RESOLUCIÓN CRA 825 DE 2017
(diciembre 28)
Diario Oficial No. 50.460 de 28 de diciembre de 2017
COMISIÓN DE REGULACIÓN DE AGUA POTABLE Y SANEAMIENTO BÁSICO
Por la cual se establece la metodología tarifaria para las personas prestadoras de los servicios públicos domiciliarios de acueducto y alcantarillado que atiendan hasta 5.000 suscriptores en el área urbana y aquellas que presten el servicio en el área rural independientemente del número de suscriptores que atiendan.
LA COMISIÓN DE REGULACIÓN DE AGUA POTABLE Y SANEAMIENTO BÁSICO (CRA),
en ejercicio de sus facultades legales, en especial de las conferidas por las Leyes 142 de 1994, 1450 de 2011, 1753 de 2015, los Decretos 1524 de 1994, 2882 y 2883 de 2007, 1077 de 2015, 2412 de 2015, y
CONSIDERANDO:
Que el artículo 365 de la Constitución Política de Colombia dispone que los servicios públicos son inherentes a la finalidad social del Estado y que es deber del Estado asegurar su prestación eficiente a todos los habitantes del territorio nacional;
Que el artículo 367 ibídem determina que la ley fijará las competencias relativas a la prestación de los servicios públicos domiciliarios, su cobertura, calidad y financiación, el régimen tarifario y las entidades competentes para fijar las tarifas;
Que el artículo 370 ibídem, prevé que corresponde al Presidente de la República señalar, con sujeción a la ley, las políticas generales de administración y control de eficiencia de los servicios públicos domiciliarios y ejercer por medio de la Superintendencia de Servicios Públicos Domiciliarios (SSPD), el control, la inspección y vigilancia de las entidades que los presten;
Que el artículo 2o de la Ley 142 de 1994 dispone que el Estado intervendrá en los servicios públicos en el marco de lo dispuesto en los artículos 334, 336, y 365 a 370 de la Constitución Política, entre otros objetivos, para asegurar su prestación eficiente;
Que el artículo 68 ibídem, establece que el señalamiento de las políticas a que hace referencia el artículo 370 de la Constitución Política de Colombia, se podrá delegar en las Comisiones de Regulación;
Que en virtud de lo anterior, el Presidente de la República mediante Decreto 1524 de 1994, delegó las funciones Presidenciales de señalar políticas generales de administración y control de eficiencia en los servicios públicos domiciliarios, en las Comisiones de Regulación;
Que el artículo 3o de la Ley 142 de 1994 señala que constituyen instrumentos para la intervención estatal en los servicios públicos, todas las atribuciones y funciones asignadas a las entidades, autoridades y organismos de que trata dicha ley, especialmente las relativas, entre otras, a la regulación de la prestación de los servicios públicos, teniendo en cuenta las características de cada región; la fijación de metas de eficiencia, cobertura y calidad, evaluación de las mismas, y la definición del régimen tarifario;
Que de conformidad con el numeral 14.10 del artículo 14 de la Ley 142 de 1994, la libertad regulada, es el régimen de tarifas mediante el cual la Comisión de Regulación respectiva fija los criterios y la metodología con arreglo a los cuales las personas prestadoras de servicios públicos domiciliarios pueden determinar o modificar los precios máximos para los servicios ofrecidos al usuario o consumidor;
Que en el numeral 14.18 del artículo 14 de la Ley 142 de 1994, se establece que la regulación de los servicios públicos domiciliarios es la facultad de dictar normas de carácter general o particular en los términos de la Constitución y de la mencionada ley, para someter la conducta de las personas que prestan los servicios públicos domiciliarios a las reglas, normas, principios y deberes establecidos por la ley y los reglamentos;
Que el artículo 73 de la Ley 142 de 1994 establece las funciones y facultades generales de las Comisiones de Regulación, señalando que estas tienen la función de regular los monopolios en la prestación de los servicios públicos, cuando la competencia no sea, de hecho, posible; y, en los demás casos, la de promover la competencia entre quienes presten servicios públicos, para que las operaciones de los monopolistas o de los competidores sean económicamente eficientes, no impliquen abuso de la posición dominante, y produzcan servicios de calidad;
Que el numeral 73.11 del artículo 73 de la Ley 142 de 1994 señala que la Comisión de Regulación de Agua Potable y Saneamiento Básico (CRA) está facultada para establecer fórmulas para la fijación de las tarifas de los servicios públicos, cuando ello corresponda según lo previsto en el artículo 88; y señalar cuándo hay suficiente competencia como para que la fijación de las tarifas sea libre;
Que el inciso final del artículo 73 ibídem dispone que las Comisiones de Regulación tendrán facultad selectiva de pedir información, amplia, exacta, veraz y oportuna a quienes prestan los servicios públicos a los que esta ley se refiere inclusive si sus tarifas no están sometidas a regulación;
Que el artículo 14 de la Ley 689 de 2001 adiciona un artículo nuevo a la Ley 142 de 1994, en el cual se señala que el sistema de información que desarrolle la Superintendencia de Servicios Públicos Domiciliarios (SSPD) será único para cada uno de los servicios públicos, actividades inherentes y actividades complementarias de que tratan las Leyes 142 y 143 de 1994, y tendrá como propósitos, entre otros: servir de base a la Superintendencia de Servicios Públicos Domiciliarios en el cumplimiento de sus funciones de control, inspección y vigilancia; apoyar las funciones asignadas a las Comisiones de Regulación; facilitar el ejercicio del derecho de los usuarios de obtener información completa, precisa y oportuna sobre todas las actividades y operaciones directas o indirectas que se realicen para la prestación de los servicios públicos, conforme a lo establecido en el numeral 9.4 del artículo 9o de la Ley 142 de 1994;
Que el literal a) del numeral 74.2 del artículo 74 de la Ley 142 de 1994, dispone que es función especial de la Comisión de Regulación de Agua Potable y Saneamiento Básico (CRA), promover la competencia entre quienes presten servicios públicos o regular los monopolios en su prestación, cuando la competencia no sea posible y, para el efecto puede adoptar reglas de comportamiento diferencial, según sea la posición de las empresas en el mercado;
Que de conformidad con lo establecido en el numeral 79.1 del artículo 79 ibídem, es competencia de la Superintendencia de Servicios Públicos Domiciliarios "Vigilar y controlar el cumplimiento de las leyes y actos administrativos a los que estén sujetos quienes presten servicios públicos, en cuanto el cumplimiento afecte en forma directa e inmediata a usuarios determinados; y sancionar sus violaciones, siempre y cuando esta función no sea competencia de otra autoridad";
Que el régimen tarifario aplicable a los servicios públicos, de conformidad con el numeral 86.4 del artículo 86 ibídem, está compuesto por, entre otras, las reglas relativas a procedimientos, metodologías, fórmulas, estructuras, estratos, facturación, opciones, valores y, en general, todos los aspectos que determinan el cobro de las tarifas;
Que el artículo 87 ibídem preceptúa que el régimen tarifario estará orientado por los criterios de eficiencia económica, neutralidad, solidaridad, redistribución, suficiencia financiera, simplicidad y transparencia;
Que en virtud del principio de eficiencia económica establecido en el numeral 87.1 del artículo 87 de la Ley 142 de 1994, el régimen de tarifas procurará que estas se aproximen a lo que serían los precios de un mercado competitivo y las fórmulas tarifarias no pueden trasladar a los usuarios los costos de una gestión ineficiente, ni permitir que las empresas se apropien de las utilidades provenientes de prácticas restrictivas de la competencia;
Que de acuerdo con el principio de suficiencia financiera definido en el numeral 87.4 del artículo 87 ibídem, se debe garantizar a las empresas eficientes la recuperación de sus costos de inversión y sus gastos de administración, operación y mantenimiento, y permitir la remuneración del patrimonio de los accionistas en la misma forma en la que lo habría remunerado una empresa eficiente en un sector de riesgo comparable;
Que el numeral 87.7 del artículo 87 ibídem dispone que, si llegare a existir contradicción entre el criterio de eficiencia y el de suficiencia financiera, deberá tomarse en cuenta que, para una empresa eficiente, las tarifas económicamente eficientes se definirán tomando en cuenta la suficiencia financiera;
Que de conformidad con el numeral 87.8 del artículo 87 ibídem, toda tarifa tendrá un carácter integral en el sentido que supondrá una calidad y grado de cobertura del servicio, cuyas características definirán las comisiones reguladoras;
Que de conformidad con lo establecido en el artículo 88 de la Ley 142 de 1994, al fijar sus tarifas, las empresas de servicios públicos se someterán al régimen de regulación definido por la respectiva Comisión de Regulación;
Que según lo dispuesto por el numeral 88.1 del artículo 88 ibídem, las personas prestadoras deberán ceñirse a las fórmulas que defina periódicamente la respectiva Comisión para fijar sus tarifas de acuerdo con los estudios de costos. La Comisión Reguladora podrá establecer topes máximos y mínimos tarifarios, de obligatorio cumplimiento por parte de las empresas y podrá definir las metodologías para la fijación de tarifas, si conviene aplicar el régimen de libertad regulada o vigilada;
