RESOLUCIÓN 486 DE 2009
(diciembre 22)
Diario Oficial No. 47.604 de 26 de enero de 2010
COMISIÓN DE REGULACIÓN DE AGUA POTABLE Y SANEAMIENTO BÁSICO
Por la cual se presenta el proyecto de resolución: Por la cual se establece la metodología tarifaria de los servicios públicos domiciliarios de acueducto y alcantarillado para prestadores que atiendan menos de 2.500 suscriptores y se da cumplimiento a lo previsto por el numeral 11.4 de artículo 11 del Decreto 2696 de 2004.
LA COMISIÓN DE REGULACIÓN DE AGUA POTABLE Y SANEAMIENTO BÁSICO,
en ejercicio de las facultades legales, en especial de las conferidas en la Ley 142 de 1994, y en desarrollo de lo previsto en los Decretos 1524 de 1994, 2696 de 2004 y 2882 de 2007, y
CONSIDERANDO:
Que el artículo 2o de la Constitución Política de Colombia consagra como uno de los fines esenciales del Estado, facilitar la participación de todos en las decisiones que los afectan;
Que el inciso 3o del artículo 78 de la Constitución Política de Colombia establece que el Estado garantizará la participación de consumidores y usuarios en el estudio de las disposiciones que les conciernen;
Que la Corte Constitucional, en Sentencia C-150 de 2003, definió cuatro criterios guía para la participación ciudadana frente a las Comisiones de Regulación, a saber: (i) que los ciudadanos reciban la información correspondiente sobre el contenido proyectado de la futura regulación de manera oportuna; (ii) que puedan presentar propuestas; (iii) que las propuestas que presenten sean consideradas por la Comisión de Regulación competente en cada caso; y (iv) que la Comisión responda motivadamente las propuestas que se le formulen en relación con la regulación que por su especial trascendencia despertó el interés de los usuarios;
Que el Decreto 2696 de 2004 definió las reglas mínimas para garantizar la divulgación y participación en las actuaciones de las Comisiones de Regulación;
Que respecto de los proyectos regulatorios de carácter tarifario en el numeral 11.1 del artículo 11 del Decreto 2696 de 2004, se estableció que antes de 12 meses de la fecha prevista para que termine la vigencia de las fórmulas tarifarias, se deberá poner en conocimiento de los prestadores y de los usuarios, las bases sobre las cuales se efectuará el estudio para determinar las fórmulas del período siguiente;
Que la Comisión de Regulación de Agua Potable y Saneamiento Básico - CRA, en Sesión Extraordinaria número 5 del 12 de junio de 2008, aprobó el documento denominado “Bases para la revisión quinquenal de la fórmula tarifaria para los servicios de acueducto y alcantarillado”;
Que la Comisión de Regulación de Agua Potable y Saneamiento Básico - CRA, en cumplimiento de lo establecido en el numeral 11.1 del artículo 11 del Decreto 2696 de 2004, divulgó y puso en conocimiento a los prestadores y los usuarios, el documento: “Bases para la revisión quinquenal de la fórmula tarifaria para los servicios de acueducto y alcantarillado”, y desarrolló las siguientes actividades: (i) El documento “Bases para la revisión quinquenal de la fórmula tarifaria para los servicios de acueducto y alcantarillado” se publicó en la página Web de la Entidad el día 24 de junio de 2008; (ii) Se realizaron 16 eventos de participación ciudadana en diferentes ciudades del país; (iii) La Comisión participó en el X Congreso Nacional y I Internacional de Servicios Públicos promovido por Andesco y la Superintendencia de Servicios Públicos Domiciliarios realizado en la semana del 26 de junio de 2008 y en el XI Congreso Nacional y II Internacional de Servicios Públicos, igualmente promovido por Andesco y la Superintendencia de Servicios Públicos Domiciliarios realizado en la semana del 24 de julio de 2009; en los cuales se presentó y explicó el contenido del mencionado documento, así como el avance de los estudios allí propuestos; (iv) Se publicó en la Revista “Regulación de Agua Potable y Saneamiento Básico” número 14 de julio de 2008 y en la página web de la Comisión diferentes artículos y estudios en los cuales se analizan aspectos que sirvieron de insumo para el presente proyecto de resolución; (vi) La Comisión participó en el 52o Congreso de Acodal, adelantado del 23 al 25 de septiembre de 2009, y IX Congreso Nacional de Vocales de Control Social de los Servicios Públicos Domiciliarios, realizado del 20 al 23 octubre de 2009, en los cuales se presentó de manera general el estado de avance de la revisión quinquenal de la fórmula tarifaria para los servicios de acueducto y alcantarillado;
Que, de conformidad con lo estipulado en el numeral 11.3 del artículo 11 del Decreto 2696 de 2004, dichos estudios constituyen elementos de juicio para la Comisión y en consecuencia no la comprometen;
Que en virtud de lo dispuesto en el numeral 11.4 del artículo 11 del Decreto 2696 de 2004, tres (3) meses antes de la fecha prevista para que inicie el período de vigencia de las fórmulas tarifarias, se deberá hacer público en la página Web de la Comisión, los proyectos de metodologías y de fórmulas, los estudios respectivos y el texto del proyecto de resolución. Por lo anterior, se somete a discusión el presente proyecto de resolución, de manera que el mismo, sea analizado y socializado, con el fin de que los interesados presenten observaciones o propuestas relacionadas con el proyecto de metodología tarifaria de los servicios públicos de acueducto y alcantarillado para prestadores que atiendan menos de 2.500 suscriptores;
Que de acuerdo con lo establecido en el artículo 7o de la Ley 1340 del 24 de julio de 2009, “por medio de la cual se dictan normas en materia de protección a la competencia”, la Superintendencia de Industria y Comercio podrá rendir concepto previo sobre los proyectos de regulación que puedan incidir sobre la libre competencia en los mercados. En este sentido, el artículo mencionado contempla: “Para estos efectos las autoridades de regulación informarán a la superintendencia de industria y comercio de los actos administrativos que se pretendan expedir”;
Que en mérito de lo expuesto, la Comisión de Regulación de Agua Potable y Saneamiento Básico,
RESUELVE:
ARTÍCULO 1o. Hacer público el proyecto de resolución “por la cual se presenta el proyecto de resolución: “Por la cual se establece la metodología tarifaria de los servicios públicos domiciliarios de acueducto y alcantarillado para prestadores que atiendan menos de 2.500 suscriptores”” y se da cumplimiento a lo previsto por el numeral 11.4 de artículo 11 del Decreto 2696 de 2004” en los siguientes términos:
“RESOLUCION CRA NUMERO … DE 2009”
“(… DE … DE 2009)”
“Por la cual se establece la metodología tarifaria de los servicios públicos domiciliarios de acueducto y alcantarillado para prestadores que atiendanmenos de 2.500 suscriptores”.
