RESOLUCIÓN 90325 DE 2013
(mayo 3)
Diario Oficial No. 48.779 de 3 de mayo de 2013
MINISTERIO DE MINAS Y ENERGÍA
Por la cual se adopta el Reglamento Interno del Fondo Especial Cuota de Fomento de Gas Natural.
EL MINISTRO DE MINAS Y ENERGÍA,
en ejercicio de sus facultades constitucionales y legales, en especial, las conferidas en el artículo 2o, numeral 25, del Decreto número 381 de 2012 y en el artículo 5o, del Decreto número 1718 de 2008, y
CONSIDERANDO:
Que la Ley 142 de 1994, en su artículo 8o, le asignó competencia a la Nación, para que en forma privativa planifique, asigne y gestione el uso del gas combustible en cuanto sea económica y técnicamente posible, a través de empresas oficiales, mixtas o privadas;
Que mediante el artículo 15 de la Ley 401 de 1997 se creó un Fondo Especial cuyos recursos provendrían de una cuota de fomento que se pagaría como un porcentaje adicional al valor de la tarifa que se cobre por el gas objeto de transporte efectivamente realizado, los que se destinarían a promover y cofinanciar proyectos dirigidos al desarrollo de infraestructura para el uso del gas natural en los municipios y el sector rural, prioritariamente dentro del área de influencia de los gasoductos troncales, y que tengan el mayor Índice de Necesidades Básicas Insatisfechas (NBI), con sujeción a lo establecido en la reglamentación que expidiera el Ministerio de Minas y Energía;
Que el Gobierno Nacional mediante el Decreto número 3531 de 2004 reglamentó el artículo 15 de la Ley 401 de 1997, modificado por la Ley 887 de 2004, por el cual se creó el Fondo Especial Cuota de Fomento de Gas Natural;
Que mediante la Ley 1450 de 2011 (Plan Nacional de Desarrollo), en su artículo 98 se estableció: La Cuota de Fomento de Gas Natural a que se refiere el artículo 15 de la Ley 401 de 1997, modificado por el artículo 1o de la Ley 887 de 2004, será del 3% sobre el valor de la tarifa que se cobre por el gas objeto del transporte efectivamente realizado. El Fondo continuará siendo administrado por el Ministerio de Minas y Energía y sus recursos por el Ministerio de Hacienda y Crédito Público;
Que el artículo 87.9 de la Ley 142 de 1994 establece que “Cuando las entidades públicas aporten bienes o derechos a las empresas de servicios públicos, podrán hacerlo con la condición de que su valor no se incluya en el cálculo de las tarifas que hayan de cobrarse a los usuarios de los estratos que pueden recibir subsidios, de acuerdo con la ley. Pero en el presupuesto de la entidad que autorice el aporte figurarán el valor de este y como un menor valor del bien o derecho respectivo, el monto del subsidio implícito en la prohibición de obtener los rendimientos que normalmente habría producido”;
Que mediante la Ley 1450 de 2011 (Plan Nacional de Desarrollo), en su artículo 99 se modificó el numeral 87.9 de la Ley 142 de 1994, la cual estableció lo siguiente: “87.9 Las Entidades públicas podrán aportar bienes o derechos a las empresas de servicios públicos domiciliarios, siempre y cuando su valor no se incluya en el cálculo de las tarifas que hayan de cobrarse a los usuarios y que en el presupuesto de la entidad que autorice el aporte figure este valor. Las Comisiones de Regulación establecerán los mecanismos necesarios para garantizar la reposición y mantenimiento de estos bienes.
Lo dispuesto en el presente artículo no es aplicable cuando se realice enajenación o capitalización de dichos bienes o derechos”;
Que mediante la Resolución número 182032 de 2010, el Ministerio de Minas y Energía adoptó el Reglamento Interno del Fondo Especial Cuota de Fomento;
Que mediante el Decreto número 381 de 2012, “por el cual se modifica la estructura del Ministerio de Minas y Energía”, en el artículo 2o, numeral 25 se estableció como una de las funciones del Ministerio de Minas y Energía la Administración del Fondo Especial Cuota de Fomento;
Que el Ministerio de Minas y Energía considera necesario introducir ajustes y modificaciones al mencionado Reglamento Interno del Fondo Especial Cuota de Fomento, en adelante FECFGN, con el objetivo fundamental de garantizar que la ejecución y desarrollo de los proyectos cofinanciados con recursos del fondo especial se realice de manera oportuna y eficiente, de conformidad con lo previsto en el artículo 15 de la Ley 401 de 1997;
Que, bajo la misma orientación, se considera necesario: i) establecer la metodología para aplicar el subsidio otorgado a proyectos cofinanciados con recursos del FECFGN; ii) establecer la metodología para liquidar los convenios y establecer los porcentajes de copropiedad de proyectos cofinanciados con recursos del FECFGN; y iii) establecer los procedimientos para contabilización de aportes de recursos del FECFGN y de las empresas que participan en la cofinanciación;
Que mediante el artículo 5o del Decreto número 1718 de 2008, que modificó el Decreto número 3531 de 2004, se estableció que corresponde al Ministerio de Minas y Energía, definir el reglamento interno para la aprobación, ejecución y giro de los recursos del Fondo, y demás disposiciones para el correcto funcionamiento del mismo;
Que en mérito de lo expuesto,
RESUELVE:
DISPOSICIONES GENERALES.