Que de conformidad con lo previsto en el artículo 90 ibídem, los elementos de las fórmulas tarifarias, sin perjuicio de otras alternativas que puedan definir las Comisiones de Regulación, podrán incluir un cargo por unidad de consumo, un cargo fijo y un cargo por aportes de conexión, cuyo cobro en ningún caso podrá contradecir el principio de eficiencia, ni trasladar al usuario los costos de una gestión ineficiente o extraer beneficios de posiciones dominantes o de monopolio;
Que el artículo 125 de la Ley 142 de 1994 establece los criterios para la actualización de las tarifas;
Que de conformidad con lo establecido en el artículo 126 ibídem, vencido el período de vigencia de las fórmulas tarifarias, estas continuarán rigiendo mientras la Comisión de Regulación no fije las nuevas;
Que el artículo 146 de la Ley 142 de 1994 dispone, en cuanto a la medición del consumo y del precio en el contrato, que la empresa y el suscriptor o usuario tienen derecho a que los consumos se midan, a que se empleen para ello los instrumentos de medida que la técnica haya hecho disponibles, y a que el consumo sea el elemento principal del precio que se cobre al suscriptor o usuario;
Que el artículo 163 de la Ley 142 de 1994 establece que las fórmulas tarifarias para personas prestadoras de acueducto y saneamiento básico, "(.) además de tomar en cuenta los costos de expansión y reposición de los sistemas de agua potable y saneamiento básico, incluirán los costos de administración, operación y mantenimiento asociados con el servicio. (.) Incluirán también un nivel de pérdidas aceptable según la experiencia de otras empresas eficientes.";
Que por su parte, el artículo 164 de la misma norma estipula que: "Con el fin de garantizar el adecuado ordenamiento y protección de las cuencas y fuentes de agua, las fórmulas tarifarias de los servicios de acueducto y alcantarillado incorporarán elementos que garanticen el cubrimiento de los costos de protección de las fuentes de agua y la recolección, transporte y tratamiento de los residuos líquidos". También dispone este artículo que: "Las empresas de servicios del sector de agua potable y saneamiento básico pagarán las tasas a que haya lugar por el uso de agua y por el vertimiento de efluentes líquidos, que fije la autoridad competente de acuerdo con la ley";
Que la Ley 1314 de 2009 reguló los principios y normas de contabilidad e información financiera y de aseguramiento de información aceptados en Colombia y previó que, en atención al volumen de sus activos, de sus ingresos, al número de sus empleados, a su forma de organización jurídica o de sus circunstancias socioeconómicas, algunos de los sujetos obligados por dicha normativa, pueden llevar contabilidad simplificada, emitir estados financieros y revelaciones abreviados;
Que el Gobierno nacional expidió el Decreto 2420 de 2015, modificado por el Decreto 2496 de 2015, el cual contiene el Decreto Único Reglamentario de las Normas de Contabilidad, de Información Financiera y de Aseguramiento de la Información contable;
Que de conformidad con lo dispuesto en el artículo 79 de la Ley 142 de 1994, modificado por el artículo 13 de la Ley 689 de 2001, numeral 4, es función de la Superintendencia de Servicios Públicos Domiciliarios establecer los sistemas uniformes de información y contabilidad que deberá aplicar quienes presten servicios públicos, según la naturaleza del servicio y el monto de sus activos, y con sujeción siempre a los principios de contabilidad generalmente aceptados;
Que, en atención a lo anterior, así como a los requerimientos establecidos por el legislador en la Ley 1314 de 2009, y en sus reglamentaciones posteriores, la Superintendencia de Servicios Públicos Domiciliarios decidió sustituir el reporte de información financiera bajo el Plan Único de Contabilidad (PUC), para lo cual ha expedido varios actos administrativos, entre los cuales se encuentran las Resoluciones: 2013130002405 del 20 de febrero de 2013, 20141300004095 de 21 de febrero de 2014, 20141300033795 de 30 de julio de 2014, 20141300055955 de 5 de diciembre de 2014, 20141300016085 de 18 de junio 2015, 20151300020385 de 29 de julio de 2015, 20141300016085 de 20 de agosto de 2015, 20151300028355 de 19 de agosto de 2015, 20161300013475 de 19 de mayo de 2015, 20161300016975 de 17 de junio de 2016, 20171300042935 de 30 de marzo de 2017, y 20171300082805 de 24 de mayo de 2017; señalando de esta forma los nuevos requerimientos de información financiera que deben reportar los prestadores de servicios públicos domiciliarios;
Que el Gobierno nacional expidió el Decreto 1077 de 2015 "por medio del cual se expide el Decreto Único Reglamentario del sector Vivienda, Ciudad y Territorio.", el cual compila el Decreto 2696 de 2004 que definió las reglas mínimas para garantizar la divulgación y participación en las actuaciones de las Comisiones de Regulación;
Que, respecto de los proyectos regulatorios de carácter tarifario el numeral 11.1 del artículo 2.3.6.3.3.11 del Decreto 1077 de 2015, estableció que antes de 12 meses de la fecha prevista para que termine la vigencia de las fórmulas tarifarias, se deberá poner en conocimiento de los prestadores y de los usuarios, las bases sobre las cuales se efectuará el estudio para determinar las fórmulas del período siguiente;
Que la Comisión de Regulación de Agua Potable y Saneamiento Básico (CRA), en cumplimiento a lo establecido en el numeral 11.1 del artículo 2.3.6.3.3.11 del Decreto 1077 de 2015, divulgó y puso en conocimiento de los prestadores y de los usuarios, el documento: "Bases para la revisión quinquenal de la fórmula tarifaria para los servicios de acueducto y alcantarillado", aprobado en Sesión de Comisión, el 12 de junio de 2008 y desarrolló actividades complementarias para garantizar la participación ciudadana, dentro de las cuales se encuentran 16 eventos de socialización además de presentaciones en eventos relevantes del sector;
Que de conformidad con lo estipulado en el numeral 11.3 del artículo 2.3.6.3.3.11 del Decreto 1077 de 2015, dichos estudios constituyen elementos de juicio para la Comisión de Regulación que no la comprometen;
Que en virtud de lo dispuesto en el numeral 11.4 del artículo 2.3.6.3.3.11 del Decreto 1077 de 2015, tres (3) meses antes de la fecha prevista para que inicie el período de vigencia de las fórmulas tarifarias, se deberá hacer público en la página web de la Comisión de Regulación, los proyectos de metodologías y de fórmulas, los estudios respectivos y el texto del proyecto de resolución;
Que en el Diario Oficial número 47.604 de 26 de enero de 2010, se publicó la Resolución CRA 486 de 2009, "por la cual se presenta el proyecto de resolución: 'por la cual se establece la metodología tarifaria de los servicios públicos domiciliarios de acueducto y alcantarillado para prestadores que atiendan menos de 2.500 suscriptores' y se da cumplimiento a lo previsto por el numeral 11.4 de artículo 11 del Decreto 2696 de 2004";
Que con ocasión de la publicación de la Resolución CRA 486 de 2009 para participación ciudadana, se recibieron observaciones, reparos y sugerencias, 53 fueron presenciales y 42 escritas, las cuales posteriormente fueron analizadas por la Comisión de Regulación de Agua Potable y Saneamiento Básico (CRA);
Que con base en el análisis de las referidas observaciones, la expedición del nuevo marco tarifario para grandes prestadores previsto en la Resolución CRA 688 de 2014 y el diagnóstico donde se identificaron aspectos, tales como, la alta dispersión en el grupo de pequeños prestadores, la baja capacidad de pago de las comunidades en estos mercados, el reporte de información deficiente e insuficiente, el cobro de tarifas diferentes a las que resultarían de la aplicación del marco tarifario, las deseconomías de escala y la baja capacidad técnica, se formuló la propuesta regulatoria plasmada en la Resolución CRA 717 de 22 de junio de 2015 "por la cual se presenta el proyecto de resolución 'por la cual se establece la metodología tarifaria para las personas prestadoras de los servicios públicos domiciliarios de acueducto y alcantarillado que atiendan hasta 5.000 suscriptores en el área urbana y aquellas que presten el servicio exclusivamente en el área rural', se da cumplimiento a lo previsto por el numeral 11.4 del artículo 2.3.6.3.3.11 del Decreto 1077 de 2015, y se continúa el proceso de discusión directa con los usuarios y agentes del sector";
Que la Resolución CRA 717 de 2015, fue publicada en el Diario Oficial 49.573 del 14 de julio del mismo año con el fin de iniciar el proceso de participación ciudadana por un período de 90 días que finalizó el 14 de octubre del año 2015;
Que durante el referido proceso de participación, se recibieron 281 observaciones así: 142 en 20 comunicaciones enviadas por 18 participantes y 139 presenciales de 109 participantes. Del total de las observaciones recibidas, se establecieron tres ejes temáticos; el primero relacionado con aspectos generales de la resolución con un 51%, seguido por el eje temático; otros con el 24%; y en tercer lugar el componente del CMA - CMO con un 16%, de las observaciones;
Que la Comisión de Regulación de Agua Potable y Saneamiento Básico expidió la Resolución CRA 759 de 2016, por la cual estableció los requisitos generales aplicables a los contratos que suscriban los prestadores de servicios públicos domiciliarios de acueducto y/o alcantarillado para el uso e interconexión de redes y para los contratos de suministro de agua potable e interconexión; señaló la metodología para determinar la remuneración y/o peaje correspondiente y estableció las reglas para la imposición de servidumbres de interconexión;
Que el Ministerio de Vivienda, Ciudad y Territorio expidió la Resolución 330 de 8 de junio de 2017 “Por la cual se adopta el Reglamento Técnico para el Sector de Agua Potable y Saneamiento Básico (RAS) y se derogan las Resoluciones números 1096 de 2000, 0424 de 2001, 0668 de 2003, 1459 de 2005, 1447 de 2005 y 2320 de 2009.”.