“La Comisión de Regulación de Agua Potable y Saneamiento Básico”, “en ejercicio de las facultades legales, en especial de las conferidas en la Ley 142 de 1994, y en los Decretos 1524 de 1994, y 2882 de 2007, y
CONSIDERANDO:
Que el artículo 334 de la Constitución Política de Colombia consagra que la dirección general de la economía estará a cargo del Estado, el cual intervendrá por mandato de la ley, entre otras actividades, en los servicios públicos y privados, para racionalizar la economía con el fin de conseguir el mejoramiento de la calidad de vida de los habitantes, la distribución equitativa de las oportunidades y los beneficios del desarrollo y la preservación de un ambiente sano;
Que el artículo 365 de la Constitución Política de Colombia dispone que los servicios públicos son inherentes a la finalidad social del Estado y que es deber del Estado asegurar su prestación eficiente a todos los habitantes del territorio nacional;
Que el artículo 367 de la Constitución Política de Colombia determina que la ley fijará las competencias relativas a la prestación de los servicios públicos domiciliarios, su cobertura, calidad y financiación, el régimen tarifario y las entidades competentes para fijar las tarifas;
Que el artículo 370 del Ordenamiento Constitucional, prevé que corresponde al Presidente de la República señalar, con sujeción a la ley, las políticas generales de administración y control de eficiencia de los servicios públicos domiciliarios y ejercer por medio de la Superintendencia de Servicios Públicos Domiciliarios, el control, la inspección y vigilancia de las entidades que los presten;
Que el artículo 68 de la Ley 142 de 1994 establece que el señalamiento de las políticas a que hace referencia el artículo 370 de la Constitución Política de Colombia, se podrá delegar en las Comisiones de Regulación;
Que en virtud de lo anterior, el Presidente de la República mediante Decreto 1524 de 1994, delegó las funciones Presidenciales de señalar políticas generales de administración y control de eficiencia en los servicios públicos domiciliarios, en las Comisiones de Regulación;
Que el artículo 2o de la Ley 142 de 1994 señala que el Estado intervendrá en los servicios públicos, en el marco de lo dispuesto en los artículos 334, 336, y 365 a 370 de la Constitución Política de Colombia para, entre otros, asegurar su prestación eficiente;
Que el artículo 3o ibídem preceptúa que constituyen instrumentos para la intervención estatal en los servicios públicos, todas las atribuciones y funciones asignadas a las entidades, autoridades y organismos de que trata dicha ley, especialmente las relativas, entre otras, a la regulación de la prestación de los servicios públicos, teniendo en cuenta las características de cada región; a la fijación de metas de eficiencia, cobertura y calidad, evaluación de las mismas, y a la definición del régimen tarifario;
Que, de conformidad con el numeral 14.10 del artículo 14 de la Ley 142 de 1994, la libertad regulada, es el régimen de tarifas mediante el cual la Comisión de Regulación respectiva fija los criterios y la metodología con arreglo a los cuales las empresas de servicios públicos domiciliarios pueden determinar o modificar los precios máximos para los servicios ofrecidos al usuario o consumidor;
Que de conformidad con el numeral 14.18 del artículo 14 de la Ley 142 de 1994, la regulación de los servicios públicos domiciliarios es la facultad de dictar normas de carácter general o particular en los términos de la Constitución y de dicha ley, para someter la conducta de las personas que prestan los servicios públicos domiciliarios a las reglas, normas, principios y deberes establecidos por la ley y los reglamentos;
Que el artículo 73 de la Ley 142 de 1994 establece las funciones y facultades generales de las Comisiones de Regulación y en la misma disposición se establece que estas unidades Administrativas Especiales: “(...) tienen la función de regular los monopolios en la prestación de los servicios públicos, cuando la competencia no sea, de hecho, posible; y, en los demás casos, la de promover la competencia entre quienes presten servicios públicos, para que las operaciones de los monopolistas o de los competidores sean económicamente eficientes, no impliquen abuso de la posición dominante, y produzcan servicios de calidad. Para ello tendrán las siguientes funciones y facultades especiales: (...)”;
Que el numeral 74.2 del artículo 74 de la precitada ley, establece como función especial de la Comisión de Regulación de Agua Potable y Saneamiento Básico: “(...) adoptar reglas de comportamiento diferencial, según la posición de las empresas en el mercado”;
Que el régimen tarifario aplicable a los servicios públicos domiciliarios, de conformidad con el numeral 86.4 del artículo 86 ibídem, está compuesto por reglas relativas a procedimientos, metodologías, fórmulas, estructuras, estratos, facturación, opciones, valores y, en general, todos los aspectos que determinan el cobro de las tarifas;
Que el artículo 87 ibídem preceptúa que el régimen tarifario estará orientado por los criterios de eficiencia económica, neutralidad, solidaridad, redistribución, suficiencia financiera, simplicidad y transparencia;
Que, de conformidad con lo establecido en el artículo 88 de la Ley 142 de 1994, al fijar sus tarifas, las empresas de servicios públicos se someterán al régimen de regulación, definido por la respectiva Comisión de Regulación;
Que, de conformidad con lo previsto en el numeral 88.1 del artículo 88 ibídem, las empresas deberán ceñirse a las fórmulas que defina periódicamente la respectiva Comisión para fijar sus tarifas. La Comisión de Regulación, de acuerdo con los estudios de costos, podrá establecer topes máximos y mínimos tarifarios, de obligatorio cumplimiento por parte de las empresas; e igualmente podrá definir las metodologías para la fijación de tarifas, si conviene en aplicar el régimen de libertad regulada o vigilada, o un régimen de libertad;
Que de conformidad con lo previsto en el artículo 90 de la Ley 142 de 1994, los elementos de las fórmulas tarifarias, sin perjuicio de otras alternativas que puedan definir las Comisiones de Regulación, podrán incluir un cargo por unidad de consumo, un cargo fijo y un cargo por aportes de conexión, cuyo cobro en ningún caso podrá contradecir el principio de la eficiencia, ni trasladar al usuario los costos de una gestión ineficiente o extraer beneficios de posiciones dominantes o de monopolio;
Que el artículo 91 de la precitada ley señala que “Para establecer las fórmulas de tarifas se calculará por separado, cuando sea posible, una fórmula para cada una de las diversas etapas del servicio”;
Que el artículo 92 ibídem dispone que: “En las fórmulas de tarifas las Comisiones de Regulación garantizarán a los usuarios a lo largo del tiempo los beneficios de la reducción promedia de costos en las empresas que prestan el servicio; y, al mismo tiempo, darán incentivos a las empresas para ser más eficientes que el promedio, y para apropiarse los beneficios de la mayor eficiencia”;
