RESOLUCIÓN CRA 831 DE 2018
(febrero 27)
Diario Oficial No. 50.521 de 28 de febrero de 2018
COMISIÓN DE REGULACIÓN DE AGUA POTABLE Y SANEAMIENTO BÁSICO
Por la cual se presenta el proyecto de resolución, “por la cual se establece el régimen tarifario y metodología tarifaria aplicable a las personas prestadoras del servicio público de aseo que atiendan en municipios de hasta 5.000 suscriptores y se dictan otras disposiciones”, se da cumplimiento a lo establecido en el artículo 2.3.6.3.3.11 del Decreto número 1077 de 2015 y se inicia el proceso de discusión directa con los usuarios y agentes del sector.
LA COMISIÓN DE REGULACIÓN DE AGUA POTABLE Y SANEAMIENTO BÁSICO,
en ejercicio de sus facultades legales, en especial de las conferidas por la Ley 142 de 1994, los Decretos números 1524 de 1994, 2882 y 2883 de 2007 modificado por el Decreto número 2412 de 2015 y el Decreto número 1077 de 2015, y
CONSIDERANDO:
Que el artículo 2o de la Constitución Política de Colombia consagra como uno de los fines esenciales del Estado, facilitar la participación de todos en las decisiones que los afectan;
Que el inciso 3 del artículo 78 ibídem establece que el Estado garantizará la participación de consumidores y usuarios en el estudio de las disposiciones que les conciernen;
Que la Ley 1437 de 2011, “por la cual se expide el Código de Procedimiento Administrativo y de lo Contencioso Administrativo” en el artículo 8o, dispone que las entidades públicas deberán mantener a disposición de todas las personas, información completa y actualizada, entre otros aspectos, sobre “(…) los proyectos específicos de regulación y la información en que se fundamenten, con el objeto de recibir opiniones, sugerencias o propuestas alternativas. Para el efecto, deberán señalar el plazo dentro del cual se podrán presentar observaciones, de las cuales se dejará registro público. En todo caso la autoridad adoptará autónomamente la decisión que a su juicio sirva mejor el interés general (…)”;
Que el Capítulo 3, Sección 1 del Título 6 del Decreto número 1077 de 2015, señala las reglas mínimas para garantizar la divulgación y participación en las actuaciones de las Comisiones de Regulación;
Que el artículo 2.3.6.3.3.11 ibídem, señala que las Comisiones de Regulación, cuando adopten fórmulas tarifarias con una vigencia de cinco años, deberán regirse por el procedimiento previsto en los artículos 126 y 127 de la Ley 142 de 1994, y deben cumplir las reglas allí establecidas, entre esas, hacer público en su página web, con antelación no inferior a tres (3) meses a la fecha prevista para que inicie el período de vigencia de las fórmulas tarifarias, el proyecto de metodologías y de fórmulas, los estudios respectivos y el texto del proyecto de resolución;
Que de acuerdo con lo establecido en el artículo 7o de la Ley 1340 de 2009, “por medio de la cual se dictan normas en materia de protección a la competencia”, la Superintendencia de Industria y Comercio podrá rendir concepto previo sobre los proyectos de regulación que puedan incidir sobre la libre competencia en los mercados. En este sentido, el artículo mencionado contempla que: “Para estos efectos las autoridades de regulación informarán a la Superintendencia de Industria y Comercio de los actos administrativos que se pretendan expedir”;
Que teniendo en cuenta el artículo 2.2.2.30.5 del Decreto número 1074 de 2015, y habiendo diligenciado el cuestionario que para el efecto adoptó la Superintendencia de Industria y Comercio, se determinó que el presente proyecto de resolución no tiene incidencia sobre la libre competencia en los mercados;
Que, mediante el presente acto administrativo, la Comisión de Regulación de Agua Potable y Saneamiento Básico (CRA), dando cumplimiento a lo establecido en el artículo 2.3.6.3.3.11 del Decreto número 1077 de 2015, hace público el proyecto de resolución, “por la cual se establece el régimen tarifario y metodología tarifaria aplicable a las personas prestadoras del servicio público de aseo que atiendan en municipios de hasta 5.000 suscriptores y se dictan otras disposiciones”;
Que para garantizar la participación ciudadana de que trata la Constitución Política y la normatividad vigente, se hace necesario poner a consideración de la ciudadanía en general, el presente proyecto de resolución, para que sea discutido, analizado y socializado, con el fin de que los interesados presenten observaciones, reparos o sugerencias relacionados con el mismo;
Que en mérito de lo expuesto, la Comisión de Regulación de Agua Potable y Saneamiento Básico,
RESUELVE:
ARTÍCULO 1o. Hacer público el proyecto de resolución, “por la cual se establece el régimen tarifario y metodología tarifaria aplicable a las personas prestadoras del servicio público de aseo que atiendan en municipios de hasta 5.000 suscriptores y se dictan otras disposiciones”, en los siguientes términos:
RESOLUCIÓN CRA XXX DE 2018
(XX de XX de 2018)
por la cual se establece el régimen tarifario y metodología tarifaria aplicable a las personas prestadoras del servicio público de aseo que atiendan en municipios de hasta 5.000 suscriptores y se dictan otras disposiciones.
La Comisión de Regulación de Agua Potable y Saneamiento Básico, en ejercicio de sus facultades legales, en especial de las conferidas por la Ley 142 de 1994, los Decretos números 1524 de 1994, 2882 y 2883 de 2007 modificado por el Decreto número 2412 de 2015 y el Decreto número 1077 de 2015, y
CONSIDERANDO:
Que el artículo 365 de la Constitución Política prevé que los servicios públicos son inherentes a la finalidad social del Estado y que es deber del mismo asegurar su prestación eficiente a todos los habitantes del territorio nacional;
Que el artículo 367 ídem determina que la ley fijará las competencias relativas a la prestación de los servicios públicos domiciliarios, su cobertura, calidad y financiación, el régimen tarifario y las entidades competentes para fijar las tarifas;
Que el artículo 370 del Ordenamiento Constitucional, prevé que corresponde al Presidente de la República señalar, con sujeción a la ley, las políticas generales de administración y control de eficiencia de los servicios públicos domiciliarios;
Que el artículo 68 de la Ley 142 de 1994, establece que el señalamiento de esas políticas, se podrá delegar en las Comisiones de Regulación;
Que en virtud de lo anterior, el Presidente de la República mediante Decreto número 1524 de 1994, delegó las funciones Presidenciales de señalar políticas generales de administración y control de eficiencia en los servicios públicos domiciliarios, en las Comisiones de Regulación;
Que el artículo 3o de la Ley 142 de 1994 señala que constituyen instrumentos para la intervención estatal en los servicios públicos, todas las atribuciones y funciones asignadas a las entidades, autoridades y organismos de que trata dicha ley, especialmente las relativas, entre otras, a la definición del régimen tarifario;
Que el numeral 14.24 del artículo 14 ibídem, modificado por el artículo 1o de la Ley 632 de 2000 y por el artículo 1o de la Ley 689 de 2001, define el servicio público de aseo como “el servicio de recolección municipal de residuos, principalmente sólidos”, y establece que “(…) también se aplicará esta ley a las actividades complementarias de transporte, tratamiento, aprovechamiento y disposición final de tales residuos. Igualmente incluye, entre otras, las actividades complementarias de corte de césped y poda de árboles ubicados en las vías y áreas públicas; de lavado de estas áreas, transferencia, tratamiento y aprovechamiento”;
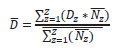
Que el servicio público de aseo, es un servicio de interés colectivo, razón por la cual, la calidad y continuidad en su prestación beneficia directamente a todos los suscriptores o usuarios de la infraestructura y equipamiento urbano;
Que de conformidad con el artículo 73 de la Ley 142 de 1994 “Las comisiones de regulación tienen la función de regular los monopolios en la prestación de los servicios públicos, cuando la competencia no sea, de hecho, posible y, en los demás casos, la de promover la competencia entre quienes presten servicios públicos, para que las operaciones de los monopolistas o de los competidores sean económicamente eficientes, no impliquen abuso de la posición dominante, y produzcan servicios de calidad”, para lo cual, entre otras funciones, podrán “(…) establecer fórmulas para la fijación de las tarifas de los servicios públicos, cuando ello corresponda según lo previsto en el artículo 88; y señalar cuándo hay suficiente competencia como para que la fijación de las tarifas sea libre”;
Que el literal a), del numeral 74.2 del artículo 74 ibídem dispone que dentro de las funciones especiales de la Comisión de Regulación de Agua Potable y Saneamiento Básico (CRA), está la de “(…) adoptar reglas de comportamiento diferencial, según la posición de las empresas en el mercado”;
Que el régimen tarifario aplicable a los servicios públicos, de conformidad con el numeral 86.4 del artículo 86 ibídem, está compuesto, entre otros, por las reglas relativas a procedimientos, metodologías, fórmulas, estructuras, estratos, facturación, opciones, valores y, en general, todos los aspectos que determinan el cobro de las tarifas;
Que el artículo 87 ibídem preceptúa que el régimen tarifario estará orientado por los criterios de eficiencia económica, neutralidad, solidaridad, redistribución, suficiencia financiera, simplicidad y transparencia;
Que en virtud del principio de eficiencia económica establecido en el numeral 87.1 del artículo 87 de la Ley 142 de 1994, “(…) el régimen de tarifas procurará que estas se aproximen a lo que serían los precios de un mercado competitivo (…)” y “las fórmulas tarifarias no pueden trasladar a los usuarios los costos de una gestión ineficiente, ni permitir que las empresas se apropien de las utilidades provenientes de prácticas restrictivas de la competencia (…)”;
Que de acuerdo con el principio de suficiencia financiera definido en el numeral 87.4 ibídem, se debe garantizar a las empresas eficientes la recuperación de sus costos de inversión y sus gastos de administración, operación y mantenimiento y, permitir la remuneración del patrimonio de los accionistas en la misma forma en la que lo habría remunerado una empresa eficiente en un sector de riesgo comparable;
Que el numeral 87.7 del artículo 87 de la Ley 142 de 1994 dispone que “(…) si llegare a existir contradicción entre el criterio de eficiencia y el de suficiencia financiera, deberá tomarse en cuenta que, para una empresa eficiente, las tarifas económicamente eficientes se definirán tomando en cuenta la suficiencia financiera”;
Que, en consecuencia, la Comisión de Regulación de Agua Potable y Saneamiento Básico (CRA), al desarrollar la metodología tarifaria contenida en la presente resolución, considera sólo los costos eficientes asociados con la prestación del servicio incorporados en esta, los cuales se encuentran detallados en el documento de trabajo, soporte del presente acto;
Que según el numeral 87.8 del artículo 87 de la Ley 142 de 1994 “(…) toda tarifa tendrá un carácter integral en el sentido que supondrá una calidad y grado de cobertura del servicio, cuyas características definirán las comisiones reguladoras (…)”;
Que de conformidad con lo establecido en el artículo 88 de la Ley 142 de 1994, al fijar sus tarifas, las empresas de servicios públicos se someterán al régimen de regulación, definido por la respectiva Comisión de Regulación;
Que el artículo 91 de la precitada Ley 142 de 1994 señala que “(…) para establecer las fórmulas de tarifas se calculará por separado, cuando sea posible, una fórmula para cada una de las diversas etapas del servicio”;
Que el artículo 92 ibídem dispone que “(…) En las fórmulas de tarifas las comisiones de regulación garantizarán a los usuarios a lo largo del tiempo los beneficios de la reducción promedia de costos en las empresas que prestan el servicio y, al mismo tiempo, darán incentivos a las empresas para ser más eficientes que el promedio, y para apropiarse los beneficios de la mayor eficiencia (…)”;
Que de conformidad con el artículo 125 de la Ley 142 de 1994, durante el período de vigencia de cada fórmula, las empresas podrán actualizar las tarifas que cobran a sus usuarios aplicando las variaciones en los índices de precios que las fórmulas contienen;
Que de acuerdo con lo establecido en el artículo 126 ibídem, vencido el período de vigencia de las fórmulas tarifarias, estas continuarán rigiendo mientras la Comisión no fije las nuevas;
Que el artículo 146 de la Ley 142 de 1994 dispone, en cuanto a la medición del consumo y del precio en el contrato, que la empresa y el suscriptor o usuario tienen derecho a que los consumos se midan, a que se empleen para ello los instrumentos de medida que la técnica haya hecho disponibles, y a que el consumo sea el elemento principal del precio que se cobre al suscriptor o usuario;
Que el mismo artículo establece que los principios allí consagrados también se aplicarán al servicio público de aseo con las adaptaciones que exige la naturaleza del servicio, con observancia de las reglas que la Ley de Servicios Públicos contiene sobre falla del servicio; entendiéndose que el precio que se exija al usuario dependerá no sólo de los factores de costos que contemplan las fórmulas tarifarias sino en todo caso de la frecuencia con que se preste el servicio y del volumen de residuos que se recojan;
Que la citada disposición, prevé que “(…) en cuanto a los servicios de saneamiento básico y aquellos en que, por razones de tipo técnico, de seguridad o de interés social, no exista medición individual, la comisión de regulación respectiva definirá los parámetros adecuados para estimar el consumo”;
Que, de conformidad con lo anterior, se hace necesario definir los parámetros y fórmulas, para la estimación del consumo en el marco de la prestación del servicio público de aseo;
Que el artículo 99 de la Ley 1450 de 2011, modificó el numeral 87.9 del artículo 87 de la Ley 142 de 1994 estableciendo que para los casos en que los bienes o derechos necesarios para la prestación del servicio público de aseo sean aportados bajo condición por entidades públicas, los valores asociados a los mismos deben ser excluidos de las tarifas, lo cual se debe reflejar como un descuento en relación con los costos máximos por actividades definidas en la presente resolución;
Que el Gobierno nacional expidió el Decreto número 596 de 2016, “por el cual se modifica y adiciona el Decreto número 1077 de 2015 en lo relativo con el esquema de la actividad de aprovechamiento del servicio público de aseo y el régimen transitorio para la formalización de los recicladores de oficio, y se dictan otras disposiciones”;
Que el artículo 2.3.2.5.2.1.2 del Decreto número 1077 de 2015, adicionado por el decreto antes mencionado, estableció en cuanto a la metodología tarifaria para la actividad de aprovechamiento que: “El pago de la actividad de aprovechamiento se continuará efectuando de conformidad con la metodología tarifaria vigente adoptada por la Comisión de Regulación de Agua Potable y Saneamiento Básico (CRA). Para las medidas regulatorias que se adopten en adelante la Comisión de Regulación de Agua Potable y Saneamiento Básico (CRA), siguiendo los parámetros del principio de colaboración armónica, deberá incluir los costos ambientales inherentes a la prestación del servicio público de aseo dentro de la tarifa que se deriven de los instrumentos económicos que definan las autoridades competentes”;
Que el parágrafo 1 del citado artículo, dispuso que “(…) la metodología tarifaria vigente para el servicio público de aseo indicará el valor máximo a reconocer vía tarifa a la persona prestadora de la actividad de aprovechamiento por conceptos de campañas educativas, atención a Peticiones, Quejas y Recursos (PQR), así como del reporte de información al Sistema Único de Información (SUI), a la persona prestadora de la actividad de aprovechamiento; valor que será definido en el costo de comercialización por usuario”;
Que los artículos 2.3.2.5.2.2.1 y 2.3.2.5.2.2.4 del Decreto número 1077 de 2015, adicionados por el Decreto número 596 de 2016 en lo relativo al valor vigente del incentivo a la separación en la fuente (DINC), así como los costos asociados a la obligación de facturación integral del servicio público de aseo, prescribió que los mismos seguirán estableciéndose de acuerdo con la metodología tarifaria vigente adoptada por la Comisión de Regulación de Agua Potable y Saneamiento Básico (CRA);
Que mediante Resolución número 276 del 29 de abril de 2016, el Ministerio de Vivienda, Ciudad y Territorio estableció los lineamientos del esquema operativo de la actividad de aprovechamiento del servicio público de aseo y del régimen transitorio para la formalización de los recicladores de oficio, acorde con lo establecido en el Capítulo 5, del Título 2, de la Parte 3, del Decreto número 1077 de 2015, adicionado por el Decreto número 596 de 2016;
Que por su parte el artículo 2.3.2.2.2.1.15 del Decreto número 1077 de 2015 estipula que “(…) la persona prestadora del servicio público de aseo deberá estructurar y mantener actualizado un programa de gestión del riesgo de acuerdo a la normatividad vigente, en las diferentes actividades de la prestación del servicio, el cual deberá ser presentado a la Superintendencia de Servicios Públicos Domiciliarios (…)”, y que “(…) La Comisión de Regulación de Agua Potable y Saneamiento Básico establecerá en el marco tarifario, el reconocimiento de la gestión integral del riesgo de acuerdo a la normatividad vigente”;
Que mediante el Decreto número 1898 de 2016, por el cual se adiciona el Título 7, Capítulo 1, a la Parte 3, del Libro 2 del Decreto número 1077 de 2015, el Gobierno nacional reglamentó parcialmente el artículo 18 de la Ley 1753 de 2015, en lo referente a esquemas diferenciales para la prestación de los servicios de acueducto, alcantarillado y aseo en zonas rurales;
Que de conformidad con el parágrafo 1 del artículo 2.3.7.1.2.2 del Decreto número 1077 de 2015, adicionado por el Decreto número 1898 de 2016, corresponde a la Comisión de Regulación de Agua Potable y Saneamiento Básico (CRA), regular las tarifas diferenciales para los esquemas de prestación de acueducto, alcantarillado o aseo que define el mencionado decreto;
Que el mismo decreto, en el artículo 2.3.7.1.2.1 dispone que en caso de que la respectiva entidad territorial identifique razones técnicas, operativas o socioeconómicas que impidan la prestación mediante sistemas de acueducto, alcantarillado o el servicio de aseo en los centros poblados rurales, se podrán implementar soluciones alternativas de aprovisionamiento de agua potable y saneamiento básico;
Que de conformidad con el parágrafo 2 del artículo 2.3.7.1.3.1 del Decreto número 1077 de 2015, adicionado por el Decreto número 1898 de 2016, las soluciones alternativas definidas en la Sección 3, las cuales aplican en zona rural diferente a los centros poblados, no se constituyen en prestación de los servicios públicos domiciliarios de acueducto, alcantarillado y aseo en los términos de los numerales 14.22, 14.23 y 14.24 del artículo 14 de la Ley 142 de 1994 y, en consecuencia, no están sujetos a la Regulación de la Comisión de Regulación de Agua Potable y Saneamiento Básico (CRA);
Que el Gobierno nacional, expidió el Decreto número 1272 del 28 de julio de 2017, “por el cual se adiciona el Capítulo 2, al Título 7, de la Parte 3, del Libro 2 del Decreto número 1077 de 2015, que reglamenta parcialmente el artículo 18 de la Ley 1753 de 2015, en lo referente a esquemas diferenciales para la prestación de los servicios de acueducto, alcantarillado y aseo en zonas de difícil acceso, áreas de difícil gestión y áreas de prestación, en las cuales por condiciones particulares no puedan alcanzarse los estándares de eficiencia, cobertura y calidad, establecidos en la ley”;
Que mediante el decreto mencionado se adicionó el artículo 2.3.7.2.2.2.1 del Decreto número 1077 de 2015, para definir las áreas de difícil acceso, mientras que el Artículo 2.3.7.2.2.2.2 ibídem, estableció los requisitos mínimos que deberá presentar la persona prestadora interesada en implementar un esquema diferencial en una zona de difícil acceso, dentro de los cuales se encuentra la presentación de un estudio de costos y tarifas a aplicar en dichas zonas;
Que el citado decreto en su artículo 2.3.2.3.20, establece que “de conformidad con la ley, las metodologías tarifarias del servicio público de aseo que establezca la Comisión de Regulación de Agua Potable y Saneamiento Básico (CRA), deberán incentivar el desarrollo de la actividad complementaria de tratamiento”; y en el artículo 2.3.2.1.1 se define la actividad de tratamiento como “la actividad del servicio público de aseo, alternativa o complementaria a la disposición final, en la cual se propende por la obtención de beneficios ambientales, sanitarios o económicos, al procesar los residuos sólidos a través de operaciones y procesos mediante los cuales se modifican las características físicas, biológicas o químicas para potencializar su uso. Incluye las técnicas de tratamiento mecánico, biológico y térmico. Dentro de los beneficios se consideran la separación de los residuos sólidos en sus componentes individuales para que puedan utilizarse o tratarse posteriormente, la reducción de la cantidad de residuos sólidos a disponer y/o la recuperación de materiales o recursos valorizados”;
Que según lo dispuesto en el parágrafo del artículo 2.3.2.2.4.1.98 del Decreto número 1077 de 2015, corresponde a la Comisión de Regulación de Agua Potable y Saneamiento Básico (CRA), fijar el valor máximo a cobrar por concepto del servicio de aseo a inmuebles desocupados y establecer los requisitos para acreditar la desocupación del inmueble;
Que, en mérito de lo expuesto,
RESUELVE:
ASPECTOS GENERALES ARTÍCULO.
ARTÍCULO 1o. ÁMBITO DE APLICACIÓN. La presente resolución aplica a las personas prestadoras del servicio público de aseo que cumplan con alguna de las siguientes condiciones:
i) Que atiendan municipios que, a 31 de diciembre de 2017, tengan hasta 5.000 suscriptores en las áreas urbanas;
ii) Que atiendan en centros poblados rurales, que no fueron incluidos en un APS del ámbito de la Resolución CRA 720 de 2015;
iii) Que atiendan en áreas de prestación incluidas en los esquemas definidos en el ARTÍCULO 7o de la presente resolución; iv) Que operen rellenos sanitarios que reciban hasta un promedio mensual de 300 toneladas de residuos sólidos; v) Que operen sistemas de tratamiento que reciban hasta un promedio mensual de 300 toneladas de residuos sólidos.
ARTÍCULO 2o. OBJETO. Establecer el régimen tarifario y la metodología tarifaria aplicable a las personas prestadoras del servicio público de aseo, incluidas en el ámbito de aplicación establecido en el ARTÍCULO 1o de la presente resolución.
ARTÍCULO 3o. RÉGIMEN DE REGULACIÓN TARIFARIA. El régimen de regulación tarifaria para las personas prestadoras incluidas en el ámbito de aplicación de la presente resolución será el de libertad regulada.
ARTÍCULO 4o. METODOLOGÍA TARIFARIA. La metodología tarifaria que se adopta mediante esta resolución es la de costo medio, integrada por técnicas regulatorias de precio techo y costos de referencia; lo cual implica que la Entidad Tarifaria Local podrá adoptar un precio que se encuentre dentro del rango definido para cada segmento o esquema de prestación.
La Entidad Tarifaria Local, podrá adoptar un valor dentro del rango de precios permitidos en la presente resolución diferente al adoptado inicialmente, para lo cual deberá dar cumplimiento a las disposiciones contenidas en la sección 5.1.2 de la Resolución CRA 151 de 2001 o la norma que la modifique, adicione, sustituya o aclare.
PARÁGRAFO: Para las actividades de transferencia, tratamiento y disposición final prestadas por una persona diferente a la de recolección y transporte de residuos sólidos no aprovechables, su órgano decisorio competente adoptará el costo tarifario asociado a estas actividades, para lo cual deberá dar cumplimiento a las disposiciones contenidas en la sección 5.1.2 de la Resolución CRA 151 de 2001 o la norma que la modifique, adicione, sustituya o aclare, cuando a ello hubiere lugar.
ARTÍCULO 5o. DEFINICIONES. Para la aplicación de la presente resolución se tendrán en cuenta las siguientes definiciones, además de las consignadas en la normativa vigente:
5.1 Área de prestación de servicio – APS. Corresponde a la zona geográfica del municipio o distrito debidamente delimitada donde la persona prestadora ofrece y presta el servicio de aseo. Esta deberá consignarse en el contrato de condiciones uniformes. (Numeral 7 del artículo 2.3.2.1.1. del Decreto 1077 de 2015).
5.2 Área urbana. Zona geográfica del municipio debidamente delimitada en el componente urbano del respectivo Plan de Ordenamiento Territorial, conforme a lo dispuesto en la Ley 388 de 1997 y demás normas aplicables.
5.3 Centro poblado rural. Zona geográfica del municipio debidamente delimitada en el componente rural del respectivo Plan de Ordenamiento Territorial, conforme a lo dispuesto en la Ley 388 de 1997 y demás normas aplicables.
5.4 Esquema diferencial. Conjunto de condiciones técnicas, operativas, jurídicas, sociales y de gestión para permitir el acceso al agua apta para el consumo humano y al saneamiento básico en un área o zona determinada del suelo urbano, atendiendo a sus condiciones particulares. (Artículo 2.3.7.2.1.3. del Decreto 1077 de 2015, adicionado por el Decreto 1272 de 2017).
5.5 Estación de clasificación y aprovechamiento. Son instalaciones técnicamente diseñadas con criterios de ingeniería y eficiencia económica, dedicadas al pesaje y clasificación de los residuos sólidos aprovechables, mediante procesos manuales, mecánicos o mixtos y que cuenten con las autorizaciones ambientales a que haya lugar. (Numeral 16 del artículo 2.3.2.1.1. del Decreto 1077 de 2015).
5.6 Rechazos. Material resultado de la clasificación de residuos aprovechables en la Estación de Clasificación y Aprovechamiento (ECA), cuyas características no permiten su efectivo aprovechamiento y que deben ser tratados o dispuestos en el relleno sanitario. (Numeral 86 del artículo 2.3.2.1.1. del Decreto 1077 de 2015).
5.7 Residuos efectivamente aprovechados. Residuos sólidos que han sido clasificados y pesados en una Estación de Clasificación y Aprovechamiento (ECA) por la persona prestadora de la actividad y han sido comercializados para su incorporación a una cadena productiva, contando con el soporte de venta a un comercializador o a la industria. (Numeral 87 del artículo 2.3.2.1.1. del Decreto 1077 de 2015).
5.8 Residuos sólidos no aprovechables. Material o sustancia sólida de origen orgánico e inorgánico, putrescible o no, proveniente de actividades domésticas, industriales, comerciales, institucionales, de servicios, que no son objeto de la actividad de aprovechamiento.
5.9 Zonas de difícil acceso. Corresponde al municipio en el cual la persona prestadora en su área de prestación en suelo urbano no puede alcanzar los estándares de eficiencia, cobertura o calidad en los plazos establecidos en la regulación expedida por la Comisión de Regulación de Agua Potable y Saneamiento Básico, y cuenta con una población urbana menor a 25.000 habitantes según la información censal del Departamento Administrativo Nacional de Estadística (DANE) y está ubicado en Zonas No Interconectadas (ZNI) del sistema eléctrico nacional de la Unidad de Planeación Minero Energética (UPME). (Artículo 2.3.7.2.2.2.1. del Decreto 1077 de 2015, adicionado por el Decreto 1272 de 2017).
ARTÍCULO 6o. SEGMENTACIÓN. Para efectos de la aplicación de lo establecido en la presente resolución, se tendrán en cuenta los siguientes segmentos:
6.1 Primer Segmento: corresponde a las personas prestadoras que atiendan en municipios de 4.001 hasta 5.000 suscriptores en el área urbana a 31 de diciembre de 2017. La metodología tarifaria que deberán aplicar se encuentra contenida en el TÍTULO II de la presente Resolución. Las personas prestadoras de este segmento podrán incorporar centros poblados rurales dentro de la misma APS.
6.2 Segundo Segmento: corresponde a las personas prestadoras que atiendan en municipios de hasta 4.000 suscriptores en el área urbana a 31 de diciembre de 2017. La metodología tarifaria que deberán aplicar se encuentra contenida en el TITULO III de la presente Resolución. Las personas prestadoras de este segmento podrán incorporar centros poblados rurales dentro de la misma APS.
6.3 Tercer Segmento: corresponde a las personas prestadoras que atiendan en centros poblados rurales que no fueron incluidos en un APS del primer y segundo segmento del presente artículo, ni en el ámbito de la Resolución CRA 720 de 2015. La metodología tarifaria que deberán aplicar las personas prestadoras de este segmento se encuentra contenida en el TITULO IV de la presente Resolución.
PARÁGRAFO. El número de suscriptores del municipio en su área urbana corresponderá al registrado en el Sistema Único de información (SUI) administrado por la Superintendencia de Servicios Públicos Domiciliarios (SSPD).
ARTÍCULO 7o. ESQUEMAS DE PRESTACIÓN. Para efectos de la aplicación de lo establecido en la presente resolución, se tendrán en cuenta los siguientes esquemas de prestación:
7.1 Esquema de prestación en zonas de difícil acceso: esquema que aplica a las personas prestadoras que atiendan bajo un conjunto de condiciones técnicas operativas, jurídicas, sociales y de gestión para permitir el acceso al saneamiento básico en un área o zona determinada del suelo urbano, atendiendo a sus condiciones particulares, conforme lo establecido en el Decreto 1077 de 2015, adicionado por el Decreto 1272 de 2017, o aquel que lo modifique, adicione, sustituya o aclare. Para efectos de la presente resolución se entiende como condiciones técnicas operativas la imposibilidad de agrupamiento con mercados colindantes, por factores como la inexistencia de vías, mal estado de las mismas o condiciones geográficas. La metodología tarifaria que deberán aplicar estos esquemas se encuentra contenida en el TITULO V de la presente resolución.
7.2 Esquema de prestación regional en donde todas las APS se encuentran en municipios con hasta 5.000 suscriptores: esquema que aplica a las personas prestadoras que hayan decidido prestar el servicio público de aseo bajo el esquema regional, teniendo en cuenta el tamaño de los municipios y su conectividad vial, de manera que permitan prestar un servicio con calidad, eficacia y eficiencia bajo economías de escala. Cada uno de los municipios a incluir en este esquema de prestación, deberá contar con hasta 5.000 suscriptores en el área urbana. La metodología tarifaria que deberán aplicar estos esquemas se encuentra contenida en el TITULO VI de la presente resolución. Adjunto al estudio de costos y tarifas respectivo, la persona prestadora informará a la Superintendencia de Servicios Públicos Domiciliarios (SSPD) y a la Comisión de Regulación de Agua Potable y Saneamiento Básico (CRA) que decidió prestar el servicio público de aseo bajo un esquema regional.
7.3 Esquema de prestación regional en donde alguna de las APS se encuentra en un municipio con más de 5.000 suscriptores: esquema que aplica a las personas prestadoras que hayan decidido prestar el servicio público de aseo bajo el esquema regional, teniendo en cuenta el tamaño de los municipios y su conectividad vial, que le permitan prestar un servicio con calidad, eficacia y eficiencia bajo economías de escala. Este esquema estará conformado por al menos un municipio con más de 5.000 suscriptores en el área urbana, que se encuentre en el ámbito de aplicación de la Resolución CRA 720 de 2015 o aquella que la modifique, adicione, sustituya o aclare.
La metodología tarifaria que deberán aplicar estos esquemas se encuentra contenida en el TÍTULO VII de la presente resolución. Adjunto al estudio de costos y tarifas respectivo, la persona prestadora informará a la Superintendencia de Servicios Públicos Domiciliarios (SSPD) y a la Comisión de Regulación de Agua Potable y Saneamiento Básico (CRA) que decidió prestar el servicio público de aseo bajo un esquema regional.
PARÁGRAFO 1. La persona prestadora interesada en implementar un esquema de prestación en una zona de difícil acceso deberá presentar una solicitud por escrito ante la Comisión de Regulación de Agua Potable y Saneamiento Básico (CRA) con los requisitos establecidos en el artículo 2.3.7.2.2.2.2 del Decreto 1077 de 2015, adicionado por el Decreto 1272 de 2017, o aquel que lo modifique, adicione, sustituya o aclare.
PARÁGRAFO 2. El esquema de prestación regional del que trata el numeral 7.3 del presente artículo, únicamente podrá aplicarse cuando se garantice que el Costo de Recolección y Transporte (CRT) del esquema regional resulte ser igual o inferior al CRT para el APS con mayor número de suscriptores, en aplicación de lo dispuesto en el artículo 24 de la Resolución CRA 720 de 2015, o aquel que lo modifique, adicione, sustituya o aclare.
ARTÍCULO 8o. RESPONSABILIDADES DE LAS PERSONAS PRESTADORAS EN RELACIÓN CON EL ÁREA DE PRESTACIÓN DEL SERVICIO (APS). Las personas prestadoras deberán definir, previo a la adopción de la metodología tarifaria, la zona geográfica de prestación del servicio (APS), teniendo en consideración que la misma no puede abarcar más de un municipio. Una vez definida, deberá reportar dicha información al ente territorial y consignarla en el contrato de servicios públicos (CCU) con el usuario.
En el evento en que la persona prestadora tenga más de un APS, en el contrato de servicios públicos (CCU) sólo deberá constar aquella en la que se encuentra ubicado el suscriptor correspondiente.
PARÁGRAFO 1. Es responsabilidad del municipio garantizar la prestación del servicio público de aseo en aquellas áreas que no sean reportadas como APS por ningún prestador.
PARÁGRAFO 2. Para los esquemas de prestación regional, la persona prestadora deberá definir por cada municipio o centro poblado rural una APS independiente, de manera que los costos asociados a las actividades de barrido de vías y áreas públicas, limpieza urbana y comercialización, que no pueden ser compartidos, se estimen de manera particular por APS.
ARTÍCULO 9o. GESTIÓN DEL RIESGO. Para la prestación del servicio público de aseo se deberán incluir las consideraciones asociadas a la gestión del riesgo. Para lo anterior, las personas prestadoras deberán formular sus planes de emergencia y contingencia de acuerdo con la Resolución 154 de 2014 del Ministerio de Vivienda, Ciudad y Territorio (MVCT) o aquella que la modifique, adicione, sustituya o aclare.
DEL CÁLCULO DE LA METODOLOGÍA TARIFARIA PARA EL PRIMER SEGMENTO.
DEL CÁLCULO DEL COSTO FIJO, EL COSTO VARIABLE, EL PROMEDIO PARA LA ESTIMACIÓN Y EL CENTROIDE.
ARTÍCULO 10. COSTO FIJO TOTAL (CFT). El costo fijo total por suscriptor del APS se define de la siguiente manera:
![]()
Donde:
| CFT | Costo Fijo Total por suscriptor del servicio público de aseo (pesos de diciembre de 2017/suscriptor-mes). |
| CCS | Costo de Comercialización por Suscriptor del servicio público de aseo, definido en el ARTÍCULO 15 de la presente resolución (pesos de diciembre de 2017/suscriptor-mes). |
| CRLUS | Costo de Referencia para Limpieza Urbana por Suscriptor, definido en el ARTÍCULO 17 de la presente resolución (pesos de diciembre de 2017/suscriptor-mes). |
| CBLS | Costo de Barrido y Limpieza de vías y áreas públicas por Suscriptor, definido en el ARTÍCULO 18 de la presente resolución (pesos de diciembre de 2017/suscriptor-mes). |
ARTÍCULO 11. COSTO VARIABLE POR TONELADA DE RESIDUOS SÓLIDOS NO APROVECHABLES (CVNA). El costo variable por tonelada de residuos sólidos no aprovechables se define de la siguiente manera:

Donde:
| CVNA | Costo Variable por tonelada de Residuos Sólidos no Aprovechables (pesos de diciembre de 2017/tonelada). |
| CRT | Costo de Recolección y Transporte de residuos sólidos definido en el ARTÍCULO 21 de la presente resolución (pesos de diciembre de 2017/tonelada). |
| CDFT | Costo de Disposición Final Total por tonelada definido en el ARTÍCULO 23 de la presente resolución (pesos de diciembre de 2017/tonelada). |
| CT | Costo de Tratamiento por tonelada definido en el ARTÍCULO 29 de la presente resolución (pesos de diciembre de 2017/tonelada). |
| Promedio mensual de toneladas de residuos sólidos recolectados y transportados al sitio de disposición final o sitio de tratamiento, de acuerdo con lo definido en el ARTÍCULO 13 de la presente resolución (toneladas/mes). |
ARTÍCULO 12. COSTO VARIABLE POR TONELADA DE RESIDUOS EFECTIVAMENTE APROVECHADOS (CVA). El costo variable por tonelada de residuos efectivamente aprovechados se define de la siguiente manera:
![]()
Donde:
| CVA | Costo Variable por tonelada de residuos efectivamente aprovechados (pesos de diciembre de 2017/tonelada). |
| VBA | Valor Base de remuneración del Aprovechamiento definido en el ARTÍCULO 31 de la presente resolución (pesos de diciembre de 2017/tonelada). |
ARTÍCULO 13. PROMEDIO PARA LOS CÁLCULOS. Cuando en el presente Título se determine que los cálculos se realicen con el promedio de: kilómetros de barrido y limpieza, toneladas de residuos sólidos no aprovechables, toneladas de residuos sólidos tratados, toneladas de residuos efectivamente aprovechados, metros cúbicos de lixiviados generados en el relleno sanitario, y número de suscriptores, se tomará el promedio mensual del año fiscal inmediatamente anterior.
PARÁGRAFO. Las personas prestadoras que inicien actividades con posterioridad a la entrada en vigencia de la fórmula tarifaria deberán estimar promedios mensuales, a partir de la información que se irá acumulando mes a mes, hasta el 31 de diciembre del año en que se iniciaron las operaciones. En el segundo año de operaciones se empleará el promedio de la información disponible hasta el 31 de diciembre del primer año. A partir del tercer año, se empleará el promedio de la información del año fiscal inmediatamente anterior.
ARTÍCULO 14. CENTROIDE. Para efectos de lo establecido en el presente título, el centroide del APS corresponde al punto identificado por coordenadas, de conformidad con el estándar de georreferenciación nacional, ubicado en el límite del APS por la vía que conduce al sitio de disposición final, transferencia o tratamiento, el cual se utiliza para estimar la distancia desde éste hasta la puerta de acceso a dicho sitio.
APS, deberá ser reportada por la persona prestadora al momento de aplicación de la presente resolución a través del Sistema Único de Información (SUI).
DE LOS COSTOS DE COMERCIALIZACIÓN ARTÍCULO.
ARTÍCULO 15. COSTO DE COMERCIALIZACIÓN POR SUSCRIPTOR DEL SERVICIO PÚBLICO DE ASEO (CCS). El costo de comercialización por suscriptor del servicio público de aseo será el valor adoptado por la persona prestadora, dentro del rango posible de precios (precio máximo y precio mínimo) que se establece en la siguiente tabla, según el servicio con el cual se realice la facturación conjunta (pesos de diciembre de 2017/suscriptor-mes).
| Servicio de facturación conjunta | CCS máximo | CCS mínimo |
| Acueducto | $2.107,2 | $1.102,5 |
| Energía | $2.897,9 | $2.415,1 |
PARÁGRAFO. En los eventos en los cuales se realice facturación directa, conjunta con el servicio de gas o se facture conjuntamente con dos servicios diferentes al tiempo, se tomarán los precios máximos y mínimos definidos para facturación conjunta con acueducto.
ARTÍCULO 16. INCREMENTO EN EL CCS POR LA PRESTACIÓN DE LA ACTIVIDAD DE APROVECHAMIENTO. Cuando en el municipio se preste la actividad de aprovechamiento, el CCS adoptado se deberá incrementar en un 36%, el cual se distribuirá entre las personas prestadoras de la actividad de aprovechamiento y las personas prestadoras de la actividad de recolección y transporte de residuos no aprovechables, de acuerdo con los siguientes porcentajes:
| Prestador No aprovechables | Prestador Aprovechables | % Incremento Total |
| 13% | 23% | 36% |
El recaudo proveniente del 23% de incremento en el costo de comercialización por suscriptor (CCS) deberá ser distribuido entre las personas prestadoras de aprovechamiento de la siguiente manera:
16.1 Recaudo mensual por CCS para las personas prestadoras de aprovechamiento por suscriptores no aforados de esta actividad:

Donde:
| RNAj | Recursos provenientes del recaudo por concepto del CCS para la persona prestadora de aprovechamiento j en el municipio, asociado al recaudo mensual por CCS de aprovechamiento de los suscriptores no aforados en el APS de la persona prestadora de recolección y transporte de residuos sólidos no aprovechables (pesos/mes). |
| RCCSNA | Recaudo mensual proveniente de los suscriptores no aforados, por concepto del costo de comercialización del servicio público de aseo en el APS de las personas prestadoras de recolección y transporte de residuos sólidos no aprovechables (pesos/mes). |
| Promedio mensual de toneladas de residuos efectivamente aprovechados no aforadas por la persona prestadora de aprovechamiento j en el municipio, de acuerdo con lo definido en el ARTÍCULO 13 de la presente resolución (toneladas/mes). | |
| j | Número de personas prestadoras de la actividad de aprovechamiento en el área urbana donde j= {1, 2, 3, 4,...,n}. |
| 16,91%: | Porcentaje del costo asociado al incremento de costos de comercialización por la prestación de la actividad de aprovechamiento. |
16.2 Recaudo mensual por CCS para las personas prestadoras de aprovechamiento por suscriptores aforados de esta actividad:

Donde:
| RAj | Recursos provenientes del recaudo por concepto del CCS para la persona prestadora de aprovechamiento j en el municipio, asociado al recaudo mensual por CCS de aprovechamiento de los suscriptores aforados de aprovechamiento en el APS de la persona prestadora de recolección y transporte de residuos sólidos no aprovechables (pesos/mes). |
| RCCSAF | Recaudo mensual proveniente de los suscriptores con aforo, por concepto del costo de comercialización del servicio público de aseo en el APS de las personas prestadoras de recolección y transporte de residuos sólidos no aprovechables (pesos/mes). |
| Promedio mensual del número de suscriptores aforados de aprovechamiento del municipio, de acuerdo con lo definido en el ARTÍCULO 13 de la presente resolución (suscriptores/mes). | |
| j | Número de personas prestadoras de la actividad de aprovechamiento en el área urbana donde j= {1, 2, 3, 4,...,n}. |
| 16,91%: | Porcentaje del costo asociado al incremento de costos de comercialización por la prestación de la actividad de aprovechamiento. |
PARÁGRAFO. Este incremento se realizará una vez la persona prestadora de aprovechamiento haya certificado la cantidad en toneladas de residuos efectivamente aprovechados en el Sistema Único de Información (SUI) y, por ende, se pueda facturar la actividad de aprovechamiento en el respectivo municipio.
DE LOS COSTOS DE LIMPIEZA URBANA.
ARTÍCULO 17. COSTO DE REFERENCIA PARA LIMPIEZA URBANA POR SUSCRIPTOR (CRLUS). El costo de referencia para limpieza urbana por suscriptor, será el resultante de la aplicación de los siguientes rubros:

PARÁGRAFO 1. Las labores de limpieza urbana son responsabilidad de los prestadores del servicio público de aseo de no aprovechables en el APS donde realicen las actividades de recolección y transporte. Cuando en un municipio exista más de una persona prestadora, éstas deberán celebrar acuerdos de lavado conforme con la regulación establecida en la Resolución CRA 767 de 2016 o aquella que la modifique, adicione, sustituya o aclare, con base en el artículo 2.3.2.2.2.5.63 del Decreto 1077 de 2015 o aquel que lo modifique, adicione, sustituya o aclare.
PARÁGRAFO 2. Los árboles a intervenir (unidades), las áreas verdes objeto de corte (m2), las áreas públicas objeto de lavado (m2), las playas objeto de limpieza (km) y las cestas a instalar (unidades), corresponderán a las definidas en el Programa para la Prestación del Servicio de Aseo, con base en lo establecido en el Plan de Gestión Integral de Residuos Sólidos (PGIRS).
PARÁGRAFO 3. El costo de limpieza de playas costeras o ribereñas sólo aplica para los municipios que cuenten con playas en su área urbana y que la longitud o áreas a intervenir (km y/o m2) hayan sido incluidos por el municipio en el respectivo PGIRS, así como en el Programa de Prestación del Servicio de la persona prestadora. En caso de no incluir playas, dicho concepto será igual a cero.
PARÁGRAFO 4. De las actividades definidas en los artículos 2.3.2.2.2.4.57, 2.3.2.2.2.4.62, 2.3.2.2.2.5.65, 2.3.2.2.2.6.66. y 2.3.2.2.2.6.70 del Decreto 1077 de 2015 o aquel que lo modifique, adicione, sustituya o aclare; a los suscriptores ubicados en centros poblados rurales sólo se les podrá cobrar el costo correspondiente a la instalación y mantenimiento de cestas públicas.
DE LOS COSTOS DE BARRIDO Y LIMPIEZA DE VÍAS Y ÁREAS PÚBLICAS.
ARTÍCULO 18. COSTO DE BARRIDO Y LIMPIEZA DE VÍAS Y ÁREAS PÚBLICAS POR SUSCRIPTOR (CBLS). El costo de barrido y limpieza de vías y áreas públicas mensual por suscriptor será:
![]()
Donde:
| CBLS | Costo de Barrido y Limpieza de vías y áreas públicas por Suscriptor (pesos de diciembre de 2017/suscriptor-mes). |
| CBLj | Costo de Barrido y Limpieza por kilómetro de vías y áreas públicas barridas de la persona prestadora j, valor dentro del rango posible de precios (precio máximo y precio mínimo) que se establece en la siguiente tabla (pesos de diciembre de 2017/kilómetro): |
| Longitud promedio mensual de vías y áreas públicas barridas por la persona prestadora j, de acuerdo con lo establecido en el ARTÍCULO 13 de la presente resolución, en su APS según las frecuencias definidas para el municipio en el PGIRS y el Programa para la Prestación del Servicio (kilómetros/mes). | |
| Promedio mensual del número de suscriptores totales en el municipio, de acuerdo con lo establecido en el ARTÍCULO 13 de la presente resolución. | |
| j | Número de personas prestadoras de la actividad de barrido y limpieza en un mismo municipio donde j= {1, 2, 3, 4,...,n}. |
PARÁGRAFO 1. La longitud de vías y áreas públicas barridas por la persona prestadora j debe corresponder a las definidas en el Programa para la Prestación del Servicio de Aseo, con base en las frecuencias definidas en el Plan de Gestión Integral de Residuos Sólidos (PGIRS).
PARÁGRAFO 2. Las áreas públicas a barrer deberán ser convertidas a kilómetros lineales, multiplicando el área (m2) total a barrer por 0,002 km/m2.
ARTÍCULO 19. FRECUENCIAS DE BARRIDO Y LIMPIEZA DE VÍAS Y ÁREAS PÚBLICAS. Las frecuencias de barrido y limpieza de vías y áreas públicas serán como mínimo las que establece el artículo 2.3.2.2.2.4.53 del Decreto 1077 de 2015 o aquel que lo modifique, adicione, sustituya o aclare.
PARÁGRAFO. El aumento de frecuencias de barrido deberá ser solicitado al prestador por parte del municipio, siempre y cuando haya modificado el PGIRS, de acuerdo con lo establecido en el Decreto 1077 de 2015 o aquel que lo modifique, adicione, sustituya o aclare.
ARTÍCULO 20. RESPONSABILIDAD DE LA PRESTACIÓN DEL BARRIDO Y LIMPIEZA DE VÍAS Y ÁREAS PÚBLICAS. Las labores de barrido y limpieza de vías y áreas públicas son responsabilidad de la persona prestadora del servicio público de aseo de residuos sólidos no aprovechables en el APS donde realice las actividades de recolección y transporte. Dicha obligación quedará consignada en el respectivo contrato de servicios públicos (CCU) con el usuario.
PARÁGRAFO. Cuando en un municipio exista más de una persona prestadora, éstas deberán celebrar acuerdos de barrido conforme con la regulación establecida en la Resolución CRA 709 de 2015 o aquella que la modifique, adicione, sustituya o aclare, con base en el artículo 2.3.2.2.2.4.52 del Decreto 1077 de 2015 o aquel que lo modifique, adicione, sustituya o aclare. Lo anterior, sin perjuicio de lo dispuesto en el artículo 2.3.2.2.2.4.51 del mismo decreto respecto de la responsabilidad de la persona prestadora de recolección y transporte en el barrido y limpieza de vías y áreas públicas.
DE LOS COSTOS DE RECOLECCIÓN Y TRANSPORTE.
ARTÍCULO 21. COSTO DE RECOLECCIÓN Y TRANSPORTE DE RESIDUOS SÓLIDOS (CRT). El costo de recolección y transporte de residuos sólidos será el estimado de acuerdo con la siguiente función:

Donde:
| CRT | Costo de Recolección y Transporte por tonelada (pesos de diciembre de 2017/tonelada). |
| Promedio mensual del año fiscal inmediatamente anterior del valor pagado por concepto de los peajes de ida y vuelta, ubicados en el trayecto entre el centroide del APS y la entrada del sitio de disposición final, estación de transferencia o sitio de tratamiento (pesos de diciembre de 2017/mes). | |
| CEG | Costo de transferencia y transporte a granel hasta el sitio de disposición final, el cual corresponde al valor cobrado por la persona prestadora de la estación de transferencia, de conformidad con el parágrafo 6 del artículo 24 de la Resolución CRA 720 de 2015 o el ARTÍCULO 147 de la presente resolución (pesos de diciembre de 2017/tonelada). |
| Promedio mensual de toneladas de residuos sólidos recolectados y transportados al sitio de disposición final, estación de transferencia o sitio de tratamiento, de acuerdo con lo definido en el ARTÍCULO 13 de la presente resolución (toneladas/mes) | |
| CRTSs | Costo de Recolección y Transporte adoptado por la persona prestadora para cada sitio de disposición final, estación de transferencia o tratamiento s utilizado para el manejo adecuado de los residuos sólidos, el cual corresponde a un valor dentro del rango posible de precios (precio máximo y precio mínimo) según literales a y b del presente artículo (pesos de diciembre de 2017/tonelada). |
| s: | Sitio de entrega de residuos sólidos, donde, s = {sitios de disposición final, estaciones de transferencia, sitios de tratamiento}. |
a. Precio máximo de CRTSs:
El precio máximo corresponderá a los valores que se establecen en las siguientes tablas (pesos de diciembre de 2017/tonelada), dependiendo del promedio mensual de toneladas recolectadas y transportadas en el año fiscal inmediatamente anterior (toneladas/mes) y la distancia al sitio de disposición final, estación de transferencia o tratamiento (km):




En los casos en que la distancia desde el centroide hasta el sitio de disposición final, estación de transferencia o tratamiento supere los cien (100) kilómetros (km), el precio máximo de CRTSs podrá estimarse con la siguiente fórmula:
![]()
Donde:
| Promedio mensual de toneladas recolectadas y transportadas al sitio de disposición final, estación de transferencia o sitio de tratamiento, de acuerdo con lo definido en el ARTÍCULO 13 de la presente resolución (toneladas/mes). | |
| D | Distancia desde el centroide hasta el sitio de disposición final, estación de transferencia o sitio de tratamiento (km). |
b. Precio mínimo de CRTSs:
![]()
PARÁGRAFO 1. Aquellas personas prestadoras que atiendan en municipios costeros podrán incrementar el CRTSs en 0,94%, para tener en cuenta el efecto de la salinidad.
PARÁGRAFO 2. El número de frecuencias para esta actividad corresponderá a aquel que optimice el costo de recolección y transporte de la persona prestadora, en relación con la cantidad de residuos sólidos generados en el APS, sin que en ningún caso pueda ser inferior a dos (2) frecuencias semanales, de conformidad con el artículo 2.3.2.2.2.3.32. del Decreto 1077 de 2015 o aquel que lo modifique, adicione, sustituya o aclare.
PARÁGRAFO 3. En aquellos eventos en los que se deban incorporar incentivos a los municipios y/o distritos donde se ubiquen estaciones de transferencia regionales, de conformidad con lo dispuesto por el artículo 2.3.2.4.3 del Decreto 1077 de 2015 o aquel que lo modifique, adicione, sustituya o aclare, su valor por tonelada se sumará al CRTSs adoptado por la persona prestadora. Tal situación se informará a la Superintendencia de Servicios Públicos Domiciliarios (SSPD) y a la Comisión de Regulación de Agua Potable y Saneamiento Básico (CRA).
Cuando una entidad pública realice aportes bajo condición sobre el valor total o parcial de los vehículos y/o activos asociados a la actividad de recolección y transporte, el CRTSs con aportes bajo condición se define de acuerdo con la siguiente función:
![]()
Donde:
| CRTSs_ABC | Costo de Recolección y Transporte de residuos sólidos con aporte bajo condición (pesos de diciembre de 2017/tonelada). |
| CRTSs | Costo de Recolección y Transporte de residuos sólidos adoptado por la persona prestadora para cada sitio de disposición final, estación de transferencia o tratamiento s (pesos de diciembre de 2017/tonelada). |
| p | Proporción del costo total que corresponde a la adquisición de vehículos de recolección y transporte y/o activos asociados a esta actividad, estimado en el 18%. |
| fCK | Fracción del Costo de Capital aportado bajo condición, definido como: VA_CRT_ABC: Valor del total de los activos aportados para la actividad de recolección y transporte (pesos de diciembre de 2017). VA_CRT: Valor del total de los activos para la actividad de recolección y transporte (pesos de diciembre de 2017), entiéndase esto como la suma de los activos con que se contaba previamente y los nuevos que le sean aportados. |
DE LOS COSTOS DE DISPOSICIÓN FINAL.
ARTÍCULO 23. COSTO DE DISPOSICIÓN FINAL TOTAL (CDFT). El costo de disposición final total será el estimado de acuerdo con la siguiente función:
![]()
Donde:
| CDFT | Costo de Disposición Final Total, el cual será igual al CDFTDd cuando se dispone en un único sitio de disposición final d; mientras que cuando se utiliza más de un sitio de disposición final corresponde al promedio de los costos (CDFTDd) de estos, ponderado por las toneladas de residuos sólidos del APS que se disponen en cada sitio de disposición final d (pesos/tonelada). |
| CDFTDd | Costo por tonelada en el sitio de disposición final d, adoptado por la persona prestadora de disposición final entre el precio máximo definido en el ARTÍCULO 24 y el precio mínimo definido en el ARTÍCULO 25 de la presente resolución (pesos de diciembre de 2017/tonelada). Lo anterior, no aplica para aquellas personas prestadoras que dispongan en un relleno sanitario que se encuentre en el ámbito de aplicación de la Resolución CRA 720 de 2015, quienes deberán dar aplicación a lo dispuesto en el Capítulo VI de la citada resolución. |
| Promedio mensual de residuos sólidos que se disponen en el sitio de disposición final d, de acuerdo con lo definido en el ARTÍCULO 13 de la presente resolución (toneladas/mes). | |
| d: | Sitio de disposición final, donde, d = {1, 2, 3, 4,...,u}. |
PARÁGRAFO 1. En aquellos eventos en los que se deban incorporar incentivos a los municipios y/o distritos donde se ubiquen rellenos sanitarios regionales, de conformidad con lo dispuesto por el artículo 2.3.2.4.2. del Decreto 1077 de 2015 o aquel que lo modifique, adicione, sustituya o aclare, su valor por tonelada se sumará al CDFTDd adoptado por la persona prestadora del sitio de disposición final d. Tal situación se informará a la Superintendencia de Servicios Públicos Domiciliarios y a la Comisión de Regulación de Agua Potable y Saneamiento Básico.
PARÁGRAFO 2. Todo sitio de disposición final deberá reportar anualmente al Sistema Único de Información (SUI), su capacidad de disposición y tener disponible la misma en un lugar visible, con el fin de ilustrar con información suficiente a las personas prestadoras de la actividad de recolección y transporte de residuos no aprovechables.
PARÁGRAFO 3. Para efectos del cobro del costo de disposición final total de que trata el presente artículo, el mismo aplica, exclusivamente, para aquellas personas prestadoras cuyo sitio de disposición final corresponda a un
relleno sanitario que cumpla con la normatividad vigente expedida por el Ministerio de Vivienda, Ciudad y Territorio (MVCT) o quien haga sus veces.
ARTÍCULO 24. PRECIO MÁXIMO DE DISPOSICIÓN FINAL TOTAL (CDFTDD). El precio máximo de disposición final total se estimará de acuerdo con las siguientes funciones:
![]()
Donde:
| CDFTDd | Costo total máximo a reconocer por disposición final y tratamiento de lixiviados en el sitio de disposición final d (pesos/tonelada) |
| CDFd | Costo máximo a reconocer por tonelada en el sitio de disposición final d (pesos de diciembre de 2017/tonelada), el cual se estima de acuerdo con las siguientes fórmulas:![]() Donde: CDF_VUd: Costo máximo a reconocer por tonelada, por vida útil de 20 años, en el sitio de disposición final d (pesos de diciembre de 2017/tonelada). CDF_PCd: Costo máximo a reconocer por tonelada, por período de la etapa de posclausura de diez (10) años, en el sitio de disposición final d (pesos de diciembre de 2017/tonelada). Min ( ): Función que exige escoger el menor de los dos valores separados por punto y coma. Kd: Factor que involucra el costo adicional por una duración superior a diez (10) años de la etapa de posclausura en el sitio de disposición final d, según la exigencia de la autoridad ambiental. En el caso en que la autoridad ambiental determine un período igual a diez (10) años de la etapa de posclausura, para el sitio de disposición final, Kd=1. d: Sitio de disposición final, donde, d = {1, 2, 3, 4,...,u}. |
| CTLd | Costo máximo a reconocer por tratamiento de lixiviados por tonelada (pesos de diciembre de 2017/tonelada). El costo máximo de tratamiento de lixiviados por metro cúbico (CTLMd) se estimará con las siguientes funciones según los respectivos escenarios por objetivo de calidad:![]() Donde: CTLMd: Costo de Tratamiento de Lixiviados por metro cúbico máximo a reconocer en el sitio de disposición final d, según el objetivo de calidad (pesos de diciembre de 2017/m3). En el caso que por autorización de la Autoridad Ambiental sólo se realice recirculación de lixiviados, el CTLMd máximo será de $2.759 por m3 recirculado (pesos de diciembre de 2017/m3). CMTLXd: Costo Generado por la Tasa Ambiental para el vertimiento del tratamiento de lixiviados en el sitio de disposición final d, con referencia a la tasa retributiva por la utilización directa o indirecta del agua como receptor de vertimientos. El costo a incluir corresponderá al cobro definido por la autoridad ambiental al usuario que realiza vertimientos puntuales en forma directa o indirecta al recurso hídrico, para el año fiscal inmediatamente anterior (pesos de diciembre de 2017/m3-mes). CTLM_VUdx: Costo de Tratamiento de Lixiviados en el sitio de disposición final d, para un objetivo de calidad x, por vida útil de 20 años por tonelada (pesos de diciembre de 2017/tonelada). CTLM_PCdx: Costo de Tratamiento de Lixiviados por tonelada, en el sitio de disposición final d, para un objetivo de calidad x, por período de la etapa de posclausura de diez (10) años (pesos de diciembre de 2017/tonelada). d: Sitio de disposición final, donde, d = {1, 2, 3, 4,...,u}. x: Objetivo de calidad que establezca la autoridad ambiental en la norma de vertimientos o la respectiva licencia ambiental, donde, x = {1, 2, 3, 4}. Para el Escenario 1 - Objetivo de Calidad: Remoción de sólidos suspendidos y materia orgánica: ![]() Para el Escenario 2 - Objetivo de Calidad: Remoción de sólidos suspendidos, materia orgánica y nitrógeno: ![]() Para el Escenario 3 - Objetivo de Calidad: Remoción de sólidos suspendidos, materia orgánica, sustancias inorgánicas y compuestos orgánicos: ![]() Para el Escenario 4 - Objetivo de Calidad: Remoción de sólidos suspendidos, materia orgánica, nitrógeno, sustancias inorgánicas y compuestos orgánicos: kld: Factor que involucra el costo adicional por una duración superior a diez (10) años de la posclausura del sitio de disposición final d, según lo que determine la autoridad ambiental. En el caso en que la autoridad ambiental determine un período igual a diez (10) años de la etapa de posclausura, para el sitio de disposición final, kld=1. |
PARÁGRAFO. Para los rellenos sanitarios en los que se dispongan menos de 2.400 toneladas mensuales y cuya altura no pueda superar los nueve (9) metros, por disposición de la autoridad ambiental competente, el CDFd podrá ser incrementado hasta en un diez por ciento (10%).
ARTÍCULO 25. PRECIO MÍNIMO DE DISPOSICIÓN FINAL TOTAL (CDFTDD). El precio mínimo de disposición final total se estimará de acuerdo con las siguientes funciones:

Donde:
| CDF_VUd | Costo mínimo a reconocer por tonelada, por vida útil de 30 años, en el sitio de disposición final d (pesos de diciembre de 2017/tonelada). |
| Promedio mensual de residuos sólidos que se reciben en el sitio de disposición final d, de acuerdo con lo definido en el ARTÍCULO 13 de la presente resolución (toneladas/mes). | |
| CDF_PCd | Costo mínimo a reconocer por tonelada, por período de la etapa de posclausura de diez (10) años, en el sitio de disposición final d (pesos de diciembre de 2017/tonelada). |
| Min() | Función que exige escoger el menor de los dos valores separados por punto y coma. |
| kd | Factor que involucra el costo adicional por una duración superior a diez (10) años de la etapa de posclausura del sitio de disposición final d, según la exigencia de la autoridad ambiental. En el caso en que la autoridad ambiental determine un período igual a diez (10) años de la etapa de posclausura, para el sitio de disposición final, kd=1. |
ARTÍCULO 26. COSTO DE DISPOSICIÓN FINAL CON APORTE BAJO CONDICIÓN (CDF_ABCD). Cuando una entidad pública realice aportes bajo condición sobre el valor total o parcial de los activos asociados a la actividad de disposición final, el CDFd con aportes bajo condición se deberá definir de acuerdo con la siguiente función:
![]()
Donde:
| CDF_ABCd | Costo de Disposición Final con aporte bajo condición del sitio de disposición final d (pesos de diciembre de 2017/tonelada). |
| CDFd | Costo de Disposición Final adoptado por la persona prestadora del sitio de disposición final d (CDFd) de conformidad con el ARTÍCULO 24 (precio máximo), o costo de disposición final total d (CDFTDd) en el ARTÍCULO 25 (precio mínimo) de la presente resolución (pesos de diciembre de 2017/tonelada). |
| Pd | Proporción del costo total que corresponde al costo de capital del sitio de disposición final d, el cual de adoptarse la función de costos máxima de disposición final d (CDFd) señalada en el ARTÍCULO 24 y, de acuerdo al tamaño del relleno sanitario, es el siguiente: ![]() De adoptarse la función de costos mínimo de disposición final total d (CDFTDd) señalada en el ARTÍCULO 25 y, de acuerdo al tamaño del relleno sanitario, es el siguiente: ![]() |
| fCKd | Fracción del costo de capital aportado bajo condición del sitio de disposición final d, el cual se determinará de acuerdo con la siguiente expresión: Donde: VA_CDF_ABCd: Valor del total de los activos aportados para la actividad de disposición final d (pesos de diciembre de 2017). VA_CDFd: Valor del total de los activos para la actividad de disposición final d (pesos de diciembre de 2017), entiéndase esto como la suma de los activos con que se contaba previamente y los nuevos que le sean aportados. |
PARÁGRAFO 1. En el caso en que la persona prestadora de disposición final adopte un precio entre el máximo definido en el ARTÍCULO 24 y el mínimo definido en el ARTÍCULO 25 de la presente resolución; se aplicará el porcentaje de reducción del costo de capital (Pd) definido para la función del costo mínimo de disposición final.
PARÁGRAFO 2. En el caso en que la persona prestadora de disposición final adopte el precio mínimo definido en el ARTÍCULO 25 de la presente resolución y, reciba aportes bajo condición para la actividad de tratamiento de lixiviados; deberá incluir el valor de los activos aportados para la actividad de tratamiento de lixiviados en el cálculo de fCKd del presente artículo.
ARTÍCULO 27. COSTO DE TRATAMIENTO DE LIXIVIADOS CON APORTE BAJO CONDICIÓN (CTL_ABCD). Cuando una entidad pública realice aportes bajo condición sobre el valor total o parcial de los activos asociados a la actividad de tratamiento de lixiviados del sitio de disposición final d, el CTLd con aportes bajo condición se deberá definir de acuerdo con la siguiente función:
![]()
Donde:
| CTL_ABCd | Costo de Tratamiento de Lixiviados con Aporte Bajo Condición en el sitio de disposición final d (pesos de diciembre de 2017/tonelada). |
| CTLd | Costo de Tratamiento de Lixiviados, adoptado por la persona prestadora del sitio de disposición final d, de conformidad con el ARTÍCULO 24 de la presente resolución (pesos de diciembre de 2017/tonelada). |
| Pd | Proporción del costo total que corresponde al costo de capital del sitio de disposición final d, el cual de adoptarse la función de costos máxima de disposición final d (CDFd) señalada en el ARTÍCULO 24 de la presente resolución y de acuerdo el escenario de tratamiento de lixiviados por objetivo de calidad, es el siguiente: ![]() |
| fCKd | Fracción del costo de capital aportado bajo condición del sitio de disposición final d, el cual se determinará de acuerdo con la siguiente expresión:![]() Donde: VA_CTL_ABCd: Valor del total de los activos aportados para la actividad de Tratamiento de Lixiviados (pesos de diciembre de 2017). VA_CTLd: Valor del total de los activos para la actividad de Tratamiento de Lixiviados (pesos de diciembre de 2017), entiéndase esto como la suma de los activos con que se contaba previamente y los nuevos que le sean aportados. |
ARTÍCULO 28. PROVISIÓN DE RECURSOS PARA LAS ETAPAS DE CLAUSURA Y POSCLAUSURA. La persona prestadora de la actividad de disposición final deberá constituir un encargo fiduciario, que permita garantizar los recursos necesarios para la clausura y posclausura del relleno sanitario d, de tal manera que todas las actividades y obras requeridas para dichas etapas se realicen, acorde con lo establecido en el artículo 2.3.2.3.17 del Decreto 1077 de 2015 modificado por artículo 1o del Decreto 1784 de 2017, o el que lo modifique, adicione, sustituya o aclare, de acuerdo con la fórmula definida para CDF_PCd del precio máximo o mínimo que hubiese adoptado la persona prestadora.
DE LOS COSTOS DE TRATAMIENTO.
ARTÍCULO 29. COSTO DE TRATAMIENTO (CT). El costo de tratamiento por tonelada será como máximo el valor que se establece en la siguiente función (pesos de diciembre de 2017/toneladas):
![]()
Donde:
| CT | Costo máximo a reconocer por tonelada, por vida útil de 30 años, en la planta de tratamiento (pesos de diciembre de 2017/tonelada). |
| Min() | Función que exige escoger el menor de los dos valores separados por punto y coma. |
| Promedio mensual de residuos orgánicos que se reciben en la planta de tratamiento, de acuerdo con lo definido en el ARTÍCULO 13 de la presente resolución (toneladas/mes). |
PARÁGRAFO. Las personas prestadoras de la actividad de tratamiento que no estén cumpliendo con la obligación de contar con báscula de pesaje en la planta de tratamiento, el valor del
definido en este artículo será igual a cero (0).
ARTÍCULO 30. COSTO DE TRATAMIENTO CON APORTE BAJO CONDICIÓN (CT_ABC). Cuando una entidad pública realice aportes bajo condición sobre el valor total o parcial de los activos asociados a actividad de tratamiento, el CT con aportes bajo condición se define de acuerdo con la siguiente función:
![]()
Donde:
| CT_ABC | Costo de Tratamiento con Aporte Bajo Condición (pesos de diciembre de 2017/tonelada). |
| CT | Costo de Tratamiento (pesos de diciembre de 2017/tonelada). |
| p | Proporción del costo total que corresponde al costo de capital, definido para el CT en el ARTÍCULO 29 de la presente resolución:![]() |
| fCK | Fracción del costo de capital aportado bajo condición del CT, el cual se determinará de acuerdo con la siguiente expresión: Donde: VA_CT_ABC: Valor del total de los activos aportados para la actividad de Tratamiento (pesos de diciembre de 2017). VA_CT: Valor del total de los costos de la actividad de Tratamiento (pesos de diciembre de 2017), entiéndase esto como la suma de los activos con que se contaba previamente y los nuevos que le sean aportados. |
CAPÍTULO VIII. DEL VALOR BASE DE REMUNERACIÓN DEL APROVECHAMIENTO.
ARTÍCULO 31. VALOR BASE DE REMUNERACIÓN DEL APROVECHAMIENTO (VBA). La remuneración de la actividad de aprovechamiento, se calculará de la siguiente forma:

Donde:
| VBA | Valor Base de Remuneración de Aprovechamiento (pesos de diciembre de 2017/tonelada). |
| j: | Personas prestadoras de recolección y transporte de residuos sólidos no aprovechables en el municipio, donde j= {1, 2, 3, 4,...,n}. |
| Costo Promedio de Recolección y Transporte de las personas prestadoras de residuos sólidos no aprovechables en el municipio (pesos de diciembre de 2017/tonelada). | |
| CRTj | Costo de Recolección y Transporte de la persona prestadora de residuos sólidos no aprovechables definido en el ARTÍCULO 21 de la presente resolución (pesos de diciembre de 2017/tonelada). |
| Promedio mensual de toneladas recolectadas y transportadas de residuos no aprovechables de la persona prestadora j en el municipio, de acuerdo con lo definido en el ARTÍCULO 13 de la presente resolución (toneladas/mes). | |
| CDFj | Costo de Disposición Final adoptado por la persona prestadora de la actividad de disposición final, el cual corresponde a: i) el CDFd en el caso que se adopte el precio máximo de conformidad con el ARTÍCULO 24 de la presente resolución o; ii) al CDFTDd del ARTÍCULO 25 de la presente resolución,en el caso que se adopte un valor dentro del rango posible de precios (menor al precio máximo o el precio mínimo) (pesos de diciembre de 2017/tonelada). |
| Costo Promedio de Disposición Final de residuos sólidos no aprovechables en el municipio (pesos de diciembre de 2017/tonelada). | |
| Promedio mensual de residuos sólidos dispuestos en el sitio de disposición final d por la persona prestadora j, de acuerdo con lo definido en el ARTÍCULO 13 de la presente resolución (toneladas/mes). | |
| DINC | Incentivo a la separación en la fuente que se otorgará como un descuento de hasta el cuatro por ciento (4%) de conformidad con lo establecido en el Decreto 1077 de 2015, modificado y adicionado por el Decreto 596 de 2016, o aquel que lo modifique, adicione, sustituya o aclare. |
PARÁGRAFO 1. El número de frecuencias de recolección para esta actividad corresponderá a lo establecido en el respectivo Programa para la Prestación del Servicio de Aseo acorde con el Plan de Gestión Integral de Residuos Sólidos (PGIRS).
PARÁGRAFO 2. El pesaje y clasificación de residuos efectivamente aprovechados se realizará en las ECA, definidas en el Decreto 1077 de 2015 o aquel que lo modifique, adicione, sustituya o aclare.
DE LA ACTUALIZACIÓN DE COSTOS.
ARTÍCULO 32. ACTUALIZACIÓN DE COSTOS. Para actualizar los costos económicos resultantes de la aplicación de la metodología tarifaria, cuando el Índice de Precios al Consumidor, reportado por el DANE, acumule una variación de por lo menos tres por ciento (3%). La actualización se realizará de conformidad con la siguiente fórmula:
![]()
Donde:
| Costoi | Se refiere al costo económico actualizado para el periodo i. |
| Costoi-1 | Se refiere al costo económico estimado a partir de la última actualización efectuada por la persona prestadora. |
| FAIPC | Factor de Actualización por IPC, el cual podrá ser aplicado cada vez que se acumule una variación de por lo menos el tres por ciento (3%) en el Índice de Precios al Consumidor reportado por el DANE. Este factor será calculado de la siguiente manera:![]() Donde: IPCi: IPC reportado por el DANE en el mes seleccionado por la persona prestadora, para efectos de realizar la actualización por concepto de IPC (mes final). IPCi-1: IPC reportado por el DANE correspondiente al último mes en el cual se realizó la actualización por concepto de IPC o aquel que la persona prestadora seleccione como mes base para la actualización, el cual no podrá ser anterior al momento en el que se aplicó la última indexación. |
PARÁGRAFO. La aplicación del IPC se sujetará a lo establecido en el artículo 125 de la Ley 142 de 1994. Para la estimación del factor de actualización, se utilizará el IPC expresado de acuerdo con la base definida por el DANE vigente al momento de expedición de la presente resolución, redondeado a seis (6) decimales. El factor de actualización obtenido (FAIPC) deberá ser redondeado a cuatro (4) decimales y las operaciones resultantes de la fórmula de actualización de costos de referencia serán redondeadas a dos (2) decimales.
DE LAS TARIFAS Y LA PRODUCCIÓN DE RESIDUOS FACTURADOS.
ARTÍCULO 33. TARIFA FINAL POR SUSCRIPTOR. Para efecto de calcular la tarifa mensual final por suscriptor, las personas prestadoras de recolección y transporte de residuos sólidos no aprovechables aplicarán la siguiente fórmula:
33.1 Suscriptor no Aforado:
![]()
33.2 Suscriptor Aforado:
![]()
Donde:
| TFSu | Tarifa Final por Suscriptor tipo u de la persona prestadora (pesos/suscriptor-mes). |
| TFSi | Tarifa Final por Suscriptor i de la persona prestadora (pesos/suscriptor-mes). |
| CFT | Costo Fijo Total definido en el ARTÍCULO 10 de la presente resolución (pesos/suscriptor-mes). |
| CVNA | Costo Variable por tonelada de residuos sólidos no aprovechables definido en el ARTÍCULO 11 de la presente resolución (pesos/tonelada). |
| CVA | Costo Variable por tonelada de residuos efectivamente aprovechados definido en el ARTÍCULO 12 de la presente resolución (pesos/tonelada). |
| TRN | Toneladas de Residuos sólidos No Aprovechables por suscriptor, definidas en el ARTÍCULO 34 de la presente resolución (toneladas/suscriptor-mes). |
| TRA | Toneladas de Residuos Efectivamente Aprovechados por suscriptor, definidas en el ARTÍCULO 34 de la presente resolución (toneladas/suscriptor-mes) |
| TFNi | Toneladas de Residuos sólidos no aprovechables aforadas por suscriptor i, en el periodo de facturación (toneladas/suscriptor-mes). |
| TFAi | Toneladas de Residuos efectivamente aprovechados aforadas por suscriptor i, en el periodo de facturación (toneladas/suscriptor-mes). |
| FCSu | Factor de Contribución o Subsidio correspondiente a cada suscriptor, aplicable para el servicio público de aseo, determinado por estrato o tipo de uso de acuerdo con la normatividad aplicable, subsidio con signo negativo y contribución con signo positivo. |
| u | Tipo de suscriptor, donde u = (1,2,3,4,5,6= estratos suscriptores residenciales, 7=pequeño productor, 8= inmuebles desocupados) |
| i | Suscriptor aforado, donde i = (1,2,3,…,I). |
ARTÍCULO 34. CÁLCULO DE TONELADAS POR SUSCRIPTOR. Las toneladas de residuos sólidos no aprovechables y aprovechables por suscriptor en el APS de servicio se calcularán de acuerdo con las siguientes fórmulas:
34.1 Toneladas por suscriptor de residuos sólidos no aprovechables:
![]()
Donde:
| TRN | Toneladas de residuos sólidos no aprovechables por suscriptor mes. |
| Promedio mensual de toneladas de residuos sólidos no aprovechables transportados y recolectados, de acuerdo con lo definido en el ARTÍCULO 13 de la presente resolución (toneladas/mes). Incluye los residuos derivados de las actividades de barrido y limpieza de vías y áreas públicas, y limpieza urbana, los residuos de rechazo de la actividad de aprovechamiento y/o tratamiento, y los residuos sólidos no aprovechables que sean transportados al sitio de disposición final, estación de transferencia o sitio de tratamiento s (toneladas/mes). | |
| Promedio mensual del número de suscriptores totales del APS, de acuerdo con lo definido en el ARTÍCULO 13 de la presente resolución (suscriptores/mes). | |
| Promedio mensual del número de suscriptores de inmuebles desocupados del APS, de acuerdo con lo definido en el ARTÍCULO 13 de la presente resolución (suscriptores/mes). | |
| Promedio mensual del número de suscriptores aforados de no aprovechables del APS, de acuerdo con lo definido en el ARTÍCULO 13 de la presente resolución (suscriptores/mes). | |
| TFNi | Toneladas de Residuos sólidos no aprovechables aforadas por suscriptor i, en el periodo de facturación (toneladas/suscriptor-mes). |
| i | Suscriptor aforado, donde i = (1,2,3,…,I). |
| s: | Sitio de entrega de residuos sólidos, donde, s = {sitios de disposición final, estaciones de transferencia, sitios de tratamiento}. |
34.2 Toneladas por suscriptor de residuos efectivamente aprovechados:

Donde:
| TRA | Toneladas de residuos efectivamente aprovechados por suscriptor mes. |
| Promedio mensual de toneladas de residuos efectivamente aprovechados en el municipio, de acuerdo con lo definido en el ARTÍCULO 13 de la presente resolución y la información registrada en el Sistema Único de Información (SUI) (toneladas/mes). | |
| TFAi | Toneladas de Residuos efectivamente aprovechados aforadas por suscriptor i, en el periodo de facturación (toneladas/suscriptor-mes). |
| Promedio mensual del número de suscriptores totales del municipio, de acuerdo con lo definido en el ARTÍCULO 13 de la presente resolución (suscriptores/mes). | |
| Promedio mensual del número de suscriptores de inmuebles desocupados del municipio, de acuerdo con lo definido en el ARTÍCULO 13 de la presente resolución (suscriptores/mes). | |
| Promedio mensual del número de suscriptores aforados de aprovechamiento del municipio, de acuerdo con lo definido en el ARTÍCULO 13 de la presente resolución (suscriptores/mes). | |
| i | Suscriptor aforado, donde i = (1,2,3,…,I). |
PARÁGRAFO 1. Las personas prestadoras de las actividades de disposición final y tratamiento deberán garantizar el pesaje de los residuos sólidos no aprovechables, que reciban en el relleno sanitario o planta de tratamiento respectivamente. Las personas prestadoras que, a la entrada en vigencia de la presente resolución, operen rellenos sanitarios que no cuenten con báscula de pesaje, deberán cumplir con lo establecido en el ARTÍCULO 171 de la presente Resolución, para lo cual, contarán con un plazo máximo de un (1) año a partir del inicio de la vigencia de la fórmula tarifaria.
PARÁGRAFO 2. Para efecto de facturación, las ECA y las plantas de tratamiento no se considerarán suscriptores de residuos no aprovechables.
DEL CÁLCULO DE LA METODOLOGÍA TARIFARIA PARA EL SEGUNDO SEGMENTO.
DEL CÁLCULO DEL COSTO FIJO, EL COSTO VARIABLE, EL PROMEDIO PARA LA ESTIMACIÓN Y EL CENTROIDE.
ARTÍCULO 35. COSTO FIJO TOTAL (CFT). El costo fijo total por suscriptor del APS se define de la siguiente manera:
![]()
Donde:
| CFT | Costo Fijo Total por suscriptor del servicio público de aseo (pesos de diciembre de 2017/suscriptor-mes). |
| CCS | Costo de Comercialización por Suscriptor del servicio público de aseo, definido en el ARTÍCULO 40 de la presente resolución (pesos de diciembre de 2017/suscriptor-mes). |
| CBLUS | Costo de Barrido y limpieza de vías y áreas públicas y, Limpieza Urbana por Suscriptor, definido en el ARTÍCULO 42 de la presente resolución (pesos de diciembre de 2017/suscriptor-mes). |
ARTÍCULO 36. COSTO VARIABLE POR TONELADA DE RESIDUOS SÓLIDOS NO APROVECHABLES (CVNA). El costo variable por tonelada de residuos sólidos no aprovechables se define de la siguiente manera:

Donde:
| CVNA | Costo Variable por tonelada de Residuos Sólidos no Aprovechables (pesos de diciembre de 2017/tonelada). |
| CRT | Costo de Recolección y Transporte de Residuos Sólidos definido en el ARTÍCULO 46 de la presente resolución (pesos de diciembre de 2017/tonelada). |
| CDFT | Costo de Disposición Final Total por tonelada definido en el ARTÍCULO 48 de la presente resolución (pesos de diciembre de 2017/tonelada). |
| CT | Costo de Tratamiento por tonelada definido en el ARTÍCULO 54 de la presente resolución (pesos de diciembre de 2017/tonelada). |
| Promedio mensual de toneladas de residuos sólidos recolectado y transportados al sitio de disposición final o sitio de tratamiento, de acuerdo con lo definido en el ARTÍCULO 38 de la presente resolución (toneladas/mes). |
ARTÍCULO 37. COSTO VARIABLE POR TONELADA DE RESIDUOS EFECTIVAMENTE APROVECHADOS (CVA). El Costo Variable por tonelada de residuos efectivamente aprovechados se define de la siguiente manera:
![]()
Donde:
| CVA | Costo Variable por tonelada de residuos efectivamente aprovechados (pesos de diciembre de 2017/tonelada). |
| VBA | Valor Base de remuneración del Aprovechamiento definido en el ARTÍCULO 56 de la presente resolución (pesos de diciembre de 2017/tonelada). |
ARTÍCULO 38. PROMEDIO PARA LOS CÁLCULOS. Cuando en el presente Título se determine que los cálculos se realicen con el promedio de: kilómetros de barrido y limpieza, toneladas de residuos sólidos no aprovechables, toneladas de residuos sólidos tratados, toneladas de residuos efectivamente aprovechados, metros cúbicos de lixiviados generados en el relleno sanitario y número de suscriptores, se tomará el promedio mensual del año fiscal inmediatamente anterior.
PARÁGRAFO. Las personas prestadoras que inicien actividades con posterioridad a la entrada en vigencia de la fórmula tarifaria deberán estimar promedios mensuales, a partir de la información que se irá acumulando mes a mes, hasta el 31 de diciembre del año en que se iniciaron las operaciones. En el segundo año de operaciones, se empleará el promedio de la información disponible hasta el 31 de diciembre del primer año. A partir del tercer año, se empleará el promedio de la información del año fiscal inmediatamente anterior.
ARTÍCULO 39. CENTROIDE. Para efectos de lo establecido en el presente título, el centroide del APS corresponde al punto identificado por coordenadas, de conformidad con el estándar de georreferenciación nacional, ubicado en el límite del APS por la vía que conduce al sitio de disposición final, transferencia o tratamiento, el cual se utiliza para estimar la distancia desde éste hasta la puerta de acceso a dicho sitio.
La distancia con respecto al sitio o sitios de disposición final, transferencia o tratamiento, para cada una de las APS, deberá ser reportada por la persona prestadora al momento de aplicación de la presente resolución a través del Sistema Único de Información (SUI).
DE LOS COSTOS DE COMERCIALIZACIÓN.
ARTÍCULO 40. COSTO DE COMERCIALIZACIÓN POR SUSCRIPTOR DEL SERVICIO PÚBLICO DE ASEO (CCS). El costo de comercialización por suscriptor del servicio público de aseo será el valor adoptado por la persona prestadora, dentro del rango posible de precios (precio máximo y precio mínimo) según el servicio con el cual se realice la facturación conjunta:
a. Precio Máximo (pesos de diciembre de 2017/mes):

b. Precio Mínimo (pesos de diciembre de 2017/mes):
El precio mínimo del Costo de Comercialización por Suscriptor será el resultante de la aplicación de los siguientes rubros:

PARÁGRAFO 1. En todo caso el precio adoptado para ésta actividad no podrá superar el precio máximo del literal a del presente artículo.
PARÁGRAFO 2. En los eventos en los cuales se realice facturacióin directe, conjunta con el servicio de gas o se facture conjuntamente con dos servicios diferentes al tiempo, y se decida adoptar el precio máximo para esta actividad, se deberá tomar el precio máximo definido para facturación conjunta con acueducto.
ARTÍCULO 41. INCREMENTO EN EL CCS POR LA PRESTACIÓN DE LA ACTIVIDAD DE APROVECHAMIENTO. Cuando en el municipio se preste la actividad de aprovechamiento, el CCS adoptado se deberá incrementar en un 36%, el cual se distribuirá entre las personas prestadoras de la actividad de aprovechamiento y las personas prestadoras de la actividad de recolección y transporte de residuos no aprovechables, de acuerdo con los siguientes porcentajes:

El recaudo proveniente del 23% de incremento en el costo de comercialización por suscriptor (CCS) deberá ser distribuido entre las personas prestadoras de aprovechamiento de la siguiente manera:
41.1 Recaudo mensual por CCS para las personas prestadoras de aprovechamiento por suscriptores no aforados de esta actividad:
![]()
Donde:
| RNAj | Recursos provenientes del recaudo por concepto del CCS para la persona prestadora de aprovechamiento j en el municipio, asociado al recaudo mensual por CCS de aprovechamiento de los suscriptores no aforados en el APS de la persona prestadora de recolección y transporte de residuos sólidos no aprovechables (pesos/mes). |
| RCCSNA | Recaudo mensual proveniente de los suscriptores no aforados, por concepto del costo de comercialización del servicio público de aseo en el APS de las personas prestadoras de recolección y transporte de residuos sólidos no aprovechables (pesos/mes). |
| Promedio mensual de toneladas de residuos efectivamente aprovechados no aforadas por la persona prestadora de aprovechamiento j en el municipio (toneladas/mes), de acuerdo con lo establecido en el Artículo 38 de la presente resolución. | |
| j | número de personas prestadoras de la actividad de aprovechamiento en el área urBANA DEL APS DONDE J= {1, 2, 3, 4,...,n}. |
| 16,91%: | Porcentaje del costo asociado al incremento de costos de comercialización por la prestación de la actividad de aprovechamiento. |
41.2 Recaudo mensual por CCS para las personas prestadoras de aprovechamiento por suscriptores aforados de esta actividad:

Donde:
| RAj | Recursos provenientes del recaudo por concepto del CCS para la persona prestadora de aprovechamiento j en el municipio, asociado al recaudo mensual por CCS de aprovechamiento de los suscriptores aforados de aprovechamiento en el APS de la persona prestadora de recolección y transporte de residuos sólidos no aprovechables (pesos/mes). |
| RCCSAF | Recaudo mensual proveniente de los suscriptores con aforo, por concepto del costo de comercialización del servicio público de aseo en el APS de las personas prestadoras de recolección y transporte de residuos sólidos no aprovechables (pesos/mes). |
| Promedio mensual del número de suscriptores aforados de aprovechamiento del municipio, de acuerdo con lo definido en el artículo 38 de la presente resolución (suscriptores/mes). | |
| j | número de personas prestadoras de la actividad de aprovECHAMIENTO EN EL ÁREA URBANA DONDE J= {1, 2, 3, 4,...,n}. |
| 16,91%: | Porcentaje del costo asociado al incremento de costos de comercialización por la prestación de la actividad de aprovechamiento. |
PARÁGRAFO. Este incremento se realizará una vez la persona prestadora de aprovechamiento haya certificado la cantidad en toneladas de residuos efectivamente aprovechados en el Sistema Único de Información (SUI) y, por ende, se pueda facturar la actividad de aprovechamiento en el respectivo municipio.
DE LOS COSTOS DE BARRIDO Y LIMPIEZA DE VÍAS Y ÁREAS PÚBLICAS, Y LIMPIEZA URBANA.
ARTÍCULO 42. COSTO DE BARRIDO Y LIMPIEZA DE VÍAS Y ÁREAS PÚBLICAS Y LIMPIEZA URBANA POR SUSCRIPTOR (CBLUS). Costo de barrido y limpieza de vías y áreas públicas y limpieza urbana por suscriptor (CBLUS), será:

Donde:
| CBLUS | Costo de Barrido y limpieza de vías y áreas públicas y Limpieza Urbana por Suscriptor (pesos de diciembre de 2017/suscriptor-mes). |
| Promedio mensual del número de suscriptores de la persona prestadora j en el municipio, de acuerdo con lo establecido en el ARTÍCULO 38 de la presente resolución. | |
| j | Número de personas prestadoras de la actividad de barrido y limpieza urbana en un mismo municipio donde j= {1, 2, 3, 4,...,n}. |
| CBLUSj | Costo de Barrido y limpieza de vías y áreas públicas y Limpieza Urbana por Suscriptor de la persona prestadora j (pesos de diciembre de 2017/suscriptor-mes), el cual será el valor adoptado por la persona prestadora, dentro del rango posible de precios (precio máximo y precio mínimo) que se establecen en los literales a y b del presente artículo: |
a. Precio Máximo CBLUSj (pesos de diciembre de 2017):

| CBLj | Costo máximo del Costo de Barrido y Limpieza de vías y áreas públicas será $15.131 por kilómetro (pesos de diciembre de 2017). |
| Longitud promedio mensual de vías y áreas públicas barridas por la persona prestadora j, de acuerdo con lo establecido en el ARTÍCULO 38 de la presente resolución, en su APS según las frecuencias definidas para el municipio en el PGIRS y el Programa para la Prestación del Servicio (kilómetros/mes). | |
| CLUSj | Precio máximo del Costo de Limpieza Urbana será el resultante de la aplicación de los siguientes rubros: |


b. Precio Mínimo CBLUSj (pesos de diciembre de 2017):
El precio mínimo del Costo de Barrido y Limpieza de vías y áreas públicas y Limpieza Urbana será el resultante de la aplicación de los siguientes rubros:


PARÁGRAFO 1. Cuando el valor total de los equipos y/o activos asociados a esta actividad es aportado por una entidad pública, éstos no deberán ser incluidos en el rubro número ii de las Tablas de los literales a y b del presente artículo.
PARÁGRAFO 2. Las áreas públicas a barrer deberán ser convertidas a kilómetros lineales, multiplicando el área (m2) total a barrer por 0,002 km/m2.
PARÁGRAFO 3. La longitud de vías y áreas públicas barridas (Km), los árboles a intervenir (unidades), las áreas verdes objeto de corte (m2), las áreas públicas objeto de lavado (m2), las playas objeto de limpieza (km) y las cestas a instalar (unidades), corresponderán a las definidas en el Programa para la Prestación del Servicio de Aseo, con base en lo establecido en el Plan de Gestión Integral de Residuos Sólidos (PGIRS).
PARÁGRAFO 4. El costo de limpieza de playas costeras o ribereñas sólo aplica para los municipios que cuenten con playas en su área urbana y que la longitud o áreas a intervenir (km y/o m2) hayan sido incluidos por el municipio en el respectivo PGIRS, así como en el Programa de Prestación del Servicio de la persona prestadora. En caso de no incluir playas, dicho concepto será igual a cero.
PARÁGRAFO 5. De las actividades definidas en los artículos 2.3.2.2.2.4.57, 2.3.2.2.2.4.62, 2.3.2.2.2.5.65, 2.3.2.2.2.6.66. y 2.3.2.2.2.6.70 del Decreto 1077 de 2015 o aquel que lo modifique, adicione, sustituya o aclare; a los suscriptores ubicados en centros poblados rurales solo se les podrá cobrar el costo correspondiente a la instalación y mantenimiento de cestas públicas.
PARÁGRAFO 6. En todo caso el precio adoptado para ésta actividad no podrá superar el precio máximo del literal a del presente artículo.
ARTÍCULO 43. FRECUENCIAS DE BARRIDO Y LIMPIEZA DE VÍAS Y ÁREAS PÚBLICAS. Las frecuencias de barrido y limpieza de vías y áreas públicas serán como mínimo las que establece el artículo 2.3.2.2.2.4.53 del Decreto 1077 de 2015 o aquel que lo modifique, adicione, sustituya o aclare.
PARÁGRAFO. El aumento de frecuencias de barrido deberá ser solicitado al prestador por parte del municipio, siempre y cuando haya modificado el PGIRS, de acuerdo con lo establecido en el Decreto 1077 de 2015 o aquel que lo modifique, adicione, sustituya o aclare.
ARTÍCULO 44. RESPONSABILIDAD DE LA PRESTACIÓN DEL BARRIDO Y LIMPIEZA DE VÍAS Y ÁREAS PÚBLICAS. Las labores de barrido y limpieza de vías y áreas públicas son responsabilidad de la persona prestadora del servicio público de aseo de residuos sólidos no aprovechables en el APS donde realice las actividades de recolección y transporte. Dicha obligación quedará consignada en el respectivo contrato de servicios públicos (CCU) con el usuario.
PARÁGRAFO. Cuando en un municipio exista más de una persona prestadora, éstas deberán celebrar acuerdos de barrido conforme con la regulación establecida en la Resolución CRA 709 de 2015 o aquella que la modifique, adicione, sustituya o aclare, con base en el artículo 2.3.2.2.2.4.52 del Decreto 1077 de 2015 o aquel que lo modifique, adicione, sustituya o aclare. Lo anterior, sin perjuicio de lo dispuesto en el artículo 2.3.2.2.2.4.51 del mismo decreto respecto de la responsabilidad de la persona prestadora de recolección y transporte en el barrido y limpieza de vías y áreas públicas.
ARTÍCULO 45. RESPONSABILIDAD DE LA LIMPIEZA URBANA. Las labores de limpieza urbana son responsabilidad de los prestadores del servicio público de aseo de residuos sólidos no aprovechables en el APS donde realicen las actividades de recolección y transporte. Cuando en un municipio exista más de una persona prestadora, éstas deberán celebrar acuerdos de lavado conforme con la regulación establecida en la Resolución CRA 767 de 2016 o aquella que la modifique, adicione, sustituya o aclare, con base en el artículo 2.3.2.2.2.5.63 del Decreto 1077 de 2015 o aquel que lo modifique, adicione, sustituya o aclare.
DE LOS COSTOS DE RECOLECCIÓN Y TRANSPORTE.
ARTÍCULO 46. COSTO DE RECOLECCIÓN Y TRANSPORTE DE RESIDUOS SÓLIDOS (CRT). El costo de recolección y transporte de residuos sólidos será el valor adoptado por la persona prestadora, dentro del rango posible de precios (precio máximo y precio mínimo) que se establecen en los literales a y b del presente artículo:
a. Precio máximo CRT: El precio máximo del costo de recolección y transporte de residuos sólidos será el resultante de la aplicación de los siguientes rubros:

El precio mínimo del costo de recolección y transporte de residuos sólidos será el estimado de acuerdo con la siguiente función (pesos de diciembre de 2017):
Donde:
| CRT | Costo de Recolección y Transporte por tonelada (pesos de diciembre de 2017/tonelada). |
| CRTs | Costo de Recolección y Transporte adoptado por la persona prestadora para cada sitio de disposición final, estación de transferencia o tratamiento s utilizado para el manejo adecuado de los residuos sólidos, el cual corresponde a $59.176 por tonelada (pesos de diciembre de 2017/tonelada). |
| Promedio mensual del año fiscal inmediatamente anterior del valor pagado por concepto de los peajes de ida y vuelta, ubicados en el trayecto entre el centroide del APS y la entrada del sitio de disposición final, estación de transferencia o sitio de tratamiento (pesos de diciembre de 2017/mes). | |
| CEG | Costo de transferencia y transporte a granel hasta el sitio de disposición final, el cual corresponde al valor cobrado por la persona prestadora de la estación de transferencia, de conformidad con el parágrafo 6 del artículo 24 de la Resolución CRA 720 de 2015 o el ARTÍCULO 147 de la presente resolución (pesos de diciembre de 2017/tonelada). |
| Promedio mensual de toneladas de residuos sólidos recolectados y transportados al sitio de disposición final, estación de transferencia o sitio de tratamiento, de acuerdo con lo definido en el ARTÍCULO 38 de la presente resolución (toneladas/mes). | |
| s: | Sitio de entrega de residuos sólidos, donde, s = {sitios de disposición final, estaciones de transferencia, sitios de tratamiento}. |
PARÁGRAFO 1. Para la estimación del precio máximo del literal a del presente artículo, no se deben incluir los aportes bajo condición que se hayan realizado en los rubros ii y iii para la determinación del costo máximo de recolección y transporte.
PARÁGRAFO 2. Aquellas personas prestadoras que atiendan en municipios costeros y que adopten el precio mínimo del literal b del presente artículo, podrán incrementar el CRT en 0,94% para tener en cuenta el efecto de la salinidad.
PARÁGRAFO 3. El número de frecuencias para esta actividad corresponderá a aquel que optimice el costo de recolección y transporte de la persona prestadora, en relación con la cantidad de residuos sólidos generados en el APS, sin que en ningún caso pueda ser inferior a dos (2) frecuencias semanales, de conformidad con el artículo 2.3.2.2.2.3.32. del Decreto 1077 de 2015 o aquel que lo modifique, adicione, sustituya o aclare.
PARÁGRAFO 4. En aquellos eventos en los que se deban incorporar incentivos a los municipios y/o distritos donde se ubiquen estaciones de transferencia regionales, de conformidad con lo dispuesto por el artículo 2.3.2.4.3 del Decreto 1077 de 2015 o aquel que lo modifique, adicione, sustituya o aclare, su valor por tonelada se sumará al CRT adoptado por la persona prestadora. Tal situación se informará a la Superintendencia de Servicios Públicos Domiciliarios (SSPD) y a la Comisión de Regulación de Agua Potable y Saneamiento Básico (CRA).
ARTÍCULO 47. COSTO DE RECOLECCIÓN Y TRANSPORTE DE RESIDUOS SÓLIDOS CON APORTE BAJO CONDICIÓN (CRTSS_ABC). Cuando la persona prestadora adopte el precio mínimo de CRTSs, del que trata el literal b del ARTÍCULO 46 de la presente resolución, y una entidad pública realice aportes bajo condición sobre el valor total o parcial de los vehículos y/o activos asociados a la actividad de recolección y transporte, el CRT con aportes bajo condición se define de acuerdo con la siguiente función:
![]()
Donde:
| CRTSs_ABC | Costo de Recolección y Transporte de residuos sólidos con aporte bajo condición (pesos de diciembre de 2017/tonelada). |
| CRTSs | Costo de Recolección y Transporte de residuos sólidos mínimo, de conformidad con el que trata el literal b del ARTÍCULO 46 de la presente resolución (pesos de diciembre de 2017/tonelada). |
| p | Proporción del costo total que corresponde a la adquisición de vehículos de recolección y transporte y/o activos asociados a esta actividad, estimado en el 18%. |
| fCK | Fracción del costo de capital aportado bajo condición, definido como:![]() VA_CRT_ABC: Valor del total de los activos aportados para la actividad de recolección y transporte (pesos de diciembre de 2017). VA_CRT: Valor del total de los activos para la actividad de recolección y transporte (pesos de diciembre de 2017), entiéndase esto como la suma de los activos con que se contaba previamente y los nuevos que le sean aportados. |
DE LOS COSTOS DE DISPOSICIÓN FINAL.
ARTÍCULO 48. COSTO DE DISPOSICIÓN FINAL TOTAL (CDFT). El costo de disposición final total será el estimado de acuerdo con la siguiente función:

Donde:
| CFT | Costo de Disposición Final Total, el cual será igual al CDFTDd cuando se dispone en un único sitio de disposición final d; mientras que cuando se utiliza más de un sitio de disposición final corresponde al promedio de los costos (CDFTDd) de estos, ponderado por las toneladas de residuos sólidos del APS que se disponen en cada sitio de disposición final d (pesos/tonelada). |
| CDFTDd | Costo por tonelada en el sitio de disposición final d adoptado por la persona prestadora de disposición final entre el precio máximo definido en el ARTÍCULO 49 y el precio mínimo definido en el ARTÍCULO 50 de la presente resolución (pesos de diciembre de 2017/tonelada). Lo anterior, no aplica para aquellas personas prestadoras que dispongan en un relleno sanitario que se encuentre en el ámbito de aplicación de la Resolución CRA 720 de 2015, quienes deberán dar aplicación a lo dispuesto en el Capítulo VI de la citada resolución. |
| Promedio mensual de residuos sólidos que se disponen en el sitio de disposición final d, de acuerdo con lo definido en el ARTÍCULO 38 de la presente resolución (toneladas/mes). | |
| d: | Sitio de disposición final, donde, d = {1, 2, 3, 4,...,u}. |
PARÁGRAFO 1. En aquellos eventos en los que se deban incorporar incentivos a los municipios y/o distritos donde se ubiquen rellenos sanitarios regionales, de conformidad con lo dispuesto por el artículo 2.3.2.4.2. del Decreto 1077 de 2015 o aquel que lo modifique, adicione, sustituya o aclare, su valor por tonelada se sumará al CDFTDd adoptado por la persona prestadora del sitio de disposición final d. Tal situación se informará a la Superintendencia de Servicios Públicos Domiciliarios (SSPD) y a la Comisión de Regulación de Agua Potable y Saneamiento Básico (CRA).
PARÁGRAFO 2. Todo sitio de disposición final deberá reportar anualmente al Sistema Único de Información (SUI), su capacidad de disposición y tener disponible la misma en un lugar visible, con el fin de ilustrar con información suficiente a las personas prestadoras de la actividad de recolección y transporte de residuos no aprovechables.
PARÁGRAFO 3. Para efectos del cobro del costo de disposición final total de que trata el presente artículo, el mismo aplica, exclusivamente, para aquellas personas prestadoras cuyo sitio de disposición final corresponda a un relleno sanitario que cumpla con la normatividad vigente expedida por el Ministerio de Vivienda, Ciudad y Territorio (MVCT) o quien haga sus veces.
ARTÍCULO 49. PRECIO MÁXIMO DE DISPOSICIÓN FINAL TOTAL (CDFTDD). El precio máximo de disposición final total se estimará de acuerdo con las siguientes funciones:
![]()
Donde:
| CDFTDd | Costo total máximo a reconocer por disposición final y tratamiento de lixiviados en el sitio de disposición final d (pesos/tonelada). |
| DCFd | Costo máximo a reconocer por tonelada en el sitio de disposición final d (pesos de diciembre de 2017/tonelada), el cual se estima de acuerdo con las siguientes fórmulas:![]() Donde: CDF_VUdCosto máximo a reconocer por tonelada, por vida útil de 20 años, en el sitio de disposición final d (pesos de diciembre de 2017/tonelada). CDF_PCd: Costo máximo a reconocer por tonelada, por período de la etapa de posclausura de diez (10) años, en el sitio de disposición final d (pesos de diciembre de 2017/tonelada). d: Sitio de disposición final, donde, d = {1, 2, 3, 4,...,u}. Min( ): Función que exige escoger el menor de los dos valores separados por punto y coma. Kd: Factor que involucra el costo adicional por una duración superior a diez (10) años de la etapa de posclausura del relleno sanitario, según la exigencia de la autoridad ambiental. En el caso en que la autoridad ambiental determine un período igual a diez (10) años de la etapa de posclausura, para el sitio de disposición final, Kd=1. |
| CTLd | Costo máximo a reconocer por tratamiento de lixiviados por tonelada (pesos de diciembre de 2017/tonelada). El costo máximo de tratamiento de lixiviados por metro cúbico (CTLMd) se estimará con las siguientes funciones según los respectivos escenarios por objetivo de calidad:![]() Donde: CTLMd: Costo de Tratamiento de Lixiviados por metro cúbico máximo a reconocer en el sitio de disposición final d, según el objetivo de calidad (pesos de diciembre de 2017/m3). En el caso que por autorización de la Autoridad Ambiental sólo se realice recirculación de lixiviados, el CTLMd máximo será de $2.759 por m3 recirculado (pesos de diciembre de 2017/m3). CMTLXd: Costo Generado por la Tasa Ambiental para el vertimiento del tratamiento de lixiviados en el sitio de disposición final d, con referencia a la tasa retributiva por la utilización directa o indirecta del agua como receptor de vertimientos. El costo a incluir corresponderá al cobro definido por la autoridad ambiental al usuario que realiza vertimientos puntuales en forma directa o indirecta al recurso hídrico, para el año fiscal inmediatamente anterior (pesos de diciembre de 2017/m3-mes). CTLM,_VUdx: Costo de Tratamiento de Lixiviados en el sitio de disposición final d, para un objetivo de calidad x, por vida útil de 20 años por tonelada (pesos de diciembre de 2017/tonelada). CTLM_PCdx: Costo de Tratamiento de Lixiviados por tonelada, en el sitio de disposición final d, para un objetivo de calidad x, por período de la etapa de posclausura de diez (10) años, (pesos de diciembre de 2017/tonelada). d: Sitio de disposición final, donde, d = {1, 2, 3, 4,...,u}. x: Objetivo de calidad que establezca la autoridad ambiental en la norma de vertimientos o la respectiva licencia ambiental, donde, x = {1, 2, 3, 4}. Para el Escenario 1 - Objetivo de Calidad: Remoción de sólidos suspendidos y materia orgánica: ![]() Para el Escenario 2 - Objetivo de Calidad: Remoción de sólidos suspendidos, materia orgánica y nitrógeno: ![]() Para el Escenario 3 - Objetivo de Calidad: Remoción de sólidos suspendidos, materia orgánica, sustancias inorgánicas y compuestos orgánicos: ![]() Para el Escenario 4 - Objetivo de Calidad: Remoción de sólidos suspendidos, materia orgánica, nitrógeno, sustancias inorgánicas y compuestos orgánicos: ![]() Kld: Factor que involucra el costo adicional por una duración superior a diez (10) años de la posclausura del sitio de disposición final d, según lo que determine la autoridad ambiental. En el caso en que la autoridad ambiental determine un período igual a diez (10) años de la etapa de posclausura, para el sitio de disposición final, Kld=1. |
PARÁGRAFO. Para los rellenos sanitarios en los que se dispongan menos de 2.400 toneladas mensuales y cuya altura no pueda superar los nueve (9) metros, por disposición de la autoridad ambiental competente, el costo máximo de disposición final (CDFd) podrá ser incrementado hasta en un diez por ciento (10%).
ARTÍCULO 50. PRECIO MÍNIMO DE DISPOSICIÓN FINAL TOTAL (CDFTDD). El precio mínimo de disposición final total se calculará de acuerdo con las siguientes funciones:

Donde:
| CFD_VUd | Costo mínimo a reconocer por tonelada, por vida útil de 30 años, en el sitio de disposición final d (pesos de diciembre de 2017/tonelada). |
| Promedio mensual de residuos sólidos que se reciben en el sitio de disposición final d, de acuerdo con lo definido en el ARTÍCULO 38 de la presente resolución (toneladas/mes). | |
| CDF_PCd | Costo mínimo a reconocer por tonelada, por período de la etapa de posclausura de diez (10) años, en el sitio de disposición final d (pesos de diciembre de 2017/tonelada). |
| Min() | Función que exige escoger el menor de los dos valores separados por punto y coma. |
| Kd | Factor que involucra el costo adicional por una duración superior a diez (10) años de la etapa de posclausura del sitio de disposición final d, según la exigencia de la autoridad ambiental. En el caso en que la autoridad ambiental determine un período igual a diez (10) años de la etapa de posclausura, para el sitio de disposición final, Kd=1. |
ARTÍCULO 51. COSTO DE DISPOSICIÓN FINAL CON APORTE BAJO CONDICIÓN (CDF_ABCD). Cuando una entidad pública realice aportes bajo condición sobre el valor total o parcial de los activos asociados a la actividad de disposición final, el CDFd con aportes bajo condición se define de acuerdo con la siguiente función:
![]()
Donde:
| CDF_ABCd | Costo de Disposición Final con Aporte Bajo Condición (pesos de diciembre de 2017/tonelada). |
| CDFd | Costo de Disposición Final adoptado por la persona prestadora del sitio de disposición final d (CDFd) de conformidad con el ARTÍCULO 49 (precio máximo), o costo de disposición final total d (CDFTDd) en el ARTÍCULO 50 (precio mínimo) de la presente resolución (pesos de diciembre de 2017/tonelada). |
| pd | Proporción del costo total que corresponde al costo de capital del sitio de disposición final d, el cual de adoptarse la función de costos máximos de disposición final d (CDFd) señalada en el ARTÍCULO 49 y, de acuerdo con el tamaño del relleno sanitario, es el siguiente: ![]() De adoptarse la función de costos mínima de disposición final total d (CDFTDd) señalada en el ARTÍCULO 50 y, de acuerdo con el tamaño del relleno sanitario, es el siguiente: ![]() |
| fCKd | Fracción del costo de capital aportado bajo condición del sitio de disposición final d, el cual se determinará de acuerdo con la siguiente expresión: Donde: VA_CDFd: Valor del total de los activos aportados para la actividad de disposición final (pesos de diciembre de 2017). VA_CDFd: Valor del total de los activos para la actividad de disposición final (pesos de diciembre de 2017), entiéndase esto como la suma de los activos con que se contaba previamente y los nuevos que le sean aportados. |
PARÁGRAFO 1. En el caso en que la persona prestadora de disposición final adopte un precio entre el máximo definido en el ARTÍCULO 49 y mínimo definido en el ARTÍCULO 50 de la presente resolución; se aplicará el porcentaje de reducción del costo de capital (pd) definido para la función de costos mínimo de disposición final.
PARÁGRAFO 2. En el caso en que la persona prestadora de disposición final adopte el precio mínimo definido en el ARTÍCULO 50 de la presente resolución y, reciba aportes bajo condición para la actividad de tratamiento de lixiviados; deberá incluir el valor de los activos aportados para la actividad de tratamiento de lixiviados en el cálculo de fCKd del presente artículo.
ARTÍCULO 52. COSTO DE TRATAMIENTO DE LIXIVIADOS CON APORTE BAJO CONDICIÓN (CTL_ABCD). Cuando una entidad pública realice aportes bajo condición sobre el valor total o parcial de los activos asociados a la actividad de tratamiento de lixiviados del sitio de disposición final d, el CTLd con aportes bajo condición se define de acuerdo con la siguiente función:
![]()
Donde:
| CTL_ABCd | Costo de Tratamiento de Lixiviados con Aporte Bajo Condición en el sitio de disposición final d (pesos de diciembre de 2017/tonelada). |
| CTLd | Costo de Tratamiento de Lixiviados, adoptado por la persona prestadora del sitio de disposición final d, de conformidad con el ARTÍCULO 49 de la presente resolución (pesos de diciembre de 2017/tonelada). |
| fCKd | Fracción del costo de capital aportado bajo condición del sitio de disposición final d. |
| pd | Proporción del costo total que corresponde al costo de capital del sitio de disposición final d, el cual de adoptarse la función de costos máxima de disposición final d (CDFd) señalada en el ARTÍCULO 49 de la presente resolución y de acuerdo el escenario de tratamiento de lixiviados por objetivo de calidad, es el siguiente: |


| fCKd | racción del costo de capital aportado bajo condición del sitio de disposición final d, el cual se determinará de acuerdo con la siguiente expresión: Donde: VA_CTL_ABCd: Valor del total de los activos aportados para la actividad de Tratamiento de Lixiviados (pesos de diciembre de 2017). VA_CTLd: Valor del total de los activos para la actividad de Tratamiento de Lixiviados (pesos de diciembre de 2017), entiéndase esto como la suma de los activos con que se contaba previamente y los nuevos que le sean aportados. |
ARTÍCULO 53. PROVISIÓN DE RECURSOS PARA LAS ETAPAS DE CLAUSURA Y POSCLAUSURA. La persona prestadora de la actividad de disposición final deberá constituir un encargo fiduciario, que permita garantizar los recursos necesarios para la clausura y posclausura del relleno sanitario d, de tal manera que todas las actividades y obras requeridas para dichas etapas se realicen, acorde con lo establecido en el artículo 2.3.2.3.17 del Decreto 1077 de 2015 modificado por artículo 1o del Decreto 1784 de 2017, o el que lo modifique, adicione, sustituya o aclare, de acuerdo con la fórmula definida para CDF_PCd del precio máximo o mínimo que hubiese adoptado la persona prestadora.
DE LOS COSTOS DE TRATAMIENTO.
ARTÍCULO 54. COSTO DE TRATAMIENTO (CT). El costo de tratamiento por tonelada será como máximo el valor que se establece en la siguiente función (pesos de diciembre de 2017/tonelada):
![]()
Donde:
| CT | Costo máximo a reconocer por tonelada, por vida útil de 30 años, en la planta de tratamiento (pesos de diciembre de 2017/tonelada). |
| Min() | Función que exige escoger el menor de los dos valores separados por punto y coma. |
| Promedio mensual de residuos orgánicos que se reciben en la planta de tratamiento, de acuerdo con lo definido en el ARTÍCULO 38 de la presente resolución (toneladas/mes). |
PARÁGRAFO. Las personas prestadoras de la actividad de tratamiento que no estén cumpliendo con la obligación de contar con báscula de pesaje en la planta de tratamiento, el valor del definido en este artículo será igual a cero (0).
ARTÍCULO 55. COSTO DE TRATAMIENTO CON APORTE BAJO CONDICIÓN (CT_ABC). Cuando una entidad pública realice aportes bajo condición sobre el valor total o parcial de los activos asociados a la actividad de tratamiento, el CT con aportes bajo condición se define de acuerdo con la siguiente función:
![]()
Donde:
| CT_ABC | Costo de Tratamiento con Aporte Bajo Condición (pesos de diciembre de 2017/tonelada). |
| CT | Costo de Tratamiento (pesos de diciembre de 2017/tonelada) |
| p | Proporción del costo total que corresponde al costo de capital, definido para el CT en el ARTÍCULO 54 de la presente resolución: |
| fCK | Fracción del costo de capital aportado bajo condición del CT, el cual se determinará de acuerdo con la siguiente expresión:![]() Donde: VA_CT_ABC Valor del total de los activos aportados para la actividad de Tratamiento (pesos de diciembre de 2017). VA_CT: Valor del total de los costos de la actividad de Tratamiento (pesos de diciembre de 2017), entiéndase esto como la suma de los activos con que se contaba previamente y los nuevos que le sean aportados. |
DEL VALOR BASE DE REMUNERACIÓN DEL APROVECHAMIENTO.
ARTÍCULO 56. VALOR BASE DE REMUNERACIÓN DEL APROVECHAMIENTO (VBA). La remuneración de la actividad de aprovechamiento, se calculará de la siguiente forma:

Donde:
| VBA | Valor Base de Remuneración de Aprovechamiento (pesos de diciembre de 2017/tonelada). |
| j: | Personas prestadoras de recolección y transporte de residuos sólidos no aprovechables en el municipio, donde j= {1, 2, 3, 4,...,n}. |
| Costo Promedio de Recolección y Transporte de las personas prestadoras de residuos sólidos no aprovechables en el municipio (pesos de diciembre de 2017/tonelada). | |
| CRTj | Costo de Recolección y Transporte de la persona prestadora de residuos sólidos no aprovechables definido en el ARTÍCULO 46 de la presente resolución (pesos de diciembre de 2017/tonelada). |
| Promedio mensual de toneladas recolectadas y transportadas de residuos sólidos no aprovechables de la persona prestadora j en el municipio, de acuerdo con lo definido en el ARTÍCULO 38 de la presente resolución (toneladas/mes). | |
| CDFj | Costo de Disposición Final adoptado por la persona prestadora de la actividad de disposición final, el cual corresponde a: i) el CDFd en el caso que se adopte el precio máximo de conformidad con el ARTÍCULO 49 de la presente resolución o; ii) al CDFTDd del ARTÍCULO 50 de la presente resolución, en el caso que se adopte un valor dentro del rango posible de precios (menor al precio máximo o el precio mínimo) (pesos de diciembre de 2017/tonelada). |
| Costo Promedio de Disposición Final de residuos sólidos no aprovechables en el municipio (pesos de diciembre de 2017/tonelada). | |
| romedio mensual de residuos sólidos dispuestos en el sitio de disposición final por la persona prestadora j, de acuerdo con lo definido en el ARTÍCULO 38 de la presente resolución (toneladas/mes). | |
| DINC | Incentivo a la separación en la fuente que se otorgará como un descuento de hasta el cuatro por ciento (4%) de conformidad con lo establecido en el Decreto 1077 de 2015, modificado y adicionado por el Decreto 596 de 2016, o aquel que lo modifique, adicione, sustituya o aclare. |
PARÁGRAFO 1. El número de frecuencias de recolección para esta actividad corresponderá a lo establecido en el respectivo Programa para la Prestación del Servicio de Aseo acorde con el Plan de Gestión Integral de Residuos Sólidos (PGIRS).
PARÁGRAFO 2. El pesaje y clasificación de residuos sólidos efectivamente aprovechables se realizará en las ECA, definidas en el Decreto 1077 de 2015 o aquel que lo modifique, adicione, sustituya o aclare.
DE LA ACTUALIZACIÓN DE COSTOS.
ARTÍCULO 57. ACTUALIZACIÓN DE COSTOS. Para actualizar los costos económicos resultantes de la aplicación de la metodología tarifaria, cuando el Índice de Precios al Consumidor, reportado por el DANE, acumule una variación de por lo menos tres por ciento (3%). La actualización se realizará de conformidad con la siguiente fórmula:
![]()
Donde:
| Se refiere al costo económico actualizado para el periodo i. | |
| Se refiere al costo económico estimado a partir de la última actualización efectuada por la persona prestadora. | |
Factor de Actualización por IPC, el cual podrá ser aplicado cada vez que se acumule una variación de por lo menos el tres por ciento (3%) en el Índice de Precios al Consumidor reportado por el DANE. Este factor será calculado de la siguiente manera:![]() Donde: |
PARÁGRAFO. La aplicación del IPC se sujetará a lo establecido en el artículo 125 de la Ley 142 de 1994. Para la estimación del factor de actualización, se utilizará el IPC expresado de acuerdo con la base definida por el DANE vigente al momento de expedición de la presente resolución, redondeado a seis (6) decimales. El factor de actualización obtenido
deberá ser redondeado a cuatro (4) decimales y las operaciones resultantes de la fórmula de actualización de costos de referencia serán redondeadas a dos (2) decimales.
DE LAS TARIFAS Y LA PRODUCCIÓN DE RESIDUOS FACTURADOS.
ARTÍCULO 58. TARIFA FINAL POR SUSCRIPTOR. Para efecto de calcular la tarifa mensual final por suscriptor, los prestadores de recolección y transporte de residuos sólidos no aprovechables aplicarán la siguiente fórmula:
58.1 Suscriptor no Aforado:
![]()
8.2 Suscriptor Aforado:
![]()
Donde:
| TFSu | Tarifa Final por Suscriptor tipo u de la persona prestadora (pesos/suscriptor-mes). |
| TFSi | arifa Final por Suscriptor i de la persona prestadora (pesos/suscriptor-mes). |
| CFT | Costo Fijo Total definido en el ARTÍCULO 35 de la presente resolución (pesos/suscriptor-mes). |
| CVNA | Costo Variable por tonelada de residuos sólidos no aprovechables definido en el ARTÍCULO 36 de la presente resolución (pesos/tonelada). |
| CVA | Costo Variable por tonelada de residuos efectivamente aprovechados definido en el ARTÍCULO 37 de la presente resolución (pesos/tonelada) |
| TRN | Toneladas de Residuos Sólidos No Aprovechables por suscriptor definidas en el ARTÍCULO 59 de la presente resolución (toneladas/suscriptor-mes). |
| TRA | Toneladas de Residuos Efectivamente Aprovechados por suscriptor definidas en el ARTÍCULO 59 de la presente resolución (toneladas/suscriptor-mes). |
| TFNi | Toneladas de Residuos sólidos no aprovechables aforadas por suscriptor i, en el periodo de facturación (toneladas/suscriptor-mes). |
| TFAi | Toneladas de Residuos efectivamente aprovechados aforadas por suscriptor i, en el periodo de facturación (toneladas/suscriptor-mes). |
| FCSu | Factor de Contribución o Subsidio correspondiente a cada suscriptor, aplicable para el servicio público de aseo, determinado por estrato o tipo de uso de acuerdo con la normatividad aplicable, subsidio con signo negativo y contribución con signo positivo. |
| u | Tipo de suscriptor, donde u = (1,2,3,4,5,6= estratos suscriptores residenciales, 7=pequeño productor, 8= inmuebles desocupados). |
| i | Suscriptor aforado, donde i = (1,2,3,…,I). |
ARTÍCULO 59. CÁLCULO DE TONELADAS POR SUSCRIPTOR. Las toneladas de residuos sólidos no aprovechables y aprovechables por suscriptor en el APS de servicio se calcularán de acuerdo con las siguientes fórmulas:
59.1 Toneladas por suscriptor de residuos sólidos no aprovechables:

Donde:
| TRN | Toneladas de residuos sólidos no aprovechables por suscriptor mes. |
| Promedio mensual de toneladas de residuos sólidos no aprovechables transportados y recolectados, de acuerdo con lo definido en el ARTÍCULO 38 de la presente resolución. Incluye los residuos derivados de las actividades de barrido y limpieza de vías y áreas públicas, y limpieza urbana, los residuos de rechazo de la actividad de aprovechamiento y/o tratamiento, y los residuos sólidos no aprovechables que sean transportados al sitio de disposición final, estación de transferencia o sitio de tratamiento s (toneladas/mes). | |
| Promedio mensual del número de suscriptores totales del APS de acuerdo con lo definido en el ARTÍCULO 38 de la presente resolución (suscriptores/mes). | |
| Promedio mensual del número de suscriptores de inmuebles desocupados del APS de acuerdo con lo definido en el ARTÍCULO 38 de la presente resolución (suscriptores/mes). | |
| Promedio mensual del número de suscriptores aforados de no aprovechables en el APS, de acuerdo con lo definido en el ARTÍCULO 38 de la presente resolución (suscriptores/mes). | |
| TFNi | Toneladas de Residuos sólidos no aprovechables aforadas por suscriptor i, en el periodo de facturación (toneladas/suscriptor-mes). |
| i: | Suscriptor aforado, donde i = (1,2,3,…,I). |
| s: | Sitio de entrega de residuos sólidos, donde, s = {sitios de disposición final, estaciones de transferencia, sitios de tratamiento}. |
59.2 Toneladas por suscriptor de residuos efectivamente aprovechados:

Donde:
| TRA | Toneladas de residuos efectivamente aprovechados por suscriptor mes. |
| Promedio mensual de toneladas de residuos efectivamente aprovechados en el municipio, de acuerdo con lo definido en el ARTÍCULO 38 de la presente resolución y la información registrada en el Sistema Único de Información (SUI) (toneladas/mes). | |
| TFAi | Toneladas de Residuos efectivamente aprovechados aforadas por suscriptor i, en el periodo de facturación (toneladas/suscriptor-mes). |
| Promedio mensual del número de suscriptores totales del municipio, de acuerdo con lo definido en el ARTÍCULO 38 de la presente resolución (suscriptores/mes). | |
| Promedio mensual del número de suscriptores de inmuebles desocupados del municipio, de acuerdo con lo definido en el ARTÍCULO 38 de la presente resolución (suscriptores/mes). | |
| Promedio mensual del número de suscriptores aforados de aprovechamiento del municipio, de acuerdo con lo definido en el ARTÍCULO 38 de la presente resolución (suscriptores/mes). | |
| i | Suscriptor aforado, donde i = (1,2,3,…,I). |
PARÁGRAFO 1. Las personas prestadoras de las actividades de disposición final y tratamiento deberán garantizar el pesaje de los residuos sólidos no aprovechables, que reciban en el relleno sanitario o planta de tratamiento respectivamente. Las personas prestadoras que a la entrada en vigencia de la presente resolución operen rellenos sanitarios que no cuenten con báscula de pesaje, deberán cumplir con lo establecido en el ARTÍCULO 171 de la presente Resolución, para lo cual, contarán con un plazo máximo de dos (2) años a partir del inicio de la vigencia de la fórmula tarifaria.
PARÁGRAFO 2. Para efecto de facturación, las ECA y las plantas de tratamiento no se considerarán suscriptores de residuos no aprovechables.
DEL CÁLCULO DE LA METODOLOGÍA TARIFARIA PARA EL TERCER SEGMENTO CENTROS POBLADOS RURALES.
DEL CÁLCULO DEL COSTO FIJO, EL COSTO VARIABLE, EL PROMEDIO PARA LA ESTIMACIÓN Y CENTROIDE.
ARTÍCULO 60. COSTO FIJO TOTAL (CFT). El costo fijo total por suscriptor en el centro poblado rural se define de la siguiente manera:
![]()
Donde:
| CFT | Costo Fijo Total por suscriptor en el centro poblado rural (pesos de diciembre de 2017/suscriptor-mes). |
| CCS | Costo de Comercialización por Suscriptor del servicio público de aseo, definido en el ARTÍCULO 65 de la presente resolución (pesos de diciembre de 2017/suscriptor-mes). |
| CBICS | Costo de Barrido y Limpieza de vías y áreas públicas, mantenimiento e instalación de cestas por Suscriptor, definido en el ARTÍCULO 67 de la presente resolución (pesos de diciembre de 2017/suscriptor-mes). |
ARTÍCULO 61. COSTO VARIABLE POR TONELADA DE RESIDUOS SÓLIDOS NO APROVECHABLES (CVNA). El costo variable por tonelada de residuos sólidos no aprovechables se define de la siguiente manera:

Donde:
| CVNA | Costo Variable por tonelada de Residuos Sólidos no Aprovechables (pesos de diciembre de 2017/tonelada). |
| CRT | Costo de Recolección y Transporte de Residuos Sólidos definido en el ARTÍCULO 69 de la presente resolución (pesos de diciembre de 2017/tonelada). |
| CDFT | Costo de Disposición Final Total por tonelada definido en el ARTÍCULO 71 de la presente resolución (pesos de diciembre de 2017/tonelada). |
| CT | Costo de Tratamiento por tonelada definido en el ARTÍCULO 77 de la presente resolución (pesos de diciembre de 2017/tonelada). |
| Promedio mensual de toneladas de residuos sólidos recolectados y transportados al sitio de disposición final o sitio de tratamiento, de acuerdo con lo definido en el ARTÍCULO 63 de la presente resolución (toneladas/mes) |
ARTÍCULO 62. COSTO VARIABLE POR TONELADA DE RESIDUOS EFECTIVAMENTE APROVECHADOS (CVA). En el evento en que la persona prestadora opte por desarrollar la actividad de aprovechamiento en el centro poblado rural, deberá calcular el costo variable por tonelada de residuos efectivamente aprovechados, de la siguiente manera:
![]()
Donde:
| CVA | Costo Variable por tonelada de residuos efectivamente aprovechados (pesos de diciembre de 2017/tonelada). |
| VBA | Valor Base de remuneración del Aprovechamiento definido en el ARTÍCULO 79 de la presente resolución (pesos de diciembre de 2017/tonelada). |
ARTÍCULO 63. PROMEDIO PARA LOS CÁLCULOS. Cuando en el presente Título se determine que los cálculos se realicen con el promedio de: kilómetros de barrido y limpieza, toneladas de residuos sólidos no aprovechables, toneladas de residuos sólidos tratados, toneladas de residuos efectivamente aprovechados, metros cúbicos de lixiviados generados en el relleno sanitario y número de suscriptores, se tomará el promedio mensual del año fiscal inmediatamente anterior.
PARÁGRAFO. Las personas prestadoras que inicien actividades con posterioridad a la entrada en vigencia de la fórmula tarifaria deberán estimar promedios mensuales, a partir de la información que se irá acumulando mes a mes, hasta el 31 de diciembre del año en que se iniciaron las operaciones. En el segundo año de operaciones, se empleará el promedio de la información disponible hasta el 31 de diciembre del primer año. A partir del tercer año, se empleará el promedio de la información del año fiscal inmediatamente anterior.
ARTÍCULO 64. CENTROIDE. Para efectos de lo establecido en el presente título, el centroide del APS corresponde al punto identificado por coordenadas, de conformidad con el estándar de georreferenciación nacional, ubicado en el límite del APS por la vía que conduce al sitio de disposición final, transferencia o tratamiento, el cual se utiliza para estimar la distancia desde éste hasta la puerta de acceso a dicho sitio.
La distancia con respecto al sitio o sitios de disposición final, transferencia o tratamiento, para cada una de las APS, deberá ser reportada por la persona prestadora al momento de aplicación de la presente resolución a través del Sistema Único de Información (SUI).
DE LOS COSTOS DE COMERCIALIZACIÓN.
ARTÍCULO 65. COSTO DE COMERCIALIZACIÓN POR SUSCRIPTOR DEL SERVICIO PÚBLICO DE ASEO (CCS). El costo de comercialización por suscriptor del servicio público de aseo será el valor adoptado por la persona prestadora, dentro del rango posible de precios (precio máximo y precio mínimo) según el servicio con el cual se realice la facturación conjunta:
a. Precio Máximo (pesos de diciembre de 2017):

b. Precio Mínimo (pesos de diciembre de 2017):
El precio mínimo del Costo de Comercialización por Suscriptor será el resultante de la aplicación de los siguientes rubros:

PARÁGRAFO 1. En todo caso el precio adoptado para esta actividad no podrá superar el precio máximo del literal a del presente artículo.
PARÁGRAFO 2. En los eventos en los cuales se realice facturación directa, conjunta con el servicio de gas o se facture conjuntamente con dos servicios diferentes al tiempo, se tomará el precio máximo definido para facturación conjunta con acueducto.
ARTÍCULO 66. INCREMENTO EN EL CCS POR LA PRESTACIÓN DE LA ACTIVIDAD DE APROVECHAMIENTO. Cuando en el centro poblado rural se preste la actividad de aprovechamiento, el CCS adoptado se deberá incrementar en un 36%, el cual se distribuirá entre las personas prestadoras de la actividad de aprovechamiento y las personas prestadoras de la actividad de recolección y transporte de residuos no aprovechables, de acuerdo con los siguientes porcentajes:

El recaudo proveniente del 23% de incremento en el costo de comercialización por suscriptor (CCS) deberá ser distribuido entre las personas prestadoras de aprovechamiento de la siguiente manera:
66.1 Recaudo mensual por CCS para las personas prestadoras de aprovechamiento por suscriptores no aforados de esta actividad:
![]()
Donde:
| RNAj | Recursos provenientes del recaudo por concepto del CCS para la persona prestadora de aprovechamiento j en el centro poblado rural, asociado al recaudo mensual por CCS de aprovechamiento de los suscriptores no aforados en el APS de la persona prestadora de recolección y transporte de residuos sólidos no aprovechables (pesos/mes). |
| RCCSNA | Recaudo mensual proveniente de los suscriptores no aforados, por concepto del costo de comercialización del servicio público de aseo de los suscriptores no aforados en el APS de la persona prestadora de recolección y transporte de residuos sólidos no aprovechables (pesos/mes). |
| Promedio mensual de toneladas de residuos efectivamente aprovechados no aforadas por la persona prestadora de aprovechamiento j en el en el centro poblado rural, de acuerdo con lo establecido en el ARTÍCULO 63 de la presente resolución (toneladas/mes). | |
| j | Número de personas prestadoras de la actividad de aprovechamiento en el centro poblado rural del APS donde j= {1, 2, 3, 4,...,n}. |
| 16,91%: | Porcentaje del costo asociado al incremento de costos de comercialización por la prestación de la actividad de aprovechamiento. |
66.2 Recaudo mensual por CCS para las personas prestadoras de aprovechamiento por suscriptores aforados de esta actividad:

Donde:
| RAj | Recursos provenientes del recaudo por concepto del CCS para la persona prestadora de aprovechamiento j en el centro poblado rural, asociado al recaudo mensual por CCS de aprovechamiento de los suscriptores aforados de aprovechamiento en el APS de la persona prestadora de recolección y transporte de residuos sólidos no aprovechables (pesos/mes). |
| RCCSAF | Recaudo mensual proveniente de los suscriptores con aforo, por concepto del costo de comercialización del servicio público de aseo en el APS de la persona prestadora de recolección y transporte de residuos sólidos no aprovechables (pesos/mes). |
| Promedio mensual del número de suscriptores aforados de aprovechamiento del centro poblado rural, de acuerdo con lo definido en el ARTÍCULO 63 de la presente resolución (suscriptores/mes). | |
| j | Número de personas prestadoras de la actividad de aprovechamiento en el centro poblado rural, donde j= {1, 2, 3, 4,...,n}. |
| 16,91%: | Porcentaje del costo asociado al incremento de costos de comercialización por la prestación de la actividad de aprovechamiento. |
PARÁGRAFO. Este incremento se realizará una vez la persona prestadora de aprovechamiento haya certificado la cantidad en toneladas de residuos efectivamente aprovechados en el Sistema Único de Información (SUI) y, por ende, se pueda facturar la actividad de aprovechamiento en el respectivo centro poblado rural.
DE LOS COSTOS DE BARRIDO Y LIMPIEZA DE VÍAS Y ÁREAS PÚBLICAS, MANTENIMIENTO E INSTALACIÓN DE CESTAS.
ARTÍCULO 67. COSTO DE BARRIDO Y LIMPIEZA DE VÍAS Y ÁREAS PÚBLICAS, MANTENIMIENTO E INSTALACIÓN DE CESTAS POR SUSCRIPTOR (CBICS). El costo de barrido y limpieza de vías y áreas públicas, mantenimiento e instalación de cestas por suscriptor, será el valor adoptado por la persona prestadora dentro del rango posible de precios (precio máximo y precio mínimo) que se establecen en los literales a y b del presente artículo:
a. Precio Máximo CBICS (pesos de diciembre de 2017):

Donde:
| CBICS | Costo de Barrido y Limpieza de vías y áreas públicas, mantenimiento e instalación de cestas por suscriptor (pesos de diciembre de 2017/suscriptor-mes). |
| CBL | Precio máximo del Costo de Barrido y Limpieza de vías y áreas públicas y Limpieza será $15.131 por kilómetro (pesos de diciembre de 2017). |
| CCEI | Precio máximo a reconocer por cada cesta instalada, será de $7.645 (pesos de diciembre de 2017/cesta-mes). |
| CIN | Número de cestas que hayan sido instaladas por la persona prestadora (pesos de diciembre de 2017/cesta-mes). |
| CCEM | Precio máximo a reconocer por mantenimiento de cada cesta previamente instalada por la persona prestadora, será de $695 (pesos de diciembre de 2017/cesta-mes). |
| CM | Número de cestas objeto de mantenimiento por la persona prestadora (pesos de diciembre de 2017/cesta-mes). |
| Longitud promedio mensual de vías y áreas barridas por la persona prestadora, de acuerdo con lo establecido en el ARTÍCULO 63 de la presente resolución, en su APS según las frecuencias definidas para el centro poblado rural en el PGIRS y el Programa para la Prestación del Servicio (kilómetros/mes). | |
| Promedio mensual del número de suscriptores totales en el centro poblado rural, de acuerdo con lo establecido en el ARTÍCULO 63 de la presente resolución. |
b. Precio Mínimo CBICS (pesos de diciembre de 2017):
El precio mínimo del costo de barrido y limpieza de vías y áreas públicas y limpieza será el resultante de la aplicación de los siguientes rubros:


PARÁGRAFO 1. Cuando el valor total de los equipos y/o activos asociados a esta actividad es aportado por una entidad pública, éstos no deberán ser incluidos en el rubro número ii de los rubros de la Tabla del literal b del presente artículo.
PARÁGRAFO 2. La longitud de vías y áreas públicas barridas por la persona prestadora j debe corresponder a la definida en el Programa para la Prestación del Servicio de Aseo, con base en las frecuencias definidas en el Plan de Gestión Integral de Residuos Sólidos (PGIRS).
PARÁGRAFO 3. Las áreas públicas a barrer deberán ser convertidas a kilómetros lineales, multiplicando el área (m2) total a barrer por 0,002 km/m2.
PARÁGRAFO 4. De las actividades definidas en los artículos 2.3.2.2.2.4.57, 2.3.2.2.2.4.62, 2.3.2.2.2.5.65, 2.3.2.2.2.6.66. y 2.3.2.2.2.6.70 del Decreto 1077 de 2015 o aquel que lo modifique, adicione, sustituya o aclare; a los suscriptores ubicados en centros poblados rurales solo se les podrá cobrar el costo correspondiente a la instalación y mantenimiento de cestas públicas. La cantidad de cestas a instalar (unidades), corresponderá a la definida en el Programa para la Prestación del Servicio de Aseo, con base en lo establecido en el Plan de Gestión Integral de Residuos Sólidos (PGIRS).
PARÁGRAFO 5. En todo caso el precio adoptado para ésta actividad no podrá superar el precio máximo del literal a del presente artículo.
ARTÍCULO 68. FRECUENCIAS DE BARRIDO Y LIMPIEZA DE VÍAS Y ÁREAS PÚBLICAS. Las frecuencias de barrido y limpieza de vías y áreas públicas serán como mínimo las que establece el artículo 2.3.2.2.2.4.53 del Decreto 1077 de 2015 o aquel que lo modifique, adicione, sustituya o aclare.
PARÁGRAFO. El aumento de frecuencias de barrido deberá ser solicitado al prestador por parte del municipio, siempre y cuando haya modificado el PGIRS, de acuerdo con lo establecido en el Decreto 1077 de 2015 o aquel que lo modifique, adicione, sustituya o aclare.
DE LOS COSTOS DE RECOLECCIÓN Y TRANSPORTE.
ARTÍCULO 69. COSTO DE RECOLECCIÓN Y TRANSPORTE DE RESIDUOS SÓLIDOS (CRT). El costo de recolección y transporte de residuos sólidos será el valor adoptado por la persona prestadora, dentro del rango posible de precios (precio máximo y precio mínimo) que se establecen en los literales a y b del presente artículo:
a. Precio máximo CRT: El precio máximo del Costo de Recolección y Transporte de Residuos Sólidos será el resultante de la aplicación de los siguientes rubros:

b. Precio mínimo CRT:
El precio mínimo del costo de recolección y transporte de residuos sólidos será el estimado de acuerdo con la siguiente función (pesos de diciembre de 2017):
![]()
Donde:
| CRT | Costo de Recolección y Transporte por tonelada (pesos de diciembre de 2017/tonelada). |
| CRTSs | Costo de Recolección y Transporte adoptado por la persona prestadora para cada sitio de disposición final, estación de transferencia o tratamiento s utilizado para el manejo adecuado de los residuos sólidos, el cual corresponde a $59.176 por tonelada (pesos de diciembre de 2017/tonelada). |
| Promedio mensual del año fiscal inmediatamente anterior del valor pagado por concepto de los peajes de ida y vuelta, ubicados en el trayecto entre el centroide del APS y la entrada del sitio de disposición final, estación de transferencia o sitio de tratamiento (pesos de diciembre de 2017/mes). | |
| CEG | Costo de transferencia y transporte a granel hasta el sitio de disposición final, el cual corresponde al valor cobrado por la persona prestadora de la estación de transferencia, de conformidad con el parágrafo 6 del artículo 24 de la Resolución CRA 720 de 2015 o el ARTÍCULO 147 de la presente resolución (pesos de diciembre de 2017/tonelada). |
| Promedio mensual de toneladas de residuos sólidos recolectados y transportados al sitio de disposición final, estación de transferencia o sitio de tratamiento, de acuerdo con lo definido en el ARTÍCULO 63 de la presente resolución (toneladas/mes). | |
| s: | Sitio de entrega de residuos sólidos, donde, s = {sitios de disposición final, estaciones de transferencia, sitios de tratamiento}. |
PARÁGRAFO 1. Para la estimación del precio máximo del literal a del presente artículo, no se deben incluir los aportes bajo condición que se hayan realizado en los rubros ii y iii para la determinación del costo de recolección y transporte.
PARÁGRAFO 2. Aquellas personas prestadoras que atiendan en centros poblados rurales costeros y que adopten el precio mínimo del literal b del presente artículo, podrán incrementar el CRT en 0,94% para tener en cuenta el efecto de la salinidad.
PARÁGRAFO 3. El número de frecuencias para esta actividad corresponderá a aquel que optimice el costo de recolección y transporte de la persona prestadora, en relación con la cantidad de residuos sólidos generados en el APS, sin que en ningún caso pueda ser inferior a dos (2) frecuencias semanales, de conformidad con el artículo 2.3.2.2.2.3.32. del Decreto 1077 de 2015 o aquel que lo modifique, adicione, sustituya o aclare.
PARÁGRAFO 4. En aquellos eventos en los que se deban incorporar incentivos a los municipios y/o distritos donde se ubiquen estaciones de transferencia regionales, de conformidad con lo dispuesto por el artículo 2.3.2.4.3 del Decreto 1077 de 2015 o aquel que lo modifique, adicione, sustituya o aclare, su valor por tonelada se sumará al CRT adoptado por la persona prestadora. Tal situación se informará a la Superintendencia de Servicios Públicos Domiciliarios (SSPD) y a la Comisión de Regulación de Agua Potable y Saneamiento Básico (CRA).
ARTÍCULO 70. COSTO DE RECOLECCIÓN Y TRANSPORTE DE RESIDUOS SÓLIDOS CON APORTE BAJO CONDICIÓN (CRTSS_ABC). Cuando la persona prestadora adopte el precio mínimo de CRTSs, del que trata el literal b del ARTÍCULO 69 de la presente resolución, y una entidad pública realice aportes bajo condición sobre el valor total o parcial de los vehículos y/o activos asociados a la actividad de recolección y transporte, el CRT con Aportes Bajo Condición se define de acuerdo con la siguiente función:
![]()
Donde:
| CRTSs_ABC | Costo de Recolección y Transporte de residuos sólidos con aporte bajo condición (pesos de diciembre de 2017/tonelada). |
| CRTSs | Costo de Recolección y Transporte de residuos sólidos mínimo, de conformidad con el que trata el literal b del ARTÍCULO 69 de la presente resolución (pesos de diciembre de 2017/tonelada). |
| p | Proporción del costo total que corresponde a la adquisición de vehículos de recolección y transporte y/o activos asociados a esta actividad, estimado en el 18%. |
| fCK | Fracción del costo de capital aportado bajo condición, definido como: Donde: VA_CRT_ABC: Valor del total de los activos aportados para la actividad de recolección y transporte (pesos de diciembre de 2017). VA_CRT: Valor del total de los activos para la actividad de recolección y transporte (pesos de diciembre de 2017), entiéndase esto como la suma de los activos con que se contaba previamente y los nuevos que le sean aportados. |
DE LOS COSTOS DE DISPOSICIÓN FINAL.
ARTÍCULO 71. COSTO DE DISPOSICIÓN FINAL TOTAL (CDFT). El Costo de Disposición Final Total será el estimado de acuerdo con la siguiente función:

Donde:
| CDFT | Costo de Disposición Final Total, el cual será igual al CDFTDd cuando se dispone en un único sitio de disposición final d; mientras que cuando se utiliza más de un sitio de disposición final corresponde al promedio de los costos (CDFTDd) de estos, ponderado por las toneladas de residuos sólidos del APS que se disponen en cada sitio de disposición final d (pesos/tonelada). |
| CDFTDd | Costo por tonelada en el sitio de disposición final d adoptado por la persona prestadora de disposición final entre el precio máximo definido en el ARTÍCULO 72 y el precio mínimo definido en el ARTÍCULO 73 de la presente resolución (pesos de diciembre de 2017/tonelada). Lo anterior, no aplica para aquellas personas prestadoras que dispongan en un relleno sanitario que se encuentre en el ámbito de aplicación de la Resolución CRA 720 de 2015, quienes deberán dar aplicación a lo dispuesto en el Capítulo VI de la citada resolución |
| Promedio mensual de residuos sólidos que se disponen en el sitio de disposición final d, de acuerdo con lo definido en el ARTÍCULO 63 de la presente resolución (toneladas/mes). | |
| d: | Sitio de disposición final, donde, d = {1, 2, 3, 4,...,u}. |
PARÁGRAFO 1. En aquellos eventos en los que se deban incorporar incentivos a los municipios y/o distritos donde se ubiquen rellenos sanitarios regionales, de conformidad con lo dispuesto por el artículo 2.3.2.4.2. del Decreto 1077 de 2015 o aquel que lo modifique, adicione, sustituya o aclare, su valor por tonelada se sumará al CDFTDd adoptado por la persona prestadora del sitio de disposición final d. Tal situación se informará a la Superintendencia de Servicios Públicos Domiciliarios (SSPD) y a la Comisión de Regulación de Agua Potable y Saneamiento Básico (CRA).
PARÁGRAFO 2. Todo sitio de disposición final deberá reportar anualmente al Sistema Único de Información (SUI), su capacidad de disposición y tener disponible la misma en un lugar visible, con el fin de ilustrar con información suficiente a las personas prestadores de la actividad de recolección y transporte de residuos no aprovechables.
PARÁGRAFO 3. Para efectos del cobro del costo de disposición final total de que trata el presente artículo, el mismo aplica, exclusivamente, para aquellas personas prestadoras cuyo sitio de disposición final corresponda a un relleno sanitario que cumpla con la normatividad vigente expedida por el Ministerio de Vivienda, Ciudad y Territorio (MVCT) o quien haga sus veces.
ARTÍCULO 72. PRECIO MÁXIMO DE DISPOSICIÓN FINAL TOTAL (CDFTDD). El precio máximo de disposición final total se estimará de acuerdo con las siguientes funciones:
![]()
Donde:
| CDFTDd | Costo total máximo a reconocer por disposición final y tratamiento de lixiviados en el sitio de disposición final d (pesos/tonelada). |
| CDFd | Costo máximo a reconocer por tonelada en el sitio de disposición final (pesos de diciembre de 2017/tonelada), se estima de acuerdo con las siguientes fórmulas: ![]() Donde: CFD_VUd: Costo máximo a reconocer por tonelada, por vida útil de 20 años, en el sitio de disposición final d (pesos de diciembre de 2017/tonelada). CDF_PCd: Costo máximo a reconocer por tonelada, por período de la etapa de posclausura de diez (10) años, en el sitio de disposición final d (pesos de diciembre de 2017/tonelada). Min( ): Función que exige escoger el menor de los dos valores separados por punto y coma. d: Sitio de disposición final, donde, d = {1, 2, 3, 4,...,u}. Kd: Factor que involucra el costo adicional por una duración superior a diez (10) años de la etapa de posclausura del relleno sanitario, según la exigencia de la autoridad ambiental. En el caso en que la autoridad ambiental determine un período igual a diez (10) años de la etapa de posclausura, para el sitio de disposición final, Kd=1. |
| CTLd | Costo máximo a reconocer por tratamiento de lixiviados por tonelada (pesos de diciembre de 2017/tonelada). El costo máximo de tratamiento de lixiviados por metro cúbico (CTLM) se estimará con las siguientes funciones según los respectivos escenarios por objetivo de calidad.![]() Donde: CTLMd: Costo de Tratamiento de Lixiviados por metro cúbico máximo a reconocer en el sitio de disposición final d, según el objetivo de calidad (pesos de diciembre de 2017/m3). En el caso que por autorización de la Autoridad Ambiental sólo se realice recirculación de lixiviados, el CTLMd máximo será de $2.759 por m3 recirculado (pesos de diciembre de 2017/m3). |
| CMTLXd | Costo Generado por la Tasa Ambiental para el vertimiento del tratamiento de lixiviados en el sitio de disposición final d, con referencia a la tasa retributiva por la utilización directa o indirecta del agua como receptor de vertimientos. El costo a incluir corresponderá al cobro definido por la autoridad ambiental al usuario que realiza vertimientos puntuales en forma directa o indirecta al recurso hídrico, para el año fiscal inmediatamente anterior (pesos de diciembre de 2017/m3-mes). |
| Promedio mensual de residuos sólidos que se reciben en el sitio de disposición final d, de acuerdo con lo definido en el ARTÍCULO 63 de la presente resolución (toneladas/mes). | |
| CTLM_VUdx | Costo de Tratamiento de Lixiviados en el sitio de disposición final d, para un objetivo de calidad x, por vida útil de 20 años por tonelada (pesos de diciembre de 2017/tonelada). |
| CTLM_PC_dx | Costo de Tratamiento de Lixiviados por tonelada, en el sitio de disposición final d, para un objetivo de calidad x, por período de la etapa de posclausura de diez (10) años, (pesos de diciembre de 2017/tonelada). |
| d: | Sitio de disposición final, donde, d = {1, 2, 3, 4,...,u}. |
| x: | Objetivo de calidad que establezca la autoridad ambiental en la norma de vertimientos o la respectiva licencia ambiental, donde, x = {1, 2, 3, 4}. Para el Escenario 1 - Objetivo de Calidad: Remoción de sólidos suspendidos y materia orgánica: ![]() Para el Escenario 2 - Objetivo de Calidad: Remoción de sólidos suspendidos, materia orgánica y nitrógeno: ![]() Para el Escenario 3 - Objetivo de Calidad: Remoción de sólidos suspendidos, materia orgánica, sustancias inorgánicas y compuestos orgánicos: ![]() Para el Escenario 4 - Objetivo de Calidad: Remoción de sólidos suspendidos, materia orgánica, nitrógeno, sustancias inorgánicas y compuestos orgánicos: ![]() Kld: Factor que involucra el costo adicional por una duración superior a diez (10) años de la posclausura del sitio de disposición final d, según lo que determine la autoridad ambiental. En el caso en que la autoridad ambiental determine un período igual a diez (10) años de la etapa de posclausura, para el sitio de disposición final, Kld=1. |
PARÁGRAFO. Para los rellenos sanitarios en los que se dispongan menos de 2.400 toneladas mensuales y cuya altura no pueda superar los nueve (9) metros, por disposición de la autoridad ambiental competente, el costo máximo de disposición final (CDFd) podrá ser incrementado hasta en un diez por ciento (10%).
ARTÍCULO 73. PRECIO MÍNIMO DE DISPOSICIÓN FINAL TOTAL (CDFTDD). El precio mínimo de disposición final total se calculará de acuerdo con las siguientes funciones:

Donde:
| CDF_VUd | Costo mínimo a reconocer por tonelada, por vida útil de 30 años, en el sitio de disposición final d (pesos de diciembre de 2017/tonelada). |
| Promedio mensual de residuos sólidos que se reciben en el sitio de disposición final d, de acuerdo con lo definido en el ARTÍCULO 63 de la presente resolución (toneladas/mes). | |
| CDF_PCd | Costo mínimo a reconocer por tonelada, por período de la etapa de posclausura de diez (10) años, en el sitio de disposición final d (pesos de diciembre de 2017/tonelada). |
| Min() | Función que exige escoger el menor de los dos valores separados por punto y coma. |
| kd | Factor que involucra el costo adicional por una duración superior a diez (10) años de la etapa de posclausura del sitio de disposición final d, según la exigencia de la autoridad ambiental. En el caso en que la autoridad ambiental determine un período igual a diez (10) años de la etapa de posclausura, para el sitio de disposición final, kd=1. |
ARTÍCULO 74. COSTO DE DISPOSICIÓN FINAL CON APORTE BAJO CONDICIÓN (CDF_ABC). Cuando una entidad pública realice aportes bajo condición sobre el valor total o parcial de los activos asociados a la actividad de disposición final, CDFd con aportes bajo condición se define de acuerdo con la siguiente función:
![]()
Donde:
| CDF_ABCd | Costo de Disposición Final con Aporte Bajo Condición del sitio de disposición final d (pesos de diciembre de 2017/tonelada). |
| CDFd | Costo de Disposición Final adoptado por la persona prestadora del sitio de disposición final d (CDFd) de conformidad con el ARTÍCULO 72 (precio máximo), o costo de disposición final total d (CDFTDd) en el ARTÍCULO 73 (precio mínimo) de la presente resolución (pesos de diciembre de 2017/tonelada). |
Proporción del costo total que corresponde al costo de capital del sitio de disposición final d, el cual de adoptarse la función de costos máximos de disposición final d (CDFd) señalada en el ARTÍCULO 72 y, de acuerdo con el tamaño del relleno sanitario, es el siguiente:![]() De adoptarse la función de costos mínimo de disposición final total d (CDFTDd) señalada en el ARTÍCULO 73 y, de acuerdo con el tamaño del relleno sanitario, es el siguiente: ![]() | |
| fCKd | Fracción del costo de capital aportado bajo condición del sitio de disposición final d, el cual se determinará de acuerdo con la siguiente expresión: Donde: VA_CDF_ABCd: Valor del total de los activos aportados para la actividad de disposición final (pesos de diciembre de 2017). VA_CDFd: Valor del total de los activos de la persona prestadora para la actividad de disposición final (pesos de diciembre de 2017), entiéndase esto como la suma de los activos con que se contaba previamente y los nuevos que le sean aportados. |
PARÁGRAFO 1. En el caso en que la persona prestadora de disposición final adopte un precio entre el máximo definido en el ARTÍCULO 72 y el mínimo definido en el ARTÍCULO 73 de la presente resolución; se aplicará el porcentaje de reducción del costo de capital (
) definido para la función de costos mínimo de disposición final (CDF).
PARÁGRAFO 2. En el caso en que la persona prestadora de disposición final adopte el precio mínimo definido en el ARTÍCULO 73 de la presente resolución y, reciba aportes bajo condición para la actividad de tratamiento de lixiviados; deberá incluir el valor de los activos aportados para la actividad de tratamiento de lixiviados en el cálculo de fCKd del presente artículo.
ARTÍCULO 75. COSTO DE TRATAMIENTO DE LIXIVIADOS CON APORTE BAJO CONDICIÓN (CTL_ABCD). Cuando una entidad pública realice aportes bajo condición sobre el valor total o parcial de los activos asociados a la actividad de tratamiento de lixiviados del sitio de disposición final d, el CTLd con aportes bajo condición se define de acuerdo con la siguiente función:
![]()
Donde:
| CTL_ABCd | Costo de Tratamiento de Lixiviados con Aporte Bajo Condición en el sitio de disposición final d (pesos de diciembre de 2017/tonelada). |
| CTLd | Costo de Tratamiento de Lixiviados, adoptado por la persona prestadora del sitio de disposición final d, de conformidad con el ARTÍCULO 72 de la presente resolución (pesos de diciembre de 2017/tonelada). |
Proporción del costo total que corresponde al costo de capital del sitio de disposición final d, el cual de adoptarse la función de costos máxima de disposición final d (CDFd) señalada en el ARTÍCULO 72 de la presente resolución y de acuerdo el escenario de tratamiento de lixiviados por objetivo de calidad, es el siguiente: ![]() | |
| Fracción del costo de capital aportado bajo condición del sitio de disposición final d, el cual se determinará de acuerdo con la siguiente expresión: Donde: VA_CTL_ABCd: Valor del total de los activos aportados para la actividad de Tratamiento de Lixiviados (pesos de diciembre de 2017). VA_CTLd: Valor del total de los activos para la actividad de Tratamiento de Lixiviados (pesos de diciembre de 2017), entiéndase esto como la suma de los activos con que se contaba previamente y los nuevos que le sean aportados. |
ARTÍCULO 76. PROVISIÓN DE RECURSOS PARA LAS ETAPAS DE CLAUSURA Y POSCLAUSURA. La persona prestadora de la actividad de disposición final deberá constituir un encargo fiduciario, que permita garantizar los recursos necesarios para la clausura y posclausura del relleno sanitario d, de tal manera que todas las actividades y obras requeridas para dichas etapas se realicen, acorde con lo establecido en el artículo 2.3.2.3.17 del Decreto 1077 de 2015 modificado por artículo 1o del Decreto 1784 de 2017, o el que lo modifique, adicione, sustituya o aclare, de acuerdo con la fórmula definida para CDF_PCd del precio máximo o mínimo que hubiese adoptado la persona prestadora.
DE LOS COSTOS DE TRATAMIENTO.
ARTÍCULO 77. COSTO DE TRATAMIENTO (CT). El costo de tratamiento por tonelada será como máximo el valor que se establece en la siguiente función (pesos de diciembre de 2017/toneladas):
![]()
Donde:
| CT | Costo máximo a reconocer por tonelada, por vida útil de 30 años, en la planta de tratamiento (pesos de diciembre de 2017/tonelada). |
| Min() | Función que exige escoger el menor de los dos valores separados por punto y coma. |
| Promedio mensual de residuos orgánicos que se reciben en la planta de tratamiento de acuerdo con lo definido en el ARTÍCULO 63 de la presente resolución (toneladas/mes). |
PARÁGRAFO. Las personas prestadoras de la actividad de tratamiento que no estén cumpliendo con la obligación de contar con báscula de pesaje en la planta de tratamiento, el valor del definido en este artículo será igual a cero (0).
ARTÍCULO 78. COSTO DE TRATAMIENTO CON APORTE BAJO CONDICIÓN (CT_ABC). Cuando una entidad pública realice aportes bajo condición sobre el valor total o parcial de los activos asociados a la actividad de tratamiento, el CT con aportes bajo condición se define de acuerdo con la siguiente función:
![]()
Donde:
| CT_ABC | Costo de Tratamiento con Aporte Bajo Condición (pesos de diciembre de 2017/tonelada). |
| CT | Costo de Tratamiento (pesos de diciembre de 2017/tonelada). |
Proporción del costo total que corresponde al costo de capital, definido para el CT en el ARTÍCULO 77 de la presente resolución:![]() | |
Fracción del costo de capital aportado bajo condición del CT, el cual se determinará de acuerdo con la siguiente expresión: ![]() Donde: VA_CT_ABC: Valor del total de los activos aportados para la actividad de Tratamiento (pesos de diciembre de 2017). VA_CT: Valor del total de los costos de la actividad de Tratamiento (pesos de diciembre de 2017), entiéndase esto como la suma de los activos con que se contaba previamente y los nuevos que le sean aportados. |
DEL VALOR BASE DE REMUNERACIÓN DEL APROVECHAMIENTO.
ARTÍCULO 79. VALOR BASE DE REMUNERACIÓN DEL APROVECHAMIENTO (VBA). La remuneración de la actividad de aprovechamiento, se calculará de la siguiente forma:
![]()
Donde:
| VBA | Valor Base de Remuneración de Aprovechamiento (pesos de diciembre de 2017/tonelada). |
| j: | Personas prestadoras de recolección y transporte para residuos sólidos no aprovechables en el centro poblado rural, donde j= {1, 2, 3, 4,...,n}. |
| CRTj | Costo de Recolección y Transporte de la persona prestadora de residuos sólidos no aprovechables definido en el ARTÍCULO 69 de la presente resolución (pesos de diciembre de 2017/tonelada). |
| CDFj | Costo de Disposición Final adoptado por la persona prestadora de la actividad de disposición final, el cual corresponde a: i) el CDFd en el caso que se adopte el precio máximo de conformidad con el ARTÍCULO 72 de la presente resolución o; ii) al CDFTDd del ARTÍCULO 73 de la presente resolución, en el caso que se adopte un valor dentro del rango posible de precios (menor al precio máximo o el precio mínimo) (pesos de diciembre de 2017/tonelada). |
| DINC | Incentivo a la separación en la fuente que se otorgará como un descuento de hasta el cuatro por ciento (4%) de conformidad con lo establecido en el Decreto 1077 de 2015, modificado y adicionado por el Decreto 596 de 2016, o aquel que lo modifique, adicione, sustituya o aclare. |
PARÁGRAFO 1. El número de frecuencias de recolección para esta actividad corresponderá a lo establecido en el respectivo Programa para la Prestación del Servicio de Aseo acorde con el Plan de Gestión Integral de Residuos Sólidos (PGIRS).
PARÁGRAFO 2. El pesaje y clasificación de residuos sólidos efectivamente aprovechables se realizará en las ECA, definidas en el Decreto 1077 de 2015 o aquel que lo modifique, adicione, sustituya o aclare.
DE LA ACTUALIZACIÓN DE COSTOS.
ARTÍCULO 80. ACTUALIZACIÓN DE COSTOS. Para actualizar los costos económicos resultantes de la aplicación de la metodología tarifaria, cuando el Índice de Precios al Consumidor, reportado por el DANE, acumule una variación de por lo menos tres por ciento (3%). La actualización se realizará de conformidad con la siguiente fórmula:
Donde:
| Se refiere al costo económico actualizado para el periodo i. | |
| Se refiere al costo económico estimado a partir de la última actualización efectuada por la persona prestadora. | |
| Factor de Actualización por IPC, el cual podrá ser aplicado cada vez que se acumule una variación de por lo menos el tres por ciento (3%) en el Índice de Precios al Consumidor reportado por el DANE. Este factor será calculado de la siguiente manera: Donde: |
PARÁGRAFO. La aplicación del IPC se sujetará a lo establecido en el artículo 125 de la Ley 142 de 1994. Para la estimación del factor de actualización, se utilizará el IPC expresado de acuerdo con la base definida por el DANE vigente al momento de expedición de la presente resolución, redondeado a seis (6) decimales. El factor de actualización obtenido
deberá ser redondeado a cuatro (4) decimales y las operaciones resultantes de la fórmula de actualización de costos de referencia serán redondeadas a dos (2) decimales.
DE LAS TARIFAS Y LA PRODUCCIÓN DE RESIDUOS FACTURADOS.
ARTÍCULO 81. TARIFA FINAL POR SUSCRIPTOR. Para efecto de calcular la tarifa mensual final por suscriptor, los prestadores de recolección y transporte de residuos sólidos no aprovechables aplicarán la siguiente fórmula:
81.1 Suscriptor no Aforado:
![]()
81.2 Suscriptor Aforado:
![]()
Donde:
| TFSu | Tarifa Final por Suscriptor tipo u, de la persona prestadora (pesos/suscriptor-mes). |
| TFSi | Tarifa Final por Suscriptor i de la persona prestadora (pesos/suscriptor-mes). |
| CFT | Costo Fijo Total definido en el ARTÍCULO 60 de la presente resolución (pesos/suscriptor-mes). |
| CVNA | Costo Variable por tonelada de residuos sólidos no aprovechables definido en el ARTÍCULO 61 de la presente resolución (pesos/tonelada). |
| CVA | Costo Variable por tonelada de residuos efectivamente aprovechados definido en el ARTÍCULO 62 de la presente resolución (pesos/tonelada). |
| TRN | Toneladas de Residuos sólidos No Aprovechables por suscriptor definidas en el ARTÍCULO 82 de la presente resolución (toneladas/suscriptor-mes). |
| TRA | oneladas de Residuos Efectivamente Aprovechados por suscriptor definidas en el ARTÍCULO 82 de la presente resolución (toneladas/suscriptor-mes). |
| TFNi | Toneladas de Residuos sólidos no aprovechables aforadas por suscriptor i, en el periodo de facturación (toneladas/suscriptor-mes). |
| FCSu | Toneladas de Residuos efectivamente aprovechados aforadas por suscriptor i, en el periodo de facturación (toneladas/suscriptor-mes). |
| u | Factor de Contribución o Subsidio correspondiente a cada suscriptor, aplicable para el servicio público de aseo, determinado por estrato o tipo de uso de acuerdo con la normatividad aplicable, subsidio con signo negativo y contribución con signo positivo. |
| i | Tipo de suscriptor, donde u = (1,2,3,4,5,6= estratos suscriptores residenciales, 7=pequeño productor, 8= inmuebles desocupados). |
| Suscriptor aforado, donde i = (1,2,3,…,I). | |
ARTÍCULO 82. CÁLCULO DE TONELADAS POR SUSCRIPTOR. Las toneladas de residuos sólidos no aprovechables y aprovechables por suscriptor en el APS de servicio se calcularán de acuerdo con las siguientes fórmulas:
82.1 Toneladas por suscriptor de residuos sólidos no aprovechables:
Donde:
| TRN | Toneladas de residuos sólidos no aprovechables por suscriptor mes. |
| Promedio mensual de toneladas de residuos sólidos no aprovechables transportados y recolectados en el APS de acuerdo con lo definido en el ARTÍCULO 63 de la presente resolución. Incluye los residuos derivados de las actividades de barrido y limpieza de vías y áreas públicas, los residuos de rechazo de la actividad de aprovechamiento y/o tratamiento, y los residuos sólidos no aprovechables que sean transportados al sitio de disposición final, estación de transferencia o sitio de tratamiento s (toneladas/mes). | |
| Promedio mensual del número de suscriptores totales del APS de acuerdo con lo definido en el ARTÍCULO 63 de la presente resolución (suscriptores/mes). | |
| Promedio mensual del número de suscriptores de inmuebles desocupados del APS de acuerdo con lo definido en el ARTÍCULO 63 de la presente resolución (suscriptores/mes). | |
| Promedio mensual del número de suscriptores aforados de no aprovechables en el APS, de acuerdo con lo definido en el ARTÍCULO 63 de la presente resolución (suscriptores/mes). | |
| TFN | Toneladas de Residuos sólidos no aprovechables aforadas por suscriptor i, en el periodo de facturación (toneladas/suscriptor-mes). |
| i | Suscriptor aforado, donde i = (1,2,3,…,I). |
| s: | Sitio de entrega de residuos sólidos, donde, s = {sitios de disposición final, estaciones de transferencia, sitios de tratamiento}. |
82.2 Toneladas por suscriptor de residuos efectivamente aprovechados:

Donde:
| TRA | Toneladas de residuos efectivamente aprovechados por suscriptor mes. |
| Promedio mensual de toneladas de residuos efectivamente aprovechados provenientes del centro poblado rural, de acuerdo con lo definido en el ARTÍCULO 63 de la presente resolución y la información registrada en el Sistema Único de Información (SUI) (toneladas/mes). | |
| TFAi | Toneladas de Residuos efectivamente aprovechados aforadas por suscriptor i, en el periodo de facturación (toneladas/suscriptor-mes). |
| Promedio mensual del número de suscriptores totales del centro poblado rural, de acuerdo con lo definido en el ARTÍCULO 63 de la presente resolución (suscriptores/mes). | |
| Promedio mensual del número de suscriptores de inmuebles desocupados del centro poblado rural, de acuerdo con lo definido en el ARTÍCULO 63 de la presente resolución (suscriptores/mes). | |
| Promedio mensual del número de suscriptores aforados de aprovechamiento del municipio, de acuerdo con lo definido en el ARTÍCULO 63 de la presente resolución (suscriptores/mes). | |
| i | Suscriptor aforado, donde i = (1,2,3,…,I). |
PARÁGRAFO 1. Las personas prestadoras de las actividades de disposición final y tratamiento deberán garantizar el pesaje de los residuos sólidos no aprovechables, que reciban en el relleno sanitario o planta de tratamiento respectivamente. Las personas prestadoras que a la entrada en vigencia de la presente resolución operen rellenos sanitarios que no cuenten con báscula de pesaje, deberán cumplir con lo establecido en el ARTÍCULO 171 de la presente Resolución, para lo cual, contarán con un plazo máximo de dos (2) años a partir del inicio de la vigencia de la fórmula tarifaria.
PARÁGRAFO 2. Para efecto de facturación, las ECA y las plantas de tratamiento no se considerarán suscriptores de residuos no aprovechables.
DEL CÁLCULO DE LA METODOLOGÍA TARIFARIA PARA ESQUEMA DE PRESTACIÓN EN ZONAS DE DIFÍCIL ACCESO.
DEL CÁLCULO DEL COSTO FIJO, EL COSTO VARIABLE, EL PROMEDIO PARA LA ESTIMACIÓN Y CENTROIDE.
ARTÍCULO 83. COSTO FIJO TOTAL (CFT). El costo fijo total por suscriptor del APS se define de la siguiente manera:
![]()
Donde:
| CFT | Costo Fijo Total por suscriptor del servicio público de aseo (pesos de diciembre de 2017/suscriptor-mes). |
| CCS | Costo de Comercialización por Suscriptor del servicio público de aseo, definido en el ARTÍCULO 88 de la presente resolución (pesos de diciembre de 2017/suscriptor-mes). |
| CBLUS | Costo de Barrido y Limpieza de vías y áreas públicas y Limpieza Urbana por Suscriptor, definido en el ARTÍCULO 90 de la presente resolución (pesos de diciembre de 2017/suscriptor-mes). |
PARÁGRAFO. En caso de que alguna de las actividades del servicio público de aseo de que trata el presente artículo, no se esté prestando en atención a la gradualidad para su incorporación, de conformidad con lo dispuesto en el numeral 2 del artículo 2.3.7.2.2.2.6 del Decreto 1077 de 2015, adicionado por el Decreto 1272 de 2017, o aquel que lo modifique, adicione, sustituya o aclare, el costo asociado para dicha actividad será igual a cero.
ARTÍCULO 84. COSTO VARIABLE POR TONELADA DE RESIDUOS SÓLIDOS NO APROVECHABLES (CVNA). El Costo Variable por tonelada de residuos sólidos no aprovechables se define de la siguiente manera:

Donde:
| CVNA | Costo Variable por tonelada de residuos sólidos no aprovechables (pesos de diciembre de 2017/tonelada). |
| CRT | Costo de Recolección y Transporte de Residuos Sólidos definido en el ARTÍCULO 94 de la presente resolución (pesos de diciembre de 2017/tonelada). |
| CDFT | Costo de Disposición Final Total por tonelada definido en el ARTÍCULO 95 de la presente resolución (pesos de diciembre de 2017/tonelada). |
| CT | Costo de Tratamiento por tonelada definido en el ARTÍCULO 98 de la presente resolución (pesos de diciembre de 2017/tonelada). |
| Promedio mensual de toneladas de residuos sólidos recolectados y transportados al sitio de disposición final o sitio de tratamiento, de acuerdo con lo definido en el ARTÍCULO 86 de la presente resolución (toneladas/mes). |
PARÁGRAFO. En caso de que alguna de las actividades del servicio público de aseo de que trata el presente artículo, no se esté prestando en atención a la gradualidad para su incorporación, de conformidad con lo dispuesto en el numeral 2 del artículo 2.3.7.2.2.2.6 del Decreto 1077 de 2015, adicionado por el Decreto 1272 de 2017, o aquel que lo modifique, adicione, sustituya o aclare, el costo asociado para dicha actividad será igual a cero.
ARTÍCULO 85. COSTO VARIABLE POR TONELADA DE RESIDUOS EFECTIVAMENTE APROVECHADOS (CVA). El Costo Variable por tonelada de residuos efectivamente aprovechados se define de la siguiente manera:
![]()
Donde:
| CVA | Costo Variable por tonelada de residuos efectivamente aprovechados (pesos de diciembre de 2017/tonelada). |
| VBA | Valor Base de remuneración del Aprovechamiento definido en el ARTÍCULO 100 de la presente resolución (pesos de diciembre de 2017/tonelada). |
PARÁGRAFO. En caso de que la actividad del servicio público de aseo de que trata el presente artículo, no se esté prestando en atención a la gradualidad para su incorporación, de conformidad con lo dispuesto en el numeral 2 del artículo 2.3.7.2.2.2.6 del Decreto 1077 de 2015, adicionado por el Decreto 1272 de 2017, o aquel que lo modifique, adicione, sustituya o aclare, el costo asociado para dicha actividad será igual a cero.
ARTÍCULO 86. PROMEDIO PARA LOS CÁLCULOS. Cuando en el presente Título se determine que los cálculos se realicen con el promedio de: kilómetros de barrido y limpieza, toneladas de residuos sólidos no aprovechables, toneladas de residuos sólidos tratados, toneladas de residuos efectivamente aprovechados, metros cúbicos de lixiviados generados en el relleno sanitario y número de suscriptores, se tomará el promedio mensual del año fiscal inmediatamente anterior.
PARÁGRAFO. Las personas prestadoras que inicien actividades con posterioridad a la entrada en vigencia de la fórmula tarifaria deberán estimar promedios mensuales, a partir de la información que se irá acumulando mes a mes, hasta el 31 de diciembre del año en que se iniciaron las operaciones. En el segundo año de operaciones, se empleará el promedio de la información disponible hasta el 31 de diciembre del primer año. A partir del tercer año, se empleará el promedio de la información del año fiscal inmediatamente anterior.
ARTÍCULO 87. CENTROIDE. Para efectos de lo establecido en el presente título, el centroide del APS corresponde al punto identificado por coordenadas, de conformidad con el estándar de georreferenciación nacional, ubicado en el límite del APS por la vía que conduce al sitio de disposición final, transferencia o tratamiento, el cual se utiliza para estimar la distancia desde éste hasta la puerta de acceso a dicho sitio. La distancia con respecto al sitio o sitios de disposición final, transferencia o tratamiento, para cada una de las APS, deberá ser reportada por la persona prestadora al momento de aplicación de la presente resolución a través del Sistema Único de Información (SUI).
DE LOS COSTOS DE COMERCIALIZACIÓN.
ARTÍCULO 88. COSTO DE COMERCIALIZACIÓN POR SUSCRIPTOR DEL SERVICIO PÚBLICO DE ASEO (CCS). El costo de comercialización por suscriptor del servicio público de aseo, será el resultante de la aplicación de los siguientes rubros (pesos de diciembre de 2017/mes):

ARTÍCULO 89. INCREMENTO EN EL CCS POR LA PRESTACIÓN DE LA ACTIVIDAD DE APROVECHAMIENTO. Cuando en el municipio se preste la actividad de aprovechamiento, el CCS se deberá incrementar en un 36%, el cual se distribuirá entre las personas prestadoras de la actividad de aprovechamiento y las personas prestadoras de la actividad de recolección y transporte de residuos no aprovechables, de acuerdo con los siguientes porcentajes:
El recaudo proveniente del 23% de incremento en el costo de comercialización por suscriptor (CCS) deberá ser distribuido entre las personas prestadoras de aprovechamiento de la siguiente manera:

89.1 Recaudo mensual por CCS para las personas prestadoras de aprovechamiento por suscriptores no aforados de esta actividad:
![]()
Donde:
| RNAj | Recursos provenientes del recaudo por concepto del CCS para las personas prestadoras de aprovechamiento j en el municipio, asociado al recaudo mensual por CCS de aprovechamiento de los suscriptores no aforados en el APS de la persona prestadora de recolección y transporte de residuos sólidos no aprovechables(pesos/mes). |
| RCCSNA | Recaudo mensual proveniente de los suscriptores no aforados, por concepto del costo de comercialización del servicio público de aseo en el APS de las personas prestadoras de recolección y transporte de residuos sólidos no aprovechables (pesos/mes). |
| Promedio mensual de toneladas de residuos efectivamente aprovechados no aforadas por la persona prestadora de aprovechamiento j en el municipio, de acuerdo con lo definido en el ARTÍCULO 86 de la presente resolución (toneladas/mes). | |
| j | Número de personas prestadoras de la actividad de aprovechamiento en el municipio donde j= {1, 2, 3, 4,...,n}. |
| 16,91%: | Porcentaje del costo asociado al incremento de costos de comercialización por la prestación de la actividad de aprovechamiento |
89.2 Recaudo mensual por CCS para las personas prestadoras de aprovechamiento por suscriptores aforados de esta actividad:

Donde:
| RA | Recursos provenientes del recaudo por concepto del CCS para la persona prestadora de aprovechamiento j en el municipio, asociado al recaudo mensual por CCS de aprovechamiento de los suscriptores aforados de aprovechamiento en el APS de la persona prestadora de recolección y transporte de residuos sólidos no aprovechables (pesos/mes). |
| RCCSAF | Recaudo mensual proveniente de los suscriptores con aforo, por concepto del costo de comercialización del servicio público de aseo en el APS de las personas prestadoras de recolección y transporte de residuos sólidos no aprovechables (pesos/mes). |
| Promedio mensual del número de suscriptores aforados de aprovechamiento del municipio, de acuerdo con lo definido en el ARTÍCULO 86 de la presente resolución (suscriptores/mes). | |
| j | Número de personas prestadoras de la actividad de aprovechamiento en el área urbana donde j= {1, 2, 3, 4,...,n}. |
| 16,91%: | Porcentaje del costo asociado al incremento de costos de comercialización por la prestación de la actividad de aprovechamiento. |
PARÁGRAFO. Este incremento se realizará una vez la persona prestadora de aprovechamiento haya certificado la cantidad en toneladas de residuos efectivamente aprovechados en el Sistema Único de Información (SUI) y, por ende, se pueda facturar la actividad de aprovechamiento en el respectivo municipio.
DE LOS COSTOS DE BARRIDO Y LIMPIEZA DE VÍAS Y ÁREAS PÚBLICAS Y LIMPIEZA URBANA.
ARTÍCULO 90. COSTO DE BARRIDO Y LIMPIEZA DE VÍAS Y ÁREAS PÚBLICAS Y LIMPIEZA URBANA POR SUSCRIPTOR (CBLUS). El costo de barrido y limpieza de vías y áreas públicas y limpieza urbana por suscriptor, será el resultante de la aplicación de los siguientes rubros (pesos de diciembre de 2017/mes):


PARÁGRAFO 1. Cuando el valor total de los equipos y/o activos asociados a esta actividad es aportado por una entidad pública, éstos no deberán ser incluidos en el rubro número ii para la determinación del CBLUS.
PARÁGRAFO 2. La longitud de vías y áreas públicas barridas, los árboles a intervenir (unidades), las áreas verdes objeto de corte (m2), las áreas públicas objeto de lavado (m2), las playas objeto de limpieza (km) y las cestas a instalar (unidades), corresponderán a las definidas en el Programa para la Prestación del Servicio de Aseo, con base en lo establecido en el Plan de Gestión Integral de Residuos Sólidos (PGIRS).
PARÁGRAFO 3. El costo de limpieza de playas costeras o ribereñas sólo aplica para los municipios que cuenten con playas en su área urbana y que la longitud o áreas a intervenir (km y/o m2) hayan sido incluidos por el municipio en el respectivo PGIRS, así como en el Programa de Prestación del Servicio de la persona prestadora. En caso de no incluir playas, dicho concepto será igual a cero.
ARTÍCULO 91. FRECUENCIAS DE BARRIDO Y LIMPIEZA DE VÍAS Y ÁREAS PÚBLICAS. Las frecuencias de barrido y limpieza de vías y áreas públicas serán como mínimo las que establece el artículo 2.3.2.2.2.4.53 del Decreto 1077 de 2015 o aquel que lo modifique, adicione, sustituya o aclare.
PARÁGRAFO. El aumento de frecuencias de barrido deberá ser solicitado al prestador por parte del municipio, siempre y cuando haya modificado el PGIRS, de acuerdo con lo establecido en el Decreto 1077 de 2015 o aquel que lo modifique, adicione, sustituya o aclare.
ARTÍCULO 92. RESPONSABILIDAD DE LA PRESTACIÓN DEL BARRIDO Y LIMPIEZA DE VÍAS Y ÁREAS PÚBLICAS. Las labores de barrido y limpieza de vías y áreas públicas son responsabilidad de la persona prestadora del servicio público de aseo de no aprovechables en el APS donde realice las actividades de recolección y transporte, teniendo presentes las condiciones de gradualidad que resulten aplicables a las actividades en el respectivo Programa para la Prestación del Servicio de Aseo, de conformidad con lo dispuesto en el numeral 2 del artículo 2.3.7.2.2.2.6 del Decreto 1077 de 2015, adicionado por el Decreto 1272 de 2017, o aquel que lo modifique, adicione, sustituya o aclare.
Una vez incorporada, dicha obligación quedará consignada en el respectivo contrato de servicios públicos (CCU) con el usuario.
PARÁGRAFO. Cuando en un municipio exista más de una persona prestadora, éstas deberán celebrar acuerdos de barrido conforme con la regulación establecida en la Resolución CRA 709 de 2015 o aquella que la modifique, adicione, sustituya o aclare, con base en el artículo 2.3.2.2.2.4.52 del Decreto 1077 de 2015 o aquel que lo modifique, adicione, sustituya o aclare. Lo anterior, sin perjuicio de lo dispuesto en el artículo 2.3.2.2.2.4.51 del mismo decreto respecto de la responsabilidad de la persona prestadora de recolección y transporte en el barrido y limpieza de vías y áreas públicas.
ARTÍCULO 93. RESPONSABILIDAD DE LA LIMPIEZA URBANA. Las labores de limpieza urbana son responsabilidad de los prestadores del servicio público de aseo de no aprovechables en el APS donde realicen las actividades de recolección y transporte, teniendo presentes las condiciones de gradualidad que resulten aplicables a las actividades en el respectivo Programa para la Prestación del Servicio de Aseo, de conformidad a lo dispuesto en el numeral 2 del artículo 2.3.7.2.2.2.6 del Decreto 1077 de 2015, adicionado por el Decreto 1272 de 2017, o aquel que lo modifique, adicione, sustituya o aclare.
Cuando en un municipio exista más de una persona prestadora, éstas deberán celebrar acuerdos de lavado conforme con la regulación establecida en la Resolución CRA 767 de 2016 o aquella que la modifique, adicione, sustituya o aclare, con base en el artículo 2.3.2.2.2.5.63 del Decreto 1077 de 2015 o aquel que lo modifique, adicione, sustituya o aclare.
DE LOS COSTOS DE RECOLECCIÓN Y TRANSPORTE.
ARTÍCULO 94. COSTO DE RECOLECCIÓN Y TRANSPORTE DE RESIDUOS SÓLIDOS (CRT). El costo de recolección y transporte de residuos sólidos será el resultante de la aplicación de los siguientes rubros (pesos de diciembre de 2017/mes):

PARÁGRAFO 1. Cuando el valor total de los vehículos y/o activos asociados a este componente es aportado por una entidad pública, estos no deberán ser incluidos en los rubros ii y iii para la determinación del costo de recolección y transporte.
PARÁGRAFO 2. Aquellas personas prestadoras que atiendan en municipios costeros podrán incrementar el en 0,94%, para tener en cuenta el efecto de la salinidad.
PARÁGRAFO 3. El número de frecuencias para esta actividad corresponderá a aquel que optimice el costo de recolección y transporte de la persona prestadora, en relación con la cantidad de residuos generados en el APS, sin que en ningún caso pueda ser inferior a dos (2) frecuencias semanales, de conformidad con el artículo 2.3.2.2.2.3.32. del Decreto 1077 de 2015 o aquel que lo modifique, adicione, sustituya o aclare.
DE LOS COSTOS DE DISPOSICIÓN FINAL.
ARTÍCULO 95. COSTO DE DISPOSICIÓN FINAL TOTAL (CDFT). El costo de disposición final total será como máximo el valor resultante de aplicar las siguientes funciones:

Donde:
| CDF_VU | Costo máximo a reconocer por tonelada, por vida útil de 30 años, en el sitio de disposición final (pesos de diciembre de 2017/tonelada). |
| Promedio mensual de residuos sólidos que se reciben en el sitio de disposición final, de acuerdo con lo definido en el ARTÍCULO 86 de la presente resolución (toneladas/mes). | |
| CDF_PC | Costo máximo a reconocer por tonelada, por período de la etapa de posclausura de diez (10) años, en el sitio de disposición final (pesos de diciembre de 2017/tonelada). |
| Min () | Función que exige escoger el menor de los dos valores separados por punto y coma. |
| k | Factor que involucra el costo adicional por una duración superior a diez (10) años de la etapa de posclausura del relleno sanitario, según la exigencia de la autoridad ambiental. En el caso en que la autoridad ambiental determine un período igual a diez (10) años de la etapa de posclausura, para el sitio de disposición final, k=1. Período adicional a diez (10) años de la posclausura del relleno sanitario, que ha sido aprobado por la autoridad ambiental. |
PARÁGRAFO. Todo sitio de disposición final deberá reportar anualmente al Sistema Único de Información (SUI), su capacidad de disposición y tener disponible la misma en un lugar visible, con el fin de ilustrar con información suficiente a las personas prestadoras de la actividad recolección y transporte de residuos no aprovechables.
ARTÍCULO 96. COSTO DE DISPOSICIÓN FINAL TOTAL CON APORTE BAJO CONDICIÓN (CDFT_ABC). Cuando una entidad pública realice aportes bajo condición sobre el valor total o parcial de los activos asociados a la actividad de disposición final, el CDFT con aportes bajo condición se define de acuerdo con la siguiente función:
![]()
Donde:
| CDFT_ABC | Costo de Disposición Final Total con Aporte Bajo Condición (pesos de diciembre de 2017/tonelada). |
| CDFT | Costo de Disposición Final Total definido en el ARTÍCULO 95 de la presente resolución (pesos de diciembre de 2017/tonelada). |
| p | Proporción del costo total que corresponde al costo de capital del sitio de disposición final, la función de costos máxima de disposición final total (CDFT) señalada en el ARTÍCULO 95 de la presente resolución y de acuerdo con el tamaño del relleno sanitario, es el siguiente: |
| fCK | Fracción del costo de capital aportado bajo condición del sitio de disposición final, el cual se determinará de acuerdo con la siguiente expresión: Donde: VA_CDF_ABC: Valor del total de los activos aportados para la actividad de disposición final (pesos de diciembre de 2017). VA_CDF: Valor del total de los activos de la persona prestadora para la actividad de disposición final (pesos de diciembre de 2017), entiéndase esto como la suma de los activos con que se contaba previamente y los nuevos que le sean aportados. |
ARTÍCULO 97. PROVISIÓN DE RECURSOS PARA LAS ETAPAS DE CLAUSURA Y POSCLAUSURA. La persona prestadora de la actividad de disposición final deberá constituir un encargo fiduciario, que permita garantizar los recursos necesarios para la clausura y posclausura del relleno sanitario d, de tal manera que todas las actividades y obras requeridas para dichas etapas se realicen, acorde con lo establecido en el artículo 2.3.2.3.17 del Decreto 1077 de 2015 modificado por artículo 1o del Decreto 1784 de 2017, o el que lo modifique, adicione, sustituya o aclare, de acuerdo con la fórmula definida para adoptado por la persona prestadora.
DE LOS COSTOS DE TRATAMIENTO.
ARTÍCULO 98. COSTO DE TRATAMIENTO (CT). El costo de tratamiento por tonelada será como máximo el valor que se establece en la siguiente función (pesos de diciembre de 2017/toneladas):
![]()
Donde:
| CT | Costo máximo a reconocer por tonelada, por vida útil de 30 años, en la planta de tratamiento (pesos de diciembre de 2017/tonelada). |
| Min () | Función que exige escoger el menor de los dos valores separados por punto y coma. |
| Promedio mensual de residuos orgánicos que se reciben en la planta de tratamiento, de acuerdo con lo definido en el ARTÍCULO 86 de la presente resolución (toneladas/mes). |
PARÁGRAFO. Las personas prestadoras de la actividad de tratamiento que no estén cumpliendo con la obligación de contar con báscula de pesaje en la planta de tratamiento, el valor del definido en este artículo será igual a cero (0).
ARTÍCULO 99. COSTO DE TRATAMIENTO CON APORTE BAJO CONDICIÓN (CT_ABC). Cuando una entidad pública realice aportes bajo condición sobre el valor total o parcial de los activos asociados a la actividad de tratamiento, el CT con aportes bajo condición se define de acuerdo con la siguiente función:
![]()
Donde:
| CT_ABC | Costo de Tratamiento con Aporte Bajo Condición (pesos de diciembre de 2017/tonelada). |
| CT | Costo de Tratamiento (pesos de diciembre de 2017/tonelada). |
| p | Proporción del costo total que corresponde al costo de capital, definido para el CT en el ARTÍCULO 98 de la presente resolución:![]() |
| fCK | Fracción del costo de capital aportado bajo condición del CT, el cual se determinará de acuerdo con la siguiente expresión: Donde: VA_CT_ABC: Valor del total de los activos aportados para la actividad de Tratamiento (pesos de diciembre de 2017). VA_CT: Valor del total de los costos de la actividad de Tratamiento (pesos de diciembre de 2017), entiéndase esto como la suma de los activos con que se contaba previamente y los nuevos que le sean aportados. |
DEL VALOR BASE DE REMUNERACIÓN DEL APROVECHAMIENTO.
ARTÍCULO 100. VALOR BASE DE REMUNERACIÓN DEL APROVECHAMIENTO (VBA). La remuneración de la actividad de aprovechamiento, se calculará de la siguiente forma:
![]()
Donde:
| VBA | Valor Base de Remuneración de Aprovechamiento (pesos de diciembre de 2017/tonelada). |
| CRT | Costo de Recolección y Transporte de la persona prestadora de residuos sólidos no aprovechables definido en el ARTÍCULO 94 de la presente resolución (pesos de diciembre de 2017/tonelada). |
| CDFT | Costo de Disposición Final Total de residuos sólidos no aprovechables definido en el ARTÍCULO 95 de la presente resolución (pesos de diciembre de 2017/tonelada). |
| DINC | Incentivo a la separación en la fuente que se otorgará como un descuento de hasta el cuatro por ciento (4%) de conformidad con lo establecido en el Decreto 1077 de 2015, modificado y adicionado por el Decreto 596 de 2016, o aquel que lo modifique, adicione, sustituya o aclare. |
PARÁGRAFO 1. El número de frecuencias de recolección para esta actividad corresponderá a lo establecido en el respectivo Programa para la Prestación del Servicio de Aseo acorde con el Plan de Gestión Integral de Residuos Sólidos (PGIRS).
PARÁGRAFO 2. El pesaje y clasificación de residuos sólidos aprovechables se realizará en las ECA, definidas en el Decreto 1077 de 2015 o aquel que lo modifique, adicione, sustituya o aclare.
DE LA ACTUALIZACIÓN DE COSTOS.
ARTÍCULO 101. ACTUALIZACIÓN DE COSTOS. Para actualizar los costos económicos resultantes de la aplicación de la metodología tarifaria, cuando el Índice de Precios al Consumidor, reportado por el DANE, acumule una variación de por lo menos tres por ciento (3%). La actualización se realizará de conformidad con la siguiente fórmula:
![]()
Donde:
| Se refiere al costo económico actualizado para el periodo i. | |
| Se refiere al costo económico estimado a partir de la última actualización efectuada por la persona prestadora. | |
| Factor de Actualización por IPC, el cual podrá ser aplicado cada vez que se acumule una variación de por lo menos el tres por ciento (3%) en el Índice de Precios al Consumidor reportado por el DANE. Este factor será calculado de la siguiente manera: Donde: |
PARÁGRAFO. La aplicación del IPC se sujetará a lo establecido en el artículo 125 de la Ley 142 de 1994. Para la estimación del factor de actualización, se utilizará el IPC expresado de acuerdo con la base definida por el DANE vigente al momento de expedición de la presente resolución, redondeado a seis (6) decimales. El factor de actualización obtenido
deberá ser redondeado a cuatro (4) decimales y las operaciones resultantes de la fórmula de actualización de costos de referencia serán redondeadas a dos (2) decimales.
DE LAS TARIFAS Y LA PRODUCCIÓN DE RESIDUOS FACTURADOS.
ARTÍCULO 102. TARIFA FINAL POR SUSCRIPTOR. Para efecto de calcular la tarifa mensual final por suscriptor, los prestadores de recolección y transporte de residuos sólidos no aprovechables aplicarán la siguiente fórmula:
102.1 Suscriptor no Aforado:
![]()
102.2 Suscriptor Aforado:
![]()
Donde:
| Tarifa Final por suscriptor tipo u de la persona prestadora (pesos/suscriptor-mes). | |
| Tarifa Final por Suscriptor i de la persona prestadora (pesos/suscriptor-mes). | |
| Costo Fijo Total definido en el ARTÍCULO 83 de la presente resolución (pesos/suscriptor-mes). | |
| Costo Variable por tonelada de residuos sólidos no aprovechables definido en el ARTÍCULO 84 de la presente resolución (pesos/tonelada). | |
| Costo Variable por tonelada de residuos efectivamente aprovechados definido en el ARTÍCULO 85 de la presente resolución (pesos/tonelada). | |
| Toneladas de Residuos sólidos No Aprovechables por suscriptor definidas en el ARTÍCULO 103 de la presente resolución (toneladas/suscriptor-mes). | |
| Toneladas de Residuos efectivamente Aprovechados por suscriptor definidas en el ARTÍCULO 103 de la presente resolución (toneladas/suscriptor-mes). | |
| Toneladas de Residuos sólidos no aprovechables aforadas por suscriptor i, en el periodo de facturación (toneladas/suscriptor-mes). | |
| Toneladas de Residuos efectivamente aprovechados aforadas por suscriptor i, en el periodo de facturación (toneladas/suscriptor-mes). | |
| Factor de contribución o subsidio correspondiente a cada suscriptor, aplicable para el servicio público de aseo, determinado por estrato o tipo de uso de acuerdo con la normatividad aplicable, subsidio con signo negativo y contribución con signo positivo. | |
| Tipo de suscriptor, donde u = (1,2,3,4,5,6= estratos suscriptores residenciales, 7=pequeño productor, 8= inmuebles desocupados). | |
| Suscriptor aforado, donde i = (1,2,3,…,I). |
ARTÍCULO 103. CÁLCULO DE TONELADAS POR SUSCRIPTOR. Las toneladas de residuos sólidos no aprovechables y aprovechables por suscriptor en el APS de servicio se calcularán de acuerdo con las siguientes fórmulas:
103.1 Toneladas por suscriptor de residuos sólidos no aprovechables:

Donde:
| TRN | Toneladas de residuos sólidos no aprovechables por suscriptor mes. |
| Promedio mensual de toneladas de residuos sólidos no aprovechables transportados y recolectados, de acuerdo con lo definido en el ARTÍCULO 86 de la presente resolución. Incluye los residuos derivados de las actividades de barrido y limpieza de vías y áreas públicas, y limpieza urbana, los residuos de rechazo de la actividad de aprovechamiento y/o tratamiento, y los residuos sólidos no aprovechables que sean transportados al sitio de disposición final o sitio de tratamiento s (toneladas/mes). | |
| Promedio mensual del número de suscriptores totales del APS, de acuerdo con lo definido en el ARTÍCULO 86 de la presente resolución (suscriptores/mes). | |
| Promedio mensual del número de suscriptores de inmuebles desocupados del APS, de acuerdo con lo definido en el ARTÍCULO 86 de la presente resolución (suscriptores/mes). | |
| Promedio mensual del número de suscriptores aforados de no aprovechables en el APS, de acuerdo con lo definido en el ARTÍCULO 86 de la presente resolución (suscriptores/mes). | |
| Toneladas de Residuos sólidos no aprovechables aforadas por suscriptor i, en el periodo de facturación (toneladas/suscriptor-mes). | |
| i | Suscriptor aforado, donde i = (1,2,3,…,I). |
| s: | Sitio de entrega de residuos sólidos, donde, s = {sitios de disposición final, sitios de tratamiento}. |
103.2 Toneladas por suscriptor de residuos efectivamente aprovechados:

Donde:
| TRA | Toneladas de residuos efectivamente aprovechados por suscriptor mes. |
| Promedio mensual de toneladas de residuos efectivamente aprovechados en el municipio, de acuerdo con lo definido en el ARTÍCULO 86 de la presente resolución y la información registrada en el Sistema Único de Información (SUI) (toneladas/mes). | |
| TFAi | Toneladas de Residuos efectivamente aprovechados aforadas por suscriptor i, en el periodo de facturación (toneladas/suscriptor-mes). |
| Promedio mensual del número de suscriptores totales del municipio, de acuerdo con lo definido en el ARTÍCULO 86 de la presente resolución (suscriptores/mes). | |
| Promedio mensual del número de suscriptores de inmuebles desocupados del municipio, de acuerdo con lo definido en el ARTÍCULO 86 de la presente resolución (suscriptores/mes). | |
| Promedio mensual del número de suscriptores aforados de aprovechamiento del municipio, de acuerdo con lo definido en el ARTÍCULO 86 de la presente resolución (suscriptores/mes). | |
| i | Sucriptor aforado, donde i = (1,2,3,…,I). |
PARÁGRAFO 1. Las personas prestadoras de las actividades de disposición final y tratamiento deberán garantizar el pesaje de los residuos sólidos no aprovechables, que reciban en el relleno sanitario o planta de tratamiento respectivamente. Las personas prestadoras que a la entrada en vigencia de la presente resolución operen rellenos sanitarios que no cuenten con báscula de pesaje, deberán cumplir con lo establecido en el ARTÍCULO 171 de la presente Resolución, para lo cual, contarán con un tiempo máximo de dos (2) años a partir del inicio de la vigencia de la fórmula tarifaria.
PARÁGRAFO 2. Para efecto de facturación, las ECA y las plantas de tratamiento no se considerarán suscriptores de residuos no aprovechables.
DEL CÁLCULO DE LA METODOLOGÍA TARIFARIA PARA EL ESQUEMA DE PRESTACIÓN REGIONAL EN DONDE TODAS LAS APS SE ENCUENTRAN EN MUNICIPIOS CON HASTA 5.000 SUSCRIPTORES EN EL ÁREA URBANA.
DEL CÁLCULO DEL COSTO FIJO, EL COSTO VARIABLE, EL PROMEDIO PARA LA ESTIMACIÓN Y EL CENTROIDE.
ARTÍCULO 104. COSTO FIJO TOTAL (CFTZ). El costo fijo total por suscriptor del APS se define de la siguiente manera:
Donde:
| Costo Fijo Total por suscriptor del APS z (pesos de diciembre de 2017/suscriptor-mes). | |
| Costo de Comercialización por suscriptor del servicio público de aseo para el APS z, definido en el ARTÍCULO 109 de la presente resolución (pesos de diciembre de 2017/suscriptor-mes). | |
| Costo de Barrido y Limpieza de vías y áreas públicas y Limpieza Urbana por suscriptor para el APS z, definido en el ARTÍCULO 111 de la presente resolución (pesos de diciembre de 2017/suscriptor-mes). | |
| z: | Áreas de prestación del Servicio (APS) que conforman el esquema de prestación regional, donde z = {1, 2, 3, 4,...,Z}. |
ARTÍCULO 105. COSTO VARIABLE POR TONELADA DE RESIDUOS SÓLIDOS NO APROVECHABLES (CVNA). El Costo Variable por tonelada de residuos sólidos no aprovechables para el esquema de prestación regional se define de la siguiente manera:

Donde:
| CVNA | Costo Variable por tonelada de Residuos Sólidos no Aprovechables para el esquema de prestación regional (pesos de diciembre de 2017/tonelada). |
| CRT | Costo de Recolección y Transporte de Residuos Sólidos definido en el ARTÍCULO 115 de la presente resolución (pesos de diciembre de 2017/tonelada). |
| CDFT | Costo de Disposición Final Total por tonelada definido en el ARTÍCULO 116 de la presente resolución (pesos de diciembre de 2017/tonelada). |
| CT | Costo de Tratamiento por tonelada definido en el ARTÍCULO 122 de la presente resolución (pesos de diciembre de 2017/tonelada). |
| Promedio mensual de toneladas de residuos sólidos recolectados y transportados al sitio de disposición final o sitio de tratamiento, de acuerdo con lo definido en el ARTÍCULO 107 de la presente resolución (toneladas/mes). |
ARTÍCULO 106. COSTO VARIABLE POR TONELADA DE RESIDUOS EFECTIVAMENTE APROVECHADOS (CVAZ). El Costo Variable por tonelada de residuos efectivamente aprovechados del APS se define de la siguiente manera:
![]()
Donde:
| Costo Variable por tonelada de residuos efectivamente aprovechados del APS z (pesos de diciembre de 2017/tonelada). | |
| Valor Base de remuneración del Aprovechamiento del APS z definido en el ARTÍCULO 124 de la presente resolución (pesos de diciembre de 2017/tonelada). | |
| z: | Áreas de prestación del Servicio (APS) que conforman el esquema de prestación regional, donde z = {1, 2, 3, 4,...,Z}. |
ARTÍCULO 107. PROMEDIO PARA LOS CÁLCULOS. Cuando en el presente Título se determine que los cálculos se realicen con el promedio de: kilómetros de barrido y limpieza por APS, toneladas de residuos sólidos no aprovechables del esquema de prestación regional, toneladas de residuos sólidos tratados por APS, toneladas de residuos efectivamente aprovechados por APS, metros cúbicos de lixiviados generados en el relleno sanitario y número de suscriptores, se tomará el promedio mensual del año fiscal inmediatamente anterior.
PARÁGRAFO 1. Cuando al esquema de prestación regional se integre una nueva APS o salga una de las APS, la persona prestadora recalculará los promedios para el cálculo de los costos de que trata la presente metodología. Tal situación deberá ser informada a la Superintendencia de Servicios Públicos (SSPD) y a la Comisión de Regulación de Agua Potable y Saneamiento Básico (CRA).
PARÁGRAFO 2. Las personas prestadoras que inicien actividades con posterioridad a la entrada en vigencia de la fórmula tarifaria deberán estimar promedios mensuales, a partir de la información que se irá acumulando mes a mes, hasta el 31 de diciembre del año en que se iniciaron las operaciones. En el segundo año de operaciones, se empleará el promedio de la información disponible hasta el 31 de diciembre del primer año. A partir del tercer año, se empleará el promedio de la información del año fiscal inmediatamente anterior.
ARTÍCULO 108. CENTROIDE. Para efectos de lo establecido en el presente título, el centroide del APS corresponde al punto identificado por coordenadas, de conformidad con el estándar de georreferenciación nacional, ubicado en el límite del APS por la vía que conduce al sitio de disposición final, transferencia o tratamiento, el cual se utiliza para estimar la distancia desde éste hasta la puerta de acceso a dicho sitio.
La distancia con respecto al sitio o sitios de disposición final, transferencia o tratamiento, para cada una de las APS, deberá ser reportada por la persona prestadora al momento de aplicación de la presente resolución a través del Sistema Único de Información (SUI).
DE LOS COSTOS DE COMERCIALIZACIÓN.
ARTÍCULO 109. COSTO DE COMERCIALIZACIÓN POR SUSCRIPTOR DEL SERVICIO PÚBLICO DE ASEO (CCSZ). El Costo de Comercialización por suscriptor del servicio público de aseo para cada APS, se define de la siguiente manera:
![]()
Donde:
| Costo de Comercialización por Suscriptor del APS z (pesos de diciembre de 2017/tonelada). | |
| Costo de Facturación y Recaudo por Suscriptor del APS z, el cual corresponde al valor en que se incurre la persona prestadora en la APS z por concepto de facturación directa, convenio de facturación y recaudo conjunto, herramienta informática y mantenimiento de la herramienta. (pesos de diciembre de 2017/tonelada). | |
| z: | Áreas de prestación del Servicio (APS) que conforman el esquema de prestación regional, donde z = {1, 2, 3, 4,...,Z}. |
| Costo de Comercialización por Suscriptor Unificado para el esquema de prestación regional será el resultante de la aplicación de los siguientes rubros (pesos de diciembre de 2017/mes): |

ARTÍCULO 110. INCREMENTO EN EL CCSZ POR LA PRESTACIÓN DE LA ACTIVIDAD DE APROVECHAMIENTO. En Los municipios en que se preste la actividad de aprovechamiento, el CCSz se deberá incrementar en un 30%, el cual se distribuirá entre las personas prestadoras de la actividad de aprovechamiento y las personas prestadoras de la actividad de recolección y transporte de residuos no aprovechables, de acuerdo con los siguientes porcentajes:

El recaudo proveniente del 11,4% de incremento en el costo de comercialización por suscriptor del APS z (CCSz) deberá ser distribuido entre las prestadoras de aprovechamiento de la siguiente manera:
110.1 Recaudo mensual por CCSz para las personas prestadoras de aprovechamiento por suscriptores no aforados de esta actividad:
![]()
Donde:
| Recursos provenientes del recaudo por concepto del CCSz para las personas prestadoras de aprovechamiento j en el municipio donde se ubica el APS z, asociado al recaudo mensual por CCSz de aprovechamiento de los suscriptores no aforados en el APS z de la persona prestadora de recolección y transporte de residuos sólidos no aprovechables (pesos/mes). | |
| Recaudo mensual proveniente de los suscriptores no aforados, por concepto del costo de comercialización del servicio público de aseo de los suscriptores no aforados en el APS z, de la persona prestadora de recolección y transporte de residuos sólidos no aprovechables en el municipio donde se ubica el APS z (pesos/mes). | |
| Promedio mensual de toneladas de residuos efectivamente aprovechados no aforadas por la persona prestadora de aprovechamiento j en el municipio donde se ubica el APS z, de acuerdo con lo definido en el ARTÍCULO 107 de la presente resolución (toneladas/mes). | |
| z: | Áreas de prestación del Servicio (APS) que conforman el esquema de prestación regional, donde z = {1, 2, 3, 4,...,Z}. |
| Número de personas prestadoras de la actividad de aprovechamiento en el municipio, donde j= {1, 2, 3, 4,...,n}. | |
| 8,77% | Porcentaje del costo asociado al incremento de costos de comercialización por la prestación de la actividad de aprovechamiento. |
110.2 Recaudo mensual por CCSz para las personas prestadoras de aprovechamiento por suscriptores aforados de esta actividad:
![]()
Donde:
| Recursos provenientes del recaudo por concepto del CCSz para la persona prestadora de aprovechamiento j en el municipio donde se ubica el APS z, asociado al recaudo mensual por CCSz de aprovechamiento de los suscriptores aforados de aprovechamiento en el APS z de la persona prestadora de recolección y transporte de residuos sólidos no aprovechables (pesos/mes). | |
| Recaudo mensual proveniente de los suscriptores con aforo, por concepto del CCSz de la persona prestadora de recolección y transporte de residuos sólidos no aprovechables en el municipio donde se ubica el APS z (pesos/mes). | |
| Promedio mensual de suscriptores aforados de aprovechamiento de la persona prestadora de aprovechamiento j en el municipio donde se ubica el APS z, de acuerdo con lo definido en el ARTÍCULO 107 de la presente resolución (suscriptores/mes). | |
| z: | Áreas de prestación del Servicio (APS) que conforman el esquema de prestación regional, donde z = {1, 2, 3, 4,...,Z}. |
| Número de personas prestadoras de la actividad de aprovechamiento en el área urbana donde j= {1, 2, 3, 4,...,n}. | |
| 8,77% | Porcentaje del costo asociado al incremento de costos de comercialización por la prestación de la actividad de aprovechamiento. |
PARÁGRAFO. Este incremento se realizará una vez la persona prestadora de aprovechamiento haya certificado la cantidad en toneladas de residuos efectivamente aprovechados en el Sistema Único de Información (SUI) y, por ende, se pueda facturar la actividad de aprovechamiento en el respectivo municipio.
DE LOS COSTOS DE BARRIDO Y LIMPIEZA DE VÍAS Y ÁREASPÚBLICAS Y LIMPIEZA URBANA.
ARTÍCULO 111. COSTO DE BARRIDO Y LIMPIEZA DE VÍAS Y ÁREAS PÚBLICAS Y LIMPIEZA URBANA POR SUSCRIPTOR (CBLUSZ). Costo de Barrido y Limpieza de vías y áreas públicas y Limpieza Urbana por Suscriptor para cada APS z, será el resultante de la aplicación de los siguientes rubros (pesos de diciembre de 2017/mes):

PARÁGRAFO 1. Cuando el valor total de los equipos y/o activos asociados a esta actividad es aportado por una entidad pública, éstos no deberán ser incluidos en el rubro número ii para la determinación del CBLUSz.
PARÁGRAFO 2. En las actividades definidas en los artículos 2.3.2.2.2.4.57, 2.3.2.2.2.4.62, 2.3.2.2.2.5.65, 2.3.2.2.2.6.66. y 2.3.2.2.2.6.70 del Decreto 1077 de 2015 o aquel que lo modifique, adicione, sustituya o aclare; a los suscriptores ubicados en centros poblados rurales sólo se les podrá cobrar el costo correspondiente a la instalación y mantenimiento de cestas públicas.
PARÁGRAFO 3. La longitud de vías y áreas públicas barridas (Km), los árboles a intervenir (unidades), las áreas verdes objeto de corte (m2), las áreas públicas objeto de lavado (m2), las playas en área urbana objeto de limpieza (km) y las cestas a instalar (unidades), corresponderán a los definidos en el Programa para la Prestación del Servicio de Aseo, con base en lo establecido en el Plan de Gestión Integral de Residuos Sólidos (PGIRS).
PARÁGRAFO 4. Las áreas públicas a barrer deberán ser convertidas a kilómetros lineales, multiplicando el área (m2) total a barrer por 0,002 km/m2.
ARTÍCULO 112. FRECUENCIAS DE BARRIDO Y LIMPIEZA DE VÍAS Y ÁREAS PÚBLICAS. Las frecuencias de barrido y limpieza de vías y áreas públicas en el APS z serán como mínimo las que establece el artículo 2.3.2.2.2.4.53 del Decreto 1077 de 2015 o aquel que lo modifique, adicione, sustituya o aclare.
PARÁGRAFO. El aumento de frecuencias de barrido deberá ser solicitado al prestador por parte del municipio, siempre y cuando haya modificado el PGIRS, de acuerdo con lo establecido en el Decreto 1077 de 2015 o aquel que lo modifique, adicione, sustituya o aclare.
ARTÍCULO 113. RESPONSABILIDAD DE LA PRESTACIÓN DEL BARRIDO Y LIMPIEZA DE VÍAS Y ÁREAS PÚBLICAS. Las labores de barrido y limpieza de vías y en áreas públicas son responsabilidad de la persona prestadora del servicio público de aseo de no aprovechables en el APS z donde realice las actividades de recolección y transporte. Dicha obligación quedará consignada en el respectivo contrato de servicios públicos (CCU) con el usuario.
PARÁGRAFO. Cuando en un municipio exista más de una persona prestadora, éstas deberán celebrar acuerdos de barrido conforme con la regulación establecida en la Resolución CRA 709 de 2015 o aquella que la modifique, adicione, sustituya o aclare, con base en el artículo 2.3.2.2.2.4.52 del Decreto 1077 de 2015 o aquel que lo modifique, adicione, sustituya o aclare. Lo anterior, sin perjuicio de lo dispuesto en el artículo 2.3.2.2.2.4.51 del mismo decreto respecto de la responsabilidad de la persona prestadora de recolección y transporte en el barrido y limpieza de vías y áreas públicas.
ARTÍCULO 114. RESPONSABILIDAD DE LA LIMPIEZA URBANA. Las labores de limpieza urbana son responsabilidad de los prestadores del servicio público de aseo de no aprovechables en el APS z donde realicen las actividades de recolección y transporte. Cuando en un municipio exista más de una persona prestadora, éstas deberán celebrar acuerdos de lavado conforme con la regulación establecida en la Resolución CRA 767 de 2016 o aquella que la modifique, adicione, sustituya o aclare, con base en el artículo 2.3.2.2.2.5.63 del Decreto 1077 de 2015 o aquel que lo modifique, adicione, sustituya o aclare.
DE LOS COSTOS DE RECOLECCIÓN Y TRANSPORTE.
ARTÍCULO 115. COSTO DE RECOLECCIÓN Y TRANSPORTE DE RESIDUOS SÓLIDOS (CRT). El costo de recolección y transporte de residuos sólidos será el resultante de la aplicación de los siguientes rubros (pesos de diciembre de 2017/mes) para todas las APS que integran el esquema regional:


PARÁGRAFO 1. Cuando el valor total de los vehículos y/o activos asociados a este componente es aportado por una entidad pública, estos no deberán ser incluidos en los rubros ii y iii para la determinación del costo de recolección y transporte.
PARÁGRAFO 2. Aquellas personas prestadoras que atiendan en municipios costeros podrán incrementar el en 0,94%, para tener en cuenta el efecto de la salinidad.
PARÁGRAFO 3. El número de frecuencias para esta actividad corresponderá a aquel que optimice el costo de recolección y transporte de la persona prestadora, en relación con la cantidad de residuos sólidos generados en el APS, sin que en ningún caso pueda ser inferior a dos (2) frecuencias semanales, de conformidad con el artículo 2.3.2.2.2.3.32. del Decreto 1077 de 2015 o aquel que lo modifique, adicione, sustituya o aclare.
PARÁGRAFO 4. En aquellos eventos en los que se deban incorporar incentivos a los municipios y/o distritos donde se ubiquen estaciones de transferencia regionales, de conformidad con lo dispuesto por el artículo 2.3.2.4.3 del Decreto 1077 de 2015 o aquel que lo modifique, adicione, sustituya o aclare, su valor por tonelada se sumará al CRT adoptado por la persona prestadora. Tal situación se informará a la Superintendencia de Servicios Públicos Domiciliarios (SSPD) y a la Comisión de Regulación de Agua Potable y Saneamiento Básico (CRA).
DE LOS COSTOS DE DISPOSICIÓN FINAL.
ARTÍCULO 116. COSTO DE DISPOSICIÓN FINAL TOTAL (CDFT). El costo de disposición final total para todas las APS que integran el esquema de prestación regional, será el estimado de acuerdo con la siguiente función:

Donde:
| Costo de disposición final total, el cual será igual al CDFTDd cuando se dispone en un único sitio de disposición final d; mientras que cuando se utiliza más de un sitio de disposición final corresponde al promedio de los costos (CDFTDd) de estos, ponderado por las toneladas de residuos sólidos del esquema de prestación regional que se disponen en cada sitio de disposición final d (pesos/tonelada). | |
| Costo por tonelada en el sitio de disposición final d adoptado por la persona prestadoras de disposición final entre el precio máximo definido en el ARTÍCULO 117 y el precio mínimo definido en el ARTÍCULO 118 de la presente resolución (pesos de diciembre de 2017/tonelada). Lo anterior, no aplica para aquellas personas prestadoras que dispongan en un relleno sanitario que se encuentre en el ámbito de aplicación de la Resolución CRA 720 de 2015, quienes deberán dar aplicación a lo dispuesto en el Capítulo VI de la citada resolución. | |
| Promedio mensual de residuos sólidos del esquema de prestación regional que se disponen en el sitio de disposición final d, de acuerdo con lo definido en el ARTÍCULO 107 de la presente resolución (toneladas/mes). | |
| d: | Sitio de disposición final, donde, d = {1, 2, 3, 4,...,u}. |
PARÁGRAFO 1. En aquellos eventos en los que se deban incorporar incentivos a los municipios y/o distritos donde se ubiquen rellenos sanitarios regionales, de conformidad con lo dispuesto por el artículo 2.3.2.4.2. del Decreto 1077 de 2015 o aquel que lo modifique, adicione, sustituya o aclare, su valor por tonelada se sumará al CDFTDd adoptado por la persona prestadora del sitio de disposición final d. Tal situación se informará a la Superintendencia de Servicios Públicos Domiciliarios (SSPD) y a la Comisión de Regulación de Agua Potable y Saneamiento Básico (CRA).
PARÁGRAFO 2. Todo sitio de disposición final deberá reportar anualmente al Sistema Único de Información (SUI), su capacidad de disposición y tener disponible la misma en un lugar visible, con el fin de ilustrar con información suficiente a las personas prestadoras de la actividad de recolección y transporte de residuos no aprovechables.
PARÁGRAFO 3. Para efectos del cobro del costo de disposición final total de que trata el presente artículo, el mismo aplica, exclusivamente, para aquellas personas prestadoras cuyo sitio de disposición final corresponda a un relleno sanitario que cumpla con la normatividad vigente expedida por el Ministerio de Vivienda, Ciudad y Territorio (MVCT) o quien haga sus veces.
PARÁGRAFO 4. Para los sitios de disposición final que reciban un promedio mensual de residuos sólidos inferior a 70 toneladas/mes aplicarán el precio mínimo de disposición final total (CDFTDd) definido en el ARTÍCULO 118 de la presente resolución.
ARTÍCULO 117. PRECIO MÁXIMO DE DISPOSICIÓN FINAL TOTAL (CDFTDD). El precio máximo de disposición final total se estimará de acuerdo con las siguientes funciones:
![]()
Donde:
| Costo total máximo a reconocer por disposición final y tratamiento de lixiviados en el sitio de disposición final d (pesos/tonelada) | |
Costo máximo a reconocer por tonelada en el sitio de disposición final d (pesos de diciembre de 2017/tonelada), el cual se estima de acuerdo con las siguientes fórmulas:![]() Donde: d: Sitio de disposición final, donde, d = {1, 2, 3, 4,...,u}. | |
Costo máximo a reconocer por tratamiento de lixiviados por tonelada (pesos de diciembre de 2017/tonelada). El costo máximo de tratamiento de lixiviados por metro cúbico (CTLMd) se estimará con las siguientes funciones, según los respectivos escenarios por objetivo de calidad. ![]() Donde: d: Sitio de disposición final, donde, d = {1, 2, 3, 4,...,u}. x: Objetivo de calidad que establezca la autoridad ambiental en la norma de vertimientos o la respectiva licencia ambiental, donde, x = {1, 2, 3, 4}. Para el Escenario 1 - Objetivo de Calidad: Remoción de sólidos suspendidos y materia orgánica: ![]() Para el Escenario 2 - Objetivo de Calidad: Remoción de sólidos suspendidos, materia orgánica y nitrógeno: ![]() Para el Escenario 3 - Objetivo de Calidad: Remoción de sólidos suspendidos, materia orgánica, sustancias inorgánicas y compuestos orgánicos: ![]() Para el Escenario 4 - Objetivo de Calidad: Remoción de sólidos suspendidos, materia orgánica, nitrógeno, sustancias inorgánicas y compuestos orgánicos: ![]() |
PARÁGRAFO. Para los rellenos sanitarios en los que se dispongan menos de 2.400 toneladas mensuales y cuya altura del relleno sanitario no pueda superar los nueve (9) metros, por disposición de la autoridad ambiental competente, el Costo máximo de Disposición Final (CDFd) podrá ser incrementado hasta en un diez por ciento (10%).
ARTÍCULO 118. PRECIO MÍNIMO DE DISPOSICIÓN FINAL TOTAL (CDFTDD). El precio mínimo de disposición final total se calculará de acuerdo con las siguientes funciones

Donde:
| Costo mínimo a reconocer por tonelada, por vida útil de 30 años, en el sitio de disposición final d (pesos de diciembre de 2017/tonelada). | |
| Promedio mensual de residuos sólidos que se reciben en el sitio de disposición final d, de acuerdo con lo definido en el ARTÍCULO 107 de la presente resolución. | |
| Costo mínimo a reconocer por tonelada, por período de la etapa de posclausura de diez (10) años, en el sitio de disposición final d (pesos de diciembre de 2017/tonelada). | |
| Función que exige escoger el menor de los dos valores separados por punto y coma. | |
| Factor que involucra el costo adicional por una duración superior a diez (10) años de la etapa de posclausura del sitio de disposición final d, según la exigencia de la autoridad ambiental. En el caso en que la autoridad ambiental determine un período igual a diez (10) años de la etapa de posclausura, para el sitio de disposición final, |
ARTÍCULO 119. COSTO DE DISPOSICIÓN FINAL CON APORTE BAJO CONDICIÓN (CDF_ABCD). Cuando una entidad pública realice aportes bajo condición sobre el valor total o parcial de los activos asociados a la actividad de disposición final, el CDFd con aportes bajo condición se define de acuerdo con la siguiente función:
![]()
Donde:
| Costo de Disposición Final con Aporte Bajo Condición (pesos de diciembre de 2017/tonelada). | |
| Costo de Disposición Final adoptado por la persona prestadora del sitio de disposición final d (CDFd) de conformidad con el ARTÍCULO 117 (precio máximo), o costo de disposición final total d (CDFTDd) en el ARTÍCULO 118 (precio mínimo) de la presente resolución (pesos de diciembre de 2017/tonelada). | |
Proporción del costo total que corresponde al costo de capital del sitio de disposición final d, el cual de adoptarse la función de costos máximos de disposición final d (CDFd) señalada en el ARTÍCULO 117 y, de acuerdo con el tamaño del relleno sanitario, es el siguiente: ![]() De adoptarse la función de costos mínimo de disposición final total d (CDFTDd) señalada en el ARTÍCULO 118 y, de acuerdo con el tamaño del relleno sanitario, es el siguiente: ![]() | |
| Fracción del costo de capital aportado bajo condición del sitio de disposición final d, el cual se determinará de acuerdo con la siguiente expresión: Donde: |
PARÁGRAFO 1. En el caso en que la persona prestadora de disposición final adopte un precio entre el máximo definido en el ARTÍCULO 117 y mínimo definido en el ARTÍCULO 118 de la presente resolución; se aplicará el porcentaje de reducción del costo de capital () definido para la función de costos mínimo de disposición final (CDF).
PARÁGRAFO 2. En el caso en que la persona prestadora de disposición final adopte el precio mínimo definido en el ARTÍCULO 118 de la presente resolución, y reciba aportes bajo condición para la actividad de tratamiento de lixiviados; deberá incluir el valor de los activos aportados para la actividad de tratamiento de lixiviados en el cálculo de del presente artículo.
ARTÍCULO 120. COSTO DE TRATAMIENTO DE LIXIVIADOS CON APORTE BAJO CONDICIÓN (CTL_ABCD). Cuando una entidad pública realice aportes bajo condición sobre el valor total o parcial de los activos asociados a la actividad de tratamiento de lixiviados del sitio de disposición final d, el CTLd con aportes bajo condición se define de acuerdo con la siguiente función:
![]()
Donde:
| Costo de Tratamiento de Lixiviados con Aporte Bajo Condición en el sitio de disposición final d (pesos de diciembre de 2017/tonelada). | |
| Costo de Tratamiento de Lixiviados, adoptado por la persona prestadora del sitio de disposición final d, de conformidad con el ARTÍCULO 117 de la presente resolución (pesos de diciembre de 2017/tonelada). | |
Proporción del costo total que corresponde al costo de capital del sitio de disposición final d, el cual de adoptarse la función de costos máxima de disposición final d (CDFd) señalada en el ARTÍCULO 117 de la presente resolución y de acuerdo el escenario de tratamiento de lixiviados por objetivo de calidad, es el siguiente: ![]() | |
| Fracción del costo de capital aportado bajo condición del sitio de disposición final d, el cual se determinará de acuerdo con la siguiente expresión: Donde: |
ARTÍCULO 121. PROVISIÓN DE RECURSOS PARA LAS ETAPAS DE CLAUSURA Y POSCLAUSURA. La persona prestadora de la actividad de disposición final deberá constituir un encargo fiduciario, que permita garantizar los recursos necesarios para la clausura y posclausura del relleno sanitario d, de tal manera que todas las actividades y obras requeridas para dichas etapas se realicen, acorde con lo establecido en el artículo 2.3.2.3.17 del Decreto 1077 de 2015 modificado por artículo 1o del Decreto 1784 de 2017, o el que lo modifique, adicione, sustituya o aclare, de acuerdo con la fórmula definida para CDF_PCd del precio máximo o mínimo que hubiese adoptado la persona prestadora.
DE LOS COSTOS DE TRATAMIENTO.
ARTÍCULO 122. COSTO DE TRATAMIENTO (CT). El costo de tratamiento por tonelada para todas las APS que integran el esquema de prestación regional, será como máximo el valor que se establece en la siguiente función (pesos de diciembre de 2017/toneladas):

Donde:
| Costo máximo a reconocer por tratamiento, el cual será igual al CTd cuando se utiliza un único sitio de tratamiento d; mientras que cuando se utiliza más de un sitio de tratamiento corresponde al promedio de los costos (CTd) de estos, ponderado por las toneladas de residuos sólidos orgánicos del esquema de prestación regional que se disponen en cada sitio de tratamiento d (pesos/tonelada). | |
| Promedio mensual de residuos orgánicos que se reciben en la planta de tratamiento d, de acuerdo con lo definido en el ARTÍCULO 107 de la presente resolución. | |
| Costo máximo a reconocer por tonelada, por vida útil de 30 años, en la planta de tratamiento d (pesos de diciembre de 2017/tonelada), el cual se estima con la siguiente fórmula: | |
| Función que exige escoger el menor de los dos valores separados por punto y coma. |
PARÁGRAFO. Las personas prestadoras de la actividad de tratamiento que no estén cumpliendo con la obligación de contar con báscula de pesaje en la planta de tratamiento, el valor del CDF_PCd definido en este artículo será igual a cero (0).
ARTÍCULO 123. COSTO DE TRATAMIENTO CON APORTE BAJO CONDICIÓN (CT_ABC). Cuando una entidad pública realice aportes bajo condición sobre el valor total o parcial de los activos asociados a la actividad de tratamiento, el CT con aportes bajo condición se define de acuerdo con la siguiente función:
![]()
Donde:
| Costo de Tratamiento con Aporte Bajo Condición (pesos de diciembre de 2017/tonelada). | |
| Costo de Tratamiento (pesos de diciembre de 2017/tonelada). | |
Proporción del costo total que corresponde al costo de capital, definido para el CT en el ARTÍCULO 122 de la presente resolución: ![]() | |
| Fracción del costo de capital aportado bajo condición del CT, el cual se determinará de acuerdo con la siguiente expresión: Donde: |
DEL VALOR BASE DE REMUNERACIÓN DEL APROVECHAMIENTO.
ARTÍCULO 124. VALOR BASE DE REMUNERACIÓN DEL APROVECHAMIENTO (VBAZ). La remuneración de la actividad de aprovechamiento por suscriptor para cada APS z, se calculará de la siguiente forma:

Donde:
| Valor Base de Remuneración de Aprovechamiento en el municipio donde se ubica el APS z (pesos de diciembre de 2017/tonelada). | |
| j: | Personas prestadoras de recolección y transporte para residuos sólidos no aprovechables en el municipio en el municipio donde se ubica el APS z, donde j= {1, 2, 3, 4,...,n}. |
| Costo Promedio de Recolección y Transporte de las personas prestadoras de residuos sólidos no aprovechables en el municipio donde se ubica el APS z (pesos de diciembre de 2017/tonelada). | |
| Costo de Recolección y Transporte de la persona prestadora de residuos sólidos no aprovechables de la persona prestadora j en el municipio donde se ubica el APS z definido en el ARTÍCULO 115 de la presente resolución (pesos de diciembre de 2017/tonelada). | |
| Promedio mensual de toneladas recolectadas y transportadas de residuos sólidos no aprovechables de la persona prestadora j en el municipio donde se ubica el APS z, de acuerdo con lo definido en el ARTÍCULO 107 de la presente resolución (toneladas/mes). | |
| Costo de Disposición Final adoptado por la persona prestadora de la actividad de disposición final, el cual corresponde a: i) el CDFd en el caso que se adopte el precio máximo de conformidad con el ARTÍCULO 117 de la presente resolución o; ii) al CDFTDd del ARTÍCULO 118 de la presente resolución, en el caso que se adopte un valor dentro del rango posible de precios (menor al precio máximo o el precio mínimo) (pesos de diciembre de 2017/tonelada). | |
| Costo Promedio de Disposición Final de residuos sólidos no aprovechables en el municipio donde se ubica el APS z (pesos de diciembre de 2017/tonelada). | |
| Promedio mensual de residuos sólidos dispuestos en el sitio de disposición final por la persona prestadora j en el municipio donde se ubica el APS z, de acuerdo con lo definido en el ARTÍCULO 107 de la presente resolución (toneladas/mes). | |
| Incentivo a la separación en la fuente que se otorgará como un descuento de hasta el cuatro por ciento (4%) de conformidad con lo establecido en el Decreto 1077 de 2015, modificado y adicionado por el Decreto 596 de 2016, o aquel que lo modifique, adicione, sustituya o aclare. | |
| z: | Áreas de prestación del Servicio (APS) que conforman el esquema de prestación regional, donde z = {1, 2, 3, 4,...,Z}. |
PARÁGRAFO 1. El número de frecuencias de recolección para esta actividad corresponderá a lo establecido en el respectivo Programa para la Prestación del Servicio de Aseo acorde con el Plan de Gestión Integral de Residuos Sólidos (PGIRS).
PARÁGRAFO 2. El pesaje y clasificación de residuos efectivamente aprovechables se realizará en las ECA, definidas en el Decreto 1077 de 2015 o aquel que lo modifique, adicione, sustituya o aclare.
DE LA ACTUALIZACIÓN DE COSTOS.
ARTÍCULO 125. ACTUALIZACIÓN DE COSTOS. Para actualizar los costos económicos resultantes de la aplicación de la metodología tarifaria, cuando el Índice de Precios al Consumidor, reportado por el DANE, acumule una variación de por lo menos tres por ciento (3%). La actualización se realizará de conformidad con la siguiente fórmula:
![]()
Donde:
| Se refiere al costo económico actualizado para el periodo i. | |
| Se refiere al costo económico estimado a partir de la última actualización efectuada por la persona prestadora. | |
| Factor de Actualización por IPC, el cual podrá ser aplicado cada vez que se acumule una variación de por lo menos el tres por ciento (3%) en el Índice de Precios al Consumidor reportado por el DANE. Este factor será calculado de la siguiente manera: Donde: |
PARÁGRAFO. La aplicación del IPC se sujetará a lo establecido en el artículo 125 de la Ley 142 de 1994. Para la estimación del factor de actualización, se utilizará el IPC expresado de acuerdo con la base definida por el DANE vigente al momento de expedición de la presente resolución, redondeado a seis (6) decimales. El factor de actualización obtenido
deberá ser redondeado a cuatro (4) decimales y las operaciones resultantes de la fórmula de actualización de costos de referencia serán redondeadas a dos (2) decimales.
DE LAS TARIFAS Y LA PRODUCCIÓN DE RESIDUOS FACTURADOS.
ARTÍCULO 126. TARIFA FINAL POR SUSCRIPTOR. Para efecto de calcular la tarifa mensual final por suscriptor del APS z, los prestadores de recolección y transporte de residuos sólidos no aprovechables aplicarán la siguiente fórmula:
126.1 Suscriptor no Aforado:
126.2 Suscriptor Aforado:
Donde:
| Tarifa Final por suscriptor tipo u del APS z, de la persona prestadora (pesos/suscriptor-mes). | |
| Tarifa Final por Suscriptor i de la persona prestadora del APS z (pesos/suscriptor-mes). | |
| osto Fijo Total del APS z definido en el ARTÍCULO 104 de la presente resolución (pesos/suscriptor-mes). | |
| Costo Variable por tonelada de residuos sólidos no aprovechables del esquema de prestación regional definido en el ARTÍCULO 105 de la presente resolución (pesos/tonelada). | |
| Costo Variable por tonelada de residuos efectivamente aprovechados del APS z definido en el ARTÍCULO 103 de la presente resolución (pesos/tonelada). | |
| Toneladas de Residuos sólidos No Aprovechables por suscriptor del APS z definidas en el ARTÍCULO 127 de la presente resolución (toneladas/suscriptor-mes). | |
| Toneladas de Residuos sólidos Efectivamente Aprovechadas por suscriptor del APS z definidas en el ARTÍCULO 127 de la presente resolución (toneladas/suscriptor-mes). | |
| Toneladas de Residuos sólidos no aprovechables aforadas por suscriptor i del APS z, en el periodo de facturación (toneladas/suscriptor-mes). | |
| Toneladas de Residuos efectivamente aprovechados aforadas por suscriptor i del APS z, en el periodo de facturación (toneladas/suscriptor-mes). | |
| Factor de contribución o subsidio correspondiente a cada suscriptor del APS z, aplicable para el servicio público de aseo, determinado por estrato o tipo de uso de acuerdo con la normatividad aplicable, subsidio con signo negativo y contribución con signo positivo. | |
| Tipo de suscriptor, donde u = (1,2,3,4,5,6= estratos suscriptores residenciales, 7=pequeño productor, 8= inmuebles desocupados). | |
| Suscriptor aforado, donde i = (1,2,3,…,I). | |
| z: | Áreas de prestación del Servicio (APS) que conforman el esquema de prestación regional, donde z = {1, 2, 3, 4,...,Z}. |
ARTÍCULO 127. CÁLCULO DE TONELADAS POR SUSCRIPTOR. Las toneladas de residuos sólidos no aprovechables y aprovechables por suscriptor del APS z de servicio se calcularán de acuerdo con las siguientes fórmulas:
127.1 Toneladas por suscriptor de residuos sólidos no aprovechables:

Donde:
| Toneladas de residuos sólidos no aprovechables por suscriptor mes del APS z. | |
| Promedio mensual de residuos sólidos no aprovechables transportados y recolectados en el APS z de acuerdo con lo definido en el ARTÍCULO 107 de la presente resolución. Incluye los residuos derivados de las actividades de barrido y limpieza de vías y áreas públicas, y limpieza urbana, los residuos de rechazo de la actividad de aprovechamiento o tratamiento, y los residuos sólidos no aprovechables que sean transportados al sitio de disposición final, estación de transferencia o sitio de tratamiento s (toneladas/mes). | |
| Promedio mensual del número de suscriptores totales del APS z de acuerdo con lo definido en el ARTÍCULO 107 de la presente resolución (suscriptores/mes). | |
| Promedio mensual del número de suscriptores de inmuebles desocupados del APS z de acuerdo con lo definido en el ARTÍCULO 107 de la presente resolución (suscriptores/mes). | |
| Promedio mensual del número de suscriptores aforados de no aprovechables del APS z, de acuerdo con lo definido en el ARTÍCULO 107 de la presente resolución (suscriptores/mes). | |
| Toneladas de Residuos sólidos no aprovechables aforadas por suscriptor i del APS z, en el periodo de facturación (toneladas/suscriptor-mes). | |
| i | Suscriptor aforado, donde i = (1,2,3,…,I). |
| s: | Sitio de entrega de residuos sólidos, donde, s = {sitios de disposición final, estaciones de transferencia, sitios de tratamiento}. |
127.2 Toneladas por suscriptor de residuos efectivamente aprovechados:
![]()
Donde:
| Toneladas de residuos efectivamente aprovechados por suscriptor mes del APS z. | |
| Promedio mensual de toneladas de residuos efectivamente aprovechados en el municipio en donde se ubica el APS z de acuerdo con lo definido en el ARTÍCULO 107 de la presente resolución y la información registrada en el Sistema Único de Información (SUI) (toneladas/mes). | |
| Toneladas de Residuos efectivamente aprovechados aforadas por suscriptor i, en el periodo de facturación (toneladas/suscriptor-mes). | |
| Promedio mensual del número de suscriptores totales del municipio en donde se ubica el APS z de acuerdo con lo definido en el ARTÍCULO 107 de la presente resolución (suscriptores/mes). | |
| Promedio mensual del número de suscriptores de inmuebles desocupados del municipio en donde se ubica el APS z de acuerdo con lo definido en el ARTÍCULO 107 de la presente resolución (suscriptores/mes). | |
| Promedio mensual del número de suscriptores aforados de aprovechamiento del municipio en donde se ubica el APS z, de acuerdo con lo definido en el ARTÍCULO 107 de la presente resolución (suscriptores/mes). | |
| i | Suscriptor aforado, donde i = (1,2,3,…,I). |
| z: | Áreas de prestación del Servicio (APS) que conforman el esquema de prestación regional, donde z = {1, 2, 3, 4,...,Z}. |
PARÁGRAFO 1. Las personas prestadoras de la actividad de disposición final y tratamiento deberán garantizar el pesaje de los residuos sólidos no aprovechables, que reciban en el relleno sanitario o planta de tratamiento respectivamente. Las personas prestadoras que a la entrada en vigencia de la presente resolución operen rellenos sanitarios que no cuenten con báscula de pesaje, deberán cumplir con lo establecido en el ARTÍCULO 171 de la presente Resolución, para lo cual, contarán con un plazo máximo de un (1) años a partir del inicio de la vigencia de la fórmula tarifaria.
PARÁGRAFO 2. Para efecto de facturación, las ECA y las plantas de tratamiento no se considerarán suscriptores de residuos no aprovechables.
DEL CÁLCULO DE LA METODOLOGÍA TARIFARIA PARA EL ESQUEMA DE PRESTACIÓN REGIONAL EN DONDE ALGUNA DE LAS APS SE ENCUENTRA EN UN MUNICIPIO CON MÁS DE 5.000 SUSCRIPTORES EN EL ÁREA URBANA.
DEL CÁLCULO DEL COSTO FIJO, EL COSTO VARIABLE, EL PROMEDIO PARA LA ESTIMACIÓN Y EL CENTROIDE DE PRODUCCIÓN.
ARTÍCULO 128. COSTO FIJO TOTAL (CFTZ). El costo fijo total por suscriptor del APS se define de la siguiente manera:
![]()
Donde:
| Costo Fijo Total por suscriptor del APS z (pesos de diciembre de 2017/suscriptor-mes). | |
| Costo de Comercialización por suscriptor del servicio público de aseo para el APS z, definido en el ARTÍCULO 134 de la presente resolución (pesos de diciembre de 2017/suscriptor-mes). | |
| Costo de Limpieza Urbana por suscriptor para el APS z, definido en el ARTÍCULO 136 de la presente resolución (pesos de diciembre de 2017/suscriptor-mes). | |
| Costo de Barrido y Limpieza por suscriptor para el APS z, definido en el ARTÍCULO 142 de la presente resolución (pesos de diciembre de 2017/suscriptor-mes). | |
| z: | Áreas de prestación del Servicio (APS) que conforman el esquema de prestación regional, donde z = {1, 2, 3, 4,...,Z}. |
ARTÍCULO 129. COSTO VARIABLE POR TONELADA DE RESIDUOS SÓLIDOS NO APROVECHABLES (CVNA). El costo variable por tonelada de residuos sólidos no aprovechables para el esquema de prestación regional se define de la siguiente manera:
![]()
Donde:
| Costo Variable por tonelada de Residuos Sólidos no Aprovechables para el esquema de prestación regional (pesos de diciembre de 2017/tonelada). | |
| Costo de Recolección y Transporte de Residuos Sólidos definido en el ARTÍCULO 146 de la presente resolución (pesos de diciembre de 2017/tonelada). | |
| Costo de Disposición Final Total por tonelada definido en el ARTÍCULO 150 de la presente resolución (pesos de diciembre de 2017/tonelada). |
ARTÍCULO 130. COSTO VARIABLE POR TONELADA DE RESIDUOS EFECTIVAMENTE APROVECHADOS (CVAZ). El costo variable por tonelada de residuos sólidos efectivamente aprovechados del APS se define de la siguiente manera:
![]()
Donde:
| Costo Variable por tonelada de residuos sólidos efectivamente aprovechados del APS z (pesos de diciembre de 2017/tonelada). | |
| Valor Base de remuneración del Aprovechamiento del APS z definido en el ARTÍCULO 156 de la presente resolución (pesos de diciembre de 2017/tonelada). | |
| z: | Áreas de prestación del Servicio (APS) que conforman el esquema de prestación regional, donde z = {1, 2, 3, 4,...,Z}. |
ARTÍCULO 131. PROMEDIO PARA LOS CÁLCULOS. Cuando en el presente Título se determine que los cálculos se realicen con el promedio de: kilómetros de barrido y limpieza por APS, toneladas de residuos efectivamente aprovechados por APS, metros cuadrados de césped cortados por APS, metros cuadrados de áreas públicas lavadas por APS, kilómetros de playas costeras limpiados por APS, número de cestas que hayan sido instaladas por APS, número de cestas objeto de mantenimiento por APS, toneladas de residuos sólidos tratados por APS, toneladas de residuos sólidos no aprovechables del esquema de prestación regional, metros cúbicos de lixiviados generados en el relleno sanitario y número de suscriptores; se tomará el promedio mensual del semestre inmediatamente anterior, así: i) Para los períodos de facturación entre enero y junio, con base en el promedio mensual de las cantidades de julio a diciembre del año anterior y ii) Para los períodos de facturación de julio a diciembre con base en el promedio mensual de las cantidades de enero a junio del año en cuestión.
PARÁGRAFO 1. Cuando al esquema de prestación regional se integre una nueva APS o salga una de las APS, la persona prestadora recalculará los promedios para el cálculo de los costos de que trata la presente metodología. Tal situación deberá ser informada a la Superintendencia de Servicios Públicos (SSPD) y a la Comisión de Regulación de Agua Potable y Saneamiento Básico (CRA).
PARÁGRAFO 2. Las personas prestadoras que inicien actividades con posterioridad a la entrada en vigencia de la fórmula tarifaria deberán estimar promedios mensuales, a partir de la información que se irá acumulando mes a mes, hasta el 30 de junio del año en que se iniciaron las operaciones. En el segundo semestre de operaciones, se empleará el promedio de información disponible hasta el 30 de junio del semestre anterior. A partir del tercer semestre, se empleará el promedio de la información del semestre inmediatamente anterior.
ARTÍCULO 132. CENTROIDE DE PRODUCCIÓN. Para efectos de lo establecido en el presente título, el centroide de producción del APS corresponde al punto identificado por coordenadas, de conformidad con el estándar de georreferenciación nacional, el cual se utiliza para estimar la distancia por la vía que conduce al sitio de disposición final, transferencia o tratamiento desde éste hasta la respectiva puerta de acceso. El centroide de producción, se deberá calcular dividiendo el plano del APS que contenga la producción de residuos, en áreas de tamaño homogéneo como máximo de un (1) km2. Para cada una de estas áreas, se establecerá un centroide particular, determinado como el centro de la figura geométrica (baricentro) que constituye el área de tamaño homogéneo. Cada uno de estos puntos se ubicarán en un plano y se establecerá un promedio de los ejes de las abscisas primero, y de las ordenadas después, ponderando cada punto por el número de suscriptores o por la producción de residuos en cada área homogénea. El punto de cruce entre el promedio ponderado por el número de suscriptores o la producción de residuos de las abscisas y las ordenadas se determinará como el centroide de producción del APS.
La distancia con respecto al sitio o sitios de disposición final, transferencia o tratamiento, para cada una de las APS, deberá ser reportada por la persona prestadora al momento de aplicación de la presente resolución a través del Sistema Único de Información (SUI).
ARTÍCULO 133. ESTÁNDARES DEL SERVICIO. Las personas prestadoras que apliquen el esquema de prestación regional del que trata el presente título, al finalizar el primer año de vigencia de la fórmula tarifaria, deberán alcanzar los estándares de calidad técnica e indicadores del servicio en todas las APS que hagan parte del esquema, adicionales a lo definido en la normatividad vigente. Para cada uno de los estándares e indicadores, y para efectos de aplicación del régimen de calidad y descuentos de que trata el ARTÍCULO 165 de la presente resolución, la persona prestadora definirá la meta semestral hasta cumplir con lo establecido en la siguiente tabla:


PARÁGRAFO. El seguimiento al cumplimiento de las metas propuestas para cada uno de los estándares e indicadores de servicio, se hará semestral. Lo anterior, sin perjuicio de las acciones de inspección, vigilancia y control que pueda adelantar la Superintendencia de Servicios Públicos Domiciliarios (SSPD).
DE LOS COSTOS DE COMERCIALIZACIÓN.
ARTÍCULO 134. COSTO DE COMERCIALIZACIÓN POR SUSCRIPTOR DEL SERVICIO PÚBLICO DE ASEO (CCSZ). El Costo de Comercialización por suscriptor del servicio público de aseo será como máximo el valor que se establece en la siguiente tabla según el servicio con el cual se realice la facturación conjunta en el APS z (pesos de diciembre de 2017/mes):

PARÁGRAFO. En los eventos en los cuales se realice facturación directa, conjunta con el servicio de gas o se facture conjuntamente con dos servicios diferentes al tiempo, se tomarán el precio máximo definidos para facturación conjunta con acueducto.
ARTÍCULO 135. INCREMENTO EN EL CCSZ POR LA PRESTACIÓN DE LA ACTIVIDAD DE APROVECHAMIENTO. En los municipios que se preste la actividad de aprovechamiento, el CCSz se deberá incrementar en un 30%, el cual se distribuirá entre las personas prestadoras de la actividad de aprovechamiento y las personas prestadoras de la actividad de recolección y transporte de residuos no aprovechables, de acuerdo con los siguientes porcentajes:

El recaudo proveniente del 11,4% de incremento en el costo de comercialización por suscriptor del APS z (CCSz) deberá ser distribuido entre las prestadoras de aprovechamiento de la siguiente manera:
135.1 Recaudo mensual por CCSz para las personas prestadoras de aprovechamiento por suscriptores no aforados de esta actividad:
![]()
Donde:
| Recursos provenientes del recaudo por concepto del CCSz para las personas prestadoras de aprovechamiento j en el municipio donde se ubica el APS z, asociado al recaudo mensual por CCSz de aprovechamiento por parte de los suscriptores no aforados en el APS z de la persona prestadora de recolección y transporte de residuos sólidos no aprovechables (pesos/mes). | |
| Recaudo mensual proveniente de los suscriptores no aforados, por concepto del costo de comercialización del servicio público de aseo de los suscriptores no aforados en el APS z, de la persona prestadora de recolección y transporte de residuos sólidos no aprovechables en el municipio donde se ubica el APS z (pesos/mes). | |
| Promedio mensual de toneladas de residuos efectivamente aprovechados no aforadas por la persona prestadora de aprovechamiento j en el municipio donde se ubica el APS z, de acuerdo con lo definido en el ARTÍCULO 131 de la presente resolución (toneladas/mes) | |
| z: | Áreas de prestación del Servicio (APS) que conforman el esquema de prestación regional, donde z = {1, 2, 3, 4,...,Z}. |
| Número de personas prestadoras de la actividad de aprovechamiento en el municipio donde se ubica el APS z, donde, j= {1, 2, 3, 4,...,n}. | |
| 8,77% | Porcentaje del costo asociado al incremento de costos de comercialización por la prestación de la actividad de aprovechamiento. |
135.2 Recaudo mensual por CCSz para las personas prestadoras de aprovechamiento por suscriptores aforados de esta actividad:

Donde:
| Recursos provenientes del recaudo por concepto del CCSz para las personas prestadoras de aprovechamiento j en el municipio donde se ubica el APS z, asociado al recaudo mensual por CCSz de aprovechamiento de los suscriptores aforados de aprovechamiento en el APS z de la persona prestadora de recolección y transporte de residuos sólidos no aprovechables (pesos/mes). | |
| Recaudo mensual proveniente de los suscriptores con aforo, por concepto del CCSz de la persona prestadora de recolección y transporte de residuos sólidos no aprovechables en el municipio donde se ubica el APS z (pesos/mes). | |
| Promedio mensual de suscriptores aforados de aprovechamiento de la persona prestadora de aprovechamiento j en el municipio donde se ubica el APS z, de acuerdo con lo definido en el ARTÍCULO 131 de la presente resolución (suscriptores/mes). | |
| z: | Áreas de prestación del Servicio (APS) que conforman el esquema de prestación regional, donde z = {1, 2, 3, 4,...,Z}. |
| Número de personas prestadoras de la actividad de aprovechamiento en el municipio, donde j= {1, 2, 3, 4,...,n}. | |
| 8,77%: | Porcentaje del costo asociado al incremento de costos de comercialización por la prestación de la actividad de aprovechamiento. |
PARÁGRAFO. Este incremento se realizará una vez la persona prestadora de aprovechamiento haya certificado la cantidad en toneladas de residuos efectivamente aprovechados en el Sistema Único de Información (SUI) y, por ende, se pueda facturar la actividad de aprovechamiento en el respectivo municipio.
DE LOS COSTOS DE LIMPIEZA URBANA.
ARTÍCULO 136. COSTO DE LIMPIEZA URBANA POR SUSCRIPTOR (CLUSZ). El costo de limpieza urbana por suscriptor para cada APS z, se define de la siguiente manera:

Donde:
| Costo de Limpieza Urbana por suscriptor del APS z (pesos de diciembre de 2017/suscriptor-mes). | |
| Costo de Poda de Árboles adoptado por la persona prestadora j en el APS z, de acuerdo con lo establecido en el ARTÍCULO 137 de la presente resolución (pesos de diciembre de 2017). | |
| Costo de Corte de Césped adoptado por la persona prestadora j en el APS z, de acuerdo con lo establecido en el ARTÍCULO 138 de la presente resolución (pesos de diciembre de 2017/m2). | |
| Promedio de metros cuadrados de césped cortados por la persona prestadora j en el APS z, de acuerdo con lo establecido en el ARTÍCULO 131 de la presente resolución. | |
| Costo de Lavado de Áreas Públicas adoptado por la persona prestadora j en el APS z, de acuerdo con lo establecido en el ARTÍCULO 139 de la presente resolución (pesos de diciembre de 2017/m2). | |
| Promedio de metros cuadrados de áreas públicas lavadas por la persona prestadora j en el APS z, de acuerdo con lo establecido en el ARTÍCULO 131 de la presente resolución. | |
| Costo de Limpieza de Playas costeras o ribereñas adoptado por la persona prestadora j en el APS z, de acuerdo con lo definido en el ARTÍCULO 140 de la presente resolución (pesos de diciembre de 2017/km). | |
| Promedio kilómetros de playas costeras limpiados por la persona prestadora j en el APS z, de acuerdo con lo establecido en el ARTÍCULO 131 de la presente resolución. | |
| Costo de suministro e instalación de Cestas en vías y áreas públicas adoptado por la persona prestadora j en el APS z, definido en el ARTÍCULO 141 de la presente resolución (pesos de diciembre de 2017). | |
| Costo de mantenimiento de las cestas previamente instaladas adoptado por la persona prestadora j en el APS z, definido en el ARTÍCULO 141 de la presente resolución (pesos de diciembre de 2017). | |
| Número de cestas que hayan sido instaladas por la persona prestadora j en el APS z y aprobadas por el municipio. | |
| Número de cestas objeto de mantenimiento por la persona prestadora j en el APS z y que hayan sido mantenidas por la persona prestadora j en el municipio. | |
| Promedio de número de suscriptores totales del municipio en donde se ubica el APS z, de acuerdo con lo establecido en el ARTÍCULO 131 de la presente resolución. | |
| Número de personas prestadoras de recolección y transporte de residuos sólidos no aprovechables del municipio en donde se ubica el APS z, donde j = {1, 2, 3, 4,...,n}. | |
| z: | Áreas de prestación del Servicio (APS) que conforman el esquema de prestación regional, donde z = {1, 2, 3, 4,...,Z}. |
PARÁGRAFO 1. Los árboles a intervenir (unidades), las áreas verdes objeto de corte (m2), las áreas públicas objeto de lavado (m2), las playas en área urbana objeto de limpieza (km) y las cestas a instalar (unidades), así como las respectivas frecuencias para la realización de la actividad de limpieza urbana, corresponderán a las definidas en el Programa para la Prestación del Servicio de Aseo, con base en lo establecido en el Plan de Gestión Integral de Residuos Sólidos (PGIRS).
PARÁGRAFO 2. De las actividades definidas en los artículos 2.3.2.2.2.4.57, 2.3.2.2.2.4.62, 2.3.2.2.2.5.65, 2.3.2.2.2.6.66. y 2.3.2.2.2.6.70 del Decreto 1077 de 2015 o aquel que lo modifique, adicione, sustituya o aclare; a los suscriptores ubicados en centros poblados rurales sólo se les podrá cobrar el costo correspondiente a la instalación y mantenimiento de cestas públicas.
ARTÍCULO 137. COSTO DE PODA DE ÁRBOLES (CPJZ). El costo máximo de poda de árboles de la persona prestadora, se define de la siguiente manera:
![]()
Las personas prestadoras que inicien actividades con posterioridad a la entrada en vigencia de la fórmula tarifaria, podrán utilizar periodos inferiores hasta acumular seis (6) mes de conformidad con lo dispuesto en el parágrafo 2 del ARTÍCULO 131 de la presente resolución.
PARÁGRAFO 1. La persona prestadora reportará los soportes de la estimación de dicho promedio a la Comisión de Regulación de Agua Potable y Saneamiento Básico (CRA) y a la Superintendencia de Servicios Públicos Domiciliarios (SSPD).
PARÁGRAFO 2. Los residuos sólidos resultantes de la actividad de poda de árboles deben ser dispuestos de acuerdo con lo establecido en el Plan de Gestión Integral de Residuos Sólidos (PGIRS) y en el Decreto 1077 de 2015 o aquel que lo modifique, adicione, sustituya o aclare.
PARÁGRAFO 3. La persona prestadora reportará al SUI el inventario de árboles en su APS, acorde con el Programa de Prestación del servicio y el PGIRS. El inventario de árboles será realizado por el municipio y reportado en el PGIRS.
PARÁGRAFO 4. La Comisión de Regulación de Agua y Saneamiento Básico podrá revisar el costo y determinar un valor máximo si a ello hubiere lugar, de conformidad con lo establecido en el artículo 126 de la Ley 142 de 1994.
ARTÍCULO 138. COSTO DE CORTE DE CÉSPED (CCCJZ). El costo de corte de césped de zonas verdes pertenecientes a áreas públicas adoptado por la persona prestadora será como máximo $68/m2 intervenido (pesos de diciembre de 2017).
ARTÍCULO 139. COSTO DE LAVADO DE ÁREAS PÚBLICAS (CLAVJZ). El costo de lavado de áreas públicas adoptado por la persona prestadora para el APS z se define de la siguiente manera:
![]()
Donde:
| Costo mensual de Lavado de Áreas Públicas en el APS z (pesos de diciembre de 2017/m2). | |
| Valor del metro cúbico facturado por la persona prestadora de acueducto en el municipio del APS z (pesos de diciembre de 2017/m2). | |
| Número de personas prestadoras de recolección y transporte de residuos sólidos no aprovechables del municipio en donde se ubica el APS z, donde j = {1, 2, 3, 4,...,n}. | |
| z: | Áreas de prestación del Servicio (APS) que conforman el esquema de prestación regional, donde z = {1, 2, 3, 4,...,Z}. |
PARÁGRAFO 1. Las labores de limpieza urbana son responsabilidad de los prestadores del servicio público de aseo de no aprovechables en el APS z donde realicen las actividades de recolección y transporte. Cuando en un municipio exista más de una persona prestadora, éstas deberán celebrar acuerdos de lavado conforme con la regulación establecida en la Resolución CRA 767 de 2016 o aquella que la modifique, adicione, sustituya o aclare, con base en el artículo 2.3.2.2.2.5.63 del Decreto 1077 de 2015 o aquel que lo modifique, adicione, sustituya o aclare.
PARÁGRAFO 2. Se permitirá el reúso de agua en esta actividad siempre y cuando las condiciones de la misma sean aptas para el lavado de áreas públicas.
ARTÍCULO 140. COSTO DE LIMPIEZA DE PLAYAS COSTERAS O RIBEREÑAS (CLPJZ). El costo de limpieza de playas costeras o ribereñas en áreas urbanas será, como máximo, de $13.090 (pesos de diciembre de 2017/km).
PARÁGRAFO. Las áreas públicas de playas determinadas por el PGIRS y el Programa de Prestación del Servicio, deberán ser convertidas a unidades de longitud (km), multiplicando el área (m2) total a limpiar por el factor 0,0007 km/m2.
ARTÍCULO 141. COSTO DE SUMINISTRO, INSTALACIÓN Y MANTENIMIENTO DE CESTAS (CCEIJZ Y CCEMJZ). El costo máximo a reconocer por cada cesta instalada en vías y áreas públicas en APS z (CCEIjz) será de $7.737 (pesos de diciembre de 2017/cesta-mes). Por mantenimiento de cestas previamente instaladas por la persona prestadora en APS z (CCEMjz) el costo máximo será de $703 (pesos de diciembre de 2017/cesta-mes).
PARÁGRAFO. En caso de robo o daño ocasionado por terceros no determinados, la reposición estará a cargo del municipio. Cuando, antes de la terminación de su vida útil, se requiera reposición de las cestas suministradas e instaladas por la persona prestadora, será éste el responsable de su reposición sin cargo a la tarifa.
DE LOS COSTOS DE BARRIDO Y LIMPIEZA DE VÍAS Y ÁREAS PÚBLICAS.
ARTÍCULO 142. COSTO DE BARRIDO Y LIMPIEZA DE VÍAS Y ÁREAS PÚBLICAS POR SUSCRIPTOR (CBLSZ). El costo de barrido y limpieza de vías y áreas públicas mensual por suscriptor para cada APS z, se define de la siguiente manera:
![]()
Donde:
| Costo de Barrido y Limpieza de Vías y Áreas Públicas por suscriptor del APS z (pesos de diciembre de 2017/suscriptor-mes). | |
Costo de Barrido y Limpieza de Vías y Áreas Públicas, que será como máximo el valor que se establece en la siguiente tabla (pesos de diciembre de 2017/kilómetro):![]() | |
| Longitud promedio mensual de vías y áreas barridas por la persona prestadora j en el municipio en donde se ubica el APS z, de acuerdo con lo establecido en el ARTÍCULO 131 de la presente resolución (kilómetros/mes). | |
| Promedio del número de suscriptores totales del municipio en donde se ubica el APS z, de acuerdo con lo establecido en el ARTÍCULO 131 de la presente resolución (suscriptores/mes). | |
| Número de personas prestadoras de la actividad de recolección y transporte de residuos sólidos no aprovechables del municipio en donde se ubica el APS z, donde j= {1,2,3,4,...,u}. | |
| z: | Áreas de prestación del Servicio (APS) que conforman el esquema de prestación regional, donde z = {1, 2, 3, 4,...,Z}. |
PARÁGRAFO 1. La longitud de vías y áreas públicas barridas por la persona prestadora j en el municipio en donde se ubica el APS z, debe corresponder a los definidos en el Programa para la Prestación del Servicio de Aseo, con base en las frecuencias definidas en el respectivo Plan de Gestión Integral de Residuos Sólidos (PGIRS).
PARÁGRAFO 2. Las áreas públicas a barrer deberán ser convertidas a kilómetros lineales, multiplicando el área (m2) total a barrer por 0,002 km/m2.
ARTÍCULO 143. COSTO DE BARRIDO Y LIMPIEZA DE VÍAS Y ÁREAS PÚBLICAS CON APORTE BAJO CONDICIÓN (CBL_ABCJ). Cuando una entidad pública realice aportes bajo condición sobre el valor total o parcial de los equipos y/o activos asociados a la actividad de barrido y limpieza de vías y áreas públicas, el CBLj con aportes bajo condición se define de acuerdo con la siguiente función:
![]()
Donde:
| Costo de Barrido y Limpieza de vías y áreas públicas con Aporte Bajo Condición de la persona prestadora j (pesos de diciembre de 2017/tonelada). | |
| Costo de Barrido y Limpieza de Vías y Áreas Públicas, de conformidad con el ARTÍCULO 142 de la presente resolución (pesos de diciembre de 2017/tonelada). | |
| Proporción del costo total que corresponde al costo de capital, asociado a esta actividad, estimado en 32%. | |
Fracción del costo de capital aportado bajo condición, definido como: ![]() Donde: |
ARTÍCULO 144. FRECUENCIAS DE BARRIDO Y LIMPIEZA DE VÍAS Y ÁREAS PÚBLICAS. Las frecuencias de barrido y limpieza de vías y áreas públicas en el APS z serán como mínimo las que establece el artículo 2.3.2.2.2.4.53 del Decreto 1077 de 2015 o aquel que lo modifique, adicione, sustituya o aclare.
PARÁGRAFO. El aumento de frecuencias de barrido deberá ser solicitado al prestador por parte del municipio, siempre y cuando haya modificado el PGIRS, de acuerdo con lo establecido en el Decreto 1077 de 2015 o aquel que lo modifique, adicione, sustituya o aclare.
ARTÍCULO 145. RESPONSABILIDAD DE LA PRESTACIÓN DEL BARRIDO Y LIMPIEZA DE VÍAS Y ÁREAS PÚBLICAS. Las labores de barrido y limpieza de vías y áreas públicas son responsabilidad de la persona prestadora del servicio público de aseo de no aprovechables en el APS z donde realice las actividades de recolección y transporte. Dicha obligación quedará consignada en el respectivo contrato de servicios públicos (CCU) con el usuario.
PARÁGRAFO. Cuando en un municipio exista más de una persona prestadora, éstas deberán celebrar acuerdos de barrido conforme con la regulación establecida en la Resolución CRA 709 de 2015 o aquella que la modifique, adicione, sustituya o aclare, con base en el artículo 2.3.2.2.2.4.52 del Decreto 1077 de 2015 o aquel que lo modifique, adicione, sustituya o aclare. Lo anterior, sin perjuicio de lo dispuesto en el artículo 2.3.2.2.2.4.51 del mismo decreto respecto de la responsabilidad de la persona prestadora de recolección y transporte en el barrido y limpieza de vías y áreas públicas.
DE LOS COSTOS DE RECOLECCIÓN Y TRANSPORTE.
ARTÍCULO 146. COSTO DE RECOLECCIÓN Y TRANSPORTE DE RESIDUOS SÓLIDOS (CRT). El Costo de Recolección y Transporte de residuos sólidos no aprovechables para todas las APS que integran el esquema regional, se define de la siguiente manera:
![]()
Donde:
| Costo de Recolección y Transporte de Residuos Sólidos no aprovechables del esquema de prestación regional (pesos de diciembre de 2017/tonelada). | |
| Promedio del costo por mes de los peajes de ida y vuelta, ubicados en el trayecto entre el centroide de producción de las APS y la entrada del sitio de disposición final, de acuerdo con lo establecido en el ARTÍCULO 131 de la presente resolución (pesos de diciembre de 2017/mes). | |
| Promedio del total en toneladas de residuos sólidos recolectados y transportados en el esquema regional, de acuerdo con lo establecido en el ARTÍCULO 131 de la presente resolución (toneladas/mes). | |
| Función que exige escoger el menor de los dos valores separados por punto y coma. | |
| Función que remunera el costo de recolección y transporte de residuos sólidos en compactador hasta la entrada del sitio de disposición final dada por: | |
| Función que remunera el costo de recolección y transporte residuos sólidos en compactador hasta una estación de transferencia y a granel desde ésta hasta la entrada del sitio de disposición final dada por: | |
Distancia promedio del esquema de prestación regional al sitio de disposición final, dada por:![]() Donde: z: Áreas de prestación del Servicio (APS) que conforman el esquema de prestación regional, donde z = {1, 2, 3, 4,...,Z}. |
PARÁGRAFO 1. Aquellas personas prestadoras que atiendan en municipios que se presentan en la zona costera, podrán incrementar el en 1,92%, para tener en cuenta el efecto de la salinidad.
PARÁGRAFO 2. El número de frecuencias para esta actividad corresponderá a aquel que optimice el CRT de la persona prestadora, en relación con la cantidad de residuos sólidos generados en el esquema de prestación regional, sin que en ningún caso pueda ser inferior a dos (2) frecuencias semanales por APS z, de conformidad con el artículo 2.3.2.2.2.3.32. del Decreto 1077 de 2015 o aquel que lo modifique, adicione, sustituya o aclare.
PARÁGRAFO 3. La distancia tomada para el cálculo de las funciones de recolección y transporte debe ser presentada en un mapa georreferenciado, en el sistema de referencia MAGNA-SIRGAS y reportado al Sistema Único de Información (SUI) en los términos que defina la Superintendencia de Servicios Públicos Domiciliarios (SSPD).
PARÁGRAFO 4. En aquellos eventos en los que se deban incorporar incentivos a los municipios y/o distritos donde se ubiquen estaciones de transferencia regionales, de conformidad con lo dispuesto por el artículo 2.3.2.4.3 del Decreto 1077 de 2015 o aquel que lo modifique, adicione, sustituya o aclare, su valor por tonelada se sumará al CRT adoptado por la persona prestadora. Tal situación se informará a la Superintendencia de Servicios Públicos Domiciliarios (SSPD) y a la Comisión de Regulación de Agua Potable y Saneamiento Básico (CRA).
ARTÍCULO 147. COSTO DE ESTACIÓN DE TRANSFERENCIA Y TRANSPORTE A GRANEL (CEG). En los casos en que existan prestadores que utilicen una misma estación de transferencia y para los que f2 resulte ser la función de mínimo costo de CRT, el costo que corresponde a la actividad de transferencia y transporte a granel hasta el sitio de disposición final se calcula de acuerdo con la siguiente fórmula:
![]()
Donde:
| Distancia desde la estación de transferencia al sitio de disposición final (km). Cada kilómetro de vía despavimentada equivaldrá a 1,25 kilómetros de vía pavimentada. | |
| Promedio de toneladas de residuos sólidos recibidas en la estación de transferencia, calculadas como el promedio de acuerdo con lo definido en el ARTÍCULO 131 de la presente resolución (toneladas/mes). | |
| Promedio del valor de los peajes por mes que paga el vehículo de transporte a granel en su recorrido de ida y vuelta (pesos/tonelada-mes), de acuerdo con lo definido en el ARTÍCULO 131 de la presente resolución. | |
| Función que exige escoger el menor de los dos valores separados por punto y coma. |
PARÁGRAFO. En aquellos casos en que la sumatoria del CEG y el resultado de la función f1 calculada con la distancia del centroide de producción a la estación de transferencia sea menor a los valores de f1 y f2 de que trata el ARTÍCULO 146 de la presente resolución, se adoptará este resultado como CRT, más los peajes de ida y vuelta hasta la estación de transferencia.
ARTÍCULO 148. COSTO DE RECOLECCIÓN Y TRANSPORTE DE RESIDUOS SÓLIDOS CON APORTE BAJO CONDICIÓN (CRT_ABC). Cuando una entidad pública realice aportes bajo condición sobre el valor total o parcial de los vehículos y/o activos asociados a la actividad de recolección y transporte, el CRT con aportes bajo condición se define de acuerdo con la siguiente función:
![]()
Donde:
| Costo de Recolección y Transporte de residuos sólidos con Aporte Bajo Condición (pesos de diciembre de 2017/tonelada). | |
| Costo de Recolección y Transporte de Residuos Sólidos definido en el ARTÍCULO 146 de la presente resolución (pesos de diciembre de 2017/tonelada). | |
| Proporción del costo total que corresponde a la adquisición de vehículos de recolección y transporte y/o activos asociados a esta actividad estimado en 22%. | |
| Fracción del costo de capital aportado bajo condición, definido como: Donde: |
ARTÍCULO 149. DESCUENTO AL CRT POR ANTIGüEDAD DE LOS VEHÍCULOS. Para las personas prestadoras que operen un (1) turno diario de recolección y su flota de vehículos compactadores tenga en promedio una antigüedad mayor a los 12 años, aplicarán un descuento en el CRT del 2% por cada año que supere dicho parámetro. En caso que las personas prestadoras operen en dos (2) o más turnos diarios de recolección, aplicarán un descuento en el CRT del 2% por cada año cuando el promedio de la antigüedad de los vehículos compactadores supere los 6 años desde la fecha de su compra, de acuerdo con el siguiente descuento:
![]()
Donde:
| Descuento por antigüedad de vehículos. | |
| t: | Número de años en que se supera la vida útil reconocida para cada turno. |
El descuento se aplicará sobre las funciones f1 y f2, según corresponda, de acuerdo el ARTÍCULO 146 de la presente resolución.
DE LOS COSTOS DE DISPOSICIÓN FINAL.
ARTÍCULO 150. COSTO DE DISPOSICIÓN FINAL TOTAL DEL ESQUEMA DE PRESTACIÓN REGIONAL (CDFT). El costo de disposición final total del esquema de prestación regional, será el estimado de acuerdo con la siguiente función:

Donde:
| Costo de Disposición Final Total, el cual será igual al CDFTDd cuando se dispone en un único sitio de disposición final d; mientras que cuando se utiliza más de un sitio de disposición final corresponde al promedio de los costos (CDFTDd) de estos, ponderado por las toneladas de residuos sólidos que se disponen en cada sitio de disposición final d (pesos/tonelada). | |
| Costo por tonelada en el sitio de disposición final d adoptado por la persona prestadora de disposición final de conformidad con lo definido en el ARTÍCULO 151 de la presente. Lo anterior, no aplica para aquellas personas prestadoras que dispongan en un relleno sanitario que se encuentre en el ámbito de aplicación de la Resolución CRA 720 de 2015, quienes deberán dar aplicación a lo dispuesto en el Capítulo VI de la citada resolución (pesos de diciembre de 2017/tonelada). | |
| Promedio mensual de residuos sólidos que se disponen en el sitio de disposición final d, de acuerdo con lo definido en el ARTÍCULO 131 de la presente resolución (toneladas/mes). | |
| d: | Sitio de disposición final, donde, d = {1, 2, 3, 4,...,u}. |
PARÁGRAFO 1. En aquellos eventos en los que se deban incorporar incentivos a los municipios y/o distritos donde se ubiquen rellenos sanitarios regionales, de conformidad con lo dispuesto por el artículo 2.3.2.4.2. del Decreto 1077 de 2015 o aquel que lo modifique, adicione, sustituya o aclare, su valor por tonelada se sumará al CDFTDd adoptado por la persona prestadora del sitio de disposición final d. Tal situación se informará a la Superintendencia de Servicios Públicos Domiciliarios (SSPD) y a la Comisión de Regulación de Agua Potable y Saneamiento Básico (CRA).
PARÁGRAFO 2. Todo sitio de disposición final deberá reportar anualmente al Sistema Único de Información (SUI), su capacidad de disposición y tener disponible la misma en un lugar visible, con el fin de ilustrar con información suficiente a las personas prestadoras de la actividad de recolección y transporte de residuos no aprovechables.
ARTÍCULO 151. COSTO DE DISPOSICIÓN FINAL TOTAL DEL SITIO DE DISPOSICIÓN FINAL (CDFTDD). El precio máximo de disposición final total, se estimará de acuerdo con las siguientes funciones:
![]()
Donde:
| Costo total máximo a reconocer por disposición final y tratamiento de lixiviados en el sitio de disposición final d (pesos/tonelada) | |
Costo máximo a reconocer por tonelada en el sitio de disposición final d (pesos de diciembre de 2017/tonelada), el cual se estima de acuerdo con las siguientes fórmulas:![]() Donde: d: Sitio de disposición final, donde, d = {1, 2, 3, 4,...,u}. Min ( ): Función que exige escoger el menor de los dos valores separados por punto y coma. Kd: Factor que involucra el costo adicional por una duración superior a diez (10) años de la etapa de posclausura del relleno sanitario, según la exigencia de la autoridad ambiental. En el caso en que la autoridad ambiental determine un período igual a diez (10) años de la etapa de posclausura, para el sitio de disposición final, Kd=1. | |
Costo máximo a reconocer por tratamiento de lixiviados por tonelada (pesos de diciembre de 2017/tonelada). El costo máximo de tratamiento de lixiviados por metro cúbico (CTLMd) se estimará con las siguientes funciones a continuación según los respectivos escenarios por objetivo de calidad.![]() Donde: x: Objetivo de calidad que establezca la autoridad ambiental en la norma de vertimientos o la respectiva licencia ambiental, donde, x = {1, 2, 3, 4}. Para el Escenario 1 - Objetivo de Calidad: Remoción de sólidos suspendidos y materia orgánica: ![]() Para el Escenario 2 - Objetivo de Calidad: Remoción de sólidos suspendidos, materia orgánica y nitrógeno: ![]() Para el Escenario 3 - Objetivo de Calidad: Remoción de sólidos suspendidos, materia orgánica, sustancias inorgánicas y compuestos orgánicos: ![]() Para el Escenario 4 - Objetivo de Calidad: Remoción de sólidos suspendidos, materia orgánica, nitrógeno, sustancias inorgánicas y compuestos orgánicos: ![]() |
PARÁGRAFO. Para los rellenos sanitarios en los que se dispongan menos de 2.400 toneladas mensuales y cuya altura del relleno sanitario no pueda superar los nueve (9) metros, por disposición de la autoridad ambiental competente, el Costo máximo de Disposición Final (CDFd) podrá ser incrementado hasta en un diez por ciento (10%).
ARTÍCULO 152. COSTO DE DISPOSICIÓN FINAL CON APORTE BAJO CONDICIÓN (CDFD_ABCD). Cuando una entidad pública realice aportes bajo condición sobre el valor total o parcial de los activos asociados a la actividad de disposición final, el CDFd con aportes bajo condición se define de acuerdo con la siguiente función:
![]()
Donde:
| Costo de Disposición Final con Aporte Bajo Condición (pesos de diciembre de 2017/tonelada). | |
| Costo de Disposición Final adoptado por la persona prestadora del sitio de disposición final d, de conformidad con el ARTÍCULO 151 de la presente resolución (pesos de diciembre de 2017/tonelada). | |
Proporción del costo total que corresponde al costo de capital del sitio de disposición final d, definido en el ARTÍCULO 151 de la presente resolución y de acuerdo con el tamaño del relleno sanitario, es el siguiente:![]() | |
| Fracción del costo de capital aportado bajo condición del sitio de disposición final, el cual se determinará de acuerdo con la siguiente expresión: Donde: | |
ARTÍCULO 153. COSTO DE TRATAMIENTO DE LIXIVIADOS CON APORTE BAJO CONDICIÓN (CTL_ABCD). Cuando una entidad pública realice aportes bajo condición sobre el valor total o parcial de los activos asociados a la actividad de tratamiento de lixiviados del sitio de disposición final d, el CTLd con aportes bajo condición se define de acuerdo con la siguiente función:
![]()
Donde:
| osto de Tratamiento de Lixiviados con Aporte Bajo Condición en el sitio de disposición final d (pesos de diciembre de 2017/tonelada). | |
| Costo de Tratamiento de Lixiviados, adoptado por la persona prestadora del sitio de disposición final d, de conformidad con el el ARTÍCULO 151 de la presente resolución (pesos de diciembre de 2017/tonelada). | |
Proporción del costo total que corresponde al costo de capital del sitio de disposición final d,, el cual de adoptarse la función de costos máxima de disposición final d (CDFd) señalada en el ARTÍCULO 151 de la presente resolución y de acuerdo el escenario de tratamiento de lixiviados por objetivo de calidad, es el siguiente:![]() | |
| Fracción del costo de capital aportado bajo condición del sitio de disposición final d, el cual se determinará de acuerdo con la siguiente expresión: Donde: |
ARTÍCULO 154. PROVISIÓN DE RECURSOS PARA LAS ETAPAS DE CLAUSURA Y POSCLAUSURA. La persona prestadora de la actividad de disposición final deberá constituir un encargo fiduciario, que permita garantizar los recursos necesarios para la clausura y posclausura del relleno sanitario d, de tal manera que todas las actividades y obras requeridas para dichas etapas se realicen, acorde con lo establecido en el artículo 2.3.2.3.17 del Decreto 1077 de 2015 modificado por artículo 1o del Decreto 1784 de 2017, o el que lo modifique, adicione, sustituya o aclare, de acuerdo con la fórmula definida para en el ARTÍCULO 151 de la presente resolución.
ARTÍCULO 155. COSTO DE ALTERNATIVAS A LA DISPOSICIÓN FINAL. Podrán emplearse alternativas a la disposición final en relleno sanitario siempre y cuando éstas cuenten con los permisos y autorizaciones ambientales requeridas y el costo a trasladar a los usuarios en la tarifa no exceda el valor del costo de disposición final total definido en el ARTÍCULO 150 de la presente resolución. Dicho costo corresponde a la disposición final y tratamiento de lixiviados del municipio donde se pretenda emplear la alternativa.
DEL VALOR BASE DE REMUNERACIÓN DEL APROVECHAMIENTO.
ARTÍCULO 156. VALOR BASE DE REMUNERACIÓN DEL APROVECHAMIENTO (VBAZ). La remuneración de la actividad de aprovechamiento por suscriptor para cada APS z, se calculará de la siguiente forma:
Donde:
| Valor Base de Remuneración de Aprovechamiento en el municipio donde se ubica el APS z (pesos de diciembre de 2017/tonelada). | |
| j: | Personas prestadoras de recolección y transporte para residuos sólidos no aprovechables en el municipio donde se ubica el APS z, donde j= {1, 2, 3, 4,...,n} |
| Costo Promedio de Recolección y Transporte de las personas prestadoras de residuos sólidos no aprovechables en el municipio donde se ubica el APS z (pesos de diciembre de 2017/tonelada). | |
| Costo de Recolección y Transporte de la persona prestadora de residuos sólidos no aprovechables en el municipio donde se ubica el APS z, definido en el ARTÍCULO 148 de la presente resolución (pesos de diciembre de 2017/tonelada). | |
| Promedio mensual de toneladas recolectadas y transportadas de residuos sólidos no aprovechables de la persona prestadora j en el municipio donde se ubica el APS z, de conformidad con el ARTÍCULO 131 de la presente resolución (toneladas/mes). | |
| Costo Promedio de Disposición Final Total de residuos sólidos no aprovechables en el municipio donde se ubica el APS z (pesos de diciembre de 2017/tonelada). | |
| Costo de Disposición Final adoptado por la persona prestadora de disposición final, el cual corresponde al CDFd de conformidad con el ARTÍCULO 151 de la presente resolución (pesos de diciembre de 2017/tonelada). | |
| Promedio mensual de residuos sólidos dispuestas en el sitio de disposición final por la persona prestadora j en el municipio donde se ubica el APS z, de conformidad con el ARTÍCULO 131 de la presente resolución (toneladas/mes). | |
| Incentivo a la separación en la fuente que se otorgará como un descuento de hasta el cuatro por ciento (4%) de conformidad con lo establecido en el Decreto 1077 de 2015, modificado y adicionado por el Decreto 596 de 2016, o aquel que lo modifique, adicione, sustituya o aclare. | |
| z: | Áreas de prestación del Servicio (APS) que conforman el esquema de prestación regional, donde z = {1, 2, 3, 4,...,Z}. |
PARÁGRAFO 1. El número de frecuencias de recolección para esta actividad corresponderá a lo establecido en el respectivo Programa para la Prestación del Servicio de Aseo acorde con el Plan de Gestión Integral de Residuos Sólidos (PGIRS).
PARÁGRAFO 2. El pesaje y clasificación de residuos efectivamente aprovechables se realizará en las ECA, definidas en el Decreto 1077 de 2015 o aquel que lo modifique, adicione, sustituya o aclare.
DE LA ACTUALIZACIÓN DE COSTOS.
ARTÍCULO 157. ACTUALIZACIÓN DE COSTOS. A partir de la entrada en vigencia de la fórmula tarifaria, los cargos que componen el precio máximo, se actualizarán de la siguiente manera:
![]()
Donde:
| Costo de cada actividad actualizado, a pesos del mes en el cual la persona prestadora empezará a aplicar la metodología de cálculo establecida en la presente resolución, expresado en términos unitarios. | |
| Costo de cada actividad resultante de la aplicación de la presente metodología para cada una de las actividades del servicio público de aseo, el cual para t=0 está expresado a pesos de diciembre de 2017 | |
| Factor de Actualización de costos por actividad c, definido en el ARTÍCULO 158 de la presente resolución. |
Una vez expresado el costo al mes de entrada en vigencia de la fórmula tarifaria, la persona prestadora actualizará los costos ajustando cada actividad de conformidad con la siguiente ecuación:
![]()
Donde:
| Costo para la actividad c en el período t (pesos /suscriptor-mes). | |
| Costo para la actividad c en el período t-1 (pesos /suscriptor-mes). | |
| actor de Actualización de Costos por actividad c, definido en el ARTÍCULO 158 de la presente resolución. | |
| Incremento en productividad esperada en el año t-1, definido en el artículo 38 de la Resolución CRA 720 de 2015. | |
| c: | 1, 2, 3, …,n (actividades incorporados en la presente resolución). |
| t: | 1,2, 3, …,n (períodos). |
PARÁGRAFO. Los ajustes por productividad se causarán en enero de cada año, sin que esto implique que se deba actualizar el precio máximo si no se ha acumulado una variación en el factor de actualización de, al menos, un tres por ciento (3%) según lo dispuesto en el artículo 125 de la Ley 142 de 1994 y el parágrafo 1 artículo 37 de la Resolución CRA 720 de 2015.
ARTÍCULO 158. FACTOR DE ACTUALIZACIÓN DE COSTOS POR ACTIVIDAD (FAC). Para ajustar los costos de las actividades resultantes de lo establecido en la presente resolución, se utilizarán las siguientes ecuaciones:
158.1 Factor de actualización del Costo de Barrido y Limpieza de Vías y Áreas Públicas por suscriptor (CBLS) y del Costo de Limpieza Urbana por suscriptor (CLUS), se actualizarán de acuerdo con el incremento del Salario Mínimo Mensual Legal Vigente adoptado por el Gobierno Nacional, así:

Donde:
| Salario Mínimo Mensual Legal Vigente adoptado por el Gobierno Nacional en el año t. |
158.2 Factor de Actualización del Costo de comercialización y del Costo de Tratamiento de Lixiviados: se actualizarán de acuerdo con el Índice de Precios al Consumidor (IPC), calculado por el DANE, así:
![]()
Donde:
| Costo de comercialización, facturación y recaudo. | |
| Costo de Tratamiento de lixiviados. |
158.3 Factor de Actualización del Costo de recolección y transporte en un 89% de acuerdo con la evolución del IPC, y en un 11% de acuerdo a la evolución del rubro de Combustible Fuel Oil y Diesel Oil ACPM (ICFO) que hace parte del IPP calculado por el Banco de la República; de modo que el resultado sea igual al que expresa la siguiente fórmula:

El año base (=100) de los índices IPC e ICFO será diciembre de 2017, de modo que:

Donde:
| Índice combinado de precios al consumidor y combustible, en el período t, donde “t” es el mes en el cual se realiza la actualización y “t-1” corresponde al mes en el que se hizo la última actualización de acuerdo al Artículo 125 de la Ley 142 de 1994. |
158.4 Factor de Actualización del Costo de disposición final: se actualizará de acuerdo con la evolución del índice del grupo de obras de explanación (IOExp), que hace parte del Índice de Costos de Construcción Pesada (ICCP) elaborado por el DANE, así:
![]()
Donde:
| Índice del grupo de obras de explanación ( |
PARÁGRAFO 1. La aplicación de los índices de actualización de costos a los que se refiere el presente artículo se sujetará a lo establecido en el artículo 125 de la Ley 142 de 1994.
PARÁGRAFO 2. Para la estimación del factor de actualización, se utilizará el índice de Precios al Consumidor (IPC) definido por el DANE, al momento de entrada en vigencia de la fórmula tarifaria, redondeado a la cantidad de decimales que dicha entidad publique de manera oficial.
PARÁGRAFO 3. El Factor de Actualización obtenido, deberá ser redondeado a cuatro decimales y las operaciones resultantes de la fórmula de actualización de costos por actividad serán redondeadas a dos decimales.
DE LAS TARIFAS Y LA PRODUCCIÓN DE RESIDUOS FACTURADOS.
ARTÍCULO 159. TARIFA FINAL POR SUSCRIPTOR. Para efecto de calcular la tarifa mensual final por suscriptor del APS z, los prestadores de recolección y transporte de residuos sólidos no aprovechables aplicarán la siguiente fórmula:
159.1 Si el usuario no tiene aforo:
![]()
159.2 Si el usuario tiene aforo:
![]()
Donde:
| Tarifa Final por suscriptor tipo u, en el APS z, de la persona prestadora (pesos/suscriptor-mes). | |
| Tarifa Final por suscriptor aforado i, en el APS z, de la persona prestadora (pesos/suscriptor-mes). | |
| Costo Fijo Total del APS z, definido en el ARTÍCULO 128 de la presente resolución (pesos/suscriptor-mes). | |
| Costo Variable por tonelada de residuos sólidos no aprovechables del esquema de prestación regional, definido en el ARTÍCULO 129 de la presente resolución (pesos/tonelada). | |
| Costo Variable por tonelada de residuos efectivamente aprovechados del APS z definido en el ARTÍCULO 130 de la presente resolución (pesos/tonelada). | |
| Toneladas de Residuos efectivamente Aprovechados aforadas por suscriptor i del APS z, definidas en el ARTÍCULO 160 de la presente resolución (toneladas/suscriptor- mes). | |
| Toneladas de Residuos sólidos de Barrido y Limpieza por suscriptor del APS z, definidas en el ARTÍCULO 160 de la presente resolución (toneladas/suscriptor- mes). | |
| Toneladas de Residuos sólidos de Limpieza Urbana por suscriptor del APS z, definidas en el ARTÍCULO 160 de la presente resolución (toneladas/suscriptor- mes). | |
| Toneladas de Residuos de Rechazo del Aprovechamiento por suscriptor del APS z, definidas en el ARTÍCULO 160 de la presente resolución (toneladas/suscriptor- mes). | |
| Toneladas de Residuos Efectivamente Aprovechados no aforadas por suscriptor del APS z, definidas en el ARTÍCULO 160 de la presente resolución (toneladas/suscriptor- mes). | |
| Toneladas de Residuos sólidos No Aprovechables por suscriptor u en el APS z, de la persona prestadora, de acuerdo con lo establecido en el ARTÍCULO 161 de la presente resolución (toneladas/suscriptor-mes). | |
| Toneladas de Residuos sólidos No Aprovechables aforadas por suscriptor i en el APS z de la persona prestadora, definidas en el ARTÍCULO 161 de la presente resolución (toneladas/suscriptor- mes). | |
| Factor de contribución o subsidio correspondiente a cada suscriptor, aplicable para el servicio público de aseo, determinado por estrato o tipo de uso de acuerdo con la normatividad aplicable, subsidio con signo negativo y contribución con signo positivo. | |
| Tipo de suscriptor, donde u = (1,2,3,4,5,6= estratos suscriptores residenciales, 7=pequeño productor, 8= inmuebles desocupados). | |
| Suscriptor aforado, donde i = (1,2,3,…,I). | |
| z: | Áreas de prestación del Servicio (APS) que conforman el esquema de prestación regional, donde z = {1, 2, 3, 4,...,Z}. |
ARTÍCULO 160. CÁLCULO DE TONELADAS POR SUSCRIPTOR DEFINIDAS EN CONJUNTO POR PRESTADORES PARA FACTURACIÓN. Las personas prestadoras que se encuentran en áreas urbanas de un mismo municipio deberán calcular los valores de toneladas de residuos de barrido y limpieza por suscriptor (
), de limpieza urbana por suscriptor (
), de rechazo del aprovechamiento por suscriptor (
), efectivamente aprovechados por suscriptor no aforado (
), efectivamente aprovechados por suscriptor aforado gran productor (TAFAiz), de acuerdo con las siguientes fórmulas:

Si el suscriptor cuenta con aforo ordinario, extraordinario o permanente, las toneladas de residuos aprovechados por suscriptor será el resultado del aforo TAFAiz
Donde:
| Toneladas mensuales de residuos de barrido y limpieza de la persona prestadora j en del municipio en donde se ubica el APS z (toneladas/mes). | |
| Toneladas mensuales de residuos de limpieza urbana de la persona prestadora j en del municipio en donde se ubica el APS z (toneladas/mes). | |
| Toneladas mensuales de residuos de rechazo del aprovechamiento de la persona prestadora j en del municipio en donde se ubica el APS z, medidas en las ECA (toneladas/mes). | |
| Toneladas mensuales de residuos efectivamente aprovechados no aforadas de la persona prestadora de aprovechamiento j en del municipio en donde se ubica el APS z, reportadas por las personas prestadoras de aprovechamiento (toneladas/mes). | |
| Toneladas mensuales de residuos efectivamente aprovechados aforadas por suscriptor gran generador i en del municipio en donde se ubica el APS z, reportadas por las personas prestadoras de aprovechamiento (toneladas/mes). | |
| Promedio del número de suscriptores totales en el municipio en donde se ubica el APS z, de acuerdo con lo establecido en ARTÍCULO 131 de la presente resolución (suscriptores/mes). | |
| Promedio total de número de suscriptores de inmuebles desocupados incluidos los desocupados grandes productores no residenciales, para el municipio en donde se ubica el APS z, de acuerdo con lo establecido en el ARTÍCULO 131 de la presente resolución (suscriptores/mes). | |
| Promedio total de número de suscriptores gran productor de aprovechamiento, para el municipio en donde se ubica el APS z, de acuerdo con lo establecido en el ARTÍCULO 131 de la presente resolución (suscriptores/mes). | |
| Número de personas prestadoras del municipio en donde se ubica el APS z, donde j= {1, 2, 3, 4,...,n} | |
| z: | Áreas de prestación del Servicio (APS) que conforman el esquema de prestación regional, donde z = {1, 2, 3, 4,...,Z}. |
PARÁGRAFO 1. Para efecto de facturación, las ECA no se considerarán usuarios de residuos sólidos no aprovechables.
PARÁGRAFO 2. Para el cálculo del
, se deberá garantizar que el total de toneladas mensuales en el municipio esté acorde con las metas establecidas en el PGIRS.
ARTÍCULO 161. TONELADAS DE RESIDUOS SÓLIDOS NO APROVECHABLES POR TIPO DE SUSCRIPTOR (TRNAUZ). Las Toneladas de Residuos sólidos no Aprovechables por tipo de suscriptor en el APS z, se calcularán de acuerdo con la siguiente fórmula:
161.1 Si el suscriptor cuenta con aforo ordinario, extraordinario o permanente de los residuos sólidos, las toneladas de residuos sólidos no aprovechables por suscriptor será el resultado del aforo ![]()
161.2 Si no tiene aforo individual de los residuos sólidos:

Donde:
| Toneladas de Residuos sólidos No Aprovechables por tipo de suscriptor u por APS z, de la persona prestadora (toneladas/suscriptor-mes). | |
| Toneladas promedio de residuos sólidos No Aprovechables en el APS z (toneladas/mes), de acuerdo con lo definido en el ARTÍCULO 131 de la presente resolución (suscriptores/mes). | |
| Toneladas promedio de residuos de Rechazo del Aprovechamiento en el APS z (toneladas/mes), de acuerdo con lo definido en el ARTÍCULO 131 de la presente resolución (suscriptores/mes). | |
| Toneladas de Residuos sólidos No Aprovechables aforadas por suscriptor i, en la APS z (toneladas/suscriptor-mes). | |
| Factor de producción para el suscriptor tipo u, según lo establecido en el ARTÍCULO 162 de la presente resolución. | |
| Promedio del número de suscriptores del tipo u en el APS z, de acuerdo con lo establecido en el ARTÍCULO 131 de la presente resolución (suscriptores/mes). | |
| Promedio del número de suscriptores con aforo ordinario, extraordinario o permanente del tipo u en el APS z, de acuerdo con lo establecido en el ARTÍCULO 131 de la presente resolución (suscriptores/mes). | |
| Promedio del número de suscriptores de inmuebles desocupados, incluidos los desocupados grandes productores no residenciales del tipo u en el APS z, de acuerdo con lo establecido en el ARTÍCULO 131 de la presente resolución (suscriptores/mes). | |
| Tipo de suscriptor, u = 1,2,3,….,8 | |
| z: | Áreas de prestación del Servicio (APS) que conforman el esquema de prestación regional, donde z = {1, 2, 3, 4,...,Z}. |
PARÁGRAFO 1. La persona prestadora de residuos sólidos no aprovechables deberá realizar los cálculos de forma separada por APSz y reportarlo de esa manera al Sistema Único de Información (SUI).
PARÁGRAFO 2. Aquellas personas prestadoras que adopten una facturación bimestral, calcularán las toneladas mediante la suma de los dos (2) meses de prestación del servicio.
ARTÍCULO 162. FACTORES DE PRODUCCIÓN (FU). Los factores de producción Fu para cada tipo de suscriptor son:

Donde los factores de producción F1 a F6 corresponden respectivamente a los estratos 1 a 6 de suscriptores residenciales; el factor F7 se refiere a los pequeños productores no residenciales; F8 es el factor para inmuebles o lotes desocupados.
PARÁGRAFO 1. Para la asignación de residuos sólidos de grandes productores no residenciales se deberá tomar en todo caso, el aforo realizado.
PARÁGRAFO 2. La persona prestadora podrá establecer factores de producción diferentes a los señalados en el presente artículo, previa solicitud ante la Comisión de Regulación de Agua Potable y Saneamiento Básico (CRA) y aprobación de la misma, para lo cual deberá presentar los estudios y soportes pertinentes, que incluyan pesaje al menos de seis (6) meses consecutivos.
Para el caso del factor de producción F7, es decir, los correspondientes a Pequeños Productores de residuos sólidos, la entidad tarifaria local, podrá establecer factores menores siempre y cuando los mismos se asignen a categorías previamente definidas y soportadas por la persona prestadora de acuerdo con la generación de residuos sólidos. En este caso no será necesaria la aprobación de la CRA, pero sí se deberán informar a la CRA, a la Superintendencia de Servicios Públicos Domiciliarios (SSPD) y reportar al Sistema Único de Información (SUI), las categorías establecidas con sus respectivos factores de producción, así como los soportes de dicha categorización.
PARÁGRAFO 3. En todo caso, la aplicación de lo establecido en el presente artículo no exime a las personas prestadoras de los deberes establecidos en los artículos 2.3.2.3.3.1.9 y 2.3.2.3.3.2.10 del Decreto 1077 de 2015 o aquel que lo modifique, adicione, sustituya o aclare; y, por ende, el incumplimiento de los mismos podrá ser sancionado por la autoridad competente.
ARTÍCULO 163. GRANDES PRODUCTORES. Los grandes productores a los que se refiere el numeral 21 del artículo 2.3.2.1.1 del Decreto 1077 de 2015, o el que lo modifique, adicione, sustituya o aclare, serán clasificados en dos categorías. La primera categoría será para aquellos suscriptores que generan y presentan para recolección residuos sólidos en un volumen superior o igual a un metro cúbico (1 m3/mes) y menor a seis metros cúbicos mensuales (6 m3/mensuales). La segunda categoría corresponderá a aquellos suscriptores que produzcan seis metros cúbicos mensuales (6 m3/mensuales) o más.
Todos los grandes productores que generen un volumen superior o igual a seis metros cúbicos mensuales (6 m3/mensuales), podrán pactar libremente las tarifas correspondientes a la recolección y transporte de residuos sólidos no aprovechables. Los acuerdos con las personas prestadoras incluirán la medición de los residuos sólidos objeto del servicio.
Todos los grandes productores definidos en el presente artículo deberán ser aforados de acuerdo con la metodología vigente.
PARÁGRAFO. Los multiusuarios que generan y presentan para recolección residuos sólidos en un volumen superior o igual a seis metros cúbicos mensuales (6 m3/mensuales), podrán pactar libremente las tarifas correspondientes a la recolección y transporte de residuos sólidos.
ARTÍCULO 164. REPORTE EN LÍNEA DEL PESAJE DE RESIDUOS SÓLIDOS. Las personas prestadoras deberán contar con sistemas e instrumentos de identificación de vehículos, pesaje y reporte en línea de la información con base en los siguientes criterios:
164.1 Para las personas prestadoras de recolección y transporte de residuos sólidos no aprovechables:
- Los vehículos contarán con sistemas de identificación GPS.
164.2 Para la persona prestadorade disposición final:
- Instalación de software para la recepción, registro y automatización de la información de identificación de los vehículos, su procedencia por microrrutas y/o APS y pesaje de los residuos sólidos.
- Automatización de la identificación por el Sistema de Posicionamiento Global (GPS) y los sistemas de información georreferenciada.
- Transmisión de datos en tiempo real a un servidor central, con tecnologías de transferencia de datos a través de canales de comunicación de mínimo costo.
- La información de identificación de vehículos y de pesaje de residuos sólidos debe ser registrada de forma automática y transmitida a las bases de datos centralizadas en los términos que la Superintendencia de Servicios Públicos Domiciliarios defina para ello.
164.3 Para la persona prestadorade aprovechamiento en APS ubicadas en municipios con más de 5.000 suscriptores:
- Automatización del registro de datos de identificación y cantidad de residuos sólidos dispuestos en cada estación de clasificación y aprovechamiento para la actividad de aprovechamiento deberá realizarse mediante el uso de tarjetas con tecnología RFID (Identificación por Radiofrecuencia) o similares.
DE LA DEFINICIÓN DE DESCUENTOS ASOCIADOS A LA CALIDAD DEL SERVICIO.
ARTÍCULO 165. DESCUENTOS ASOCIADOS A LA CALIDAD DEL SERVICIO. Los descuentos asociados al nivel de cumplimiento de las metas de calidad de servicio público de aseo, definidos bajo el concepto de integralidad tarifaria, deben ser estimados de conformidad con el Título IV de la Resolución CRA 720 de 2015.
El régimen de calidad y descuentos aplica únicamente para los esquemas regionales que incluyan al menos un municipio con más de 5.000 suscriptores en área urbana, sin perjuicio de las sanciones o acciones que la Superintendencia de Servicios Públicos Domiciliarios pueda efectuar por fallas en la prestación del servicio.
DISPOSICIÓNES FINALES.
ARTÍCULO 166. INCLUSIÓN DE INCENTIVOS ECONÓMICOS. Los costos generados por los incentivos económicos creados con ocasión de desarrollos normativos del orden nacional, se incluirán como un valor adicional al costo de la actividad asociada a dicho incentivo. Tal situación se informará por parte de la persona prestadora que deberá aplicar dicha disposición a la Superintendencia de Servicios Públicos Domiciliarios (SSPD) y a los usuarios.
ARTÍCULO 167. PORCENTAJE DE PROVISIÓN DE INVERSIONES PARA LAS ORGANIZACIONES DE RECICLADORES DE OFICIO EN PROCESO DE FORMALIZACIÓN. Las organizaciones de recicladores de oficio que estén en proceso de formalización como personas prestadoras de la actividad de aprovechamiento, y atiendan usuarios en área urbana de municipios de hasta 5.000 suscriptores, deberán provisionar de forma progresiva los recursos de inversión provenientes del recaudo asociado a la remuneración de esta actividad, iniciando con el tres por ciento (3%) hasta completar el diez y seis por ciento (16%), para apoyar la financiación de los Planes de Fortalecimiento Empresarial. En la tabla se presenta el porcentaje de provisión que deberá aplicarse a partir del primer mes de cada fase:

Las organizaciones que a la entrada en vigencia de la presente resolución no hayan realizado la inscripción en el Registro Único de Prestadores (RUPS), de que trata la fase 1 del régimen de formalización definido en el Decreto 1077 de 2015, adicionado por el Decreto 596 de 2016 o aquel que lo modifique, adicione, sustituya o aclare, deberán iniciar la provisión de los recursos en la fase 5, que corresponde al segundo año de dicho régimen.
Las organizaciones que, a la entrada en vigencia de la presente resolución, se encuentren inscritas en el Registro Único de Prestadores (RUPS), deberán iniciar la provisión de inversiones cuando alcancen el segundo año del régimen de formalización. En aquellos casos, en que las organizaciones hayan superado el segundo año deberán provisionar los recursos a partir del periodo de facturación inmediatamente posterior a la entrada en vigencia de esta resolución. En ambos casos, la provisión de inversiones iniciará con el tres por ciento (3%) y continuará de conformidad con los porcentajes establecidos en la tabla.
PARÁGRAFO 1. Las organizaciones de recicladores de oficio que estén en proceso de formalización, podrán aplicar porcentajes de provisión de inversiones superiores a los definidos en esta resolución, con el fin de cumplir los objetivos y metas del Plan de Fortalecimiento Empresarial. Así mismo, las organizaciones podrán optar por iniciar la provisión de recursos para inversión a partir del primer año del proceso de formalización.
PARÁGRAFO 2. Los recursos provisionados deberán contar con un plan para su ejecución, asegurar su disponibilidad y garantizar su destinación específica de conformidad con lo definido en el artículo 13 y el Anexo I de la Resolución 276 de 2016 del Ministerio de Vivienda, Ciudad y Territorio (MVCT). Las organizaciones de recicladores de oficio en proceso de formalización deberán llevar un registro de los recursos provisionados.
PARÁGRAFO 3. Las organizaciones de recicladores de oficio que estén en proceso de formalización, deberán reportar al Sistema Único de Información – SUI, los recursos de inversión provisionados, en los términos y condiciones que señale la Superintendencia de Servicios Públicos Domiciliarios (SSPD). La SSPD ejercerá las funciones de inspección, vigilancia y control que le corresponden.
ARTÍCULO 168. CONTENIDO DE LA FACTURA. En concordancia con lo establecido en los artículos 147 y 148 de la Ley 142 de 1994, la factura del servicio público de aseo deberá contener información necesaria sobre los componentes de la tarifa final, para que el suscriptor o usuario pueda establecer con facilidad si la empresa se ciñó a la ley al elaborarla en virtud del contrato de servicios públicos (CCU) que la persona prestadora esté obligada a cumplir. En este contexto, para la liquidación de la tarifa final por suscriptor se deberá tener en cuenta como mínimo los siguientes elementos:
a. Costo fijo total.
b. Costo variable de residuos sólidos no aprovechables.
c. Costo variable de residuos efectivamente aprovechados.
d. Toneladas de residuos sólidos no aprovechables por suscriptor.
e. Toneladas de residuos efectivamente aprovechados por suscriptor.
f. Toneladas de residuos sólidos no aprovechables aforadas por suscriptor.
g. Toneladas de residuos efectivamente aprovechados aforadas por suscriptor.
h. Factor de contribución o subsidio correspondiente a cada suscriptor.
Adicionalmente, las personas prestadoras que se encuentre bajo un esquema de prestación regional en donde alguna de las APS se encuentra en un municipio con más de 5.000 suscriptores, deberán tener en cuenta los siguientes elementos:
i. Toneladas de residuos de barrido y limpieza por suscriptor.
j. Tonelada de residuos de limpieza urbana por suscriptor.
k. Toneladas de residuos de rechazo de aprovechamiento por suscriptor.
PARÁGRAFO. En virtud de lo establecido en los artículos 14.9, 147 y 148 de la Ley 142 de 1994, la persona prestadora de recolección y transporte de residuos sólidos no aprovechables, garantizará la facturación del servicio de aseo y sus actividades complementarias en los términos del artículo 2.3.2.2.2.1.13 del Decreto 1077 de 2015, el Decreto 596 de 2016 que modifica y adiciona el Decreto 1077 de 2015 y la Resolución 276 de 2016 y demás normas que lo modifiquen, adicionen, sustituyan o aclaren.
ARTÍCULO 169. DESCUENTOS POR RECOLECCIÓN EFECTUADA SIN SERVICIO PUERTA A PUERTA. Cuando por imposibilidad operativa de la entrada de vehículos o de los operarios del servicio, la recolección de residuos sólidos no aprovechables no se realice puerta a puerta, los suscriptores tendrán un descuento del diez por ciento (10%) en el costo de recolección y transporte, de acuerdo con lo definido en el Decreto 1077 de 2015 o aquel que lo modifique, adicione, sustituya o aclare.
La persona prestadora aplicará dicho descuento cuando por condiciones operativas sea imposible la prestación de la actividad de recolección puerta a puerta, sin perjuicio de las acciones que adelante el ente de control en caso de incumplimiento. Tal situación deberá ser informada al suscriptor en la factura correspondiente.
ARTÍCULO 170. INMUEBLES DESOCUPADOS. A los inmuebles que acrediten estar desocupados se les aplicará la tarifa final por suscriptor, considerando una cantidad correspondiente de toneladas presentadas para recolección igual a cero en las siguientes variables:
a. Toneladas de Residuos sólidos no Aprovechables por suscriptor (TRN) = 0
b. Toneladas de Residuos efectivamente aprovechables por suscriptor (TRA) = 0
PARÁGRAFO. Para ser objeto de la aplicación de las disposiciones señaladas en el presente artículo, será necesario acreditar ante la persona prestadora del servicio la desocupación del inmueble, para lo cual el solicitante deberá presentar a la persona prestadora al menos uno (1) de los siguientes documentos:
i. Factura del último período del servicio público domiciliario de acueducto, en la que se pueda establecer que no se presentó consumo de agua potable.
ii. Factura del último período del servicio público domiciliario de energía, en la que conste un consumo inferior o igual a cincuenta (50) kilowatts/hora-mes.
iii. Acta de la inspección ocular al inmueble por parte de la persona prestadora del servicio público de aseo, en la que conste la desocupación del predio.
iv. Carta de aceptación de la persona prestadora del servicio público domiciliario de acueducto de la suspensión del servicio por mutuo acuerdo.
Una vez acreditada la desocupación del inmueble conforme a lo previsto anteriormente, la persona prestadora del servicio público de aseo deberá tomar todas las medidas necesarias para que el suscriptor cancele únicamente el valor correspondiente a la tarifa del inmueble desocupado, de conformidad con la fórmula de cálculo que se fija en la presente resolución.
La acreditación de la desocupación del inmueble tendrá una vigencia de tres (3) meses, al cabo de los cuales deberá presentarse nuevamente la documentación respectiva ante la persona prestadora del servicio público de aseo.
ARTÍCULO 171. INCUMPLIMIENTO DE LA OBLIGACIÓN DE CONTAR CON BÁSCULA DE PESAJE. Las personas prestadoras de la actividad de disposición final, que no cuenten con báscula de pesaje en el relleno sanitario al momento de entrada en vigencia de las fórmulas tarifarias establecidas en la presente resolución, deberán presentar en el respectivo estudio de costos y tarifas a la Comisión de Regulación un Plan de compra, instalación y puesta en marcha de la báscula de pesaje.
La estructura del Plan de compra, instalación y puesta en marcha de la báscula de pesaje, deberá contener los siguientes numerales:
171.1 Estimación de cantidades de residuos sólidos:
- Valor estimado de la cantidad de residuos sólidos recibidos en el sitio de disposición final de la siguiente manera:

Donde:
| Promedio mensual de residuos sólidos estimado que se reciben en el sitio de disposición final sin báscula de pesaje. (toneladas/mes). | |
| Número promedio de suscriptores de recolección y transporte (j) en las áreas de prestación, que llevan los residuos sólidos al sitio de disposición final que no cuenta con pesaje. | |
| Toneladas de residuos sólidos no aprovechables por suscriptor/mes estimadas calculadas así: |
- Cantidad estimada de toneladas de residuos sólidos recolectadas y transportadas en el APS de la persona prestadora j (toneladas/mes) de la siguiente manera:
![]()
Donde:
| Promedio mensual de toneladas recolectadas y transportadas estimado en el APS de la persona prestadora j, (toneladas/mes). |
171.2 Calculo del CRT y del CDFT:
- Cálculo del Costo de Recolección y Transporte de residuos sólidos (CRT) de conformidad con lo establecido en la sección de cálculo de costos de recolección y transporte según el segmento o esquema al que pertenezca así:

Se debe considerar que para el cálculo de CRT, la persona prestadora de Recolección y Transporte de residuos sólidos no aprovechables que dispone residuos sólidos en un relleno sanitario que no cuenta con báscula de pesaje, deberá reemplazar la variable
por la variable
, definida en este artículo.
- Cálculo del Costo de disposición final total (CDFTDd), que para las personas prestadoras de disposición final que no cuentan con báscula de pesaje, corresponderá al Precio Mínimo de Disposición Final Total (CDFTDd), de conformidad con lo establecido en la sección de cálculo de costos de disposición final, según el segmento al que pertenezca así:

Se debe considerar que para el cálculo de CDFTDd, la persona prestadora que opera un relleno sanitario que no cuenta con báscula de pesaje, deberá reemplazar la variable
por la variable
, definida en este artículo.
171.3 Financiación del Plan:
- Cálculo de la cantidad estimada de recursos a percibir por concepto de disposición final en un mes así:
![]()
Donde:
| RPDF | Recursos a percibir por concepto de disposición final. (Pesos/mes). |
- Cálculo del plazo en el que se recaudarán los recursos para la ejecución del Plan de compra, instalación y puesta en operación de la báscula de pesaje, a partir de la siguiente fórmula:
![]()
Dicho plazo no podrá ser superior al tiempo máximo establecido para cada segmento o esquema de prestación así:

La persona prestadora que opera el relleno sanitario sin báscula, deberá anexar a su Plan, la cotización para la compra, instalación y puesta en operación de la báscula de pesaje y el cronograma con las fechas en las que realizará las siguientes actividades:
i. Acta de inicio del contrato de suministro e instalación de la báscula.
ii. Fecha de entrega de la báscula en el sitio.
iii. Fecha de entrega de la báscula en operación.
PARÁGRAFO 1. La persona prestadora de la actividad de disposición final que no cuente con báscula de pesaje en el relleno sanitario y no incluya en su estudio de costos y tarifas el Plan de compra, instalación y puesta en marcha de la misma, con la estructura definida en este artículo, no podrá cobrar el costo de disposición final en la tarifa del servicio público de aseo, hasta tanto cumpla con esta obligación.
PARÁGRAFO 2. En caso que la persona prestadora incumpla con el cronograma del Plan de compra, instalación y puesta en marcha de la báscula de pesaje, no podrá continuar cobrando los costos de disposición final y de tratamiento de lixiviados en la tarifa del servicio público de aseo hasta tanto el relleno sanitario cuente con báscula de pesaje en operación.
PARÁGRAFO 3. Vencido el tiempo máximo para instalación de la báscula, definido para cada segmento o para cada esquema de prestación, la persona prestadora de la actividad de disposición final que no haya instalado y puesto en operación la báscula de pesaje en el relleno sanitario, no podrá cobrar el costo de disposición final.
PARÁGRAFO 4. El Plan de compra, instalación y puesta en marcha de la báscula de pesaje, junto con su cronograma y demás documentos soporte establecidos en el presente artículo, deberán ser reportados el Sistema Único de Información SUI en los términos que defina para tal fin la Superintendencia de Servicios Públicos Domiciliarios, quien como entidad de vigilancia y control realizará la supervisión del cumplimiento de las obligaciones aquí definidas para las personas prestadoras de la actividad de disposición final y tratamiento.
ARTÍCULO 172. COSTO DE PEAJES EN RECOLECCIÓN Y TRANSPORTE. Cuando en la vía empleada para el transporte de los residuos sólidos al sitio de transferencia, disposición final o tratamiento se habilite un nuevo peaje o salga de operación un peaje considerado en el momento de la elaboración del estudio de costos y tarifas, la persona prestadora podrá realizar la actualización del costo de recolección y transporte. Tal situación deberá ser informada a la Superintendencia de Servicios Públicos Domiciliarios (SSPD) y la Comisión de Regulación de Agua Potable y Saneamiento Básico (CRA).
ARTÍCULO 173. VIGENCIA DEL RÉGIMEN TARIFARIO Y DE LA METODOLOGÍA TARIFARIA. El régimen tarifario y la metodología tarifaria comenzará a regir transcurridos seis (6) meses desde la fecha de su publicación en el Diario Oficial, momento a partir del cual deberán aplicar las tarifas resultantes de la metodología contenida en el presente acto administrativo.
PARÁGRAFO. Las personas prestadoras del servicio público de aseo que estén dentro del ámbito de aplicación señalado en el artículo 1o de la Presente Resolución, dentro de los seis (6) meses siguientes a la fecha de su publicación en el Diario Oficial, deberán adelantar los estudios de costos, así como dar cumplimiento a las disposiciones contenidas en la sección 5.1.2 de la Resolución CRA 151 de 2001 o aquella que la modifique, adicione, sustituya o aclare.
ARTÍCULO 174. RÉGIMEN DE TRANSICIÓN. Las personas prestadoras del servicio público de aseo que, a la fecha de publicación de la presente Resolución, estén dentro del ámbito de aplicación de la Resolución CRA 351 de 2005 y CRA 352 de 2005, modificados por los artículos 73 y 74 de la Resolución CRA 720 de 2015, deberán aplicar las tarifas resultantes de dicha metodología, hasta la entrada en vigencia del régimen tarifario y de la metodología tarifaria contenidas en la presente Resolución.
ARTÍCULO 175. DEROGATORIAS. La presente Resolución deroga las Resoluciones CRA 351 y 352 de 2005, Resolución CRA 405 de 2006, Resolución CRA 417 de 2007, Resolución CRA 418 de 2007, Resolución CRA 429 de 2007, Resolución CRA 482 de 2009, el artículo 3o de la Resolución CRA 788 de 2017 y las demás disposiciones que le sean contrarias.
PUBLÍQUESE Y CÚMPLASE.
Dada en Bogotá D.C. a los xx (x) días del mes de xx de 2018.
JORGE ANDRÉS CARRILLO CARDOSO
Presidente
GERMÁN EDUARDO OSORIO CIFUENTES
Director Ejecutivo
ARTÍCULO 2o. <Ver prórrogas en Notas de Vigencia> Iniciar el proceso de discusión directa con los usuarios, prestadores, gremios y demás agentes del sector e interesados. Para el efecto, establézcase un término de tres (3) meses, contados a partir de la fecha de publicación de la presente resolución en el Diario Oficial, para recibir las observaciones, reparos o sugerencias, de acuerdo con el artículo 2.3.6.3.3.11 del Decreto número 1077 de 2015, o aquel que lo modifique, adicione, sustituya o aclare.
ARTÍCULO 3o. El Director Ejecutivo invita a las personas prestadoras de los servicios públicos de aseo, suscriptores y/o usuarios, a la Superintendencia de Servicios Públicos Domiciliarios, y a todos los interesados en general, para que remitan observaciones, reparos o sugerencias a la propuesta consagrada en el artículo 1o de la presente resolución, que también se hará pública en la página web www.cra.gov.co.
ARTÍCULO 4o. Las observaciones, reparos o sugerencias, se recibirán en las instalaciones de la Comisión de Regulación de Agua Potable y Saneamiento Básico, ubicada en la Carrera 12 No 97-80, Piso 2º, Edificio 97 Punto Empresarial, de Bogotá, D. C., teléfono 487 38 20, en la línea nacional gratuita 01 8000 517 565, en el correo electrónico participacion@cra.gov.co o en el fax 489 76 50. La Subdirección de Regulación de la Comisión de Regulación de Agua Potable y Saneamiento Básico, recibirá las observaciones, reparos o sugerencias y atenderá las solicitudes de información sobre el proyecto.
ARTÍCULO 5o. La presente resolución rige a partir de la fecha de su publicación en el Diario Oficial.
Publíquese y cúmplase.
Dada en Bogotá, D. C., a 27 de febrero de 2018.
El Presidente,
Jorge Andrés Carrillo Cardoso.
El Director Ejecutivo,
Germán Eduardo Osorio Cifuentes.






















