Que el artículo 238 de la Resolución 0330 de 8 de junio de 2017, hizo referencia a la eficiencia operacional y energética durante la etapa de concepción y aprobación de un proyecto nuevo, o un proyecto de ampliación, modernización u optimización de un sistema existente de agua potable y/o saneamiento básico;
Que la Comisión de Regulación de Agua Potable y Saneamiento Básico (CRA) remitió a la Superintendencia de Industria y Comercio (SIC) la propuesta de metodología tarifaria para las personas prestadoras de los servicios públicos domiciliarios de acueducto y alcantarillado que atiendan hasta 5.000 suscriptores en el área urbana y aquellas que presten el servicio exclusivamente en el área rural, mediante Radicado CRA 2015-211-003134-1 del 15 de julio de 2015, informando a dicha entidad que una vez diligenciado el cuestionario al que hace referencia la Resolución 44649 de 2010 de la SIC, se encontró que el proyecto no tiene incidencia sobre la libre competencia, por lo que se remitía a título informativo;
Que mediante Radicado CRA 2017-321-000699-2 de 24 de enero de 2017 la Superintendencia de Industria y Comercio acusó recibo del proyecto y solicitó a la Comisión de Regulación de Agua Potable y Saneamiento Básico (CRA) los comentarios de terceros para poder darle inicio al trámite de abogacía de l a competencia;
Que la Comisión de Regulación de Agua Potable y Saneamiento Básico (CRA), mediante Radicado CRA 2017-211-000524-1 de 14 de febrero de 2017, informó a la Superintendencia de Industria y Comercio que el proyecto fue incluido en la Agenda Regulatoria Indicativa del año 2017, para ser expedido en dicha vigencia y, en consecuencia, nuevamente sería diligenciado el cuestionario establecido en la Resolución número 44649 del 25 de agosto de 2010, para determinar su incidencia sobre la libre competencia;
Que teniendo en cuenta que el artículo 2.2.2.30.5 del Decreto 1074 de 2015, y habiendo diligenciado nuevamente el cuestionario al que hace referencia dicha disposición, que para el efecto adoptó la Superintendencia de Industria y Comercio, mediante Resolución número 44649 del 25 de agosto de 2010, se determinó que el presente proyecto de resolución no tiene incidencia sobre la libre competencia en los mercados, razón por la cual no fue enviado a dicha entidad para efectos de que emita el concepto de abogacía de la competencia;
Que, en mérito de lo expuesto, la Comisión de Regulación de Agua Potable y Saneamiento Básico,
RESUELVE:
ASPECTOS GENERALES.
ARTÍCULO 1o. ÁMBITO DE APLICACIÓN. <Artículo integrado y unificado en el artículo 2.1.1.1.1.1 de la Resolución CRA 943 de 2021. Debe tenerse en cuenta lo dispuesto por el artículo 2.3.6.3.3.12 del Decreto 1077 de 2015> La presente resolución aplica a todas las personas prestadoras de los servicios públicos domiciliarios de acueducto y/o alcantarillado que a 31 de diciembre de 2013 cumplan con alguna de las siguientes condiciones:
(i) Atiendan en sus APS hasta 5.000 suscriptores en el área urbana, independientemente de los suscriptores que atiendan en el área rural;
(ii) Atiendan en más de un municipio y/o distrito mediante un mismo sistema interconectado, hasta 5.000 suscriptores en el área urbana, independientemente de los suscriptores que atiendan en el área rural;
(iii) Atiendan en APS exclusivamente en el área rural, independientemente del número de suscriptores.
Lo anterior, salvo las excepciones contenidas en la ley, especialmente las señaladas en el parágrafo 1 del artículo 87 de la Ley 142 de 1994. En todo caso, cuando en los contratos suscritos por las personas prestadoras de los servicios públicos domiciliarios de acueducto y alcantarillado para la prestación de estos servicios, se pacte la sujeción del mismo a la metodología tarifaria que expida la Comisión de Regulación de Agua Potable y Saneamiento Básico - CRA, se aplicará la presente resolución.
PARÁGRAFO 1. Las personas prestadoras que provean de manera conjunta los servicios públicos domiciliarios de acueducto y alcantarillado, y cuenten con un número diferente de suscriptores para cada uno de ellos, deberán tener en cuenta aquel servicio en el que tenga un mayor número de suscriptores para determinar si se encuentra en el ámbito de aplicación de la presente resolución.
PARÁGRAFO 2. La presente resolución será aplicable igualmente a las personas prestadoras que se constituyan con posterioridad a 31 de diciembre de 2013, siempre y cuando cumpla con alguna de las condiciones establecidas en este artículo y no se encuentren inmersas en el ámbito de aplicación de la Resolución CRA 688 de 2014.
ARTÍCULO 2o. OBJETO. <Artículo integrado y unificado en el artículo 2.1.1.1.1.2 de la Resolución CRA 943 de 2021. Debe tenerse en cuenta lo dispuesto por el artículo 2.3.6.3.3.12 del Decreto 1077 de 2015> La presente resolución tiene por objeto establecer la metodología tarifaria aplicable a las personas prestadoras de los servicios públicos domiciliarios de acueducto y alcantarillado incluidas en el ámbito de aplicación establecido en el artículo 1 de la presente resolución.
ARTÍCULO 3o. DEFINICIONES. <Artículo integrado y unificado en el artículo 2.1.1.1.1.3 de la Resolución CRA 943 de 2021. Debe tenerse en cuenta lo dispuesto por el artículo 2.3.6.3.3.12 del Decreto 1077 de 2015> Para efectos de la aplicación de la presente resolución se tendrán en cuenta las siguientes definiciones, además de las consignadas en la normativa vigente:
ac,al: Expresión para determinar que la misma fórmula debe ser utilizada tanto para el servicio público domiciliario de acueducto (ac), como para el servicio público domiciliario de alcantarillado (al).
Año base: Período de doce (12) meses comprendido entre el primero (1) de enero y el 31 de diciembre del año 2016, utilizado por las personas prestadoras con el fin de realizar las comparaciones y verificaciones que correspondan para calcular los costos de prestación del servicio.
Área de prestación del servicio - APS: Corresponde a las áreas geográficas del municipio y/o distrito en las cuales las personas prestadoras proveen los servicios públicos domiciliarios de acueducto y alcantarillado.
Costos económicos de referencia unificados: Corresponden a los costos de referencia de dos (2) o más APS atendidas por un mismo prestador mediante un sistema interconectado.
Costos económicos de referencia: De conformidad con el artículo 2.3.4.1.1.1 del Decreto 1077 de 2015, es el resultante de aplicar los criterios y las metodologías que defina la Comisión de Regulación de Agua Potable y Saneamiento Básico de acuerdo con las disposiciones de la Ley 142 de 1994.
Estándar: Nivel mínimo y/o máximo de calidad de prestación del servicio que debe tener como resultado un indicador de prestación de los servicios públicos domiciliarios de acueducto o alcantarillado, según lo establecido en la presente resolución.
Fórmula tarifaria general: Expresión que permite calcular los costos económicos de referencia de los servicios públicos domiciliarios de acueducto y alcantarillado a las personas prestadoras de estos servicios.
Índice de Pérdidas por Suscriptor Facturado estándar - IPUF*: Representa el volumen de pérdidas de agua por suscriptor estándar equivalente a seis (6) metros cúbicos por suscriptor al mes (m3/suscriptor/mes).