Que los incisos 2o y 3o del mismo artículo señalan que, con ese propósito, al definir en las fórmulas los costos y gastos típicos de operación de las empresas de servicios públicos, las Comisiones utilizarán no sólo la información propia de la empresa, sino la de otras empresas que operen en condiciones similares, pero que sean más eficientes;
Que de conformidad con lo previsto en el artículo 160 de la Ley 142 de 1994, cuando la Comisión de Regulación de Agua Potable y Saneamiento Básico aplique las normas de su competencia, deberá dar prioridad al objetivo de extender y mantener la cobertura de estos servicios, de tal forma que, sin renunciar a los objetivos de obtener mejoras en la eficiencia, competencia y calidad, estos se logren extendiendo y/o manteniendo la cobertura;
Que el artículo 163 ibídem establece que las fórmulas tarifarias, además de tomar en cuenta los costos de expansión y reposición de los sistemas de agua potable y saneamiento básico, incluirán los costos de administración, operación y mantenimiento asociados con el servicio. Además, tendrán en cuenta indicadores de gestión operacional y administrativa, definidos de acuerdo con indicadores de personas prestadoras comparables más eficientes que operen en condiciones similares. Incluirán también un nivel de pérdidas aceptable según la experiencia de otras empresas eficientes;
Que la regulación es el instrumento del que dispone el Estado para intervenir en la economía y someter mediante establecimiento de normas de carácter general y particular, a los actores que intervienen en un mercado, con el objeto de evitar abusos de la posición dominante, las prácticas restrictivas a la competencia cuando ella sea posible, y el establecimiento de monopolios, garantizando así el disfrute efectivo de los derechos y la satisfacción de las necesidades básicas de los ciudadanos;
Que el artículo 126 de la Ley 142 de 1994, estableció que las fórmulas tarifarias tendrán una vigencia de cinco años y, que vencido dicho período, estas continuarán rigiendo mientras la Comisión no fije unas nuevas;
Que mediante la Resolución 287 de 2004, la CRA estableció la metodología tarifaria para regular el cálculo de los costos de prestación de los servicios de acueducto y alcantarillado;
Que la fórmula tarifaria allí establecida se estructura a través de componentes, de acuerdo con la naturaleza de los costos en que incurren los prestadores de los servicios públicos domiciliarios de acueducto y alcantarillado, relacionados con los procesos de administración, operación e inversión. Así mismo, la fórmula incorpora un componente que reconoce los costos derivados de tasas ambientales;
Que la citada resolución, realizó la segmentación del mercado y definió las metodologías de costos y tarifas para las personas prestadoras de los servicios públicos domiciliarios con menos de 2.500 suscriptores, sobre los componentes administrativos, operativos y de inversión, estableciendo una metodología diferenciada;
Que en virtud del criterio de suficiencia financiera, la aplicación de las fórmulas tarifarias permite la recuperación de los costos y gastos propios de la prestación del servicio;
Que los recursos recaudados vía tarifa deberán estar destinados a cubrir todos los costos y gastos en que se incurre para la prestación de los servicios públicos domiciliarios de acueducto y alcantarillado;
Que el valor incluido en el componente de inversión del estudio de costos debe ser destinado a financiar las inversiones que requiera el sistema, lo cual será verificado de acuerdo con la ejecución de un plan de inversiones y el cumplimiento de sus metas;
Que el numeral 87.4 del artículo 87 de la Ley 142 de 1994 dispone que por suficiencia financiera “(...) se entiende que las fórmulas de tarifas garantizarán la recuperación de los costos y gastos propios de operación, incluyendo la expansión, la reposición y el mantenimiento; permitirán remunerar el patrimonio de los accionistas en la misma forma en la que lo habría remunerado una empresa eficiente en un sector de riesgo comparable (...)”;
Que, de acuerdo con lo señalado por la Resolución CRA 287 de 2004, dentro de los planes de inversión sólo podrían ser incluidos los activos relacionados con la prestación del servicio, obedeciendo a metodologías de costo mínimo y cuellos de botella;
Que dado que la metodología de cálculo de los costos de inversión establecida en la presente resolución, contempla todos los componentes de cada actividad, el prestador deberá realizar los ajustes pertinentes a fin de que se cubran sólo los costos de inversión en los que incurrirá, cuando las necesidades de inversión no contemplen la totalidad de dichos componentes por actividad;
Que, como lo ha señalado la Honorable Corte Constitucional en Sentencia C-041 de 2003, “El tema de los servicios públicos comprende una de las materias de mayor sensibilidad en la opinión colectiva, sobre todo después del abandono del concepto de servicios públicos gratuitos que tantas expectativas causó en los comienzos del Estado Social de Derecho. Hoy en día esa gratuidad ha sido abandonada quedando supérstite en pocos servicios como la Justicia (artículo 229 C. N.) o la educación (artículo 67 C. N.), o la salud (artículos 49 y 50 C. N.), de manera más o menos parcial. Actualmente los servicios públicos son onerosos, surgiendo la obligación para las personas y los ciudadanos de contribuir al financiamiento de los gastos e inversiones del Estado dentro de conceptos de justicia y equidad (numeral 8, artículo 95 y artículo 368 ibídem)”.
“La determinación de los costos de los servicios, implica la evaluación de un conjunto de factores que va desde la cobertura y oportunidad en su prestación hasta la eficiencia y clasificación de los distintos tipos de usuarios de los mismos. Si a esto se agrega la circunstancia de que para impulsar el desarrollo de un país, se requiere que sus habitantes dispongan de agua potable, energía eléctrica, medios de comunicación, etc., se aprecia la dimensión del esfuerzo del legislador a fin de conciliar la realidad con los objetivos de justicia social que se encuentran en el origen y justificación de la organización de los servicios públicos”;
Que, si bien es cierto que los servicios públicos tienen carácter oneroso, también lo es que, según lo establecido en el numeral 87.9 del artículo 87 de la Ley 142 de 1994, subrogado mediante artículo el 143 de la Ley 1151 de 2007:
“Las entidades públicas podrán aportar bienes o derechos a las empresas de servicios públicos domiciliarios, siempre y cuando su valor no se incluya en el cálculo de las tarifas que hayan de cobrarse a los usuarios y que en el presupuesto de la entidad que autorice el aporte figure este valor. Las Comisiones de Regulación establecerán los mecanismos necesarios para garantizar la reposición y mantenimiento de estos bienes.
