RESOLUCIÓN CRA 865 DE 2018
(diciembre 21)
Diario Oficial No. 50.819 de 27 de diciembre de 2018
COMISIÓN DE REGULACIÓN DE AGUA POTABLE Y SANEAMIENTO BÁSICO
Por la cual se hace público el proyecto de Resolución “Por la cual se definen los criterios, metodologías, indicadores, parámetros y modelos de carácter obligatorio para evaluar la gestión y resultados de las personas prestadoras de los servicios públicos domiciliarios de acueducto y/o alcantarillado, se establece la metodología para clasificarlas de acuerdo con el nivel de riesgo, características y condiciones, y se modifican unas resoluciones”, se da cumplimiento a lo previsto por el artículo 2.3.6.3.3.9 del Decreto 1077 de 2015 y se inicia el proceso de discusión directa con los usuarios y agentes del sector.
LA COMISIÓN DE REGULACIÓN DE AGUA POTABLE Y SANEAMIENTO BÁSICO,
en ejercicio de sus facultades legales, en especial de las conferidas por la Ley 142 de 1994, los Decretos 1524 de 1994, 2882 y 2883 de 2007, modificado por el Decreto 2412 de 2015, el Decreto 1077 de 2015, y,
CONSIDERANDO:
Que el artículo 2o de la Constitución Política de 1991, consagra como uno de los fines esenciales del Estado facilitar la participación de todos en las decisiones que los afectan;
Que el inciso 3 del artículo 78 ibídem, establece que el Estado garantizará la participación de consumidores y usuarios en el estudio de las disposiciones que les conciernen;
Que el artículo 8o del Código de Procedimiento Administrativo y de lo Contencioso Administrativo dispone que las entidades públicas deberán mantener a disposición de todas las personas, información completa y actualizada, entre otros aspectos, sobre “(…) los proyectos específicos de regulación y la información en que se fundamenten, con el objeto de recibir opiniones, sugerencias o propuestas alternativas. Para el efecto, deberán señalar el plazo dentro del cual se podrán presentar observaciones, de las cuales se dejará registro público. En todo caso la autoridad adoptará autónomamente la decisión que a su juicio sirva mejor el interés general (…)”;
Que la Sección 1, Capítulo 3, del Título 6, de la Parte 3 del Decreto 1077 de 2015, señala las reglas mínimas para garantizar la divulgación y participación en las actuaciones de las Comisiones de Regulación;
Que el artículo 2.3.6.3.3.9 ibídem, prevé que las Comisiones de Regulación harán público en su página web, con antelación no inferior a treinta (30) días a la fecha de su expedición, todos los proyectos de resoluciones de carácter general que pretendan adoptar, excepto los relativos a fórmulas tarifarias, los cuales se regirán por lo previsto en el artículo 2.3.6.3.3.11 y siguientes del mismo decreto;
Que el artículo 2.3.6.3.3.10 del decreto indicado, referente al contenido mínimo del documento que haga público los proyectos de regulación de carácter general, no tarifarios, señala en su numeral 10.4 que el término para la recepción de las observaciones, reparos o sugerencias no podrá ser menor a diez (10) días hábiles, contados a partir de la fecha en que se haga público el proyecto de regulación y que dicho plazo podrá prorrogarse por solicitud de parte u oficiosamente;
Que para garantizar la participación ciudadana de que trata la Constitución Política y la normatividad vigente, se hace necesario poner a consideración de la ciudadanía en general, el presente proyecto de resolución, para que sea discutido, analizado y socializado, con el fin de que los interesados presenten observaciones, reparos o sugerencias relacionadas con el mismo;
Que de acuerdo con lo establecido en el artículo 7o de la Ley 1340 de 2009, la Superintendencia de Industria y Comercio podrá rendir concepto previo sobre los proyectos de regulación que puedan incidir sobre la libre competencia en los mercados. En este sentido, el artículo mencionado contempla que “para estos efectos las autoridades de regulación informarán a la Superintendencia de Industria y Comercio de los actos administrativos que se pretendan expedir”;
Que teniendo en cuenta el artículo 2.2.2.30.5 del Decreto 1074 de 2015, y habiendo diligenciado el cuestionario que para el efecto adoptó la Superintendencia de Industria y Comercio, se determinó que el presente proyecto de Resolución no tiene incidencia sobre la libre competencia en los mercados;
Que, en mérito de lo expuesto,
RESUELVE:
ARTÍCULO 1o. Hacer público el proyecto de resolución, “por la cual se definen los criterios, metodologías, indicadores, parámetros y modelos de carácter obligatorio para evaluar la gestión y resultados de las personas prestadoras de los servicios públicos domiciliarios de acueducto y/o alcantarillado, se establece la metodología para clasificarlas de acuerdo con el nivel de riesgo, características y condiciones, y se modifican unas resoluciones”, en los siguientes términos:
RESOLUCIÓN CRA XXX DE 20XX
(XX de XX de 201X)
por la cual se definen los criterios, metodologías, indicadores, parámetros y modelos de carácter obligatorio para evaluar la gestión y resultados de las personas prestadoras de los servicios públicos domiciliarios de acueducto y/o alcantarillado, se establece la metodología para clasificarlas de acuerdo con el nivel de riesgo, características y condiciones, y se modifican unas resoluciones.
La Comisión de Regulación de Agua Potable y Saneamiento Básico,
en ejercicio de sus facultades legales, en especial de las conferidas por la Ley 142 de 1994, los Decretos 1524 de 1994, 2882 y 2883 de 2007, modificado por el Decreto 2412 de 2015, el Decreto 1077 de 2015, y,
CONSIDERANDO:
Que de conformidad con lo preceptuado en el artículo 370 de la Constitución Política de 1991, corresponde al Presidente de la República señalar, con sujeción a la ley, las políticas generales de administración y control de eficiencia de los servicios públicos domiciliarios y ejercer por medio de la Superintendencia de Servicios Públicos, el control, la inspección y la vigilancia de las entidades que los prestan;
Que dichas facultades fueron delegadas en las Comisiones de Regulación, a partir de la expedición del Decreto 1524 de 1994, conforme al cual las funciones del Presidente de la República, a las que se refieren el artículo 68, y las disposiciones concordantes de la Ley 142 de 1994, se ejercerán en la forma allí prevista, en relación con cada uno de los servicios públicos respectivos;
Que el artículo 2o de la Ley 142 de 1994, establece como fines de la intervención del Estado en los servicios públicos, entre otros: i) Garantizar la calidad del bien objeto del servicio público y su disposición final para asegurar el mejoramiento de la calidad de vida de los usuarios; ii) Ampliar permanentemente la cobertura mediante sistemas que compensen la insuficiencia de la capacidad de pago de los usuarios; iii) Atender prioritariamente las necesidades básicas insatisfechas en materia de agua potable y saneamiento básico; iv) Prestar de forma continua e ininterrumpida, sin excepción alguna, los servicios públicos, salvo cuando existan razones de fuerza mayor o caso fortuito o de orden técnico o económico que así lo exijan; v) Prestar eficientemente los servicios públicos;
Que el artículo 3o de la misma normativa, establece como instrumentos para la intervención estatal en los servicios públicos, todas las atribuciones y funciones asignadas a las entidades, autoridades y organismos, y particularmente, “3.3. Regulación de la prestación de los servicios públicos teniendo en cuenta las características de cada región, fijación de metas de eficiencia, cobertura y calidad, y evaluación de las mismas”;
Que el numeral 36.6 del artículo 36, de la Ley 142 de 1994 establece que “Está prohibido a las instituciones financieras celebrar contratos con empresas de servicios públicos oficiales para facilitarles recursos, cuando se encuentren incumpliendo los indicadores de gestión a los que deben estar sujetas, mientras no acuerden un plan de recuperación con la comisión encargada de regularlas”;
Que de conformidad con lo establecido en el artículo 45 de la Ley 142 de 1994, el propósito esencial del control empresarial es hacer coincidir los objetivos de quienes prestan servicios públicos con sus fines sociales y su mejoramiento estructural, de forma que se establezcan criterios claros que permitan evaluar sus resultados;
Que el artículo 48 ibídem señala que las empresas de servicios públicos podrán contratar con entidades privadas la definición y diseño de los procedimientos de control interno, así como la evaluación periódica de su cumplimiento, de acuerdo a las reglas que establezcan las comisiones de regulación;
Que el artículo 52 de la Ley de Servicios Públicos Domiciliarios, modificado por el artículo 7o de la Ley 689 del 28 de agosto de 2001, establece que: “El control de gestión y de resultados es un proceso que, dentro de directrices de planeación estratégica, busca que las metas sean congruentes con las previsiones”;
Que la misma disposición señala que las Comisiones de Regulación “(…) definirán los criterios, metodologías, indicadores, parámetros y modelos de carácter obligatorio que permitan evaluar la gestión y resultados de las entidades prestadoras. Así mismo, establecerán las metodologías para clasificar las personas prestadoras de los servicios públicos, de acuerdo con el nivel de riesgo, características y condiciones, con el propósito de determinar cuáles de ellas requieren de una inspección y vigilancia especial o detallada por parte de la Superintendencia de Servicios Públicos Domiciliarios. Para el diseño de esta metodología, las comisiones de regulación tendrán un plazo de un año contado a partir de la vigencia de la presente ley”;
Que en virtud de lo anterior, es competencia de la Comisión de Regulación de Agua Potable y Saneamiento Básico (CRA) establecer las metodologías para clasificar las personas prestadoras de los servicios públicos domiciliarios de acueducto y alcantarillado, de acuerdo con el nivel de riesgo, características y condiciones, con el propósito de determinar cuáles de ellas requieren de una inspección y vigilancia especial o detallada por parte de la Superintendencia de Servicios Públicos Domiciliarios;
Que el inciso tercero del artículo 52 de la Ley 142 de 1994, señala que “La Superintendencia de Servicios Públicos Domiciliarios deberá adoptar las categorías de clasificación respectivas que establezcan las comisiones de regulación y clasificar a las personas prestadoras de los servicios públicos sujetas a su control, inspección y vigilancia dentro de los seis (6) meses siguientes a la expedición de la clasificación por parte de cada una de las comisiones de regulación”;
Que las Empresas de Servicios Públicos deberán tener un plan de gestión y resultados de corto, mediano y largo plazo, que sirva de base para el control que se ejerce sobre ellas. Este plan deberá evaluarse y actualizarse anualmente teniendo como base esencial lo definido por las Comisiones de Regulación, esto de acuerdo con el parágrafo del artículo 52 de la Ley 142 de 1994;
Que el artículo 58 ibídem, señala que “Cuando quienes prestan servicios públicos incumplan de manera reiterada, a juicio de la Superintendencia, los índices de eficiencia, los indicadores de gestión y las normas de calidad definidos por ella, esta podrá ordenar la separación de los gerentes o de miembros de las juntas directivas de la empresa de los cargos que ocupan”;
Que el artículo 59 ibídem, establece que “El Superintendente de servicios públicos podrá tomar posesión de una empresa, en los siguientes casos: “(…) 59.3. Cuando sus administradores hayan rehusado dar información veraz, completa y oportuna a una comisión reguladora o a la Superintendencia, o a las personas a quienes estas hayan confiado la responsabilidad de obtenerla”;
Que el numeral 73.3 del artículo 73 de la Ley 142 de 1994 determina que corresponde a las Comisiones de Regulación definir los criterios de eficiencia y desarrollar indicadores y modelos para evaluar la gestión financiera, técnica y administrativa de las empresas de servicios públicos y solicitar las evaluaciones que considere necesarias para el ejercicio de sus funciones;
Que el numeral 73.4 del artículo indicado en el considerando anterior, determina que corresponde a las Comisiones de Regulación fijar las normas de calidad a las que deben ceñirse las empresas de servicios públicos en la prestación del servicio;
Que de acuerdo con lo previsto en el numeral 73.15 ibídem, es función de las Comisiones de Regulación determinar cuándo una empresa oficial, pública o un municipio que presta en forma directa los servicios no cumple los criterios e indicadores de eficiencia que determine y ordenar al municipio la entrega de la prestación de los servicios a un tercero;
Que de conformidad con el numeral 79.11 del artículo 79 de la Ley 142 de 1994, modificado por el artículo 87 de la Ley 1753 de 2015, es competencia de la Superintendencia de Servicios Públicos Domiciliarios evaluar la gestión financiera, técnica y administrativa de los prestadores de servicios públicos sujetos a su control, inspección y vigilancia, de acuerdo con los indicadores definidos por las Comisiones de Regulación y publicar sus evaluaciones. Dicha entidad podrá imponer programas de gestión para las empresas que amenacen de forma grave la prestación continua y eficiente de un servicio, los cuales estarán basados en los indicadores de prestación y de información derivada de la vigilancia e inspección efectuadas a las mismas, cuyo incumplimiento podrá ser sancionado;
Que la Comisión de Regulación de Agua Potable y Saneamiento Básico (CRA) en ejercicio de sus facultades expidió la Resolución CRA 781 de 2016, “Por la cual se determinan los indicadores de eficiencia y criterios cuyo incumplimiento dará lugar a que la Comisión de Regulación de Agua Potable y Saneamiento Básico (CRA) ordene a los municipios la entrega de la prestación del servicio a un tercero, en el marco de lo establecido en el numeral 15 del artículo 73 de la Ley 142 de 1994”, cuyos artículos 4o y 6o deben armonizarse con las nuevas disposiciones contenidas en el presente acto administrativo;
Que de conformidad con el numeral 1 del artículo 15 de la Ley 689 de 2001, la Superintendencia de Servicios Públicos Domiciliarios elaborará el Formato Único de Información que sirva de base para alimentar el Sistema Único de Información, para lo cual tendrá en cuenta los criterios, características, indicadores y modelos de carácter obligatorio que permitan evaluar la gestión y resultados de los prestadores de servicios públicos sujetos al control, inspección y vigilancia de dicha entidad, que definan las Comisiones de Regulación conforme a lo establecido en el artículo 52 de la Ley 142 de 1994;
Que la Comisión de Regulación de Agua Potable y Saneamiento Básico (CRA), expidió la Resolución CRA 12 de 1995, por la cual estableció criterios, indicadores, características y modelos de la evaluación de gestión y resultados de las personas prestadoras de los servicios públicos de acueducto, alcantarillado y aseo;
Que mediante la Resolución CRA 05 de 1996, la Comisión de Regulación de Agua Potable y Saneamiento Básico (CRA) estableció la metodología para la evaluación de la viabilidad empresarial de las empresas que estaban prestando servicios públicos domiciliarios de acueducto y saneamiento básico a la entrada en vigencia de la Ley 142 de 1994, conforme lo previó el artículo 181 de dicha normativa;
Que la Resolución CRA 18 de 1996, señaló los criterios para la aprobación de los Planes de Gestión y Resultados (PGR) de las entidades prestadoras de los servicios públicos domiciliarios de acueducto, alcantarillado y aseo;
Que la Comisión de Regulación de Agua Potable y Saneamiento Básico (CRA) expidió la Resolución CRA 16 de 1997, a través de la cual estableció los criterios para la evaluación del cumplimiento del primer Plan de Gestión y Resultados (PGR) de las personas prestadoras de los servicios públicos de acueducto, alcantarillado y aseo;
Que la Resolución CRA 17 de 1997, consagró las condiciones para la presentación de la primera actualización de los PGR de las personas prestadoras de los servicios de acueducto, alcantarillado y aseo;
Que la Comisión de Regulación de Agua Potable y Saneamiento Básico (CRA) expidió la Resolución CRA 54 de 1998, por la cual adiciona el parágrafo único del artículo 7o de la Resolución CRA 12 de 1995 y los artículos 2o y 3o de la Resolución CRA 17 de 1997 en materia de actualización del PGR para los prestadores de acueducto, alcantarillado y aseo;
Que la Resolución CRA 60 de 1998, señaló las condiciones para la presentación y actualización de los PGR del año 1998;
Que se expidió la Resolución CRA 74 de 1999, mediante la cual se establecieron las condiciones para la presentación y actualización de los PGR del año 1999;
Que la Sección 1.3.6 de la Resolución CRA 151 de 2001, establece el balance en los mecanismos de control de gestión y resultados;
Que la Comisión de Regulación de Agua Potable y Saneamiento Básico (CRA), dispuso en la Resolución CRA 201 de 2001, las condiciones para la elaboración, actualización y evaluación de los Planes de Gestión y Resultados (PGR), excluyendo el requisito de aprobación de los PGR por parte del entonces Ministerio de Desarrollo Económico, en cumplimiento a lo previsto en la Ley 142 de 1994 modificada por la Ley 689 de 2001;
Que la Comisión de Regulación de Agua Potable y Saneamiento Básico (CRA), en la Resolución CRA 315 de 2005, determinó las metodologías para clasificar las personas de acueducto, alcantarillado y aseo de acuerdo con un nivel de riesgo, teniendo en cuenta indicadores financieros y operativos;
Que la Resolución CRA 361 de 2006, modificó la Resolución CRA 315 de 2005, en lo relacionado con la combinación de niveles de riesgo para establecer el Indicador Financiero Agregado (IFA);
Que la Resolución CRA 457 de 2008 modificó el artículo 2.1.1.4 de la Resolución CRA 151 de 2001, relacionado con la verificación de la condición metrológica de los medidores, consagrando la obligación de los prestadores del servicio de acueducto de definir las acciones y su periodicidad para verificar el adecuado funcionamiento de los medidores;
Que mediante la Resolución CRA 473 de 2008, se modificó la Resolución CRA 315 de 2005 y se dispuso que la clasificación del nivel de riesgo de los prestadores de servicios públicos se calcularía únicamente con base en el indicador agregado IFA, esto para la aplicación del nivel de riesgo del primero al cuarto año;
Que la Resolución CRA 688 de 2014, establece el marco tarifario de acueducto y alcantarillado para las personas prestadoras de los servicios públicos domiciliarios de acueducto y alcantarillado con más de 5.000 suscriptores en el área urbana;
Que de conformidad con el parágrafo 1 del artículo 9o de la Resolución CRA 688 de 2014 “las metas establecidas en el presente artículo tendrán un carácter integral con la tarifa y harán parte de los indicadores que se definirán para evaluar la gestión y resultados de las personas prestadoras, así mismo para clasificarlas de acuerdo con el nivel de riesgo”;
Que la Resolución CRA 825 de 2017, estableció la metodología tarifaria para las personas prestadoras de los servicios públicos domiciliarios de acueducto y/o alcantarillado que atiendan hasta 5.000 suscriptores en el área urbana y aquellas que presten el servicio en el área rural independientemente del número de suscriptores que atiendan;
Que el Decreto 1898 de 2016, adicionó el Decreto 1077 de 2015, en lo referente a esquemas diferenciales para la prestación de los servicios de acueducto, alcantarillado y aseo en zonas rurales, indicando que los prestadores en este esquema, deberán formular un plan de gestión que deberá ajustarse a los contenidos, exigencias y plazos que para tal efecto defina el Ministerio de Vivienda, Ciudad y Territorio;
Que la Resolución CRA 825 de 2017, fue modificada y adicionada por la Resolución CRA 844 de 2018, con el fin de integrar los esquemas diferenciales de prestación de los servicios públicos domiciliarios de acueducto y/o alcantarillado en zonas rurales, en aplicación del Decreto 1077 de 2015, adicionado por el Decreto 1898 de 2016;
Que el Decreto 1272 de 2017 adicionó el Decreto 1077 de 2015, en lo referente a esquemas diferenciales urbanos para la prestación de los servicios de acueducto, alcantarillado y aseo en zonas de difícil acceso, áreas de difícil gestión y áreas de prestación en las cuales por condiciones particulares no puedan alcanzarse los estándares de eficiencia, cobertura y calidad establecidos en la ley, y estableció que los prestadores en estos esquemas, deberán establecer un plan de gestión en donde se definan las metas, indicadores, plazos, objetivos, acciones y fuentes de financiación para el cumplimiento de las condiciones diferenciales;
Que la Comisión de Regulación de Agua Potable y Saneamiento Básico (CRA), elaboró un diagnóstico de la aplicación de las herramientas para la evaluación de la gestión y resultados, así como la clasificación del nivel de riesgo de las personas prestadoras de los servicios públicos domiciliarios de acueducto y/o alcantarillado, evidenciando la necesidad de contar con un indicador único sectorial que permitan medir cuantitativamente el nivel de desempeño de las personas prestadoras frente a un conjunto de dimensiones estrechamente relacionadas con los objetivos y metas de las políticas públicas del sector y, consigo, clasificar el nivel de riesgo de las personas prestadoras y fortalecer la planeación, gestión, seguimiento y control.
Que, con base en lo anterior, es necesario fortalecer los instrumentos dinámicos para el control de la gestión y resultados de las personas prestadoras de los servicios públicos domiciliarios de acueducto y alcantarillado, para que sean: i) eficaces para la previsión del nivel de riesgo en la prestación del servicio, y ii) arrojen señales claras de mercado y de política pública para promover un mejoramiento en la prestación de los servicios; todo ello, a través de una sinergia real entre los criterios, metodologías, indicadores, parámetros y modelos que permitan la evaluación dinámica de la gestión y resultados de las personas prestadoras;
Que, en mérito de lo expuesto,
RESUELVE:
ASPECTOS GENERALES.
ARTÍCULO 1o. ÁMBITO DE APLICACIÓN. La presente resolución aplica a todas las personas prestadoras de los servicios públicos domiciliarios de acueducto y/o alcantarillado en el territorio nacional.
ARTÍCULO 2o. OBJETO. La presente resolución tiene por objeto definir los criterios, metodologías, indicadores, parámetros y modelos de carácter obligatorio, para evaluar la gestión y resultados de las personas prestadoras de los servicios públicos domiciliarios de acueducto y/o alcantarillado, y establecer la metodología para clasificarlas de acuerdo con el nivel de riesgo, características y condiciones, con el propósito de determinar cuáles de ellas requieren de una inspección y vigilancia especial o detallada por parte de la Superintendencia de Servicios Públicos Domiciliarios.
PARÁGRAFO. Los anexos a los que hace referencia la presente resolución, hacen parte integral de la misma.
ARTÍCULO 3o. DEFINICIONES. Para la aplicación de la presente resolución se tendrán en cuenta las siguientes definiciones:
Año tarifario: corresponde al periodo comprendido entre el primero (1) de julio y el treinta (30) de junio del año siguiente.
Año fiscal: corresponde al periodo comprendido entre el primero (1) de enero y el treinta y uno (31) de diciembre del año.
Dimensión: corresponde a cada uno de los aspectos que serán evaluados en la clasificación del nivel de riesgo del prestador, estará compuesta por subdimensiones y por indicadores. Tiene un ponderador en la calificación del Indicador Único Sectorial (IUS).
Indicador: relación numérica entre variables relevantes, relacionadas con la prestación de los servicios de acueducto y/o alcantarillado.
Periodo de evaluación: corresponde a un (1) año, cuyo vencimiento se determinará según lo definido en la ficha de cada uno de los indicadores, con base en el cual se realiza la evaluación y clasificación del nivel de riesgo.
Ponderador: valor que representa la importancia porcentual de una dimensión, subdimensión y/o indicador, dentro del Indicador Único Sectorial (IUS).
Subdimensión: corresponde a cada uno de los aspectos específicos de evaluación incluidos dentro de cada dimensión.
ARTÍCULO 4o. EVALUACIÓN Y SEGUIMIENTO. La Superintendencia de Servicios Públicos Domiciliarios evaluará la gestión de las personas prestadoras de los servicios públicos de acueducto y/o alcantarillado, con base en el resultado del Indicador Único Sectorial (IUS) previsto en la presente resolución; clasificará a los prestadores en un nivel de riesgo; publicará sus evaluaciones y proporcionará información disponible para realizar evaluaciones independientes.
La Superintendencia de Servicios Públicos Domiciliarios podrá imponer a las personas prestadoras, programas de gestión cuando amenacen de forma grave la prestación continua y eficiente de los servicios públicos domiciliarios de acueducto y/o alcantarillado, los cuales se ajustarán, como mínimo, a los indicadores y metas a los que hace referencia la presente resolución, y harán parte integral del Plan de Gestión y Resultados (PGR).
ARTÍCULO 5o. RESPONSABILIDADES DE LAS PERSONAS PRESTADORAS. Las personas prestadoras de los servicios públicos domiciliarios de acueducto y/o alcantarillado están obligadas a reportar la información necesaria para su clasificación en el nivel de riesgo, y presentar, actualizar y ejecutar un Plan de Gestión y Resultados (PGR) en los términos de la presente resolución.
PARÁGRAFO. Las personas prestadoras deberán actualizar su Plan de Gestión y Resultados (PGR) y realizar los ajustes necesarios para asegurar el cumplimiento del mismo en las condiciones que establece la presente resolución. Estas modificaciones deberán ser reportadas al Sistema Único de Información (SUI), con la periodicidad y en las condiciones que establezca la Superintendencia de Servicios Públicos Domiciliarios.
CLASIFICACIÓN DEL NIVEL DE RIESGO.
NIVEL DE RIESGO.
ARTÍCULO 6o. CLASIFICACIÓN DEL NIVEL DE RIESGO. La clasificación del nivel de riesgo de las personas prestadoras de los servicios públicos domiciliarios de acueducto y/o alcantarillado por Área de Prestación del Servicio (APS), se realizará a partir del resultado del Indicador Único Sectorial (IUS), obtenido para el periodo de evaluación. Los niveles de riesgo se clasificarán de la siguiente forma:

