RESOLUCIÓN 18 - 0919 DE 2010
(junio 1o)
Diario Oficial No. 47.728 de 2 de junio de 2010
MINISTERIO DE MINAS Y ENERGÍA
<NOTA DE VIGENCIA: Resolución derogada por el artículo 11 de la Resolución 41286 de 2016>
Por la cual se adopta el Plan de Acción Indicativo 2010-2015 para desarrollar el Programa de Uso Racional y Eficiente de la Energía y demás Formas de Energía No Convencionales, PROURE, se definen sus objetivos, subprogramas y se adoptan otras disposiciones al respecto.
EL MINISTRO DE MINAS Y ENERGÍA,
en ejercicio de sus facultades legales y reglamentarias, y en particular de lo previsto en la Ley 697 de 2001, en el Decreto Reglamentario 3683 de 2003 y en el Decreto 2501 de 2007,
CONSIDERANDO:
Que la Constitución Política de Colombia en su artículo 80, establece que el Estado planificará el manejo y aprovechamiento de los recursos naturales, para garantizar su desarrollo sostenible, su conservación, restauración o sustitución. Además, dispone que deberá prevenir y controlar los factores de deterioro ambiental, imponer las sanciones legales y exigir la reparación de los daños causados.
Que en su artículo 334, la Constitución prevé igualmente que la dirección general de la economía estará a cargo del Estado y este intervendrá por mandato de la ley en la explotación de los recursos naturales.
Que la Ley 99 de 1993 en su artículo 5o, numerales 32 y 33, asigna al Ministerio del Medio Ambiente, hoy Ministerio de Ambiente, Vivienda y Desarrollo Territorial, la función de promover la formulación de planes de reconversión industrial ligados a la implantación de tecnologías ambientalmente sanas, así como también promover, en coordinación con las entidades competentes y afines, la realización de programas de sustitución de los recursos naturales no renovables, para el desarrollo de tecnologías de generación de energías no contaminantes ni degradantes.
Que dando aplicación a las anteriores disposiciones, la Ley 697 de 2001 declaró el Uso Racional y Eficiente de la Energía (URE) como un asunto de interés social, público y de conveniencia nacional.
Que esta Ley, mediante la cual se fomenta el uso racional y eficiente de la energía, dispuso la promoción de la utilización de energías alternativas y se dictaron otras disposiciones, creando a su vez el Programa Uso Racional y Eficiente de la Energía y demás Formas de Energía No Convencionales, PROURE, estableciendo como entidad responsable de este al Ministerio de Minas y Energía, quién deberá promover, organizar asegurar el desarrollo, así como el seguimiento de los programas de uso racional y eficiente de la energía.
Que el Gobierno Nacional y el Ministerio de Minas y Energía han actuado de conformidad con lo establecido en la citada Ley, a través de la promulgación de los Decretos Reglamentarios números 3683 de 2003 y 2501 de 2007, por medio de los cuales se dictan disposiciones para promover prácticas con fines de uso racional y eficiente de energía y se definen algunos lineamientos generales del PROURE; así mismo y a través de la Resolución número 180609 de 2006, definió los subprogramas que hacen parte del Programa de Uso Racional y Eficiente de la Energía y demás Formas de Energía No Convencionales, PROURE.
Que el Ministerio de Minas y Energía, la Unidad de Planeación Minero-Energética - UPME y las entidades directamente relacionadas, por la responsabilidad que les otorga la ley o por su naturaleza o interés, han difundido y adelantado acciones, como también estudios pertinentes, buscando la mayor eficiencia energética en procura del abastecimiento energético pleno y oportuno, la competitividad de la economía colombiana y la protección al consumidor, así como la promoción de fuentes no convencionales, de manera sostenible con el medio ambiente y los recursos naturales.
Que de acuerdo con el Decreto número 3683 de 2003 el Ministerio de Minas y Energía podrá contar con la participación de los distintos agentes, públicos y privados de cada una de las cadenas energéticas y orientará la promoción del Programa de Uso Racional y Eficiente de Energía y demás Formas de Energía No Convencionales, PROURE.
Que según lo establecido en la Ley 697 de 2001, se deben aplicar gradualmente subprogramas y acciones para que toda la cadena energética esté cumpliendo permanentemente con los niveles mínimos de eficiencia energética, sin perjuicio de lo dispuesto en la normatividad vigente sobre medio ambiente y los recursos naturales renovables.
Que para desarrollar el Programa de Uso Racional y Eficiente de la Energía y demás Formas de Energía No Convencionales, PROURE, se hace necesario adoptar un plan de acción indicativo 2010-2015, teniendo presente el Documento Visión Colombia II Centenario: 2019 del Departamento de Planeación Nacional, el cual contempla como parte de los grandes retos del sector minas y energía, la promoción al uso eficiente de la canasta energética nacional.
Que dicho plan de acción contiene igualmente los objetivos, subprogramas y metas, que a partir de la fecha deben regir para el Programa de Uso Racional y Eficiente de la Energía y demás Formas de Energía No Convencionales, PROURE.
Que los subprogramas aquí contemplados, buscan actualizar y unificar criterios para la ejecución de programas y proyectos sobre Uso Racional y Eficiente de la Energía y demás Formas de Energía No Convencionales en Colombia, para facilitar que quienes realicen proyectos puedan acceder a los incentivos nacionales e internacionales existentes en la materia.
Que entre los incentivos nacionales a los cuales pueden optar ante el Ministerio de Ambiente Vivienda y Desarrollo Territorial quienes realicen los proyectos, se encuentran los beneficios tributarios de carácter ambiental previstos en el Estatuto Tributario, en particular en los artículos 158-2, 207-2, 424-5 numeral 4 y 428 literales f) e i), junto con los decretos reglamentarios 3172 de 2003 y 2532 de 2001.
Que el Programa de Uso Racional y Eficiente de la Energía y demás Formas de Energía No Convencionales, PROURE, ha sido discutido en el seno de la Comisión Intersectorial para el Uso Racional y Eficiente de la Energía y Fuentes No Convencionales de Energía - CIURE.
Que en mérito de lo expuesto,
RESUELVE:
ARTÍCULO 1o.<Resolución derogada por el artículo 11 de la Resolución 41286 de 2016> <Ver prórrogas en Notas de Vigencia> Adoptar el Plan de Acción Indicativo 2010-2015 para desarrollar el Programa de Uso Racional y Eficiente de la Energía y demás Formas de Energía No Convencionales, PROURE, el cual forma parte integral de la presente resolución.
ARTÍCULO 2o. <Resolución derogada por el artículo 11 de la Resolución 41286 de 2016> <Ver prórrogas en Notas de Vigencia> Definir como objetivo general del Plan de Acción Indicativo 2010-2015 del PROURE, promover el Uso Racional y Eficiente de la Energía y demás Formas de Energía No Convencionales, que contribuya a asegurar el abastecimiento energético pleno y oportuno, la competitividad de la economía colombiana, la protección al consumidor y la promoción del uso de energías no convencionales de manera sostenible con el ambiente y los recursos naturales.
ARTÍCULO 3o. <Resolución derogada por el artículo 11 de la Resolución 41286 de 2016> <Ver prórrogas en Notas de Vigencia> Definir como objetivos específicos del Plan de Acción Indicativo 2010-2015 del Programa de Uso Racional y Eficiente de la Energía y demás Formas de Energía No Convencionales, PROURE, los siguientes:
1. Consolidar una cultura para el manejo sostenible y eficiente de los recursos naturales a lo largo de la cadena energética.
2. Construir las condiciones económicas, técnicas, regulatorias y de información para impulsar un mercado de bienes y servicios energéticos eficientes en Colombia.
3. Fortalecer las instituciones e impulsar la iniciativa empresarial de carácter privado, mixto o de capital social para el desarrollo de subprogramas y proyectos que hacen parte del PROURE.
4. Facilitar la aplicación de las normas relacionadas con incentivos, incluyendo los tributarios, que permitan impulsar el desarrollo de subprogramas y proyectos que hacen parte del PROURE.
ARTÍCULO 4o. <Resolución derogada por el artículo 11 de la Resolución 41286 de 2016> <Ver prórrogas en Notas de Vigencia> Definir los siguientes Subprogramas estratégicos de carácter transversal del Plan de Acción Indicativo 2010-2015 del Programa de Uso Racional y Eficiente de la Energía y demás Formas de Energía No Convencionales, PROURE:
1. Fortalecimiento institucional.
2. Educación y fortalecimiento de capacidades en Investigación, desarrollo tecnológico e innovación- I+D+i y gestión del conocimiento.
3. Estrategia financiera e impulso al mercado.
4. Protección al consumidor y derecho a la información.
5. Gestión y seguimiento de metas e indicadores.
6. Promoción del uso de Fuentes No Convencionales de Energía.
ARTÍCULO 5o. <Resolución derogada por el artículo 11 de la Resolución 41286 de 2016> <Ver prórrogas en Notas de Vigencia> Definir los siguientes Subprogramas prioritarios en los sectores de consumo del Plan de Acción Indicativo 2010-2015 del Programa de Uso Racional y Eficiente de la Energía y demás Formas de Energía No Convencionales, PROURE:
a) En el sector residencial:
1. Sustitución de bombillas incandescentes.
2. Uso eficiente de energía en equipos de refrigeración, aire acondicionado y demás electrodomésticos.
3. Hornillas eficientes.
4. Diseño, construcción y uso eficiente y sostenible de viviendas.
5. Gas Licuado del Petróleo - GLP en el sector rural y zonas marginales.
b) En el sector industrial:
1. Optimización del uso de la energía eléctrica para fuerza motriz.
2. Optimización del uso de calderas.
3. Eficiencia en iluminación.
4. Gestión integral de la energía en la industria con énfasis en producción más limpia.
5. Cogeneración y autogeneración.
6. Uso racional y eficiente de energía en Pequeñas y Medianas Empresas PYMES.
7. Optimización de procesos de combustión.
8. Optimización de la cadena de frío.
c) En el sector comercial, público y servicios:
1. Difusión, promoción y aplicación de tecnologías y buenas prácticas en sistemas de iluminación, refrigeración y aire acondicionado.
2. Diseño, construcción, reconversión energética y uso eficiente y sostenible de edificaciones.
3. Caracterización, gestión de indicadores y asistencia técnica.
4. Actualización o reconversión tecnológica del alumbrado público.
d) En el sector transporte:
1. Reconversión tecnológica del parque automotor.
2. Modos de transporte.
3. Buenas prácticas en el transporte.
ARTÍCULO 6o. <Resolución derogada por el artículo 11 de la Resolución 41286 de 2016> <Ver prórrogas en Notas de Vigencia> Adoptar como referente inicial las siguientes metas de eficiencia energética del Plan de Acción Indicativo 2015 visión al 2019 del Programa de Uso Racional y Eficiente de la Energía y Demás Formas de Energía No Convencionales, PROURE:
| Sector | Potencial de ahorro de energía a 2015 (%)* | Meta de ahorro de energía a 2015 (%) | ||
| A nivel nacional | Energía eléctrica | 20,3 | Energía eléctrica | 14,8 |
| Otros energéticos | 2,1 | |||
| Residencial | Energía eléctrica | 10,6 | Energía eléctrica | 8,66 |
| Otros energéticos | 0,55 | |||
| Industrial | Energía eléctrica | 5,3 | Energía eléctrica | 3,43 |
| Otros energéticos | 0,25 | |||
| Comercial, público y servicios | Energía eléctrica | 4,4 | Energía eléctrica | 2,66 |
| Transporte | Otros energéticos** | 0,44 | Otros energéticos | 0,33 |
| Otros energéticos*** | 1,06 | Otros energéticos | 0,96 | |
* Potencial de ahorro de energía eléctrica estimado por la UPME.
** Potencial de ahorro considerando reconversión tecnológica (diésel a eléctrico) de sistemas de transporte masivo articulado y de una fracción de buses tradicionales (diésel a eléctrico e híbrido) del Sistema Integrado de Transporte Masivo de Bogotá.
*** Potencial de ahorro considerando mejores prácticas de conducción en los sistemas de buses y busetas tradicionales a nivel nacional y en el Sistema Integrado de Transporte Masivo de Bogotá.
Las metas anualizadas se presentan a continuación:
Meta de Reducción de Consumo de Energía Eléctrica - Nivel Nacional:
| Año | Meta anual (%) | Meta acumulada (%) |
| 1 | 1,03 | 1,03 |
| 2 | 1,18 | 2,21 |
| 3 | 1,48 | 3,69 |
| 4 | 2,07 | 5,75 |
| 5 | 6,05 | 11,80 |
| 6 | 2,95 | 14,75 |
Meta de Reducción de Consumo de Otros Energéticos - Nivel Nacional:
| Año | Meta anual (%) | Meta acumulada (%) |
| 1 | 0,15 | 0,15 |
| 2 | 0,17 | 0,32 |
| 3 | 0,21 | 0,53 |
| 4 | 0,29 | 0,82 |
| 5 | 0,86 | 1,68 |
| 6 | 0,42 | 2,10 |
Meta de Reducción de Consumo de Energía Eléctrica - Sector Residencial:
| Año | Meta anual (%) | Meta acumulada (%) |
| 1 | 0,61 | 0,61 |
| 2 | 0,69 | 1,30 |
| 3 | 0,87 | 2,17 |
| 4 | 1,21 | 3,38 |
| 5 | 3,55 | 6,93 |
| 6 | 1,73 | 8,66 |
Meta de Reducción de Consumo de Otros Energéticos - Sector Residencial:
| Año | Meta anual (%) | Meta acumulada (%) |
| 1 | 0,04 | 0,04 |
| 2 | 0,04 | 0,08 |
| 3 | 0,06 | 0,14 |
| 4 | 0,23 | 0,36 |
| 5 | 0,11 | 0,47 |
| 6 | 0,08 | 0,55 |
Meta de Reducción de Consumo de Energía Eléctrica - Sector Industrial:
| Año | Meta anual (%) | Meta acumulada (%) |
| 1 | 0,24 | 0,24 |
| 2 | 0,27 | 0,51 |
| 3 | 0,34 | 0,86 |
| 4 | 0,48 | 1,34 |
| 5 | 0,69 | 2,02 |
| 6 | 1,41 | 3,43 |
Meta de Reducción de Consumo de Otros Energéticos - Sector Industrial:
| Año | Meta anual (%) | Meta acumulada (%) |
| 1 | 0,02 | 0,02 |
| 2 | 0,02 | 0,04 |
| 3 | 0,03 | 0,06 |
| 4 | 0,04 | 0,10 |
| 5 | 0,10 | 0,20 |
| 6 | 0,05 | 0,25 |
Meta de Reducción de Consumo de Energía Eléctrica - Sector Comercial, Público y Servicios:
| Año | Meta anual (%) | Meta acumulada (%) |
| 1 | 0,19 | 0,19 |
| 2 | 0,21 | 0,40 |
| 3 | 0,27 | 0,67 |
| 4 | 0,37 | 1,04 |
| 5 | 0,53 | 1,57 |
| 6 | 1,09 | 2,66 |
Meta de Reducción de Consumo de Combustibles por reconversión tecnológica - Sector Transporte:
| Año | Meta anual (%) | Meta acumulada (%) |
| 1 | 0,02 | 0,02 |
| 2 | 0,03 | 0,05 |
| 3 | 0,03 | 0,08 |
| 4 | 0,05 | 0,13 |
| 5 | 0,07 | 0,19 |
| 6 | 0,14 | 0,33 |
Meta de Reducción de Consumo de Combustibles por mejores prácticas - Sector Transporte:
| Año | Meta anual (%) | Meta acumulada (%) |
| 1 | 0,07 | 0,07 |
| 2 | 0,08 | 0,15 |
| 3 | 0,10 | 0,25 |
| 4 | 0,14 | 0,39 |
| 5 | 0,20 | 0,59 |
| 6 | 0,41 | 0,96 |
ARTÍCULO 7o. <Resolución derogada por el artículo 11 de la Resolución 41286 de 2016> <Ver prórrogas en Notas de Vigencia> Adoptar como referente inicial las siguientes metas en materia de Fuentes No Convencionales de Energía, FNCE, del Plan de Acción Indicativo 2010-2015 del Programa de Uso Racional y Eficiente de la Energía y demás Formas de Energía No Convencionales, PROURE.
7.1. Metas para el Sistema Interconectado Nacional, SIN:
Participación de las FNCE en el Sistema Interconectado Nacional
| 2015 | 3.5% |
| 2020 | 6.5% |
7.2. Metas para las Zonas no Interconectadas, ZNI:
Participación de las FNCE en las Zonas No Interconectadas, ZNI
| 2015 | 20% * |
| 2020 | 30% |
* El 20% estará compuesta por 8% de la capacidad actual más 12% provenientes de desarrollos con energía eólica, biomasa, pequeñas Centrales Hidroeléctricas, PCH, y energía solar.
ARTÍCULO 8o. <Resolución derogada por el artículo 11 de la Resolución 41286 de 2016> <Ver prórrogas en Notas de Vigencia> Las metas de eficiencia energética y de FNCE establecidas en los artículos 6o y 7o, serán revisadas cada año, de manera que se permita su actualización, así como la inclusión de nuevas o el redimensionamiento de las existentes.
ARTÍCULO 9o. <Resolución derogada por el artículo 11 de la Resolución 41286 de 2016> <Ver prórrogas en Notas de Vigencia> El seguimiento y evaluación del Plan de acción indicativo 2010-2015 del Programa de Uso Racional y Eficiente de la Energía y demás Formas de Energía No Convencionales, PROURE, se realizará por intermedio de la Comisión Intersectorial para el uso racional y eficiente de la energía y fuentes no convencionales de energía - CIURE.
ARTÍCULO 10. <Resolución derogada por el artículo 11 de la Resolución 41286 de 2016> <Ver prórrogas en Notas de Vigencia> Los subprogramas y proyectos definidos en la Resolución 180609 de 2006, se entenderán incluidos dentro de los subprogramas establecidos en los artículos 4o y 5o de la presente resolución.
ARTÍCULO 11. VIGENCIA. <Resolución derogada por el artículo 11 de la Resolución 41286 de 2016> La presente resolución rige a partir de la fecha su publicación y deroga todas aquellas disposiciones que le sean contrarias, en particular la Resolución número 180609 de 2006 proferida por el Ministerio de Minas y Energía.
Publíquese y cúmplase.
Dada en Bogotá, D. C., a 1o de junio de 2010.
El Ministro de Minas y Energía,
HERNÁN MARTÍNEZ TORRES.
PROGRAMA DE USO RACIONAL Y EFICIENTE DE ENERGÍA Y FUENTES NO CONVENCIONALES - PROURE.
PLAN DE ACCIÓN INDICATIVO 2010-2015
RESUMEN EJECUTIVO
Bogotá, D. C., mayo 31 de 2010
ACRÓNIMOS
ANH: Agencia Nacional de Hidrocarburos
BID: Banco Interamericano de Desarrollo
COLCIENCIAS: Departamento Administrativo de Ciencia, Tecnología e Innovación
CIURE: Comisión Intersectorial para el Uso Racional y Eficiente de la Energía y Fuentes No Convencionales de Energía
CONOCE: Programa Colombiano de Normalización, Certificación y Etiquetado de Equipos de Uso Final de Energía
CREG: Comisión de Regulación de Energía y Gas
DNP: Departamento Nacional de Planeación
ESP: Empresas de Servicios Públicos
FAZNI: Fondo de Apoyo Financiero para la Energización de las Zonas No Interconectadas
FENC: Fuentes de Energía No Convencionales
GEF: Global Environment Facility
GLP: Gas Licuado del Petróleo
GN: Gas Natural
GNV: Gas Natural Vehicular
ICETEX: Instituto Colombiano de Crédito y Estudios Técnicos en el Exterior
ICONTEC: Instituto Colombiano de Normas Técnicas y Certificación
IDEAM: Instituto de Hidrología, Meteorología y Estudios Ambientales de Colombia
INGEOMINAS: Instituto Colombiano de Geología y Minería
IPSE: Instituto de Planificación y Promoción de Soluciones Energéticas para las Zonas No Interconectadas
MAVDT: Ministerio de Ambiente, Vivienda y Desarrollo Territorial
MCIT: Ministerio de Comercio, Industria y Turismo
MDL: Mecanismo de Desarrollo Limpio
MME: Ministerio de Minas y Energía
MPCD: Millones de Pies Cúbico Día
NTC: Norma Técnica Colombiana
PCH: Pequeña Central Hidroeléctrica
PEN: Plan Energético Nacional
PIB: Producto Interno Bruto
PNUD: Programa de las Naciones Unidas para el Desarrollo
PROURE: Programa de Uso Racional y Eficiente de Energía y demás Formas de Energía No Convencionales
PYME: Pequeñas y Medianas Empresas
SENA: Servicio Nacional de Aprendizaje
SIC: Superintendencia de Industria y Comercio
TCAL: Tera-caloría
UPME: Unidad de Planeación Minero Energética
URE: Uso Racional y Eficiente de Energía
US$: Dólar americano
UTO: Unidad Técnica de Ozono
VIS: Vivienda de Interés Social
ZNI: Zonas no interconectadas
PROGRAMA DE USO RACIONAL Y EFICIENTE DE ENERGÍA Y FUENTES NO CONVENCIONALES EN COLOMBIA - PROURE
INTRODUCCIÓN
En la dinámica de la economía global, el Uso Racional y Eficiente de Energía ha evolucionado hacia la Eficiencia Energética como un concepto de cadena productiva, dinámico, en permanente cambio de acuerdo con los nuevos enfoques del desarrollo sostenible en relación con la disminución de los impactos ambientales, el incremento de la productividad, el manejo eficiente de los recursos y su impacto en las organizaciones y en los procesos productivos[1].
En este contexto, un programa nacional se constituye como uno de los mecanismos de mayor impacto e importancia que permite asegurar el abastecimiento energético, la competitividad de la economía nacional, la protección del consumidor, la protección del medio ambiente y la promoción de las fuentes energéticas no convencionales como un asunto de interés social, público y de conveniencia nacional, de acuerdo con lo establecido en la ley.
Así, entonces, el Programa de Uso Racional y Eficiente de Energía establece un plan de acción al 2015 con visión al 2020 en donde el período entre el 2015 y 2020 corresponde a una segunda fase del plan, con estrategias y acciones que se procurarán desarrollar mediante la concertación de los alcances y establecimiento de los compromisos con los actores tanto públicos como privados con miras a lograr los impactos esperados en productividad, competitividad, disminución de la intensidad energética, disminución de los impactos ambientales, el mejoramiento de la calidad de vida y en el acceso a fuentes limpias y renovables para todos los ciudadanos.
Adicionalmente, de acuerdo con lo establecido en la ley se deben aplicar gradualmente subprogramas y acciones para que toda la cadena energética, esté cumpliendo permanentemente con los niveles mínimos de eficiencia energética y sin perjuicio de lo dispuesto en la normatividad vigente sobre medio ambiente y los recursos naturales renovables.
OBJETIVO GENERAL
Promover el uso racional y eficiente de la energía y demás Formas de Energía No Convencionales, que contribuya a asegurar el abastecimiento energético pleno y oportuno, la competitividad de la economía colombiana, la protección al consumidor y la promoción del uso de energías no convencionales de manera sostenible con el ambiente y los recursos naturales.
OBJETIVOS ESPECÍFICOS
-- Consolidar una cultura para el manejo sostenible y eficiente de los recursos naturales a lo largo de la cadena energética.
-- Construir las condiciones económicas, técnicas, regulatorias y de información para impulsar un mercado de bienes y servicios energéticos eficientes en Colombia.
-- Fortalecer las instituciones e impulsar la iniciativa empresarial de carácter privado, mixto o de capital social para el desarrollo de subprogramas y proyectos que hacen parte del PROURE.
-- Facilitar la aplicación de normas relacionadas con incentivos, incluyendo los tributarios, que permitan impulsar el desarrollo de subprogramas y proyectos que hacen parte del PROURE.
ETAPAS DEL PROURE
El PROURE y su plan de acción, se estructura en cuatro etapas fundamentales para su ejecución en un enfoque de ciclo de programa que se presenta en la siguiente tabla, así:
TABLA 1
Etapas de ciclo del PROURE

