 de 2020. Igualmente, el intercambio de flujos derivado de la cobertura a que hace referencia el presente parágrafo se realizará conforme a lo señalado en el artículo 2o de la presente resolución, modificada por la Resolución número 1783 de 2020.
DEFINICIÓN DE LAS COBERTURAS DISPONIBLES Y FECHAS DE DESEMBOLSO DEL CRÉDITO O INICIO DEL CONTRATO DE LEASING.
ARTÍCULO 8o. DEFINICIÓN DE COBERTURAS Y FECHAS DE DESEMBOLSO DEL CRÉDITO O INICIO DEL CONTRATO DE LEASING. <Artículo modificado por el artículo 7 de la Resolución 1783 de 2020. El nuevo texto es el siguiente:>
<Inciso modificado por el artículo 1 de la Resolución 2643 de 2022. El nuevo texto es el siguiente:> El número total de coberturas disponibles será de ciento cincuenta y cinco mil (155.000), distribuidas así:
a) Veinticinco mil (25.000) coberturas para tos créditos de vivienda desembolsados o contratos de leasing habitacional iniciados desde el 5 de febrero de 2016 y hasta el 31 de diciembre de 2016 y que correspondieron a créditos de vivienda o contratos de leasing habitacional para la financiación de viviendas urbanas nuevas conforme a los segmentos establecidos en el subnumeral 1.1. del numeral 1 del artículo 2.10.1.7.1.2. del Decreto 1068 de 2015.
b) Veinte mil (20.000) coberturas para tos créditos de vivienda desembolsados o contratos de leasing habitacional iniciados desde el 10 de febrero de 2017 y hasta el 31 de diciembre de 2017 o hasta el agotamiento de las mismas, contorne a tos segmentos establecidos en los subnumerales 1.1. y 1.1. del numeral 1 del artículo 2.10.1.7.1.2. del Decreto 1068 de 2015.
c) Veinte mil (20.000) coberturas para los créditos de vivienda desembolsados o los contratos de leasing habitacional iniciados a partir del 12 de febrero de 2018 y hasta el 31 de diciembre de 2018 o hasta el agotamiento de las mismas, conforme al segmento establecido en el subnumeral 1.2. del numeral 1 del artículo 2.10.1.7.1.2 del Decreto 1068 de 2015.
d) Veinte mil (20.000) coberturas para los créditos de vivienda que se desembolsen o los contratos de leasing habitacional que se inicien a partir del 18 de septiembre de 2020 y hasta el 31 de diciembre de 2020 o hasta el agotamiento de las mismas, conforme a los segmentos establecidos en el numeral 2 del articula 2.10.1.7.1.2. del Decreto 1068 de 2015.
e) Cuarenta mil (40.000) coberturas para los créditos de vivienda que se desembolsen o los contratos de leasing habitacional que se inicien a partir del 10 de febrero de 2021 y hasta el 31 de diciembre de 2021 o hasta el agotamiento de las mismas, conforme a los segmentos establecidos en el numeral 2 del artículo 210.1.7.1.2. del Decreto 1068 de 2015.
De este total de coberturas, veinticuatro mil (24.000) corresponderán a créditos de vivienda o contratos de leasing habitacional para la financiación de viviendas urbanas nuevas paré beneficiarios que no sean propietarios de vivienda en el territorio nacional y dieciséis mil (16.000) corresponderán a créditos de vivienda o contratos de leasing habitacional para la financiación de viviendas urbanas nuevas para beneficiarios que sean propietarios de vivienda en el territorio nacional.
f) <Literal modificado por el artículo 2 de la Resolución 2643 de 2022. El nuevo texto es el siguiente:> Treinta mil (30.000) coberturas para los créditos de vivienda desembolsados o que se desembolsen o los contratos de leasing habitacional iniciados o que se inicien a partir del 10 de febrero de 2022 y hasta el 31 de diciembre de 2022 o hasta el agotamiento de las mismas, conforme a los segmentos establecidos en el numeral 2 del artículo 2.10.1.7.1.2. del Decreto 1068 de 2015.
De este total de coberturas, quince mil (15.000) corresponderán a créditos de vivienda o contratos de leasing habitacional para la financiación de viviendas urbanas nuevas para beneficiarios que no sean propietarios de vivienda en el territorio nacional; once mil quinientas (11.500) corresponderán a créditos de vivienda o contratos de leasing habitacional para la financiación de viviendas urbanas nuevas para beneficiarios que sean propietarios de vivienda en el territorio nacional y tres mil quinientas (3.500) corresponderán a créditos de vivienda o contratos de leasing habitacional para financiación de viviendas urbanas nuevas que incorporen requisitos de sostenibilidad conforme con los lineamientos y criterios técnicos que para el efecto establezca el Ministerio de Vivienda, Ciudad y Territorio, de acuerdo con lo previsto en el parágrafo 3 del artículo 2.10.1.7.1.2. del Decreto 1068 de 2015, para beneficiarios que sean o no propietarios de vivienda en el territorio nacional.