Lo dispuesto en el presente artículo, no es aplicable cuando se realice enajenación o capitalización respecto de dichos bienes o derechos”;
Que, de acuerdo con el numeral 14.12 del artículo 14 de la Ley 142 de 1994, los planes de inversión tienen como objetivo el desarrollo de proyectos que garanticen la continuidad, calidad y confiabilidad en el suministro del servicio;
Que para la adecuada definición del plan de inversiones, se deberá cumplir con las etapas que forman parte de la fase de pre-inversión de un proyecto, las cuales incluyen preparación, prefactibilidad, factibilidad y evaluación del riesgo;
Que de conformidad con el artículo 50 del Capítulo IX del Título I de la Resolución 1096 de 2000 “Reglamento Técnico del Sector de Agua Potable y Saneamiento Básico (RAS)”, expedida por el entonces Ministerio de Desarrollo Económico, el diseño de cualquier sistema en el sector de agua potable y saneamiento básico, debe someterse a una evaluación socioeconómica y estar sujeto a un plan de construcción, operación, mantenimiento y expansión de mínimo costo;
Que siguiendo lo establecido en el artículo 14 del Capítulo IV del Título I de la misma resolución, las Entidades Territoriales, las personas prestadoras de servicios públicos y otras que promuevan y desarrollen inversiones en el sector, deben identificar claramente los proyectos de infraestructura cuyo desarrollo es prioritario en su jurisdicción, en relación con el sector de agua potable y saneamiento básico, con el propósito de satisfacer necesidades inherentes al sector, racionalizando los recursos e inversiones, de forma que se garantice la sostenibilidad económica de los proyectos;
Que el artículo 197 ibídem señala que debe realizarse un análisis de vulnerabilidad para cada sistema, el cual servirá de base para la realización del plan de contingencia;
Que, de acuerdo con el título G – Aspectos Complementarios – del Reglamento Técnico del Sector de Agua Potable y Saneamiento Básico (RAS-2000), se debe realizar la intervención de la vulnerabilidad para la reducción de los riesgos en general de todos los sistemas de agua potable y saneamiento básico, que estén en proyecto o en funcionamiento;
Que el literal i) del artículo 5o del Decreto 3102 de 1997 señala que es obligación de los prestadores del servicio público domiciliario de acueducto “Elaborar un plan de contingencia, en donde se definan las alternativas de prestación del servicio en situaciones de emergencia”;
Que el artículo 164 de la Ley 142 de 1994 ordenó que para garantizar el adecuado ordenamiento y protección de las cuencas y fuentes de agua, las fórmulas tarifarias de acueducto y alcantarillado deben incorporar elementos que garanticen el cubrimiento de los costos de protección de las fuentes de agua y la recolección, transporte y tratamiento de los residuos líquidos. De igual manera, que los prestadores de servicios del sector de agua potable y saneamiento básico deben pagar las tasas por utilización de aguas y las tasas retributivas por la utilización directa del agua como receptor de vertimientos puntuales, fijadas por la autoridad competente;
Que la reglamentación de las tasas por utilización de aguas y de las tasas retributivas por la utilización directa del agua como receptor de vertimientos puntuales, corresponde al Ministerio de Ambiente, Vivienda y Desarrollo Territorial;
Que el Ministerio de Ambiente, Vivienda y Desarrollo Territorial, expidió el Decreto 4742 de 2005, “por el cual se modifica el artículo 12 del Decreto 155 de 2004 mediante el cual se reglamenta el artículo 43 de la Ley 99 de 1993 sobre tasas por utilización de aguas”;
Que para la reglamentación de las tasas retributivas por la utilización directa del agua como receptor de vertimientos puntuales, el Ministerio de Ambiente, Vivienda y Desarrollo Territorial, expidió el Decreto 3100 de 2003, “por el cual se modifica el artículo 12 del Decreto 155 de 2004 mediante el cual se reglamenta el artículo 43 de la Ley 99 de 1993 sobre tasas por utilización de aguas”;
Que el Ministerio de Ambiente, Vivienda y Desarrollo Territorial, expidió el Decreto 3440 de 2004, “por el cual se modifica el Decreto 3100 de 2003 y se adoptan otras disposiciones”;
Que corresponde a la Comisión de Regulación de Agua Potable y Saneamiento Básico incorporar en las fórmulas tarifarias de los servicios públicos de acueducto y alcantarillado elementos que garanticen el cubrimiento de los costos derivados estas tasas;
Que mediante la Resolución CRA 287 de 2004, la Comisión determinó la inclusión del Costo Medio de Tasas Ambientales en la metodología tarifaria, como un componente explícito dentro del cargo por consumo para la prestación de los servicios públicos domiciliarios de acueducto y alcantarillado;
Que el artículo 3o de la Ley 142 de 1994 establece que “Todos los prestadores quedarán sujetos, en lo que no sea incompatible con la constitución o con la ley, a todo lo que la ley dispone para las empresas y sus administradores y, en especial, a las regulaciones de las comisiones, al control, inspección y vigilancia de la Superintendencia de Servicios Públicos, y a las contribuciones para aquellas y esta”;
Que el artículo 14 de la Ley 689 de 2001 determinó que corresponde a la Superintendencia de Servicios Públicos Domiciliarios, en desarrollo de sus funciones de inspección y vigilancia, establecer, administrar, mantener y operar un sistema único de información que se surtirá de la información proveniente de los prestadores de servicios públicos, el cual tendrá entre sus propósitos el de apoyar las funciones asignadas a las Comisiones de Regulación;
Que el artículo 15 de la Ley 689 de 2001 determinó que corresponde a la Superintendencia de Servicios Públicos Domiciliarios elaborar el formato único de información que sirva de base para alimentar el sistema único de información, para lo cual deberá tener en cuenta, entre otros, los criterios, características, indicadores y modelos de carácter obligatorio que permitan evaluar la gestión y resultados de los prestadores de servicios públicos y las necesidades y requerimientos de información de las comisiones de regulación;
Que la aplicación por parte de los pequeños prestadores de lo dispuesto en la presente resolución, no los exonera del reporte de información a la Superintendencia de Servicios Públicos Domiciliarios;
Que a través de análisis estadísticos de las variables asociadas con los costos administrativos de los servicios públicos domiciliaros de acueducto y alcantarillado por parte de los prestadores con menos de 2.500 suscriptores, se encontraron evidencias que justifican, con base en características económicas y financieras establecer una diferenciación entre prestadores que atiendan menos de 600 suscriptores y prestadores que atiendan hasta 2.500 suscriptores, definiendo condiciones en la metodología acorde con su tamaño;
Que por lo anteriormente expuesto, la Comisión de Regulación de Agua Potable y Saneamiento Básico,
RESUELVE:
TITULO I.