Índice de Riesgo de la Calidad del Agua para Consumo Humano - IRCA: De conformidad con el artículo 12 del Decreto 1575 de 2007, el Índice de Riesgo de la Calidad del Agua para Consumo Humano IRCA es el grado de riesgo de ocurrencia de enfermedades relacionadas con el no cumplimiento de las características físicas, químicas y microbiológicas del agua para consumo humano.
Plan de Saneamiento y Manejo de Vertimientos - PSMV: De conformidad con el artículo 1o de la Resolución 1433 de 2004 del Ministerio de Ambiente, Vivienda y Desarrollo Territorial, el Plan de Saneamiento y Manejo de Vertimientos - PSMV es el conjunto de programas, proyectos y actividades, con sus respectivos cronogramas e inversiones necesarias para avanzar en el saneamiento y tratamiento de los vertimientos, incluyendo la recolección, transporte, tratamiento y disposición final de las aguas residuales descargadas al sistema público de alcantarillado, tanto sanitario como pluvial, los cuales deberán estar articulados con los objetivos y las metas de calidad y uso que defina la autoridad ambiental competente para la corriente, tramo o cuerpo de agua.
Sistema interconectado: Corresponde a la infraestructura de acueducto y/o alcantarillado, de un mismo prestador, que se encuentra físicamente conectada entre sí para la prestación de estos servicios en un conjunto de dos (2) o más municipios y/o distritos.
ARTÍCULO 4o. RÉGIMEN DE REGULACIÓN TARIFARIA. <Artículo integrado y unificado en el artículo 2.1.1.1.1.4 de la Resolución CRA 943 de 2021. Debe tenerse en cuenta lo dispuesto por el artículo 2.3.6.3.3.12 del Decreto 1077 de 2015> El régimen de regulación tarifaria para la prestación de los servicios públicos domiciliarios de acueducto y alcantarillado, en las APS incluidas en el ámbito de aplicación establecido en el ARTÍCULO 1o de la presente resolución, será el de libertad regulada.
ARTÍCULO 5o. DEFINICIÓN DEL ÁREA DE PRESTACIÓN DEL SERVICIO - APS. <Artículo integrado y unificado en el artículo 2.1.1.1.1.5 de la Resolución CRA 943 de 2021. Debe tenerse en cuenta lo dispuesto por el artículo 2.3.6.3.3.12 del Decreto 1077 de 2015> Las personas prestadoras deberán definir un Área de Prestación del Servicio - APS en cada uno de los municipios y/o distritos que atiendan y reportarla al municipio y/o distrito respectivo. En los casos en que las personas prestadoras atiendan más de un municipio y/o distrito, independiente de si lo hace mediante un sistema interconectado o no, definirá un APS por cada uno.
PARÁGRAFO 1. Las personas prestadoras podrán definir APS diferentes para cada servicio únicamente en los siguientes casos:
(i) Cuando sólo presten uno de los dos servicios públicos domiciliarios.
(ii) Cuando atiendan suscriptores del servicio público domiciliario de alcantarillado que no sean suscriptores del servicio de acueducto porque disponen de fuentes alternas de abastecimiento, o
(iii) Cuando atiendan suscriptores del servicio público domiciliario de acueducto, pero estos dispongan de soluciones particulares de vertimientos que cumplan con los criterios ambientales establecidos por las autoridades competentes.
PARÁGRAFO 2. Las personas prestadoras deberán calcular los costos económicos de referencia de que trata la presente resolución, por cada servicio público y para cada APS que atiendan. En aquellos eventos en que con un mismo sistema interconectado se atiendan varias APS se podrán calcular costos económicos de referencia unificados. Se deberá tener en cuenta que el número de suscriptores, el ICTA definido en el ARTÍCULO 14, el ITO definido en el ARTÍCULO 17 y las inversiones deberán establecerse por APS para luego ser unificados. Dichos costos deberán calcularse para ambos servicios, independiente de si la interconexión se da en solo uno de los servicios públicos.
PARÁGRAFO 3. De conformidad con el artículo 5o de la Ley 142 de 1994, es competencia del municipio asegurar que se presten los servicios públicos domiciliarios de acueducto y alcantarillado en el municipio, particularmente en aquellas áreas que no sean reportadas como APS por ningún prestador.
PARÁGRAFO 4. Las personas prestadoras podrán agregar la información de la totalidad de las APS que pertenezcan al mismo segmento, correspondan o no a sistemas interconectados, para que el cálculo del Costo Medio de Administración (CMA) sea realizado de forma unificada por segmento. Para ello, se deberá tener en cuenta que el número de suscriptores, así como el ICTA, deberán establecerse por APS para luego ser unificados.
ARTÍCULO 6o. APLICACIÓN DE LA METODOLOGÍA POR SEGMENTO. <Artículo integrado y unificado en el artículo 2.1.1.1.1.6 de la Resolución CRA 943 de 2021. Debe tenerse en cuenta lo dispuesto por el artículo 2.3.6.3.3.12 del Decreto 1077 de 2015> Para efectos de la aplicación de lo establecido en la presente resolución, se tendrán en cuenta los siguientes segmentos:
Primer Segmento: Las personas prestadoras deberán aplicar la metodología establecida en el presente acto administrativo para el primer segmento, cuando atiendan:
(i) Un APS con suscriptores entre 2.501 y 5.000 en el área urbana, y en el caso que tenga suscriptores rurales que estos sean menos del 50% de sus suscriptores totales.
(ii) Más de un APS de dos (2) o más municipios y/o distritos, mediante un mismo sistema interconectado y que en conjunto sumen suscriptores entre 2.501 y 5.000 en el área urbana, y en el caso que tenga suscriptores rurales que estos sean menos del 50% de sus suscriptores totales.
Segundo segmento: Las personas prestadoras deberán aplicar la metodología establecida en el presente acto administrativo para el segundo segmento, en aquellas APS que no estén incluidas en el primer segmento.
PARÁGRAFO. Las personas prestadoras del segundo segmento podrán aplicar la metodología establecida para el primer segmento, para ello deberán enviar una comunicación a la Comisión de Regulación de Agua Potable y Saneamiento Básico - CRA y a la Superintendencia de Servicios Públicos Domiciliarios - SSPD informando tal decisión en el estudio de costos. Una vez informen que elige esta opción no podrán aplicar la metodología que les correspondía inicialmente.
ARTÍCULO 7o. AÑO BASE. <Artículo integrado y unificado en el artículo 2.1.1.1.1.7 de la Resolución CRA 943 de 2021. Debe tenerse en cuenta lo dispuesto por el artículo 2.3.6.3.3.12 del Decreto 1077 de 2015> Para efectos de la presente resolución, se define como año base el año 2016, en consecuencia, las personas prestadoras deberán expresar los costos económicos de referencia en pesos de diciembre de dicho año. Para expresar los costos registrados en los estados financieros del año 2016 en pesos de diciembre de dicho año, estos se deberán multiplicar por un factor de 1,0062, valor que corresponde a la relación del IPC de diciembre de 2016 y el IPC de junio de 2016.
PARÁGRAFO 1. <Parágrafo modificado por el artículo 1 de la Resolución 844 de 2018. El nuevo texto es el siguiente:> Las personas prestadoras que tengan un (1) año o más de operación a la entrada en vigencia de la presente resolución y que no cuenten con los estados financieros del año 2016, podrán utilizar la información financiera más reciente que se encuentre disponible desde la vigencia 2014 a 2017, siempre y cuando la misma refleje la información de un año fiscal completo. En todo caso, deberán expresar los costos económicos de referencia en pesos de diciembre del año 2016.
Para indexar los costos registrados en los estados financieros del año 2014 en pesos de diciembre de 2016 los multiplicará por un factor de 1,1410, valor que corresponde a la relación del IPC de diciembre de 2016 y el IPC de junio de 2014.
Para indexar los costos registrados en los estados financieros del año 2015 en pesos de diciembre de 2016 los multiplicará por un factor de 1,0927, valor que corresponde a la relación del IPC de diciembre de 2016 y el IPC de junio de 2015.
Para deflactar los costos registrados en los estados financieros del año 2017 en pesos de diciembre de 2016 los multiplicará por un factor de 0,9676, valor que corresponde a la relación del IPC de diciembre de 2016 y el IPC de junio de 2017.
PARÁGRAFO 2. <Parágrafo modificado por el artículo 1 de la Resolución 844 de 2018. El nuevo texto es el siguiente:> Las personas prestadoras pertenecientes al primer segmento que tengan menos de un (1) año de operación, a la entrada en vigencia de la presente resolución o no cuenten con la información del año base de acuerdo con lo establecido en el presente artículo, podrán:
i) Aplicar los valores mínimos fijados por la CRA para el Costo Medio de Administración (CMA), de acuerdo con lo establecido en el ARTÍCULO 15, y para el Costo Medio de Operación General (CMOG), en el ARTÍCULO 18 de la presente resolución; o
ii) Estimar los costos de prestación del servicio, siempre y cuando el valor del Costo Medio de Administración (CMA) y del Costo Medio de Operación General (CMOG), sean mayores a los valores mínimos fijados por la CRA para estos componentes.