ARTÍCULO 1o. RECURSOS DEL FONDO ESPECIAL CUOTA DE FOMENTO. En concordancia con lo establecido en el artículo 3o del Decreto número 3531 de 2004, modificado por el artículo 3o del Decreto número 1718 de 2008, ingresarán al Fondo los siguientes recursos:
a) El valor de la Cuota de Fomento, la cual es del 3.0% sobre el valor de la tarifa que se cobre por el gas objeto del transporte, efectivamente realizado sufragada por todos los Remitentes del Sistema Nacional de Transporte de Gas Natural;
b) Los rendimientos que se originen en razón de las operaciones financieras que se realicen con los recursos del Fondo Especial Cuota de Fomento, así como los excedentes financieros que resulten al cierre de cada ejercicio contable;
c) Los intereses de mora que se generen por incumplimiento en el pago o giro de la Cuota de Fomento;
d) Los recursos provenientes de la remuneración vía tarifaria de la proporción de la inversión realizada con recursos de cofinanciación del Fondo respecto de los usuarios no subsidiables, derivados del cumplimiento de las obligaciones emanadas de los contratos suscritos para la cofinanciación de proyectos antes de la modificación del numeral 87.9 del artículo 87 de la Ley 142 de 1994 en virtud de la expedición de la Ley 1151 de 2007, o cuando la ley así lo determine.
Su finalidad es promover y cofinanciar proyectos dirigidos al desarrollo de infraestructura para el uso de gas natural en los municipios y el sector rural, prioritariamente dentro del área de influencia de los gasoductos troncales y que tengan el mayor índice de Necesidades Básicas Insatisfechas.
ARTÍCULO 2o. ÁMBITO DE APLICACIÓN. Las disposiciones contenidas en la presente resolución, se aplican a los solicitantes establecidos en el artículo 1o del Decreto número 3531 de 2004, que celebren convenios de cofinanciación con el Ministerio de Minas y Energía para la ejecución de proyectos cofinanciables y elegibles, de acuerdo con lo establecido en el artículo 15 de la Ley 401 de 1997 y el artículo 7o del Decreto número 1718 de 2008.
ARTÍCULO 3o. DEFINICIONES. Para la interpretación y aplicación de esta Resolución, se tendrán en cuenta, además de las definiciones contenidas en la Ley 142 de 1994, el Decreto número 3531 de 2004 y las resoluciones vigentes de la CREG, las siguientes:
Expansión de sistemas de distribución cofinanciados: Nuevos activos del Sistema de Distribución ejecutados por el prestador del servicio desde la liquidación del Convenio de Cofinanciación o desde el último Período Tarifario, según sea el caso.
Reposición de sistemas de distribución cofinanciados: Activos del Sistema de Distribución ejecutados en el Convenio de Cofinanciación correspondiente que han sido repuestos por el inversionista desde la liquidación del Convenio de Cofinanciación o desde el último Período Tarifario, según sea el caso.
ARTÍCULO 4o. CONSIGNACIÓN DE LOS RECURSOS DEL FONDO ESPECIAL CUOTA DE FOMENTO. <Artículo modificado por el artículo 1 de la Resolución 90778 de 2013. El nuevo texto es el siguiente:> El Ministerio de Minas y Energía señalará en los convenios de cofinanciación, la cuenta a la cual se deberán integrar los recursos del Fondo Especial Cuota de Fomento relacionados en el artículo 12 del presente Reglamento. Las Empresas prestadoras del servicio público de transporte de gas natural por red consignarán mensualmente los dineros recaudados por concepto de la cuota de fomento e intereses de mora causados, si corresponden, en el Banco de la República, Cuenta de Depósito número 61016994 en pesos, denominada DTN-Fondo Cuota de Fomento de Gas Natural Decreto número 1718 de 21 de mayo 2008, dentro de los diez (10) primeros días hábiles del mes siguiente a aquel en que se realizó el recaudo.
En aplicación del artículo 6o del Decreto número 3531 de 2004, de manera mensual, las Empresas prestadoras del servicio público de transporte de gas natural por red enviarán a la Dirección de Hidrocarburos del Ministerio de Minas y Energía la información sobre los recaudos efectuados.
Las empresas prestadoras del servicio de distribución de gas natural por red que desarrollaron proyecto de infraestructura con recursos del Fondo Especial Cuota de Fomento de Gas Natural y que facturan el servicio de gas natural domiciliario a usuarios no subsidiables beneficiados con el proyecto, de acuerdo con lo establecido en el literal d) del artículo 1o de la presente resolución, deberán consignar mensualmente, en la cuenta definida en este artículo, lo correspondiente a los recursos provenientes de la remuneración vía tarifaria de la proporción de la inversión realizada con recursos de cofinanciación del Fondo, respecto de los usuarios no subsidiables, e intereses de mora si se causaren.
PARÁGRAFO 1o. Para el caso de los recursos que no se ejecuten en virtud del convenio de cofinanciación suscrito con el Administrador del Fondo Especial Cuota de Fomento de Gas Natural, el solicitante deberá reembolsar dichos recursos a más tardar dentro de los veinte (20) días calendario siguientes a la finalización de la ejecución del proyecto. Estos recursos deberán ser consignados en la cuenta que se señale en el Convenio, y posteriormente la empresa deberá informar al Administrador del Fondo sobre dicha transacción.
PARÁGRAFO 2o. Toda la información a que se refiere este artículo, deberá ser reportada por cada uno de los agentes en el sistema de información - SUNA, que para el efecto definió el Administrador del Fondo.
ARTÍCULO 5o. INTERESES DE MORA. Cuando un remitente no cancele oportunamente parte o la totalidad de la cuota de fomento facturada por el transportador, deberá pagar intereses moratorios liquidados con la tasa de interés certificada por la Superintendencia Financiera al momento de la liquidación. Estos intereses de mora serán liquidados por el transportador sobre la parte de los recursos no pagados durante el tiempo que transcurra entre la fecha de vencimiento y el pago. El transportador deberá adelantar de oficio la gestión del cobro, tanto de los recursos en mora como de los intereses respectivos.
