RESOLUCIÓN 172 DE 2011
(diciembre 1o)
Diario Oficial No. 48.295 de 27 de diciembre de 2011
COMISIÓN DE REGULACIÓN DE ENERGÍA Y GAS
Por la cual se establece la metodología para la implementación de los Planes de reducción de pérdidas no técnicas en los Sistemas de Distribución Local.
LA COMISIÓN DE REGULACIÓN DE ENERGÍA Y GAS,
en ejercicio de las atribuciones legales, en especial las conferidas por las Leyes 142 y 143 de 1994, y los Decretos 1524 y 2253 de 1994.
CONSIDERANDO:
Que conforme a lo previsto en el numeral 14.10 del artículo 14, de la Ley 142 de 1994 la libertad regulada es el régimen de tarifas mediante el cual la comisión de regulación respectiva fijará los criterios y la metodología con arreglo a los cuales las empresas de servicios públicos domiciliarios pueden determinar o modificar los precios máximos para los servicios ofrecidos al usuario o consumidor;
Que de acuerdo con el numeral 88.1 del artículo 88 de la Ley 142 de 1994, “las empresas deberán ceñirse a las fórmulas que defina periódicamente la respectiva comisión para fijar sus tarifas, salvo en los casos excepcionales que señala la ley. De acuerdo con los estudios de costos, la comisión reguladora podrá establecer topes máximos y mínimos tarifarios, de obligatorio cumplimiento por parte de las empresas; igualmente, podrá definir las metodologías para determinación de tarifas si conviene en aplicar el régimen de libertad regulada o vigilada”;
Que en concordancia con lo anterior, el artículo 11 de la Ley 143 de 1994 dispone que, bajo el régimen tarifario de libertad regulada le corresponde a la Comisión de Regulación de Energía y Gas fijar “los criterios y la metodología con arreglo a los cuales las empresas de electricidad podrán determinar o modificar los precios máximos para los servicios ofrecidos”;
Que según lo dispuesto en el artículo 87 de la Ley 142 y el artículo 44 de la Ley 143 del mismo año, el régimen tarifario para usuarios finales regulados de una misma empresa estará orientado por los criterios de eficiencia económica, suficiencia financiera, neutralidad, solidaridad y redistribución del ingreso, simplicidad y transparencia;
Que en virtud del principio de eficiencia económica definido en el numeral 87.1 del artículo 87 de la Ley 142 y el artículo 44 de la Ley 143 del mismo año, el régimen de tarifas procurará que estas se aproximen a lo que serían los precios de un mercado competitivo, garantizándose una asignación eficiente de recursos en la economía;
Que el artículo 144 de la Ley 142 de 1994 establece que los contratos uniformes pueden exigir que los suscriptores o usuarios adquieran, instalen, mantengan y reparen los instrumentos necesarios para medir sus consumos, que la empresa podrá establecer en las condiciones uniformes del contrato las características técnicas de los medidores, y del mantenimiento que deba dárselas y que será obligación de los usuarios hacerlos reparar o reemplazarlos, a satisfacción de la empresa, cuando se establezca que el funcionamiento no permite determinar en forma adecuada los consumos, o cuando el desarrollo tecnológico ponga a su disposición instrumentos de medida más precisos;
Que de acuerdo con el numeral 87.8 del artículo 87 de la Ley 142 de 1994, toda tarifa tendrá un carácter integral, en el sentido de que supondrá una calidad y grado de cobertura del servicio, cuyas características definirán las comisiones reguladoras. Un cambio en estas características se considerará como un cambio en la tarifa;
Que según lo previsto en el artículo 6o de la Ley 143 de 1994, la actividad de distribución de energía eléctrica se rige por los principios de eficiencia, calidad, continuidad, adaptabilidad, neutralidad, solidaridad y equidad;
Que conforme al artículo 126 de la Ley 142 de 1994, las fórmulas tarifarias tendrán una vigencia de cinco (5) años, salvo que antes haya acuerdo entre la empresa de servicios públicos y la comisión para modificarlas o prorrogarlas por un período igual.
Que de acuerdo con lo previsto en los artículos 23, literales c) y d), y 41 de la Ley 143 de 1994, es función de la Comisión de Regulación de Energía y Gas definir la metodología para el cálculo y fijar las tarifas por el acceso y uso de las redes eléctricas, así como el procedimiento para hacer efectivo su pago;
Que el artículo 45 de la Ley 143 de 1994 dispuso que “los costos de distribución que servirán de base para la definición de tarifas a los usuarios regulados del servicio de electricidad, por parte de la Comisión de Regulación de Energía y Gas, tendrán en cuenta empresas eficientes de referencia según áreas de distribución comparables, teniendo en cuenta las características propias de la región, tomarán en cuenta los costos de inversión de las redes de distribución, incluido el costo de oportunidad de capital, y los costos de administración, operación y mantenimiento por unidad de potencia máxima suministrada. Además, tendrán en cuenta niveles de pérdidas de energía y potencia característicos de empresas eficientes comparables”;
Que mediante el Decreto 387 de 2007, modificado por el Decreto 4977 de 2007, el Gobierno Nacional estableció las políticas generales en relación con la actividad de comercialización del servicio de energía eléctrica;
Que la Comisión de Regulación de Energía y Gas mediante la Resolución CREG 119 de 2007 estableció la fórmula tarifaria general que permite a los Comercializadores Minoristas de electricidad establecer los costos de prestación del servicio a usuarios regulados en el Sistema Interconectado Nacional, incluyendo la variable CPROGi incorporando las políticas definidas en el Decreto 387 de 2007, modificado por el Decreto 4977 del 27 de diciembre de 2007;
Que la Comisión de Regulación de Energía y Gas, mediante la Resolución CREG 121 de 2007, incorporó las políticas definidas en el artículo 3o del Decreto 387 de 2007, modificado por el Decreto 4977 del 27 de diciembre de 2007, en relación con la asignación de pérdidas entre Comercializadores Minoristas en un Mercado de Comercialización;
Que la Comisión de Regulación de Energía y Gas, mediante la Resolución CREG 097 de 2008, aprobó los principios generales y la metodología para el establecimiento de los cargos por uso de los Sistemas de Transmisión Regional y Distribución Local. Dicha Resolución incluye disposiciones correspondientes al tratamiento de las pérdidas reconocidas en los sistemas de transmisión regional y distribución local;
Que para el establecimiento de las pérdidas a reconocer por Operador de Red, la Comisión contrató la “Consultoría para la determinación de las pérdidas de energía en los mercados de comercialización presentes en el SIN y definición de criterios para la evaluación de planes de reducción y/o mantenimiento de pérdidas de Energía. CDP-152-07”, con la firma IEB Ingeniería Especializada S.A. cuyo documento final fue publicado en la página web de la CREG con la Circular CREG 057 de 2009;
Que a través de las comunicaciones con radicados CREG E-2010-000872, E–2010-000913, E-2010-000315, E-2010-000891, E-2010-000925, E–2010–000930, E-2010-000934, E-2010-000935, E-2010-000936, E–2010–000937, E-2010-000939, E-2010-000941 y E-2010-000964 se recibieron comentarios de EPSA S.A. E.S.P., EDEQ S.A. E.S.P., EMCALI E.I.C.E., EEC S.A. E.S.P., CODENSA S.A. E.S.P., ASOCODIS, CHEC S.A. E.S.P., ELECTRICARIBE S.A. E.S.P., ENERTOLIMA S.A. E.S.P., CENS S.A. E.S.P., EPM E.S.P., DISPAC S.A. E.S.P. y CETSA S.A. E.S.P. respectivamente;
Que se realizó un convenio interadministrativo entre la CREG y la Universidad Tecnológica de Pereira para el estudio de las pérdidas de energía eléctrica en las redes del nivel de tensión 1 de los sistemas de distribución local y el acompañamiento en la definición de modelos de estimación de costos de planes de reducción de pérdidas. Los resultados de estos estudios fueron publicados mediante la Circular CREG 052 de 2010 y fueron presentados el 24 de agosto de 2010;
Que mediante la Resolución CREG 184 de 2010 se hicieron públicos tres proyectos de resolución de carácter general para definir la metodología para el establecimiento de los planes de reducción de pérdidas no técnicas en los sistemas de distribución local;
Que el 25 de enero de 2011 se realizó un taller en el cual se presentó la Resolución CREG 184 de 2010 a las empresas de servicios públicos de energía eléctrica y terceros interesados;
Que en cumplimiento de lo establecido en el Decreto 2696 de 2004 se realizaron consultas públicas para presentar la propuesta para el establecimiento de los planes de reducción de pérdidas no técnicas en las ciudades de Ibagué, Cali, Barranquilla y Bogotá;
Que mediante comunicaciones con radicados CREG E-2011-002123, E–2011–002468, E-2011-002751, E-2011-003076, E-2011-003079, E–2011–003084, E-2011-003095, E-2011-003097, E-2011-003101, E–2011–003102, E-2011-003107, E-2011-003108, E-2011-003110, E–2011–003111, E-2011-003113, E-2011-003114, E-2011-003115, E–2011–003116, E-2011-003121, E-2011-003124, E-2011-003126, E–2011–003127, E-2011-003129, E-2011-003177, E-2011-003221 y E–2011–003705 se recibieron comentarios de Marino Díaz Barrero, Iván Camilo Ramos Andrade, DISPAC S.A. E.S.P., Electrohuila S.A. E.S.P., EPM E.S.P., Enertotal S.A. E.S.P., EMGESA S.A. E.S.P., EEC S.A. E.S.P., Diceler S.A. E.S.P., EMCALI E.I.C.E. E.S.P., ANDI, Asocodis, Electricaribe S.A. E.S.P., DIACO, Codensa S.A. E.S.P., EBSA S.A. E.S.P., Enertolima S.A. E.S.P., XM S.A. E.S.P., DICEL S.A. E.S.P., VATIA S.A. E.S.P., ACCE, EPSA S.A. E.S.P., CAC, ACCE, EPSA S.A E.S.P. y EBSA S.A. E.S.P. respectivamente. Estos comentarios fueron analizados y considerados para la elaboración de la presente resolución;
Que a través de la Circular CREG 024 de 2011, se publicaron los documentos correspondientes al informe final del estudio Programa Computacional y Modelo de Estimación del Costo Eficiente, realizado por la UTP en el marco del convenio específico No. 1 del contrato Interadministrativo 2010-0137 UTP – CREG y la presentación de este informe se realizó en Pereira el 12 de abril de 2011, de acuerdo con lo anunciado en la Circular CREG 023 de 2011;
Que mediante comunicaciones con radicados CREG E-2011-004815, E–2011–004827, E-2011-005256, E-2011-005647 y E-2011-006505 se recibieron comentarios de ASOCODIS, DISPAC S.A. E.S.P., EBSA S.A. E.S.P., EEC S.A. E.S.P. y EPSA S.A. E.S.P. respectivamente, relacionados con el Programa Computacional y Modelo de Estimación del Costo Eficiente. Estos comentarios fueron analizados y considerados para la elaboración de la presente resolución;
Que en cumplimiento de lo establecido en el artículo 7o de la Ley 1340 de 2009, a través del oficio S-2011-001653, se remitieron los proyectos de resolución contenidos en la Resolución CREG 184 de 2010 con el Documento CREG D–138-10 y el cuestionario “Evaluación de la incidencia sobre la libre competencia de los actos administrativos expedidos con fines regulatorios” a la Superintendencia de Industria y Comercio, sin que a la fecha se haya recibido concepto al respecto por parte de esa Entidad;
Que la Comisión de Regulación de Energía y Gas, en su sesión 507 del 1o de diciembre de 2011, acordó expedir la presente resolución;
RESUELVE:
ARTÍCULO 1o. OBJETO Y ÁMBITO DE APLICACIÓN. La presente resolución tiene por objeto definir la metodología para la implementación de los planes de reducción de pérdidas no técnicas de energía en los Sistemas de Distribución Local. Se aplicará a los Operadores de Red y Comercializadores Minoristas que atienden usuarios regulados y no regulados en el Sistema Interconectado Nacional.
ARTÍCULO 2o. DEFINICIONES. Para la interpretación y aplicación de esta resolución, se tendrán en cuenta, además de las definiciones establecidas en las Leyes 142 y 143 de 1994, en el Decreto 387 de 2007 y en las resoluciones vigentes de la CREG, las siguientes:
Actividad de Comercialización Minorista. Actividad que consiste en la intermediación comercial entre los agentes que prestan los servicios de generación, transmisión y distribución de energía eléctrica y los usuarios finales de dichos servicios, bien sea que esa actividad se desarrolle o no en forma combinada con otras actividades del sector eléctrico, según lo dispuesto por la regulación y la ley.
Comercializador Minorista. Generador-Comercializador, Distribuidor-Comercializador o Comercializador que desarrolla la Actividad de Comercialización Minorista.
CAPj: Costo Anual del Plan del mercado de comercialización j, aprobado al OR que atiende dicho mercado.
CPROGj,m: Cargo en $/kWh por concepto del plan de reducción de pérdidas no técnicas que se traslada a los usuarios regulados y no regulados del mercado de comercialización j, en el mes m.
Liquidador y Administrador de Cuentas, LAC. Entidad encargada de la Liquidación y Administración de Cuentas de los cargos por uso de las redes del Sistema Interconectado Nacional que le sean asignadas y de calcular el ingreso regulado de los transportadores, de acuerdo con las disposiciones contenidas en la regulación vigente.
Mercado de Comercialización. Conjunto de Usuarios Regulados y No Regulados conectados a un mismo Sistema de Transmisión Regional y/o Distribución Local, servido por un mismo Operador de Red, OR, y los conectados al STN del área de influencia del respectivo OR.
Modelo de Estimación del Costo Eficiente. Herramienta computacional desarrollada para calcular la variable CPCEj de que trata el 2.3 del Anexo 2 de la presente resolución.
Operador de Red de STR y SDL, OR. Persona encargada de la Planeación de la expansión, las inversiones, la operación y el mantenimiento de todo o parte de un STR o SDL, incluidas sus conexiones al STN. Los activos pueden ser de su propiedad o de terceros. Para todos los propósitos son las empresas que tienen Cargos por Uso de los STR o SDL aprobados por la CREG. El OR siempre debe ser una Empresa de Servicios Públicos Domiciliarios. La unidad mínima de un SDL para que un OR solicite Cargos de Uso corresponde a un municipio.
Pérdidas Eficientes de Energía. Corresponden a las pérdidas técnicas de energía en los niveles de tensión 2, 3 y 4 aprobadas en las resoluciones particulares que aprueban cargos por uso con base en la Resolución CREG 097 de 2008. En el nivel de tensión 1 es la suma de las pérdidas técnicas de energía más las pérdidas no técnicas reconocidas.
Pérdidas no Técnicas de Energía. Energía que se pierde en un Mercado de Comercialización por motivos diferentes al transporte y transformación de la energía eléctrica.
Pérdidas Técnicas de Energía. Energía que se pierde en los Sistemas de Transmisión Regional y/o Distribución Local a causa del transporte y la transformación de la energía eléctrica.
Pérdidas Totales de Energía. Energía total que se pierde en un Mercado de Comercialización, calculada según lo expuesto en el numeral 4.2.1 del anexo 4 de la presente resolución.
Período de evaluación (s). Cada uno de los dos semestres de un año. El primer período incluirá los meses previos al primer semestre completo de ejecución del plan de reducción de pérdidas no técnicas o de vigencia del índice de pérdidas de nivel de tensión 1 aprobado según la metodología de la presente resolución.
Plan de Reducción de Pérdidas no Técnicas. Conjunto de actividades que debe ejecutar un Operador de Red para reducir el índice de pérdidas en su sistema y que debe contener como mínimo las etapas de Planeación, implementación, seguimiento y control. En adelante se denominará Plan.
Senda de Reducción de Pérdidas. Trayectoria del índice de pérdidas totales de energía que un Operador de Red deberá seguir en un período determinado para lograr un índice de pérdidas de energía menor al inicial.
Sistema de Distribución Local, SDL. Sistema de transporte de energía eléctrica compuesto por el conjunto de líneas y subestaciones, con sus equipos asociados, que operan a los Niveles de Tensión 3, 2 y 1 dedicados a la prestación del servicio en un Mercado de Comercialización.
Sistema de Transmisión Nacional, STN. Es el sistema interconectado de transmisión de energía eléctrica compuesto por el conjunto de líneas, equipos de compensación y subestaciones que operan a tensiones iguales o superiores a 220 kV, los transformadores con este nivel de tensión en el lado de baja y los correspondientes módulos de conexión.
Sistema de Transmisión Regional, STR. Sistema de transporte de energía eléctrica compuesto por los Activos de Conexión del OR al STN y el conjunto de líneas, equipos y subestaciones, con sus equipos asociados, que operan en el Nivel de Tensión 4. Los STR pueden estar conformados por los activos de uno o más Operadores de Red.
Usuario. Persona natural o jurídica que se beneficia con la prestación de un servicio público domiciliario, bien como propietario del inmueble en donde este se presta, o como receptor directo del servicio. A este último usuario se le denomina también consumidor. Para los efectos de esta Resolución se denominará también Usuario Final.
Usuario Conectado Directamente al STN. Son los Usuarios Finales del servicio de energía eléctrica conectados directamente al Sistema de Transmisión Nacional.
También son usuarios conectados directamente al STN los que a la fecha de entrada en vigencia de la Resolución CREG 097 de 2008 tenían reconocida dicha condición.
Un usuario conectado directamente al STN pertenece al Mercado de Comercialización del OR que atiende la mayor cantidad de usuarios en el municipio donde se encuentre ubicado. Cuando el usuario conectado directamente al STN está ubicado en un municipio donde no existan usuarios conectados a ningún OR del SIN, pertenecerá al Mercado de Comercialización del OR que atienda la mayor cantidad de usuarios en el departamento donde se encuentre ubicado.
ARTÍCULO 3o. CRITERIOS GENERALES. La metodología para la aprobación de los planes de reducción de pérdidas no técnicas tiene en cuenta los siguientes criterios:
a) Se remunerarán los costos eficientes del Plan, excluyendo la infraestructura utilizada en la prestación del servicio que es remunerada a través de los cargos por uso del STR o SDL vigentes o la que se encuentre en servicio a la fecha de aprobación del Plan.
También se excluyen de esta remuneración las inversiones requeridas para garantizar la confiabilidad, mejorar la calidad del servicio y aquellas destinadas a reducir las pérdidas técnicas e igualmente aquellos costos y gastos asociados con la recuperación de pérdidas que ya se encuentren remunerados.
b) Los costos eficientes del Plan están constituidos por las inversiones y por los costos y gastos aprobados al OR.
c) Las inversiones que correspondan a activos de uso de un OR y sean remuneradas en el Plan, se incluirán en la variable CAPj hasta que sean incluidos en los cargos que se aprueben con base en la metodología de distribución que reemplace la establecida en la Resolución CREG 097 de 2008 o finalice la vigencia del cobro de la variable CAPj.
d) La remuneración de los planes de reducción de pérdidas será aplicable únicamente en los mercados de comercialización que presenten pérdidas de energía eléctrica en el Nivel de Tensión 1 superiores a las pérdidas reconocidas a la fecha de entrada en vigencia de esta resolución y tendrá una duración de cinco años.
e) La remuneración de los planes de reducción de pérdidas está sujeta al cumplimiento de las metas aprobadas a cada OR en resolución particular. El incumplimiento de las metas será causal de devolución, a los usuarios del mercado de comercialización respectivo, de parte o de la totalidad de los recursos recibidos por este concepto, según lo establecido en esta resolución.
ARTÍCULO 4o. REQUISITOS PARA LA PRESENTACIÓN DEL PLAN. El OR j que atienda un mercado de comercialización que presente pérdidas de energía en el Nivel de Tensión 1, Pj,1,0, calculadas según lo establecido en el numeral 4.1.2 del anexo 4 de la presente resolución, superiores a las pérdidas reconocidas a la fecha de entrada en vigencia de esta resolución, debe someter para aprobación de la CREG el Plan que debe contener, como mínimo, lo establecido en el anexo 1.
ARTÍCULO 5o. ESTUDIO PARA APROBACIÓN DEL ÍNDICE DE PÉRDIDAS DE NIVEL DE TENSIÓN 1. El OR que atienda un mercado de comercialización que presente pérdidas de energía en el Nivel de Tensión 1, Pj,1,0, inferiores o iguales a las pérdidas reconocidas a la fecha de entrada en vigencia de esta resolución, no debe presentar un Plan.
En este caso, el OR debe someter para aprobación de la CREG el Índice de Pérdidas del Nivel de Tensión 1, Pj,1,0, calculado según lo señalado en el numeral 4.1.2 del anexo 4 de la presente resolución. El estudio debe contener toda la información utilizada en el cálculo de las variables IPTj,0 y Pj,1,0 definidas en el anexo 4.
En los mercados de comercialización en los que se cumpla esta condición, la variable CPROGj,m definida en el anexo 3 será igual a cero y el OR no recibirá ingresos por este concepto.
ARTÍCULO 6o. PLAZO PARA LA PRESENTACIÓN DE LOS ESTUDIOS PARA APROBACIÓN DEL ÍNDICE DE PÉRDIDAS DE NIVEL DE TENSIÓN 1. Dentro de los treinta (30) días calendario posteriores a la fecha de publicación de la presente resolución en el Diario Oficial, los OR, con pérdidas de nivel de tensión 1 inferiores o iguales a las vigentes reconocidas, deben presentar a la CREG su Estudio para aprobación del Índice de Pérdidas de Nivel de Tensión 1.
PARÁGRAFO. En caso de que un OR con pérdidas inferiores o iguales a las reconocidas no presente el Estudio para aprobación del Índice de Pérdidas de Nivel de Tensión 1 en el plazo determinado, la variable Pj,1,0 será determinada por la Comisión con la mejor información oficial disponible.
ARTÍCULO 7o. PLAZO PARA LA PRESENTACIÓN DE LOS PLANES DE REDUCCIÓN DE PÉRDIDAS NO TÉCNICAS. <Numeral modificado por el artículo 6 de la Resolución 31 de 2012. El nuevo texto es el siguiente:> Los OR con pérdidas de nivel de tensión 1 superiores a las vigentes reconocidas, deben presentar a la CREG su Plan a más tardar el 27 de abril de 2012.
PARÁGRAFO. En caso de que el OR no presente un Plan en el plazo determinado, la variable CPROGj,m será igual a cero y la variable Pj,1 se determinará según lo establecido en el numeral 5.2.2 del anexo 5 de la presente resolución.
ARTÍCULO 8o. EVALUACIÓN DEL PLAN PRESENTADO POR UN OR. <Artículo modificado por el artículo 1 de la Resolución 178 de 2013. El nuevo texto es el siguiente:> Una vez entre en vigencia la metodología de remuneración de la actividad distribución que remplace la establecida en la Resolución CREG 097 de 2008, la Comisión de Regulación de Energía y Gas expedirá en resolución aparte los plazos y parámetros para la presentación y evaluación de los planes de reducción de pérdidas que deben presentar los Operadores de Red.
ARTÍCULO 9o. INICIO DEL PLAN. <Artículo modificado por el artículo 2 de la Resolución 178 de 2013. El nuevo texto es el siguiente:> Los planes de reducción de pérdidas ordenados por los literales c), d) y e) del artículo 3o del Decreto número 387 de 2007 entrarán en aplicación una vez entren en vigencia los cargos de distribución aprobados mediante la metodología de remuneración de la actividad, distribución que remplace la establecida en la resolución CREG 097 de 2008, de acuerdo con lo previsto en el Decreto número 1937 de 2013.
Los requisitos técnicos para la implementación de los planes de reducción de pérdidas no técnicas por parte de cada OR serán establecidos por la Comisión de Regulación de Energía en Gas en resolución posterior.