INDICADOR ÚNICO SECTORIAL (IUS).
ARTÍCULO 7o. INDICADOR ÚNICO SECTORIAL (IUS). Es el instrumento que determina el nivel de riesgo de las personas prestadoras de los servicios públicos domiciliarios de acueducto y/o alcantarillado, el cual será calculado para la vigencia fiscal, y publicado anualmente por la Superintendencia de Servicios Públicos Domiciliarios.
ARTÍCULO 8o. DIMENSIONES DEL INDICADOR ÚNICO SECTORIAL (IUS). El Indicador Único Sectorial (IUS) estará conformado por ocho (8) dimensiones. A su vez, cada una de las dimensiones contendrá un conjunto de subdimensiones que permiten identificar el nivel de riesgo de las personas prestadoras de los servicios públicos domiciliarios de acueducto y/o alcantarillado.
Las dimensiones y subdimensiones del IUS son las siguientes


ARTÍCULO 9o. SEGMENTACIÓN. Para efectos de la estimación del Indicador Único Sectorial (IUS), se deberá aplicar la siguiente segmentación para las personas prestadoras de los servicios públicos domiciliarios de acueducto y/o alcantarillado:
i. Grandes Prestadores: corresponde a las personas prestadoras que atiendan más de 5.000 suscriptores en área urbana a 31 de diciembre de 2013.
ii. Pequeños Prestadores: corresponde a las personas prestadoras que a 31 de diciembre de 2013 cumplan con alguna de las siguientes condiciones:
- Atiendan en sus APS hasta 5.000 suscriptores en el área urbana, independientemente de los suscriptores que atiendan en el área rural;
- Atiendan en más de un municipio y/o distrito mediante un mismo sistema interconectado, hasta 5.000 suscriptores en el área urbana, independientemente de los suscriptores que atiendan en el área rural;
- Atiendan en APS exclusivamente en el área rural, independientemente del número de suscriptores.
ARTÍCULO 10. INDICADORES DEL IUS. Para cada una de las subdimensiones, se establecen indicadores que determinan el nivel de riesgo de la persona prestadora, los cuales se deben aplicar de acuerdo con el segmento al que pertenece cada prestador y el(los) servicio(s) público(s) domiciliario(s) que preste. En el ANEXO 2 de la presente resolución, se definen los indicadores aplicables para cada caso, y el ANEXO 4 contiene las fichas técnicas de cada uno de los indicadores del IUS.
ARTÍCULO 11. PONDERADORES. Cada dimensión, Subdimensión e indicador, tiene un ponderador que identifica un valor, el cual representa la importancia porcentual sobre el Indicador Único Sectorial (IUS). La sumatoria de los ponderadores de las dimensiones es de 100%. Dentro de cada dimensión, la sumatoria de los ponderadores de las subdimensiones incluidas en este, corresponde al 100%; y lo mismo aplica para los ponderadores de los indicadores de cada Subdimensión.
En el ANEXO 3 de la presente resolución, se definen los ponderadores de las dimensiones, subdimensiones e indicadores para cada segmentación según el(los) servicio(s) público(s) domiciliario(s) prestado(s).
ARTÍCULO 12. METODOLOGÍA DE CÁLCULO DEL INDICADOR ÚNICO SECTORIAL (IUS). Este será calculado por cada Área de Prestación del Servicio (APS) de conformidad con la metodología de cálculo del Indicador Único Sectorial (IUS) que se establece en el ANEXO 1 de la presente resolución.
Lo anterior, con excepción de aquellas personas prestadoras respecto de las cuales se hubiere declarado un mercado regional, en los términos previstos en la Resolución CRA 821 de 2017 o aquella que la modifique, aclare, adicione o sustituya, en cuyo caso se calculará un Indicador Único Sectorial (IUS) agregado para todas las APS atendidas por el mismo prestador. Para lo cual, se deberá considerar que:
i) El puntaje se calculará de acuerdo con la siguiente fórmula:

Donde:
i: indicadores del IUS.
ap: APS atendida por el prestador. Donde ap= {1, 2, 3, …, z}
NSap: promedio mensual de suscriptores del servicio público domiciliario de acueducto y/o alcantarillado del área de prestación durante el periodo de evaluación. Para el cálculo de este promedio se considera únicamente el número de meses del periodo de evaluación en el que se prestó el servicio.
RIi,a,p: resultado obtenido por el indicador i para el APS ap.
ii) Se exceptúan de la anterior fórmula, los indicadores pertenecientes a las dimensiones: GE. Eficiencia en la Gestión Empresarial (aplica para indicadores GE.1.1 y GE.3.1), SF. Sostenibilidad Financiera (aplica para todos sus indicadores) y GYT. Gobierno y Transparencia (aplica para los indicadores GYT.1.1, GYT.1.2 y GYT.2.1), cuyo cálculo se realizará con base en la información consolidada del prestador, para el mercado regional declarado.
SEGUIMIENTO Y EVALUACIÓN DEL INDICADOR ÚNICO SECTORIAL (IUS).
ARTÍCULO 13. PERIODICIDAD DE LA EVALUACIÓN DEL NIVEL DE RIESGO. La Superintendencia de Servicios Públicos Domiciliarios, evaluará y clasificará el nivel de riesgo de cada prestador correspondiente al periodo de evaluación inmediatamente anterior y publicará, anualmente, antes del 30 de mayo de cada año, los resultados de dicha evaluación a nivel de dimensiones, subdimensiones e indicadores que conforman el Indicador Único Sectorial (IUS).
PARÁGRAFO. Para la evaluación y clasificación del nivel de riesgo de cada prestador a publicar en la vigencia 2019, se empleará información del año fiscal 2018.
ARTÍCULO 14. ACCIONES DERIVADAS DE LA EVALUACIÓN DEL NIVEL DE RIESGO. Con base en el nivel de riesgo obtenido por el prestador, la Superintendencia de Servicios Públicos Domiciliarios podrá definir acciones de vigilancia y control que considere pertinentes, así como determinar las personas prestadoras que requieren de una inspección y vigilancia especial o detallada, acordar las acciones de mejora e imponer los programas de gestión que garanticen el mejoramiento del resultado del Indicador Único Sectorial (IUS).
PARÁGRAFO. Teniendo en cuenta que el Indicador Único Sectorial (IUS) está orientado a un mejoramiento continuo en la prestación del servicio, la evaluación y clasificación anual del nivel de riesgo generará la actualización del Plan de Gestión y Resultados (PGR), incluyendo las respectivas acciones de mejora.
DEL PLAN DE GESTIÓN Y RESULTADOS (PGR).
HERRAMIENTAS PARA EL CONTROL Y LA GESTIÓN DE RESULTADOS.
ARTÍCULO 15. ARTICULACIÓN DE LAS HERRAMIENTAS PARA EL CONTROL DE LA GESTIÓN DE RESULTADOS. El Indicador Único Sectorial (IUS), es la herramienta principal para definir los indicadores y metas que deben contener los siguientes planes y programas señalados en la Ley 142 de 1994:
i. Planes de Gestión y Resultados de corto, mediano y largo plazo que debe elaborar y actualizar anualmente la persona prestadora.
ii. Programas de gestión que la Superintendencia de Servicios Públicos Domiciliarios imponga a los prestadores de servicios públicos domiciliarios de acueducto y/o alcantarillado en ejercicio de las facultades establecidas en el numeral 79.11 de la Ley 142 de 1994.
iii. Planes de recuperación a los que hace referencia el numeral 36.6 del artículo 36 de la Ley 142 de 1994.
iv. Planes y programas para resolver deficiencias en la prestación de los servicios públicos domiciliarios de acueducto y/o alcantarillado previstos en el numeral 63.1 del artículo 63 de la Ley 142 de 1994.
v. Planes de gestión para esquemas diferenciales urbanos y rurales previstos en el Decreto 1077 de 2015.
ARTÍCULO 16. PLAN DE GESTIÓN Y RESULTADOS (PGR). Es un instrumento de planificación desarrollado por el prestador, el cual deberá evaluarse y actualizarse anualmente, teniendo como base lo previsto en la presente resolución y aquellos elementos a los cuales el prestador se compromete a cumplir en cada una de sus APS, dentro del horizonte de planificación al que hace referencia el siguiente artículo, con el fin de lograr objetivos de corto, mediano y largo plazo. Por lo anterior, el prestador desarrollará un único Plan de Gestión y Resultados (PGR), el cual incluirá la totalidad de sus APS.
ARTÍCULO 17. HORIZONTE DE PLANIFICACIÓN. El Plan de Gestión y Resultados (PGR) deberá contemplar la planeación del prestador del servicio de acueducto y/o alcantarillado, para el corto, mediano y largo plazo. Se entiende por corto plazo 5 años, mediano plazo 10 años, y largo plazo 25 años, contados a partir del año fiscal correspondiente al primer periodo de evaluación.
PARÁGRAFO. En el caso de mercados regionales declarados, el horizonte de planificación antes definido deberá ajustarse al plazo de duración de dicho mercado.
ARTÍCULO 18. PLAN DE RECUPERACIÓN. De conformidad con lo establecido en el numeral 36.6 del artículo 36, de la Ley 142 de 1994, cuando una persona prestadora incumpla con los indicadores de gestión deberá elaborar un plan de recuperación. Se entenderá que las personas prestadoras de los servicios públicos domiciliarios de acueducto y/o alcantarillado incumplen los indicadores de gestión, cuando obtengan un resultado del Indicador Único Sectorial (IUS) igual o inferior a 60, de acuerdo a lo establecido en el artículo 6o de la presente resolución.
El plan de recuperación incluirá todos los indicadores que componen el IUS y demás aspectos del PGR previstos en la presente resolución.
ESTRUCTURA DEL PLAN DE GESTIÓN Y RESULTADOS (PGR).
ARTÍCULO 19. ESTRUCTURA DEL PLAN DE GESTIÓN Y RESULTADOS (PGR). Este plan deberá contener, como mínimo, lo siguiente:
i. Tablero de planeación, el cual deberá incluir la planificación estratégica de la persona prestadora a corto, mediano y largo plazo, acorde con lo establecido en el artículo 20 de la presente resolución.
ii. Tablero de acciones de mejora, el cual deberá contener las metas cuantificables sobre las acciones de mejora frente al resultado de los indicadores, conforme a lo previsto en el artículo 21 de la presente resolución.
PARÁGRAFO. El primer Plan de Gestión y Resultados (PGR) estará conformado únicamente por el “Tablero de Planeación”.
ARTÍCULO 20. TABLERO DE PLANEACIÓN. Este tablero deberá consignar las metas trazadas por la persona prestadora para los indicadores del Indicador Único Sectorial (IUS), durante el horizonte de planeación del Plan de Gestión y Resultados (PGR). En el ANEXO 5 de la presente resolución se incluye el Tablero de Planeación que deben desarrollar las personas prestadoras de acuerdo con el segmento al que pertenezcan de conformidad con lo establecido en el artículo 9o de la presente resolución.
ARTÍCULO 21. TABLERO DE ACCIONES DE MEJORA. El prestador deberá definir las acciones de mejora que considere necesarias, para el corto plazo (5 años), garantizando en todo caso el cumplimiento de las metas de los indicadores del IUS, para lo cual podrá utilizar la guía contenida en el ANEXO 7 de la presente resolución.
Cuando la persona prestadora se encuentre clasificada en los niveles de riesgo medio alto y alto, deberá:
i. Riesgo medio alto: establecer en su Plan de Gestión y Resultados (PGR), para el corto plazo (5 años), mínimo una (1) acción de mejora, que garantice el cumplimiento de las metas de cada uno de los indicadores del IUS, cuya calificación sea menor o igual a 60 puntos. Para ello, deberá reportar a la Superintendencia de Servicios Públicos Domiciliarios el PGR actualizado para el respectivo seguimiento y control.
ii. Riesgo alto: establecer en su Plan de Gestión y Resultados (PGR), para el corto plazo (5 años), mínimo dos (2) acciones de mejora, que garantice el cumplimiento de las metas de cada uno de los indicadores del IUS, cuya calificación sea menor o igual a 30 puntos. Para ello, deberá reportar a la Superintendencia de Servicios Públicos Domiciliarios el PGR actualizado para el respectivo seguimiento y control.
REPORTE DEL PRIMER PLAN DE GESTIÓN Y RESULTADOS (PGR).
ARTÍCULO 22. REPORTE DEL PRIMER PLAN DE GESTIÓN Y RESULTADOS (PGR). Las personas prestadoras deberán reportar el primer Plan de Gestión y Resultados (PGR) de acuerdo con la estructura establecida en el artículo 19 de la presente resolución, y en los formatos definidos por la Superintendencia de Servicios Públicos Domiciliarios para tal fin. Los soportes de la elaboración del Plan de Gestión y Resultados (PGR), deben estar a disposición de la Comisión de Regulación de Agua Potable y Saneamiento Básico y de la Superintendencia de Servicios Públicos Domiciliarios para el ejercicio de sus funciones.
PARÁGRAFO 1o. El PGR debe contar con la aprobación de la entidad tarifaria local y ser suscrito por el Representante Legal de la persona prestadora. El acto de aprobación deber reportarse a la Superintendencia de Servicios Públicos Domiciliarios, en las condiciones que dicha entidad establezca.
PARÁGRAFO 2o. En el evento en que para el cumplimiento de las metas del Plan de Gestión y Resultados (PGR), las personas prestadoras hayan asumido compromisos con otras autoridades, se deberán incluir como anexos los documentos que acrediten tales compromisos.
ARTÍCULO 23. PLAZO DE PRESENTACIÓN. Las personas prestadoras deberán reportar el primer Plan de Gestión y Resultados (PGR) en el Sistema Único de Información (SUI) de la Superintendencia de Servicios Públicos Domiciliarios (SSPD) en un plazo máximo de tres (3) meses contados a partir de la entrada en vigencia de los indicadores a los que hace referencia la presente resolución.
REPORTE DE LA ACTUALIZACIÓN DEL PLAN DE GESTIÓN Y RESULTADOS (PGR).
ARTÍCULO 24. REPORTE DE LA ACTUALIZACIÓN DEL PLAN DE GESTIÓN Y RESULTADOS (PGR). Acorde con lo establecido en el parágrafo del artículo 52 de la Ley 142 de 1994, la persona prestadora deberá actualizar anualmente el Plan de Gestión y Resultados (PGR) y reportarlo a la Superintendencia de Servicios Públicos Domiciliarios (SSPD), en los plazos que esta establezca, de conformidad con la estructura establecida en el artículo 19 de la presente resolución.
La actualización del PGR no tendrá efecto sobre IUS calculado y publicado por la Superintendencia de Servicios Públicos Domiciliarios (SSPD) para el periodo d evaluación anterior.
PARÁGRAFO. La actualización del PGR debe contar, anualmente, con la aprobación de la entidad tarifaria local, y deberá ser suscrita por el Representante Legal de la persona prestadora. El acto de aprobación deberá reportarse a la Superintendencia de Servicios Públicos Domiciliarios, en las condiciones que dicha entidad establezca.
EVALUACIÓN DEL PLAN DE GESTIÓN Y RESULTADOS (PGR).
ARTÍCULO 25. AUTOEVALUACIÓN DEL PLAN DE GESTIÓN Y RESULTADOS (PGR). Con base en los puntajes de los indicadores que componen el IUS, así como el cumplimiento de las acciones de mejora establecidas por la persona prestadora en la actualización anual del PGR, el prestador deberá elaborar los siguientes instrumentos de autoevaluación:
i. Tablero de control de la planeación, la evaluación identificará los resultados del prestador frente al conjunto de indicadores que conforman el tablero de planeación, acorde con lo establecido en el ANEXO 6 de la presente resolución.
ii. Tablero de control de las acciones de mejora, la evaluación verificará el cumplimiento de las acciones de mejora, conforme con lo establecido en el ANEXO 9 de la presente resolución.
ARTÍCULO 26. EVALUACIÓN DEL PLAN DE GESTIÓN Y RESULTADOS (PGR). La evaluación del PGR se realizará por cada APS y representará el 40% del puntaje asociado a la dimensión “GYT. Gobierno y Transparencia”. De esta forma, su cumplimiento tendrá un efecto en la calificación del Indicador Único Sectorial (IUS).
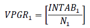
Para el primer año, la evaluación del PGR por APS se realizará así:

Donde:
VPGR1: Valor del PGR dentro de la subdimensión GYT.3 Desarrollo Estratégico” de la dimensión de “GYT. Gobierno y Transparencia” del prestador para el primer periodo de evaluación (1).
INTAB1: Número de indicadores del tablero de planeación con reporte de metas del prestador, para el primer periodo de evaluación (1).
N1: Número total de indicadores del prestador para el primer periodo de evaluación ().
- Para los siguientes años, la evaluación del PGR por APS se realizará considerando el cumplimiento de las acciones de mejora y de los indicadores a evaluar de la siguiente forma:

Donde:
VPGRt: Valor del PGR dentro de la subdimensión “GYT.3 Desarrollo Estratégico” de la dimensión de “GYT. Gobierno y Transparencia” del prestador para el periodo de evaluación t.
AMt: Número de acciones cumplidas del tablero de control de acciones de mejora, en el periodo en evaluación t.
NAt–1: Número total de acciones establecidas en el tablero de acciones de mejora, para el periodo de evaluación anterior (t – 1).
ICt: Número de indicadores que cumplen con la meta propuesta en el tablero de control de planeación, en el periodo de evaluación t.
Nt–1: Número total de indicadores establecidos en el tablero de control de planeación para el periodo de evaluación t, donde t = {2, …, 25}.
PARÁGRAFO. Cuando la persona prestadora no reporte el primer Plan de Gestión y Resultados (PGR) dentro del plazo previsto en la presente resolución, o no realice su actualización anualmente y omita reportarlo dentro de los plazos que señale para el efecto la Superintendencia de Servicios Públicos Domiciliarios, dicha entidad calificará con un puntaje de cero (0), toda la dimensión “GYT. Gobierno y Transparencia”.
ARTÍCULO 27. INFORMES DE SEGUIMIENTO DE LAS AUDITORÍAS EXTERNAS DE GESTIÓN Y RESULTADOS. Las Auditorías Externas de Gestión y Resultados, en cumplimiento de lo previsto en la Ley 142 de 1994, deberán informar a la Superintendencia de Servicios Públicos Domiciliarios, con la periodicidad y en las condiciones que esta establezca, los resultados de la evaluación del cumplimiento del Indicador Único Sectorial (IUS) al que hace referencia la presente
resolución y del Plan de Gestión y Resultados (PGR).
PARÁGRAFO. Para aquellas personas prestadoras que no están obligadas a contratar Auditorías Externas de Gestión y Resultados, la Superintendencia de Servicios Públicos Domiciliarios determinará la forma de hacer seguimiento y control a los resultados de la evaluación del Indicador Único Sectorial (IUS) al que hace referencia la presente resolución y del Plan de Gestión y Resultados (PGR).
DISPOSICIONES FINALES.
ARTÍCULO 28. MODIFICACIÓN DEL ARTÍCULO 4o DE LA RESOLUCIÓN CRA 12 DE 1995. El artículo 4o de la Resolución CRA 12 de 1995 quedará así:
“Artículo 4o. Ámbito de Aplicación. La presente resolución rige para todas personas prestadoras del servicio público de aseo en el territorio nacional”.
ARTÍCULO 29. MODIFICACIÓN DEL ARTÍCULO 1o DE LA RESOLUCIÓN CRA 18 DE 1996. El artículo 1o de la Resolución CRA 18 de 1996 quedará así:
“Artículo 1o. Ámbito de aplicación. La presente Resolución rige para todas personas prestadoras del servicio público de aseo en el territorio nacional”.
ARTÍCULO 30. MODIFICACIÓN DEL ARTÍCULO 1o DE LA RESOLUCIÓN CRA 16 DE 1997. El artículo 1o de la Resolución CRA 16 de 1997 quedará así:
“Artículo 1o. Ámbito de Aplicación. La presente resolución rige para todas personas prestadoras del servicio público de aseo en el territorio nacional”.
ARTÍCULO 31. MODIFICACIÓN DEL ARTÍCULO 4o DE LA RESOLUCIÓN CRA 201 DE 2001. El artículo 4o de la Resolución CRA 201 de 2001 quedará así:
“Artículo 4o. La presente resolución rige para todas personas prestadoras del servicio público de aseo en el territorio nacional.
Las personas prestadoras del servicio público de aseo deben elaborar o actualizar anualmente el Plan de Gestión y Resultados, durante los primeros tres meses del año, con el siguiente contenido:
a) Información de la persona prestadora: identificación, nombre representante legal, dirección, teléfono, etc.;
b) Área geográfica de atención;
c) Situación del servicio prestado y compromisos para su mejoramiento;
d) Número de suscriptores, número de empleados;
e) Estado de cumplimiento de las obligaciones institucionales establecidas en el marco de la Ley 142 de 1994;
f) Monto total de los ingresos recibidos en los tres años anteriores y presupuestados para el año actual por concepto de tarifas, aportes públicos y de terceros;
g) Monto total de los gastos en el año anterior y presupuestados para el año actual por concepto de administración, operación y mantenimiento, y de inversión en infraestructura y equipos.
PARÁGRAFO. Las personas prestadoras a las que se refiere este artículo, que no cuenten con información histórica o cuando dicha información sea insuficiente, deberán adjuntar al PGR una certificación del representante legal, en la que se haga constar que la entidad no dispone de la información histórica y las razones de ello”.
ARTÍCULO 32. MODIFICACIÓN DEL ARTÍCULO 1o DE LA RESOLUCIÓN CRA 315 DE 2005. El artículo 1o de la Resolución CRA 315 de 2005 quedará así:
“Artículo 1o. Ámbito de Aplicación. La presente resolución rige para todas personas prestadoras del servicio público de aseo en el territorio nacional”.
ARTÍCULO 33. MODIFICACIÓN DEL ARTÍCULO 4o DE LA RESOLUCIÓN CRA 781 DE 2016. El artículo 4o de la Resolución CRA 781 de 2016 quedará así:
“Artículo 4o. Criterios de verificación del cumplimiento de los indicadores de eficiencia. La Comisión de Regulación de Agua Potable y Saneamiento Básico (CRA), considerará que las personas prestadoras han incumplido con los indicadores a los que hace referencia el artículo anterior, cuando el nivel de riesgo calculado por la Superintendencia de Servicios Públicos Domiciliarios (SSPD) de acuerdo con lo definido en la Resolución CRA 315 de 2005 o la que la modifique, derogue o sustituya, sea alto.
El acto administrativo por el cual se clasifique el nivel de riesgo de los prestadores será publicado por la Superintendencia de Servicios Públicos Domiciliarios (SSPD)”.
ARTÍCULO 34. MODIFICACIÓN DEL ARTÍCULO 6o DE LA RESOLUCIÓN CRA 781 DE 2016. El artículo 6o de la Resolución CRA 781 de 2016 quedará así:
“Artículo 6o. Resultado de la verificación. Como resultado de la verificación a la cual se refiere el artículo anterior, la Comisión de Regulación de Agua Potable y Saneamiento Básico (CRA) señalará mediante acto administrativo que será publicado en el Diario Oficial, los prestadores que se encuentran en nivel de riesgo alto y otorgará el término de dos (2) años continuos para que modifiquen su nivel de riesgo, como mínimo, a medio alto. El término señalado empezará a contarse a partir de su publicación. Dicho acto administrativo será igualmente comunicado a cada uno de los prestadores por parte de CRA.
La Superintendencia de Servicios Públicos Domiciliarios (SSPD) deberá informar a la Comisión de Regulación de Agua Potable y Saneamiento Básico (CRA) los prestadores que, encontrándose en nivel de riesgo alto, les hubiese impuesto Programas de Gestión, así como los que llegare a imponer con posterioridad a la emisión del acto administrativo al que se refiere el inciso primero del presente artículo.
Una vez vencido el término de dos (2) años continuos al que se refiere el inciso primero del presente artículo, sin que el prestador hubiese modificado su nivel de riesgo, como mínimo a medio alto, la CRA dará inicio a una actuación administrativa en los términos de la Ley 142 de 1994 y del Código de Procedimiento Administrativo y de lo Contencioso Administrativo, para decidir si se ordena al municipio, emitir el acto de apertura de la Licitación Pública, con el fin de entregar la prestación del servicio a un tercero”.
ARTÍCULO 35. VIGENCIA Y DEROGATORIAS. La presente resolución rige a partir de la fecha de su publicación en el Diario Oficial, y deroga las Resoluciones CRA 60 de 1998 y CRA 74 de 1999 y las demás disposiciones que le sean contrarias.
Publíquese y cúmplase.
Dada en Bogotá, D. C., a los xxxx (xx) días del mes de xxxxxx de 2018.
El Presidente,
José Luis Acero Vergel.
El Director Ejecutivo,
Germán Eduardo Osorio Cifuentes.
ARTÍCULO 2o. INICIAR el proceso de discusión directa con los usuarios, prestadores, gremios y demás agentes del sector e interesados. Para el efecto, establézcase un término de cuarenta y cinco (45) días hábiles, contados a partir de la fecha de publicación de la presente resolución en el Diario Oficial, para recibir las observaciones, reparos o sugerencias.
ARTÍCULO 3o. INVITAR a las personas prestadoras de los servicios públicos domiciliarios de acueducto y/o alcantarillado, a la Superintendencia de Servicios Públicos Domiciliarios, y a todos los interesados en general, para que remitan observaciones, reparos o sugerencias a la propuesta consagrada en el ARTÍCULO PRIMERO de la presente resolución, así como al documento de trabajo, que también se harán públicos en la página web www.cra.gov.co.
ARTÍCULO 4o. Las observaciones, reparos o sugerencias, se recibirán en las instalaciones de la Comisión de Regulación de Agua Potable y Saneamiento Básico, ubicada en la Carrera 12 No. 97-80, Piso 2, Edificio 97 Punto Empresarial, de Bogotá D.C., teléfono 487 38 20, en la línea nacional gratuita 01 8000 517 565, en el correo electrónico correo@cra.gov.co o en el fax 489 76 50.
La Subdirección de Regulación de la Comisión de Regulación de Agua Potable y Saneamiento Básico, recibirá las observaciones, reparos o sugerencias y atenderá las solicitudes de información sobre el proyecto regulatorio.
ARTÍCULO 5o. VIGENCIA. La presente resolución rige a partir de la fecha de su publicación en el Diario Oficial.
PUBLÍQUESE Y CÚMPLASE.
Dada en Bogotá D.C. a los (21) días del mes de diciembre de 2018
El Presidente,
José Luis Acero Vergel.
El Director Ejecutivo,
Germán Eduardo Osorio Cifuentes.
ANEXOS
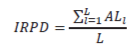
ANEXO 1. METODOLOGÍA DE CÁLCULO DEL INDICADOR ÚNICO SECTORIAL.
1. Recolección de información: se recolectará la información de los prestadores mediante el Sistema Único de Información – SUI, por el medio que para el efecto disponga la Superintendencia de Servicios Públicos Domiciliarios – SSPD; esto teniendo en cuenta que esta entidad es la encargada de calcular anualmente el nivel de riesgo de cada prestador de los servicios públicos domiciliarios de acueducto y/o alcantarillado.
2. Calculo de los indicadores: a partir de la información en el Sistema Único de Información- SUI, se procede con la aplicación de las fórmulas establecidas en el ANEXO 4 de la presente Resolución, las cuales permiten realizar el cálculo para cada uno de los indicadores que componen el Indicador Único Sectorial –IUS de cada APS; salvo los indicadores de las dimensiones: GE. Eficiencia en la Gestión Empresarial (aplica para indicadores GE.1.1 y GE.3.1), SF. Sostenibilidad Financiera (aplica para todos sus indicadores) y GYT. Gobierno y Transparencia (aplica para los indicadores GYT.1.1, GYT.1.2 y GYT.2.1), los cuales se calcularán por prestador y cuyo resultado será aplicado a todas las APS del mismo.
3. Agregación de valores de los indicadores para mercados regionales declarados en aplicación de la Resolución CRA 821 de 2017, o aquella que la modifique, aclare, adicione o sustituya: en este caso, el IUS será único por prestador, consolidando los resultados de los indicadores de todas las APS atendidas por este, en un mercado regional declarado, de la siguiente forma:

Donde:
indicadores del IUS.
APS atendida por el prestador. Donde ap= {1, 2, 3, …, z}
promedio mensual de suscriptores del servicio público domiciliario de acueducto y/o alcantarillado del área de prestación
durante el periodo de evaluación. Para el cálculo de este promedio se considera únicamente el número de meses del periodo de evaluación en el que se prestó el servicio.
resultado obtenido por el indicador i para el APS ap.
Se exceptúan de la anterior fórmula, los indicadores pertenecientes a las dimensiones: GE. Eficiencia en la Gestión Empresarial (aplica para indicadores GE.1.1 y GE.3.1) y SF. Sostenibilidad Financiera (aplica para todos sus indicadores) y GYT. Gobierno y Transparencia (aplica para los indicadores GYT.1.1, GYT.1.2 y GYT.2.1), cuyo cálculo se realizará con base en la información consolidada del prestador.
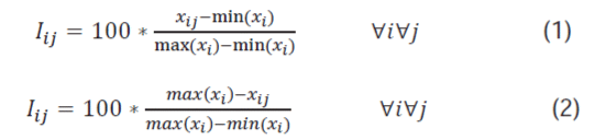
4. Normalización de los indicadores: La normalización se refiere a la aplicación de una regla matemática que permite convertir los resultados de un indicador a una escala de cero (0) a cien (100), en donde cien (100) siempre será el mejor resultado del indicador.
Para realizar el cálculo final del Indicador Único Sectorial -IUS, es necesario aplicar la fórmula presentada a continuación (según le aplique a cada indicador), que cuente con información:

Donde:
valor normalizado entre 0 y 100 del indicador
para el prestador ![]()
valor no normalizado del indicador
para el prestador ![]()
meta del indicador cuando se tiene un estándar regulatorio o valor máximo del indicador
no normalizado dentro de los prestadores que reportaron información.
valor mínimo del indicador
no normalizado cuando se tiene un estándar o valor mínimo del indicador
no normalizado dentro de los prestadores que reportaron información.
La ecuación uno (1) aplica a indicadores de polaridad positiva, cuyo puntaje mejora cuando aumenta el valor del indicador. Mientras que la ecuación dos (2) a los de polaridad negativa, cuyo puntaje aumenta cuando se reduce el valor del indicador.
Dentro de IUS se incluyen indicadores de los cuales no se tiene información disponible que permita definir sus estándares de medición, ni consecuentemente, realizar la normalización para cada uno de ellos, razón por la cual, a partir de la entrada en vigencia del presente acto administrativo serán calificados teniendo en cuenta únicamente el reporte y calidad de la información.
5. Ponderación de indicadores: el resultado de la normalización de cada indicador (numeral 4), debe ser multiplicado por su respectivo ponderador dentro de la sub-dimensión correspondiente. Dichos ponderadores se encuentran en el ANEXO 3 de la presente Resolución.
6. Cálculo del resultado de cada sub-dimensión: conociendo el ponderador de cada sub-dimensión incluidos en el ANEXO 3, se calcula la sumatoria de los valores de los indicadores ponderados (numeral 5) multiplicado por el respectivo ponderador de cada sub-dimensión, obteniéndose así, un valor por subdimensión dentro de cada dimensión.
7. Cálculo del valor de cada dimensión: resultante de la sumatoria de los valores de las sub-dimensiones que componen cada dimensión (numeral 6), multiplicadas por el ponderador de cada dimensión, establecido en el ANEXO 3.
8. Resultado del Indicador Único Sectorial -IUS: el cual corresponde a la sumatoria de los valores obtenidos por cada una de las dimensiones (numeral 7). El valor total del IUS será un número entre 0 y 100, el cual definirá el nivel de riesgo.
ANEXO 2. DIMENSIONES E INDICADORES SEGÚN SEGMENTO.
CUADRO 2-1. DIMENSIONES E INDICADORES DE GESTIÓN Y RESULTADOS PARA GRANDES


Cuadro 2-2. DIMENSIONES E INDICADORES DE GESTIÓN Y RESULTADOS PARA PEQUEÑOS PRESTADORES


ANEXO 3. PONDERADORES DEL INDICADOR ÚNICO SECTORIAL - IUS.
CUADRO 3-1. PONDERADORES PARA GRANDES PRESTADORES QUE ATIENDEN LOS SERVICIOS DE ACUEDUCTO Y ALCANTARILLADO



CUADRO 3-2. PONDERADORES PARA GRANDES PRESTADORES QUE ATIENDEN ÚNICAMENTE EL SERVICIO DE ACUEDUCTO.



CUADRO 3-3. PONDERADORES PARA GRANDES PRESTADORES QUE ATIENDEN ÚNICAMENTE EL SERVICIO DE ALCANTARILLADO




CUADRO 3-4. PONDERADORES PARA PEQUEÑOS PRESTADORES QUE ATIENDEN LOS SERVICIOS DE ACUEDUCTO Y ALCANTARILLADO.



CUADRO 3-5. PONDERADORES PARA PEQUEÑOS PRESTADORES QUE ATIENDEN ÚNICAMENTE EL SERVICIO DE ACUEDUCTO.




CUADRO 3-6. PONDERADORES PARA PEQUEÑOS PRESTADORES QUE ATIENDEN ÚNICAMENTE EL SERVICIO DE ALCANTARILLADO.



Para el caso en el que alguno de los siguientes indicadores no aplique debido a la naturaleza del prestador y/o a las actividades que este presta, el valor del ponderador será redistribuido de forma equitativa entre los demás indicadores que componen la sub-dimensión: EP.1.1. Índice de Ejecución de Inversiones de Acueducto – IIAC, EP.2.1. Índice de Ejecución de Inversiones de Alcantarillado – IIAL, EO.3.1. Consumo energético Acueducto – CEA, EO.3.2. Consumo energético Alcantarillado – CEAL, SA.1.1 Índice de Pérdidas de Agua en la Aducción – IPAA, SA.1.2 Utilización del Recurso Agua – UA, SA.1.3 Reporte de Afectación Hídrica asociada a Fenómenos Climáticos – RAHC y SA.2.3 Gestión de Lodos Resultantes – GLR.
Si no existen más indicadores dentro de la sub-dimensión, para realizar dicha redistribución, el valor del ponderador de esta sub-dimensión se redistribuirá de forma equitativa entre las demás sub-dimensiones que componen la dimensión.
Por otro lado, si no existen más sub-dimensiones dentro de la dimensión para realizar dicha redistribución, el valor del ponderador de esta dimensión se redistribuirá de forma equitativa entre las demás dimensiones que componen el IUS.
ANEXO 4. FICHAS TÉCNICAS DE LOS INDICADORES DEL IUS.
D.1 Calidad del servicio (CS) - Acueducto:
SUB-DIMENSIÓN: CS.1 - CALIDAD DEL AGUA POTABLE
INDICADOR CS.1.1 Índice de Reporte y Calidad de Agua Potable- IRCAP
DEFINICIÓN Refleja si el prestador reporta la información de calidad de agua potable suministrada y si esta es apta para el consumo humano, con base en el promedio de los valores mensuales del Índice de Riesgo de la Calidad del Agua (IRCA).
JUSTIFICACIÓN Este indicador permite evaluar el riesgo en la calidad del agua potable entregada a los usuarios del servicio público domiciliario de acueducto, el cual a su vez, está asociado a problemas de salud pública y a los riesgos estratégico y de cumplimiento del prestador.
FÓRMULA
![]()
Donde:
i: mes del periodo de evaluación en el que se prestó el servicio público domiciliario de acueducto, donde i = {1, 2, 3,..., m}. Si el servicio se prestó durante todo el periodo de evaluación, m corresponderá a 12.
índice de Reporte y Calidad de Agua Potable.
reporte y Calidad de Agua Potable para el mes i, de acuerdo con:
![]()
índice de riesgo de la calidad del agua para consumo humano (IRCA) por persona prestadora del mes i, de acuerdo con los artículos 13 y 14 de la Resolución 2115 de 2007, y el reporte de estos de acuerdo a los artículos 21, y 22 de la misma, o aquella que la modifique, adicione, sustituya o aclare. Este índice corresponde al calculado mensualmente con muestras de control de la red de distribución, por las personas prestadoras en laboratorios autorizados.
FUENTE DE INFORMACIÓN SUI - SIVICAP
FRECUENCIA DE MEDICIÓN IRCA (mensual) - IRCAP (anual) - (año fiscal)
ESTÁNDAR DE MEDICIÓN 100
NORMALIZACIÓN

Referente de Evaluación (Normalizado)
| Segmento | Meta o estándar de Medición | Escala de Medición |
| Todos los prestadores | 100 | 0 a 100 |
SUB-DIMENSIÓN: CS.1 - CALIDAD DEL AGUA POTABLE
INDICADOR CS.1.2 Índice de Riesgo por Abastecimiento de Agua por Parte de la Persona Prestadora – IRABApp
DEFINICIÓN Es el índice que tiene en cuenta los procesos de tratamiento, distribución y continuidad del servicio público domiciliario de acueducto, acorde con lo establecido en la Resolución 2115 de 2007 del Ministerio de la Protección Social y el Ministerio de Ambiente, Vivienda y Desarrollo Territorial; por medio de la cual se señalan características, instrumentos básicos y frecuencias del sistema de control y vigilancia para la calidad del agua para consumo humano.
El valor del IRABApp oscilará entre cero (0) y cien (100) puntos. Es cero (0) cuando cumple con las condiciones aceptables para cada uno de los criterios de tratamiento, distribución y continuidad del servicio, y cien (100) puntos para el más alto riesgo cuando no se cumple ninguno de ellos, lo que se asociaría a riesgo operativo y de cumplimiento por parte del prestador. Este indicador será calculado de forma independiente para cada persona prestadora.
JUSTIFICACIÓN Este indicador permite evaluar el riesgo de la prestación del servicio público domiciliario de acueducto en aspectos asociados a la continuidad y tratamiento, que impactan directamente en la calidad de vida de las personas y en la calidad del servicio.
FÓRMULA
![]()
De acuerdo con lo definido en el artículo 18 de la Resolución 2115 de 2007, o aquella que la modifique, adicione, sustituya o aclare.
En dado caso que no se cuente con la información del indicador, su ponderador será redistribuido de forma equitativa entre los demás indicadores de la sub-dimensión a la cual pertenece, o entre las demás sub-dimensiones en caso de que no existan más indicadores dentro de la sub-dimensión.
FUENTE DE INFORMACIÓN SUI-SIVICAP
FRECUENCIA DE MEDICIÓN Anual (año fiscal)
ESTÁNDAR DE MEDICIÓN Estándares según clasificación del nivel de riesgo a la salud (Artículo 19 de la Resolución 2115 de 2007):
| Clasificación IRABA (%) | Nivel de Riesgo a la salud |
| 70,1 – 100 | Muy Alto |
| 40,1 – 70 | Alto |
| 25,1 – 40 | Medio |
| 10,1 – 25 | Bajo |
| 0 – 10 | Sin riesgo |
NORMALIZACIÓN