Si realizada la gestión de facturación y cobro de la cuota de fomento por parte de los transportadores existen sumas pendientes de recaudo, las empresas transportadoras de gas deberán reportar al Administrador del Fondo dicha información mensualmente, en forma detallada, indicando el(los) remitente(s) y el valor pendiente de pago, sin perjuicio de su obligación de cobro y recaudo.
Cuando un transportador no consigne la totalidad de la cuota de fomento dentro de los diez (10) primeros días del mes siguiente a aquel en el que se efectúe el recaudo, deberá pagar intereses moratorios, liquidados con la tasa de interés certificada por la Superintendencia Financiera, vigente al momento de la liquidación.
Estos intereses de mora serán liquidados por el transportador sobre la parte de los recursos no pagados durante el tiempo que transcurra entre la fecha de vencimiento y el pago y serán consignados en la cuenta establecida en el artículo 4o de la presente resolución.
Cuando una empresa distribuidora de gas natural por redes que haya realizado proyectos en infraestructura de distribución con recursos del Fondo Especial Cuota de Fomento no consigne dentro de los diez (10) primeros días de cada mes, la totalidad de los recursos que trata el literal b) del artículo 3o del Decreto número 3531 de 2004, deberá pagar intereses moratorios liquidados con la tasa de interés certificada por la Superintendencia Financiera, vigente al momento de la liquidación. Estos intereses de mora serán liquidados por el distribuidor sobre la parte de los recursos no pagados durante el tiempo que transcurra entre la fecha de vencimiento y el pago y serán consignados en la cuenta establecida en el artículo 4o de la presente resolución.
Los recursos de que trata el presente artículo deberán ser incluidos y detallados en el informe mensual que sobre el recaudo de la cuota de fomento entreguen los transportadores y distribuidores al Administrador del Fondo e igualmente deberán ser registrados en el sistema de información - SUNA definido para el efecto.
PARÁGRAFO. La liquidación de los intereses de mora a que se refiere este artículo, deberá estar debidamente certificada por el revisor fiscal y/o contador de la empresa.
ASIGNACIÓN DE RECURSOS DE COFINANCIACIÓN DE LOS PROYECTOS ELEGIBLES.
ARTÍCULO 6o. ASIGNACIÓN DE RECURSOS DEL FECFGN PARA LA COFINANCIACIÓN DE LOS PROYECTOS ELEGIBLES. Previo agotamiento del trámite que debe surtirse ante la Unidad de Planeación Minero-Energética (UPME), por los interesados en obtener la cofinanciación del fondo especial, esta Entidad elaborará la lista de priorización de los proyectos que cuenten con el concepto favorable de elegibilidad, la cual será enviada al Ministerio de Minas y Energía.
El Ministerio en su calidad de Administrador del FECFGN, de conformidad con lo señalado en el artículo 7o, del Decreto número 1718 de 2008, aprobará las solicitudes de cofinanciación, mediante acto administrativo, con sujeción a los parámetros allí establecidos.
El aporte cofinanciado por el Fondo, corresponderá a una suma de dinero que no podrá ser aumentada. Los sobrecostos del proyecto cofinanciado deberán ser asumidos por el ejecutor del proyecto, con cargo a sus propios recursos; los valores no cubiertos por los recursos del Fondo, podrán ser asumidos por el ejecutor del proyecto, con cargo a sus propios recursos o por entes territoriales de conformidad con la normatividad aplicable para este efecto.
PARÁGRAFO. Previo a la aprobación de recursos por parte del Administrador del Fondo, el solicitante deberá declarar bajo la gravedad del juramento que no esté incurso en inhabilidad e incompatibilidad alguna, de conformidad con el artículo 15 de esta resolución. De ser así, el Administrador del Fondo se abstendrá de suscribir el respectivo convenio.
ARTÍCULO 7o. SUSCRIPCIÓN DE CONVENIOS DE COFINANCIACIÓN. Una vez expedido el acto administrativo de que trata el artículo 6o de la presente resolución, se suscribirá un convenio de cofinanciación entre el Ministerio de Minas y Energía en su calidad de Administrador del Fondo y el solicitante, en el cual se definirán las obligaciones de las partes, sin perjuicio del cumplimiento de las obligaciones estipuladas en este Reglamento.
PARÁGRAFO 1o. Previo a la suscripción del Convenio, la empresa ejecutora del proyecto deberá demostrar al Administrador del Fondo que cuenta con la capacidad financiera para su ejecución y con los recursos financieros disponibles para aportarlos a la cofinanciación, en la suma que le corresponda, de acuerdo con su solicitud de cofinanciación. Para acreditar dicha capacidad, deberá presentar certificación debidamente suscrita por el revisor fiscal.
PARÁGRAFO 2o. En caso de no cumplir con los parámetros definidos en esta resolución o cualquiera otra que reglamente el particular, el Ministerio de Minas y Energía en calidad de Administrador del Fondo se abstendrá de suscribir el Convenio respectivo.
Cuando la certificación de recursos financieros asignables al proyecto se trate de recursos de crédito, estos deberán estar certificados por una entidad bancaria mediante documento que asegure la disponibilidad del recurso. Así mismo, el solicitante certificará que estos recursos serán destinados a la cofinanciación del proyecto aprobado.