Una vez cumplan un (1) año fiscal en operación, deberán calcular los costos económicos de referencia y aplicarlos directamente, siempre y cuando el valor del Costo Medio de Administración (CMA) y del Costo Medio de Operación General (CMOG), sean mayores a los valores mínimos fijados por la CRA para estos componentes. En todo caso, las personas prestadoras deberán cumplir con lo previsto en la Sección 5.1.1 de la Resolución CRA 151 de 2001, o la norma que la modifique, adicione, sustituya o derogue para el reporte de las variaciones tarifarias.
PARÁGRAFO 3. La persona prestadora que inicie la prestación de servicios en una APS en la que prestaba servicios otro prestador del primer o del segundo segmento, utilizando la misma infraestructura, deberá realizar un nuevo estudio de costos, aplicando la metodología tarifaria que corresponda, que deberá ser aprobado por la entidad tarifaria local. No obstante, el prestador podrá continuar aplicando los mismos costos económicos de referencia, aprobados por la entidad tarifaria local anterior, tal decisión deberá ser convalidada por su entidad tarifaria local.
En ambos casos, el nuevo prestador deberá cumplir con lo previsto en la Sección 5.1.1 de la Resolución CRA 151 de 2001, o la norma que la modifique, adicione, sustituya o derogue para el reporte de las variaciones tarifarias y, así mismo, deberá remitir a la Comisión de Regulación de Agua Potable y Saneamiento Básico - CRA y a la Superintendencia de Servicios Públicos Domiciliarios - SSPD el nuevo estudio de costos y sus soportes.
DE LA FÓRMULA TARIFARIA.
ARTÍCULO 8o. COMPONENTES DE LAS FÓRMULAS TARIFARIAS. <Artículo integrado y unificado en el artículo 2.1.1.1.2.1 de la Resolución CRA 943 de 2021. Debe tenerse en cuenta lo dispuesto por el artículo 2.3.6.3.3.12 del Decreto 1077 de 2015> Las fórmulas tarifarias para los servicios públicos domiciliarios de acueducto y alcantarillado incluyen un cargo fijo (CF) y un cargo por unidad de consumo (CC).
PARÁGRAFO. Las personas prestadoras aplicarán los componentes de cargo fijo y cargo por consumo de la fórmula tarifaria, los porcentajes de subsidio o aporte solidario aprobados por el Concejo Municipal de acuerdo con la normativa vigente.
ARTÍCULO 9o. DEL CARGO FIJO PARA LOS SERVICIOS PÚBLICOS DOMICILIARIOS DE ACUEDUCTO Y ALCANTARILLADO (CFac,al). <Artículo integrado y unificado en el artículo 2.1.1.1.2.2 de la Resolución CRA 943 de 2021. Debe tenerse en cuenta lo dispuesto por el artículo 2.3.6.3.3.12 del Decreto 1077 de 2015> <Artículo modificado por el artículo 13 de la Resolución 907 de 2019. El nuevo texto es el siguiente:> Las personas prestadoras definirán un cargo fijo para el servicio público domiciliario de acueducto y otro para el servicio público domiciliario de alcantarillado.
Para el servicio público domiciliario de acueducto:
![]()
Donde:
Cargo Fijo para el servicio público domiciliario de acueducto.
Costo Medio de Administración para el servicio público domiciliario de acueducto.
Costo Medio de Administración por Inversiones Ambientales Adicionales para la Protección de Cuencas y Fuentes de Agua para el servicio público domiciliario de acueducto.
Para el servicio público domiciliario de alcantarillado:
![]()
Donde:
Cargo Fijo para el servicio público domiciliario de alcantarillado.
Costo Medio de Administración para el servicio público domiciliario de alcantarillado.
ARTÍCULO 10. DEL CARGO POR CONSUMO PARA LOS SERVICIOS PÚBLICOS DOMICILIARIOS DE ACUEDUCTO Y ALCANTARILLADO (CCac,al). <Artículo integrado y unificado en el artículo 2.1.1.1.2.3 de la Resolución CRA 943 de 2021. Debe tenerse en cuenta lo dispuesto por el artículo 2.3.6.3.3.12 del Decreto 1077 de 2015> <Artículo modificado por el artículo 14 de la Resolución 907 de 2019. El nuevo texto es el siguiente:> Las personas prestadoras definirán un cargo por consumo para el servicio público domiciliario de acueducto y otro para el servicio público domiciliario de alcantarillado.
Para el servicio público domiciliario de acueducto:
![]()
Donde:
Cargo por consumo para el servicio público domiciliario de acueducto.
Costo Medio de Operación para el servicio público domiciliario de acueducto.
Costo Medio de Inversión para el servicio público domiciliario de acueducto.
Costo Medio Generado por Tasas de Uso para el servicio público domiciliario de acueducto.
Costo Medio variable por Inversiones Ambientales Adicionales para la Protección de Cuencas y Fuentes de Agua para el servicio público domiciliario de acueducto.
Para el servicio público domiciliario de alcantarillado:
![]()
Donde:
Cargo por consumo para el servicio público domiciliario de alcantarillado.
Costo Medio de Operación para el servicio público domiciliario de alcantarillado.
Costo Medio de Inversión para el servicio público domiciliario de alcantarillado.
Costo Medio Generado por Tasas Retributivas para el servicio público domiciliario de alcantarillado.
PARÁGRAFO. Los valores unitarios y totales cobrados al usuario por concepto de inversiones ambientales adicionales para la protección de cuencas y fuentes de agua para el servicio público domiciliario de acueducto deberán hacerse explícitos en la factura.
ARTÍCULO 11. INDEXACIÓN. <Artículo integrado y unificado en el artículo 2.1.1.1.2.4 de la Resolución CRA 943 de 2021. Debe tenerse en cuenta lo dispuesto por el artículo 2.3.6.3.3.12 del Decreto 1077 de 2015> Una vez estimados los costos económicos de referencia de los servicios públicos domiciliarios de acueducto y alcantarillado expresados en pesos de diciembre del año 2016, calculados según lo definido en el TÍTULO III y el TÍTULO IV de la presente resolución, las personas prestadoras deberán actualizarlos a la fecha de inicio de aplicación de las tarifas, utilizando las variaciones del Índice de Precios al Consumidor - IPC reportado por el DANE. A partir de este momento, podrán ser indexados cada vez que el IPC acumule una variación igual o superior del 3%, de conformidad con lo previsto en el artículo 125 de la Ley 142 de 1994. Para ello, deberán tener en cuenta lo establecido en el ANEXO I de la presente resolución.
Se exceptúan de esta indexación los Costos Medios Generados por Tasas Ambientales (CMT), los cuales se definen en el TÍTULO V de la presente resolución.
CÁLCULO DE LOS COSTOS ECONÓMICOS DE REFERENCIA PARA LAS PERSONAS PRESTADORAS DEL PRIMER SEGMENTO.
DE LAS METAS PARA LOS ESTÁNDARES DEL SERVICIO PARA LAS PERSONAS PRESTADORAS DEL PRIMER SEGMENTO.
ARTÍCULO 12. DETERMINACIÓN DE LAS METAS PARA LOS ESTÁNDARES DEL SERVICIO PARA LAS PERSONAS PRESTADORAS DEL PRIMER SEGMENTO. <Artículo integrado y unificado en el artículo 2.1.1.1.3.1.1 de la Resolución CRA 943 de 2021. Debe tenerse en cuenta lo dispuesto por el artículo 2.3.6.3.3.12 del Decreto 1077 de 2015> Las personas prestadoras del primer segmento deberán establecer metas anuales para cumplir con los siguientes estándares:
| Nombre del Estándar | Estándar | Indicador | Meta |
| Micromedición | 100% | ![]() Donde: Nac: Número de suscriptores facturados promedio en el año base para el servicio público de acueducto, corresponde al promedio de los doce meses del año base en el caso de facturación mensual, y al promedio de los seis bimestres del año base, en el caso de facturación bimestral. | La meta para el quinto (5°) año debe ser el 100%. |
| Nombre del Estándar | Estándar | Indicador | Meta |
| Continuidad para el servicio público de acueducto | Máximo 10 días sin servicio al año (97,26% de continuidad anual). | Donde: Tiempo en horas de afectación i: Corresponde al producto entre la sumatoria de las horas de afectación en el APS en días al año i por los suscriptores afectados en dicho año. Esto aplica para cualquier tipo de suspensión al usuario, incluyendo las suspensiones programadas, mantenimientos preventivos y fallas en el servicio. | Para el quinto (5°) año deberán reducir el 50% de la diferencia entre la continuidad del prestador en la entrada en vigencia de la presente resolución y el valor del estándar. |
PARÁGRAFO 1. Para la determinación de las metas anuales, las personas prestadoras deberán identificar su situación en el año base definido en el ARTÍCULO 7o de la presente resolución, y proyectar las metas a las que se comprometen en cada uno de los años de vigencia de la fórmula tarifaria establecida en el ARTÍCULO 34 de la presente resolución, para alcanzar la meta para cada estándar. En todo caso, las metas proyectadas no podrán ser inferiores a las existentes en el año base.