En todo caso, de acuerdo con las condiciones del mercado en general y de fas particulares, en las que los establecimientos de crédito y las cajas de compensación familiar otorguen los créditos de vivienda o contratos de leasing habitacional objeto de la cobertura, el Ministerio de Hacienda y Crédito Público podrá optar por ampliar, restringir, modificar o suspender el número coberturas.
El Banco de la República durante los seis (6) primeros días hábiles de cada mes, informará a los establecimientos de crédito, a las cajas de compensación familiar y al Viceministerio Técnico del Ministerio de Hacienda y Crédito Público, el número de coberturas registradas en el FRECH NO VIS y las disponibles para cada uno de los segmentos de vivienda.
PARÁGRAFO. <Parágrafo adicionado por el artículo 8 de la Resolución 2166 de 2020. El nuevo texto es el siguiente:> Sin perjuicio de que las cuentas de cobro de la cobertura deban presentarse por el monto neto resultante del intercambio de flujos derivado de la cobertura, el valor a reconocer y pagar por parte del FRECH por concepto de la cobertura no podrá exceder el monto mensual proyectado de la cobertura establecido por el Ministerio de Hacienda y Crédito Público para cada uno de los créditos de vivienda o contratos de leasing habitacional que hayan sido objeto del otorgamiento de periodos de gracia o prórrogas o de redefinición de sus condiciones crediticias en el marco de las Circulares Externas 007, 014 y 022 de 2020 de la Superintendencia Financiera de Colombia, de conformidad con el parágrafo transitorio del artículo 2.10.1.7.1.5 del Decreto número 1068 de 2015 y en los términos previstos en los artículos transitorios del Capítulo I de la presente resolución y demás normas que los modifiquen, adicionen, complementen o sustituyan.
SOLICITUD Y VERIFICACIÓN DE LAS CONDICIONES PARA EL ACCESO A LA COBERTURA.
ARTÍCULO 9o. DEBER DE INFORMACIÓN. <Artículo modificado por el artículo 8 de la Resolución 1783 de 2020. El nuevo texto es el siguiente:> En desarrollo del principio de democratización del crédito, tos establecimientos de crédito y las cajas de compensación familiar que aprueben solicitudes de crédito para compra de vivienda urbana nueva o la celebración de contratos de leasing habitacional, cuyos valores se ubiquen en los segmentos definidos en el articula 2.10.1.7.1.2. del Decreto 1068 de 2015 y el articulo 8o de la presente resolución, deberán informar a los potenciales beneficiarios de dichas solicitudes sobre la cobertura de tasa de interés a que se refiere el Capítulo 7 del Título 1 de la Parte 10 del Libro 2 del Decreto 1068 de 2015 en concordancia con lo establecido en la presente resolución, las condiciones de acceso, vigencia y terminación anticipada, así como las demás condiciones que para el efecto establezca la Superintendencia Financiera de Colombia y la Superintendencia del Subsidio Familiar, según corresponda
En caso de que el potencial deudor se encuentre interesado en recibir dicha cobertura, deberá informar por escrito o por medios digitales verificables mediante manifestación expresa al establecimiento de crédito y/o a la caja de compensación que conoce y acepta las obligaciones y condiciones que implica la cobertura, así como las consecuencias del incumplimiento en el pago del crédito de vivienda o de los cánones tratándose de contratos de leasing habitacional y en general, de todas las termas de pérdida y terminación de la cobertura.
En caso de que el potencial deudor se encuentre interesado en recibir dicha cobertura deberá informar por escrito mediante manifestación expresa al establecimiento de crédito que conoce y acepta las obligaciones y condiciones que implica la cobertura, así como las consecuencias del incumplimiento en el pago del crédito o de los cánones tratándose de contratos de leasing habitacional y en general de todas las formas de pérdida y terminación de la cobertura.
ARTÍCULO 10. SOLICITUD DE ACCESO A LA COBERTURA DE TASA PARA LA FINANCIACIÓN DE VIVIENDA URBANA NUEVA. <Artículo modificado por el artículo 9 de la Resolución 1783 de 2020. El nuevo texto es el siguiente:> Los potenciales deudores de crédito de vivienda o locatarios de contratos de leasing habitacional interesados en obtener el beneficio de cobertura de tasa de que traía el Capítulo 7 del Título 1 de la Parte 10 del Libro 2 del Decreto 1068 de 2015, deberán presentar la correspondiente solicitud de acceso, ante el establecimiento de crédito o ante la caja de compensación familiar.