ARTÍCULO 8o. CONTENIDO MÍNIMO DEL CONVENIO DE COFINANCIACIÓN. El convenio de cofinanciación deberá contener, como mínimo, lo siguiente:
1. Objeto.
2. Partes.
3. Descripción y alcance del Proyecto que se cofinanciará, con sujeción a la propuesta evaluada por la UPME.
4. Obligaciones y deberes de las partes vinculadas en el Convenio.
5. Forma, plazos y condiciones para efectuar los desembolsos de los recursos del FECFGN.
6. Duración, y prórrogas, si hubiere lugar.
7. Cronograma de ejecución de acuerdo a la clase de proyecto a cofinanciar.
8. Régimen de penalizaciones.
9. Causales de incumplimiento que dan lugar a imposición de multas.
10. Causales de incumplimiento que dan lugar a la declaratoria de caducidad.
11. Causales de terminación anticipada.
12. Consignación de los rendimientos originados por los recursos del FECFGN
13. Informes que deberá presentar la empresa.
ARTÍCULO 9o. OBLIGACIONES GENERALES DEL EJECUTOR DE PROYECTOS DE INFRAESTRUCTURA COFINANCIABLES CON RECURSOS DEL FONDO ESPECIAL CUOTA DE FOMENTO. Adicionalmente a las obligaciones definidas en este Reglamento y en las establecidas en la normatividad vigente del Fondo Especial Cuota de Fomento de Gas Natural, los ejecutores deberán:
1. Aportar los recursos a los cuales se ha comprometió para llevar a cabo la ejecución del proyecto aprobado.
2. Contar con un esquema cierto y definido de cofinanciación, identificando todas las fuentes de recursos.
3. Constituir una cuenta bancaria para uso exclusivo de los recursos de cofinanciación de los Proyectos de transporte y distribución de la cual deberá presentar mensualmente un informe sobre su manejo, adjuntando los respectivos extractos bancarios.
4. Recibir del Administrador del Fondo los recursos que este debe aportar para la cofinanciación del proyecto.
5. Administrar de manera eficiente los recursos aportados para la cofinanciación del proyecto.
6. Destinar los recursos económicos aportados, exclusivamente para la ejecución del proyecto.
7. Consignar mensualmente en la cuenta definida en el Convenio, los rendimientos que se originen en razón de las operaciones financieras que se realicen con los recursos del Fondo, así como los intereses de mora a que haya lugar, de conformidad con el procedimiento establecido en el artículo 5o de la presente resolución.
8. Adelantar la ejecución de las obras necesarias para la construcción del proyecto aprobado, directamente o mediante contratación.
9. Contratar la Interventoría del Proyecto aprobado, con cargo a sus propios recursos, a través de una persona jurídica con experiencia demostrada en dichas labores.
10. Constituir las garantías a que haya lugar, de acuerdo con lo establecido en el Convenio de Cofinanciación.
11. Rendir los informes que en relación con el Proyecto solicite el Administrador del Fondo, a través de la Dirección de Hidrocarburos o la dependencia que haga sus veces.
12. Registrar mensualmente en el sistema de información – SUNA los datos solicitados, que permitan hacer seguimiento tanto a los recursos asignados como a la ejecución de los proyectos.
13. Notificar al Administrador del Fondo cualquier evento que afecte la ejecución normal del proyecto.
14. Mantener indemne al Ministerio de Minas y Energía por cualquier circunstancia que se le impute en razón a la ejecución del proyecto. En ese sentido, en caso de que el solicitante suscriba contratos para el desarrollo y la ejecución del proyecto, deberá pactar cláusulas de indemnidad a favor del Ministerio de Minas y Energía, que lo mantengan a salvo de eventuales responsabilidades por demandas que puedan presentar los contratistas o sus empleados, subcontratistas o sus empleados, asesores o terceros, con ocasión de cualquier reclamación y/o daños y perjuicios derivados de contratos que celebre el solicitante-ejecutor, para el desarrollo y ejecución del proyecto.
15. Entregar los informes de que trata el artículo 11 de la presente resolución dentro de los plazos y en la forma allí establecida.
16. Entregar, una vez terminado el plazo establecido, el proyecto aprobado en condiciones de operación.
17. Suscribir el Acta de Liquidación del Convenio, dentro de los quince (15) días calendario siguientes a la fecha en que el Administrador del Fondo la remita para tal fin.
18. Reembolsar al Ministerio de Minas y Energía, en el plazo establecido en el parágrafo 1o del artículo 4o de la presente resolución, los recursos del proyecto no ejecutados, los cuales deberán ser consignados en la Cuenta establecida para el efecto en el respectivo Convenio.
PARÁGRAFO. La Superintendencia de Servicios Públicos Domiciliarios, en lo de su competencia, realizará la correspondiente investigación cuando se presente incumplimiento de las obligaciones adquiridas por parte de las empresas ejecutoras de los proyectos, sin perjuicio del proceso que inicie el Administrador del Fondo dando aplicación al Régimen Sancionatorio establecido en el presente Reglamento o en la ley.
ARTÍCULO 10. OBLIGACIONES GENERALES DEL EJECUTOR DE PROYECTOS DE CONEXIONES CON RECURSOS DEL FONDO ESPECIAL CUOTA DE FOMENTO. Adicionalmente a las obligaciones definidas en este Reglamento y en las establecidas en la normatividad vigente del Fondo Especial Cuota de Fomento de Gas Natural, los ejecutores deberán:
1. Aportar los recursos a los cuales se ha comprometió para llevar a cabo la ejecución del proyecto aprobado.
2. Contar con un esquema cierto y definido de cofinanciación, identificando todas las fuentes de recursos.
3. Recibir del Administrador del Fondo los recursos que este debe aportar para la cofinanciación del proyecto.
4. Administrar de manera eficiente los recursos aportados para la cofinanciación del proyecto.
5. Destinar los recursos económicos aportados, exclusivamente para la ejecución del proyecto.
6. Adelantar la ejecución de las obras necesarias para la construcción del proyecto aprobado, directamente o mediante contratación.
7. Contratar la Interventoría del proyecto aprobado, con cargo a sus propios recursos, a través de una persona jurídica con experiencia demostrada en dichas labores.