El color rojo indica un nivel de desarrollo inferior al 10%. El color verde oscuro indica un estado alto de madurez o superior al 90% de desarrollo.
Fuente: Consultoría MME - “Programa de Uso Racional y Eficiente de Energía y Fuentes No Convencionales - Plan de Acción 2010 - 2015”. 2010.
METAS FINALES E INDICADORES DEL PROURE[2]
Eficiencia energética
La tabla 2 muestra la matriz resumen de potenciales y metas de ahorro del programa de eficiencia energética a 2015, y las tablas de la 3 a la 11 muestran las metas anualizadas por sector. El Gráfico 1 muestra la demanda estimada de energía eléctrica, el potencial de ahorro y la meta en tres escenarios: bajo, medio y alto.
Se estima un potencial de ahorro total en energía eléctrica a 2015 del 20,2% y una meta de ahorro de energía eléctrica en un escenario alto (Esc 3) de 14,8%, en un escenario medio (Esc 2) de 10,1% y en un escenario bajo (Esc 1) de 5,1%. El escenario alto de meta incluye los subprogramas estratégicos de capacitación y etiquetado, más la aplicación de los subprogramas sectoriales prioritarios más representativos en función de las variables de mercado.
TABLA 2
Potenciales y metas de ahorro
| Sector | Potencial de ahorro de energía a 2015 (%)* | Meta de ahorro de energía a 2015 (%) | ||
| A nivel nacional | Energía eléctrica | 20,3 | Energía eléctrica | 14,8 |
| Otros energéticos | 2,1 | |||
| Residencial | Energía eléctrica | 10,6 | Energía eléctrica | 8,66 |
| Otros energéticos | 0,55 | |||
| Industrial | Energía eléctrica | 5,3 | Energía eléctrica | 3,43 |
| Otros energéticos | 0,25 | |||
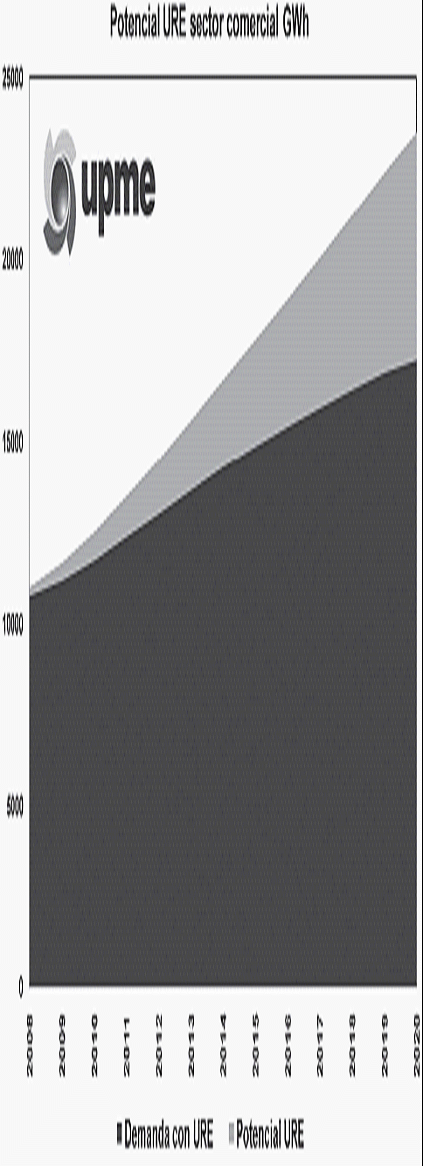
| Comercial, público y servicios | Energía eléctrica | 4,4 | Energía eléctrica | 2,66 |
| Transporte | Otros energéticos** | 0,44 | Otros energéticos | 0,33 |
| Otros energéticos*** | 1,06 | Otros energéticos | 0,96 | |
* Potencial de ahorro de energía eléctrica estimado por la UPME.
** Potencial de ahorro considerando reconversión tecnológica (diésel a eléctrico) de sistemas de transporte masivo articulado y de una fracción de buses tradicionales (diésel a eléctrico e híbrido) del Sistema Integrado de Transporte Masivo de Bogotá.
*** Potencial de ahorro considerando mejores prácticas de conducción en los sistemas de buses y busetas tradicionales a nivel nacional y en el Sistema Integrado de Transporte Masivo de Bogotá.
Las metas anualizadas se presentan a continuación:
Meta de Reducción de Consumo de Energía Eléctrica - Nivel Nacional:
| Año | Meta anual (%) | Meta acumulada (%) |
| 1 | 1,03 | 1,03 |
| 2 | 1,18 | 2,21 |
| 3 | 1,48 | 3,69 |
| 4 | 2,07 | 5,75 |
| 5 | 6,05 | 11,80 |
| 6 | 2,95 | 14,75 |
Meta de Reducción de Consumo de Otros Energéticos - Nivel Nacional:
| Año | Meta anual (%) | Meta acumulada (%) |
| 1 | 0,15 | 0,15 |
| 2 | 0,17 | 0,32 |
| 3 | 0,21 | 0,53 |
| 4 | 0,29 | 0,82 |
| 5 | 0,86 | 1,68 |
| 6 | 0,42 | 2,10 |
Meta de Reducción de Consumo de Energía Eléctrica - Sector Residencial:
| Año | Meta anual (%) | Meta acumulada (%) |
| 1 | 0,61 | 0,61 |
| 2 | 0,69 | 1,30 |
| 3 | 0,87 | 2,17 |
| 4 | 1,21 | 3,38 |
| 5 | 3,55 | 6,93 |
| 6 | 1,73 | 8,66 |
Meta de Reducción de Consumo de Otros Energéticos - Sector Residencial:
| Año | Meta anual (%) | Meta acumulada (%) |
| 1 | 0,04 | 0,04 |
| 2 | 0,04 | 0,08 |
| 3 | 0,06 | 0,14 |
| 4 | 0,23 | 0,36 |
| 5 | 0,11 | 0,47 |
| 6 | 0,08 | 0,55 |
Meta de Reducción de Consumo de Energía Eléctrica - Sector Industrial:
| Año | Meta anual (%) | Meta acumulada (%) |
| 1 | 0,24 | 0,24 |
| 2 | 0,27 | 0,51 |
| 3 | 0,34 | 0,86 |
| 4 | 0,48 | 1,34 |
| 5 | 0,69 | 2,02 |
| 6 | 1,41 | 3,43 |
Meta de Reducción de Consumo de Otros Energéticos - Sector Industrial:
| Año | Meta anual (%) | Meta acumulada (%) |
| 1 | 0,02 | 0,02 |
| 2 | 0,02 | 0,04 |
| 3 | 0,03 | 0,06 |
| 4 | 0,04 | 0,10 |
| 5 | 0,10 | 0,20 |
| 6 | 0,05 | 0,25 |
Meta de Reducción de Consumo de Energía Eléctrica - Sector Comercial, Público y Servicios:
| Año | Meta anual (%) | Meta acumulada (%) |
| 1 | 0,19 | 0,19 |
| 2 | 0,21 | 0,40 |
| 3 | 0,27 | 0,67 |
| 4 | 0,37 | 1,04 |
| 5 | 0,53 | 1,57 |
| 6 | 1,09 | 2,66 |
Meta de Reducción de Consumo de Combustibles por reconversión tecnológica - Sector Transporte:
| Año | Meta anual (%) | Meta acumulada (%) |
| 1 | 0,02 | 0,02 |
| 2 | 0,03 | 0,05 |
| 3 | 0,03 | 0,08 |
| 4 | 0,05 | 0,13 |
| 5 | 0,07 | 0,19 |
| 6 | 0,14 | 0,33 |
Meta de Reducción de Consumo de Combustibles por mejores prácticas - Sector Transporte:
| Año | Meta anual (%) | Meta acumulada (%) |
| 1 | 0,07 | 0,07 |
| 2 | 0,08 | 0,15 |
| 3 | 0,10 | 0,25 |
| 4 | 0,14 | 0,39 |
| 5 | 0,20 | 0,59 |
| 6 | 0,41 | 0,96 |
GRÁFICO 1
Potencial y metas de ahorro en energía eléctrica
Fuente: Consultoría del MME - “Programa de Uso Racional y Eficiente de Energía y Fuentes No Convencionales - Plan de Acción 2010 - 2015”. 2010.
Metas de participación de las Fuentes No Convencionales[3]
Colombia posee gran cantidad de recursos energéticos renovables identificados preliminarmente que requieren mayor estudio. No obstante, la UPME y el IDEAM han elaborado en los últimos años, el Atlas de Radiación Solar de Colombia[4] y el Atlas de Viento y Energía Eólica de Colombia[5].
En 2008 la participación de energéticos renovables en el consumo final de energía fue de 6,5% en biocombustibles, 10,4% en bagazo y 20,6% en la utilización de leña, con base en las estimaciones preliminares de inventarios y potenciales de los recursos energéticos renovables y su participación en el mix nacional. Se propone para 2015, un incremento en la participación de las FNCE en la canasta energética total del 5%, de los cuales 4% estarían asociados al uso de la biomasa y biocombustibles para aplicaciones térmicas y transporte, y el 1% restante, a energía eléctrica.
La participación del 1% en energía eléctrica, corresponde al 3.5% de participación en el SIN, compuesta por el 1.5% de capacidad actual instalada por generación eléctrica con residuos de biomasa, plantas hidroeléctricas menores de 10 MW y el parque eólico de Jepirachi interconectados al SIN, más el 2% adicional, de acuerdo con escenarios basados en los resultados de estudios de empresas del sector y universidades[6] y criterios adicionales relacionados con la seguridad energética, competitividad del país en los mercados internacionales por la variable ambiental y curva de aprendizaje de las tecnologías.
Al año 2020 la meta sugerida considera una capacidad instalada del 6,5% del total, de acuerdo con tendencia en la disminución de costos de las tecnologías, las estrategias y los estudios y planes de los actores del sector energético, específicamente de los generadores de energía eléctrica. La tabla siguiente muestra las metas de participación de tecnologías de FNCE en la generación de energía eléctrica en el SIN del país a 2015 y 2020.
TABLA 12
Metas de participación de las Fuentes No Convencionales de Energía en el Sistema Interconectado Nacional a 2015 y 2020