Referente de Evaluación (Normalizado)
| Segmento | Meta o estándar de Medición | Escala de Medición |
| Todos los prestadores | 100 | 0 a 100 |
SUB-DIMENSIÓN: CS.2 - DISTRIBUCIÓN DE AGUA PARA USO Y CONSUMO
INDICADOR CS.2.1 Índice de Continuidad – IC
DEFINICIÓN Mide el promedio mensual de número de horas/día de prestación efectiva del servicio público domiciliario de acueducto, sin considerar las horas de suspensión en interés del servicio.
JUSTIFICACIÓN El riesgo de incumplimiento de este indicador, está asociado a la disponibilidad del recurso hídrico por parte de los suscriptores, lo que conlleva a riesgos de cumplimiento, estratégicos y de cumplimiento por parte del prestador.
FÓRMULA

Donde:
i: mes del periodo de evaluación en el que se prestó el servicio público domiciliario de acueducto, donde i = {1, 2, 3,..., m}. Si el servicio se prestó durante todo el periodo de evaluación, m corresponderá a 12.
índice de continuidad del mes i, de acuerdo con:

Donde:
sector en el cual se presta el servicio, donde j = {1, 2, 3,..., k}.
número de horas prestadas en el sector j en el mes i.
población servida del sector j en el mes i.
número de horas totales del mes i, calculado como 24 horas por el número de días del mes i.
población total servida por la persona prestadora en el mes i.
FUENTE DE INFORMACIÓN SUI
FRECUENCIA DE MEDICIÓN Anual (año fiscal)
ESTÁNDAR DE MEDICIÓN Estándares según el puntaje para el índice de continuidad de la persona prestadora (cuadro 9 del Artículo 18 de la Resolución 2115 de 2007):
| Continuidad del servicio IC | Nivel de Riesgo |
| 0 - 10 horas/ día | Insuficiente |
| 10,1 – 18 horas/día | No Satisfactorio |
| 18,1 – 23 horas/día | Suficiente |
| 23,1 – 24 horas/día | Continuo |
NORMALIZACIÓN

Referente de Evaluación (Normalizado)
| Segmento | Meta o estándar de Medición | Escala de Medición |
| Todas los prestadores | 100 | 0 a 100 |
SUB-DIMENSIÓN: CS.3 - ATENCIÓN AL USUARIO
INDICADOR CS.3.1 Índice de Atención en Reclamaciones Acueducto- IARA
DEFINICIÓN Mide la proporción de solicitudes y/o reclamaciones, tanto operativas como comerciales, no atendidas dentro de los 15 días hábiles. contados a partir de la fecha de la presentación de dicha solicitud o reclamación, para el servicio de acueducto, respecto al número total de solicitudes recibidas para dicho servicio.
JUSTIFICACIÓN Indica la efectividad con la que el prestador resuelve las solicitudes y/o reclamaciones tanto operativas como comerciales de los suscriptores, las cuales pueden afectar la eficiencia de la prestación de servicio de acueducto y están asociadas a riesgos de cumplimiento y de imagen del prestador.
FÓRMULA
![]()
Donde:
Índice de Atención en Reclamaciones Acueducto.
número de solicitudes del servicio público domiciliario de acueducto, no atendidas dentro de los 15 días hábiles según lo estipulado en la normatividad vigente.
número de solicitudes totales del servicio público domiciliario de acueducto recibidas en el año.
FUENTE DE INFORMACIÓN SUI
FRECUENCIA DE MEDICIÓN Anual (Año Fiscal)
ESTÁNDAR DE MEDICIÓN 0%
NORMALIZACIÓN

Referente de Evaluación (Normalizado)
| Segmento | Meta o estándar de Medición | Escala de Medición |
| Todos los prestadores | 100 | 0 a 100 |
D.1 Calidad del servicio (CS) - Alcantarillado:
SUB-DIMENSIÓN: CS.3 - ATENCIÓN AL USUARIO
INDICADOR CS.3.2 Índice de Atención en Reclamaciones Alcantarillado- IARAL
DEFINICIÓN Mide la proporción de solicitudes y/o reclamaciones, tanto operativas como comerciales no atendidas dentro de los 15 días hábiles contados a partir de la fecha de la presentación de dicha solicitud o reclamación, para el servicio de alcantarillado, respecto al número total de solicitudes recibidas para dicho servicio.
JUSTIFICACIÓN Indica la efectividad con la que el prestador resuelve las solicitudes y/o reclamaciones tanto operativas como comerciales de los suscriptores, las cuales pueden afectar la eficiente prestación de servicio de alcantarillado y están asociadas a riesgos de cumplimiento y de imagen del prestador.
FÓRMULA
![]()
Donde:
Índice de Atención en Reclamaciones Alcantarillado.
Número de solicitudes del servicio público domiciliario de alcantarillado, no atendidas dentro de los 15 días hábiles según lo estipulado en la normatividad vigente.
Número de solicitudes totales del servicio público domiciliario de alcantarillado recibidas en el año.
FUENTE DE INFORMACIÓN SUI
FRECUENCIA DE MEDICIÓN Anual (Año Fiscal)
ESTÁNDAR DE MEDICIÓN 0%
NORMALIZACIÓN

Referente de Evaluación (Normalizado)
| Segmento | Meta o estándar de Medición | Escala de Medición |
| Todos los prestadores | 100 | 0 a 100 |
D.2 Eficiencia en la Planificación y Ejecución de Inversiones (EP) - Acueducto
SUB-DIMENSIÓN: EP.1 - CUMPLIMIENTO DE INVERSIONES ACUEDUCTO
INDICADOR EP.1.1 Índice de Ejecución de Inversiones de Acueducto - IIAC
DEFINICIÓN Mide el porcentaje de las inversiones ejecutadas frente a las inversiones proyectadas en el plan de inversiones del estudio de costos de cada prestador de acueducto.
JUSTIFICACIÓN
El indicador mide el cumplimiento efectivo de las inversiones por medio del seguimiento de los recursos económicos según lo proyectado en el plan de inversiones del prestador para el servicio público domiciliario de acueducto. Un resultado bajo en este indicador está asociado a riesgos financieros, estratégicos, de imagen y de cumplimiento del prestador.
Lo anterior puede afectar directamente la prestación del servicio, al evidenciar signos de incorrecta gestión por parte del prestador, ya que puede presentarse la desviación de recursos a fines ajenos a las metas establecidas en el plan de inversiones con respecto a cobertura, calidad y continuidad, entre otros.
FÓRMULA

Donde:
Índice de Ejecución de Inversiones de Acueducto.
p: periodos tarifarios de análisis, estipulados dentro del plan de inversiones, donde p = {1, 2, 3,..., t}. Siendo t el periodo tarifario que finaliza en el periodo de evaluación del indicador.
valor presente de las inversiones ejecutadas en el año tarifario p.
valor presente de las inversiones proyectadas en el año tarifario p.
- El valor presente debe calcularse a pesos constantes del año base utilizado en el estudio de costos.
- Las inversiones proyectadas deben corresponder al plan de inversiones del estudio de costos.
- La tasa de descuento del valor presente debe corresponder a la tasa del WACC regulatorio de acuerdo con el marco tarifario que le aplique a la persona prestadora.
Para el caso de pequeños prestadores que no apliquen la alternativa 1 del artículo 20 de la Resolución CRA 825 de 2017, el ponderador de este indicador será redistribuido de forma equitativa entre los demás indicadores de la sub-dimensión a la cual pertenece, o entre las demás sub-dimensiones en caso de que no existan más indicadores dentro de la subdimensión.
FUENTE DE INFORMACIÓN SUI
FRECUENCIA DE MEDICIÓN Anual (año tarifario)
ESTÁNDAR DE MEDICIÓN 100%. Para valores superiores a 100% se asume cumplido el 100%
NORMALIZACIÓN

Referente de Evaluación (Normalizado)
| Segmento | Meta o estándar de Medición | Escala de Medición |
| Obligatorio para grandes prestadores y para pequeños prestadores que apliquen la alternativa 1 del artículo 20 de la Resolución CRA 825 de 2017 | 100 | 0 a 100 |
SUB-DIMENSIÓN: EP.1 - CUMPLIMIENTO DE INVERSIONES ACUEDUCTO
INDICADOR EP.1.2 Índice de ejecución del Plan de Obras e Inversiones Regulado (POIR) - IPOIR
DEFINICIÓN Mide el porcentaje de avance anual sobre las inversiones proyectadas en el Plan de Obras e Inversión Regulado de cada persona prestadora del servicio público domiciliario de acueducto.
JUSTIFICACIÓN Por medio del seguimiento de cumplimiento del Plan de Obras e Inversiones Regulado - POIR, se busca evidenciar el nivel de ejecución de dicho plan por parte del prestador. Los retrasos en la ejecución del POIR genera riesgos financieros, estratégicos y de cumplimiento que pueden afectar la prestación del servicio público domiciliario de acueducto causados por una ineficiente gestión del prestador.
FÓRMULA Para el cálculo del indicador se aplicará la siguiente fórmula:

Donde:
Índice de ejecución del Plan de Obras e Inversiones Regulado (POIR).
activos estipulados dentro del Plan de Obras e Inversiones Regulado del prestador, para el servicio público domiciliario de acueducto, donde a = {1, 2, 3,..., b}.
Plan de Obras e Inversiones Regulado del activo a del servicio público domiciliario de acueducto, ejecutado en el periodo tarifario que finaliza en el periodo de evaluación del indicador.
Plan de Obras e Inversiones Regulado del activo a del servicio público domiciliario de acueducto, proyectado para el periodo tarifario que finaliza en el periodo de evaluación del indicador, según lo definido en el artículo 50 de la Resolución CRA 688 de 2014, o aquel que lo modifique, adicione, aclara o sustituya.
FUENTE DE INFORMACIÓN SUI
FRECUENCIA DE MEDICIÓN Anual (año tarifario).
ESTÁNDAR DE MEDICIÓN 100%. Para valores superiores a 100% se asume cumplido el 100%
NORMALIZACIÓN

Referente de Evaluación (Normalizado)
| Segmento | Meta o estándar de Medición | Escala de Medición |
| Grandes Prestadores | 100 | 0 a 100 |
SUB-DIMENSIÓN: EP.3 - PLANIFICACIÓN ANTE EMERGENCIAS
INDICADOR EP.3.1 Indicador de Plan de Emergencias y Contingencias para Acueducto - PEC
DEFINICIÓN Planeación de las acciones que deberá poner en marcha un prestador del servicio público domiciliario de acueducto en caso de emergencia, y las contingencias planteadas para recuperar la normalidad de prestación de servicios en el menor tiempo posible, logrando reducir los impactos negativos en beneficio de los usuarios.
Se evalúa el reporte de los siguientes cuatro componentes con los que se calculará el indicador del Plan de Emergencias y Contingencias reportado a la Superintendencia de Servicios Públicos Domiciliarios:
- Aseguramiento de infraestructura
- Identificación de amenazas
- Valoración de existencias y/o inventario
- Registro del PEC en el SUI
La definición y alcance de cada uno de los componentes, corresponde a las especificaciones establecidas en la Resolución MVCT 154 de 2014, modificada por la Resolución MVCT 527 de 2018 y la Resolución SSPD-20161300062185 de 2016.
JUSTIFICACIÓN
El incumplimiento del indicador de Planes de Emergencias y/o Contingencias, está asociado a riesgos estratégicos, operativos y de cumplimiento por parte del prestador. Debido a que una falta de planificación y/o preparación ante eventos naturales y de contingencias puede afectar los procesos asociados a la prestación del servicio de acueducto, tiene un riesgo inminente de afectación total en el suministro del servicio al no poder cubrir la emergencia en caso que se presente.
FÓRMULA
![]()
Donde:
indicador de Plan de Emergencias y Contingencias para Acueducto.
componentes del PEC. Donde, r = {1 = Aseguramiento de infraestructura, 2 = Identificación de amenazas, 3 = Inventario, 4 = Registro del PEC en el SUI}.
corresponde al reporte de la información del componente i al SUI. Donde:
![]()
FUENTE DE INFORMACIÓN SUI
FRECUENCIA DE MEDICIÓN Anual (año fiscal)
ESTÁNDAR DE MEDICIÓN 100%
NORMALIZACIÓN

Referente de Evaluación (Normalizado)
| Segmento | Meta o estándar de Medición | Escala de Medición |
| Todos los prestadores | 100 | 0 a 100 |
D.2 Eficiencia en la Planificación y Ejecución de Inversiones (EP) - Alcantarillado
SUB-DIMENSIÓN: EP.2 - CUMPLIMIENTO DE INVERSIONES ALCANTARILLADO
INDICADOR EP.2.1 Índice de Ejecución de Inversiones de Alcantarillado - IIAL
DEFINICIÓN Corresponde a la medición del porcentaje de las inversiones ejecutadas frente a las inversiones proyectadas en el plan de inversiones del estudio de costos de cada prestador del servicio de alcantarillado.
JUSTIFICACIÓN El indicador mide el cumplimiento efectivo de las inversiones por medio del seguimiento de los recursos económicos según lo proyectado en el plan de inversiones del prestador para el servicio público domiciliario de alcantarillado. Un resultado bajo en este indicador está asociado a riesgos financieros, estratégicos, de imagen y de cumplimiento del prestador.
Lo anterior puede afectar directamente la prestación del servicio al evidenciar signos de incorrecta gestión por parte del prestador, ya que puede presentarse desviación de recursos a fines ajenos a las metas establecidas en el plan de inversiones del marco regulatorio vigente.
FÓRMULA

Donde:
índice de Ejecución de Inversiones de Alcantarillado.
p: años tarifarios de análisis, estipulados dentro del plan de inversiones, donde p = {1, 2, 3,..., t}. Siendo t el periodo tarifario que finaliza en el periodo de evaluación del indicador.
valor presente de las inversiones ejecutadas en el año tarifario p.
valor presente de las inversiones proyectadas en el año tarifario p.
- El valor presente debe calcularse a pesos constantes del año base utilizado en el estudio de costos.
- Las inversiones proyectadas deben corresponder al plan de inversiones del estudio de costos.
- La tasa de descuento del valor presente debe corresponder a la tasa del WACC regulatorio de acuerdo con el marco tarifario que le aplique a la persona prestadora.
Para el caso de pequeños prestadores que no apliquen la alternativa 1 del artículo 20 de la Resolución CRA 825 de 2017, el ponderador de este indicador será redistribuido de forma equitativa entre los demás indicadores de la sub-dimensión a la cual pertenece, o entre las demás sub-dimensiones en caso de que no existan más indicadores dentro de la sub-dimensión.
FUENTE DE INFORMACIÓN SUI
FRECUENCIA DE MEDICIÓN Anual (año tarifario)
ESTÁNDAR DE MEDICIÓN 100%. Para valores superiores a 100% se asume cumplido el 100%
NORMALIZACIÓN

Referente de Evaluación (Normalizado)
| Segmento | Meta o estándar de Medición | Escala de Medición |
| Obligatorio para grandes prestadores y para pequeños que apliquen la alternativa 1 del artículo 20 de la Resolución CRA 825 de 2017 | 100 | 0 a 100 |
SUB-DIMENSIÓN: EP.2 - CUMPLIMIENTO DE INVERSIONES ALCANTARILLADO
INDICADOR EP.2.2 Porcentaje de Cumplimiento del PSMV - APSMV
DEFINICIÓN Corresponde a la medición del porcentaje de cumplimiento de las inversiones del Plan de Saneamiento y Manejo de Vertimientos, evaluando la relación entre los proyectos, a cargo del prestador ejecutados, frente a los planeados.
JUSTIFICACIÓN El indicador busca evidenciar riesgos estratégicos, de imagen ambientales y de cumplimiento del prestador, asociados a una gestión ineficiente por parte del prestador al incumplir parcial o totalmente la ejecución de las inversiones a su cargo incluidas en el Plan de Saneamiento y Manejo de Vertimientos.
FÓRMULA
![]()
Donde:
porcentaje de ejecución del plan de inversiones ejecutadas en el periodo de evaluación.
valor de las Inversiones del Plan de Saneamiento y Manejo de Vertimientos ejecutadas en el periodo de evaluación.
valor de las Inversiones del Plan de Saneamiento y Manejo de Vertimientos proyectadas para el periodo de evaluación.
El indicador solo tiene en cuenta los proyectos del PSMV a cargo del prestador.
La información para el cálculo del indicador será la reportada por el prestador al SUI.
FUENTE DE INFORMACIÓN SUI
FRECUENCIA DE MEDICIÓN Anual (Año Fiscal).
ESTÁNDAR DE MEDICIÓN 100%. Para valores superiores a 100% se asume cumplido el 100%
NORMALIZACIÓN

Referente de Evaluación (Normalizado)
| Segmento | Meta o estándar de Medición | Escala de Medición |
| Todos los prestadores | 100 | 0 a 100 |
SUB-DIMENSIÓN: EP.3 - PLANIFICACIÓN ANTE EMERGENCIAS
INDICADOR EP.3.2 Indicador de Plan de Emergencias y Contingencias para Alcantarillado - PEC
DEFINICIÓN Planeación de las acciones que deberá poner en marcha un prestador del servicio público domiciliario de alcantarillado en caso de emergencia, y las contingencias planteadas para recuperar la normalidad de prestación de servicios en el menor tiempo posible, logrando reducir los impactos negativos en beneficio de los usuarios.
Se evalúa el reporte de los siguientes cuatro componentes con los que se calculará el indicador del Plan de Emergencias y Contingencias reportado a la Superintendencia de Servicios Públicos Domiciliarios:
- Aseguramiento de infraestructura
- Identificación de amenazas
- Valoración de existencias y/o inventario
- Registro del PEC en el SUI
La definición y alcance de cada uno de los componentes corresponde a las especificaciones establecidas en la Resolución SSPD-20161300062185 de 2016, con base en la Resolución MVCT 154 de 2014, modificada por la Resolución MVCT 527 de 2018.
JUSTIFICACIÓN El incumplimiento del indicador de Planes de Emergencias y/o Contingencias, está asociado a riesgos estratégicos, operativos, financieros y de cumplimiento por parte del prestador. Debido a que una falta de planificación y/o preparación ante eventos naturales y de contingencias puede afectar los procesos asociados a la prestación del servicio de alcantarillado, tiene un riesgo inminente de afectación total en el suministro del servicio al no poder cubrir la emergencia en caso que se presente.
FÓRMULA

Donde:
Indicador de Plan de Emergencias y Contingencias para Alcantarillado.
componentes del PEC. Donde, r = {1 = Aseguramiento de infraestructura, 2 = Identificación de amenazas, 3 = Inventario, 4 = Registro del PEC en el SUI}.
corresponde al reporte de la información del componente i al SUI. Donde:

FUENTE DE INFORMACIÓN SUI
FRECUENCIA DE MEDICIÓN Anual (año fiscal)
ESTÁNDAR DE MEDICIÓN 100%
NORMALIZACIÓN

Referente de Evaluación (Normalizado)
| Segmento | Meta o estándar de Medición | Escala de Medición |
| Todos los prestadores | 100 | 0 a 100 |
D.3 Eficiencia en Operación - Acueducto
SUB-DIMENSIÓN: EO.1 - EFICIENCIA EN LA GESTIÓN DEL RECURSO AGUA
INDICADOR EO.1.1 Agua Controlada en Puntos de Uso y Consumo - ACPUC
DEFINICIÓN Corresponde a la medición de la proporción de agua que se usa y se consume por los usuarios, frente al volumen total de agua que se incorpora al sistema.
JUSTIFICACIÓN El indicador busca evidenciar los riesgos operativos, estratégicos, financieros y de cumplimiento, asociados a las pérdidas comerciales y técnicas. Lo anterior, debido a que ante mayores pérdidas técnicas, se pone en riesgo la continuidad del servicio público domiciliario de acueducto, se afecta la prestación del servicio y el medio ambiente, y a su vez, las pérdidas comerciales afectan la situación financiera del prestador al dejar de percibir ingresos debido a dichas perdidas.
FÓRMULA

Donde(1):

Agua Controlada en Puntos de Uso y Consumo.
consumo facturado medido, según lo establecido en el Anexo 1 de la Resolución CRA 688 de 2014.
consumo facturado no medido, según lo establecido en el Anexo 1 de la Resolución CRA 688 de 2014.
volumen de entrada al sistema, según lo establecido en el Anexo 1 de la Resolución CRA 688 de 2014 y el cual debe corresponder al volumen saliente del sistema de tratamiento y/o al volumen de contratos de suministro.
índice de pérdidas por suscriptor facturado, dichas pérdidas serán las aceptadas regulatoriamente y establecido en 6m3/suscriptor/mes.
número de suscriptores obtenido como el promedio mensual del año en análisis. Para el cálculo del número de suscriptores se aplicará la siguiente fórmula:

Donde:
i: meses del periodo de evaluación en el que se prestó el servicio público domiciliario de acueducto, donde i = {1, 2, 3,..., m}. Si el servicio se prestó durante todo el periodo de evaluación, m corresponderá a 12.
Número de suscriptores del servicio público domiciliario de acueducto en el mes i.
FUENTE DE INFORMACIÓN SUI
FRECUENCIA DE MEDICIÓN Anual (año fiscal)
ESTÁNDAR DE MEDICIÓN 100%
NORMALIZACIÓN

Referente de Evaluación (Normalizado)
| Segmento | Meta o estándar de Medición | Escala de Medición |
| Todos los prestadores | 100 | 0 a 100 |
SUB-DIMENSIÓN: EO.1 - EFICIENCIA EN LA GESTIÓN DEL RECURSO AGUA
INDICADOR EO.1.2 Índice de Micromedición Efectiva- IMI
DEFINICIÓN Este indicador permite medir el porcentaje de micromedidores que están en funcionamiento con respecto al número de suscriptores del servicio público domiciliario de acueducto.
JUSTIFICACIÓN La micromedición efectiva es relevante para el prestador, toda vez que permite mitigar riesgos estratégicos, de cumplimiento y financieros, debido a que la medición del volumen que el prestador suministra es base para el control de la demanda de suscriptores para el servicio público domiciliario de acueducto y cuantificar el volumen de pérdidas ocasionadas por defectos en la red de acueducto, lo que genera a su vez, riesgo comercial de la empresa en términos de ingresos comparados con los costos reales operativos del sistema.
FÓRMULA