ASPECTOS GENERALES.
Artículo 1o. Ambito de aplicación. Esta resolución se aplica a todos los prestadores de los servicios públicos domiciliarios de acueducto y alcantarillado que atiendan menos de 2.500 suscriptores, salvo las excepciones contenidas en la ley.
Artículo 2o. Factura al suscriptor o usuario. Las facturas para usuarios de los servicios públicos domiciliarios de acueducto y alcantarillado se calcularán de acuerdo con las siguientes fórmulas:
![]()
Fac: Factura de acueducto del suscriptor o usuario
Costo de Referencia_ac: El costo económico de referencia para la prestación del servicio público domiciliario de acueducto, establecido de acuerdo con lo señalado en el artículo 3o de la presente resolución.
VCS_ac: Valor de contribución o subsidio correspondiente a cada suscriptor o usuario, aplicable para el servicio público domiciliario de acueducto, determinado por estrato o tipo de uso de acuerdo con la normatividad aplicable.
Desc_cal_ac: Descuento aplicable a cada suscriptor o usuario del servicio público domiciliario de acueducto, de acuerdo con la regulación que establezca la Comisión de Regulación, para tal efecto.
![]()
Falc: Factura de alcantarillado del suscriptor o usuario.
Costo de Referencia_alc: El costo económico de referencia para la prestación del servicio público domiciliario de alcantarillado, establecido de acuerdo con lo señalado en el artículo 3o de la presente resolución.
VCS_alc: Valor de contribución o subsidio correspondiente al suscriptor o usuario, aplicable para el servicio público domiciliario de alcantarillado, determinado por estrato o tipo de uso de acuerdo con la normatividad aplicable.
Desc_cal_ac: Descuento aplicable a cada suscriptor o usuario del servicio público domiciliario de alcantarillado, de acuerdo con la regulación que establezca la Comisión de Regulación, para tal efecto.
Artículo 3o. Costo económico de referencia. El costo económico de referencia será establecido de manera independiente para los servicios públicos domiciliarios de acueducto y alcantarillado, aplicando los criterios y las metodologías establecidas en la presente resolución. Este costo, por servicio, resultará de la suma de los Costos Medios de Administración, determinados de acuerdo con lo definido en el Título II de la presente resolución, y del producto del Cargo por Consumo, determinado de acuerdo con lo definido en el Título III de la presente resolución, multiplicado por el consumo, correspondiente a cada período de facturación
Artículo 4o. Cuentas contables de referencia. Sin perjuicio de eventuales modificaciones o derogatorias a los códigos y descripciones a las referencias de las cuentas del PUC, para efectos de la presente resolución, la referencia a dichas cuentas corresponde al PUC establecido por la Superintendencia de Servicios Públicos Domiciliarios mediante Resolución SSPD número 2005-130-003363-5 del 28 de diciembre de 2005.
PARÁGRAFO 1o. En el evento que la Superintendencia de Servicios Públicos Domiciliarios modifique el PUC, la Comisión de Regulación de Agua Potable y Saneamiento Básico mediante resolución aclarará las cuentas contables de referencia, con el fin de garantizar un mejor entendimiento respecto del contenido de la presente resolución, sin que ello implique de modo alguno una modificación a la metodología tarifaria.
PARÁGRAFO 2o. Para la determinación de los costos de referencia los prestadores deberán asegurase de no incurrir en doble contabilización, incorporando un mismo costo en más de uno de los componentes que forman parte del servicio.
Artículo 5o. Exclusión de costos que no se relacionen con la prestación del servicio. Los prestadores deberán excluir de los costos que inciden en el valor de la factura final, todos aquellos rubros que se generen por actividades que no tengan relación directa con la prestación de los servicios públicos domiciliarios de acueducto y alcantarillado.
Artículo 6o. Año base. Para efectos de la presente resolución, se entenderá por año base el año 2008.
Artículo 7o. Sistema. Para efectos de la presente resolución, se entenderá por sistema a los elementos, componentes y métodos operacionales, necesarios para la prestación de los servicios públicos domiciliarios de acueducto y alcantarillado a un grupo de usuarios que se beneficien de dichos elementos, los cuales son utilizados por parte de un solo prestador.
TITULO II.
CARGO FIJO.
Artículo 8o. Costos Medios de Administración (CMA). El cargo fijo para cada uno de los servicios se determinará con base en los Costos Medios de Administración (CMA), los cuales deberán ser calculados de acuerdo con las siguientes disposiciones:
- Calcular los costos medios de administración, aplicando la siguiente fórmula, para cada servicio (acueducto y alcantarillado):

Donde:
Gastos de Administración. Incluye los gastos administrativos, los gastos asociados a la comercialización, y a los demás servicios permanentes, en el año base, para garantizar que el usuario pueda disponer del servicio sin solución de continuidad y con eficiencia.
Número de Suscriptores: número promedio mensual de suscriptores facturados del servicio (Acueducto o Alcantarillado) en el año base de cálculo para el estudio de costos.
- Se tomará como base para el cálculo del costo medio de administración, la información contenida en las siguientes cuentas del Plan Unico de Cuentas (PUC) reportado por los prestadores, en las dos vigencias inmediatamente anteriores al año de estimación del Costo Medio de Administración (CMA) a precios del año base:
- 5101 Sueldos y salarios
- 5102 Contribuciones imputadas
- 5103 Contribuciones efectivas
- 5104 Aportes sobre la nómina
- 5111 Generales
- 5120 Impuestos, Contribuciones y Tasas
- 5330 Depreciación de propiedades, planta y equipo
- 5340 Amortización de propiedades planta y equipo
- 5344 Amortización de bienes entregados a terceros
- 5345 Amortización de intangibles
De la cuenta de gastos de administración, se excluirán las siguientes subcuentas:
- 510206 Pensiones de jubilación
- 510207 Cuotas partes de pensiones de jubilación
- 510208 Indemnizaciones sustitutivas
- 510209 Amortización cálculo actuarial pensiones actuales
- 510210 Amortización cálculo actuarial de futuras pensiones
- 510211 Amortización cálculo actuarial de cuotas partes de pensiones
- 510212 Amortización de la liquidación provisional de cuotas partes de bonos pensionales
- 510213 Amortización de cuotas partes de bonos pensionales emitidos
- 510214 Cuotas partes de bonos pensionales emitidos
- 511141 Sostenimiento de semovientes
- 533002 Plantas, ductos y túneles
- 533003 Redes, líneas y cables
- 533005 Equipo médico y científico
- 534001 Semovientes
- 534501 Crédito mercantil
- 534502 Marcas
- 534503 Patentes
- 534504 Concesiones y franquicias
- 534505 Derechos
- 534506 Know How
- 534590 Otros intangibles
Los gastos que se incluyan dentro del cálculo del CMA deberán corresponder a aquellos que estén directamente relacionados con la prestación de los servicios públicos domiciliarios de acueducto y alcantarillado.