Fuente: Consultoría del MME - “Programa de Uso Racional y Eficiente de Energía y Fuentes No Convencionales - Plan de Acción 2010 - 2015”. 2010.
La capacidad instalada para generación eléctrica en las ZNI es de 118 MW, lo que corresponde al 1% del total instalado en el país. El 92% (108,5 MW) corresponde a generación con plantas Diésel y el 8% restante corresponde a generación con PCH's y Sistemas fotovoltaicos. La meta propuesta al año 2015 es del 20% compuesta por el 8% de capacidad instalada actualmente más el 12% por desarrollos con energía eólica, biomasa, PCH´s y energía solar. A 2020 la meta de participación de las FNCE en las ZNI será del 30%.
Datos base de Eficiencia Energética a nivel país y sectorial
La siguiente tabla muestra los datos base de eficiencia a nivel país y sectorial, que sirven de referencia para el PROURE.
TABLA 13
Datos Base de Eficiencia a Nivel País y Sectorial



Fuente: Consultoría MME - “Programa de Uso Racional y Eficiente de Energía y Fuentes No Convencionales - Plan de Acción 2010 - 2015”. 2010.
Intensidad energética
El Gráfico 2 muestra la evolución de la intensidad energética global para Colombia tanto en PIB con pesos de 1994 como en PIB con pesos de 2000. En 1975 Colombia consumió 131.031 Tcal y el PIB para este mismo año fue de 31.361.250 millones de pesos. En 2008 el consumo de energía fue de 242.575 Tcal y el PIB para este año fue de 104.193.447 millones de pesos, lo cual conlleva que el consumo final de energía a 2008 ha aumentado el 85,1% en relación a 1975 y en cambio el PIB total se ha aumentado en un factor de 3,32 veces. Esta situación evidencia que la mejora de la intensidad energética en Colombia se ha producido más por razones estructurales de la economía, sin embargo es posible que tal variación haya sido gracias a medidas de ahorro, sustitución de tecnologías y energéticos y políticas que han llevado a un ahorro global de energía.
GRÁFICO 2
Intensidad Energética Nacional

Fuente: 2009. DANE - UPME - Balances Energéticos.
Consumo final de energía por sector
El Gráfico 3 muestra la participación porcentual de los sectores en el consumo de energía del país. En 2008 se consumieron 242.000 Tcal, de las cuales el sector transporte consumió el 38,3%. Esta desagregación sectorial muestra que los sectores más consumidores y en los cuales es necesario aplicar medidas de eficiencia son transporte, industrial y residencial.
GRÁFICO 3
Participación del consumo final de energía por sectores - 2008

Fuente: 2009. UPME. - Balances Energéticos.
Otros indicadores de eficiencia son la intensidad eléctrica y el consumo per cápita de energía. El primero a 2008 es de 153,78 kWh/M col $ constantes de 2000 y el segundo de 5,39 Gcal/habitante.
Consumo final de energía por energético
La incursión de energéticos ambientalmente limpios en los procesos consumidores de energía conllevan cambios tecnológicos que permiten disminuir los niveles de consumo y por tanto mejorar la eficiencia energética, y por otra parte, al tratarse de energías limpias, las emisiones medioambientales se reducen de forma sustancial. El gráfico siguiente muestra la participación del consumo final de energéticos en el país. En 2008 se consumió 242.000 Tcal, siendo los combustibles fósiles los que más participación presentan en la matriz con el 61,3%. A su vez, el Diésel oil es el de mayor participación con el 21,4%, seguido del Gas Natural con 18,3% y la Gasolina Motor con 14,1%. Los energéticos renovables participan con el 16,5%, siendo la leña la que mayor participación presenta con el 7,3%, seguida de la incursión de nuevos energéticos renovables tales como el alcohol carburante y el biodiésel. Esta participación por energético es la línea base para implementar medidas de sustitución de energéticos por otros más limpios.
GRÁFICO 4
Participación del consumo final de energía por energético 2008