Donde:
índice de Micromedición Efectiva.
i: meses del periodo de evaluación en el que se prestó el servicio público domiciliario de acueducto, donde i = {1, 2, 3,..., m}. Si el servicio se prestó durante todo el periodo de evaluación, m corresponderá a 12.
índice de Micromedición Efectiva para el mes i, de acuerdo con:

Donde:
número de micromedidores funcionando con lectura, entiéndase por “funcionando con lectura”, aquellos medidores cuyo valor medido se emplea para la facturación.
Número total de suscriptores donde sea viable la medición. El término “donde sea viable la medición” se incluye de conformidad con lo establecido en la Resolución CRA 319 de 2005, o aquella que modifique, adicione, sustituya o aclare, referente a la existencia de usuarios a los cuales técnicamente no es viable la medición individual.
FUENTE DE INFORMACIÓN SUI
FRECUENCIA DE MEDICIÓN Anual (año fiscal)
ESTÁNDAR DE MEDICIÓN 100%
NORMALIZACIÓN

Referente de Evaluación (Normalizado)
| Segmento | Meta o estándar de Medición | Escala de Medición |
| Todos los prestadores | 100 | 0 a 100 |
SUB-DIMENSIÓN: EO.1 - EFICIENCIA EN LA GESTIÓN DEL RECURSO AGUA
INDICADOR EO.1.3 Catastro de medidores - CM
DEFINICIÓN Este indicador verifica que los prestadores cuenten con la información necesaria para mantener un catastro de medidores actualizado a la vigencia del periodo de evaluación, de conformidad con lo establecido en la Resolución CRA 457 de 2008, o aquella que modifique, adicione, sustituya o aclare.
JUSTIFICACIÓN Un incumplimiento del indicador puede asociarse a riesgos estratégicos, operativos, de imagen, cumplimiento y financieros del prestador, relacionados con el inadecuado funcionamiento de los medidores, lo que puede generar un riesgo comercial de la empresa en términos de no contar con la información para realizar una adecuada gestión de micromedición.
FÓRMULA
![]()
Donde:
Catastro de medidores.
Se considera como cumplido, en los casos en que el prestador reporte al SUI, para el periodo de evaluación, la información definida en el Artículo 2.3.7.8 FORMULARIO. CALIBRACION DE MEDIDORES del Anexo de la Resolución SSPD – 20101300048765 de 2010.
FUENTE DE INFORMACIÓN SUI
FRECUENCIA DE MEDICIÓN Anual (año fiscal)
ESTÁNDAR DE MEDICIÓN 1
NORMALIZACIÓN

Referente de Evaluación (Normalizado)
| Segmento | Meta o estándar de Medición | Escala de Medición |
| Todos los prestadores | 100 | 0 o 100 |
SUB-DIMENSIÓN: EO.1 - EFICIENCIA EN LA GESTIÓN DEL RECURSO AGUA
INDICADOR EO.1.4 Índice de Macromedición Efectiva – IMA
DEFINICIÓN Corresponde al porcentaje de macromedición en las salidas de las plantas de tratamiento y/o tanques de almacenamiento de agua potable.
JUSTIFICACIÓN Permite contar con la información para realizar una adecuada gestión operativa y comercial a partir del conocimiento del agua producida, y tiene incidencia en los riesgos operativos, estratégicos, de cumplimiento y financieros del prestador. Si no se conoce la información del agua producida y/o almacenada es difícil realizar un adecuado manejo del sistema afectando la toma de decisiones. Este riesgo puede verse evidenciado en la inexactitud en la medición a la salida de las plantas de tratamiento de agua potable –PTAP, a la salida de los tanques de almacenamiento o por inexistencia de dicha medición.
FÓRMULA

Donde:
Índice de Macromedición Efectiva.
i: número de meses del periodo de evaluación en el que se prestó el servicio público domiciliario de acueducto, donde i = {1, 2, 3,..., m}. Si el servicio se prestó durante todo el periodo de evaluación, m corresponderá a 12.
Índice de Macromedición Efectiva para el mes i, de acuerdo con:

número de tuberías de salida de la PTAP y de los tanques de almacenamiento con macromedición en funcionamiento.
número total de tuberías de salida de la PTAP y de tanques de almacenamiento.
De acuerdo con el artículo 73 de la Resolución 330 de 2017 del Ministerio de Vivienda, Ciudad y Territorio, o aquella que modifique, adicione, sustituya o aclare, el prestador debe tener macromedidores instalados tanto a la salida de la PTAP, como a la salida de los tanques de almacenamiento que posea.
FUENTE DE INFORMACIÓN SUI
FRECUENCIA DE MEDICIÓN Anual (año fiscal)
ESTÁNDAR DE MEDICIÓN 100%
NORMALIZACIÓN

Referente de Evaluación (Normalizado)
| Segmento | Meta o estándar de Medición | Escala de Medición |
| Todos los prestadores | 100 | 0 a 100 |
SUB-DIMENSIÓN: EO.1 - EFICIENCIA EN LA GESTIÓN DEL RECURSO AGUA
INDICADOR EO.1.5 Modelo Hidráulico – MH
DEFINICIÓN Este indicador evalúa el cumplimiento de la exigencia de contar con un modelo hidráulico por parte de los prestadores, de conformidad con lo establecido por la Resolución 330 del 2017 del Ministerio de Vivienda, Ciudad y Territorio que establece el Reglamento del Sector de Agua Potable y Saneamiento Básico – RAS.
JUSTIFICACIÓN El contar con un modelo hidráulico permite al prestador tener conocimiento de la red del servicio de acueducto, su estado, sus insuficiencias y sus puntos críticos. Este modelo conducirá a que el prestador pueda prestar mayor atención a dichos puntos, conocer sobre déficit de presión, fugas y capacidad del sistema, entre otros. La ausencia del modelo hidráulico puede asociarse a riesgos operativos, estratégicos, y de cumplimiento del prestador.
FÓRMULA
![]()
Donde:
Modelo Hidráulico.
Se entiende por cumplido cuando el prestador reporte al SUI, para el periodo de evaluación, el modelo hidráulico, conteniendo los requerimientos establecidos por el artículo 91 de la Resolución 330 de 2017 del Ministerio de Vivienda, Ciudad y Territorio, o aquella que modifique, adicione, sustituya o aclare.
FUENTE DE INFORMACIÓN SUI
FRECUENCIA DE MEDICIÓN Anual (año fiscal)
ESTÁNDAR DE MEDICIÓN 1
NORMALIZACIÓN

Referente de Evaluación (Normalizado)
| Segmento | Meta o estándar de Medición | Escala de Medición |
| Grandes Prestadores | 100 | 0 o 100 |
SUB-DIMENSIÓN: EO.2 - EFICIENCIA EN LA GESTIÓN DE LAS INFRAESTRUCTURAS
INDICADOR EO.2.1 Número de Rupturas en Tuberías de Transporte y Distribución Acueducto - RA
DEFINICIÓN Este indicador mide la proporción de daños en la red de transporte y distribución frente a la longitud de la misma.
JUSTIFICACIÓN Este indicador permite evidenciar el riesgo operativo, estratégico, de imagen y financiero asociado a la falla o colapso de la infraestructura. Lo anterior debido a que si las redes no se encuentran en buen estado o no se ha realizado el mantenimiento o la reposición adecuada, la continuidad y calidad del servicio se podrían ver afectadas y se incrementarían las quejas de los usuarios
FÓRMULA

Donde:
Número de Rupturas en Tuberías de Transporte y Distribución Acueducto.
i: número de meses del periodo de evaluación en el que se prestó el servicio público domiciliario de acueducto, donde i = {1, 2, 3,..., m}. Si el servicio se prestó durante todo el periodo de evaluación, m corresponderá a 12.
Número de fallas en tuberías de transporte y distribución de acueducto para el mes i, de acuerdo con:

Donde:
número total de fallas en las redes de transporte y distribución de agua potable.
longitud de redes de transporte y distribución de agua potable del sistema (kms)
FUENTE DE INFORMACIÓN SUI
FRECUENCIA DE MEDICIÓN Anual (año fiscal)
ESTÁNDAR DE MEDICIÓN Este indicador tendrá calificación por reporte de la totalidad de la información requerida para el cálculo, de la siguiente manera:
![]()
Referente de Evaluación
| Segmento | Meta o estándar de Medición | Escala de Medición |
| Todos los prestadores | 100 | 0 o 100 |
SUB-DIMENSIÓN: EO.3 -EFICIENCIA EN LA GESTIÓN DE LA ENERGÍA
INDICADOR EO.3.1. Consumo energético Acueducto - CEA
DEFINICIÓN Corresponde a la relación entre consumo de energía eléctrica y el volumen de agua potable producida por las Plantas de Tratamiento que hacen parte del sistema de acueducto.
JUSTIFICACIÓN Un exceso en el consumo energético puede generar riesgos, estratégicos y financieros al prestador, los cuales pueden estar relacionados con altos costos financieros asociados al consumo excesivo de energía eléctrica utilizada en los diferentes procesos de tratamiento para la prestación del servicio público domiciliario de acueducto.
FÓRMULA

Donde:
consumo energético en el servicio público domiciliario de acueducto.
energía eléctrica total consumida por los procesos de tratamiento del sistema de acueducto (kWh/año)
volumen total de agua producida en el periodo de evaluación (m3/año)
- El prestador deberá indicar cuál es el tipo de fuente de energía eléctrica empleada.
Para el caso de prestadores que incurran en contratos de suministro de agua potable, como única fuente de abastecimiento del servicio público domiciliario de acueducto, el ponderador de este indicador será redistribuido de forma equitativa entre los demás indicadores de la subdimensión a la cual pertenece, o entre las demás sub-dimensiones en caso de que no existan más indicadores dentro de la sub-dimensión.
FUENTE DE INFORMACIÓN SUI
FRECUENCIA DE MEDICIÓN Anual (año fiscal)
ESTÁNDAR DE MEDICIÓN Este indicador tendrá calificación por reporte de la totalidad de la información requerida para el cálculo, de la siguiente manera:
![]()
Referente de Evaluación
| Segmento | Meta o estándar de Medición | Escala de Medición |
| Todos los prestadores | 100 | 0 o 100 |
D3. Eficiencia en la Operación – Alcantarillado (EO)
SUB-DIMENSIÓN: EO.2 - EFICIENCIA EN LA GESTIÓN DE LAS INFRAESTRUCTURAS
INDICADOR EO.2.2 Fallas en la Red de Alcantarillado - FAL
DEFINICIÓN Este indicador mide la proporción de daños en la red del servicio de alcantarillado frente a la longitud de la misma.
JUSTIFICACIÓN Este indicador evidencia el riesgo estratégico, de imagen y financiero, asociado al colapso de la infraestructura del servicio público domiciliario de alcantarillado. Lo anterior, debido a que, si la infraestructura no es lo suficientemente redundante y resiliente, la prestación del servicio puede verse afectada ante cualquier falla presentada en la red.
FÓRMULA

Donde:
Fallas en la red del servicio público domiciliario de alcantarillado.
i: número de meses del periodo de evaluación en el que se prestó el servicio público domiciliari de alcantarillado, donde i = {1, 2, 3,..., m}. Si el servicio se prestó durante todo el periodo de evaluación, m corresponderá a 12.
número de fallas en la red de alcantarillado en el mes i, de acuerdo con:
![]()
Donde:
número total de fallas en la red de alcantarillado.
longitud total de redes del sistema de alcantarillado (kms).
FUENTE DE INFORMACIÓN SUI
FRECUENCIA DE MEDICIÓN Anual (año fiscal)
ESTÁNDAR DE MEDICIÓN Este indicador tendrá calificación por reporte de la totalidad de la información requerida para el cálculo, de la siguiente manera:
![]()
Referente de Evaluación
| Segmento | Meta o estándar de Medición | Escala de Medición |
| Todos los prestadores | 100 | 0 o 100 |
SUB-DIMENSIÓN: EO.3 EFICIENCIA EN LA GESTIÓN DE LA ENERGÍA
INDICADOR EO.3.2. Consumo energético Alcantarillado - CEAL
DEFINICIÓN Corresponde a la relación entre el consumo de energía eléctrica y el volumen de agua tratada en las Plantas de Tratamiento de aguas residuales.
JUSTIFICACIÓN Un exceso en el consumo energético puede generar riesgos estratégicos y financieros al prestador, los cuales pueden estar relacionados con altos costos financieros asociados al consumo excesivo de energía eléctrica utilizada en los diferentes procesos de tratamiento para la prestación del servicio público domiciliario de alcantarillado.
FÓRMULA
![]()
Donde:
Consumo energético Alcantarillado.
energía eléctrica total consumida por el tratamiento de aguas servidas (kWh/año).
volumen total de agua servida tratada en el periodo de evaluación (m3/año)
- El prestador debe incluir el tipo de tren de tratamiento empleado.
- El prestador deberá indicar cuál es el tipo de fuente de energía eléctrica empleada.
En el caso en que no se preste la actividad de tratamiento de aguas residuales, el ponderador de este indicador será redistribuido de forma equitativa entre los demás indicadores de la subdimensión a la cual pertenece, o entre las demás sub-dimensiones en caso de que no existan más indicadores dentro de la sub-dimensión.
FUENTE DE INFORMACIÓN SUI
FRECUENCIA DE MEDICIÓN Anual (año fiscal)
ESTÁNDAR DE MEDICIÓN Este indicador tendrá calificación por reporte de la totalidad de la información requerida para el cálculo, de la siguiente manera:
![]()
Referente de Evaluación
| Segmento | Meta o estándar de Medición | Escala de Medición |
| Todos los prestadores | 100 | 0 o 100 |
D.4 Eficiencia en la Gestión Empresarial- Acueducto y/o Alcantarillado (GE)
SUB-DIMENSIÓN: GE.1 - EFICIENCIA DEL PERSONAL ADMINISTRATIVO Y RECURSOS DE APOYO
INDICADOR GE.1.1 Productividad del Personal Administrativo del Prestador - PPAP
DEFINICIÓN Este indicador mide la proporción de trabajadores administrativos existentes por cada 1000 suscriptores.
JUSTIFICACIÓN El indicador permite identificar si existe exceso o escasez de personal administrativo, lo que puede generar riesgos financieros, estratégicos, de cumplimiento, de imagen y operativos al prestador al ocasionar un alto costo administrativo, o una insuficiencia en el personal requerido, comprometiendo su capacidad financiera/o y operativa.
Este indicador es calculado por prestador, independientemente si este presta el (los) servicio(s) público(s) de acueducto y/o alcantarillado.
FÓRMULA

Donde:
Productividad del Personal Administrativo del Prestador.
i: número de meses del periodo de evaluación en el que se prestó el servicio público domiciliario de acueducto y/o alcantarillado, donde i = {1, 2, 3,..., m}. Si el servicio se prestó durante todo el periodo de evaluación, m corresponderá a 12.
Productividad del personal administrativo del prestador en el mes i, de acuerdo con:

Donde:
número total de trabajadores administrativos. Entiéndase por trabajadores administrativos todas las personas que trabajan de forma directa o indirecta en la prestación de los servicios públicos domiciliarios de acueducto y/o alcantarillado, desarrollando funciones administrativas. Inclúyase trabajadores directos, contratistas, personal mediante Outsourcing, etc.
número de suscriptores obtenido como el promedio mensual del año en análisis, de acuerdo con:

Donde:
Número de suscriptores del servicio público domiciliario de acueducto y/o alcantarillado en el mes i. El prestador deberá hacer el cálculo con el servicio con mayor número de suscriptores.
FUENTE DE INFORMACIÓN SUI
FRECUENCIA DE MEDICIÓN Anual (año fiscal)
ESTÁNDAR DE MEDICIÓN Este indicador tendrá calificación por reporte de la totalidad de la información requerida para el cálculo, de la siguiente manera:
![]()
Referente de Evaluación
| Segmento | Meta o estándar de Medición | Escala de Medición |
| Todos los prestadores | 100 | 0 o 100 |
SUB-DIMENSIÓN: GE.2 - EFICIENCIA DEL PERSONAL OPERATIVO Y RECURSOS DE APOYO
INDICADOR GE.2.1 Productividad del Personal Operativo Acueducto - POAC
DEFINICIÓN Corresponde a la medición de la proporción de trabajadores operativos existentes por cada 1000 suscriptores para el servicio público domiciliario de acueducto.
JUSTIFICACIÓN El indicador permite identificar si existe un exceso o escasez de personal operativo para la prestación del servicio público domiciliario de acueducto, pudiendo generar riesgos financieros, estratégicos, de cumplimiento, de imagen y operativos al prestador, al ocasionar un alto costo operativo o una insuficiente capacidad para prestar el servicio eficientemente y atender inconvenientes presentados en la red de acueducto.
FÓRMULA

Donde:
Productividad del Personal Operativo Acueducto.
i: número de meses del periodo de evaluación en el que se prestó el servicio público domiciliario de acueducto, donde i = {1, 2, 3,..., m}. Si el servicio se prestó durante todo el periodo de evaluación, m corresponderá a 12.
Productividad del Personal Operativo Acueducto para el mes i, de acuerdo con:

Donde:
número total de trabajadores operativos para el servicio de acueducto. Entiéndase por “trabajadores operativos” todas las personas que trabajan de forma directa o indirecta en la prestación del servicio público domiciliario de acueducto, desarrollando funciones operativas. Inclúyase trabajadores directos, contratistas, personal mediante Outsourcing, etc.
número de suscriptores del servicio público domiciliario de acueducto. El cual corresponde al promedio mensual del año en análisis, para lo cual se considerarán únicamente los meses del periodo de evaluación en el que se prestó el servicio público domiciliario de acueducto.
FUENTE DE INFORMACIÓN SUI
FRECUENCIA DE MEDICIÓN Anual (año fiscal)
ESTÁNDAR DE MEDICIÓN
Este indicador tendrá calificación por reporte de la totalidad de la información requerida para el cálculo, de la siguiente manera:
![]()
Referente de Evaluación
| Segmento | Meta o estándar de Medición | Escala de Medición |
| Todos los prestadores | 100 | 0 o 100 |
SUB-DIMENSIÓN: GE.2 - EFICIENCIA DEL PERSONAL OPERATIVO Y RECURSOS DE APOYO
INDICADOR GE.2.2 Productividad del Personal Operativo Alcantarillado - POALC
DEFINICIÓN Corresponde a la medición de la proporción de trabajadores operativos existentes por prestador para el servicio de alcantarillado por cada 1000 suscriptores.
JUSTIFICACIÓN El indicador permite identificar si existe un exceso o escasez de personal operativo para la prestación del servicio público domiciliario de alcantarillado, pudiendo generar riesgos financieros, estratégicos, de cumplimiento, de imagen y operativos al prestador, al ocasionar un alto costo operativo o una insuficiente capacidad para prestar el servicio eficientemente y atender inconvenientes presentados en la red de acueducto.
FÓRMULA
![]()
Donde:
Productividad del Personal Operativo Alcantarillado.
i: número de meses del periodo de evaluación en el que se prestó el servicio público domiciliario de alcantarillado, donde i = {1, 2, 3,..., m}. Si el servicio se prestó durante todo el periodo de evaluación, m corresponderá a 12.
Productividad del Personal Operativo Alcantarillado para el mes i, de acuerdo con:

Donde:
número total de trabajadores operativos para el servicio público domiciliario de alcantarillado. Entiéndase por “trabajadores operativos”, todas las personas que trabajan de forma directa o indirecta en la prestación del servicio público domiciliario de alcantarillado desarrollando funciones operativas. Inclúyase trabajadores directos, contratistas, personal mediante Outsourcing, etc.
número de suscriptores del servicio público domiciliario de alcantarillado. el cual, se calculará como el promedio mensual año, para lo cual se considerarán únicamente los meses del periodo de evaluación en el que se prestó el servicio público domiciliario de acueducto.
FUENTE DE INFORMACIÓN SUI
FRECUENCIA DE MEDICIÓN Anual (año fiscal)
ESTÁNDAR DE MEDICIÓN Este indicador tendrá calificación por reporte de la totalidad de la información requerida para el cálculo, de la siguiente manera:
![]()
Referente de Evaluación (Normalizado)
| Segmento | Meta o estándar de Medición | Escala de Medición |
| Todos los prestadores | 100 | 0 o 100. |
SUB-DIMENSIÓN: GE.3 - GESTIÓN SOCIAL - EMPRESARIAL
INDICADOR GE.3.1 Relación de gastos administrativos por gestión social - GS
DEFINICIÓN Este indicador mide el gasto o costo por suscriptor relacionado a la gestión social desarrollada por el prestador.
JUSTIFICACIÓN El indicador permite establecer si el prestador destina recursos para el desarrollo de una adecuada gestión social orientada a fortalecer la relación comercial y promover la cultura de pago, la implementación de mecanismos orientados a informar a los usuarios respecto de la prestación del servicio, aspectos institucionales, derechos de los usuarios, mecanismos de participación, entre otros, logrando así mejorar la relación entre los suscritores y del prestador. Por otra parte, la falta de gestión social incide en el cumplimiento de estándares y metas y puede afectar la gestión comercial. Su incumplimiento genera riesgos de imagen, operativos, estratégicos y de cumplimiento.
FÓRMULA