El formato de solicitud deberé ser suscrito conjuntamente por todos los potenciales deudores del crédito o los locatarios, tratándose de contratos de leasing habitacional, información que para lodos el efecto se entenderá suministrada bajo la gravedad de juramento.
Dicha solicitud deberá contener como mínimo lo siguiente:
1. La información que permita establecerla identificación personal de los deudores o locatarios.
2. Declaración expresa de los deudores de crédito o locatarios, en la que manifiesten que cumplen las condiciones para ser beneficiarios de la cobertura de que trata el Capítulo 7 del Título 1 de la Parte 10 del Libro 2 del Decreto 1068 de 2015, la presente resolución, y las demás normas que los reglamenten, modifiquen, adicionen, sustituyan y complementen.
3. La manifestación expresa que conoce y acepta tos términos y condiciones para el acceso, vigencia y terminación anticipada de la cobertura, en particular que el beneficio de la cobertura estaré sujeto a la disponibilidad de coberturas para tos créditos de vivienda y contratos de leasing habitacional al momento del desembolso del crédito de vivienda o del inicio del contrato de leasing habitacional.
La solicitud de acceso a la cobertura a la tasa de interés deberá presentarse por escrito con anterioridad al desembolso del crédito de vivienda o del inicio del contrato de leasing habitacional, según corresponde, so pena de no ser sujetos de la misma.
PARÁGRAFO. <Parágrafo adicionado por el artículo 3 de la Resolución 188 de 2022. El nuevo texto es el siguiente:> Tratándose de las viviendas a las que hace referencia el parágrafo 3 del artículo 2.10.1.7.1.2. del Decreto número 1068 de 2015 los potenciales deudores de crédito o locatarios de contratos de leasing habitacional deberán adicionalmente a lo previsto en el presente artículo, aportar los documentos señalados en el artículo 2o de la Resolución número 0019 de 2022 del Ministerio de Vivienda, Ciudad y Territorio.
ARTÍCULO 11. VERIFICACIÓN DE LAS CONDICIONES PARA EL ACCESO A LA COBERTURA. <Artículo modificado por el artículo 4 de la Resolución 188 de 2022. El nuevo texto es el siguiente:> Los establecimientos de crédito y las cajas de compensación familiar verificarán lo dispuesto en los numerales 6.1, 6.2 y 6.3. del artículo 2.10.1.7.3.2. del Decreto número 1068 de 2015, mediante consulta a TransUnion [antes Central de Información Financiera CIFIN].
Los establecimientos de crédito y las cajas de compensación familiar deben verificar que las fechas de desembolso de los créditos de vivienda o del inicio del contrato de leasing habitacional se encuentren comprendidos dentro de las fechas de desembolso o inicio de contrato de leasing habitacional establecidas en el artículo 8 de la presente resolución, en concordancia con el numeral 2 del artículo 2.10.1.7.1.4. del Decreto número 1068 de 2015.
Para la cobertura a la que hace referencia el numeral 2 del artículo 2.10.1.7.1.2. del Decreto número 1068 de 2015 que se enmarque dentro de lo previsto en el parágrafo 3 del mismo artículo, los establecimientos de crédito y las cajas de compensación familiar, deberán verificar adicional a lo establecido en el inciso primero del presente artículo, los documentos señalados en el artículo 2o de la Resolución número 0019 de 2022 del Ministerio de Vivienda, Ciudad y Territorio, con la base de datos publicada para el efecto en la página web del Ministerio de Vivienda, Ciudad y Territorio.
Con las verificaciones que realicen los establecimientos de crédito y las cajas de compensación familiar se acreditará el cumplimiento de estos requisitos y no habrá lugar a verificaciones adicionales por parte del Banco de la República, como administrador del FRECH.
DISPOSICIONES COMPLEMENTARIAS.
ARTÍCULO 12. PROHIBICIÓN DE COSTOS Y RECARGOS. La solicitud, acceso, ejecución, terminación y liquidación de la cobertura no generarán costos ni recargos para los deudores o locatarios, salvo los propios de la administración de la cartera hipotecaria.