Fuente: 2009. UPME. - Balances Energéticos.
PLAN DE ACCIÓN PARA EL PROURE
De acuerdo con los lineamientos estratégicos para promover, organizar, ejecutar y realizar seguimiento de los subprogramas que conforman el PROURE se presenta a continuación el plan de acción indicativo 2010 - 2015, con sus respectivas etapas del ciclo de desarrollo, los subprogramas estratégicos y los subprogramas prioritarios sectoriales.
SUBPROGRAMAS ESTRATÉGICOS
Los subprogramas estratégicos de carácter transversal se muestran en la tabla siguiente donde además se indica esquemáticamente el ciclo de los mismos durante la primera fase.
TABLA 14
Ciclo de subprogramas estratégicos

Fuente: Consultoría MME - “Programa de Uso Racional y Eficiente de Energía y Fuentes No Convencionales - Plan de Acción 2010 - 2015”. 2010.
A continuación se hace una descripción de cada uno de estos subprogramas, con sus correspondientes líneas de acción de alta prioridad[7] y actores relacionados.
-- SPE_1 Fortalecimiento institucional
La Ley 697 de 2001 y su Decreto Reglamentario 3683 de 2003, establecen directrices, lineamientos y funciones a entidades de orden público y privado otorgando la mayor responsabilidad al Ministerio de Minas y Energía en relación con la promoción, organización, aseguramiento del desarrollo y el seguimiento de los programas y el diseño del Programa de Uso Racional y Eficiente de la Energía y demás formas de energía no convencionales.
El Gobierno Nacional, las Empresas de Servicios Públicos. COLCIENCIAS, el ICETEX, la CREG, la UPME y de forma indirecta las entidades de la CIURE tienen a su vez responsabilidades específicas en el desarrollo de los objetivos de la Ley 697.
El MME adelantará las gestiones necesarias para establecer acuerdos y compromisos con cada uno de los actores involucrados en el desarrollo del Plan de Acción de acuerdo con el nivel de participación y relación con los objetivos y subprogramas del PROURE.
Los acuerdos se firmarán en función del cumplimiento de ley para las entidades con responsabilidades directas o relacionadas, en donde se establezcan compromisos en función de la adopción de las nuevas responsabilidades y apropiación de recursos para el desarrollo de subprogramas y proyectos establecidos en el Plan de Acción.
Con las oportunidades identificadas en la ley, la experiencia internacional y la necesidad evidente de una entidad responsable del tema en Colombia, visible, con capacidad de convocatoria y con la fuerza institucional y representativa para impulsar los subprogramas, se recomienda en el corto plazo evaluar la creación de una entidad promotora de carácter mixto o privado que se constituya como enlace entre el PROURE y el mercado y específicamente con los usuarios finales en todos los sectores.
TABLA 15
Líneas de acción del SPE 1
| Líneas de Acción | Actores | Inversiones (pesos colombianos) |
| a) Coordinar por parte del MME, la definición de funciones, roles y responsabilidades y la armonización de planes de los distintos agentes públicos y privados involucrados. | MME, UPME, ANH, INGEOMINAS, IPSE, CREG, MAVDT, CIURE, Ministerio de Transporte, Ministerio de Educación, Ministerio de Agricultura. | Se estima una inversión de $1.250 millones de pesos, de los cuales, $250 M en consultoría de apoyo y gestión y $1.000 M en publicidad y difusión. |
| b) Adelantar las gestiones correspondientes, con el fin de vincular a la CIURE otros ministerios como el de Transporte, Educación y Agricultura._ | ||
| c) Concertar metas, acciones y compromisos para el desarrollo y cumplimiento de los programas y metas del plan de acción._ | ||
| d) Ratificar acuerdos y compromisos con las entidades responsables y actores interesados._ | ||
| e) Iniciar el año de la eficiencia energética en donde se adoptarán las nuevas funciones y roles de las entidades e implementar los programas estratégicos._ | ||
| f) Evaluar la creación de una entidad sin ánimo de lucro con la participación de actores públicos y privados. _ | ||
-- SPE_2 Educación y fortalecimiento de capacidades en Investigación, desarrollo tecnológico e innovación- I+D+i y gestión del conocimiento
La educación y el fortalecimiento de capacidades de investigación e innovación, constituyen pilares fundamentales para la consolidación de una cultura en Eficiencia Energética, en todos los ámbitos y niveles del conocimiento. Desde la formación básica hasta la avanzada, pasando por la formación tecnológica, de competencias laborales, la investigación en las universidades y la gestión del conocimiento en las industrias y en general en el sector productivo.
En el marco de ley se establecen directrices para incorporar el tema en el sistema de educación nacional mediante la sinergia entre los ministerios responsables. Las universidades, los grupos de investigación y los centros de desarrollo tecnológico, presentan trayectorias en investigación, desarrollo tecnológico e innovación, que deben ser fortalecidas y transferidas al sector productivo.
TABLA 16
Líneas de acción del SPE_2
| Líneas de Acción | Actores | Inversiones (pesos colombianos) |
| a) Diseñar y poner en marcha un programa nacional para incorporar la temática de URE y FNCE a la educación formal, niveles preescolar, básico y escuela media. | MME, UPME, SENA, Ministerio de Educación y Secretarías de Educación, Universidades y Centros de Investigación y Desarrollo, ICETEX, Empresas privadas | Se estima una inversión de $500 millones de pesos dirigidos a consultoría básica, gestión de acompañamiento y divulgación. |
| b) Formar docentes en temas de eficiencia energética y FNCE con apoyo de un plan de incentivos._ | ||
| c) Fortalecer las competencias laborales en la formación técnica y tecnológica y en aquellos trabajadores que desempeñen oficios y ocupaciones relacionadas con los sectores productivos._ | ||
| d) Orientar la formación al desarrollo y gestión de proyectos, mediante cátedras y proyectos específicos en las carreras de ingeniería que conlleven el entendimiento de la relación fundamental entre el conocimiento y las soluciones a problemas concretos que se presentan en el país._ | ||
| e) Fortalecer las especializaciones existentes ampliarlo a otras regiones con énfasis en gestión integral de la energía._ | ||
| f) Promover especializaciones y maestrías con investigación en fuentes renovables, tecnologías limpias de transformación de energía, sistemas y aplicaciones pasivas de FNCE, contribuyendo a la consolidación de capacidades de vigilancia, asimilación y negociación de tecnologías._ | ||
| g) Incluir aspectos relacionados con planeamiento, regulación, verificación y diseño de políticas y de mercado en la formación avanzada en eficiencia energética y FNCE_ | ||
-- SPE_3 Estrategia Financiera e impulso al mercado
La estrategia financiera constituye uno de los aspectos de mayor relevancia en el PROURE para el desarrollo de las estrategias y subprogramas que contribuyen en la consolidación de las condiciones para la ejecución de los proyectos y acciones con impacto en los sectores de consumo, el cumplimiento de metas y el impulso a un mercado de bienes y servicios.
La estrategia debe ser integral y sostenible, con un decidido fortalecimiento presupuestal y disponibilidad de recursos permanentes para las entidades responsables en el desarrollo de los subprogramas estratégicos; como también acceso fácil, oportuno y flexible a recursos para la ejecución de proyectos, con la constitución de fondos de cofinanciación, estructuración de líneas de crédito y el diseño de esquemas financieros con recuperación de la inversión por desempeño en el mejoramiento de la eficiencia energética en la industria.
TABLA 17
Líneas de acción del SPE_3
| Líneas de Acción | Actores | Inversiones (pesos colombianos) |
| a) El MME solicitará información a las entidades del sector público que utilicen recursos de cooperación internacional y realizará seguimiento de los resultados e impactos de los programas. | MME, UPME, CIURE, CREG, Ministerio de Hacienda, Sector Financiero, Fuentes Internacionales, ESCO's | Se estima una inversión de $1.700 millones de pesos, de los cuales $500 M en consultoría y $1.200 M en difusión, campañas de publicidad, ruedas de negocios, talleres, entre otros. |
| b) Adelantar las gestiones necesarias para crear un fondo de cofinanciación de proyectos mediante la firma de convenios entre entidades que aportarían recursos no reembolsables para la financiación de proyectos que serán seleccionados por convocatorias públicas _ | ||
| c) Promover e impulsar nuevos esquemas de mercado basados en acuerdos por desempeño mediante la promoción de configuraciones empresariales y de negocio tipo ESCO's (Energy Service Companies), adaptadas a nuestros sistemas legales, para el diseño de los contratos y acuerdos entre las partes._ | ||
| d) Viabilizar y flexibilizar la oferta bancaria en líneas de crédito comercial, líneas de crédito específicas en temas energéticos y ambientales mediante la gestión de recursos internacionales del Estado, de tal forma que se logre disminuir sustancialmente la tasa de interés. _ | ||
| e) Identificar e implementar, por parte del MME en coordinación con las entidades públicas pertinentes, los modelos y fuentes de financiación para la gestión y ejecución del PROURE._ | ||
| f) Difundir conocimientos técnicos, económicos, financieros y empresariales para la estructuración, diseño y ejecución de proyectos y crear capacidades en el sector financiero relacionadas con esquemas de financiación._ | ||
| g) Evaluar y promover las opciones de participar en mercados de reducción de emisiones de Gases de Efecto Invernadero, (incluido el MDL y los mercados voluntarios), así como la posibilidad de establecer un sistema de mercado nacional o comercio de certificados o cupos transferibles de eficiencia energética._ | ||
-- SPE_4 Protección al consumidor y derecho a la información
De acuerdo con la Ley 697 de 2001 y el Decreto 3683 de 2003, se debe impulsar las medidas y programas de certificación, normalización y etiquetado. También se debe promover el reglamento técnico para uso obligatorio de la etiqueta como uno de los mecanismos más eficaces y de mayor impacto en toda la cadena productiva, desde el fabricante hasta el usuario final, con el objetivo de informar al comprador sobre los rangos de eficiencia de la tecnología, para que este a su vez pueda tomar la mejor decisión en la sustitución y adquisición de los electrodomésticos o equipos de uso final con criterios de desempeño y consumo energético.
TABLA 18
Líneas de acción del SPE_4
| Líneas de Acción | Actores | Inversiones (pesos colombianos) |
| a) Concertar con los fabricantes la gradualidad en la aplicación de la etiqueta para cumplir con los estándares internacionales de eficiencia energética. | UPME, CREG, SIC, MCIT, Asociación Colombiana de Consumidores, Fabricantes, importadores y comercializadores de electrodomésticos | Se estima una inversión de $1.750 millones de pesos, de los cuales, $250 M en consultoría, seminarios y capacitación básica y $1.500M en publicidad, difusión y proyectos pilotos y demostrativos. |
| b) Difundir de manera permanente el uso de la etiqueta de eficiencia energética con el fin de orientar al usuario final hacia una compra eficiente de equipos y desarrollar proyectos piloto._ | ||
| c) Difundir el marco legal del PROURE, el plan de acción y los incentivos vigentes de carácter ambiental, energético y tecnológico, mediante campañas de comunicación de alto impacto._ | ||
| d) Consolidar en el país una red de laboratorios con fabricantes y universidades para las pruebas, los ensayos y las certificaciones con alto nivel de conocimiento y capacitación._ | ||
| e) Desarrollar el Reglamento Técnico de Etiquetado, crear normas y estándares en equipos de uso final térmico._ | ||
-- SPE_5 Gestión y seguimiento de metas e indicadores
Este subprograma estratégico tiene como finalidad realizar el seguimiento de las metas y verificación de impacto del PROURE. En consecuencia, se requiere medir y evaluar periódicamente el comportamiento de las variables de control y en general de las acciones en relación con las estrategias y los objetivos. Por lo tanto los potenciales, metas e indicadores constituyen relaciones y cantidades que pueden ser definidos en diversos ámbitos con los siguientes objetivos:
-- Realizar seguimiento de los cambios y tendencias de la eficiencia energética a nivel nacional y sectorial.
-- Establecer comparaciones de consumo de energía por unidad de producto entre sectores productivos a nivel nacional o internacional.
-- Facilitar la toma de decisiones en relación con la gradualidad e impulso de programas y acciones; como también la valoración del desempeño de nuevas tecnologías.
-- Evaluar el nivel de competitividad económica en relación al uso del insumo energético.
-- Realizar un seguimiento al nivel de impacto ambiental derivado del consumo energético.
Para este subprograma estratégico es indispensable la definición y adopción de un grupo de indicadores y el desarrollo de un sistema de información que permita el seguimiento y la evaluación de las estrategias y acciones del PROURE, como también para la toma de decisiones por parte de los actores comprometidos.
TABLA 19
Líneas de acción del SPE_5
| Líneas de Acción | Actores | Inversiones (pesos colombianos) |
| a) Diseñar indicadores de eficiencia por procesos y usos finales, por tecnologías y de medición de impacto. | UPME, IDEAM, INGEOMINAS, DIMAR, SSPD, ESPs, Universidades | Se estima una inversión de $500 millones de pesos destinados a consultoría y material de difusión. |
| b) Diseñar protocolos e instrumentos para la recolección y análisis de la información con el fin de alimentar los indicadores._ | ||
| c) Implementar, por parte de la UPME, programas de gestión de indicadores y caracterizar los sectores de consumo._ | ||
| d) Realizar, por parte del MME, seguimiento de metas._ | ||
-- SPE_6 Promoción del uso de Fuentes No Convencionales de Energía
El Subprograma busca promover los usos y la participación de las fuentes no convencionales de energía en la canasta energética nacional con criterios de diversificación, complementariedad y seguridad, en consonancia con la disponibilidad y factibilidad de explotación de los recursos y la utilización de tecnologías de transformación más apropiadas a nuestras condiciones económicas, sociales, productivas y ambientales.
TABLA 20
Líneas de acción SPE_6
| Líneas de Acción | Actores | Inversiones (pesos colombianos) |
| a) Caracterizar el potencial de energía solar y de energía geotérmica con el fin de promover el desarrollo de soluciones energéticas. | MME, MAVDT, IDEAM, INGEOMINAS, DIMAR, IPSE, CREG, Universidades y Centro de Desarrollo Tecnológico,, SENA, COLCIENCIAS, ICETEX, ESPs, Corporaciones Ambientales Regionales | Se estima una inversión de $2.350 millones de pesos, de los cuales, $350 M en consultoría, $200 M en difusión y $1.800 en caracterización de potenciales. |
| b) Implementar un programa de medición y registro de vientos en los sitios identificados con un potencial alto con el fin de estimar la energía aprovechable._ | ||
| c) Actualizar la caracterización de los potenciales de energía de la biomasa residual en los procesos industriales, como también de los cultivos con fines energéticos._ | ||
| d) Caracterizar los potenciales de energía de los mares con mayor detalle en las zonas previamente identificadas._ | ||
| e) Investigar sobre la vulnerabilidad del recurso hídrico por cambio climático y complementariedad con otros recursos disponibles._ | ||
| f) Caracterizar los potenciales de pequeñas caídas de agua que puedan producir menos de 10 MW en el inventario de potenciales de FNCE._ | ||
| g) Promover la formación avanzada y la investigación aplicada en las universidades y centros de investigación. _ | ||
| h) Desarrollar proyectos demostrativos considerando variables técnicas, económicas, de mercado, ambientales y sociales en las ZNI._ | ||
| i) Fortalecer las instituciones con responsabilidad directa de las etapas de caracterización y definición de potenciales, planeación energética y promoción de proyectos y crear un comité de alto nivel interinstitucional para coordinar acciones, gestionar recursos y promover incentivos. _ | ||
SUBPROGRAMAS SECTORIALES
Sector residencial
Potencial de ahorro
El gráfico siguiente muestra el potencial de ahorro máximo calculado por la UPME, considerando en su estimación los programas de capacitación y difusión, variables de mercado e implementación gradual de los programas prioritarios de sustitución de lámparas eficientes y chatarrización de neveras en función de las condiciones actuales de mercado. A 2015 se estima un potencial de ahorro en el sector residencial de 10,6% sobre el total del consumo de energía eléctrica en el país o el 31,4% sobre el consumo del sector.
GRÁFICO 7
Potencial de ahorro del sector residencial