PARÁGRAFO 1o. De forma alternativa, los prestadores podrán calcular los costos medios de administración totales y asignar a cada servicio, la proporción de los costos que generan.
PARÁGRAFO 2. En todo caso, el costo medio de administración para el servicio público domiciliario de acueducto (CMAac) se debe encontrar dentro del siguiente rango, expresado en pesos de diciembre de 2008:
$2.300 < CMAac < $5.000
Asimismo, el costo medio de administración para el servicio público domiciliario de alcantarillado (CMAal), se debe encontrar dentro del siguiente rango, expresado en pesos de diciembre de 2008:
$1.150 < CMAal < $2.500
PARÁGRAFO 3o. Para los prestadores que atienden menos de 600 suscriptores el costo medio de administración, para cada servicio, podrá estar por debajo de los valores mínimos establecidos en el Parágrafo 2 del presente artículo, en la medida en que esté sustentado en la información contenida en el Plan Unico de Cuentas que carguen al Sistema Unico de Información (SUI).
TITULO III.
CARGO POR CONSUMO.
Artículo 9o. Cargo por consumo para la prestación de los servicios públicos domiciliarios de acueducto y alcantarillado. El cargo para todos los rangos de consumo se determinará para cada servicio por sistema y se dividirá en tres componentes: el costo medio de operación y mantenimiento (CMO), el Costo Medio de Inversión (CMI) y el costo medio de tasas ambientales (CMT).

CCac: Cargo por consumo en Acueducto.
CCal: Cargo por consumo en Alcantarillado.
CMOac: Costo Medio de Operación y Mantenimiento en Acueducto.
CMOal: Costo Medio de Operación y Mantenimiento en Alcantarillado.
CMIac: Costo Medio de Inversión en Acueducto.
CMIal: Costo Medio de Inversión en Alcantarillado.
CMTac: Costo Medio por tasas ambientales en Acueducto.
CMTal: Costo Medio por tasas ambientales en Alcantarillado.
PARÁGRAFO. Los valores unitarios y totales cobrados al usuario por concepto de las tasas ambientales para acueducto y alcantarillado deberán hacerse explícitos en la factura.
CAPITULO I.
COSTO MEDIO DE OPERACIÓN.
Artículo 10. Costos Medios de Operación (CMO). Los prestadores de los servicios públicos domiciliarios de acueducto y/o alcantarillado que atiendan menos de 2.500 suscriptores deben adoptar las siguientes disposiciones:
- Calcular los costos medios de operación, aplicando las siguientes fórmulas, para cada servicio (acueducto y alcantarillado):
– Costo Medio de Operación de Acueducto (CMOac)
– Costo Medio de Operación de Alcantarillado (CMOal)
Donde:
Costos de Operación. Se incluyen todos los costos de operación en que incurre el prestador en los diferentes procesos en el año base.
m³ producidos. Agua producida en el sistema de acueducto (medida a la salida de la planta) correspondiente al año base del estudio de costos.
m³ vertidos. Sumatoria de vertimientos facturados por el prestador, asociados al consumo de acueducto y fuentes alternas, correspondiente al año base.
p*. Nivel aceptable de pérdidas, calculado de acuerdo con la metodología definida por la CRA
- Se tomará como base para el cálculo del costo medio de operación, la información contenida en las siguientes cuentas del Plan Unico de Cuentas (PUC) reportado por los prestadores, en las dos vigencias inmediatamente anteriores al año de estimación del Costo Medio de Operación (CMO) a precios del año base:
- 7505 Servicios personales
- 7510 Generales
- 7515 Depreciaciones
- 7517 Arrendamientos
- 7537 Consumo de insumos directos
- 7540 Ordenes y contratos de mantenimiento y reparaciones
- 7542 Honorarios
- 7545 Servicios públicos
- 7550 Materiales y otros costos de operación
- 7560 Seguros
- 7565 Impuestos y tasas
- 7570 Ordenes y contratos por otros servicios
De las cuentas anteriores se excluirán las siguientes subcuentas:
- 750569 Indemnizaciones sustitutivas
- 750562 Amortización del cálculo actuarial de futuras pensiones
- 751042 Sostenimiento de semovientes
- 751501 Depreciación de edificaciones
- 751502 Depreciación de plantas, ductos y túneles
- 751503 Depreciación redes, líneas y cables
- 751504 Depreciación de maquinaria y equipo
- 751505 Depreciación equipo médico y científico
- 751506 Depreciación muebles, enseres y equipo de oficina
- 751508 Depreciación equipos centros de control
- 751510 Depreciación equipo de comedor, cocina, despensa y hotelería
- 751511 Depreciación bienes adquiridos en leasing financiero
- 755007 Elementos y accesorios de energía
- 755008 Elementos y accesorios de gas combustible
- 755009 Elementos y accesorios de telecomunicaciones
- 755012 Elementos y accesorios de aseo
- 757004 Toma de lecturas
- 757005 Entrega de facturas
En ningún caso se podrá incluir dentro de los costos operativos aquellos relacionados con el pasivo pensional del prestador.
Dentro de la cuenta Honorarios (7542) se deberán excluir, para efectos del cálculo de los costos, aquellos relacionados con proyectos de inversión.
Los costos que se incluyan dentro del cálculo del CMO deberán corresponder a aquellos que estén directamente relacionados con la prestación de los servicios públicos domiciliarios de acueducto y alcantarillado.
PARÁGRAFO 1o. De forma alternativa, los prestadores podrán calcular los costos medios de operación totales y asignar a cada servicio, la proporción de los costos que generan.
PARÁGRAFO 2o. En todo caso, el costo medio de operación para el servicio público domiciliario de acueducto (CMOac en $/m³) se debe encontrar dentro del siguiente rango, expresado en pesos de diciembre de 2008:
$200 < CMOac < $850
Asimismo, el costo medio de operación para el servicio público domiciliario de alcantarillado (CMOal), se debe encontrar dentro del siguiente rango, expresado en pesos de diciembre de 2008:
$100 < CMOal < $425
PARÁGRAFO 3o. El prestador deberá verificar que dentro de los arrendamientos incluidos en la cuenta 7517, no se encuentren considerados aquellos relacionados con el pago del alquiler del sistema de prestación del servicio, en caso de que el prestador no sea propietario del mismo.