PARÁGRAFO 2. Las personas prestadoras pertenecientes al primer segmento deberán cumplir con un valor del IRCA <=5% desde la entrada en vigencia de la presente resolución.
PARÁGRAFO 3. Las personas prestadoras del servicio público domiciliario de acueducto que a la entrada en vigencia de la presente resolución no cuenten con un nivel de micromedición del 100%, podrán realizar la medición de los consumos, de los suscriptores sin micromedición, mediante procedimientos alternativos y los consumos podrán ser estimados para efectos de la facturación, mientras llegan a la meta establecida para dicho estándar.
PARÁGRAFO 4. Una vez finalizado el primer año de aplicación de la fórmula tarifaria conforme a lo definido en el ARTÍCULO 34 de la presente resolución, las personas prestadoras del primer segmento que no cuenten con instrumentos de medición de caudal a la salida de las plantas de tratamiento o a la salida de los tanques de almacenamiento, de conformidad con lo establecido en el artículo 73 de la Resolución 330 del 8 de junio de 2017 del Ministerio de Vivienda, Ciudad y Territorio o la que la modifique, adicione, sustituya o derogue, no podrán cobrar el Costo Medio de Operación General del servicio público domiciliario de acueducto (CMOGac), hasta tanto cumplan con dicha obligación. Lo anterior sin perjuicio de las acciones de control y vigilancia ejercidas por la Superintendencia de Servicios Públicos Domiciliarios - SSPD.
PARÁGRAFO 5. Los planes y el cumplimiento de las metas señaladas en el presente artículo deberán ser reportados por las personas prestadoras en la forma Indicada por la Superintendencia de Servicios Públicos Domiciliarlos - SSPD, a través del Sistema Único de Información - SUI o el mecanismo definido por esa entidad.
PARÁGRAFO 6. Las metas del servicio proyectadas por las personas prestadoras deberán incluirse en el Contrato de Condiciones Uniformes.
ARTÍCULO 13. AVANCES EN LOS ESTÁNDARES EN LA PRESTACIÓN DEL SERVICIO. <Artículo integrado y unificado en el artículo 2.1.1.1.3.1.2 de la Resolución CRA 943 de 2021. Debe tenerse en cuenta lo dispuesto por el artículo 2.3.6.3.3.12 del Decreto 1077 de 2015> <Ver modificaciones temporales en Notas de Vigencia> Cuando las personas prestadoras pertenecientes al primer segmento soporten el cumplimiento de las metas anuales proyectadas en micromedición y continuidad, podrán recalcular cada dos (2) años los costos económicos de referencia con la información completa del año inmediatamente anterior y aplicarlos directamente. En todo caso, las personas prestadoras deberán cumplir con lo previsto en la Sección 5.1.1 de la Resolución CRA 151 de 2001, o la norma que la modifique, adicione, sustituya o derogue para el reporte de las variaciones tarifarias.
DEL COSTO MEDIO DE ADMINISTRACIÓN PARA LAS PERSONAS PRESTADORAS DEL PRIMER SEGMENTO.
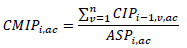
ARTÍCULO 14. COSTO MEDIO DE ADMINISTRACIÓN PARA LAS PERSONAS PRESTADORAS DEL PRIMER SEGMENTO (CMAac,al). <Artículo integrado y unificado en el artículo 2.1.1.1.3.2.1 de la Resolución CRA 943 de 2021. Debe tenerse en cuenta lo dispuesto por el artículo 2.3.6.3.3.12 del Decreto 1077 de 2015> El Costo Medio de Administración de los servicios públicos domiciliarios de acueducto y alcantarillado para las personas prestadoras del primer segmento, será calculado con base en la siguiente fórmula:

Donde;
| Costo Medio de Administración para cada uno de los servicios públicos domiciliarios de acueducto y alcantarillado expresado en pesos de diciembre del año 2016 por suscriptor por mes | |
| Costos de Administración del año base para cada uno de los servicios públicos domiciliarios. Las personas prestadoras tendrán en cuenta para su cálculo los siguientes criterios: - Gasto del personal administrativo. Deberán incluirse todos los gastos de personal de la empresa prestadora que realice labores administrativas asociadas directamente a la prestación de los servicios públicos domiciliarios de acueducto y alcantarillado, como sueldos, jornales, horas extras y festivos, personal supernumerario, honorarios, contratos de personal temporal, auxilio de transporte, dotación y suministro a trabajadores, salario integral, viáticos y gastos de viaje, así como todos los demás gastos relacionados con los pagos a empleados del área administrativa como los gastos por prestaciones sociales, tales como cesantías, intereses de cesantías, prima de servicios y vacaciones. Así mismo, deberán incluirse todos los gastos relacionados con los aportes legales a seguridad social, como son cotizaciones de seguridad social en salud, y las correspondientes al régimen de prima media y ahorro individual. - Gastos de aportes a parafiscales. Deberán incluirse los gastos de aportes a parafiscales de todo el personal de la empresa que realiza labores administrativas, tales como riesgos laborales, aportes al ICBF, aportes al SENA y caja de compensación familiar. - Gastos asociados con contribuciones imputadas y efectivas. No se podrán incluir gastos relacionados con pensiones de jubilación, indemnizaciones sustitutas, amortización de cálculo actuarial y amortización y cuotas parte de bonos pensionales. - Gastos generales. Deberán incluirse los gastos asociados al funcionamiento, incluyendo los gastos por contratos administrativos que realice la persona prestadora para desarrollar actividades de negocio relacionadas directamente con la prestación de los servicios públicos domiciliarios de acueducto y alcantarillado. No se podrán incluir gastos relacionados con implementos deportivos, organización de eventos, eventos culturales, sostenimiento de semovientes y relaciones públicas. - Gastos por depreciación de los activos administrativos. Deberán incluirse los gastos asociados directamente a la prestación de los servicios públicos domiciliarios de acueducto y alcantarillado, tales como edificaciones, muebles, maquinaria y equipos de oficina, de comunicación y computación, equipos de transporte, así como de los bienes para uso administrativo adquiridos en leasing financiero. - Gastos por amortizaciones administrativas. Deberán incluirse las amortizaciones administrativas directamente asociadas a la prestación de los servicios públicos domiciliarios de acueducto y alcantarillado, tales como licencias, software y servidumbre. - Gastos de comercialización. Deberán incluirse los gastos comerciales propios de la prestación de los servicios públicos domiciliarios de acueducto y alcantarillado, tales como toma de lecturas, entrega de facturas, entre otros. - Imprevistos. El valor de imprevistos no podrá superar el 5% de los Costos de Administración (CAac,al) | |
| 1,0281 | Tasa de capital de trabajo anual. |
| Gastos por concepto de impuestos, contribuciones y tasas administrativas del año base para cada uno de los servicios públicos domiciliarios. Se deberán incluir únicamente los impuestos administrativos asociados directamente a la prestación de los servicios públicos domiciliarios de acueducto y alcantarillado, como las cuotas de fiscalización y auditaje, las contribuciones a las entidades de regulación y control, las tasas que no correspondan a tasas pagadas a las autoridades ambientales, el impuesto a las ventas - IVA, el impuesto al patrimonio, el impuesto de timbre, registros, notariales, valorización sobre aquellos activos administrativos relacionados directamente con la prestación de los servicios públicos, y otros impuestos y contribuciones que versan sobre actividades relacionadas directamente con la prestación de los servicios públicos. | |
| Factor de indexación de costos en pesos de diciembre del año 2016, según lo establecido en el ARTÍCULO 7o de la presente resolución. | |
| 12: | Corresponde al número de meses en un año. |
| Número de suscriptores promedio mensual facturados del año base para cada uno de los servicios públicos domiciliarios. En el caso de facturación mensual, corresponde al promedio de los doce meses del año base. En el caso de facturación bimestral, corresponde al promedio de los seis bimestres del año base. |
PARÁGRAFO 1. Las personas prestadoras deberán excluir del cálculo del Costo Medio de Administración (CMA) todos aquellos gastos que se generen por actividades que no estén asociadas a la prestación de los servicios públicos domiciliarios de acueducto y alcantarillado o costos que correspondan a actividades con ingreso asociado, tales como, suministro de medidores, acometidas, conexiones y reconexiones.