Fuente: 2009. UPME.
Metas de ahorro
El Gráfico 8 muestra las metas de ahorro de energía eléctrica en el sector residencial a 2015. Se estima una meta de ahorro de 8,7% de la energía eléctrica consumida en el país o del 25,7% del consumo de energía eléctrica del sector.
GRÁFICO 8
Demanda, potencial y metas de ahorro en el sector residencial a 2015

Fuente: 2009. UPME - Desarrollo Estudio.
Indicadores
Consumo energético per cápita
En Colombia en 2008 el sector residencial consumió en energéticos 51.346 Tcal. Según datos de DANE en este mismo año había un total de 45.013.674 habitantes. Por tanto, el consumo energético per cápita fue de 1,14 Gcal/habitante.
Consumo final de energéticos
El gráfico 9 muestra el consumo final de energéticos en el sector residencial, siendo la energía eléctrica la de mayor participación en el sector. Los combustibles fósiles (Carbón mineral, gas natural, GLP y gasolina motor) participan solo con el 34,8% de los cuales el gas natural es el que mayor participación presenta.
El sector residencial es el sector que más consume leña en el país. Este es un energético que se utiliza básicamente para cocción de alimentos en las viviendas principalmente en el sector rural y conlleva múltiples problemas como impacto en la salud de las personas y daños en los ecosistemas de donde se extrae la leña. El gobierno nacional ha tratado de sustituir este energético por GLP pero ha sido difícil por la extensión del país y el acceso a las comunidades del sector rural.
GRÁFICO 9
Consumo final de energía por energético en el sector residencial

Fuente: 2009. UPME - Balances Energéticos.
Subprogramas prioritarios[8]
En el sector residencial se identifican cinco subprogramas prioritarios en iluminación, refrigeración, cocción, GLP y viviendas, con algún grado de desarrollo por parte de diferentes entidades. La tabla 12 muestra el monto y el objetivo de cada unos de estos subprogramas. El costo total aproximado de inversión para el sector residencial es de US$867 Millones.
TABLA 21
Costos estimados de subprogramas sector residencial
| Subprograma prioritario | Costo (M US$) | Objetivo |
| Sustitución de bombillas incandescentes. | 96 | Reemplazo de 32 millones de bombillas incandescentes por bombillas fluorescentes compactas en los estratos 1, 2 y 3. |
| Uso eficiente de energía en equipos de refrigeración, aire acondicionado y demás electrodomésticos. | 770 | Reemplazo y chatarrización de 2.000.000 de neveras. |
| Hornillas eficientes. | 0,5 | Inversión en capacitación e investigación aplicada. |
| Diseño, construcción y uso eficiente y sostenible de viviendas. | 0,5 | Inversión en capacitación e investigación aplicada. |
| Gas Licuado del Petróleo - GLP en el sector rural y zonas marginales. | 0,2 | Consultoría básica. |
Fuente: Consultoría MME - “Programa de Uso Racional y Eficiente de Energía y Fuentes No Convencionales - Plan de Acción 2010 - 2015”. 2010.
SR-1 Sustitución de bombillas incandescentes
El potencial de ahorro en este sector de consumo es muy elevado. La penetración de bombillas eficientes alcanzaría al 20% de las luminarias en los hogares colombianos[9]. El cambio en la bombillería, si se logran mantener los hábitos de compra, tiene un efecto casi inmediato sobre la reducción de la demanda, situación que no sucede con otros equipos domésticos.
TABLA 22
Líneas de acción SR 1
| Líneas de Acción | Actores | Costos |
| a) Difundir y velar por el cumplimiento de la normatividad existente y adoptar el sistema de etiquetado. | MME, UPME, SIC, Industriales, Importadores, comercializadores y distribuidoras de energía, MAVDT | La UPME estima una inversión de $96 millones de dólares para la sustitución de 32 millones de bombillas en los estratos 1, 2 y 3. |
| b) Reemplazar de manera masiva bombillas de baja eficacia luminosa._ | ||
| c) Realizar seguimiento de los proyectos piloto para difusión y evaluación de sus impactos y resultados._ | ||
| d) Promover la educación en nuevas tecnologías, sistemas de iluminación, gestión de proyectos y usos de la iluminación con luz natural._ | ||
| e) Difundir y adoptar criterios de iluminación eficiente._ | ||
| f) Crear un programa de disposición final de bombillas reemplazadas y de bombillas fluorescentes compactas al final de su vida útil._ | ||
| g) Reglamentar la gestión posconsumo para los residuos de este tipo de equipos._ | ||
SR-2 Uso eficiente de energía en equipos de refrigeración, aire acondicionado y demás electrodomésticos
El objetivo de este subprograma es diseñar y ejecutar estrategias graduales y complementarias que permitan mejorar el desempeño energético y reducir el impacto ambiental de los equipos de refrigeración y aire acondicionado de uso doméstico.
Este subprograma se encuentra enmarcado en las siguientes consideraciones:
-- Estudios realizados por la UPME han estimado que las neveras son responsables de entre el 20 y 50% del consumo energético de los hogares de los estratos 1, 2 y 3 en cuatro de las principales ciudades de Colombia, en donde el 62% del consumo energético corresponde a los estratos 1 y 2 y el 26% al estrato 3.
– Con el proyecto en marcha, en un escenario de 10 años, los ahorros de energía por año se estiman en 2.441 GWh.
-- Protección de la capa de Ozono:
– Desde el año 2001 el país estableció un cronograma de disminución de las cantidades de CFC permitidas para importación. En consecuencia, a partir del 1o de enero de 2010 se prohíbe la importación de estas sustancias.
-- Cambio climático:
– Con el proyecto en marcha, según estudios de la UPME, en un escenario de 10 años, la reducción de emisiones de CO2 equ acumulada es del orden de 9 millones de Toneladas.
-- Gestión posconsumo:
– El proyecto de sustitución debe promover la Responsabilidad Extendida del Productor (REP) de las empresas fabricantes relacionada con la adecuada disposición de equipos antiguos, para evitar los efectos ambientales negativos. Por otra parte, debe vincular a los importadores de sustancias y equipos como generadores de residuos peligrosos.
TABLA 23
Líneas de acción SR 2
| Líneas de Acción | Actores | Costos |
| a) Crear un programa nacional de uso eficiente de energía en equipos de refrigeración, aire acondicionado y demás electrodomésticos. | MME, UPME, MCIT, MAVDT, UTO, CREG, ESP, COLCIENCIAS | La UPME estimó una inversión de 1.540 millones de dólares en 10 años a fin de sustituir y chatarrizar 4.000.000 de neveras, a efectos del plan de acción a 2015 se estima una inversión de 770 millones de dólares y un reemplazo de 2.000.000 de neveras. |
| b) Realizar gestión de recursos, acuerdos y compromisos a fin de avanzar en la definición y ejecución de proyectos._ | ||
| c) Desarrollar proyectos de sustitución de equipos de refrigeración, aire acondicionado y demás electrodomésticos._ | ||
| d) Definir mecanismos financieros y fuentes de recursos que permitan la realización de los proyectos de sustitución._ | ||
| e) Realizar la caracterización técnica, económica y ambiental de equipos de refrigeración y aire acondicionado con el fin de viabilizar la sustitución de refrigerantes tipo CFC y/o HFC por tipo hidrocarburos._ | ||
| f) Expedir el Reglamento Técnico de Etiquetado, a fin de introducir estándares mínimos obligatorios que tiendan a la provisión de equipos con estándares de máxima eficiencia. _ | ||
| g) Otorgar el Sello Ambiental Colombiano a equipos de refrigeración y aire acondicionado de la mayor eficiencia._ | ||
| h) Reglamentar la gestión posconsumo para los residuos de equipos de refrigeración y aire acondicionado y demás electrodomésticos._ | ||
| i) Promover diseños arquitectónicos que utilicen el aire natural para usos de ventilación y acondicionamientos de espacios._ | ||
SR-3 Hornillas eficientes
En zonas urbanas
En el estudio de caracterización realizado por la UPME9 en el sector residencial, se ha identificado un potencial de ahorro en las estufas a gas natural, a través de una mejora en el diseño y calidad de las hornillas. Se trata, por una parte, de promover el reemplazo sólo de las hornillas ineficientes por otras más eficientes en las estufas ya instaladas y, por otra, trabajar sobre una normativa más estricta para la futura oferta interna de estufas que tiendan a remover del mercado los equipos ineficientes (Estandarización y Etiquetado).
No obstante, dado que la eficiencia en el proceso de cocción no depende sólo del diseño de las hornillas, sino también del uso adecuado de los artefactos en relación al tamaño de ollas, sartenes y otros utensilios, la educación del usuario juega un papel fundamental.
En zonas rurales
Los resultados del inventario de fuentes y liberaciones de Dioxinas y Furanos, muestran entre las fuentes prioritarias de combustión doméstica, el carbón y la leña asociados al uso en calefacción y cocción. Esto representa un alto riesgo para la salud de la población más pobre y vulnerable del país.
Se estima que cerca del 15% de la población total del país utiliza combustibles fósiles o leña para la cocción de sus alimentos (más del 55% en las áreas rurales), actividad que generalmente se realiza en condiciones no adecuadas, con muy bajos niveles de eficiencia de la combustión y sin ningún tipo de control para sus emisiones, incrementando los efectos sobre la salud de la población expuesta y el medio ambiente. De acuerdo con los datos del CENSO del año 2005 se estima que cerca de 1.6 millones de hogares utilizan estas fuentes de energía en el país.
Para mejorar esta situación se hace necesario promover la adopción de mejores prácticas ambientales y de las mejores técnicas disponibles (BEP y BAT), a través de la implementación de sistemas de cocción cuya combustión sea más eficiente o la sustitución del uso de leña o carbón por fuentes de energía más limpias, y mejorando los sistemas de evacuación y control de emisiones y cenizas con el fin de reducir las emisiones de Dioxinas y Furanos y proteger así la salud de las poblaciones afectadas y el medio ambiente.
TABLA 24
Líneas de acción SR 3
| Líneas de Acción | Actores | Costos |
| a) Promover el reemplazo de las hornillas ineficientes por otras más eficientes en las estufas ya instaladas. | MME, UPME, Comercializadoras de Gas Natural, CREG, Universidades, COLCIENCIAS, Industria y comercio | No se dispone de información, pero se estima una inversión de $500.000 dólares destinados a educación y difusión e investigación aplicada en hornillas eficientes |
| b) Definir un marco normativo con la estandarización y etiquetado que tiendan a remover del mercado los equipos ineficientes._ | ||
| c) Promover la investigación en hornillas eficientes._ | ||
| d) Promover la instalación de hornillas eficientes mediante el apoyo financiero de las empresas distribuidoras de gas._ | ||
| e) Promover la educación del usuario en el mejor manejo de estufas a gas y adquisición de las hornillas._ | ||
SR-4 Diseño, construcción y uso eficiente y sostenible de viviendas
El desarrollo de un subprograma en eficiencia energética en vivienda contribuye notablemente al mejoramiento de la calidad de vida de los habitantes, con uso de materiales adecuados, ambientes térmicos y de iluminación agradables y uso de electrodomésticos más eficientes. De manera complementaria, el diseño, construcción y uso eficiente y sostenible de viviendas de interés social - VIS, facilita el acceso a la energía en los sectores populares en concordancia con la capacidad económica y la situación social de los estratos bajos.
TABLA 25
Líneas de acción SR 4
| Líneas de Acción | Actores | Costos |
| a) Desarrollar normatividad en eficiencia energética en vivienda y adoptar reglamento de diseño, construcción y uso eficiente y sostenible de edificaciones. | MME, UPME, MAVDT, COLCIENCIAS, Universidades, centros de capacitación, gremios y EPS | Se estima una inversión de $500.000 dólares destinados a educación y difusión e investigación aplicada en arquitectura y temas relacionados |
| b) Desarrollar sistemas de arquitectura bioclimática en viviendas con conceptos de eficiencia energética y uso de fuentes no convencionales de energía._ | ||
| c) Fortalecer la educación y promover la investigación en sistemas de construcción, diseños arquitectónicos, aprovechamiento y obtención de materiales, equipos eficientes de uso final, gestión integral de escombros y reciclaje._ | ||
| d) Capacitar a los usuarios de viviendas en temas de uso racional y eficiente de energía._ | ||
| e) Desarrollar proyectos piloto de eficiencia energética en viviendas en el marco de proyectos urbanísticos. _ | ||
| f) Crear un programa de venta de energía eléctrica prepago en viviendas de barrios subnormales, estratos bajos y sector rural a nivel nacional._ | ||
| g) Impulsar proyectos piloto de carácter asociativo en grupos de usuarios en barrios subnormales y estratos bajos en el sector residencial, con problemas de recaudo, carteras morosas altas y falta de capacidad de pago._ | ||
SR-5 Gas Licuado del Petróleo - GLP en el sector rural y zonas marginales
La oferta del GLP así como el transporte por poliductos y propanoductos es monopólica, lo cual constituye una barrera para la participación de nuevos inversionistas en esta parte de la cadena de servicio. Sería conveniente que la fijación de precios del productor sea una función no solo de los precios internacionales sino de los verdaderos costos asociados a la producción interna del GLP. En este sentido las autoridades energéticas están en un proceso de regulación de toda la cadena de GLP en el país.
TABLA 26
Líneas de acción SR 5
| Líneas de Acción | Actores | Costos |
| a) Diseñar un programa de masificación de GLP en zonas rurales y marginales. | MME, UPME, Comercializadoras de GLP, CREG | $200.000 dólares destinados al desarrollo de consultoría básica. |
| b) Desarrollar una campaña de capacitación y difusión de los beneficios del GLP._ | ||
| c) Desarrollar una estrategia de distribución de GLP en zonas rurales y marginales del país. _ | ||
| d) Desarrollar un esquema de subsidios al usuario rural y marginal._ | ||
| e) Programa de seguimiento a las empresas distribuidoras de GLP. _ | ||
| f) Promover el análisis entre los agentes de la cadena en el precio del GLP._ | ||
Sector industrial
Potencial de ahorro
El gráfico siguiente muestra el máximo potencial de ahorro. Este potencial, calculado por la UPME, considera los programas de capacitación a técnicos, auditorías energéticas y otros subprogramas prioritarios. A 2015 se estima un potencial de ahorro en este sector de 5,3% sobre el total del consumo de energía eléctrica en el país o el 15,34% sobre el consumo del sector.
GRÁFICO 10
Potencial URE del sector industrial