CAPITULO II.
Costo medio de inversión.
Artículo 11. Inversiones no afectas a la prestación del servicio. Para efectos de la presente resolución, se entenderá por inversiones no afectas a la prestación del servicio, aquellas no involucradas con los procesos operativos del sistema o aquellas que explícitamente se excluyan por virtud de esta resolución.
PARÁGRAFO. Se permitirá la recuperación de las inversiones ambientales, tales como la recuperación de cuencas y reforestación, exclusivamente en los casos que determine la ley.
Artículo 12. Costos Medios de Inversión (CMI). Los prestadores que atiendan menos de 2.500 suscriptores deberán calcular el Costo Medio de Inversión (CMI), considerando lo siguiente:
– Los costos de inversión pueden estar destinados a:
1. Mejoramiento del nivel de servicio dado por expansiones de capacidad en cada componente o actividad (expansión).
2. Rehabilitación o reposición de activos del sistema, lo cual permite mantener la capacidad instalada en cada componente o actividad.
Los prestadores deben proyectar inversiones que estén sujetas a los requisitos de calidad de agua vigentes, tanto para el servicio público domiciliario de acueducto como para el de alcantarillado. Asimismo, se pueden considerar inversiones destinadas a la reducción del nivel de pérdidas de agua en los sistemas.
El cálculo del Costo Medio de Inversión (CMI) se debe realizar, para cada servicio (acueducto y alcantarillado), usando la siguiente fórmula:

Donde:
S = Es la función suma para cada actividad i de los servicios públicos domiciliarios de acueducto y alcantarillado.
Expansión (%)= Suscriptores beneficiados por la inversión en expansión, calculado como un porcentaje del total de suscriptores en el año base del estudio de costos.
Rehabilitación (%) = Suscriptores beneficiados por la inversión en rehabilitación, calculado como un porcentaje del total de suscriptores en el año base del estudio de costos
CMIu ($/m3/ 1% de suscriptores)= Costo Medio de Inversión asociado a un 1% de suscriptores beneficiados (En pesos de diciembre de 2008)
La definición del CMIu, estará dada por:
I. Servicio de Acueducto
1. Conducción y distribución
CMIu ($/m³/1% de suscriptores)
| Rangos de Cobertura del Sistema-Año Base (%) | Mínimo | Máximo |
| 0-50 | 45,68 | 97,24 |
| 51-100 | 41,49 | 79,36 |
2. Tratamiento de agua
CMIu ($/m³/1% de suscriptores)
| Porcentaje de caudal demandado tratado-Año Base (%) | Mínimo | Máximo |
| 0-50 | 1,40 | 7,50 |
| 51-100 | 1,08 | 5,80 |
II. Alcantarillado
3. Recolección y transporte de aguas residuales (Alcantarillado Sanitario)
CMIu ($/m³/1% de suscriptores)
| Rangos de Cobertura del Sistema-Año Base (%) | Mínimo | Máximo |
| 0-50 | 89,38 | 144,16 |
| 51-100 | 84,46 | 136,23 |
4. Recolección y transporte de aguas lluvias (Alcantarillado Pluvial)
CMIu ($/m³/1% de suscriptores)
| Rangos de Cobertura del Sistema-Año Base (%) | Mínimo | Máximo |
| 0-50 | 29,33 | 44,47 |
| 51-100 | 26,55 | 34,32 |
5. Recolección y transporte de aguas combinadas (Alcantarillado Combinado)
CMIu ($/m³/1% de suscriptores)
| Rangos de Cobertura del Sistema-Año Base (%) | Mínimo | Máximo |
| 0-50 | 102,62 | 214,44 |
| 51-100 | 88,69 | 166,09 |
PARÁGRAFO 1o. Los rangos de CMIu establecidos en el presente artículo, suponen que la inversión estará destinada a proyectos de expansión o rehabilitación que contemplan todos los componentes de cada actividad. En la medida en que las necesidades de inversión no contemplen la totalidad de dichos componentes por actividad, el prestador deberá realizar los ajustes pertinentes a fin de que se cubran sólo los costos de inversión en los que efectivamente incurrirá.
PARÁGRAFO 2o. Los costos de inversión destinados a proyectos de tratamiento de aguas residuales se deberán considerar de forma independiente dentro del cálculo de los costos medios de inversión.
PARÁGRAFO 3o. Toda obra o inversión debe resolver una necesidad actual o futura del servicio, y deben ser planeadas, diseñadas y construidas de acuerdo con los requerimientos reales del servicio en el corto y mediano plazo.
PARÁGRAFO 4o. En concordancia con el artículo 87.9 de la Ley 142 de 1994, modificado por el artículo 143 de la Ley 1151 de 2007, los prestadores deberán realizar los ajustes necesarios en el cálculo de los costos medios de inversión, con el fin de no incluir en las tarifas los aportes bajo condición que correspondan a inversiones afectas inversión excluyendo el valor de los activos entregados a los prestadores de los servicios públicos domiciliarios de acueducto y alcantarillado por parte de urbanizadores y/o constructores en los términos del artículo 8o del Decreto 302 de 2000.
PARÁGRAFO 5o. Los ingresos recaudados a través del componente de inversión deberán estar destinados a la ejecución de las inversiones establecidas de acuerdo con las necesidades del servicio y las metas definidas por el prestador. En ningún caso estos recursos podrán ser destinados al cubrimiento de costos asociados con otros componentes de los servicios públicos domiciliarios de acueducto y alcantarillado.
CAPITULO III
Tasas ambientales
Artículo 13. Costo Medio de Tasas Ambientales (CMT). La referencia para determinar el componente de tasas ambientales para el servicio público domiciliario de acueducto será la normatividad ambiental, en relación con las tasas de uso de agua.
Para el servicio público domiciliario de alcantarillado la referencia será la normatividad relacionada con las tasas retributivas por la utilización directa del agua como receptor de vertimientos puntuales.
El costo medio de la tasa de uso se calculará de la siguiente forma:
Donde:
CMTac: Costo medio de la tasa de uso expresado en $/m3.
TU: Es la tasa por uso del agua en $/m3, facturada por la autoridad ambiental.
Fop: Factor de costo de oportunidad (adimensional), calculado según lo dispuesto en el artículo 11 del Decreto 0155 de 2004 del Ministerio de Ambiente, Vivienda y Desarrollo Territorial, o la norma que lo modifique, adicione o sustituya.
p*: Nivel aceptable de pérdidas, calculado de acuerdo con la metodología definida por la CRA.