ARTÍCULO 10. SEGUIMIENTO DEL PLAN. <Artículo modificado por el artículo 3 de la Resolución 178 de 2013. El nuevo texto es el siguiente:> La Comisión de Regulación de Energía en Gas expedirá en resolución aparte el procedimiento de evaluación de cumplimiento de las metas del plan de pérdidas no técnicas.
ARTÍCULO 11. CAUSALES PARA LA SUSPENSIÓN DEL RECONOCIMIENTO DE LOS COSTOS ASOCIADOS CON LOS PLANES. Las causales de suspensión del reconocimiento de los costos asociados con los planes son:
a) Incumplimiento en la meta de reducción de pérdidas en dos períodos de evaluación consecutivos. Un OR incumple una meta cuando el resultado final de su índice es superior a la meta aprobada para el respectivo período de evaluación.
b) Cuando se verifique que la vinculación de usuarios a la red está incompleta o desactualizada en el SUI de acuerdo con lo establecido en el anexo 7.
c) Cuando se encuentren fronteras comerciales entre agentes de responsabilidad del Comercializador integrado con el ORj cuya información de las características de la misma (nivel de tensión, precisión, tipo de frontera) difiera de la registrada en el SIC.
Cuando se presente esta situación el OR deberá corregir la información en los plazos establecidos en la Resolución CREG 006 de 2003 o aquella que la modifique o sustituya. Si al finalizar este periodo no es corregida la situación, se entenderá como incumplimiento en la ejecución del Plan y se procederá a la devolución de los ingresos según lo establecido en el artículo 15 y el artículo 16 de la presente resolución según corresponda y se dará por finalizado el mismo.
d) Cuando, a partir del decimotercer (13) mes de inicio del Plan, el OR no informe al LAC, durante dos meses consecutivos, el registro de las medidas entre niveles de tensión para determinar el factor FDFj,k?n,m de que trata el numeral 4.3.6 del anexo 4 de la presente resolución.
ARTÍCULO 12. CAUSALES PARA LA CANCELACIÓN AUTOMÁTICA DEL PLAN. Las causales de cancelación automática del Plan, sin que se requiera declaración de ninguna autoridad, son:
a) Incumplimiento de las metas del Plan durante tres períodos de evaluación consecutivos.
b) Reincidencia en alguna de las causales de suspensión del Plan.
c) Cuando hayan transcurrido seis (6) meses posteriores a la detección y notificación de inconsistencias en la información del vínculo cliente red y el OR no haya corregido la situación, según lo establecido en el anexo 7.
d) En caso de que el OR reporte, como parte de la ejecución del Plan, redes existentes a la fecha de solicitud del Plan, según lo establecido en el anexo 7.
e) Cuando un OR decida finalizar el Plan, según lo establecido en el artículo 13 de la presente resolución.
f) No constituir el encargo fiduciario en los términos y plazos señalados en el artículo 14 de la presente resolución.
g) Cuando la información de ventas de energía reportada al SUI por un comercializador incumbente, utilizada para el seguimiento del Plan, sea modificada en el SUI con posterioridad a la fecha del cálculo del índice respectivo y con la nueva información el OR no cumpla con la senda aprobada para el respectivo período de evaluación.
ARTÍCULO 13. CANCELACIÓN DE LA EJECUCIÓN DEL PLAN POR PETICIÓN DEL OR. El OR podrá solicitar la cancelación del Plan en cualquier momento sujeto a las siguientes condiciones:
a) Si el OR cumplió la meta aprobada para el periodo de evaluación anterior al de la fecha de solicitud de cancelación del Plan, no debe devolver ingresos por concepto del Plan.
b) Si el OR incumplió la meta aprobada para el periodo de evaluación anterior al de la fecha de solicitud de cancelación del Plan, debe devolver los ingresos recibidos durante el periodo de incumplimiento, de acuerdo con lo señalado en el anexo 8o.
c) Si el OR se encuentra en causal de suspensión del Plan debe devolver los ingresos recibidos durante los periodos de incumplimiento, de acuerdo con lo señalado en el anexo 8o.
Cuando el OR solicite la cancelación de la ejecución del Plan se suspenderá inmediatamente el cobro del CPROGj,m y las pérdidas reconocidas en el nivel de tensión 1, Pj,1, serán iguales a las aplicables a partir de la finalización del Plan, según lo establecido en el numeral 5.2 del anexo 5 de la presente resolución.
ARTÍCULO 14. CONSTITUCIÓN DE UN ENCARGO FIDUCIARIO POR SUSPENSIÓN DEL PLAN. Cuando el OR incurra en alguna de las causales de suspensión del Plan, según lo establecido en el artículo 11 de esta resolución, deberá constituir un encargo fiduciario para que allí sean depositados los recursos recaudados por los Comercializadores por concepto del CPROGj,m durante el periodo de suspensión de la remuneración del Plan al OR.
El OR tendrá un plazo de un (1) mes, a partir de la fecha en la cual el OR se encuentre incurso en una de las causales de suspensión, para constituir el encargo fiduciario y no deberá utilizar los recursos depositados en este mientras se encuentre suspendida la remuneración del Plan al OR.
Lo ordenado en esta resolución debe hacer parte del contrato del encargo fiduciario. En el reglamento de inversión se deberá especificar que las inversiones que se pueden hacer con los recursos del encargo fiduciario deben ser de bajo riesgo.
El OR será el fideicomitente y el encargo fiduciario deberá constituirse con una entidad fiduciaria que acredite una calificación correspondiente a grado de inversión, expedida por una entidad autorizada por la Superintendencia Financiera o quien haga sus veces. La remuneración por la administración del fideicomiso y todos los costos asociados estarán a cargo del fideicomitente.
Una vez constituido el encargo fiduciario, el OR debe comunicar al LAC y a los Comercializadores del mercado la información necesaria para que los recursos del programa sean consignados en el encargo fiduciario durante el período de suspensión del Plan.
Si al finalizar el siguiente período de evaluación, posterior al de la suspensión de la remuneración, el OR cumple con la meta aprobada para ese período, se reiniciará la remuneración del Plan directamente al OR, este podrá cancelar el encargo fiduciario y utilizar los valores allí depositados.
En caso de cancelación del Plan, la entidad fiduciaria debe informar al LAC y a la CREG el monto de los recursos disponibles en el encargo fiduciario a la fecha de cancelación del Plan. Este valor corresponderá a la variable ITFj de que trata el numeral 8.2 del anexo 8 de la presente resolución y el OR podrá cancelar el encargo fiduciario y utilizar los recursos allí depositados solamente cuando haya finalizado el periodo de devolución de los recursos del encargo fiduciario, de acuerdo con lo definido en el numeral 8.2 del anexo 8o de la presente resolución.
ARTÍCULO 15. DEVOLUCIÓN DE INGRESOS POR PARTE DEL OR. Cuando se presente incumplimiento en la ejecución del Plan por parte de un OR, de acuerdo con lo establecido en el anexo 6 de la presente resolución o en caso de que un OR decida finalizar unilateralmente la ejecución del Plan y deba devolver recursos, según lo dispuesto en el artículo 13, el OR deberá retornar los ingresos recibidos por este concepto a los usuarios del Mercado de Comercialización, durante los doce (12) meses posteriores a la cancelación del Plan, a través de un valor negativo de la variable CPROGj,m, de acuerdo con la metodología establecida en el numeral 8.1 del anexo 8 de la presente resolución.
ARTÍCULO 16. DEVOLUCIÓN DE INGRESOS DEPOSITADOS EN EL ENCARGO FIDUCIARIO. Cuando se presente incumplimiento en la ejecución del Plan por parte de un OR de acuerdo con lo establecido en el anexo 6 de la presente resolución o en caso de que un OR decida finalizar unilateralmente la ejecución del Plan, los ingresos depositados en el encargo fiduciario se trasladarán a los usuarios del Mercado de Comercialización durante un periodo de seis (6) meses, posteriores a la devolución de ingresos por parte del OR de que trata el artículo 15 de esta Resolución, a través de la variable CPROGj,m, de acuerdo con la metodología establecida en el numeral 8.2 del anexo 8 de la presente resolución.
ARTÍCULO 17. PÉRDIDAS RECONOCIDAS EN LOS NIVELES DE TENSIÓN 2, 3 Y 4. Para los niveles de tensión 2, 3 y 4, las pérdidas reconocidas, Pj,n, (n = 2, 3 o 4), corresponden a las pérdidas técnicas aprobadas a cada OR en la resolución particular de costos y cargos máximos de distribución, calculadas de acuerdo con lo establecido en el numeral 12.1 del anexo general de la Resolución CREG 097 de 2008.
Para la aplicación de lo establecido en el artículo 14 de la Resolución CREG 119 de 2007, los valores de las variables IPRn,m,j se calcularán aplicando las fórmulas de las variables PRn,j definidas en el numeral 12.3 del Anexo general de la Resolución CREG 097 de 2008 según corresponda y con base en las pérdidas reconocidas Pj,n n= 2, 3 o 4 definidas en esta resolución.
ARTÍCULO 18. PÉRDIDAS RECONOCIDAS EN EL NIVEL DE TENSIÓN 1, PJ,1. Corresponden a las pérdidas eficientes en el nivel de tensión 1, calculadas de acuerdo con lo establecido en la Resolución CREG 097 de 2008 y el anexo 5 de la presente resolución. Este valor de pérdidas reemplazará al aprobado en la resolución particular de costos y cargos máximos de distribución para cada OR y el definido en la Resolución CREG 119 de 2008 para cada mercado de comercialización.
El valor de la variable IPR1,m,j se calculará aplicando la fórmula de la variable PRI,1 definida en el numeral 12.3 del Anexo general de la Resolución CREG 097 de 2008 y con base en las pérdidas reconocidas Pj,1 definidas en esta resolución.
De acuerdo con los parágrafos 1 y 2 del artículo 14 de la Resolución CREG 119 de 2007 los valores de las variables IPR1,m,j corresponderán a los definidos en este artículo a partir del inicio del Plan, según lo señalado en el artículo 9o de la presente resolución.
PARÁGRAFO 1o. Para las empresas que deben presentar Plan de acuerdo con lo establecido en el artículo 4o de la presente resolución, el valor de la variable Pj,1 será el determinado de acuerdo con lo establecido en el numeral 5.2.2 del anexo 5 cuando se presente una de las siguientes situaciones:
a) A partir de la fecha de finalización del Plan.
b) El OR no presentó Plan en la oportunidad establecida en el artículo 7o de la presente resolución.
c) Cuando el OR haya presentado un Plan que no fue aprobado por incumplimiento de los requisitos mínimos exigidos en el artículo 4o de la presente resolución.
d) Cuando la CREG haya aprobado la ejecución del Plan en resolución particular y el OR no haya publicado e informado a la CREG su aceptación en el término establecido en la presente resolución.
e) Cuando se cancele el Plan según lo establecido en el artículo 12 de la presente resolución.
f) Cuando por petición del OR se cancele la ejecución del Plan.
PARÁGRAFO 2o. Para las empresas que, de acuerdo con lo establecido en el artículo 5o de la presente resolución, no presentan el Estudio para aprobación del Índice de Pérdidas de Nivel de Tensión 1 en la oportunidad establecida en el artículo 6o de la presente resolución, la variable Pj,1,0 estará vigente a partir del mes siguiente al de entrada en vigencia de la resolución particular.
ARTÍCULO 19. VERIFICACIÓN DE LA INFORMACIÓN. Durante el proceso de aprobación del Plan, la CREG podrá hacer la revisión de la información entregada, cuando lo estime conveniente, sin perjuicio de la facultad de decretar otras pruebas conforme al artículo 108 de la Ley 142 de 1994.
Durante la ejecución se podrá efectuar la revisión de la información con base en el mecanismo establecido en el anexo 7 de la presente Resolución.
ARTÍCULO 20. ACTUALIZACIÓN, LIQUIDACIÓN Y RECAUDO DEL CPROGJ,M. Los cargos por concepto de remuneración de los Planes de reducción de pérdidas serán actualizados y liquidados por el Liquidador y Administrador de Cuentas (LAC) y facturados y recaudados por los OR a los comercializadores que atienden Usuarios en su mercado de comercialización, siguiendo las disposiciones contenidas en el anexo 3 de la presente resolución.
ARTÍCULO 21. FUSIÓN O ESCISIÓN DE EMPRESAS. Cuando se presente fusión o escisión de empresas se debe aplicar lo siguiente:
a) Los OR participantes en la fusión o escisión deben solicitar la cancelación del Plan aprobado, en este caso aplican las condiciones señaladas en los literales a), b) y c) del artículo 13 de la presente resolución. Si alguna de las empresas debe devolver ingresos, el valor a devolver se trasladará únicamente a los usuarios de su mercado de comercialización.
b) Una vez se haga efectiva la fusión o escisión del mercado de comercialización, se cancelará la remuneración de los planes de reducción de pérdidas aprobados a cada una de las empresas participantes.
c) La empresa resultante de la fusión o escisión puede presentar a la Comisión la solicitud de aprobación de un nuevo Plan o un nuevo Estudio para aprobación del Índice de Pérdidas de Nivel de Tensión 1, de acuerdo con lo establecido en el artículo 4o o el artículo 5o de la presente resolución, según corresponda.
d) El valor de la variable Pj,1 de la empresa resultante de la fusión se calculará como el promedio ponderado por las ventas de nivel de tensión 1 de la variable Pj,1 de cada empresa, vigente al momento de solicitar la cancelación del Plan.
e) El Plan aprobado a la empresa fusionada o las empresas resultantes de la escisión tendrá una duración de cinco años menos los periodos de evaluación durante los cuales alguna de las empresas recibió remuneración por la ejecución de su respectivo Plan.
ARTÍCULO 22. VIGENCIA. La presente resolución rige a partir de su publicación en el Diario Oficial y deroga las disposiciones que le sean contrarias.
Publíquese y cúmplase.
Dada en Bogotá, D.C., a 1o de diciembre de 2011.
El Presidente,
TOMÁS GONZÁLEZ ESTRADA,
Viceministro de Minas y Energía Delegado del Ministro de Minas y Energía.
El Director Ejecutivo.
JAVIER AUGUSTO DÍAZ VELASCO.
GUÍA PARA LA PRESENTACIÓN DEL PLAN.
<Anexo sin efecto según lo dispuesto por el artículo 4 de la Resolución 178 de 2013>
<El texto vigente antes de quedar sin efecto es el siguiente:>
El Plan debe contener como mínimo la siguiente información:
-- Resumen del Plan: El cual debe incluir el cálculo de las variables CAPj, PPact_uj, PPact_nuj, PPaomj, AOMdj, CPORj, IPTj,0, Pj,1,0 y las metas para cada período de evaluación, según el formato definido en el numeral 1.1 del presente anexo.
-- Bases de cálculo: El OR deberá entregar la totalidad de la información utilizada para el cálculo de cada una de las variables presentadas, en hojas de cálculo del programa Excel.
-- Balance de energía, de doce meses calendario que finalizan el tercer mes anterior al de presentación de la solicitud, detallando el código SIC de cada Frontera Comercial, según lo expuesto en los numerales 4.1.1 y 4.1.2 del Anexo 4 de la presente resolución.
-- Listado de todas las fronteras comerciales existentes en el Mercado de Comercialización del OR, señalando el tipo de frontera, el código SIC y el nivel de tensión asociado.
-- Formato de actividades a desarrollar en el Plan como se presenta en el numeral 1.2 del presente anexo.
-- Relación de los transformadores de distribución con redes antifraude existentes a la fecha de presentación del Plan, con los correspondientes códigos utilizados para el reporte de información al SUI.
-- El OR deberá contar con un procedimiento verificado por un auditor externo que garantice la actualización permanente de la información de georreferenciación la red y de la vinculación de usuarios a los circuitos y transformadores de aquellos que son intervenidos con el Plan.
-- Inventario georreferenciado de los equipos de medida, existentes a la fecha de presentación del Plan, para realizar balances energéticos entre niveles de tensión y su ubicación en un diagrama unifilar del sistema.
-- Inventario de los macromedidores existentes a la fecha de presentación del Plan, relacionando el código del transformador donde se encuentra ubicado el equipo de medida.
Inventario de los sistemas de medición centralizada existentes a la fecha de presentación del Plan, relacionando el código del transformador donde se encuentra ubicado el equipo de medida.
-- Listado de usuarios conectados directamente al STN en el Mercado de Comercialización del OR, indicando su ubicación y código SIC.
-- Certificación del Representante Legal, Contador y revisor fiscal del OR detallando el código de las cuentas creadas en la contabilidad, que permitan el registro independiente de todas las actividades relacionadas con el Plan.
-- Valores de inversión, en $/kWh, para los años t y t-1, según lo dispuesto en el numeral 2.3.2 del Anexo 2 de la presente resolución.
1.1 Formato resumen del Plan
| Variable | Descripción | Valor |
| PPact_uj | Participación de la inversión en activos de uso de la actividad de distribución. | |
| INVu1 | Inversión en el año 1 en activos de uso (pesos constantes de diciembre de 2010) | |
| INVu2 | Inversión en el año 2 en activos de uso (pesos constantes de diciembre de 2010) | |
| INVu3 | Inversión en el año 3 en activos de uso (pesos constantes de diciembre de 2010) | |
| INVu4 | Inversión en el año 4 en activos de uso (pesos constantes de diciembre de 2010) | |
| INVu5 | Inversión en el año 5 en activos de uso (pesos constantes de diciembre de 2010) | |
| CPORj | Valor presente neto del costo total del Plan presentado por el OR, en pesos de diciembre de 2010. | |
| PPact_nuj: | Participación de la inversión en activos no uso de la actividad de distribución. | |
| INVnu1 | Inversión en el año 1 en activos no uso (pesos constantes de diciembre de 2010) | |
| INVnu2 | Inversión en el año 2 en activos no uso (pesos constantes de diciembre de 2010) | |
| INVnu3 | Inversión en el año 3 en activos no uso (pesos constantes de diciembre de 2010) | |
| INVnu4 | Inversión en el año 4 en activos no uso (pesos constantes de diciembre de 2010) | |
| INVnu5 | Inversión en el año 5 en activos no uso (pesos constantes de diciembre de 2010) | |
| PPaomj | Participación de los costos y gastos, utilizados para la ejecución del Plan, respecto del costo del Plan presentado por el OR. | |
| AOM1 | Costos y gastos en el año 1 (pesos constantes de diciembre de 2010) | |
| AOM2 | Costos y gastos en el año 2 (pesos constantes de diciembre de 2010) | |
| AOM3 | Costos y gastos en el año 3 (pesos constantes de diciembre de 2010) | |
| AOM4 | Costos y gastos en el año 4 (pesos constantes de diciembre de 2010) | |
| AOM5 | Costos y gastos en el año 5 (pesos constantes de diciembre de 2010) | |
| AOMdj | Promedio anual de costos y gastos asociados con la recuperación de pérdidas de energía reconocidos en el AOM de la actividad de distribución de energía eléctrica según lo establecido en la Resolución CREG 097 de 2008, en pesos de diciembre de 2010. | |
| PAOMGj,04-07 | Porcentaje de AOM gastado por el OR j, en el periodo 2004-2007. | |
| PAOMj,ref | Porcentaje de AOM de referencia para el OR j. Valor utilizado en la aprobación de cargos por uso de acuerdo con la Resolución CREG 097 de 2008 | |
| AOMPj,1 | Gastos en Planes de reducción de pérdidas de energía, durante el 2004, (pesos de diciembre de 2010). | |
| AOMPj,2 | Gastos en Planes de reducción de pérdidas de energía, durante el 2005, (pesos de diciembre de 2010). | |
| AOMPj,3 | Gastos en Planes de reducción de pérdidas de energía, durante el 2006, (pesos de diciembre de 2010). | |
| AOMPj,4 | Gastos en Planes de reducción de pérdidas de energía, durante el 2007, (pesos de diciembre de 2010). | |
| Variable (%) | ||
| Índice de pérdidas de Nivel de Tensión 1 al inicio del Plan, Pj,1,0 calculado según lo señalado en 4.1.2. | ||
| Índice de pérdidas totales de energía al inicio del Plan, IPTj,0 calculado según lo señalado en 4.1.1 | ||
| Metas de la senda de reducción de pérdidas | ||
| Periodo de evaluación 1, IPTSj,1 | ||
| Periodo de evaluación 2, IPTSj,2 | ||
| Periodo de evaluación 3, IPTSj,3 | ||
| Periodo de evaluación 4, IPTSj,4 | ||
| Periodo de evaluación 5, IPTSj,5 | ||
| Periodo de evaluación 6, IPTSj,6 | ||
| Periodo de evaluación 7, IPTSj,7 | ||
| Periodo de evaluación 8, IPTSj,8 | ||
| Periodo de evaluación 9, IPTSj,9 | ||
| Periodo de evaluación 10, IPTSj,10 | ||
Las metas de reducción de pérdidas de cada período de evaluación deben cumplir con la siguiente condición:
![]()
Donde:
IPTSj,s: Índice de Pérdidas Totales de la Senda propuesto por el OR j en el período de evaluación s.
1.2 Formato de actividades a desarrollar
| DESCRIPCIÓN | Costo Anual Pesos Diciembre 2010 | |||||
| Año 1 | Año 2 | Año 3 | Año 4 | Año 5 | ||
| 1.1 | Instalación medida entre niveles de tensión del sistema del OR | |||||
| 1.2 | Instalación macro medición en arranque de alimentadores | |||||
| 1.3 | Instalación macro medición en transformadores de distribución | |||||
| 1.4 | Instalación micro medición | |||||
| 1.5 | Inspección de instalaciones | |||||
| 1.6 | Revisión de medidores de usuarios | |||||
| 1.7 | Instalación redes antifraude | |||||
| 1.8 | Instalación de sistemas de medición centralizada | |||||
| 1.9 | Normalización de usuarios | |||||
| 1.10 | Gestión comercial | |||||
| 1.11 | Gestión social | |||||
| 1.12 | Sistemas de gestión de pérdidas | |||||
| Otras actividades | ||||||
| Otras actividades | ||||||
| TOTAL | ||||||
Adicionalmente a la información de costos del formato anterior, los OR deben incluir, en un formato aparte, la siguiente información:
-- Para los numerales 1.1 a 1.4 se debe indicar la cantidad de medidores a instalar.
-- Para el numeral 1.5 se debe indicar la cantidad de inspecciones a realizar.
-- Para el numeral 1.6 se debe indicar la cantidad de revisiones a realizar.
-- Para el numeral 1.7 se debe indicar la cantidad de transformadores de distribución con redes antifraudes a instalar y la cantidad de usuarios en cada transformador.
-- Para el numeral 1.8 similar al 1.7.
-- Para el numeral 1.9 se debe indicar la cantidad de usuarios incluidos en estos programas.
-- Para el numeral 1.8, se entiende que el Sistema de Medición Centralizada corresponde a un sistema de medición de energía eléctrica agrupado en cajas de medida, integrado por medidores (tarjetas electrónicas de medida o medidores individuales), transformadores de medida (cuando aplique) y equipo de comunicación que cuentan con operación remota para realizar lectura, suspensión, reconexión, etc.; según la NTC 5019 de 2007.
La información de los formatos 1.1 y 1.2 debe ser entregada en medio magnético junto con la solicitud de aprobación del Plan de pérdidas o el estudio de pérdidas de nivel de tensión 1.
Para la ejecución de las actividades propias de la actividad de comercialización, tales como instalación de micromedidores, revisión de medidores y gestión comercial, entre otras, el OR deberá efectuarlas a través del comercializador que corresponda.
El Presidente,
TOMÁS GONZÁLEZ ESTRADA,
Viceministro de Minas y Energía Delegado del Ministro de Minas y Energía.
El Director Ejecutivo,
JAVIER AUGUSTO DÍAZ VELASCO.
CÁLCULO DEL COSTO DEL PLAN.
<Anexo sin efecto según lo dispuesto por el artículo 4 de la la Resolución 178 de 2013>
<El texto vigente antes de quedar sin efecto es el siguiente:>
El costo del Plan está compuesto por las inversiones asociadas con la reducción de pérdidas no técnicas y por los costos y gastos en que incurra el agente en la ejecución del Plan.
2.1 Cálculo de la variable CAPj <Numeral modificado por el artículo 1 de la Resolución 31 de 2012. El nuevo texto es el siguiente:>
La variable CAPj corresponde a la anualidad a remunerar al Operador de Red por la ejecución del Plan. Este valor es mayor o igual a cero (0).
![]()
Con:

Donde:
| CTPj: | Costo total del Plan para el OR j, en pesos de diciembre de 2010, calculado de acuerdo con lo establecido en el numeral 2.2 de este anexo. |
| PPact_uj: | Participación de la inversión en activos clasificados como Activos de Uso de la actividad de distribución, utilizados para la ejecución del Plan, respecto del costo del Plan presentado por el OR. |
| PPact_nuj: | Participación de la inversión en activos que no son considerados Activos de Uso de la actividad de distribución, utilizados para la ejecución del Plan, respecto del costo del Plan presentado por el OR. |
| PPaomj: | Participación de los costos y gastos, utilizados para la ejecución del Plan, respecto del costo del Plan presentado por el OR. |
| INVuk: | Inversión en el año k en activos que son clasificados como activos de uso de la actividad de distribución, utilizados para la ejecución del Plan. |
| INVnuk: | Inversión en el año k en activos que no son clasificados como activos de uso de la actividad de distribución, utilizados para la ejecución del Plan. |
| AOMk: | Costos y gastos en el año k, utilizados para la ejecución del Plan. |
| CPORj: | Valor presente del costo total del Plan, en pesos de diciembre de 2010, presentado por el OR j para su aprobación. Calculado con la Tasa de Retorno del 13,0%. |
| r: | Tasa de Retorno para la remuneración con la Metodología de Ingreso Regulado utilizada en la Resolución CREG 097 de 2008. Es igual a 13,0%. |
| AOMdj: | Promedio anual de costos y gastos asociados con la recuperación de pérdidas de energía reconocidos en el AOM de la actividad de distribución de energía eléctrica según lo establecido en la Resolución CREG 097 de 2008. |
| PAOMGj,04-07: | Porcentaje de AOM gastado por el OR j, en el periodo 2004-2007. Valor utilizado en la aprobación de cargos por uso de acuerdo con la Resolución CREG 097 de 2008. |
| PAOMj,ref: | Porcentaje de AOM de referencia para el OR j. Valor utilizado en la aprobación de cargos por uso de acuerdo con la Resolución CREG 097 de 2008. |
| AOMPj,k: | Gastos del OR j en Planes de reducción de pérdidas de energía, durante los años k (de 2004 al 2007), donde k es el número de años con información reportada. Esta información corresponde a la entregada por los OR en respuesta a la Circular CREG 019 de 2010, en pesos de diciembre de 2010. |
En el caso de que un OR no haya reportado información en respuesta a esta Circular, esta variable se calculará de la siguiente manera:

Donde:
| PA: | Máximo porcentaje de gastos en reducción de pérdidas respecto al AOM gastado durante el periodo 2004 - 2007, calculado para los Operadores de Red j que presentaron información en respuesta a la Circular CREG 019 de 2010. |
| AOMGj,04-07: | AOM gastado por el OR j, que presentó información en respuesta a la Circular CREG 019 de 2010, en el periodo 2004 - 2007. Valor utilizado en la aprobación de cargos por uso de acuerdo con la Resolución CREG 097 de 2008. |
2.2 Costo total del Plan
El costo total del Plan a aprobar a cada OR se determinará según la siguiente expresión:
CTPj = mín {CPCEj, CPORj}
| CTPj: | Costo total del Plan para el OR j, en pesos de diciembre de 2010. |
| CPCEj: | Costo total del Plan, en pesos de diciembre de 2010. Este valor resulta de la aplicación del modelo de costos eficientes de que trata el numeral 2.3 del presente anexo, actualizado a pesos de diciembre de 2010. |
| CPORj: | Valor presente del costo total del Plan, en pesos de diciembre de 2010, presentado por el OR j para su aprobación. Calculado con la Tasa de Retorno del 13,0 %. |
2.3 Cálculo de la variable CPCEj
La variable CPCEj se obtendrá a partir del modelo de estimación del costo eficiente desarrollado por la CREG, considerando el índice de pérdidas inicial de cada OR, el índice de pérdidas propuesto por el OR para el final del Plan y los costos de reducción de pérdidas no técnicas obtenidos a partir de la información entregada por los OR en respuesta a la Circular 019 de 2010.
2.3.1 Acceso al Modelo de Estimación del Costo Eficiente
La Comisión pondrá a disposición de las empresas el aplicativo de estimación del costo eficiente de reducción de pérdidas, durante el plazo para la presentación de los planes de que trata el artículo 7o de la presente resolución.
Para tener acceso a este aplicativo, el representante legal de cada OR debe enviar a la Comisión una comunicación escrita solicitando el usuario y la clave de acceso y señalando una dirección de correo electrónico donde se enviará la información de acceso y los resultados de las simulaciones.
2.3.2 Variables del Modelo de Estimación del Costo Eficiente del Plan <Numeral modificado por el artículo 2 de la Resolución 31 de 2012. El nuevo texto es el siguiente:> Para definir la variable CPCE se utilizará la siguiente información:
-- Tasa de descuento: Tasa de retorno para la remuneración con la Metodología de Ingreso Regulado utilizada en la Resolución CREG 097 de 2008. Es igual a 13,0%.
-- Crecimiento vegetativo de la demanda: Crecimiento promedio de las ventas de energía registradas en el mercado de comercialización, durante los cinco años anteriores al de la presentación del Plan.
-- Mínima inversión: Mínimo costo en $/kWh, con el cual el Modelo de Estimación del Costo Eficiente obtiene una ruta factible para obtener el nivel de pérdidas propuesto por el OR al finalizar el Plan. Este valor debe ser mayor que cero (0).
-- Máxima inversión: Máximo costo en $/kWh, con el cual el Modelo de Estimación del Costo Eficiente obtiene una ruta factible para obtener el nivel de pérdidas propuesto por el OR al finalizar el Plan. Este valor debe ser mayor que cero (0).
-- Opciones de inversión: corresponde al número de opciones para conformar el árbol de decisión, cuyo máximo valor es treinta (30).
-- Energía de entrada para los años t y t-1: Cantidad de energía, en kWh, calculada con base en la metodología definida en el numeral 4.2.3 del anexo 4 de la presente resolución, menos el flujo de energía desde niveles de tensión superiores en el sistema del OR.
-- Energía de salida para los años t y t-1: Cantidad de energía, en kWh, calculada con base en la metodología definida en el numeral 4.2.4 del anexo 4 de la presente resolución.
-- Nivel de pérdidas años t y t-1: Porcentaje de pérdidas totales del sistema calculado con base en la metodología definida en el numeral 4.2.1 del anexo 4 de la presente resolución.
-- Inversión años t y t-1: Corresponde a la información entregada por el OR en la solicitud de aprobación del Plan.
-- El año t corresponde al anterior al de la presentación de la solicitud de aprobación del Plan.
2.4 Listado de activos a reconocer
Se incluyen las siguientes inversiones: Medidores de usuarios finales regulados que no cuenten con medidor a la fecha de presentación del Plan y su costo no sea trasladado al usuario, medidores en el arranque de todas las líneas, equipos de medida en los puntos de entrada de cada nivel de tensión, Macromedidores instalados en transformadores de distribución e inversiones en redes antifraude y sistemas de medición centralizada.
En el desarrollo de los planes de reducción de pérdidas de energía, en las redes de nivel de tensión 1 donde estén instalados o se vayan a instalar sistemas de medición centralizada, el Comercializador deberá solicitar a sus usuarios regulados un equipo de medida compatible con el sistema de medición centralizada que instale el OR. El usuario regulado podrá cambiar su medidor por uno de las calidades exigidas en la regulación vigente o acogerse a la medida dispuesta por el comercializador integrado con el OR a través del sistema de medición centralizada instalado por el OR. En este último caso, el medidor no tendrá ningún costo para el usuario y la responsabilidad por su custodia no será del usuario.
Se incluyen también las unidades constructivas relacionadas en el numeral 5.2 del Anexo General de la Resolución CREG 097 de 2008. Para activos de nivel de tensión 1 se reconocen los relacionados en el numeral 5.3 del mismo Anexo.
Las inversiones que hayan sido realizadas con anterioridad a la fecha de presentación del Plan no son objeto de la remuneración de que trata la presente resolución.
Tampoco se considerarán las inversiones realizadas o a efectuar con recursos de Fondos de la Nación, Prone, FAER o FOES.
2.5 Listado de actividades a reconocer
Se incluyen las actividades relacionadas en el numeral 1.2 del ANEXO 1 de la presente resolución y las demás que el OR considere pertinentes.
El Presidente,
TOMÁS GONZÁLEZ ESTRADA,
Viceministro de Minas y Energía Delegado del Ministro de Minas y Energía.
El Director Ejecutivo,
JAVIER AUGUSTO DÍAZ VELASCO.
METODOLOGÍA PARA LA ACTUALIZACIÓN, LIQUIDACIÓN Y RECAUDO DEL CPROGJ,M.
<Anexo sin efecto según lo dispuesto por el artículo 4 de la la Resolución 178 de 2013>
<El texto vigente antes de quedar sin efecto es el siguiente:>
El ingreso mensual para remunerar los planes de reducción de pérdidas, en un mercado de comercialización, será liquidado y actualizado por el Liquidador y Administrador de Cuentas (LAC), mediante la aplicación de los CAPj, aprobados a cada OR, hasta que finalice o se cancele el Plan de un OR.
3.1 Determinación del cargo mensual
<Numeral modificado por el artículo 3 de la Resolución 31 de 2012. El nuevo texto es el siguiente:>
El cargo que debe ser cobrado a los usuarios finales en cada mercado de comercialización será calculado y publicado por el LAC los primeros siete (7) días de cada mes, de la siguiente manera:
![]()
Donde:
| CPROGj,m: | Cargo en $/kWh por concepto del Plan, del mercado de comercialización j, aplicable en el mes m. El cargo publicado por el LAC aplicará para el siguiente mes al de su publicación. |
| CAPj: | Costo anual del Plan ($), del mercado de comercialización j, aprobado al OR, calculado según lo expuesto en el numeral 2.1 del anexo 2 de la presente resolución. |
| VSTNj,m: | Ventas a usuarios conectados directamente al STN asociados al mercado de comercialización j en el mes m, en kWh. |
Corresponde a las lecturas tomadas directamente de los medidores de los usuarios conectados directamente al STN, sin referir al STN, tomadas de los registros del LAC. Cuando el medidor no se encuentre en el lado del STN, la medida se debe referir con los factores aprobados para el respectivo sistema.
Cuando para una frontera no se disponga de la información de un mes determinado se utilizará el promedio registrado para los últimos seis (6) meses de dicha frontera o la mejor información disponible en el LAC.
| VCPj,: | Ventas en el mercado de comercialización servido por el OR j, durante doce (12) meses, en kWh, realizadas por los comercializadores diferentes al incumbente, calculado de la siguiente manera: |