8. Constituir las garantías a que haya lugar para la correcta ejecución del proyecto.
9. Rendir los informes que en relación con el Proyecto solicite el Administrador del Fondo, a través de la Dirección de Hidrocarburos o la dependencia que haga sus veces.
10. Registrar mensualmente en el sistema de información – SUNA los datos solicitados, que permitan hacer seguimiento tanto a los recursos asignados como a la ejecución de los proyectos.
11. Notificar al Administrador cualquier evento que afecte la ejecución normal del proyecto.
12. Mantener indemne al Ministerio de Minas y Energía por cualquier circunstancia que se le impute en razón a la ejecución del proyecto. En ese sentido, en caso de que el solicitante suscriba contratos para el desarrollo y la ejecución del proyecto, deberá pactar cláusulas de indemnidad a favor del Ministerio de Minas y Energía, que lo mantengan a salvo de eventuales responsabilidades por demandas que puedan presentar los contratistas o sus empleados, subcontratistas o sus empleados, asesores o terceros, con ocasión de cualquier reclamación y/o daños y perjuicios derivados de contratos que celebre el solicitante-ejecutor, para el desarrollo y ejecución del proyecto.
13. Entregar los informes de que trata el artículo 11 de la presente resolución dentro de los plazos y en la forma allí establecida al Administrador del Fondo.
14. Entregar, una vez terminado el plazo definido, el proyecto aprobado en condiciones de operación.
15. Suscribir el Acta de Liquidación del Convenio, dentro de los quince (15) días calendario siguientes a la fecha en que el Administrador del Fondo la remita para tal fin.
PARÁGRAFO. La Superintendencia de Servicios Públicos Domiciliarios, en lo de su competencia, realizará la correspondiente investigación cuando se presente incumplimiento de las obligaciones adquiridas por parte de las empresas ejecutoras de los proyectos, sin perjuicio del proceso que inicie el Administrador del Fondo dando aplicación al Régimen Sancionatorio establecido en el presente Reglamento o en la ley.
ARTÍCULO 11. PRESENTACIÓN DE INFORMES. El ejecutor de los recursos deberá presentar los siguientes informes: (i) Informes mensuales durante la vigencia del Convenio y (ii) Informe Final de ejecución, los cuales deberán de registrados en el sistema de información – SUNA que para el efecto se ha definido. Los citados informes deberán ser avalados por el Interventor del Proyecto, de forma previa al registro en el sistema.
Los informes mensuales, deberán presentarse dentro de los primeros tres (3) días hábiles del siguiente mes, el cual deberá contener la totalidad de los datos requeridos en el sistema de información – SUNA.
El informe final deberá presentarlo dentro de los veinte (20) días calendario siguientes a la finalización de la ejecución del proyecto, el cual debe contener: (i) un informe que dé cuenta, entre otros, de los contratos ejecutados, la utilización de los recursos, recursos no ejecutados, liquidaciones de los contratos efectuados en ejecución del proyecto, estado de servidumbres, acompañado de sus respectivos soportes; (ii) certificación avalada por el Interventor del proyecto en la que conste que el ciento por ciento (100%) del proyecto fue debidamente ejecutado; y (iii) copia del recibo de consignación por concepto de devolución de recursos no ejecutas y/o rendimientos financieros cuando corresponda.
PARÁGRAFO. Los informes deberán ser presentados y avalados directamente por la firma interventora del proyecto y ser entregados al interventor del fondo en medio físico y magnético.
RECURSOS DEL FONDO ESPECIAL CUOTA DE FOMENTO DE GAS NATURAL.
ARTÍCULO 12. GIRO DE LOS RECURSOS DEL FONDO ESPECIAL CUOTA DE FOMENTO. Una vez perfeccionado el Convenio y cumplidos los requisitos para tal fin, el Administrador del Fondo ordenará el giro de recursos del Fondo Especial Cuota de Fomento, de conformidad con el programa de desembolsos establecido en el Convenio respectivo.
PARÁGRAFO. El Administrador del Fondo girará los recursos correspondientes a los desembolsos previstos en el respectivo convenio, de conformidad con la disponibilidad de Presupuesto Anualizado de Caja (PAC).
Para el desembolso de los recursos el Administrador del Fondo verificará la constitución de una cuenta bancaria para uso exclusivo del proyecto en el caso de proyectos de infraestructura. Para el caso de anticipos, los movimientos bancarios de la cuenta deberán coincidir con el programa de inversión de anticipo presentado por el solicitante.
ARTÍCULO 13. PROCEDIMIENTO PARA INCORPORAR LOS RENDIMIENTOS FINANCIEROS. Para el ingreso al Fondo Especial Cuota de Fomento de los recursos señalados en el literal b) del artículo 1o de la presente resolución, el solicitante, cuando haya lugar, dará cumplimento al siguiente procedimiento:
A partir del mes en que se efectúen los desembolsos en la cuenta bancaria exclusiva para el proyecto, definida dentro del respectivo convenio de cofinanciación, el ejecutor deberá consignar mensualmente, dentro de los diez (10) primeros días, los rendimientos que se generen en razón de las operaciones financieras que se realicen con los recursos del Fondo Especial Cuota de Fomento, en la cuenta que se señale en el mismo convenio.
Una vez realizada dicha consignación, el solicitante deberá realizar el Registro en el Sistema de Información - SUNA, que para el efecto ha definido el Fondo, adjuntando copia de la consignación y el respectivo extracto bancario, donde conste el monto de los rendimientos financieros generados e informar de dicha operación al Administrador del Fondo.
PARÁGRAFO. El procedimiento establecido en el presente numeral no aplica para aquellos recursos que sean utilizados para Conexiones de Usuarios de Menores Ingresos.
RÉGIMEN SANCIONATORIO.