ARTÍCULO 13. FACTURACIÓN PARA EL DEUDOR. <Artículo modificado por el artículo 11 de la Resolución 1783 de 2020. El nuevo texto es el siguiente:> En las facturas o extractos remitidos a los deudores o locatarios para efectos del pago de la respectiva cuota o canon, los establecimientos de crédito y las cajas de compensación familiar informarán de forma desagregada el valor de la cuota o canon con la tasa pactada, el valor de la cobertura y el valor real a pagar, con la advertencia que en caso de mora en los términos establecidos en el numeral 2 del artículo 2.10.1.7.1.5. del Decreto 1068 de 2015. se terminaré de forma anticipada el beneficio.
ARTÍCULO 14. PROYECCIÓN DE LOS CRÉDITOS OBJETO DE LA COBERTURA. <Artículo modificado por el artículo 12 de la Resolución 1783 de 2020. El nuevo texto es el siguiente:> Los establecimientos de crédito y las cajas de compensación familiar efectuaran una proyección anual de los valores que deben ser pagados mensualmente por los deudores con los saldos de los créditos objeto de la cobertura, incluyendo el efecto de la cobertura.
ARTÍCULO 15. INFORME DE TASAS DE INTERÉS. <Artículo modificado por el artículo 13 de la Resolución 1783 de 2020. El nuevo texto es el siguiente:> Los establecimientos de crédito y las cajas de compensación familiar, dentro de los diez (10) primeros días hábiles de cada mes, deberán informar al Viceministerio Técnico del Ministerio de Hacienda y Crédito Público la tasa de interés o el costo financiero ponderado, por cada establecimiento de crédito y caja de compensación familiar, de los créditos de vivienda y contratos de leasing habitacional con derecho a la cobertura iniciados en el mes Inmediatamente anterior.
El Viceministerio Técnico del Ministerio de Hacienda y Crédito Público podrá publicar la tasa ponderada reportada por los establecimientos de crédito y las cajas de compensación familiar con el fin de informar al público las condiciones del mercado respecto a la cobertura establecida en el Capítulo 7 del Título 1 de la Parte 10 del Libro 2 del Decreto 1068 de 2015.
Las tasas de interés o costo financiero informados por los establecimientos de crédito y las cajas de compensación familiar no constituyen una oferta comercial.
En todo caso, en el evento en que el Ministerio de Hacienda y Crédito Público evidencie por cualquier medio que la cobertura consagrada en el Capítulo 7 del Título 1 de le Parte 10 del Libro 2 del Decreto 1068 de 2015 se traduzca en un incremento de la tasa de interés pactada entre los deudores o locatarios y los establecimientos de crédito y las cajas de compensación familiar, según sea el caso, teniendo en cuenta para el cálculo respecto a los establecimientos de crédito las tasas de interés relevantes para el fondeo de los mismos, el Ministerio de Hacienda y Crédito Público podrá optar, mediante acto debidamente motivado, con base en el informe técnico que elaborará el Viceministerio Técnico del Ministerio de Hacienda y Crédito Público para tal efecto, por restringir, modificar o suspender el número coberturas, según lo dispuesto en el artículo 2.10.1.7.2.4. del Decreto 1068 de 2015, respecto a un establecimiento de crédito o caja de compensación familiar en particular o el total del número de coberturas disponibles del programa.
ARTÍCULO 16. INFORME DEL PROGRAMA FRECH NO VIS – COBERTURAS DE VIVIENDAS SOSTENIBLES. <Artículo adicionado por el artículo 5 de la Resolución 188 de 2022. El nuevo texto es el siguiente:> Dentro de los cinco (5) primeros días hábiles de cada mes, los establecimientos de crédito y las cajas de compensación familiar deberán remitir al Viceministerio Técnico del Ministerio de Hacienda y Crédito Público, a través del correo electrónico frechnovis@minhacienda.gov.co la información correspondiente a las coberturas a que hace referencia el numeral 2 del artículo 2.10.1.7.1.2. del Decreto número 1068 de 2015 que se enmarquen dentro de lo previsto en el parágrafo 3 del mismo artículo, otorgadas en el mes inmediatamente anterior, la cual deberá contener lo siguiente: i. Número de identificación del deudor principal; ii. Departamento; iii. Municipio; iv. Nombre del proyecto y; v. Copia de la certificación de los sellos de construcción sostenible emitida al proyecto por el respectivo organismo certificador o carta compromisoria del constructor.
ARTÍCULO 17 16. VIGENCIA. La presente resolución rige a partir de la fecha de su publicación.
Publíquese, comuníquese y cúmplase.
Dada en Bogotá, D. C., a 1o de febrero de 2016.
El Ministro de Hacienda y Crédito Público,
MAURICIO CÁRDENAS SANTAMARÍA.