Donde:
| vcpm,n,i: | Energía registrada en el SIC para las fronteras comerciales de responsabilidad del comercializador i diferente al comercializador incumbente, durante el mes m, en el nivel de tensión n, en el mercado de comercialización atendido por el OR j, en kWh. |
Cuando no se disponga de la información para un mes determinado, se utilizará el promedio de los valores registrados para los últimos seis (6) meses o la mejor información disponible.
| Ip: | Número total de Comercializadores distintos al incumbente en el mercado de comercialización del OR j. |
| VCIj,: | Ventas en el mercado de comercialización servido por el OR j, durante doce (12) meses, en kWh, realizadas por el comercializador incumbente, calculado de la siguiente manera: |

| vciRm,n: | Ventas durante el mes m, en el nivel de tensión n, del comercializador incumbente, para usuarios regulados. |
Corresponde al consumo de energía eléctrica en kWh que es facturado y reportado al SUI para el respectivo periodo. Cuando no se disponga de la información para un mes determinado, se utilizará el promedio registrado en el SUI para los últimos seis (6) meses o la mejor información disponible.
| vciNRm,n: | Ventas durante el mes m, en el nivel de tensión n, del comercializador incumbente, para usuarios no regulados. |
Corresponde a la energía registrada en el SIC para las fronteras comerciales de usuarios no Regulados de responsabilidad del comercializador incumbente, durante el mes m, en el nivel de tensión n, en el mercado de comercialización atendido por el OR j, en kWh.
Cuando no se disponga de la información para un mes determinado, se utilizará el promedio de los valores registrados para los últimos seis (6) meses o la mejor información disponible.
| IPPm-2: | Índice de Precios al Productor Total Nacional correspondiente al mes m-2. |
| IPPo: | Índice de Precios al Productor Total Nacional correspondiente al mes de diciembre de 2010. |
3.2 Liquidación y recaudo
Dentro de los primeros quince (15) días calendario del segundo mes siguiente al de aplicación del cargo respectivo, el LAC determinará y publicará el valor que cada Comercializador debe trasladar al OR, de acuerdo con la siguiente expresión:
![]()
Donde:
| LCPROGi,j,m: | Liquidación por concepto de CPROG, en pesos, en el mercado de comercialización j, por las ventas realizadas durante el mes m, que facturará el OR j al comercializador i. |
| VCi,j,m: | Ventas de energía del Comercializador i, en el mercado de comercialización j, durante el mes m, considerando las ventas a usuarios conectados directamente al STN que hacen parte del mercado de comercialización j. |
La determinación de las ventas a usuarios No Regulados y para el caso en que un comercializador i diferente al integrado al OR haya registrado una frontera comercial para la atención de un solo usuario regulado, se hará a través del consumo registrado en el SIC para la frontera específica.
La determinación de las ventas a usuarios Regulados atendidos por el comercializador incumbente se hará a través del consumo de energía eléctrica en kWh que es facturado y reportado para el respectivo periodo al SUI.
En las fronteras comerciales que agrupen usuarios regulados atendidos por un comercializador i diferente al incumbente, este valor corresponde a la medida registrada en la frontera comercial f de dicho comercializador multiplicada por el factor (1- Psf). La variable Psf es igual a 0,019. En caso que el Comercializador y el OR acuerden otro valor de Psf, deberá ser informado al LAC para que sea utilizado en la liquidación.
ALi,j,m: Ajuste de la liquidación en el mes m, en pesos, causada por modificaciones en los reportes de información de consumos facturados o refacturaciones, realizadas por el comercializador i en el mercado de comercialización j.
Este valor es igual a cero (0) en la primera liquidación
![]()
Donde:
| VCAi,j,maj: | Ventas de energía del Comercializador i ajustadas, en el mercado de comercialización j, en el mes de ajuste maj para el cual se modificó el reporte de información, considerando las ventas a usuarios conectados directamente al STN que hacen parte del mercado de comercialización j. |
Es el reporte de energía eléctrica, en kWh y que ha modificado un reporte anterior con base en el cual ya se realizó alguna liquidación del costo del Plan.
Si el comercializador no realiza modificaciones en el consumo facturado, la variable VCAi,j,maj es igual a VCi,j,maj.
| VCi,j,maj: | Ventas de energía del Comercializador i, en el mercado de comercialización j, considerando las ventas a usuarios conectados directamente al STN que hacen parte del mercado de comercialización j, (VCi,j,m ) que ha sido objeto de modificación posteriormente al momento de su utilización en el cálculo de un LCPROG. |
| VCRi,j,m: | Consumo refacturado por el Comercializador i, en el mercado de comercialización j, para el mes m, considerando las ventas a usuarios conectados directamente al STN que hacen parte del mercado de comercialización j. Corresponde a los consumos de energía eléctrica, en kWh, realizados durante períodos anteriores que se facturaron de más o se dejaron de facturar. |
Cuando un comercializador modifique la información de ventas en el SUI o el reporte de energía en el LAC para un mes que ya ha sido objeto de liquidación de CPROGj,m, el LAC deberá efectuar una reliquidación por este concepto.
La facturación y recaudo a los agentes comercializadores le corresponderá a los OR, utilizando la liquidación elaborada por el LAC.
La liquidación del CPROGj,m deberá ser trasladada por los comercializadores a los respectivos OR de acuerdo con los plazos establecidos en la regulación vigente.
El Presidente,
TOMÁS GONZÁLEZ ESTRADA,
Viceministro de Minas y Energía Delegado del Ministro de Minas y Energía.
El Director Ejecutivo,
JAVIER AUGUSTO DÍAZ VELASCO.
CÁLCULO DE ÍNDICES DE PÉRDIDAS.
<Anexo sin efecto según lo dispuesto por el artículo 4 de la la Resolución 178 de 2013>
<El texto vigente antes de quedar sin efecto es el siguiente:>
El ASIC debe aplicar la metodología para el cálculo de las pérdidas totales de energía, las pérdidas de energía en el Nivel de Tensión 1 y las pérdidas de energía a distribuir en los mercados de comercialización definidas en los numerales 4.2 y 4.3 de este anexo.
Para determinar las pérdidas de energía se deberá emplear la información de las fronteras comerciales registradas en el ASIC y la reportada al SUI.
4.1 Pérdidas totales y del Nivel de Tensión 1 al inicio del Plan
Para la presentación del Plan o del estudio de aprobación de pérdidas del nivel de tensión 1, los OR deben calcular las variables IPTj,0 y Pj,1,0 conforme a lo señalado en este numeral.
4.1.1 Índice de pérdidas totales de energía al inicio del Plan, IPTj,0
Las pérdidas totales de energía en el mercado de comercialización servido por el OR j al inicio del Plan son:

El índice de pérdidas totales de energía en el mercado de comercialización servido por el OR j al inicio del Plan es:

Donde:
| PTj,0: | Pérdidas totales de energía en el mercado de comercialización servido por el OR j, al inicio del Plan, expresadas en kWh. |
| IPTj,0: | Índice de pérdidas totales de energía en el mercado de comercialización servido por el OR j, al inicio del Plan. |
| Eej,n,m: | Energía de entrada al sistema del OR j en el Nivel de Tensión n para el mes m, expresada en kWh. Calculada como se establece en el numeral 4.3.3. |
| Esj,n,m: | Energía de salida del sistema del OR j en el Nivel de Tensión n para el mes m, expresada en kWh. Calculada como se establece en el numeral 4.3.4. |
| FeNS,j,n,m: | Flujo de energía desde Niveles de Tensión superiores en el sistema del OR j, al Nivel de Tensión n, para el mes m, expresado en kWh. Calculada como se establece en el numeral 4.3.6. |
| FsOR,j,n,m: | Flujo de energía de salida desde el sistema del OR j en el Nivel de Tensión n, a los sistemas de otros OR, para el mes m, expresado en kWh. Corresponde a la suma de las energías medidas en las fronteras comerciales entre OR, sin referir al STN, registradas en el ASIC. |
| n: | Corresponde al Nivel de Tensión para el cual se determina la energía. Toma los valores de 1, 2, 3 y 4. |
Para el cálculo de la variable IPTj,0, m = 0 corresponde al mes en el cual el OR presenta el Plan a la Comisión.
Cuando en un mercado de comercialización la energía vendida a usuarios en el nivel de tensión 4 sea igual o superior al 30% de las ventas totales en dicho mercado sin incluir las ventas en el STN, las ventas en el nivel de tensión 4 no se incluirán en la energía de salida y de la energía de entrada se debe descontar las ventas de energía de nivel de tensión 4 afectadas por las pérdidas reconocidas.
4.1.2 Pérdidas de energía en el Nivel de Tensión 1 al inicio del Plan, Pj,1,0
Las pérdidas de energía en el Nivel de Tensión 1 del sistema del mercado de comercialización del OR j al inicio del Plan son:

El índice de pérdidas de energía en el Nivel de Tensión 1 del sistema del OR j al inicio del Plan es:
![]()
Donde:
| PEj,1,0 | Pérdidas de energía en el Nivel de Tensión 1 en el sistema del OR j, a la fecha de presentación del Plan, expresadas en kWh. |
| Eej,1,m | Energía de entrada en el Nivel de Tensión 1 del sistema del OR j durante el mes m, expresada en kWh. Calculada como se establece en el numeral 4.3.3. |
| Esj,1,m | Energía de salida del Nivel de Tensión 1 del sistema del OR j, durante el mes m, expresada en kWh. Calculada como se establece en el numeral 4.3.4. |
| Pj,1,0 | Índice de pérdidas de energía en el Nivel de Tensión 1 del sistema del OR j calculadas al momento de evaluación del Plan. |
Para el cálculo de la variable Pj,1,0, la variable m igual a cero (m = 0) corresponde al mes en el cual el OR presenta el Plan a la Comisión o el estudio para aprobación del Índice de Pérdidas de Nivel de Tensión 1.
4.2 Pérdidas totales y del Nivel de tensión 1 en los mercados de comercialización
Para la evaluación del cumplimiento del Plan el LAC debe calcular las variables IPTj,s y Pj,1,s según lo dispuesto en este numeral.
4.2.1 Pérdidas totales de energía
Las pérdidas totales de energía en el mercado de comercialización servido por el OR j para el período de evaluación s son:

El índice de pérdidas totales de energía en el mercado de comercialización servido por el OR j para el período de evaluación s es:
![]()
Donde:
| PTj,s | Pérdidas totales de energía en el mercado de comercialización servido por el OR j, para el período de evaluación s, expresadas en kWh. |
| IPTj,s | Índice de pérdidas totales de energía en el mercado de comercialización servido por el OR j, para el período de evaluación s. |
| Eej,n,s | Energía de entrada al sistema del OR j en el Nivel de Tensión n durante los períodos de evaluación s y s-1, expresada en kWh. Calculada como se establece en el numeral 4.2.3. |
| Esj,n,s | Energía de salida del sistema del OR j en el Nivel de Tensión n durante los períodos de evaluación s y s-1, expresada en kWh. Calculada como se establece en el numeral 4.2.4. |
| FeNSj,n,s | Flujo de energía desde Niveles de Tensión superiores en el sistema del OR j, al Nivel de Tensión n, durante los períodos de evaluación s y s-1, expresado en kWh. Calculada como se establece en el numeral 4.2.5. |
| FsORj,n,s | Flujo de energía de salida desde el sistema del OR j en el Nivel de Tensión n, a otros STR y/o SDL, durante los períodos de evaluación s y s-1, expresado en kWh. Corresponde a la suma de las energías medidas en las fronteras comerciales entre OR, sin referir al STN, registradas en el ASIC. |
| n | Corresponde al Nivel de Tensión para el cual se determina la energía. Toma los valores de 1, 2, 3 y 4. |
Cuando en un mercado de comercialización la energía vendida a usuarios en el nivel de tensión 4 sea igual o superior al 30% de las ventas totales en dicho mercado sin incluir las ventas en el STN, las ventas en el nivel de tensión 4 no se incluirán en la energía de salida y de la energía de entrada se debe descontar las ventas de energía de nivel de tensión 4 afectadas por las pérdidas reconocidas.
4.2.2 Pérdidas de energía en el Nivel de Tensión 1
Para determinar las pérdidas del Nivel de Tensión 1, el ASIC debe realizar el balance de energía para los niveles de tensión superiores, empleando lo definido en el presente anexo.
Las pérdidas de energía en el Nivel de Tensión 1 del sistema del OR j son:
![]()
El índice de pérdidas de energía en el Nivel de Tensión 1 del sistema del OR j es:
![]()
Donde:
| Pcj,1,s | Índice de pérdidas de energía en el Nivel de Tensión 1 del sistema del OR j calculado para el período de evaluación s. |
| PEj,1,s | Pérdidas de energía en el Nivel de Tensión 1 en el sistema del OR j, durante los períodos de evaluación s y s-1, expresadas en kWh. |
| Eej,1,s | Energía de entrada en el Nivel de Tensión 1 del sistema del OR j durante los períodos de evaluación s y s-1, expresada en kWh. Calculada como se establece en el numeral 4.2.3. |
| Esj,1,s | Energía de salida del Nivel de Tensión 1 del sistema del OR j, durante los períodos de evaluación s y s-1, expresada en kWh. Calculada como se establece en el numeral 4.2.4. |
4.2.3 Cálculo de la energía de entrada para cada Nivel de Tensión
La energía de entrada en cada uno de los Niveles de Tensión del sistema del OR j, se calcula como sigue:
![]()
Donde:
| Eej,n,s | Energía de entrada al sistema del OR j en el Nivel de Tensión n durante los períodos de evaluación s y s-1, expresada en kWh. |
| EeGj,n,s | Energía entregada por los generadores, incluyendo Plantas menores y cogeneradores conectados directamente al sistema del OR j, en el Nivel de Tensión n, durante los períodos de evaluación s y s-1, expresada en kWh. Corresponde a la suma de las energías medidas en las fronteras comerciales, sin referir al STN, registrada en el SIC para estos agentes. |
| FeSTNj,n,s | Flujo de Energía del STN al sistema del OR j en el Nivel de Tensión n, durante los períodos de evaluación s y s-1, expresado en kWh. Corresponde a la suma de las energías medidas en las fronteras comerciales, sin referir al STN, registradas en el SIC para los puntos de conexión del OR j al STN. |
Para los puntos de conexión en los cuales exista un transformador tridevanado, el OR deberá reportar mensualmente al ASIC los valores de energía de entrada al transformador y los de energía de salida por cada uno de los devanados para que el ASIC efectúe la asignación al nivel de tensión que corresponda. Cuando el OR no envíe la información correspondiente, el LAC utilizará la mejor información disponible.
| FeORj,n,s | Flujo de energía desde el sistema de otro OR al sistema del OR j, en el Nivel de Tensión n, durante los períodos de evaluación s y s-1, expresado en kWh. Corresponde a la suma de las energías medidas en cada frontera comercial entre OR, sin referir al STN, registrada en el ASIC. |
| FeNS,n,s | Flujo de energía desde Niveles de Tensión superiores en el sistema del OR j, al Nivel de Tensión n, durante los períodos de evaluación s y s-1, expresado en kWh. Calculada como se establece en el numeral 4.2.5. |
| n | Corresponde al Nivel de Tensión para el cual se determina la energía de entrada. Toma los valores de 1, 2, 3 y 4. |
4.2.4 Cálculo de la energía de salida para cada Nivel de Tensión
<Numeral modificado por el artículo 4 de la Resolución 31 de 2012. El nuevo texto es el siguiente:> La energía de salida en cada uno de los Niveles de Tensión del sistema del OR j, se calcula como
![]()
Donde:
| Esj,n,s: | Energía de salida del sistema del OR j en el Nivel de Tensión n, durante los periodos de evaluación s y s-1, expresada en kWh. |
| EsVFCj,n,s: | Ventas de energía en las fronteras comerciales del Nivel de Tensión n, del mercado de comercialización servido por el OR j, durante los periodos de evaluación s y s-1. Corresponde a la suma de las medidas en las fronteras comerciales registradas en el SIC para el mercado de comercialización servido por el OR j, sin referir al STN, para la venta de energía a usuarios no regulados de todos los comercializadores del mercado y de las de usuarios regulados de los comercializadores distintos al incumbente. Incluye la energía entregada a los auxiliares de las subestaciones que no están conectadas directamente al STN. |
| EsVSFCj,n,s: | Ventas de energía en el sistema del OR j, en el Nivel de Tensión n, durante los periodos de evaluación s y s-1. Es el consumo de energía eléctrica en kWh, de usuarios regulados del comercializador incumbente, que es facturado y reportado al SUI. Este valor incluye la energía entregada a los auxiliares de las subestaciones que no están conectadas directamente al STN. |
| FsSTNj,n,s: | Flujo de energía de salida en el Nivel de Tensión n desde los puntos de conexión del OR j al STN, durante los periodos de evaluación s y s-1, expresada en kWh. Corresponde a la suma de las energías medidas en las fronteras comerciales, sin referir al STN, registradas en el SIC para los puntos de conexión del OR j al STN. |
| FsORj,n,s: | Flujo de energía de salida desde el sistema del OR j en el Nivel de Tensión n, a otros STR y/o SDL, durante los periodos de evaluación s y s-1, expresada en kWh. Corresponde a la suma de las energías medidas en las fronteras comerciales entre OR, sin referir al STN, registradas en el SIC. |
| n: | Corresponde al Nivel de Tensión para el cual se determina la energía de salida. Toma los valores de 1, 2, 3 y 4. |
En el cálculo de la variable Esj,n,s no se debe tener en cuenta la energía recuperada.
4.2.5 Energía de entrada desde Niveles de Tensión superiores
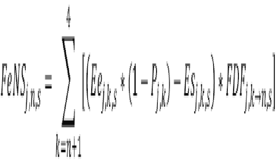
La energía de entrada desde Niveles de Tensión superiores hacia cada uno de los Niveles de Tensión en el sistema del OR j, corresponde a:

Donde:
| FeNSj,n,s | Corresponde a la energía de entrada desde Niveles de Tensión superiores al Nivel de Tensión n, en el sistema del OR j, durante los períodos de evaluación s y s-1, expresada en kWh. Para el Nivel de Tensión 4, el valor de FeNS,j,4,m es cero. Este valor es mayor o igual a cero. |
| Eej,k,s | Energía de entrada en el Nivel de Tensión superior k del sistema del OR j, durante los períodos de evaluación s y s-1, expresada en kWh. |
| Esj,k,s | Energía de salida del sistema del OR j, en el Nivel de Tensión superior k, durante los períodos de evaluación s y s-1, expresada en kWh. |
| Pj,k | Índice de pérdidas de energía reconocidas en el sistema del OR j, en el Nivel de Tensión superior k. Este valor corresponde al aprobado a cada OR en la resolución de cargos de distribución vigente. |
| FDFj,k?n,s | Factor de distribución del flujo de energía en el sistema del OR j, desde el Nivel de Tensión superior k hacia el Nivel de Tensión n, durante los períodos de evaluación s y s-1. |
Mientras el OR implementa la medida entre niveles de tensión, se utilizará el factor tenido en cuenta en la Resolución de aprobación de cargos de distribución de cada OR. A más tardar a partir del decimotercer mes de inicio del Plan este factor deberá ser informado por el OR al LAC con base en las medidas entre niveles efectuadas. Cuando el OR no envíe la información correspondiente, el LAC utilizará la mejor información disponible.
n Corresponde al Nivel de Tensión para el cual se determina la energía de salida. Toma los valores de 1, 2 y 3.
k Corresponde al Nivel de Tensión superior. Toma los valores de 2, 3 o 4.
4.3 Pérdidas de energía a distribuir en cada mercado de comercialización.
Las pérdidas de energía a distribuir en el mercado de comercialización i, atendido por el OR j, en el mes m son:
![]()
Donde:
| PAi,j,m | Pérdidas de energía a distribuir entre los comercializadores del mercado de comercialización i, servido por el OR j, para el mes m, expresadas en kWh. |
| PTSi,j,m | Pérdidas totales de energía de la senda, en el mercado de comercialización i, servido por el OR j, para el mes m, expresadas en kWh. Calculadas como se indica en el numeral 4.3.1 |
| PTci,j,m | Pérdidas totales de energía calculadas para el mercado de comercialización i, servido por el OR j, para el mes m, expresadas en kWh. Calculadas como se indica en el numeral 4.3.2. |
| PRi,j,,m | Pérdidas reconocidas de energía para el mercado de comercialización i, servido por el OR j, para el mes m, expresadas en kWh. Calculadas como se indica en el numeral 4.3.5. |
4.3.1 Pérdidas totales de energía de la senda
<Numeral modificado por el artículo 5 de la Resolución 31 de 2012. El nuevo texto es el siguiente:>
Las pérdidas totales de energía asociadas a la senda aprobada a un OR j son:

Donde:
| PTSi,j,m: | Pérdidas totales de energía de la senda, en el mercado de comercialización i, servido por el OR j, para el mes m del periodo de evaluación s, expresadas en kWh. |
| IPTSj,s-1: | Índice de pérdidas totales de energía de la senda, en el mercado de comercialización i, servido por el OR j, aprobado para el periodo de evaluación s-1. |
| Eej,n,m: | Energía de entrada al sistema del OR j en el Nivel de Tensión n durante el mes m, expresada en kWh. Calculada como se establece en el numeral 4.3.3. |
| FeNS,j,n,m: | Flujo de energía desde Niveles de Tensión superiores en el sistema del OR j, al Nivel de Tensión n, durante el mes m, expresada en kWh. Calculada como se establece en el numeral 4.3.6. |
| FsORj,n,m: | Flujo de energía de salida desde el sistema del OR j en el Nivel de Tensión n, a otros STR y/o SDL, durante el mes m, expresado en kWh. Corresponde a la suma de las energías medidas en las fronteras comerciales entre OR, sin referir al STN, registradas en el ASIC. |
Para los OR a los que se les apruebe el índice IPTj,0 sin considerar las ventas de energía del nivel de tensión 4, según lo establecido en el numeral 4.1.1 del presente anexo, en el cálculo de la variable PTSi,j,m no se incluirán las ventas en el nivel de tensión 4 en la energía de salida y de la energía de entrada se debe descontar las ventas de energía de nivel de tensión 4 afectadas por las pérdidas reconocidas.
4.3.2 Pérdidas totales de energía calculadas
Las pérdidas totales de energía calculadas en el mercado de comercialización i, servido por el OR j, para el mes m, son:
![]()
Donde:
| PTci,j,m | Pérdidas totales de energía calculadas para el mercado de comercialización i, servido por el OR j, para el mes m, expresadas en kWh. |
| Eej,n,m | Energía de entrada al sistema del OR j en el Nivel de Tensión n durante el mes m, expresada en kWh. Calculada como se establece en el numeral 4.3.3. |
| Esj,n,m | Energía de salida del sistema del OR j en el Nivel de Tensión n durante el mes m, expresada en kWh. Calculada como se establece en el numeral 4.3.4. |
| FeNSj,n,m | Flujo de energía desde Niveles de Tensión superiores en el sistema del OR j, al Nivel de Tensión n, durante el mes m, expresada en kWh. Calculada como se establece en el numeral 4.3.6. |
| n | Corresponde al Nivel de Tensión para el cual se determina la energía. Toma los valores de 1, 2, 3 y 4. |
Cuando en un mercado de comercialización la energía vendida a usuarios en el nivel de tensión 4 sea igual o superior al 30% de las ventas totales en dicho mercado sin incluir las ventas en el STN, las ventas en el nivel de tensión 4 no se incluirán en la energía de salida y de la energía de entrada se debe descontar las ventas de energía de nivel de tensión 4 afectadas por las pérdidas reconocidas.
4.3.3 Cálculo de la energía de entrada para cada Nivel de Tensión
La energía de entrada en cada uno de los Niveles de Tensión del sistema del OR j, se calcula como sigue:
![]()
Donde:
| Eej,n,m | Energía de entrada al sistema del OR j en el Nivel de Tensión n durante el mes m, expresada en kWh. |
| EeGj,n,m: | Energía entregada por los generadores, incluyendo Plantas menores y cogeneradores conectados directamente al sistema del OR j, en el Nivel de Tensión n, durante el mes m, expresada en kWh. Corresponde a la suma de las energías medidas en las fronteras comerciales, sin referir al STN, registrada en el SIC para estos agentes. |
| FeSTNj,n,m: | Flujo de Energía del STN al sistema del OR j en el Nivel de Tensión n, durante el mes m, expresado en kWh. Corresponde a la suma de las energías medidas en las fronteras comerciales, sin referir al STN, registradas en el SIC para los puntos de conexión del OR j al STN. |
Para los puntos de conexión en los cuales exista un transformador tridevanado, el OR deberá reportar mensualmente al ASIC los valores de energía de entrada al transformador y los de energía de salida por cada uno de los devanados para que el ASIC efectúe la asignación al nivel de tensión que corresponda.
| FeORj,n,m: | Flujo de energía desde el sistema de otro OR al sistema del OR j, en el Nivel de Tensión n, durante el mes m, expresado en kWh. Corresponde a la suma de las energías medidas en cada frontera comercial entre OR, sin referir al STN, registrada en el SIC. |
| FeNSj,n,m: | Flujo de energía desde Niveles de Tensión superiores en el sistema del OR j, al Nivel de Tensión n, durante el mes m, expresada en kWh. Calculada como se establece en el numeral 4.3.6. |
| n: | Corresponde al Nivel de Tensión para el cual se determina la energía de entrada. Toma los valores de 1, 2, 3 y 4. |
4.3.4 Cálculo de la energía de salida para cada Nivel de Tensión
La energía de salida en cada uno de los Niveles de Tensión del sistema del OR j, se calcula como:
![]()
Donde:
| Esj,n,m: | Energía de salida del sistema del OR j en el Nivel de Tensión n, durante el mes m, expresada en kWh. |
| EsVFCj,n,m: | Ventas de energía en las fronteras comerciales del Nivel de Tensión n, del mercado de comercialización servido por el OR j, para el mes m. Corresponde a la suma de las medidas en las fronteras comerciales registradas en el SIC para el mercado de comercialización servido por el OR j, sin referir al STN, para la venta de energía a usuarios no regulados de todos los comercializadores del mercado y de los de usuarios regulados de los comercializadores distintos al incumbente. Incluye la energía entregada a los auxiliares de las subestaciones que no están conectadas directamente al STN. |
| EsVSFCj,n,m: | Ventas de energía en el sistema del OR j, en el Nivel de Tensión n, durante el mes m. Corresponde al valor promedio para el periodo m=-14 a m=-3 del consumo de energía eléctrica en kWh, de usuarios regulados del comercializador incumbente, que es facturado y reportado al SUI. Este valor incluye la energía entregada a los auxiliares de las subestaciones que no están conectadas directamente al STN. |
| FsSTNj,n,m: | Flujo de energía de salida en el Nivel de Tensión n desde los puntos de conexión del OR j al STN, durante el mes m, expresada en kWh. Corresponde a la suma de las energías medidas en las fronteras comerciales, sin referir al STN, registradas en el SIC para los puntos de conexión del OR j al STN. |
| FsORj,n,m: | Flujo de energía de salida desde el sistema del OR j en el Nivel de Tensión n, a otros STR y/o SDL, durante el mes m, expresada en kWh. Corresponde a la suma de las energías medidas en las fronteras comerciales entre OR, sin referir al STN, registradas en el SIC. |
| n: | Corresponde al Nivel de Tensión para el cual se determina la energía de salida. Toma los valores de 1, 2, 3 y 4. |
En el cálculo de la variable _________________________________ no se debe tener en cuenta la energía recuperada.
4.3.5 Pérdidas de energía reconocidas
Las pérdidas de energía reconocidas en cada uno de los Niveles de Tensión del sistema del OR j, se calculan de la siguiente manera:
![]()
Donde:
| PRj,n,m: | Pérdidas de energía reconocidas en el sistema del OR j, en el Nivel de Tensión n, durante el mes m, expresadas en kWh. |
| Eej,n,m: | Energía de entrada al sistema del OR j, en el Nivel de Tensión n, durante el mes m, expresada en kWh. |
| Pj,n: | Índice de pérdidas reconocidas en el Nivel de Tensión n, para el OR j, aprobado en la Resolución de Cargos vigentes. Para el nivel de tensión 1, corresponde al definido en el Anexo 5 de esta resolución. |
| n: | Corresponde al Nivel de Tensión para el cual se determinan las pérdidas de energía. Toma los valores de 1, 2, 3 y 4. |
4.3.6 Energía de entrada desde Niveles de Tensión superiores
La energía de entrada desde Niveles de Tensión superiores hacia cada uno de los Niveles de Tensión en el sistema del OR j, corresponde a:

Donde:
| FeNSj,n,m: | Energía de entrada desde Niveles de Tensión superiores al Nivel de Tensión n, en el sistema del OR j, durante el mes m, expresada en kWh. Para el Nivel de Tensión 4, el valor de FeNS,j,4,m es cero. |
| Eej,k,m: | Energía de entrada en el Nivel de Tensión superior k del sistema del OR j, durante el mes m, expresada en kWh. |
| Esj,k,m: | Energía de salida del sistema del OR j, en el Nivel de Tensión superior k, durante el mes m, expresada en kWh. |
| PRj,k,m: | Pérdidas de energía reconocidas en el Nivel de Tensión superior k, en el sistema del OR j, durante el mes m, expresadas en kWh. |
| FDFj,k?n,m: | Factor de distribución del flujo de energía en el sistema del OR j, desde el Nivel de Tensión superior k hacia el Nivel de Tensión n, durante el mes m. |
Mientras el OR implemente la medida entre niveles de tensión, se utilizará el factor tenido en cuenta en la Resolución de aprobación de cargos de distribución de cada OR. A más tardar a partir del decimotercer mes de inicio del Plan este factor deberá ser informado por el OR al LAC con base en las medidas entre niveles efectuadas. Cuando el OR no envíe la información correspondiente, el LAC utilizará la mejor información disponible.
| n: | Corresponde al Nivel de Tensión para el cual se determina la energía de salida. Toma los valores de 1, 2 y 3. |
| K: | Corresponde al Nivel de Tensión superior. Toma los valores de 2, 3 y 4. |
El Presidente,
TOMÁS GONZÁLEZ ESTRADA,
Viceministro de Minas y Energía Delegado del Ministro de Minas y Energía.
El Director Ejecutivo,
JAVIER AUGUSTO DÍAZ VELASCO.
PÉRDIDAS RECONOCIDAS.
<Anexo sin efecto, salvo el numeral 5.1, según lo dispuesto por el artículo 4 de la la Resolución 178 de 2013. El texto que continúa vigente es el siguiente:>
Las pérdidas reconocidas en el nivel de tensión 1 se determinan según lo expuesto a continuación:
5.1 OR con pérdidas de Nivel de Tensión 1 inferiores o iguales a las reconocidas.
Para los OR cuyo índice total de pérdidas de Nivel de Tensión 1, Pj,i,0, sea inferior al vigente reconocido, el índice de pérdidas a reconocer Pj,1 será igual a Pj,1,s para cada periodo de evaluación, de acuerdo con las siguientes fórmulas:
Para los dos primeros periodos de evaluación s posteriores a la aprobación del índice de pérdidas de nivel de tensión 1, las pérdidas reconocidas en este nivel de tensión serán iguales a las vigentes a la fecha de presentación del estudio de que trata el Artículo 5o:
![]()
| Pj,1,s: | Índice de pérdidas de Nivel de Tensión 1 reconocidas para el OR j, durante el período de evaluación s. |
| P097j,1: | Índice de pérdidas del Nivel de Tensión 1 reconocidas al OR j. Valor incluido en el documento de soporte de la Resolución de aprobación de cargos, aplicando la metodología de la Resolución CREG 097 de 2008. |
En los períodos de evaluación tercero y cuarto, posteriores a la aprobación del índice de pérdidas de nivel de tensión 1, las pérdidas reconocidas en este nivel de tensión son:
![]()
| Pj,1,0: | Índice de pérdidas de energía en el Nivel de Tensión 1 aprobado para el sistema del OR j, de acuerdo con lo señalado en la presente resolución. |
| P097j,1: | Índice de pérdidas del Nivel de Tensión 1 reconocidas al OR j. Valor incluido en el documento de soporte de la Resolución de aprobación de cargos, aplicando la metodología de la Resolución CREG 097 de 2008. |
A partir del quinto semestre las pérdidas reconocidas de nivel de tensión 1 serán iguales a las pérdidas aprobadas Pj,1,0.
<El texto vigente antes de quedar sin efecto es el siguiente:>
5.2 OR con pérdidas de nivel de tensión 1 superiores a las reconocidas.
Para los OR cuyo índice total de pérdidas de nivel de tensión 1, calculado al momento de la evaluación del Plan, sea superior al reconocido y dicho OR cuente con un Plan en ejecución, el índice de pérdidas a reconocer en cada etapa será:
5.2.1 Pérdidas reconocidas durante la ejecución del Plan
Mientras que el índice de nivel de tensión 1 calculado de acuerdo con lo establecido en el numeral 4.2.2 del Anexo 4 de la presente resolución (Pcj,1,s), sea superior al Índice de pérdidas del Nivel de Tensión 1 reconocidas al OR j (P097j,1), el valor de pérdidas reconocidas en el nivel de tensión 1 continuará siendo igual (P097j,1).
Cuando el índice de nivel de tensión 1 calculado de acuerdo con lo establecido en el numeral 4.2.2 del Anexo 4 de la presente resolución (Pcj,1,s), sea inferior al Índice de pérdidas del Nivel de Tensión 1 reconocidas al OR j (P097j,1), el valor de pérdidas reconocidas en el nivel de tensión 1 será igual al (Pcj,1,s) calculado.
5.2.2 Pérdidas reconocidas a partir de la finalización del Plan
Cuando el índice de pérdidas reales del nivel de tensión 1 sea superior o igual al índice de pérdidas reconocidas de nivel de tensión 1 al inicio del plan, el índice de pérdidas reconocidas se calculará de la siguiente manera:
![]()
Donde:
| IPMj,1: | Índice de pérdidas por mercado en el nivel de tensión 1 calculado de acuerdo con lo establecido en el numeral 5.2.3 del presente anexo. |
| IPrefj,1: | Índice de pérdidas de referencia en el nivel de tensión 1, calculado de acuerdo con lo establecido en el numeral 5.2.4 del presente anexo. |
Cuando el índice de pérdidas reales del nivel de tensión 1 sea inferior al índice de pérdidas reconocidas de nivel de tensión 1 al inicio del plan, el índice de pérdidas reconocidas será igual al último índice de pérdidas de nivel de tensión 1 calculado en la ejecución del plan.
5.2.3 Índice de pérdidas por mercado (IPMj,1)
Es la suma del índice de pérdidas técnicas y no técnicas esperadas al finalizar el Plan, así:
![]()
Donde:
| Ptfj,1: | Valor de pérdidas técnicas de referencia calculado para el OR j que se encuentra en el documento publicado a través de la Circular CREG 052 de 2010 menos 1.7 puntos porcentuales. |
| En los casos de nuevos OR y aquellos que no cuenten con este valor de referencia, esta variable tomará el valor, registrado en el documento citado, para la empresa con el número de usuarios más cercano al que atiende dicho OR. | |
| Pntf1: | Valor de pérdidas no técnicas de referencia. Es el mínimo valor de pérdidas no técnicas reconocidas a los OR con pérdidas de Nivel de Tensión 1 inferiores o iguales a las reconocidas de que trata el numeral 5.1 del presente Anexo, calculadas como la diferencia entre el índice Pj,1,o y el valor de pérdidas técnicas de referencia calculado que se encuentra en el documento publicado a través de la Circular CREG 052 de 2010 para el OR correspondiente. |
5.2.4 Índice de pérdidas de referencia (IPrefj,1)
Es el mínimo valor resultante de la comparación entre el Índice de pérdidas del Nivel de Tensión 1 reconocidas al OR j y el Índice de Pérdidas Mercados de Referencia (Pmrefj,1) de que trata el numeral 5.1 del presente anexo, así:
![]()
Donde:
| P097j,1: | Índice de pérdidas del Nivel de Tensión 1 reconocidas al OR j. Valor incluido en el documento de soporte de la Resolución de aprobación de cargos, aplicando la metodología de la Resolución CREG 097 de 2008. |
| Pmref1: | Máximo valor de los Pj,1,0 aprobados a los OR con pérdidas de Nivel de Tensión 1 inferiores o iguales a las reconocidas al momento de la evaluación de los planes. |
El Presidente,
TOMÁS GONZÁLEZ ESTRADA,
Viceministro de Minas y Energía Delegado del Ministro de Minas y Energía.
El Director Ejecutivo,
JAVIER AUGUSTO DÍAZ VELASCO.
EVALUACIÓN DEL CUMPLIMIENTO DEL PLAN.
<Anexo sin efecto según lo dispuesto por el artículo 4 de la la Resolución 178 de 2013>
<El texto vigente antes de quedar sin efecto es el siguiente:>
6.1 Procedimiento de evaluación
La evaluación de cumplimiento del Plan consiste en el cálculo de los índices de pérdidas, su divulgación y la aplicación de la siguiente metodología:
1. El LAC calculará, para cada OR, el índice de pérdidas totales, IPTj,s, conforme a lo establecido en el Anexo 4 de la presente resolución, dentro de los primeros cinco (5) días hábiles del segundo mes posterior a la finalización de cada período de evaluación. Los resultados serán publicados por el LAC, junto con las metas aprobadas para cada OR, en su página web al siguiente día de su cálculo.
2. Los OR tendrán un plazo de cinco (5) días hábiles a partir de la publicación de los resultados para presentar sus observaciones sobre estos. En este caso, el OR deberá enviar al LAC y a la Superintendencia de Servicios Públicos Domiciliarios las pruebas que demuestren los posibles errores de cálculo o que la información utilizada no corresponda con la realidad.
3. Cuando un OR presente observaciones sobre el cálculo, el LAC resolverá la solicitud y el decimoquinto (15) día hábil del mismo mes publicará los resultados finales de cálculo teniendo en cuenta todas las aclaraciones que se presenten.
4. Si un OR cumple con las metas, se mantendrá la remuneración aprobada para el siguiente período de evaluación.
5. Un OR incumple la ejecución del Plan cuando la variable IPTj,s es superior al índice IPTSj,s aprobado más el factor de tolerancia aprobado al OR j, con base en lo establecido en la siguiente tabla:
| Factor de costo | Factor de tolerancia (puntos porcentuales) |
| 0,9*CPCEj < CPORj | 0,2 |
| 0,8*CPCEj < CPOR = 0,9*CPCEj | 0,4 |
| 0,6*CPCEj < CPOR = 0,8*CPCEj | 0,6 |
| CPORj < 0,6*CPCEj | 0,8 |
La suspensión de la remuneración del Plan a un OR no implica la cancelación de la ejecución del Plan y el LAC continuará calculando los índices que le correspondan.
Cuando un incumplimiento ocurra en el décimo período de evaluación, el LAC calculará el IPTj,s para el siguiente período de evaluación. Si el índice IPTj,s del undécimo período de evaluación no cumple con la meta establecida para el décimo período de evaluación, el OR devolverá los recursos recibidos durante los períodos de evaluación 9 y 10, según lo establecido en el artículo 15 de la presente resolución.
6. Si al finalizar el período de evaluación siguiente al de la suspensión de la remuneración se encuentra que el OR cumple con la meta aprobada para ese período, se levantará la suspensión del Plan y se reiniciará la remuneración del Plan al OR.
7. Si al finalizar el período de evaluación siguiente al de la suspensión de la remuneración se encuentra que el OR no cumple con la meta aprobada para ese período, se cancelará la ejecución del Plan y el OR debe devolver los ingresos recibidos, conforme a lo establecido en el artículo 15 y el artículo 16 de la presente resolución según corresponda.
8. Cuando durante la vigencia del Plan y hasta un año posterior a su finalización, un Comercializador incumbente modifique los reportes de ventas de energía en el SUI, el LAC deberá recalcular los índices de pérdidas totales, IPTj,s, conforme a lo establecido en el Anexo 4 de la presente resolución teniendo en cuenta la nueva información.
En este caso, si con los nuevos índices un OR incumple con las metas del respectivo período de evaluación, el OR debe reintegrar los recursos recibidos durante los periodos de incumplimiento conforme a lo señalado en el Anexo 8.
6.2 Modificación de metas
El OR podrá solicitar el ajuste de las metas aprobadas, bajo las siguientes condiciones:
a) Se puede solicitar el ajuste de la meta final una sola vez durante el periodo de ejecución del Plan. Esta solicitud deberá presentarse a la CREG a más tardar (3) tres meses antes de la finalización del tercer periodo de evaluación.
b) La modificación de la meta final conlleva a un ajuste en la remuneración del Plan aprobada inicialmente al OR.
Cuando el índice final solicitado sea superior al aprobado, el Plan será objeto de reliquidación y ajuste. Para el cálculo del nuevo CAPj, se debe restar de la variable CTPj los recursos recibidos hasta el momento de la solicitud y los proyectados a recibir durante los tres (3) meses siguientes a la solicitud. El índice final solicitado no deberá ser superior o igual al último índice de pérdidas calculado. El nuevo CAPj estará vigente entre el momento de aprobación y el tiempo restante para el cumplimiento total de los cinco (5) años del Plan.
Cuando el índice final solicitado sea inferior al aprobado, el Plan será objeto de ajuste. El nuevo CAPj estará vigente entre el momento de aprobación y el tiempo restante para el cumplimiento total de los cinco (5) años del Plan sin que se hagan reconocimientos retroactivos por causa de que el nuevo CAPj sea mayor que el aprobado inicialmente.
c) Se puede solicitar el ajuste de las metas intermedias sólo una vez durante el periodo de ejecución del Plan, siempre que se mantengan las condiciones vigentes aprobadas, valor final de pérdidas y periodo para alcanzarla. Las nuevas metas intermedias no deberán ser superiores o iguales al último índice de pérdidas calculado y deberán tener en cuenta la restricción definida en el numeral 1.1 del Anexo 1 de la presente resolución.
d) La modificación de las metas intermedias no conlleva a un ajuste del Costo anual del Plan aprobado.
e) En cualquier caso, para solicitar el ajuste en las metas, intermedias o finales, el OR debe haber cumplido con la meta correspondiente al periodo de evaluación inmediatamente anterior al de la solicitud.
f) El OR deberá sustentar en su solicitud los motivos de ajuste de las metas.
g) La CREG revisará la sustentación de ajuste de las metas presentada por el OR y realizará el procedimiento de evaluación y aprobación de las nuevas metas de acuerdo con lo establecido en el artículo 8o de esta resolución.
El Presidente,
TOMÁS GONZÁLEZ ESTRADA,
Viceministro de Minas y Energía Delegado del Ministro de Minas y Energía.
El Director Ejecutivo,
JAVIER AUGUSTO DÍAZ VELASCO.
MECANISMO DE VERIFICACIÓN DE LA INFORMACIÓN.
<Anexo sin efecto según lo dispuesto por el artículo 4 de la la Resolución 178 de 2013>
<El texto vigente antes de quedar sin efecto es el siguiente:>
Toda la información entregada por el Operador de Red, tanto en la solicitud como en la reportada periódicamente, podrá ser verificada por la CREG o la SSPD si así esta lo determina, de acuerdo con lo definido a continuación.
7.1 Verificación de información de vínculos de usuarios a la red
La verificación consiste en la comparación de la información de vinculación de usuarios atendidos desde un mismo transformador existente en el formato 1 de la Resolución SSPD 20102400008055 del SUI o aquella que la complemente, modifique o sustituya, respecto de la encontrada en la visita de campo. El tamaño de la muestra se determinará con base en los transformadores donde sean instalados equipos que sean objeto de remuneración a través del Plan.
Se considera incumplimiento cuando la información de más del 5% de los usuarios encontrados en la visita no corresponda con la existente en la base de datos del SUI.
Para la comparación se tendrá en cuenta la información del SUI consultada el día anterior al de la visita y la información proveniente de la visita de campo.
La información de la visita de campo se consignará en un acta firmada por el representante designado por el OR para tal efecto.
El resultado de la comparación será remitido al OR quien podrá enviar sus comentarios relacionados con la coincidencia de la información, durante los tres (3) días hábiles siguientes al del recibo de dicho informe.
En el caso de que persistan las inconsistencias encontradas, el OR quedará incurso en la causal de suspensión de que trata el literal b) del artículo 11 de la presente resolución.
Esa situación será informada al OR y al LAC y la suspensión de la remuneración se deberá cumplir de manera inmediata a la fecha de detección de incumplimiento del parámetro.
En este caso, el OR tendrá un plazo de seis (6) meses contados a partir de la fecha de detección del incumplimiento para actualizar su sistema y cumplir con el parámetro. Cuando haya transcurrido dicho período y el OR no haya corregido la situación, se considera un incumplimiento del Plan y se procederá a la devolución de los ingresos según lo establecido en el artículo 15 y el artículo 16 de la presente resolución según corresponda.
7.2 Verificación de información de costos y gastos
El OR debe crear en su contabilidad cuentas que permitan el registro independiente de todas las actividades relacionadas con los ingresos, las inversiones y los gastos del Plan y se deberá informar al SUI los códigos de cuentas bajo las cuales serán registrados los valores respectivos.
En el informe del auditor, sobre la información anual de AOM de que trata la Resolución CREG 051 de 2010, se deberán consignar los costos y gastos en que se incurrió en la ejecución del Plan asociándolos con las respectivas cuentas del Sistema de Costos y Gastos y del PUC de la SSPD donde se reportaron. El Auditor deberá certificar que los anteriores valores no están incluidos en el valor de gastos de AOM reportado por los OR en cumplimiento de la citada resolución.
7.3 Verificación de infraestructura
El OR deberá indicar anualmente la ubicación y georreferenciación de los transformadores con redes de baja tensión construidas en ejecución del Plan. Esta información será comparada con el inventario de transformadores que cuenten con redes de baja tensión aisladas, semiaisladas, trenzadas o tipo antifraude, existentes al momento de la presentación del Plan.
En caso de que el OR reporte, como parte de la ejecución del Plan, redes existentes a la fecha de solicitud del Plan, se considerará causal de cancelación de la remuneración del Plan.
El Presidente,
TOMÁS GONZÁLEZ ESTRADA,
Viceministro de Minas y Energía Delegado del Ministro de Minas y Energía.
El Director Ejecutivo,
JAVIER AUGUSTO DÍAZ VELASCO.
METODOLOGÍA PARA DEVOLUCIÓN DE INGRESOS.
<Anexo sin efecto según lo dispuesto por el artículo 4 de la la Resolución 178 de 2013>
<El texto vigente antes de quedar sin efecto es el siguiente:>
En caso de cancelación de la ejecución del Plan el LAC calculará los ingresos recibidos durante los períodos de incumplimiento previos a la suspensión de la remuneración del Plan, para que, junto con los ingresos recibidos en el encargo fiduciario durante la suspensión del Plan, sean tenidos en cuenta como un menor valor en el costo de prestación del servicio a los usuarios del mercado de comercialización respectivo.
En caso de finalización unilateral del Plan el LAC debe calcular los ingresos recibidos durante los periodos de incumplimiento previos a la solicitud de cancelación del Plan, para que sean tenidos en cuenta como un menor valor en el costo de prestación del servicio a los usuarios del mercado de comercialización respectivo.
8.1 Determinación del cargo mensual CPROGj,m con recursos recibidos por el OR cuando se cancela la ejecución del Plan
Al siguiente mes de la cancelación del Plan en un mercado de comercialización, la variable CPROGj,m tomará un valor negativo que será incluido en el costo de prestación del servicio a la totalidad de usuarios del mercado de comercialización.
Este valor será calculado y publicado por el LAC los primeros cinco (5) días de cada mes de la siguiente manera:
![]()
Donde:
| CPROGj,m: | Cargo en $/kWh por concepto del Plan, del mercado de comercialización j, en el mes m. |
| ITDj: | Ingreso total a devolver por el OR j, en pesos colombianos a la fecha de cálculo de acuerdo con lo establecido en el numeral 8.1.1. |
| VSTNj,m: | Ventas a usuarios conectados directamente al STN asociados al mercado de comercialización j en el mes m, en kWh. |
Corresponde a las lecturas tomadas directamente de los medidores de los usuarios conectados directamente al STN, sin referir al STN, tomadas de los registros del SIC. Cuando el medidor no se encuentre en el lado del STN, la medida se debe referir con los factores aprobados para el respectivo sistema.
Cuando para una frontera no se disponga de la información del mes respectivo se utilizará el promedio registrado para los últimos seis (6) meses de dicha frontera o la mejor información disponible en el LAC.
| VCPj: | Ventas en el mercado de comercialización servido por el OR j, durante doce (12) meses, en kWh, realizadas por los comercializadores diferentes al incumbente, calculado de la siguiente manera: |
![]()
| vcpm,n,i: | Energía registrada en el SIC para las fronteras comerciales de responsabilidad del comercializador i diferente al comercializador incumbente, durante el mes m, en el nivel de tensión n, en el mercado de comercialización atendido por el OR j, en kWh. |
| Cuando no se disponga de la información para un mes determinado, se utilizará el promedio de los valores registrados para los últimos seis (6) meses o la mejor información disponible. | |
| Ip: | Número total de Comercializadores distintos al incumbente en el mercado de comercialización del OR j. |
| VCIj: | Ventas en el mercado de comercialización servido por el OR j, durante doce (12) meses, en kWh, realizadas por el comercializador incumbente, calculado de la siguiente manera: |