ARTÍCULO 14. RÉGIMEN SANCIONATORIO. Cuando haya lugar a la imposición de multas, sanciones y declaratorias de incumplimiento de las obligaciones pactadas en los convenios, el Ministerio de Minas y Energía, en su condición de Administrador del Fondo Especial Cuota de Fomento de Gas Natural, aplicará el procedimiento establecido en el artículo 86 de la Ley 1474 de 2011, en sus normas reglamentarias, y en las que lo adicionen, modifiquen o sustituyan.
Las causales de incumplimiento serán las pactadas en los referidos convenios y las consagradas en la ley.
ARTÍCULO 15. PUBLICACIÓN DE SANCIONES. Agotado el procedimiento de que trata el artículo 14 de la presente resolución, y ejecutoriado el acto administrativo que imponga la multa o la sanción o declare el incumplimiento, según el caso, su parte resolutiva se publicará en el SECOP, y se comunicará a la Cámara de Comercio en la que se encuentre inscrito el contratista sancionado. También se comunicará a la Procuraduría General de la Nación., con sujeción a lo dispuesto en el artículo 31 de la Ley 80 de 1993 modificado por el artículo 218 del Decreto número 019 de 2012.
ARTÍCULO 16. INHABILIDADES. En las convocatorias que sean abiertas por el Ministerio de Minas y Energía con el objeto de cofinanciar proyectos con recursos del Fondo Especial Cuota de Fomento de Gas Natural, no podrán participar las personas que se encuentren incursas en causales de inhabilidad para celebrar contratos con las entidades estatales, de conformidad con lo previsto en la Constitución Política, las leyes, en especial, en la Ley 80 de 1993, y en el artículo 90 de la Ley 1474 de 2011. Para tales efectos, el solicitante deberá declarar bajo la gravedad del juramento que no se encuentra incurso en ninguna causal de inhabilidad o incompatibilidad, la cual deberá venir acompañada de un Registro Único de Proponentes expedido en la Cámara de Comercio del Domicilio social con vigencia de expedición no superior a un mes anterior a la solicitud efectuada por el Administrador del Fondo, donde se evidencie que no tiene registrado ninguna de las sanciones establecidas en el artículo 90 de la Ley 1474 de 2012.
También estará inhabilitado el contratista que incurra en cualquiera de las siguientes conductas establecidas en el artículo 90 de la Ley 1474 de 2012, a saber:
a) Haber sido objeto de imposición de cinco (5) o más multas durante la ejecución de uno o varios contratos, durante una misma vigencia fiscal con una o varias entidades estatales;
b) Haber sido objeto de declaratorias de incumplimiento contractual en por los menos dos (2) contratos durante una misma vigencia fiscal, con una o varias entidades estatales;
c) Haber sido objeto de imposición de dos (2) multas y un (1) incumplimiento durante una misma vigencia fiscal, con una o varias entidades estatales.
La inhabilidad se extenderá por un término de tres (3) años, contados a partir de la inscripción de la última multa o incumplimiento en el Registro Único de Proponentes, de acuerdo con la información remitida por las entidades públicas. La inhabilidad pertinente se hará explícita en el texto del respectivo certificado expedido por la respectiva Cámara de Comercio en la que se encuentre inscrito el contratista.
Conforme con lo dispuesto en el mismo artículo 90, dicha inhabilidad se extenderá a los socios de sociedades de personas a las cuales se haya declarado esta inhabilidad, así como las sociedades de personas de las que aquellos formen parte con posterioridad a dicha declaratoria.
VALORACIÓN DE INFRAESTRUCTURA Y DETERMINACIÓN DE PORCENTAJE DE COPROPIEDAD.
ARTÍCULO 17. VALORACIÓN DE LOS SISTEMAS DE DISTRIBUCIÓN. Para establecer el valor de un Sistema de Distribución o un Sistema de Transporte cofinanciado con recursos del FECFGN se tendrá en cuenta la Inversión Base establecida a partir del inventario más reciente disponible con base en las unidades constructivas vigentes establecidas por la CREG y valorado con los costos unitarios de las mismas.
PARÁGRAFO. En caso de que no existan Unidades Constructivas homologadas se tomará el valor que apruebe la CREG en la resolución tarifaria y en su defecto el proyecto priorizado por la UPME.
ARTÍCULO 18. DETERMINACIÓN DE PORCENTAJES DE COPROPIEDAD. Los porcentajes de copropiedad de la infraestructura construida y cofinanciada conjuntamente entre el ejecutor y el Fondo Especial Cuota de Fomento de Gas Natural se establecerán durante la liquidación del Convenio de acuerdo a la siguiente expresión:
Aportes E.S.P t=0= Valor del proyecto cofinanciado t=0 - Aportes FECF t=0
Aportes E.S.P t=0= Aportes de la E.S.P. a un proyecto determinado, acumulados al momento de la liquidación del convenio correspondiente.
Aportes FECF t=0= Aportes de la Nación (FECFGN) a un proyecto determinado, acumulados al momento de la liquidación del convenio correspondiente. Se determinarán de acuerdo con los recursos del FECFGN ejecutados en dicho proyecto.
Valor del proyecto cofinanciado t=0 = Este valor corresponde a las inversiones realizadas en Redes de Distribución o de Transporte, establecidos en el momento de la liquidación del Convenio.
ARTÍCULO 19. ACTUALIZACIÓN DE LOS PORCENTAJES DE COPROPIEDAD. Para la determinación de porcentajes de copropiedad en cada Período Tarifario del proyecto (t) o cuando las partes lo acuerden, se realizará la actualización de los aportes del FECFGN, como componentes de la Inversión Base, con el índice de actualización establecido en la Resolución CREG 011 de 2003 o aquellas que la modifiquen, adicionen o sustituyan.