Donde:
Relación de gastos administrativos por gestión social.
Gastos destinados a gestión social, corresponden al valor registrado en la contabilidad del prestador por concepto de erogaciones que realizó, en el periodo de evaluación, con el fin de mejorar la relación con el suscriptor, así como las que inciden en mejorar la cultura ciudadana frente a aspectos relacionados con la prestación de servicios. Se incluyen las cuentas que representan los recursos destinados por la persona prestadora en educación ambiental, uso eficiente de agua, y saneamiento, de conformidad con las disposiciones legales.
Gastos totales, corresponde al valor registrado en la contabilidad del prestador por concepto de erogaciones generadas por la prestación del(los) servicio(s) público(s) domiciliario(s) de acueducto y/o alcantarillado para el periodo de evaluación.
FUENTE DE INFORMACIÓN SUI
FRECUENCIA DE MEDICIÓN Anual (año fiscal).
ESTÁNDAR DE MEDICIÓN Este indicador tendrá calificación por reporte de la totalidad de la información requerida para el cálculo, de la siguiente manera:
![]()
Referente de Evaluación
| Segmento | Meta o estándar de Medición | Escala de Medición |
| Todos los prestadores | 100 | 0 o 100 |
D.5 Sostenibilidad Financiera (SF)
SUB-DIMENSIÓN: S.F.1 INDICADORES DE SUFICIENCIA FINANCIERA
INDICADOR SF.1.1 Liquidez - L
DEFINICIÓN Corresponde a la capacidad de solventar las deudas exigibles hasta un año de plazo respecto a la fecha de cierre del ejercicio de la vigencia.
JUSTIFICACIÓN Este indicador refleja la capacidad que tiene la empresa para solventar sus obligaciones de corto plazo, permitiendo evidenciar el riesgo de liquidez, toda vez que si el indicador disminuye o es bajo podría significar futuras deficiencias en la operación y podría generar riesgos de tipo financiero, de imagen, de cumplimiento y estratégico.
FÓRMULA

Donde:
Activo Corriente
Pasivo corriente
FUENTE DE INFORMACIÓN SUI
FRECUENCIA DE MEDICIÓN Anual (año fiscal)
ESTÁNDAR DE MEDICIÓN 1.3 – 1.5
NORMALIZACIÓN

Referente de Evaluación (Normalizado)
| Segmento | Meta o estándar de Medición | Escala de Medición |
| Todos los prestadores | 100 | 0 a 100 |
SUB-DIMENSIÓN: SF.1 - INDICADORES DE SUFICIENCIA FINANCIERA
INDICADOR SF.1.2 Eficiencia en el Recaudo - ER
DEFINICIÓN Corresponde a la proporción de los ingresos por prestación de los servicios públicos domiciliarios de acueducto y/o alcantarillado facturados y que se pretenden recaudar en un periodo.
JUSTIFICACIÓN Debido a que la mayor parte o la totalidad de los ingresos de los prestadores de los servicios públicos domiciliarios de acueducto y/o alcantarillado provienen de la prestación de estos servicios, un porcentaje bajo en el resultado de este indicador permite evidenciar y alertar sobre el riesgo de iliquidez, asociado a su vez a un riesgo financiero, operativo, de cumplimiento y de imagen del prestador.
FÓRMULA

Donde:
valor recaudado en el periodo de evaluación por prestación de los servicios públicos domiciliarios de acueducto y/o alcantarillado. Los valores recaudados no deben incluir el recaudo de cartera de años anteriores.
Ingresos causados en el periodo de evaluación por prestación de los servicios públicos domiciliarios de acueducto y/o alcantarillado. Los ingresos causados no debenincluir los ingresos causados en años anteriores.
Los ingresos se determinarán teniendo en cuenta las Normas de Información Financiera, así como el grupo en el cual se clasifica el prestador de acuerdo a lo establecido en los decretos reglamentarios de la Ley 1314 de 2009.
Si el recaudo del periodo de evaluación no se lleva en una cuenta discriminada, se restará al recaudo la diferencia resultante del saldo de cartera por prestación del servicio actual menos el saldo de la cartera por el mismo concepto del año anterior, si ésta es positiva.
FUENTE DE INFORMACIÓN SUI
FRECUENCIA DE MEDICIÓN Anual (año fiscal)
ESTÁNDAR DE MEDICIÓN 90-100
NORMALIZACIÓN

Referente de Evaluación (Normalizado)
| Segmento | Meta o estándar de Medición | Escala de Medición |
| Todos los prestadores | 90- 100 | 0 a 100 |
SUB-DIMENSIÓN: SF.1 - INDICADORES DE SUFICIENCIA FINANCIERA
INDICADOR SF.1.3 Cubrimiento de Gastos de Operación - CG
DEFINICIÓN Este indicador determina la capacidad del prestador para cubrir todas las erogaciones derivadas de la prestación de los servicios domiciliarios de acueducto y/o alcantarillado con los ingresos de actividades ordinarias.
JUSTIFICACIÓN Este indicador permite identificar riesgos financieros asociados a la incapacidad de cubrir por medio de los ingresos de actividades ordinarias, los gastos operativos y administrativos generados por la prestación de los servicios públicos domiciliarios de acueducto y/o alcantarillado.
Lo anterior, ya que un resultado bajo del indicador señala que el prestador no alcanza a cubrir sus gastos de operación, ni la potencial renovación del capital (depreciación) para continuar con la operación. Genera riesgos operativos, financieros, estratégicos y de cumplimiento.
FÓRMULA

Donde:
ingresos de actividades ordinarias recaudados en el periodo de evaluación.
Los ingresos se determinarán teniendo en cuenta las Normas de Información Financiera, así como el grupo en el cual se clasifica el prestador de acuerdo a lo establecido en los decretos reglamentarios de la Ley 1314 de 2009.
ER: eficiencia en el recaudo
gastos de operación y administración generados durante el periodo de evaluación. Se deben incluir todas las erogaciones asociadas a la prestación de los servicios públicos domiciliarios de acueducto y/o alcantarillado, incluidas las generadas por la actividad comercial.
FUENTE DE INFORMACIÓN SUI
FRECUENCIA DE MEDICIÓN Anual (año fiscal)
ESTÁNDAR DE MEDICIÓN A partir de 1
NORMALIZACIÓN

Referente de Evaluación (Normalizado)
| Segmento | Meta o estándar de Medición | Escala de Medición |
| Todos los prestadores | 100 | >0 |
SUB-DIMENSIÓN: SF.1 -INDICADORES DE SUFICIENCIA FINANCIERA
INDICADOR SF.1.4 Relación de Endeudamiento - RDP
DEFINICIÓN Este indicador mide la estructura de financiamiento que se utiliza, mediante la relación entre el pasivo exigible a corto y largo plazo y el patrimonio. También se conoce como factor de apalancamiento.
JUSTIFICACIÓN El indicador determina el riesgo financiero y crediticio asociado a la concentración de la financiación del prestador. Entre mayor sea el resultado del indicador mayor concentración de riesgo existe con terceros. Genera riesgos de cumplimiento, financieros, estratégicos y de imagen.
FÓRMULA

Donde:
Pasivo total.
Patrimonio.
FUENTE DE INFORMACIÓN SUI
FRECUENCIA DE MEDICIÓN Anual (año fiscal)
ESTÁNDAR DE MEDICIÓN 0.8 – 1.2
NORMALIZACIÓN

Referente de Evaluación (Normalizado)
| Segmento | Meta o estándar de Medición | Escala de Medición |
| Todos los prestadores | 100 | 0 a 100 |
SUB-DIMENSIÓN: SF.1 - INDICADORES DE SUFICIENCIA FINANCIERA
INDICADOR SF.1.5 Rotación de Cartera de Servicios Públicos en días de pago - RC
DEFINICIÓN Corresponde a la identificación del tiempo promedio en que se recibe el pago por parte de los suscriptores por concepto de la cartera generada por la prestación de los servicios públicos domiciliarios de acueducto y(o alcantarillado.
JUSTIFICACIÓN El indicador refleja el riesgo financiero asociado al periodo promedio en el que el prestador recupera su cartera, pudiendo implicar que, entre mayor número de días, el prestador tendrá menor liquidez y una mayor demora para recuperar los saldos adeudados en sus cuentas por cobrar. Genera riegos financieros, de cumplimiento y estratégico.
FÓRMULA

Donde:
saldo de cuentas por cobrar por la prestación de los servicios públicos domiciliarios de acueducto y/o alcantarillado.
valor recaudado en el periodo por prestación de los servicios públicos domiciliarios de acueducto y/o alcantarillado. Los valores recaudados no deben incluir el recaudo de cartera de años anteriores.
FUENTE DE INFORMACIÓN SUI
FRECUENCIA DE MEDICIÓN Anual (año fiscal)
ESTÁNDAR DE MEDICIÓN Menor a 60 días
NORMALIZACIÓN

Referente de Evaluación (Normalizado)
| Segmento | Meta o estándar de Medición | Escala de Medición |
| Grandes Prestadores | 100 | 0 a 100 |
SUB-DIMENSIÓN: SF.2 - INDICADORES DE FLUJO FINANCIERO
INDICADOR SF.2.1 EBITDA AJUSTADO
DEFINICIÓN Corresponde al cálculo de la utilidad del prestador, teniendo en cuenta la depuración antes de intereses, impuestos, depreciaciones y amortizaciones.
JUSTIFICACIÓN Este indicador permite evidenciar el riesgo financiero del prestador asociado al rendimiento operativo, debido a que muestra la rentabilidad real por la prestación de los servicios públicos domiciliarios de acueducto y/o alcantarillado.
FÓRMULA
![]()
Donde.
Valor contable que mide el resultado obtenido directamente relacionado con la operación de los servicios públicos domiciliarios de acueducto y alcantarillado.
Mecanismo mediante el cual se reconoce el desgaste y pérdida de valor que sufre un activo fijo por el uso del mismo en la generación de ingresos a través del tiempo.
Distribución del costo de una inversión como gasto a lo largo de los períodos en que esa inversión va a permitir obtener ingresos.
Costo en que incurre el prestador que está relacionado con los recursos que han sido tomados para financiación de inversiones. Sólo se deben sumar cuando hayan sido restados para calcular la Utilidad de Actividades Ordinarias.
Deterioro: Valor que se genera cuando el valor en libros de un activo es superior al valor recuperable.
FUENTE DE INFORMACIÓN SUI
FRECUENCIA DE MEDICIÓN Anual (año fiscal)
ESTÁNDAR DE MEDICIÓN El resultado del EBITDA AJUSTADO debe ser positivo, indicando que el prestador está generando rentabilidad. En caso de que el resultado del indicador sea negativo, el prestador se encontraría generando pérdidas.
Este indicador tendrá calificación de la siguiente manera:
![]()
NORMALIZACIÓN

Referente de Evaluación (Normalizado)
| Segmento | Meta o estándar de Medición | Escala de Medición |
| Grandes Prestadores | 100 | 0 o 100 |
SUB-DIMENSIÓN: SF.2 - INDICADORES DE FLUJO FINANCIERO
INDICADOR SF.2.2 Flujos Comprometidos - FC
DEFINICIÓN Corresponde a la relación entre la rentabilidad y el pasivo total del prestador.
JUSTIFICACIÓN El indicador muestra cuantas veces la rentabilidad del prestador asociada a la prestación de los servicios públicos domiciliarios de acueducto y/o alcantarillado alcanzaría para cubrir las obligaciones con los terceros. Un resultado bajo en el indicador implica que no se está generando la suficiente caja operativa para cubrir las necesidades con los terceros, implicando que podría ocasionar riesgos en la prestación del servicio y aumentos de deuda para cubrir las obligaciones. Generando riesgos financieros, estratégicos, de imagen y de cumplimiento
FÓRMULA
![]()
Donde:
PsT: Pasivo Total
![]()
Donde:

Donde:
Valor contable que mide el resultado obtenido directamente relacionado con la operación de los servicios públicos domiciliarios de acueducto y alcantarillado.
Mecanismo mediante el cual se reconoce el desgaste y pérdida de valor que sufre un activo fijo por el uso del mismo en la generación de ingresos a través del tiempo.
Distribución del costo de una inversión como gasto a lo largo de los períodos en que esa inversión va a permitir obtener ingresos.
Costo en que incurre el prestador que está relacionado con los recursos que han sido tomados para financiación de inversiones. Sólo se deben sumar cuando hayan sido restados para calcular la Utilidad de Actividades Ordinarias.
Deterioro: Valor que se genera cuando el valor en libros de un activo es superior al valor recuperable.
FUENTE DE INFORMACIÓN SUI
FRECUENCIA DE MEDICIÓN Anual (año fiscal)
ESTÁNDAR DE MEDICIÓN 0 – 4
Este indicador tendrá calificación de la siguiente manera:
![]()
NORMALIZACIÓN

Referente de Evaluación (normalizado)
| Segmento | Meta o estándar de Medición | Escala de Medición |
| Grandes Prestadores | 100 | 0 o 100 |
SUB-DIMENSIÓN: SF.2 - INDICADORES DE FLUJO FINANCIERO
INDICADOR SF.2.3 Endeudamiento
DEFINICIÓN Corresponde a la medición del nivel de endeudamiento con el fin de determinar la necesidad de financiación, la capacidad de aumentar capital de trabajo y la inversión en activos fijos por parte del prestador.
JUSTIFICACIÓN Este indicador evidencia el riesgo financiero del prestador, asociado a un manejo financieramente incorrecto del endeudamiento y de la toma de decisiones de los prestadores para destinar los fondos con los que cuenta. Genera riegos financieros, estratégicos, de cumplimiento y de imagen.
FÓRMULA
1. Ecuación 1: ![]()
2. Ecuación 2:
?
3. Ecuación 3: ![]()
Donde:
Pasivo Total del periodo de evaluación t
Pasivo Total del periodo anterior al periodo de evaluación t
Activo Total del periodo de evaluación t
Activo Total del periodo anterior al periodo de evaluación t
Propiedad, planta y equipo bruta (sin depreciación y bajas de activos) en el periodo de evaluación t
Propiedad, planta y equipo bruta (sin depreciación y bajas de activos) en el periodo anterior al periodo de evaluación t
Cuentas por Cobrar Totales del periodo de evaluación t
Cuentas por Cobrar Totales del periodo anterior al periodo de evaluación t
Cuentas por Pagar Totales del periodo de evaluación t
Cuentas por Pagar Totales del periodo anterior al periodo de evaluación t
Inventario del periodo de evaluación t
Inventario del periodo anterior al periodo de evaluación t
A continuación, se presentan cada uno de los posibles escenarios con base en las ecuaciones anteriormente establecidas:

A continuación, se muestra el significado de cada uno de los posibles escenarios:
ES1: Se aumenta endeudamiento con terceros y no aumenta el capital de trabajo ni la inversión en CAPEX.
ES2: No aumentan endeudamiento con terceros, pero no se invierte en CAPEX y el capital de trabajo se disminuye haciendo complicado que se genere valor.
ES3: Se aumenta endeudamiento y aunque no se realice CAPEX el capital de trabajo aumenta.
ES4: Se aumenta endeudamiento, pero se genera CAPEX.
ES5: Sin necesidad de financiación se aumenta el capital de trabajo.
ES6: Se endeuda con terceros y logra aumentar el capital de trabajo e logra invertir en activos fijos.
ES7: Sin necesidad de financiación logra invertir en activos fijos aun cuando no aumenta el capital de trabajo.
ES8: Sin necesidad de financiación se logra aumentar capital de trabajo y se logra invertir en activos fijos.
Donde:
(Capital Expenditure) gasto que un prestador realiza en bienes de equipo, los cuales generan beneficios para la empresa, bien sea a través de la adquisición de nuevos activos fijos, o, a través de un aumento en el valor a los activos fijos ya existentes. Por lo anterior, el CAPEX, constituye la caja que un prestador dedica a mantener su inmovilizado en condiciones de producción y funcionamiento estables.
FUENTE DE INFORMACIÓN SUI
FRECUENCIA DE MEDICIÓN Anual (año fiscal)
ESTÁNDAR DE MEDICIÓN La meta del indicador corresponde a la identificación de un escenario posterior al 4 para el prestador.
Este indicador tendrá calificación de la siguiente manera:
![]()
NORMALIZACIÓN

Referente de Evaluación (normalizado)
| Segmento | Meta o estándar de Medición | Escala de Medición |
| Grandes Prestadores | 100 | 0 o 100 |
SUB-DIMENSIÓN: SF. 3 - INDICADORES DE GESTIÓN DE LA RENTABILIDAD Y ENDEUDAMIENTO
INDICADOR SF.3.1 Liquidez en el Corto Plazo – LCP
DEFINICIÓN Determina la capacidad de solventar las deudas exigibles hasta un año de plazo respecto a la fecha de cierre del ejercicio del periodo de evaluación, teniendo en cuenta el saldo de las inversiones por ejecutar.
JUSTIFICACIÓN Este indicador refleja la capacidad que tiene la empresa para solventar sus obligaciones de corto plazo. Esto permite evidenciar el riesgo financiero de iliquidez, ya que si el indicador disminuye o es bajo podría significar futuras deficiencias en la prestación de los servicios. Genera riesgos financieros, estratégicos y de cumplimiento.
FÓRMULA Para el cálculo del indicador se aplicará la siguiente fórmula:
![]()
Donde:
activo Corriente
ingreso causado por concepto de Costo Medio de Inversión –CMI derivados del POIR, durante el periodo de evaluación, sin ejecutar.
Los ingresos se determinarán teniendo en cuenta las Normas de Información Financiera, así como el grupo en el cual se clasifica el prestador de acuerdo a lo establecido en los decretos reglamentarios de la Ley 1314 de 2009.
Pasivo corriente del periodo de evaluación
FUENTE DE INFORMACIÓN SUI
FRECUENCIA DE MEDICIÓN Anual (año fiscal)
ESTÁNDAR DE MEDICIÓN Este indicador tendrá calificación por reporte de la totalidad de la información requerida para el cálculo, de la siguiente manera:
![]()
Referente de Evaluación
| Segmento | Meta o estándar de Medición | Escala de Medición |
| Grandes Prestadores | 100 | 0 o 100 |
SUB-DIMENSIÓN: SF. 3 - INDICADORES DE GESTIÓN DE LA RENTABILIDAD Y ENDEUDAMIENTO
INDICADOR SF.3.2 Índice Financiero asociado a la Eficiencia Operativa - IEO
DEFINICIÓN Este indicador mide la capacidad del prestador para cubrir sus costos y gastos operacionales, teniendo en cuenta los gastos asociados a la prestación del servicio y los ingresos por concepto de Costo Medio de Operación -CMO y Costo Medio de Administración - CMA.
JUSTIFICACIÓN Este indicador permite identificar si los ingresos generados por la prestación de los servicios públicos domiciliarios de acueducto y/o alcantarillado logran cubrir los costos y gastos administrativos y operativos generados en la prestación, lo cual incide en la viabilidad financiera del prestador. Genera riesgos financieros, estratégicos y de cumplimiento.
FÓRMULA

Donde:
ingreso causado por concepto de Costo Medio de Operación -CMO durante el periodo de evaluación.
ingreso causado por concepto de Costo Medio de Administración - CMA durante el periodo de evaluación.
Los ingresos se determinarán teniendo en cuenta las Normas de Información Financiera, así como el grupo en el cual se clasifica el prestador de acuerdo a lo establecido en los decretos reglamentarios de la Ley 1314 de 2009.
eficiencia en el Recaudo.
costos y Gastos administrativos y operativos asociados a la prestación del servicio.
gasto por concepto de Tasa de uso de agua y/o Tasa retributiva
FUENTE DE INFORMACIÓN SUI
FRECUENCIA DE MEDICIÓN Anual (año fiscal)
ESTÁNDAR DE MEDICIÓN
Este indicador tendrá calificación por reporte de la totalidad de la información requerida para el cálculo, de la siguiente manera:
![]()
Referente de Evaluación
| Segmento | Meta o estándar de Medición | Escala de Medición |
| Grandes Prestadores | 100 | 0 o 100 |
SUB-DIMENSIÓN: SF. 3 - INDICADORES DE GESTIÓN DE LA RENTABILIDAD Y ENDEUDAMIENTO
INDICADOR SF.3.3 Relación Deuda a Inversiones - RDI
DEFINICIÓN Corresponde a la medición de la relación de los ingresos por concepto del Costo Medio de Inversión - CMI para atender el servicio a la deuda de largo plazo.
JUSTIFICACIÓN Debido que el Costo Medio de Inversión - CMI debe cubrir la totalidad de la deuda asumida para financiar inversiones del prestador, este indicador mide el riesgo financiero asociado al hecho de que no se estén cubriendo inversiones con los ingresos correspondientes al CMI, lo que puede evidenciar un riesgo financiero, estratégico y de cumplimiento, de la persona prestadora.
FÓRMULA