| vciRm,n: | Ventas durante el mes m, en el nivel de tensión n, del comercializador incumbente, para usuarios regulados. |
| Corresponde al consumo de energía eléctrica en kWh que es facturado y reportado al SUI para el respectivo periodo. Cuando no se disponga de la información para un mes determinado, se utilizará el promedio registrado en el SUI para los últimos seis (6) meses o la mejor información disponible. | |
| vciNRm,n: | Ventas durante el mes m, en el nivel de tensión n, del comercializador incumbente, para usuarios no regulados. |
Corresponde a la energía registrada en el SIC para las fronteras comerciales de usuarios no Regulados responsabilidad del comercializador incumbente, durante el mes m, en el nivel de tensión n, en el mercado de comercialización atendido por el OR j, en kWh.
Cuando no se disponga de la información para un mes determinado, se utilizará el promedio de los valores registrados para los últimos seis (6) meses o la mejor información disponible.
8.1.1 Cálculo de los ingresos a devolver por parte del OR
Los ingresos a devolver se calcularán de la siguiente manera:

| ITDj: | Ingreso total a devolver por el OR j, en pesos colombianos a la fecha de cálculo. |
| t: | Total de meses de los períodos de incumplimiento del Plan previos al de la suspensión del mismo más el periodo en el que el OR recibió remuneración del Plan. |
| It: | Número total de Comercializadores en el mercado de comercialización del OR j durante los períodos de incumplimiento del Plan previos a la suspensión del mismo. |
| LCPROGi,j,m: | Liquidación por concepto de CPROGj,m, en el mercado de comercialización j, por las ventas en el mes m, que el OR j facturó al comercializador i, calculado según lo establecido en el numeral 3.2 del Anexo 3 de esta resolución. |
| r: | Corresponde a 1,5 veces el interés bancario corriente anual para la modalidad de crédito de consumo y ordinario, certificado por la Superintendencia Financiera, vigente en la fecha de cancelación del Plan. |
| n: | Exponente que se calcula de la siguiente manera: |
![]()
| Ps: | Número de meses entre la suspensión de la remuneración del Plan y la cancelación del Plan. Esta variable es igual a cero (0) cuando el OR cancele unilateralmente el Plan. |
| Pd: | Número de meses durante los cuales el OR debe devolver los recursos recibidos. Esta variable es igual a doce (12). |
8.2 Determinación del cargo mensual CPROGj,m con los recursos depositados en el encargo fiduciario cuando se cancela la ejecución del Plan
Al siguiente mes de terminación de la devolución de ingresos recibidos por el OR, según lo establecido en el numeral 8.1 de este anexo, se iniciará la devolución a los usuarios de los recursos depositados en el encargo fiduciario.
Para esto la variable CPROGj,m tomará un valor negativo que será incluido en el costo de prestación del servicio a la totalidad de usuarios del mercado de comercialización durante un periodo de seis (6) meses.
Este valor será calculado y publicado por el LAC los primeros cinco (5) días de cada mes de la siguiente manera:
![]()
Donde:
| CPROGj,m: | Cargo en $/kWh por concepto del Plan, del mercado de comercialización j, en el mes m. |
| ITFj: | Recursos disponibles en el encargo fiduciario a la fecha de cancelación del Plan, en pesos colombianos a la fecha de cálculo. |
| VSTNj,m: | Ventas a usuarios conectados directamente al STN asociados al mercado de comercialización j en el mes m, en kWh. |
| Corresponde a las lecturas tomadas directamente de los medidores de los usuarios conectados directamente al STN, sin referir al STN, tomadas de los registros del LAC. Cuando el medidor no se encuentre en el lado del STN, la medida se debe referir con los factores aprobados para el respectivo sistema. | |
| Cuando para una frontera no se disponga de la información del mes respectivo se utilizará el promedio registrado para los últimos seis (6) meses de dicha frontera o la mejor información disponible en el LAC. | |
| VCPj: | Ventas en el mercado de comercialización servido por el OR j, durante doce (12) meses, en kWh, realizadas por los comercializadores diferentes al incumbente, calculado de la siguiente manera: |

| vcpm,n,i | Energía registrada en el SIC para las fronteras comerciales de responsabilidad del comercializador i diferente al comercializador incumbente, durante el mes m, en el nivel de tensión n, en el mercado de comercialización atendido por el OR j, en kWh. |
| Cuando no se disponga de la información para un mes determinado, se utilizará el promedio de los valores registrados para los últimos seis (6) meses o la mejor información disponible. | |
| Ip: | Número total de Comercializadores distintos al incumbente en el mercado de comercialización del OR j. |
| VCIj: | Ventas en el mercado de comercialización servido por el OR j, durante doce (12) meses, en kWh, realizadas por el comercializador incumbente, calculado de la siguiente manera: |

| vciRm,n: | Ventas durante el mes m, en el nivel de tensión n, del comercializador incumbente, para usuarios regulados. |
| Corresponde al consumo de energía eléctrica en kWh que es facturado y reportado al SUI para el respectivo periodo. Cuando no se disponga de la información para un mes determinado, se utilizará el promedio registrado en el SUI para los últimos seis (6) meses o la mejor información disponible. | |
| vciNRm,n: | Ventas durante el mes m, en el nivel de tensión n, del comercializador incumbente, para usuarios no regulados. |
Corresponde a la energía registrada en el SIC para las fronteras comerciales de usuarios no Regulados responsabilidad del comercializador incumbente, durante el mes m, en el nivel de tensión n, en el mercado de comercialización atendido por el OR j, en kWh.
Cuando no se disponga de la información para un mes determinado, se utilizará el promedio de los valores registrados para los últimos seis (6) meses o la mejor información disponible.
Una vez finalizada la devolución de ingresos mediante la aplicación del CPROG negativo, el OR podrá liquidar el encargo fiduciario y disponer de estos recursos.
8.3 Liquidación y recaudo
En caso de devolución de ingresos a los usuarios finales durante las etapas descritas en los numerales 8.1 y 8.2 de la presente resolución, los valores CPROG negativos serán directamente descontados de la facturación de cargos por uso.
Mensualmente el LAC determinará el valor que cada Comercializador debe descontar al OR del pago de los cargos de distribución que le corresponda, de acuerdo con la siguiente expresión:
![]()
Donde:
| LCPROGi,j,m: | Liquidación por concepto de CPROG, en el mercado de comercialización j, por las ventas en el mes m, que facturará el OR j al comercializador i. |
| CPROGj,m: | Cargo en $/kWh por concepto del Plan, del mercado de comercialización j, en el mes m. |
| VCi,j,m: | Ventas de energía del Comercializador i, en el mercado de comercialización j, durante el mes m, considerando las ventas a usuarios conectados directamente al STN que hacen parte del mercado de comercialización j. |
La determinación de las ventas a usuarios No Regulados y para el caso en que un comercializador i diferente al integrado al OR haya registrado una frontera comercial para la atención de un solo usuario regulado, se hará a través del consumo registrado en el SIC para la frontera específica.
La determinación de las ventas a usuarios Regulados atendidos por el comercializador incumbente se hará a través del consumo de energía eléctrica en kWh que es facturado y reportado para el respectivo periodo al SUI.
En las fronteras comerciales que agrupen usuarios regulados atendidos por un comercializador i diferente al incumbente, este valor corresponde a la medida registrada en la frontera comercial f de dicho comercializador multiplicada por el factor (1- Psf). La variable Psf es igual a 0,019. En caso que el Comercializador y el OR acuerden otro valor de Psf, deberá ser informado al LAC para que sea utilizado en la liquidación.
La facturación y recaudo a los agentes comercializadores les corresponderá a los OR, utilizando la liquidación elaborada por el LAC.
El Presidente,
TOMÁS GONZÁLEZ ESTRADA,
Viceministro de Minas y Energía Delegado del Ministro de Minas y Energía.
El Director Ejecutivo,
JAVIER AUGUSTO DÍAZ VELASCO.