Una vez actualizado dicho componente se aplicaran las siguientes fórmulas para obtener el nuevo porcentaje:
% Copropiedad Nación t= Aportes FECF t / (Valor Actualizado del Sistema de Distribución t)
El Valor del Sistema de Distribución en un momento t, posterior a la liquidación del convenio se establecerá considerando la reposición que efectúe la ESP sobre activos del proyecto cofinanciado y la expansión que desarrolle la empresa por el crecimiento natural del mercado. La expresión para calcular dicho valor será:
Valor Actualizado del Sistema de Distribución t = Valor del Sistema de Distribución t-1 + Inversiones de la E.S.P para reposición de activos del Sistema de Distribución t + Inversiones para expansión desde la última revisión tarifaria. t
CONTABILIZACIÓN DE APORTES DEL FONDO ESPECIAL CUOTA DE FOMENTO DE GAS NATURAL.
ARTÍCULO 20. CONTABILIZACIÓN DE APORTES DE LA NACIÓN. Una vez definidos los porcentajes de copropiedad y calculadas las inversiones realizadas por la Nación y por el ejecutor del Proyecto, el Ministerio de Minas y Energía debe proceder a registrar el activo construido en su contabilidad por el valor de su aporte, teniendo en cuenta las disposiciones de la Resolución número 356 de septiembre 5 de 2007 o aquella que la modifique, adicione o sustituya, en el Título I denominado Catálogo General de Cuentas.
PARÁGRAFO. Para efectuar el registro del citado activo el prestador del servicio una vez se haya liquidado el convenio respectivo, deberá suscribir con el Ministerio de Minas y Energía, un Contrato Especial de los que trata el artículo 39 de la Ley 142 de 1994, el cual servirá como soporte del registro.
ARTÍCULO 21. ACTUALIZACIÓN DEL VALOR DE LA INFRAESTRUCTURA. Cuando lo requiera el administrador del FECFGN, deberá calcularse el valor de la infraestructura, mediante el costo de reposición del activo. El costo de reposición se determinará a partir de los costos unitarios que defina la CREG aplicados a las unidades constructivas del inventario de la red al momento de la valoración.
ARTÍCULO 22. CONTABILIZACIÓN DE LA REPOSICIÓN Y EXPANSIÓN DE LA INFRAESTRUCTURA. Cuando se realice reposición y expansión de la infraestructura cofinanciada, el ejecutor deberá presentar al Administrador del Fondo las evidencias técnicas y financieras de la reposición realizada, esta información debe ser aprobada por el Interventor del Fondo o quién ejerza estas funciones y será tomada como base para reconocer dicho cambio en la propiedad de la Nación y en su contabilización.
APLICACIÓN DE SUBSIDIOS FONDO ESPECIAL CUOTA DE FOMENTO DE GAS NATURAL A LA TARIFA.
ARTÍCULO 23. DETERMINACIÓN INICIAL DEL CARGO DE DISTRIBUCIÓN SUBSIDIADO. El Cargo Máximo de Distribución aplicable a todos los usuarios del mercado relevante del Sistema de Distribución cofinanciado con recursos del FECFGN corresponderá al Cargo Máximo de Distribución aprobado por la Comisión de Regulación de Energía y Gas (CREG) para dicho mercado menos el componente de inversión cofinanciada con aportes del FECFGN.
Una vez efectuada la Liquidación del Convenio, y si así lo deciden las partes, se efectuarán los ajustes al componente de inversión del Cargo de Distribución conforme a los porcentajes de copropiedad del Sistema de Distribución que se determinen en el acta de liquidación, de lo contrario, los ajustes correspondientes se efectuarán al finalizar cada Período Tarifario.
PARÁGRAFO 1o. En aquellos casos en los cuales la resolución particular de cargos no defina el componente de inversión del FECFGN, será necesario utilizar el porcentaje definido en el momento de la liquidación del Convenio. En caso de no existir ninguno de los dos, se acudirá a lo establecido en el Convenio.
PARÁGRAFO 2o. Al momento de efectuar la liquidación del Convenio y para efectos de contabilizar el porcentaje de copropiedad la empresa realizará un inventario digital de la red en el momento de su puesta en operación.
PARÁGRAFO 3o. La remuneración por la Administración, Operación y Mantenimiento (AOM) de la red corresponderá al cargo que para este efecto este establecido por la CREG en la resolución correspondiente.
ARTÍCULO 24. ACTUALIZACIÓN DEL CARGO DE DISTRIBUCIÓN EN EL TIEMPO. En cada período tarifario o cuando el Administrador del Fondo y el prestador del servicio lo consideren necesario, se actualizará el inventarío del Sistema de Distribución para incluir las expansiones y/o las reposiciones a que haya lugar.
Con base en el inventario actualizado de la infraestructura cofinanciada, se reconocerá a la empresa dentro del porcentaje de copropiedad las inversiones que haya realizado en expansión o reposición utilizando los costos de las unidades constructivas vigentes establecidas por la CREG.
ARTÍCULO 25. OBLIGACIÓN DE PRESTACIÓN DEL SERVICIO. La empresa que haya ejecutado la construcción del Sistema de Distribución cofinanciado con recursos del FECFGN tendrá la obligación de desarrollar la actividad como prestador del servicio del mismo y de Comercializador de los usuarios del mercado relevante correspondiente.
ARTÍCULO 26. ENAJENACIÓN DE LA PARTICIPACIÓN EN LA COPROPIEDAD DE UN SISTEMA DE DISTRIBUCIÓN. Cuando la empresa copropietaria de los activos cofinanciados decida enajenarlos, deberá obtener concepto previo favorable del administrador del FECFGN en su calidad de copropietario, quien verificará (i) Que el nuevo prestador del servicio cumpla con las mismas condiciones con las cuales fue elegido el prestador inicial, (ii) La preservación de la garantía de continuidad del mismo, (iii) El cumplimiento de las obligaciones derivadas del convenio y de la copropiedad de la infraestructura.