PARÁGRAFO 2. Los Costos de Administración del año base para cada uno de los servicios públicos domiciliarios (CAac,al), que se incluyan en cada uno de los criterios detallados en el presente artículo, deberán estar soportados por los estados financieros, independientemente de la forma como la persona prestadora lleve sus registros, ya sea siguiendo los parámetros de las Normas de Información Financiera - NIF en cumplimiento de lo establecido en la Ley 1314 de 2009 “Por la cual se regulan los principios y normas de contabilidad e información financiera y de aseguramiento de información aceptados en Colombia, se señalan las autoridades competentes, el procedimiento para su expedición y se determinan las entidades responsables de vigilar su cumplimiento, y sus decretos reglamentarios, o con el Plan Único de Cuentas - PUC, según aplique.
PARÁGRAFO 3. Las personas prestadoras que no cuenten con la información detallada de costos administrativos para cada servicio público domiciliario deberán determinar los costos por separado soportando en el estudio de costos el criterio utilizado para su separación. En su defecto, podrán calcular el Costo de Administración (CA) de ambos servicios y asignar la parte que corresponda a cada uno en proporción al número de suscriptores.
PARÁGRAFO 4. <Parágrafo modificado por el artículo 2 de la Resolución 844 de 2018. El nuevo texto es el siguiente:> Las personas prestadoras del primer segmento que cuenten con los estados financieros del año 2016 pero que consideren que la misma no refleja la totalidad de los costos de administración asumidos por la empresa, podrán calcularlos con el promedio de los gastos registrados en los estados financieros y los suscriptores promedio mensuales (Nac,al) de los años 2015 y 2016, o 2016 y 2017. En todo caso, deberán expresar los costos en pesos de diciembre del año 2016
ARTÍCULO 15. VALOR MÍNIMO DEL COSTO MEDIO DE ADMINISTRACIÓN PARA LAS PERSONAS PRESTADORAS DEL PRIMER SEGMENTO. <Artículo integrado y unificado en el artículo 2.1.1.1.3.2.2 de la Resolución CRA 943 de 2021. Debe tenerse en cuenta lo dispuesto por el artículo 2.3.6.3.3.12 del Decreto 1077 de 2015> Las personas prestadoras del primer segmento deberán calcular su Costo Medio de Administración (CMAac,al) según lo definido en el ARTÍCULO 14 de la presente resolución, pero no podrán aplicar un valor menor al que se presenta a continuación, para cada servicio público domiciliario:
| Servicio público domiciliario | Valor Mínimo del Costo Medio de Administración en pesos de diciembre de 2016 ($/suscriptor/mes) |
| Acueducto | $2.890 suscriptor/mes |
| Alcantarillado | $2.069 suscriptor/mes |
PARÁGRAFO. Si el valor resultante de la aplicación de las fórmulas para el cálculo del Costo Medio de Administración (CMAac,al) es menor al valor definido en el presente artículo, las personas prestadoras deberán aplicar el valor mínimo fijado para cada servicio público.
DEL COSTO MEDIO DE OPERACIÓN PARA LAS PERSONAS PRESTADORAS DEL PRIMER SEGMENTO.
ARTÍCULO 16. COSTO MEDIO DE OPERACIÓN PARA LAS PERSONAS PRESTADORAS DEL PRIMER SEGMENTO (CMOac,al). <Artículo integrado y unificado en el artículo 2.1.1.1.3.3.1 de la Resolución CRA 943 de 2021. Debe tenerse en cuenta lo dispuesto por el artículo 2.3.6.3.3.12 del Decreto 1077 de 2015> El Costo Medio de Operación de los servicios públicos domiciliarios de acueducto y alcantarillado para las personas prestadoras del primer segmento, será calculado con base en la siguiente fórmula:
![]()
Donde:
| Costo Medio de Operación para cada uno de los servicios públicos domiciliarios de acueducto y alcantarillado (expresado en pesos de diciembre del año 2016 por metro cúbico). | |
| Costo Medio de Operación General para cada uno de los servicios públicos domiciliarios de acueducto y alcantarillado (expresado en pesos de diciembre del año 2016 por metro cúbico), según lo definido en el ARTÍCULO 17. de la presente resolución. | |
| Costo Medio de Operación Particular para cada uno de los servicios públicos domiciliarios de acueducto y alcantarillado (expresado en pesos de diciembre del año 2016 por metro cúbico), según lo definido en el ARTÍCULO 19 de la presente resolución. |
ARTÍCULO 17. COSTO MEDIO DE OPERACIÓN GENERAL PARA LAS PERSONAS PRESTADORAS DEL PRIMER SEGMENTO (CMOGac,al). <Artículo integrado y unificado en el artículo 2.1.1.1.3.3.2 de la Resolución CRA 943 de 2021. Debe tenerse en cuenta lo dispuesto por el artículo 2.3.6.3.3.12 del Decreto 1077 de 2015> El Costo Medio de Operación General de los servicios públicos domiciliarios de acueducto y alcantarillado para las personas prestadoras del primer segmento, será calculado con base en la siguiente fórmula:

Donde;
| Costo Medio de Operación General para cada uno de los servicios públicos domiciliarios de acueducto y alcantarillado (expresado en pesos de diciembre del año 2016 por metro cúbico). | |
| Costos Operativos Generales del año base para cada uno de los servicios públicos domiciliarios. Las personas prestadoras tendrán en cuenta para su cálculo los siguientes criterios: - Gastos del personal de operación y mantenimiento. Deberán incluirse los gastos correspondientes a sueldos y salarios del personal de la empresa prestadora que realiza labores operativas asociadas a la prestación de los servicios públicos domiciliarios de acueducto y alcantarillado, tales como sueldos, jornales, horas extras y festivos, personal supernumerario, honorarios, contratos de personal temporal, auxilio de transporte, dotación y suministro a trabajadores, salario integral, viáticos y gastos de viaje, así como todos los demás gastos relacionados con los pagos a empleados del área operativa como son las prestaciones sociales (cesantías, intereses de cesantías, prima de servicios y vacaciones). Así mismo, deberán incluirse todos los costos relacionados con los aportes legales a seguridad social, tales como cotizaciones de seguridad social en salud, y las correspondientes al régimen de prima media y ahorro individual - Gastos de aportes a parafiscales. Deberán incluirse los gastos de aportes parafiscales de todo el personal de la empresa que realiza labores operativas, tales como riesgos laborales, aportes al ICBF, aportes al SENA y caja de compensación familiar. - Gastos asociados a contribuciones imputadas y efectivas. No se podrán incluir gastos relacionados con pensiones de jubilación, indemnizaciones sustitutas, amortización de cálculo actuarial, y amortización y cuotas parte de bonos pensionales. - Gastos generales. Deberán incluirse todos los gastos asociados con el funcionamiento y con la prestación de los servicios. No se podrán incluir costos relacionados con implementos deportivos, eventos culturales, sostenimiento de semovientes y relaciones públicas. - Gastos por depreciación de activos operativos. Deberán incluirse los gastos asociados a la depreciación de activos operativos tales como herramientas menores y equipos de oficina. Se deberán excluir las depreciaciones de los activos que se encuentren incluidos en el Costo Medio de Administración (CMA) y en el Costo Medio de Inversión (CMI). - Arrendamientos. Deberán incluirse los gastos de arrendamiento de los activos operativos asociados a la prestación del servicio que no sean de propiedad de la persona prestadora de tales terrenos, construcciones y edificaciones, maquinaria y equipo, equipo de oficina, Equipo de computación y comunicación, equipo científico, flota y equipo de transporte y otros activos operativos. Se deberán excluir los arrendamientos de los activos que se encuentren incluidos en el CMA o en el CMI. - Gastos relacionados con los pagos por contribuciones a Comités de Estratificación, originado del valor pagado por el ente prestador de servicios públicos domiciliarios en las licencias, contribuciones y regalías a favor de entidades u organismos públicos o privados por mandato legal o libre vinculación. - Costos de insumos directos. Deberán incluirse gastos relacionados con procesos operativos de la prestación de los servicios públicos domiciliarios de acueducto y alcantarillado. No se podrán incluir los costos de insumos químicos y de energía que se reconozcan como costo operativo particular según lo definido en el ARTÍCULO 19 de la presente resolución. - Gastos por órdenes y contratos de mantenimiento y reparaciones. Deberán incluirse gastos por mantenimientos y reparaciones de maquinaria y equipo afecto a la prestación del servicio, equipo de oficina, computación y comunicación, equipo de transporte, tracción y elevación, terrenos, redes líneas y ductos, plantas, construcciones y edificaciones, elementos y accesorios de acueducto y alcantarillado. - Gastos por honorarios. Deberán incluirse los gastos por contratos operativos que realice la persona prestadora para desarrollar actividades operativas relacionadas directamente con la prestación