El costo medio de la tasa retributiva se determinará por separado para los suscriptores con caracterización de los vertimientos y para aquellos sin caracterización de vertimientos, de la siguiente forma:
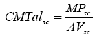
a) Costo medio de la tasa retributiva para los suscriptores sin caracterización vertimientos:
Donde:
MPsc: Monto total a pagar establecido conforme al Decreto 3100 de 2003 o el que lo modifique, adicione o sustituya, para los suscriptores sin caracterización, correspondiente al año vigente al cálculo tarifario.
AVsc: Sumatoria volúmenes vertidos, facturados por el prestador, asociados al consumo de acueducto y fuentes alternas de suscriptores sin caracterización.
Ci: Carga contaminante de la sustancia i estimada para los usuarios sin caracterización.
![]()
Tmi: Tarifa mínima del parámetro i al momento de la presentación del estudio.
Fri: Factor regional del parámetro i. Para el cálculo del costo medio siempre será 1, que es el valor aplicable si el prestador cumple las metas.
b) Costo medio de la tasa retributiva para cada suscriptor con caracterización de vertimientos:

Donde:
AVcj: Sumatoria de vertimientos facturados por el prestador, para el suscriptor j con caracterización.
MPcj: Monto total a pagar establecido conforme al Decreto 3100 de 2003 o el que lo modifique, adicione o sustituya, para el suscriptor j con caracterización, correspondiente a la última actualización base de la declaración de la tasa.
![]()
Cij: Carga contaminante de la sustancia i determinada para el usuario j con caracterización.
Tmi: Tarifa mínima del parámetro i al momento de la presentación del estudio.
Fri: Factor regional del parámetro i. Para el cálculo del costo medio siempre será 1, que es el valor aplicable si el prestador cumple las metas.
PARÁGRAFO 1o. A aquellos usuarios a los cuales se les realice la caracterización en un momento posterior a la expedición de la presente resolución, les aplicará el costo medio de tasas ambientales resultante del cálculo del CMTalcj, para usuarios con caracterización.
PARÁGRAFO 2o. Los valores unitarios y totales cobrados al usuario por concepto de las tasas ambientales para los servicios públicos domiciliarios de acueducto y alcantarillado deberán hacerse explícitos en la factura final.
Artículo 14. Determinación de los costos de referencia para sistemas atendidos por prestadores con más de 2.500 suscriptores. Aquel sistema que individualmente tenga menos de 2.500 suscriptores, pero sea operado por un prestador que maneje varios sistemas y que en conjunto atienda más de 2.500 suscriptores, deberá aplicar la metodología definida para prestadores con más de 2.500 suscriptores, calculando el CMA y el CMOc, de acuerdo con la regulación que establezca la Comisión de Regulación, para tal efecto.
TITULO VII.
IMPLEMENTACION.
Artículo 15. Revisión de información y plazos. Los prestadores de los servicios públicos domiciliarios de acueducto y alcantarillado deberán elaborar sus estudios de costos, en un plazo de seis meses contados a partir de la entrada en vigencia de la presente resolución.
Una vez elaborados los estudios de costos, serán remitidos a la Superintendencia de Servicios Públicos Domiciliarios y a la Comisión de Regulación de Agua Potable y Saneamiento Básico, en un lapso no mayor a quince (15) días calendario contados a partir del vencimiento del término establecido en el presente artículo, para que a más tardar el 1o de enero de 2011 sean aplicados por todos los prestadores de los servicios públicos domiciliarios de acueducto y alcantarillado.
PARÁGRAFO. Los prestadores deberán tener a disposición de los entes de regulación, vigilancia y control, los soportes y documentos que sustentan todos los cálculos del estudio de costos.
TITULO VIII.
DISPOSICIONES FINALES.
Artículo 16. Indexaciones. Una vez estimados los costos de prestación del servicio del año base, serán indexados con el IPC acumulado hasta el momento de su aplicación. De este momento en adelante, podrán ser indexados de conformidad con lo previsto en el artículo 125 de la Ley 142 de 1994.
Artículo 17. Vigencia. La presente resolución rige a partir de la fecha de su publicación en el Diario Oficial y deroga las disposiciones que le sean contrarias”.
“Publíquese y cúmplase”.
“Dada en Bogotá, D. C., a … de … de …”.
La Presidente,
LEYLA ROJAS MOLANO.
La Directora Ejecutiva,
ERICA JOHANA ORTIZ MORENO.
ARTÍCULO 2o. La Dirección Ejecutiva invita a los agentes del sector, a los suscriptores y/o usuarios, a la Superintendencia de Servicios Públicos Domiciliarios para que remitan, observaciones, reparos o sugerencias a la propuesta consagrada en el artículo 1o de la presente resolución, así como a los soportes técnicos que también se harán públicos en la página web www.cra.gov.co.
ARTÍCULO 3o. La Dirección Ejecutiva remitirá a todos los Gobernadores un documento con una explicación en lenguaje sencillo sobre el alcance de la propuesta de fórmulas tarifarias, el cual contendrá una invitación para que los interesados consulten la información a través de la página Web de la Comisión, de conformidad con lo dispuesto en el numeral 11.4 del artículo 11 del Decreto 2696 de 2004. Así mismo, se organizarán las consultas públicas conforme lo dispuesto en el decreto anteriormente mencionado.
ARTÍCULO 4o. <Ver prórroga del plazo en Notas de Vigencia> Las observaciones, reparos o sugerencias se recibirán en las instalaciones de la CRA ubicadas en la Carrera 7 No 71-52 Torre B Piso 4o de Bogotá, D. C., teléfono (1) 326 3820, en el correo electrónico correo@cra.gov.co o en el fax (1) 312 1900. El Subdirector Técnico de la Comisión de Regulación de Agua Potable y Saneamiento Básico, será la persona que recibirá las observaciones, reparos o sugerencia y atenderá las solicitudes de información sobre el proyecto, durante los tres (3) meses siguientes a la publicación de la presente resolución.
ARTÍCULO 5o. Remítase copia del presente proyecto de resolución a la Superintendencia de Industria y Comercio, con su respectivo documento de trabajo, con el fin de dar cumplimiento al artículo 7o de la Ley 1340 de 2009.
ARTÍCULO 6o. VIGENCIA. La presente resolución rige a partir de la fecha de su publicación en el Diario Oficial.
Publíquese y cúmplase.
Dada en Bogotá, D. C., a 22 de diciembre de 2009.
La Presidente,
LEYLA ROJAS MOLANO.
La Directora Ejecutiva,
ERICA JOHANA ORTIZ MORENO.