Donde:
ICMI: ingreso causado por concepto de Costo Medio de Inversión –CMI derivados del POIR, durante el periodo de evaluación.
Los ingresos se determinarán teniendo en cuenta las Normas de Información Financiera, así como el grupo en el cual se clasifica el prestador de acuerdo a lo establecido en los decretos reglamentarios de la Ley 1314 de 2009.
ER: eficiencia en el recaudo
Servicio a la deuda No Corriente: sumatoria de cuotas de capital e intereses a largo plazo en el periodo de evaluación.
FUENTE DE INFORMACIÓN SUI
FRECUENCIA DE MEDICIÓN Anual (año fiscal)
ESTÁNDAR DE MEDICIÓN
Este indicador tendrá calificación por reporte de la totalidad de la información requerida para el cálculo, de la siguiente manera:
![]()
Referente de Evaluación
| Segmento | Meta o estándar de Medición | Escala de Medición |
| Grandes Prestadores | 100 | 0 o 100 |
El prestador que cuente con calificación crediticia(2), emitida por una calificadora de riesgo, con grado de inversión AAA a largo plazo, obtendrá un resultado de 12,5% en la dimensión S.F Sostenibilidad Financiera, siempre y cuando reporte al Sistema Único de Información -SUI para el período de evaluación, la respectiva certificación de calificación y la totalidad de la información requerida para el cálculo de cada uno de los indicadores que componen dicha dimensión.
D.6 Gobierno y Transparencia (GYT)
SUB-DIMENSIÓN: GYT.1 – ESTRUCTURA EMPRESARIAL
INDICADOR GYT.1.1 Índice de Rotación de Personal Directivo - IRDP
DEFINICIÓN Corresponde a la medición del nivel de rotación del personal directivo del prestador, siendo este el responsable de la toma de decisiones estratégicas en la prestación del servicio.
JUSTIFICACIÓN El indicador evidencia los riesgos operativos, estratégicos y de imagen del prestador asociados a la continuidad del personal directivo, ya que los cambios permanentes de dicho personal pueden afectar el cumplimiento de metas y la toma de decisiones, así como generar riesgo frente a la sostenibilidad de la empresa.
Lo anterior puede generar una gestión ineficiente en la prestación del servicio, como consecuencia de intereses particulares y no técnicos dentro de la toma de decisiones relevantes del prestador.
FÓRMULA

Donde:
índice de Rotación de Personal Directivo.
personal directivo correspondiente al gerente general o presidente, y/o a los directivos de áreas, quienes laboren y/o hayan laborado desde del año 2012 hasta el periodo de evaluación, donde i= {1, 2, 3, 4,..., L}.
años laborados del personal directivo ??.
FUENTE DE INFORMACIÓN SUI
FRECUENCIA DE MEDICIÓN Anual (año fiscal)
ESTÁNDAR DE MEDICIÓN
Este indicador tendrá calificación por reporte de la totalidad de la información requerida para el cálculo, de la siguiente manera:
![]()
Referente de Evaluación
| Segmento | Meta o estándar de Medición | Escala de Medición |
| Todos los prestadores | 100 | 0 o 100 |
SUB-DIMENSIÓN: GYT.1 - ESTRUCTURA EMPRESARIAL
INDICADOR GYT.1.2 Carga administrativa - CA
DEFINICIÓN Corresponde a la proporción de costos y gastos asociados al personal administrativo con respecto al total de los ingresos operacionales del prestador.
JUSTIFICACIÓN Este indicador evidencia la presencia de riesgos operativos, estratégicos y de imagen del prestador, asociados a una dependencia financiera respecto del cubrimiento del personal administrativo, evidenciando así, un exceso de recursos económicos destinados a este tipo de costos.
FÓRMULA
![]()
Donde:
carga administrativa.
costos y gastos anuales de personal administrativo. Entiéndase por “Costos y gastos anuales del personal administrativo” los costos anuales asociados a nómina y derivados de la relación contractual individual o colectiva con el prestador.
total de ingresos operativos anuales.
TIPO DE INDICADOR Cuantitativo
FUENTE DE INFORMACIÓN SUI
FRECUENCIA DE MEDICIÓN Anual (año fiscal)
ESTÁNDAR DE MEDICIÓN Este indicador tendrá calificación por reporte de la totalidad de la información requerida para el cálculo, de la siguiente manera:
![]()
Referente de Evaluación
| Segmento | Meta o estándar de Medición | Escala de Medición |
| Todos los prestadores | 100 | 0 o 100 |
SUB-DIMENSIÓN: GYT.2 - VALOR ECONÓMICO AGREGADO
INDICADOR GYT.2.1 Valor Económico Agregado - EVA
DEFINICIÓN Mide la creación de valor por parte del prestador, después de deducir el costo de oportunidad del capital empleado.
JUSTIFICACIÓN Este indicador verifica la presencia de riesgos operativos, estratégicos, financieros y de imagen del prestador, asociados con una falta de creación de valor al interior del prestador. Esto podría evidenciar una gestión ineficiente e inadecuada, tanto en la toma de decisiones como en el destino de los recursos económicos del mismo. Se estructura a partir de la información financiera del prestador.
FÓRMULA

Donde:
Utilidad Operativa Después de Impuestos, la cual se calcula como:
![]()
Valor contable que mide las ganancias obtenidas por una empresa, excluyendo factores externos; es decir, aquellos ingresos, costos y gastos operacionales relacionados directamente con el objeto de la empresa; la manera más simple de calcularse es tomar los ingresos operacionales y sustraerle los costos y gastos operacionales.
Costo promedio ponderado del capital o WACC*. El ???????? para grandes prestadores pertenecientes al primer y segundo segmento de la Resolución CRA 688 de 2014, o aquella que la modifique, adicione, sustituya o aclare, corresponden a 12,28% y 12,76% respectivamente. Por otra parte, para los pequeños prestadores, definidos en la Resolución CRA 825 de 2017 o aquella que la modifique, adicione, sustituya o aclare, esta variable corresponde a 14,85%. En caso que el prestado cuente con un WACC propio, este deberá ser reportado para efectos del cálculo del indicador.
Capital invertido, el cual se calcula como:
![]()
** Los pasivos operativos sin costos financieros corresponden a aquellas obligaciones con las que cuenta el prestador y sobre las cuales no se pagan intereses.
FUENTE DE INFORMACIÓN SUI
FRECUENCIA DE MEDICIÓN Anual (año fiscal)
ESTÁNDAR DE MEDICIÓN El resultado del EVA debe ser positivo, indicando que el prestador está generando valor. En caso de que el resultado del indicador sea negativo, el prestador se encontraría generando pérdidas.
Este indicador tendrá calificación, de la siguiente manera:
![]()
Referente de Evaluación
| Segmento | Meta o estándar de Medición | Escala de Medición |
| Todos los prestadores | 100 | 0 o 100 |
SUB-DIMENSIÓN: GYT.3 - DESARROLLO ESTRATÉGICO
INDICADOR GYT.3.1 Cumplimiento del PGR - CPGR
DEFINICIÓN Este indicador refleja la proyección y el cumplimiento de las acciones de mejora establecidas dentro del Plan de Gestión y Resultados del prestador - PGR, destinados a un progreso continuo en la prestación del servicio.
JUSTIFICACIÓN
El incumplimiento de las acciones de mejora establecidas dentro del PGR evidencia un riesgo operativo, estratégico y de imagen del prestador hacia una correcta prestación del servicio, al no mejorar la calificación de los indicadores en los que se encuentra en riesgo. Por otra parte, el seguimiento y cumplimiento del PGR reflejan un esfuerzo por mejorar la confianza de los suscriptores hacia el prestador y un avance continuo en la prestación de los servicios públicos domiciliarios.
FÓRMULA

Donde:
valor del PGR dentro de la subdimensión GYT.3 Desarrollo Estratégico” de la dimensión de “GYT. Gobierno y Transparencia” del prestador para el periodo de evaluación t.
Número de acciones cumplidas del tablero de control de acciones de mejora, en el periodo en evaluación t.
Número total de acciones establecidas en el tablero de acciones de mejora, para el periodo de evaluación anterior (t - 1).
Número de indicadores que cumplen con la meta propuesta en el tablero de control de planeación, en el periodo de evaluación ??.
Número total de indicadores establecidos en el tablero de control de planeación para el periodo de evaluación t, donde ![]()
FUENTE DE INFORMACIÓN SUI
FRECUENCIA DE MEDICIÓN Anual (año fiscal)
ESTÁNDAR DE MEDICIÓN 100%
NORMALIZACIÓN

Referente de Evaluación (Normalizado)
| Segmento | Meta o estándar de Medición | Escala de Medición |
| Todos los prestadores | 100 | 0 a 100 |
SUB-DIMENSIÓN: GYT.4 - GESTIÓN SOCIAL DEL AGUA
INDICADOR GYT. 4.1 Campañas de uso eficiente y ahorro del agua - CUEA
DEFINICIÓN Corresponde a la medición del cumplimiento del prestador hacia campañas dirigidas al uso eficiente y ahorro del agua, enmarcadas en la Ley 373 de 1997, o aquella que las modifique, adicione, sustituya o aclare.
JUSTIFICACIÓN Este indicador evalúa el riesgo operativo, estratégico, de imagen y financiero del prestador ocasionado por altos consumos que podrían generar inconvenientes que conlleven a un incremento de la cartera y la afectación al no poder cubrir la demanda, especialmente en épocas de sequía.
FÓRMULA
![]()
Donde:
campañas de uso eficiente y ahorro del agua.
número de campañas educativas del PUEAA realizadas.
número de campañas educativas fijadas en el PUEAA. El número de campañas educativas anuales deben corresponder al establecido por el prestador dentro de su Programa de Uso Eficiente y Ahorro del Agua (PUEAA) de acuerdo con el artículo 2o de la Ley 373 de 1997, reglamentado por el Decreto 1076 de 2015, o aquel que las modifique, adicione, sustituya o aclare, para el periodo de evaluación.
FUENTE DE INFORMACIÓN SUI
FRECUENCIA DE MEDICIÓN Anual (año fiscal).
ESTÁNDAR DE MEDICIÓN 100%
Normalización

Referente de Evaluación (Normalizado)
| Segmento | Meta o estándar de Medición | Escala de Medición |
| Todos los prestadores | 100 | 0 a 100 |
D.7 Sostenibilidad Ambiental-Acueducto (SA)
SUB-DIMENSIÓN: SA.1 - GESTIÓN AMBIENTAL DE ACUEDUCTO
INDICADOR SA.1.1 Índice de Pérdidas de Agua en la Aducción - IPAA
DEFINICIÓN Este indicador mide la relación entre el volumen de agua que es captado de medios naturales y el volumen entrante al sistema de tratamiento de agua.
JUSTIFICACIÓN Permite evidenciar las pérdidas del sistema en la aducción con el fin de determinar posibles riesgos asociados a posibles fugas que pueda interferir en la prestación del servicio. Lo anterior, puede generar riesgos operativos, estratégicos y de cumplimiento al prestador.
FÓRMULA

Donde:
índice de Pérdidas de Agua en la Aducción.
i: número de meses del periodo de evaluación en el que se prestó el servicio público domiciliario de acueducto, donde i = {1, 2, 3,..., m}. Si el servicio se prestó durante todo el periodo de evaluación, m corresponderá a 12.
índice de Pérdidas de Agua en la Aducción en el mes i, de acuerdo con:

Donde:
volumen de agua entrante al sistema de tratamiento. En caso dado que el prestador no cuente con un sistema de tratamiento, se empleará el volumen entrante al tanque(s) de almacenamiento.
volumen captado del medio natural para el suministro de agua.
Para el caso de prestadores que incurran en contratos de suministro de agua potable, como única fuente de abastecimiento del servicio público domiciliario de acueducto, el ponderador de este indicador será redistribuido de forma equitativa entre los demás indicadores de la subdimensión a la cual pertenece, o entre las demás sub-dimensiones en caso de que no existan más indicadores dentro de la sub-dimensión.
FUENTE DE INFORMACIÓN SUI
FRECUENCIA DE MEDICIÓN Anual (Año Fiscal)
ESTÁNDAR DE MEDICIÓN 100%
NORMALIZACIÓN

Referente de Evaluación (Normalizado)
| Segmento | Meta o estándar de Medición | Escala de Medición |
| Todos los prestadores | 100 | 0 a 100 |
SUB-DIMENSIÓN: SA.1 - GESTIÓN AMBIENTAL DE ACUEDUCTO
INDICADOR SA.1.2 Utilización del Recurso Agua - UA
DEFINICIÓN Este indicador mide el volumen de agua que es captado de medios naturales para el suministro del servicio de acueducto con relación al caudal ambiental otorgado por la autoridad ambiental.
JUSTIFICACIÓN Permite evidenciar el uso del volumen de agua concesionada de todas las fuentes de abastecimiento con el fin de determinar posibles riesgos asociados a la oferta hídrica requerida para cubrir la demanda y asegurar la continuidad del servicio. Lo anterior, puede generar riesgos operativos, estratégicos y de cumplimiento al prestador.
FÓRMULA
![]()
Donde:
Utilización del Recurso Agua.
i: número de meses del periodo de evaluación en el que se prestó el servicio público domiciliario de acueducto, donde i = {1, 2, 3,..., m}. Si el servicio se prestó durante todo el periodo de evaluación, m corresponderá a 12.
Utilización del Recurso Agua en el mes i, de acuerdo con:

Donde:
volumen captado del medio natural para el suministro de agua.
volumen correspondiente al caudal otorgado por la autoridad ambiental.
Para el caso de prestadores que incurran en contratos de suministro de agua potable, como única fuente de abastecimiento del servicio público domiciliario de acueducto, el ponderador de este indicador será redistribuido de forma equitativa entre los demás indicadores de la subdimensión a la cual pertenece, o entre las demás sub-dimensiones en caso de que no existan más indicadores dentro de la sub-dimensión.
FUENTE DE INFORMACIÓN SUI
FRECUENCIA DE MEDICIÓN Anual (año fiscal)
ESTÁNDAR DE MEDICIÓN Menor o igual a 100%
NORMALIZACIÓN

Referente de Evaluación (Normalizado)
| Segmento | Meta o estándar de Medición | Escala de Medición |
| Todos los prestadores | 100 | 0 a 100 |
SUB-DIMENSIÓN: SA.1 - GESTIÓN AMBIENTAL ACUEDUCTO
INDICADOR SA.1.3 Reporte de Afectación Hídrica asociada a Fenómenos Climáticos - RAHC
DEFINICIÓN Indica el grado de fragilidad del sistema hídrico para mantener una oferta en el abastecimiento de agua, durante periodos climáticos atípicos, indicando el promedio de días por evento de afectación.
JUSTIFICACIÓN Este indicador permite identificar el riesgo estratégico y de cumplimiento del prestador al presentarse variaciones en la oferta de agua en la fuente hídrica.
FÓRMULA

Donde:
Reporte de afectación Hídrica asociada a Fenómenos Climáticos.
periodos de afectación presentados durante el periodo de evaluación a causa de fenómenos climáticos (sequías e inundaciones), donde ??= {1, 2, …, ??}.
Entiéndase como “periodo de afectación” aquel periodo en el cual el caudal aumenta o disminuye afectando las condiciones de operación normal del sistema, ocasionando una disminuyendo el caudal entregado a los usuarios y/o una variación de parámetros fisicoquímicos, como la turbidez, que impiden la potabilización del agua.
días de duración del periodo de afectación e durante el periodo de evaluación.
El prestador deberá incluir el número de suscriptores que se vieron afectados en cada uno de los periodos de afectación.
Para el caso de prestadores que incurran en contratos de suministro de agua potable, como única fuente de abastecimiento del servicio público domiciliario de acueducto, el ponderador de este indicador será redistribuido de forma equitativa entre los demás indicadores de la subdimensión a la cual pertenece, o entre las demás sub-dimensiones en caso de que no existan más indicadores dentro de la sub-dimensión.
FUENTE DE INFORMACIÓN SUI
FRECUENCIA DE MEDICIÓN Anual (año fiscal)
ESTÁNDAR DE MEDICIÓN Este indicador tendrá calificación por reporte de la totalidad de la información requerida para el cálculo, de la siguiente manera:
![]()
Referente de Evaluación (Normalizado)
| Segmento | Meta o estándar de Medición | Escala de Medición |
| Todos los prestadores | 100 | 0 o 100 |
D.7 Sostenibilidad Ambiental-Alcantarillado (SA)
SUB-DIMENSIÓN: GESTIÓN AMBIENTAL ALCANTARILLADO (SA.2)
INDICADOR SA.2.1 Factor Regional - FR
DEFINICIÓN Corresponde a la medición de la gestión del prestador, con relación al manejo y el tratamiento de aguas residuales mediante valor del factor regional, establecido por la autoridad ambiental en el Decreto 1076 de 2015 del Ministerio de Ambiente y Desarrollo Sostenible.
JUSTIFICACIÓN Un manejo y/o tratamiento inadecuado puede generar riesgos operativos, estratégicos y de cumplimiento para el prestador, evidenciando con esto una incorrecta gestión de la depuración de las mismas.
FÓRMULA
![]()
Siendo el
establecido por la autoridad ambiental para el periodo de evaluación.
FRECUENCIA DE MEDICIÓN Anual (año fiscal)
ESTÁNDAR DE MEDICIÓN 1
NORMALIZACIÓN

Referente de Evaluación (Normalizado)
| Segmento | Meta o estándar de Medición | Escala de Medición |
| Todos los prestadores | 100 | 0 a 100 |
SUB-DIMENSIÓN: SA.2 - GESTIÓN AMBIENTAL ALCANTARILLADO
INDICADOR SA.2.2 Aprobación del PSMV
DEFINICIÓN Este indicador verifica que se cuente con plan de Saneamiento y Manejo de Vertimientos – PSMV del prestador aprobado por la autoridad ambiental, acorde con lo establecido en la Resolución 1433 del Ministerio de Ambiente y Desarrollo Sostenible.
JUSTIFICACIÓN El PSMV es el instrumento necesario para establecer las acciones e inversiones requeridas para el manejo de vertimientos acorde con las normas ambientales. No contar con este plan puede conllevar a un riesgo de cumplimento, de imagen, estratégico y operativo dado que no se definirían los recursos necesarios para realizar las inversiones que se requieran para una correcta gestión de vertimientos. Evidencia la presencia de riesgos operativos, ambientales y estratégicos del prestador.
FÓRMULA
![]()
FUENTE DE INFORMACIÓN SUI
FRECUENCIA DE MEDICIÓN Anual (año fiscal)
ESTÁNDAR DE MEDICIÓN 1
NORMALIZACIÓN

Referente de Evaluación (Normalizado)
| Segmento | Meta o estándar de Medición | Escala de Medición |
| Pequeños prestadores | 100 | 0 o 100 |
SUB-DIMENSIÓN: SA.2 - GESTIÓN AMBIENTAL ALCANTARILLADO
INDICADOR SA.2.3 Gestión de Lodos Resultantes - GLR
DEFINICIÓN Corresponde a la evaluación de la adecuada gestión de los lodos generados en los procesos de depuración de aguas residuales por parte del prestador. El tratamiento y disposición de lodos deben realizarse según lo establecido por la Resolución 330 de 2017 del Ministerio de Vivienda, Ciudad y Territorio.
JUSTIFICACIÓN Este indicador evidencia el riesgo de imagen, de cumplimiento, operativo y estratégico del prestador, en función del porcentaje de tratamiento de los lodos generados en los procesos asociados a la prestación del servicio del mismo.
FÓRMULA

Donde:
gestión de Lodos Resultantes.
i: número de meses del periodo de evaluación en el que se prestó el servicio público domiciliario de acueducto, donde i = {1, 2, 3,..., m}. Si el servicio se prestó durante todo el periodo de evaluación, m corresponderá a 12.
gestión de Lodos Resultantes para el mes i, de acuerdo con:

Donde:
cantidad de lodos sujetos a tratamiento y disposición.
cantidad de lodos generados en m³.
En el caso en que no se preste la actividad de tratamiento de aguas residuales, el ponderador de este indicador será redistribuido de forma equitativa entre los demás indicadores de la subdimensión a la cual pertenece, o entre las demás sub-dimensiones en caso de que no existan más indicadores dentro de la sub-dimensión.
FRECUENCIA DE MEDICIÓN Anual (año fiscal)
ESTÁNDAR DE MEDICIÓN Este indicador tendrá calificación por reporte de la totalidad de la información requerida para el cálculo, de la siguiente manera:
![]()
Referente de Evaluación
| Segmento | Meta o estándar de Medición | Escala de Medición |
| Todos los prestadores | 100 | 0 o 100 |
D.8 Gestión Tarifaria (GT)- Acueducto
Para el caso de prestadores que empleen una estructuración tarifaria y de metas, con base en un acuerdo contractual para el servicio público domiciliario de acueducto, el ponderador de esta dimensión será redistribuido de forma equitativa entre las demás dimensiones.
SUB-DIMENSIÓN: GT.1 - GESTIÓN TARIFARIA ACUEDUCTO
INDICADOR GT.1.1 Aplicación del Valor Resultante de la Metodología Tarifaria Acueducto
DEFINICIÓN Este indicador verifica si el prestador está aplicando los costos de referencia resultantes de aplicar la metodología tarifaria para el servicio público domiciliario de acueducto.
JUSTIFICACIÓN La no aplicación del marco tarifario tiene incidencia directa en la sostenibilidad de la prestación de los servicios y conlleva riesgos operativos, estratégicos, financieros y de cumplimiento asociados a la imposibilidad de operar adecuadamente el servicio público domiciliario de acueducto al no disponer de los recursos necesarios, insuficiencia financiera, aumento en las quejas y reclamos por parte de los usuarios e imposición de sanciones por parte de la SSPD
FÓRMULA
![]()
Donde:
aplicación del Valor Resultante de la Metodología Tarifaria Acueducto.
t: periodo tarifario que finaliza en el periodo de evaluación del indicador.
corresponde al valor de la tarifa cobrada por el prestador por concepto de cargo fijo y cargo por consumo.
corresponde a la tarifa resultante por concepto de cargo fijo y cargo por consumo para el servicio público domiciliario en el estudio de costos, incluyendo actualizaciones por índices de precios.
FUENTE DE INFORMACIÓN SUI
FRECUENCIA DE MEDICIÓN Anual (año tarifario)
ESTÁNDAR DE MEDICIÓN 0
NORMALIZACIÓN La normalización se hará de la siguiente forma:
![]()
Referente de Evaluación (Normalizado)
| Segmento | Meta o estándar de Medición | Escala de Medición |
| Todos los prestadores | 100 | 0 o 100 |
SUB-DIMENSIÓN: GT.1 - GESTIÓN TARIFARIA ACUEDUCTO
INDICADOR GT.1.2 Cumplimiento Metas de Cobertura Acueducto
DEFINICIÓN Corresponde a la evaluación del cumplimiento de las metas de cobertura establecidas por el prestador en su estudio de costos vigente y las tarifas que aplica para el servicio público domiciliario de acueducto.
JUSTIFICACIÓN Este indicador permite evitar que se generen riesgos operativos, estratégicos, de imagen y de cumplimiento, asociados a problemas en la prestación del servicio público domiciliario de acueducto y sanciones de los organismos de control en el evento de darse incumplimientos en la ejecución de las metas.
FÓRMULA
![]()
Donde:
cumplimiento Metas de Cobertura Acueducto.
t: periodo tarifario que finaliza en el periodo de evaluación del indicador.
número de nuevos suscriptores del servicio público domiciliario de acueducto del prestador en el año tarifario
evaluado.
Corresponde a la meta establecida por prestador, de acuerdo con lo definido en el TÍTULO IX de la Resolución CRA 688 de 2014, para el estándar de cobertura en el año tarifario p evaluado.
FUENTE DE INFORMACIÓN SUI
FRECUENCIA DE MEDICIÓN Anual (año tarifario)
ESTÁNDAR DE MEDICIÓN 100%. Para valores superiores a 100% se asume cumplido el 100%
NORMALIZACIÓN