Fuente: 2009. UPME.
Metas de ahorro
El Gráfico 11 muestra las metas de ahorro de energía eléctrica en el sector industrial. A 2015 se alcanzará una meta de ahorro de 3,4% del total de la energía eléctrica, o del 11% del consumo del sector, es decir, el 65% del potencial estimado de ahorro.
GRÁFICO 11
Demanda, potencial y metas de ahorro en el sector industrial a 2015

Fuente: 2009. UPME - Desarrollo Estudio.
Indicadores
Intensidad energética[10]
El Gráfico 12 muestra la evolución de la intensidad energética del sector industrial colombiano en pesos de 2000. Se puede observar que permanece en niveles altos hasta el 2002 y empieza a descender hasta 2007 y a 2008 se presenta nuevamente un incremento en la intensidad del sector. Estos incrementos se pueden dar entre otras razones por una crisis económica, ya que las industrias aumentan sus consumos energéticos siendo poco el valor añadido aportado.
GRÁFICO 12
Intensidad energética - Sector Industrial

Fuente: 2009. UPME - Balances Energéticos.
Consumo de energía por subsector
El gráfico siguiente muestra la participación porcentual del consumo de energía por subsector industrial. En el año 2008 el sector industrial consumió 63.899 Tcal, de las cuales el sector de Cemento fue el que mayor participación tuvo en el consumo con 22,6%, seguido por el de alimentos y bebidas con el 19,4%, el de químicos con 18,7%, papel e imprenta con 10,9%, el de hierro, acero y no ferrosos con el 10,8%, textil y confecciones con 6,9% y los subsectores restantes con una participación del 10,6%.
GRÁFICO 13
Participación del consumo de energía por subsector industrial - 2006

Fuente: 2007. UPME - Balances Energéticos.
Consumo final de energía por energético
El energético de mayor consumo en el sector industrial es el gas natural, seguido por la energía eléctrica, el carbón mineral y el bagazo. El gráfico siguiente muestra la participación por energético. El sector industrial solo consume el 18,7% en energía eléctrica. El restante 81,3% corresponde a otros energéticos, principalmente utilizados para procesos térmicos, el 12,1% de los energéticos consumidos por el sector industrial son renovables (bagazo, leña y biodiésel) mientras que los derivados del petróleo alcanzan el 50% de participación.
GRÁFICO 14
Consumo final de energía por energético - Sector Industrial 2008
Fuente: 2009. UPME - Balances Energéticos.
El gráfico siguiente muestra la participación total de energéticos por subsector. El bagazo se consume principalmente en las industrias de alimentos, bebidas y tabaco; el carbón mineral en el subsector cemento y el gas natural se consume principalmente en los subsectores de químicos y cemento.
GRÁFICO 15
Participación total de energéticos por subsector