PARÁGRAFO. Esta disposición aplica en casos de sustitución del prestador del servicio.
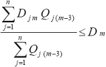
ARTÍCULO 27. VERIFICACIÓN DE LA APLICACIÓN DEL SUBSIDIO AL CARGO DE DISTRIBUCIÓN.
Tal como lo establece el numeral 7.7 de la Resolución CREG 011 de 2003, la condición que deben cumplir los cargos de distribución se indica en la siguiente expresión:

Dónde:
j = rango de consumo.
m= mes m.
Qj(m-3)= Consumo total de los usuarios del rango j de consumo, durante el trimestre anterior al mes m[1].
D j m= Cargo de distribución definido por el distribuidor aplicable en el mes m a los usuarios del rango j de consumo.
D m= Cargo Promedio de Distribución definido por la CREG para el Mercado Relevante aplicable en el mes m.
Con base en lo anterior, la empresa correspondiente establecerá mensualmente el cargo subsidiado de acuerdo con los aportes de recursos del FECFGN establecidos en la resolución tarifaria particular. Dicho cargo debe cumplir la condición de no superar el Ingreso Medio que se muestra en la expresión arriba señalada.
PARÁGRAFO 1o. El Cargo de Distribución Subsidiado debe ser informado expresamente a los usuarios a través de las Publicaciones Tarifarias y/o facturas del servicio. En caso que la empresa no aplique el Cargo de Distribución Subsidiado o lo aplique indebidamente el Administrador del FECFGN informará a la Superintendencia de Servicios Públicos Domiciliarios, para lo de su competencia.
PARÁGRAFO 2o. La metodología de aplicación de los subsidios del FECFGN que se establece en la presente resolución deberá modificarse cuando así lo disponga la Comisión de Regulación de Energía y Gas (CREG) en el marco regulatorio de la actividad correspondiente.
ARTÍCULO 28. INFORMACIÓN DEL SISTEMA DE DISTRIBUCIÓN. La empresa prestadora del servicio se obliga a mantener actualizado un inventario digital de la infraestructura de distribución con el objetivo de conocer el estado de la misma, registrando las expansiones y reposiciones que se efectúen. Esta información deberá estar disponible para consulta del administrador del FECFGN en cualquier momento.
ARTÍCULO 29. DETERMINACIÓN INICIAL DEL CARGO DE TRANSPORTE SUBSIDIADO. En el momento de la liquidación del convenio y al concluir cada Período Tarifario se definirá el aporte de cada una de las partes en las componentes de Inversión Existente que se define en el artículo 5o de la Resolución CREG-126 de 2010 o aquella que la modifique adicione o sustituya.
Una vez establecidos los aportes de la Nación y la del ejecutor en la inversión existente IEt:, se deducirá de ésta la proporción de la Inversión Existente financiada con aportes del FECFGN y se calculará el componente de inversión correspondiente a los aportes de FECFGN de los Cargos Fijos y Variables que remuneran la inversión conforme se establece en el artículo 15 de la Resolución CREG-126 de 2010 o aquella que la modifique adicione o sustituya.
PARÁGRAFO. La anterior metodología se aplicar sólo con el fin de establecer el Cargo Subsidiado por el FECFGN. El Componente de los Cargos Máximos de Distribución que remuneran los gastos de AOM no son afectados por el porcentaje de copropiedad definido en cada Convenio.
ARTÍCULO 30. ACTUALIZACIÓN DEL CARGO DE TRANSPORTE EN EL TIEMPO. Al finalizar cada Período Tarifario se establecerán: i) Los activos construidos y/o adquiridos en desarrollo del Convenio de Cofinanciación; ii) Los nuevos activos construidos y/o adquiridos por la Empresa desde la liquidación del Convenio de Cofinanciación o desde el último período tarifario, según sea el caso; y iii) Los activos construidos y/o adquiridos en el Convenio de Cofinanciación correspondiente que han sido repuestos por la Empresa desde la liquidación del Convenio de Cofinanciación o desde el último período tarifario, según sea el caso.
Con base en lo anterior, se realizará la valoración de la red y se determinarán los porcentajes de copropiedad en cada período tarifario.
PARÁGRAFO 1o. Una vez liquidado el Convenio de Cofinanciación respectivo, tanto la expansión como la reposición de redes serán responsabilidad del prestador del servicio.
PARÁGRAFO 2o. Para efectos de establecer los porcentajes de la copropiedad en la infraestructura, las partes mantendrán archivos digitales de los inventarios al finalizar cada Período Tarifario o cuando estas lo acuerden.
ARTÍCULO 31. VERIFICACIÓN DE LA APLICACIÓN DEL SUBSIDIO AL CARGO DE TRANSPORTE. Para efectuar la verificación de la aplicación de los aporte del FECFGN, se contrastarán los cargos obtenidos en el artículo 29 de esta resolución con la publicación de tarifas del mes corriente.
ARTÍCULO 32. VIGENCIA Y DEROGATORIAS. La presente resolución rige a partir de su publicación y deroga la Resolución número 18-2032 de 2010 y todas las demás disposiciones que le sean contrarias.
Publíquese, y cúmplase.
Dada en Bogotá, D. C., a 3 de mayo de 2013.
El Ministro de Minas y Energía,
FEDERICO RENGIFO VÉLEZ.
* * *
1. Los consumos empleados para definir los cargos de distribución Qj (m-3), serán los facturados por el Distribuidor durante el trimestre anterior, m-3.