Referente de Evaluación (Normalizado)
| Segmento | Meta o estándar de Medición | Escala de Medición |
| Grandes prestadores | 100 | 0 a 100 |
SUB-DIMENSIÓN: GT.1- GESTIÓN TARIFARIA ACUEDUCTO
INDICADOR GT.1.3 Cumplimiento Metas de Continuidad Acueducto
DEFINICIÓN Este indicador evalúa el cumplimiento de las metas de continuidad establecidas por el prestador para el servicio público domiciliario de acueducto acorde con el estudio de costos vigente y la tarifas que aplica.
JUSTIFICACIÓN Un incumplimiento del indicador permite evidenciar la presencia de riesgos operativos, de imagen, estratégicos y de cumplimiento del prestador, los cuales podrían generar problemas en la prestación del servicio público domiciliario de acueducto y sanciones de los organismos de control en el evento de darse incumplimientos en la ejecución de las metas.
FÓRMULA Para el cálculo del indicador se aplicará la siguiente fórmula:
![]()
Donde:
Cumplimiento Metas de Continuidad Acueducto.
t: periodo tarifario que finaliza en el periodo de evaluación del indicador.
relación entre el número de días de prestación del servicio de acueducto con respecto a los días totales del año tarifario ?? evaluado.
meta establecida por el prestador para el estándar de continuidad en el año tarifario t evaluado, de acuerdo con lo definido en el TÍTULO IX de la Resolución CRA 688 de 2014 para grandes prestadores, y en los artículos 12 y 24 de la Resolución CRA 825 de 2017 para pequeños prestadores.
FUENTE DE INFORMACIÓN SUI
FRECUENCIA DE MEDICIÓN Anual (año tarifario)
ESTÁNDAR DE MEDICIÓN 100%. Para valores superiores a 100% se asume cumplido el 100%
NORMALIZACIÓN

Referente de Evaluación (Normalizado)
| Segmento | Meta o estándar de Medición | Escala de Medición |
| Todos los prestadores | 100 | 0 a 100 |
SUB-DIMENSIÓN: GT.1 - GESTIÓN TARIFARIA ACUEDUCTO
INDICADOR GT.1.4 Cumplimiento Metas en Reducción de Pérdidas
DEFINICIÓN Este indicador permite medir el avance obtenido por el prestador, en lo relación con la reducción de pérdidas técnicas y comerciales de agua en su(s) APS con relación al valor establecido regulatoriamente.
JUSTIFICACIÓN En la medida que el valor real ejecutado corresponda al valor establecido en la regulación, se mitiga el riesgo operativo, financiero, de cumplimiento y estratégico asociado a la afectación y disponibilidad del recurso hídrico (pérdidas técnicas), afectación por problemas de facturación (pérdidas comerciales) e incumplimiento de metas.
FÓRMULA Para el cálculo del indicador se aplicará la siguiente fórmula:
![]()
Donde:
Cumplimiento Metas en Reducción de Pérdidas.
t: periodo tarifario que finaliza en el periodo de evaluación del indicador.
Corresponde a la meta establecida por el prestador, siguiendo lo establecido en el TÍTULO IX de la Resolución CRA 688 de 2014, para el estándar de reducción de pérdidas (IPUF) en el año tarifario t evaluado.
Corresponde al índice de pérdidas por usuario facturado del servicio público domiciliario de acueducto del prestador en el año tarifario ?? evaluado.
FUENTE DE INFORMACIÓN SUI
FRECUENCIA DE MEDICIÓN Anual (año tarifario)
ESTÁNDAR DE MEDICIÓN 100%. Para valores superiores a 100% se asume cumplido el 100%
NORMALIZACIÓN

Referente de Evaluación (Normalizado)
| Segmento | Meta o estándar de Medición | Escala de Medición |
| Grandes prestadores | 100 | 0 a 100 |
SUB-DIMENSIÓN: GT.1 - GESTIÓN TARIFARIA ACUEDUCTO
INDICADOR GT.1.5 Cumplimiento Medición del Agua Captada
DEFINICIÓN Corresponde a la verificación del cumplimiento de la medición del volumen de agua captada en la bocatoma por parte del prestador.
JUSTIFICACIÓN El indicador busca evidenciar los riesgos operativos, estratégicos y de cumplimiento, asociados a una falta de medición del agua captada por el prestador, generando con esto imposibilidad de seguimiento al nivel de pérdidas de agua ocasionada entre la captación y la PTAP o los tanques de almacenamiento. Ante mayor volumen de pérdidas puede estar en riesgo la continuidad del servicio público domiciliario de acueducto, se afecta la prestación del servicio y el medio ambiente.
FÓRMULA Para el cálculo del indicador se aplicará la siguiente fórmula:
![]()
Donde:
Cumplimiento Medición del Agua Captada.
El cumplimiento corresponde a lo establecido en el parágrafo 4 del artículo 54 de la Resolución CRA 688 de 2014.
FUENTE DE INFORMACIÓN SUI
FRECUENCIA DE MEDICIÓN Anual (año fiscal)
ESTÁNDAR DE MEDICIÓN 1
NORMALIZACIÓN

Referente de Evaluación (Normalizado)
| Segmento | Meta o estándar de Medición | Escala de Medición |
| Grandes prestadores | 100 | 0 o 100 |
SUB-DIMENSIÓN: GT.1 - GESTIÓN TARIFARIA ACUEDUCTO
INDICADOR GT.1.6 Cumplimiento Metas de Micromedición
DEFINICIÓN Este indicador permite verificar el cumplimiento de las metas de micromedición establecidas por el prestador para el servicio público domiciliario de acueducto acorde con el estudio de costos vigente y la tarifas que aplica.
JUSTIFICACIÓN Un incumplimiento del indicador genera riesgos operativos, estratégicos, financieros y de cumplimiento del prestador. lo anterior, puede afectar la prestación del servicio e insuficiencia financiera debido a la falta de precisión en el volumen de agua facturado por el prestador.
FÓRMULA Para el cálculo del indicador se aplicará la siguiente fórmula:
![]()
Donde:
Cumplimiento Metas de Micromedición.
t: periodo tarifario que finaliza en el periodo de evaluación del indicador.
Corresponde al porcentaje de micromedición real en el año tarifario t evaluado, de acuerdo con el indicador de micromedición definido en los artículos 12 y 24 de la Resolución CRA 825 de 2017.
Corresponde a la meta establecida por prestador, para el estándar de micromedición en el año tarifario t evaluado, según lo definido en los artículos 12 y 24 de la Resolución CRA 825 de 2017.
FUENTE DE INFORMACIÓN SUI
FRECUENCIA DE MEDICIÓN Anual (año tarifario)
ESTÁNDAR DE MEDICIÓN 100%. Para valores superiores a 100% se asume cumplido el 100%
NORMALIZACIÓN

Referente de Evaluación (Normalizado)
| Segmento | Meta o estándar de Medición | Escala de Medición |
| Pequeños prestadores | 100 | 0 a 100 |
D.8 Gestión Tarifaria (GT)- Alcantarillado
Para el caso de prestadores que empleen una estructuración tarifaria y de metas, con base en un acuerdo contractual para el servicio público domiciliario de alcantarillado, el ponderador de esta dimensión será redistribuido de forma equitativa entre las demás dimensiones.
SUB-DIMENSIÓN: GT.2 - GESTIÓN TARIFARIA ALCANTARILLADO
INDICADOR GT.2.1 Aplicación del Valor Resultante de la Metodología Tarifaria Alcantarillado
DEFINICIÓN Este indicador verifica si el prestador está aplicando los costos de referencia resultantes de aplicar la metodología tarifaria para el servicio público domiciliario de alcantarillado.
JUSTIFICACIÓN La no aplicación del marco tarifario tiene incidencia directa en la sostenibilidad de la prestación de los servicios y conlleva riesgos operativos, estratégicos, financieros y de cumplimiento asociados a la imposibilidad de operar adecuadamente el servicio público domiciliario de alcantarillado al no disponer de los recursos necesarios, insuficiencia financiera, aumento en las quejas y reclamos por parte de los usuarios e imposición de sanciones por parte de la SSPD
FÓRMULA Para el cálculo del indicador se aplicará la siguiente fórmula:
![]()
Donde:
aplicación del Valor Resultante de la Metodología Tarifaria Alcantarillado.
t: periodo tarifario que finaliza en el periodo de evaluación del indicador.
corresponde al valor de la tarifa cobrada por el prestador por concepto de cargo fijo y cargo por consumo.
corresponde a la tarifa resultante por concepto de cargo fijo y cargo por consumo para el servicio público domiciliario en el estudio de costos, incluyendo actualizaciones por índices de precios.
FUENTE DE INFORMACIÓN SUI
FRECUENCIA DE MEDICIÓN Anual (año tarifario)
ESTÁNDAR DE MEDICIÓN 0
NORMALIZACIÓN La normalización se hará de la siguiente forma:
![]()
Referente de Evaluación (Normalizado)
| Segmento | Meta o estándar de Medición | Escala de Medición |
| Todos los prestadores | 100 | 0 o 100 |
SUB-DIMENSIÓN: GT.2 - GESTIÓN TARIFARIA ALCANTARILLADO
INDICADOR GT.2.2 Cumplimiento Metas de Cobertura Alcantarillado
DEFINICIÓN Corresponde a la evaluación del cumplimiento de las metas de cobertura establecidas por el prestador en su estudio de costos vigente para el servicio público domiciliario de alcantarillado, las tarifas que aplica.
JUSTIFICACIÓN Este indicador permite evitar que se generen riesgos operativos, estratégicos y de cumplimiento, asociados a problemas en la prestación del servicio público domiciliario de alcantarillado y sanciones de los organismos de control en el evento de darse incumplimientos en la ejecución de las metas.
FÓRMULA Para el cálculo del indicador se aplicará la siguiente fórmula:
![]()
Donde:
Cumplimiento Metas de Cobertura Alcantarillado.
t: periodo tarifario que finaliza en el periodo de evaluación del indicador.
Corresponde al número de nuevos suscriptores del servicio público domiciliario de alcantarillado del prestador en el año tarifario ?? evaluado.
Corresponde a la meta establecida por el prestador, siguiendo lo establecido el TÍTULO IX de la Resolución CRA 688 de 2014, para el estándar de cobertura en el año tarifario t evaluado.
FUENTE DE INFORMACIÓN SUI
FRECUENCIA DE MEDICIÓN Anual (año tarifario)
ESTÁNDAR DE MEDICIÓN 100%. Para valores superiores a 100% se asume cumplido el 100%
NORMALIZACIÓN

Referente de Evaluación (Normalizado)
| Segmento | Meta o estándar de Medición | Escala de Medición |
| Grandes prestadores | 100 | 0 a 100 |
TABLERO DE PLANEACIÓN - PGR.







TABLERO DE CONTROL DE LA PLANEACIÓN.



Para aquellos indicadores que no tengan establecido un estandar de medicion, la planeacion de sus metas debe realizarse sobre el reporte completo de varibales de indicador.
Dependiendo de la naturaleza del prestado y/o de la actividades que este presta, los siguientes indicadores podrian no requerir definicion dentro del tablero de planeacion debido a que estos no aplicarian para el prestador: EP.1.1. Indice de ejecucion de inversiones de acueducto - IIAC, EP.2.1. Indice de ejecucion de inversiones de alcantarillado - IIAL, EO. 3.1. Consumo energetico acueducto - CEA, EO.3.2. Consumo energetico alcantarillado – CEAL, SA.1.1 Índice de Pérdidas de Agua en la Aducción – IPAA, SA.1.2 Utilización del Recurso Agua – UA, SA.1.3 Reporte de Afectación Hídrica asociada a Fenómenos Climáticos – RAHC y SA.2.3 Gestión de Lodos Resultantes – GLR y aquellos indicadores que conforman la dimensión de Gestión Tarifaria (para el caso de prestadores con tarifas contractuales)






Dependiendo de la naturaleza del prestado y/o de las actividades que este presta, los siguientes indicadores podrían no requerir definición dentro del tablero de control de planeación, debido a que estos no aplicarían para el prestador: EP.1.1. Índice de Ejecución de Inversiones de Acueducto – IIAC, EP.2.1. Índice de Ejecución de Inversiones de Alcantarillado – IIAL, EO.3.1. Consumo energético Acueducto – CEA, EO.3.2. Consumo energético Alcantarillado – CEAL, SA.1.1 Índice de Pérdidas de Agua en la Aducción – IPAA, SA.1.2 Utilización del Recurso Agua – UA, SA.1.3 Reporte de Afectación Hídrica asociada a Fenómenos Climáticos – RAHC y SA.2.3 Gestión de Lodos Resultantes – GLR y aquellos indicadores que conforman la dimensión de Gestión Tarifaria (para el caso de prestadores con tarifas contractuales).


GUÍA IDENTIFICACIÓN DE RIESGOS.
El riesgo es la probabilidad de ocurrencia de un evento. El evento asociado al riesgo conlleva a un impacto, y en la medida en que este impacto sea mayor, el riesgo aumenta, lo cual se puede observar en la siguiente ecuación:
![]()
A continuación, se presenta el paso a paso de la guía para la identificación de riesgos:
1. Identificar los indicadores del tablero de control de la planeación que en la columna calificación tengan un valor normalizado menor a 100 puntos.
2. Frente a los indicadores identificados en el paso 1, se recomienda que por medio de una técnica de identificación de causas como por ejemplo una “lluvia de ideas”(19) se identifiquen las causas que originan el resultado menor a 100 puntos, de tal forma que los participantes de la reunión puedan plantear los riesgos a los que está expuesto el prestador. Se recomienda que a esta reunión asistan personas de todas las áreas de la empresa, puesto que pueden llegar a analizarse indicadores asociados a cada una de ellas. El resultado de este punto, deberá arrojar las causas y riesgos, respecto de los indicadores identificados en el paso 1.
3. No todos los riesgos identificados en el paso anterior pueden llegar a tener las mismas consecuencias (impactos) sobre la prestación del servicio, es por ello que se debe enfocar en los que pueden llegar a perjudicar en una mayor medida dicha prestación, así como en los que tengan una mayor probabilidad de ocurrencia. En ese sentido, los riesgos se ubicarán en la siguiente matriz:
Cuadro 7.1 Matriz de riesgos.

La matriz anterior permite ordenar los riesgos teniendo en cuenta dos parámetros de entrada (probabilidad de ocurrencia e impacto), frente a los parámetros, el prestador deberá juzgar en qué nivel considera que se encuentra el riesgo, para de esta forma proceder a clasificarlo.
Guardando relación con la metodología establecida por el Departamento Administrativo de la Función Pública - DAFP(20), se considera el siguiente significado para los niveles de probabilidad de ocurrencia e impacto:
- Probabilidad de ocurrencia alta: Se espera que el evento ocurra más de una vez al año.
- Probabilidad de ocurrencia media: El evento se ha presentado al menos una vez en los últimos dos años.
- Probabilidad de ocurrencia baja: Un evento que no se ha presentado en los últimos 5 años.
- Impacto leve: Si el hecho llegara a presentarse, tendría consecuencias mínimas sobre el prestador.
- Impacto moderado: Si el hecho llegara a presentarse, tendría medianas consecuencias sobre el prestador.
- Impacto catastrófico: Si el hecho llegara a presentarse, tendría consecuencias desastrosa sobre el prestador.
4. El análisis de probabilidad e impacto frente a cada uno de los riesgos identificados en el paso 2, le permitirá al prestador ubicar cada riesgo en una de las 9 casillas de la matriz, de tal forma que respecto de cada tipo de riesgo se deberá realizar lo siguiente:
- Riesgos aceptables y tolerables: No representan una amenaza para el prestador y por tanto solo se asumirán, es decir no se tomarán acciones de mejora frente a ellos.
- Riesgos moderados, importantes e inaceptables: Son los riesgos sobre los cuales se plantearán las acciones de mejora a consignar en el tablero de acciones de mejora. Finalmente, para cada uno de estos riesgos se debe plantear como mínimo una acción de mejora y metas a corto plazo (5 años).
TABLERO DE ACCIONES DE MEJORA.

* Cada Acción de mejora deberá especificar a que APS corresponde.
TABLERO DE CONTROL DE ACCIONES DE MEJORA.

* Cada Acción de mejora deberá especificar a que APS corresponde.
ARTÍCULO SEGUNDO. <Ver prórrogas en Notas de Vigencia> INICIAR el proceso de discusión directa con los usuarios, prestadores, gremios y demás agentes del sector e interesados. Para el efecto, establézcase un término de cuarenta y cinco (45) días hábiles, contados a partir de la fecha de publicación de la presente resolución en el Diario Oficial, para recibir las observaciones, reparos o sugerencias.
ARTÍCULO TERCERO. INVITAR a las personas prestadoras de los servicios públicos domiciliarios de acueducto y/o alcantarillado, a la Superintendencia de Servicios Públicos Domiciliarios, y a todos los interesados en general, para que remitan observaciones, reparos o sugerencias a la propuesta consagrada en el ARTÍCULO PRIMERO de la presente resolución, así como al documento de trabajo, que también se harán públicos en la página web www.cra.gov.co.
ARTÍCULO CUARTO. Las observaciones, reparos o sugerencias, se recibirán en las instalaciones de la Comisión de Regulación de Agua Potable y Saneamiento Básico, ubicada en la Carrera 12 No. 97-80, Piso 2, Edificio 97 Punto Empresarial, de Bogotá D.C., teléfono 487 38 20, en la línea nacional gratuita 01 8000 517 565, en el correo electrónico correo@cra.gov.co o en el fax 489 76 50.
La Subdirección de Regulación de la Comisión de Regulación de Agua Potable y Saneamiento Básico, recibirá las observaciones, reparos o sugerencias y atenderá las solicitudes de información sobre el proyecto regulatorio.
ARTÍCULO QUINTO. VIGENCIA. La presente resolución rige a partir de la fecha de su publicación en el Diario Oficial.
PUBLÍQUESE Y CÚMPLASE.
Dada en Bogotá D.C. a los (21) días del mes de diciembre de 2018.
JOSE LUIS ACERO VERGEL
Presidente
GERMAN EDUARDO OSORIO CIFUENTES
Director Ejecutivo
NOTAS AL FINAL:
1. Anexo 1 de la Resolución CRA 688 de 2014.
2. Expedida por personas jurídicas que hayan obtenido el respectivo permiso de funcionamiento por parte de la Superintendencia Financiera de Colombia y se encuentren inscritas en el Registro Nacional de Agentes del Mercado de Valores
3. Adimensional: se define como una magnitud o unidad sin dimension fisica asociada, siendo por tanto un número puro que permite describir una caracteristica, sin dimension ni unidad de expresion explicada.
4. Se establecen dos filas, la primera para indicar la meta generalde indicador, y la segunda para indicar el valor meta con el que calcula el indicador, el cual debe establecerse acorde al desarrollo del estudio de costos del prestador.
5. Ibid
6. Ibid
7. Ibid
8. Ibid
9. Adimensional: se define como una magnitud o unidad sin dimension fisica asociada, siendo por tanto un numero puro que permite describrir una caracteristica, sin dimension ni unidad de expresion explicada.
11. Adimensional: se define como una magnitud o unidad sin dimension fisica asociada, siendo por tanto un numero puro que permite describir una caracteristica, sin dimension ni unidad de expresion explicada.
10. Ibid
12. Se establecen dos filas, la primera para indicar la meta general del indicador, y la segunda para indicar el valor meta con el que se calcula el indicador, el cual debe establecerse acorde al desarrollo del estudio de costos del prestador.
13. Ibíd
14. Ibíd
15. Ibíd
16. Ibíd
17. Adimensional: Se define como una magnitud o unidad sin dimensión física asociada, siendo por tanto un número puro que permite describir una característica, sin dimensión ni unidad de expresión explicita
18. Ibíd
19. Consiste en una reunión en la que participa personal de la empresa, para que cada uno participe frente a un tema en específico.
20. Guía para la administración del riesgo. Departamento Administrativo de la Función Pública (2011).