Fuente: 2007. UPME - Balances Energéticos.
Subprogramas prioritarios
En el sector industrial se identifican 8 subprogramas prioritarios con algún grado de avance por parte de diferentes entidades. La tabla 18 muestra un resumen de los costos estimados de los subprogramas prioritarios en una primera fase en el sector. El costo total aproximado de inversión en el sector industrial es de US$107,5 millones de dólares.
TABLA 27
Costos estimados de subprogramas prioritarios en el sector industrial
| Subprograma prioritario | Costo (M US$) | Objetivo |
| Optimización del uso de la energía eléctrica para fuerza motriz. | 6 | Sustitución de 14.000 kW de motores convencionales por motores eficientes. |
| Optimización del uso de calderas. | 30 | En una primera fase incluye capacitación, investigación aplicada, desarrollo de normatividad y renovación tecnológica en algunas industrias. |
| Eficiencia en iluminación. | 5 | En una primera etapa incluye el reemplazo de luminarias en un cercano de 500 industrias. |
| Gestión integral de la energía en la industria con énfasis en producción más limpia. | 35 | Se considera en una primera etapa la aplicación del programa en 500 empresas con una inversión de US$70.000 por empresa. |
| Cogeneración y autogeneración. | 15 | En una primera fase incluye capacitación, investigación aplicada, desarrollo de normatividad y renovación tecnológica en algunas industrias. |
| Uso racional y eficiente de la energía en Pequeñas y Medianas Empresas - PYMES. | 15 | Desarrollo de programas en 5 ciudades principales. |
| Optimización de procesos de combustión. | 0,5 | Dirigido básicamente a capacitación e investigación aplicada. |
| Optimización de la cadena de frío. | 1 | Dirigido básicamente a capacitación e investigación aplicada. |
Fuente: Consultoría MME - “Programa de Uso Racional y Eficiente de Energía y Fuentes No Convencionales - Plan de Acción 2010 - 2015”. 2010.
SI-1 Optimización del uso de la energía eléctrica para fuerza motriz
Aproximadamente el 70% de la energía eléctrica que se utiliza en la industria colombiana está asociada al uso de motores eléctricos. El subprograma prioritario tiene por objetivo incluir consejos prácticos orientados al mejor uso de los motores, con vistas al ahorro energético así como sustituir motores existentes por unos más eficientes.
Esas recomendaciones podrían agruparse según el nivel de exigencia o de inversión necesario, por ejemplo:
-- Cambio de hábitos,
-- Mantenimiento o controles,
-- Realización de Inversiones menores; o
-- Grandes inversiones, lo que incluiría la sustitución del motor existente por uno más eficiente (etiquetado) que permita reducir pérdidas por efecto Joule, magnéticas, y mecánicas.
TABLA 28
Líneas de acción SI 1
| Líneas de Acción | Actores | Costos |
| a) Difundir y adoptar buenas prácticas operacionales y de mantenimiento de motores. | MME, UPME, MCIT, Universidades, SENA, sector financiero, fabricantes, importadores, COLCIENCIAS, comercializadores | En el estudio desarrollado para la UPME por el consorcio Bariloche - BRP estima que la inversión necesaria para reemplazar 14.000 kW de motores convencionales por motores eficientes, además de difusión y capacitación es de US$ 6 millones. |
| b) Realizar seguimiento y selección de tecnologías para el control y operación de motores._ | ||
| c) Promover la sustitución de los motores actuales por motores de alta eficiencia._ | ||
| d) Diseñar planes de manejo y estrategias para la disposición final de los motores reemplazados._ | ||
| e) Implementar el sistema de etiquetado en motores._ | ||
| f) Promover la acreditación y el fortalecimiento de Laboratorios de Ensayos._ | ||
| g) Promover la realización de auditorías energéticas para equipos y procesos._ | ||
| h) Fortalecer la educación sobre dimensionamiento, operación y mantenimiento de motores a nivel técnico y universitario._ | ||
| i) Suscribir acuerdos con la industria local para establecer estándares mínimos de eficiencia de motores._ | ||
SI-2 Optimización del uso de calderas
El objetivo del subprograma es incluir buenas prácticas operacionales en el marco de la gestión energética orientadas al mejor uso de las calderas o reconversión tecnológica, por ejemplo:
-- Cambio de hábitos,
-- Mantenimiento o controles,
-- Realización de Inversiones menores; o
-- Grandes inversiones, lo que incluiría la sustitución de la caldera existente por una más eficiente que permita reducir pérdidas
TABLA 29
Líneas de acción SI 2
| Líneas de Acción | Actores | Costos |
| a) Expedir el Reglamento Técnico de Calderas. | MME, UPME, MCIT, MPS, Universidades, SENA, industriales, Sector financiero, ICONTEC, MAVDT | Se estima una inversión de US$30 millones, incluye capacitación, investigación aplicada, desarrollo de normatividad y renovación tecnológica en algunas industrias |
| b) Estimar el número de calderas existentes y caracterizar los usos térmicos y el consumo de energéticos asociados a estas._ | ||
| c) Caracterizar las tecnologías de producción de vapor en función de las fuentes disponibles y los usos productivos._ | ||
| d) Promover la realización de auditorías energéticas para equipos térmicos y procesos._ | ||
| e) Fortalecer la educación sobre dimensionamiento, operación y mantenimiento de calderas._ | ||
| f) Suscribir acuerdos con la industria local para establecer estándares mínimos de eficiencia de calderas._ | ||
SI-3 Eficiencia en iluminación
Se presenta un listado de recomendaciones orientadas al mejor uso de la iluminación artificial y natural, con vistas al ahorro energético.
TABLA 30
Líneas de acción SI 3
| Líneas de Acción | Actores | Costos |
| a) Garantizar el control de calidad de los productos, tanto nacionales como importados. | MME, UPME, Industriales, Importadores | Se ha calculado para el programa en industria, un costo de US$5 millones de dólares el reemplazo en cerca de 500 industrias. |
| b) Fortalecer la educación y desarrollar campañas de concientización en la lectura de la etiqueta._ | ||
| c) Fortalecer la educación en gestión de proyectos, diseño de sistemas de iluminación, conocimiento de nuevas tecnologías, usos y aplicaciones._ | ||
| d) Difundir la aplicación y el uso adecuado de los sistemas de control de iluminación._ | ||
| e) Implementación de programas de reemplazo masivo de sistemas de iluminación._ | ||
SI-4 Gestión integral de la energía en la industria con énfasis en producción más limpia
De acuerdo con los estudios realizados por la UPME y experiencias en la implementación del Sistema de Gestión Integral de la Energía en industrias, con acompañamiento de las universidades, se demuestra que existen potenciales de ahorro de energía que pueden ser aprovechados mediante acciones no asociadas a la producción, de baja inversión y de impacto en el corto plazo.
TABLA 31
Líneas de acción SI_4
| Líneas de Acción | Actores | Costos |
| a) Difundir e implementar el sistema de gestión integral de energía en el sector industrial. | MME, UPME, universidades, Industria. | Se estima la aplicación del programa en una primera fase en cerca de 500 empresas con una inversión por empresa de US$70.000 para una inversión total de $35 millones de dólares. |
| b) Crear capacidades académicas permanentes en instituciones de educación superior._ | ||
| c) Impulsar la creación y adopción de normas de gestión energética._ | ||
| d) Definir esquemas tarifarios de la energía eléctrica con opciones que permitan cambiar el perfil de la curva de demanda._ | ||
| e) Promover la normalización y remodelación de redes eléctricas y en general los programas de recuperación de pérdidas de energía._ | ||
SI-5 Cogeneración y autogeneración
Con la cogeneración se propone aprovechar la energía térmica sobrante del proceso de la generación de energía eléctrica. Por otro lado, con la autogeneración se busca fortalecer el parque de generación de energía eléctrica incrementando así la disponibilidad y la confiabilidad del sistema.
TABLA 32
Líneas de acción SI_5
| Líneas de Acción | Actores | Costos |
| a) Desarrollar normativa específica en emisiones y eficiencia energética de calderas. | MME, UPME, fabricantes e importadores, MCIT, Universidades y sistema financiero. | Se estima una inversión del orden de los US$15 millones, que incluye capacitación, investigación aplicada, desarrollo de normatividad y renovación tecnológica en algunas industrias. |
| b) Realizar el inventario nacional de sistemas de cogeneración y autogeneración existentes._ | ||
| c) Caracterizar las tecnologías de cogeneración y autogeneración en función de las fuentes disponibles y los usos productivos._ | ||
| d) Promover la realización de auditorías energéticas para sistemas de cogeneración y autogeneración._ | ||
| e) Fortalecer la educación sobre dimensionamiento, operación y mantenimiento de sistemas de cogeneración y autogeneración_ | ||
| f) Suscribir acuerdos con la industria local para establecer estándares mínimos de eficiencia de sistemas de cogeneración y autogeneración._ | ||
| g) Definir un marco normativo para otorgar incentivos de cogeneración y autogeneración en la industria._ | ||
SI-6 Uso racional y eficiente de la energía en Pequeñas y Medianas Empresas - PYMES
El objetivo de este subprograma es optimizar el consumo de energía en las pequeñas y medianas empresas como una forma de contribuir a su productividad y competitividad al mismo tiempo que se favorece el medio ambiente. En Colombia, aproximadamente el 85% del sector industrial, corresponde a las Pymes.
TABLA 33
Líneas de acción SI_6
| Líneas de Acción | Actores | Costos |
| a) Caracterizar el consumo de energía en las Pymes, en relación con el PIB. | MME, UPME, SENA, Universidades, sistema financiero. | Se estima una inversión de US$15 millones dirigido a programas de Oportunidades de Mercado de Eficiencia Energética en cinco ciudades del país. |
| b) Promover el desarrollo de capacidades para la gestión energética, la innovación tecnológica y encadenamientos productivos._ | ||
| c) Diseñar e implementar mecanismos y esquemas de financiación y constitución de fondos para proyectos de eficiencia energética en Pymes._ | ||
| d) Integrar, actualizar y divulgar las guías disponibles de buenas prácticas en eficiencia energética para Pymes._ | ||
| e) Fortalecer Fomipyme y crear una línea de crédito para la financiación de proyectos específicos en Pymes._ | ||
| f) Evaluar las opciones de proyectos MDL programáticos en eficiencia energética._ | ||
SI-7 Optimización de procesos de combustión
Su optimización contribuye tanto a la disminución de GEI como a la disminución del uso de combustibles fósiles.
TABLA 34
Líneas de acción SI_7
| Líneas de Acción | Actores | Costos |
| a) Promover proyectos y programas nacionales de investigación, desarrollo tecnológico e innovación en combustión. | MME, UPME, MAVDT, SENA, Universidades, UTO, Colciencias | Se estima una inversión de US$500.000 dirigido a programas de capacitación e investigación aplicada. |
| b) Consolidar capacidades académicas para la formación universitaria y técnica en optimización de la combustión._ | ||
| c) Promover las buenas prácticas en los procesos productivos relacionados con la combustión._ | ||
| d) Realizar seguimiento y vigilancia tecnológica de las nuevas tecnologías, técnicas y métodos de optimización de la combustión._ | ||
| e) Promover el aprovechamiento del calor residual generado en procesos de combustión._ | ||
SI-8 Optimización de la cadena de frío
En varios subsectores del sector industrial el uso de aire acondicionado y sistemas de refrigeración son pieza clave en la actividad productiva. Existe gran variedad de tecnologías que van acorde con estándares de ahorro pero también existen equipos viejos y obsoletos los cuales requieren una reconversión.
TABLA 35
Líneas de acción SI 8
| Líneas de Acción | Actores | Costos |
| a) Estimar el número de equipos de aire acondicionado y refrigeración en el sector industrial. | MME, UPME, MCIT, SENA, Universidades | Se estima una inversión de US$1.000.000 dirigido a programas de capacitación e investigación aplicada. |
| b) Crear normatividad acorde a los estándares internacionales en sistemas de aire acondicionado y refrigeración._ | ||
| c) Fortalecer la educación sobre dimensionamiento, operación y mantenimiento de sistemas de aire acondicionado y refrigeración._ | ||
| d) Suscribir acuerdos con la industria local para establecer estándares mínimos de eficiencia en sistemas de aire acondicionado y refrigeración._ | ||
| e) Promover el diseño óptimo de ductos de distribución de aire._ | ||
| f) Expedir el Reglamento Técnico de Etiquetado._ | ||
Sector comercial, público y servicios[11]
Potencial de ahorro
El siguiente gráfico muestra el máximo potencial de ahorro. A 2015 se estima un potencial de ahorro en este sector de 4,4% sobre el total del consumo de energía eléctrica en el país o el 16,46% sobre el consumo del sector.
GRÁFICO 16
Potencial URE del sector comercial

Fuente: 2009. UPME.
Metas de ahorro
El siguiente gráfico muestra las metas de ahorro de energía eléctrica en el sector comercial. A 2015 se alcanzará una meta de ahorro de 2,7% del total de la energía eléctrica, o del 10% del consumo del sector, es decir, el 60,8% del potencial estimado de ahorro.
GRÁFICO 17
Demanda, potencial y metas de ahorro en el sector comercial a 2015

Fuente: 2009. UPME - Desarrollo Estudio.
Indicadores
Intensidad energética[12]
El gráfico siguiente muestra la evolución de la intensidad energética del sector comercial, público y servicios en PIB con pesos de 2000. Se puede apreciar que entre el año 2000 y 2001 se nota una súbita disminución del indicador, pero aumenta nuevamente el siguiente año. Ya a partir de 2003 se muestra una tendencia a la baja de este indicador de eficiencia.
GRÁFICO 18
Intensidad energética - Sector comercial, público y servicios

Fuente: 2009. UPME - Balances Energéticos.
Consumo final de energía por energético
El energético más consumido en el sector es la energía eléctrica con una participación del 71%, seguido por el gas natural con el 15,8% de participación. El gráfico siguiente muestra esta participación por energético. Los derivados del petróleo participan con el 13,2% del total de energéticos para este sector.
GRÁFICO 19
Consumo final de energía por energético - Sector comercial, público y servicios

Fuente: 2009. UPME - Balances Energéticos.
Subprogramas prioritarios
En el sector comercial, público y servicios se identifican 3 subprogramas prioritarios, los cuales ya tienen algún grado de trabajo por parte de diferentes entidades. La tabla 27 muestra un resumen de los subprogramas prioritarios en este sector. El costo total aproximado de inversión es de US$188,1 millones.
TABLA 36
Costos estimados de subprogramas prioritarios en el sector comercial, público y servicios
| Subprograma prioritario | Costo (M US$) | Objetivo |
| Difusión, promoción y aplicación de tecnologías y buenas prácticas en sistemas de iluminación, refrigeración y aire acondicionado. | 185 | Sustituir 294.000 equipos de refrigeración comercial, realizar proyectos de eficiencia energética en iluminación en entidades públicas (centros hospitalarios y colegios). |
| Diseño, construcción, reconversión energética y uso eficiente y sostenible de edificaciones. | 0,5 | Eliminación de barreras, capacitación e investigación aplicada. |
| Caracterización, gestión de indicadores y asistencia técnica. | 0,6 | Capacitación e investigación aplicada. |
| Actualización o reconversión tecnológica del alumbrado público. | 2,5 | Realizar inventario y fortalecer empresas del sector rural. |
Fuente: Consultoría MME - “Programa de Uso Racional y Eficiente de Energía y Fuentes No Convencionales - Plan de Acción 2010 - 2015”. 2010.
SC-1 Difusión, promoción y aplicación de tecnologías y buenas prácticas en sistemas de iluminación, refrigeración y aire acondicionado
En el ámbito de la consolidación de una cultura de eficiencia energética, es indispensable elevar el nivel de conocimiento e informar a los usuarios sobre tecnologías y buenas prácticas en sistemas de iluminación, refrigeración y aire acondicionado en el sector comercial, público y servicios, mediante acciones contundentes de comunicación y difusión.
TABLA 37
Líneas de acción SC_1
| Líneas de Acción | Actores | Costos |
| a) Desarrollar campañas publicitarias en temas de eficiencia energética, tecnologías y buenas prácticas. | MME, UPME, Comercializadores de energía, Universidades, gremios. | La UPME estima una inversión de 185 millones de dólares para la sustitución de 294.000 equipos de refrigeración comercial, sustitución de bombillas en centros hospitalarios y colegios públicos. |
| b) Incluir información técnica y buenas prácticas, como también normas, reglamentos e información de mercado en la web de la UPME._ | ||
| c) Realizar programas de capacitación técnica dirigida a diferentes grupos ocupacionales y eslabones de la cadena._ | ||
| d) Promover la gestión del conocimiento en nuevas tecnologías, diseños de sistemas de iluminación, refrigeración y aire acondicionado._ | ||
SC-2 Diseño, construcción, reconversión energética y uso eficiente y sostenible de edificaciones
El desarrollo de un subprograma en eficiencia energética en edificaciones contribuye notablemente al mejoramiento de la calidad de vida de los habitantes, con uso de materiales adecuados, ambientes térmicos y de iluminación agradables y uso de equipos más eficientes y ambientalmente amigables.
TABLA 38
Líneas de acción SC_2
| Líneas de Acción | Actores | Costos |
| a) Desarrollar normatividad en eficiencia energética en edificaciones y adoptar reglamento de diseño, construcción y uso eficiente y sostenible de edificaciones. | MME, UPME, MAVDT, COLCIENCIAS, Universidades, centros de capacitación, gremios y EPS's. | Se estima una inversión de $500.000 dólares destinados a educación y difusión e investigación aplicada en arquitectura y temas relacionados. |
| b) Desarrollar sistemas de arquitectura en edificaciones con conceptos de eficiencia energética y uso de fuentes no convencionales de energía._ | ||
| c) Fortalecer la educación y promover la investigación en sistemas de construcción, diseños arquitectónicos, aprovechamiento y obtención de materiales, equipos eficientes de uso final, gestión integral de escombros y reciclaje._ | ||
| d) Capacitar a los usuarios de edificaciones en temas de uso racional y eficiente de energía._ | ||
| e) Desarrollar proyectos piloto y demostrativos que apliquen el concepto de eficiencia energética en edificaciones en subsectores estratégicos._ | ||
SC-3 Caracterización, gestión de indicadores y asistencia técnica
Es necesario implementar gestión de indicadores, asistencia técnica y desarrollo de proyectos piloto y demostrativos al sector mediante universidades y centros de capacitación.
TABLA 39
Líneas de acción SC_2
| Líneas de Acción | Actores | Costos |
| a) Actualizar y ampliar a otros subsectores y ciudades la caracterización del consumo de energía y usos finales. | MME, UPME, Universidades, SENA, gremios. | Se estima para este programa una inversión de US$ 600.000, lo cual incluye capacitación, investigación aplicada y proyectos piloto. |
| b) Desarrollar indicadores energéticos de uso final en iluminación, refrigeración, aire acondicionado y otros usos._ | ||
| c) Realizar actividades de difusión permanente mediante modelos de vigilancia de tecnología. _ | ||
| d) Realizar seguimiento y verificación de impacto de los proyectos financiados por el GEF de eficiencia energética en edificaciones y sustitución de chillers._ | ||
| e) Desarrollar proyectos piloto y demostrativos que apliquen el concepto de eficiencia energética en subsectores estratégicos._ | ||
| f) Implementar medidas de arquitectura bioclimática y edificaciones eficientes._ | ||
| g) Implementar campañas de información y capacitación en las entidades oficiales._ | ||
| h) Realizar una caracterización e inventario de equipos y fuentes de iluminación en las entidades oficiales con el objeto de desarrollar mecanismos de seguimiento, identificar barreras y establecer acciones. _ | ||
SC-4 Actualización o reconversión tecnológica del alumbrado público
Existe un elevado potencial de ahorro energético en el diseño de las políticas de expansión y gestión de instalaciones.
TABLA 40
Líneas de acción SC_3
| Líneas de Acción | Actores | Costos |
| a) Identificar y tipificar municipios. | MME, UPME, CREG, Municipios, Colciencias, Icontec, Comercializadoras, Distribuidoras de Energía Eléctrica | Se estima para este programa una inversión de US$2,5 millones, lo cual incluye inventarios y fortalecimiento de las empresas del sector rural. |
| b) Fijación y reglamentación del proceso de auditorías._ | ||
| c) Difundir y velar por la aplicación del RETILAP para promover la eficiencia energética en instalaciones de alumbrado público._ | ||
| d) Establecer requisitos a productos de iluminación, de manera que prevalezcan los productos con mayores eficiencias._ | ||
| e) Promover organismos de certificación y laboratorios acreditados que tengan que ver con la iluminación._ | ||
| f) Convenios de adhesión por parte de regiones y municipios para la aplicación del reglamento de estándares mínimos._ | ||
Sector transporte
Proyecciones de sustitución de combustibles
El gráfico siguiente muestra las proyecciones de consumo de etanol en una mezcla de 10%, el cual según las proyecciones de la UPME decrece levemente hasta el 2019 y luego inicia un pequeño crecimiento, igual en términos porcentuales a la demanda de gasolina.
GRÁFICO 20
Proyección de demanda de alcohol carburante

Fuente: 2009. UPME - Cadena del Petróleo 2009.
El gráfico muestra las proyecciones de biodiésel en una mezcla de 5%. Durante 2009 se demandan 5,411 barriles día de Biodiésel y en 2025 se requerirán 8,400 barriles por día, es decir un incremento del 55.1%.
GRÁFICO 21
Proyección de demanda de biodiésel

Fuente: 2009. UPME - Cadena del Petróleo 2009.
Indicadores
Intensidad energética
El gráfico siguiente muestra la evolución de la intensidad energética del sector transporte tanto en PIB con pesos de 1994 como en PIB con pesos de 2000. Se muestra una tendencia a la baja de este indicador de eficiencia. La intensidad energética del sector transporte es la de mayor valor en comparación con la de los otros sectores y del global nacional, ya que este sector es el mayor consumidor de energéticos, principalmente los derivados del petróleo y el PIB relacionado con este sector es uno de los más bajos del país.
GRÁFICO 22
Intensidad energética - Sector transporte

Fuente: 2009. UPME - Balances Energéticos.
Consumo final de energía por energético
El sector Transporte es el de mayor consumo de combustibles fósiles con el 81% de participación. El gas natural y los biocombustibles participan solo con el 17%. La energía eléctrica es la consumida por el Metro de la ciudad de Medellín. El gráfico siguiente muestra el consumo final de energía por energético en este sector.
GRÁFICO 23
Consumo final de energía por energético - Sector transporte 2008

Fuente: 2009. UPME - Balances Energéticos.
Subprogramas prioritarios
Se han identificado como subprogramas prioritarios los siguientes:
ST-1 Reconversión tecnológica del parque automotor
La medida está orientada a modernizar las flotas con criterios de adecuación de las prestaciones de los vehículos a las necesidades operacionales de las empresas.
Adicionalmente, considerando un escenario de sustitución por la entrada del transporte eléctrico en los sistemas de transporte masivo articulado en Bogotá, Pereira y Cali (reconversión del parque total) y la entrada de vehículos eléctricos e híbridos en el Sistema Integrado de Transporte Masivo de Bogotá, la demanda de combustible total del país (108357 Barriles por día -BPD- durante 2009) podría reducirse 1,7% (1830 BPD).
TABLA 42
Líneas de acción ST-1
| Líneas de Acción | Actores | Costos |
| a) Desarrollar políticas claras en el tema de eficiencia en el transporte. | Ministerio de Transporte, MME, UPME, MCIT, banca nacional e internacional. | Es necesario hacer un programa de caracterización y auditoría en el sector transporte, capacitación y divulgación, se estima una inversión de US$1.000.000. |
| b) Analizar e implementar tendencias internacionales en tecnologías en el transporte._ | ||
| c) Desarrollar un programa de vigilancia tecnológica con el objeto de hacer seguimiento en tecnologías de transporte._ | ||
| d) Concientizar a la población sobre la necesidad de renovar el parque automotor particular con vehículos eficientes._ | ||
| e) Concientizar a los empresarios sobre la necesidad de renovar la flota de transporte de pasajeros y de carga con vehículos eficientes._ | ||
| f) Realizar campañas de promoción y formación._ | ||
| g) Desarrollar sistemas de información sobre consumo de combustible._ | ||
| h) Desarrollar estudios y auditorias del sector transporte._ | ||
| i) Implementar políticas interinstitucionales con el fin de caracterizar el sector transporte._ | ||
| j) Ejecutar acciones encaminadas a la eficiencia y reconversión tecnológica en la operación de puertos marítimos y adecuar los puertos fluviales para que puedan funcionar como centros de transferencia intermodal._ | ||
| k) Hacer seguimiento y gestión de los indicadores._ | ||
| l) Promover la utilización de vehículos eléctricos e híbridos en los sistemas de transporte masivo._ | ||
ST-2 Modos de transporte
En los planes de movilidad urbana, se deben incluir no sólo las políticas de oferta de mejores medios de transporte colectivo, sino también la regulación en la utilización del vehículo particular, sobre todo aquel de baja ocupación.
TABLA 43
Líneas de acción ST-2
| Líneas de Acción | Actores | Costos |
| a) Desincentivar el uso del vehículo particular. | Ministerio de Transporte, MME, UPME, MICT, SIC, Gremios y asociaciones, Secretarías de Movilidad. | Se estima una inversión de US$200.000 para capacitación e investigación aplicada. |
| b) Masificar sistemas de transporte limpio._ | ||
| c) Implementar incentivos arancelarios, disminuir impuestos en medios de transportes eficientes y limpios._ | ||
| d) Desarrollar prácticas en gestión de parqueo._ | ||
| e) Analizar la implementación de peajes electrónicos en las ciudades principales._ | ||
| f) Mejorar la Red Vial._ | ||
| g) Implementar planes de movilidad urbana._ | ||
| h) Promover una mayor participación de medios colectivos en transporte por carretera._ | ||
| i) Masificar el uso del tren._ | ||
ST-3 Buenas prácticas en el transporte
La medida incluye un conjunto de acciones orientadas a difundir las técnicas de conducción eficiente, a través del sistema de enseñanza para la obtención de la licencia de conducir y de puntos de gestión de trámites. De otro lado, la puesta en marcha de Sistemas Integrados de Transporte Masivo también contribuye a la implementación de buenas prácticas.
TABLA 44
Líneas de acción ST-3
| Líneas de Acción | Actores | Costos |
| a) Desarrollar campañas publicitarias de carácter masivo sobre la adquisición de vehículos económicos y buenas prácticas de conducción eficiente de vehículos particulares. | Ministerio de transporte, MME, UPME, Secretarías de movilidad, Escuelas de enseñanza y el SENA | Se estima una inversión de US$200.000 para capacitación e investigación aplicada. |
| b) Desarrollar e implementar líneas de capacitación en buenas prácticas de conducción en vehículos de trasporte pesado y de pasajeros por parte de instituciones técnicas y tecnológicas con certificación académica._ | ||
De otro lado, frente al tema de biocombustibles es importante mencionar que desde 2005, el país incursiona en la producción de etanol a base de caña de azúcar, existiendo actualmente cinco destilerías con una capacidad de producción de 1.000.000 de litros/día y siete proyectos para iniciar su operación en los próximos años con los cuales se aumentará la producción en 1.120.000 litros/día.
Así mismo, desde 2008 el país cuenta con cinco plantas de producción de biodiésel con una capacidad de producción de 386.000 ton/año y dos proyectos próximos a entrar en operación con los cuales se aumentará la producción en 130.000 ton/año.
Esta temática cuenta con una política nacional definida y con un marco legal establecido que ha permitido avances y la consolidación de un mercado en todo el territorio, razón por la cual ha adquirido una dinámica propia. No obstante, el PROURE incluye las siguientes líneas de acción:
TABLA 45
Líneas de acción ST-4
| Líneas de Acción | Actores | Costos |
| a) Promover la realización de proyectos en asuntos ambientales de la producción de etanol y biodiésel. | MME, UPME, MT, MAVDT, Corporaciones autónomas regionales, CREG, ICONTEC, SIC, Colciencias, universidades, SENA, Banca, gremios y asociaciones. | N.A. |
| b) Promover la realización de proyectos de capacitación tecnológica: creación de competencias. | ||
| c) Promover la realización de proyectos de investigación científica-tecnológica en bioetanol y biodiésel._ | ||
| d) Promover la realización de proyectos de inversión._ | ||
| e) Promover la realización de estudios de política y prospectiva._ | ||
* * *
1 Prias Omar, Hacia un nuevo concepto de la Eficiencia Energética.
2 Para la estimación del potencial de ahorro de energía, la UPME ha considerado variables macroeconómicas, sociales, de comportamiento de la demanda, variables de mercado, entre otras. Para la estimación de la meta se ha considerado el ahorro potencial en función de la implementación de los programas prioritarios descritos en los diferentes sectores.
3 De acuerdo con el decreto 3683 de 2003, artículo 2o, definiciones, se establece que las fuentes no convencionales de energía -fnce. Son aquellas fuentes disponibles a nivel mundial que son ambientalmente sostenibles, pero que en el país no son empleadas o son utilizadas de manera marginal y no se comercializan ampliamente. Se consideran fuentes no convencionales de energía, entre otras, la energía solar, energía eólica, energía geotérmica, energía proveniente de fuentes de biomasa, pequeños aprovechamientos hidroenergéticos, energía proveniente de los océanos.
4 2005. UPME – IDEAM. Atlas de Radiación Solar de Colombia. Bogotá.
5 2006. UPME – IDEAM. Atlas de Viento y Energía Eólica de Colombia. Bogotá.
6 Cadena, A. Diagnóstico, perspectivas y lineamientos para definir estrategias posibles ante el Cambio Climático. Emgesa, Codensa, Universidad de los Andes. Bogotá, 2009.
7 Para ver la totalidad de las líneas de acción de los subprogramas estratégicos consultar el Informe Final del Plan de Acción del PROURE 2010 - 2015.
8 Algunos de los subprogramas se basan en el estudio UPME. 2007. Consultoría para la formulación estratégica del plan de uso racional de energía y fuentes no convencionales de energía 2007 – 2025. UPME, Consorcio Bariloche BRP. Bogotá.
9 UPME 2006, Determinación del consumo final de energía en los sectores residencial urbano y comercial y determinación de consumos para equipos domésticos de energía eléctrica y gas. UNAL – UPME, Bogotá.
10 La intensidad eléctrica es un indicador que proporciona una idea del consumo de energía eléctrica en el sector en función del PIB. Para Colombia a 2008 este indicador es de 349,13 kWh/M Col$ 00.
11 Este sector incluye establecimientos comerciales, centros comerciales, grandes superficies, alumbrado público, salud (hospitales, clínicas, centros de salud), educación (Colegios púbicos y privados, universidades, institutos de capacitación), financiero (entidades financieras), servicios (bomberos, estaciones de servicios, etc.), seguridad (batallones, estaciones de policía), hospedaje y recreación, entidades oficiales.
12 La intensidad eléctrica es un indicador que proporciona una idea del consumo de energía eléctrica en el sector en función del PIB. Para Colombia a 2008 este indicador es de 267,45 kWh/M Col$ 00.