de los servicios públicos domiciliarios, como avalúos, asesoría técnica, diseños y estudios, entre otros. Se deberán excluir aquellos relacionados con proyectos de inversión, los cuales deberán incluirse en el CMI como un mayor valor de dicha inversión. - Gastos generales de operación. Deberán incluirse los gastos generales de operación relacionados con la prestación del servicio, como materiales y servicios públicos. No se podrá incluir el costo del servicio público de energía eléctrica. - Gastos de seguros. Deberán incluirse los gastos de los seguros requeridos para garantizar la operación, como cumplimiento, corriente débil, incendio, terremoto, sustracción y hurto, flota y equipo de transporte, responsabilidad civil y extracontractual, terrorismo, vida colectiva, entre otros. No se podrá incluir el costo del seguro de manejo. - Costos por órdenes y contratos por otros servicios. Deberán incluirse los gastos de órdenes y contratos de aseo, vigilancia, seguridad y cafetería, suministros informáticos, servicios de instalación y desinstalación, administración e infraestructura informática y ventas por derecho por comisión. No se podrán incluir los costos relacionados con toma de lecturas y entrega de facturas que se reconocen en el costo medio de administración. - Gastos por amortización de propiedades, planta y equipo. Deberán incluirse los gastos de las amortizaciones de propiedades, planta y equipo, como las de vías de comunicación y acceso internas. No se podrán incluir la amortización de semovientes. - Imprevistos. El valor de imprevistos no podrá superar el 5% de los Costos Operativos Generales (COGac,al). | |
| 1,0281 | Tasa de capital de trabajo anual. |
| Gastos por concepto de impuestos y tasas operativas del año base para cada uno de los servicios públicos domiciliarios. Se deberán incluir únicamente los impuestos asociados directamente con la prestación de los servicios públicos domiciliarios de acueducto y alcantarillado, como timbres, registro, el gravamen a los movimientos financieros, impuesto de vehículos operativos, peajes operativos, otros impuestos y contribuciones pagados en la operación del servicio, y valoración sobre aquellos activos operativos relacionados directamente con la prestación de los servicios públicos. | |
| Factor de indexación de costos en pesos de diciembre del año 2016, según lo establecido en el ARTÍCULO 7o de la presente resolución | |
| Agua potable suministrada corregida por pérdidas eficientes en el año base, la cual se estima con la siguiente fórmula. |
![]()
Donde:
| ASac: | Agua potable suministrada en el año base (m3/año). Se calcula como: |
![]()
| APac: | Agua producida en el año base (m3/año). |
| RCSAPac: | Volumen recibido por contratos de suministro de agua potable e interconexión en el año base (m3/año). |
| ECSAPac: | Volumen entregado por contratos de suministro de agua potable e interconexión en el año base (m3/año). |
| Nac,al: | Número de suscriptores promedio mensual facturados del año base para cada uno de los servicios públicos domiciliarios. En el caso de facturación mensual, corresponde al promedio de los doce meses del año base. En el caso de facturación bimestral, corresponde al promedio de los seis bimestres del año base. |
| 12: | Corresponde al número de meses en un año |
| IPUF*: | Índice de pérdidas por suscriptor facturado estándar, que corresponde a seis (6) m3/suscriptor/mes. |
PARÁGRAFO 1. Las personas prestadoras deberán excluir del cálculo del Costo de Operación General (COG) todos aquellos costos que se generen por actividades que no tengan relación directa con la prestación de los servicios públicos domiciliarios de acueducto y alcantarillado o gastos que correspondan a actividades con ingreso asociado, tales como, suministro de medidores, acometidas, conexiones y reconexiones.
Así mismo. se deberán excluir, para efectos del cálculo del Costo Operación General (COG), aquellos costos relacionados con proyectos de inversión, los cuales se incluirán en el Costo Medio de Inversión (CMI). De igual forma, deberán excluirse todos los costos operativos incluidos en el costo de operación particular.
PARÁGRAFO 2. Los Costos Operativos Generales del año base para cada uno de los servicios públicos domiciliarios (COGac,al), que se incluyan en cada uno de los criterios detallados en el presente artículo, deberán estar soportados por los estados financieros, independiente de la forma como la persona prestadora lleve sus registros, ya sea siguiendo los parámetros de las Normas de Información Financiera - NIF en cumplimiento de lo establecido en la Ley 1314 de 2009 “Por la cual se regulan los principios y normas de contabilidad e información financiera y de aseguramiento de información aceptados en Colombia, se señalan las autoridades competentes, el procedimiento para su expedición y se determinan las entidades responsables de vigilar su cumplimiento, y sus decretos reglamentarios, o con el Plan Único de Cuentas - PUC, según aplique.
PARÁGRAFO 3. Las personas prestadoras del primer segmento que no cuenten con la información detallada de los costos operativos para cada servicio público domiciliario, deberán determinar los costos por separado soportando en el estudio de costos el criterio utilizado para su separación. En su defecto podrán calcular el Costo de Operación General (COG) de ambos servicios y asignar la parte que corresponda a cada uno en proporción al número de suscriptores.
PARÁGRAFO 4. <Parágrafo modificado por el artículo 3 de la Resolución 844 de 2018. El nuevo texto es el siguiente:> Las personas prestadoras del primer segmento que cuenten con los estados financieros del año 2016 pero que consideren que los mismos no reflejan la totalidad de los costos operativos generales asumidos por la empresa, podrán calcularlos con el promedio de los gastos registrados en los estados financieros y el promedio del agua suministrada afectada por pérdidas (ASPac,al) de los años 2015 y 2016, o 2016 y 2017. En todo caso, deberán expresar los costos en pesos de diciembre del año 2016.
PARÁGRAFO 5. <Parágrafo adicionado por el artículo 3 de la Resolución 844 de 2018. El nuevo texto es el siguiente:> En el evento en que el número de suscriptores de acueducto (Nac) sea distinto al número de suscriptores de alcantarillado (Nal), con el fin de determinar el ASPal en la fórmula de cálculo establecida en el presente artículo, se deberá multiplicar la variable agua potable suministrada de acueducto (ASac) por la proporción entre el número de suscriptores de alcantarillado respecto al número de suscriptores de acueducto (Nal/Nac).
ARTÍCULO 18. VALOR MÍNIMO PARA EL COSTO MEDIO DE OPERACIÓN GENERAL PARA LAS PERSONAS PRESTADORAS DEL PRIMER SEGMENTO. <Artículo integrado y unificado en el artículo 2.1.1.1.3.3.3 de la Resolución CRA 943 de 2021. Debe tenerse en cuenta lo dispuesto por el artículo 2.3.6.3.3.12 del Decreto 1077 de 2015> Las personas prestadoras pertenecientes al primer segmento deberán calcular su Costo Medio de Operación General (CMOG) según lo definido en el ARTÍCULO 17 de la presente resolución, pero no podrán aplicar un valor menor al que se presenta a continuación, para cada servicio público domiciliario:
| Servicio público domiciliario | Valor mínimo del Costo Medio de Operación General en pesos de diciembre de 2016 ($/m3) |
| Acueducto | $467 por metro cúbico |
| Alcantarillado | $169 por metro cúbico |
PARÁGRAFO. Si el valor resultante de la aplicación de las fórmulas para el cálculo del Costo Medio de Operación General (CMOG) es menor al valor definido en el presente artículo, las personas prestadoras deberán aplicar el valor mínimo fijado para cada servicio público.
ARTÍCULO 19. COSTO MEDIO DE OPERACIÓN PARTICULAR PARA LAS PERSONAS PRESTADORAS DEL PRIMER SEGMENTO (CMOPac,al). <Artículo integrado y unificado en el artículo 2.1.1.1.3.3.4 de la Resolución CRA 943 de 2021. Debe tenerse en cuenta lo dispuesto por el artículo 2.3.6.3.3.12 del Decreto 1077 de 2015> <Artículo modificado por el artículo 4 de la Resolución 844 de 2018. El nuevo texto es el siguiente:> El Costo Medio de Operación Particular para las personas prestadoras del primer segmento será calculado con base en la siguiente fórmula:
![]()
Donde:
CMOPac,al: Costo Medio de Operación Particular para cada uno de los servicios públicos domiciliarios de acueducto y alcantarillado (expresado en pesos de diciembre del año 2016 por metro cúbico).
COPac: Costos Operativos Particulares del año base para el servicio público domiciliario de acueducto. Las personas prestadoras del primer segmento tendrán en cuenta para su cálculo los siguientes criterios:
- Costos de energía operativos.
- Costos para potabilización relacionados con costos de insumos químicos, servicios personales y otros costos de operación y mantenimiento.
- Costos de contratos de interconexión y suministro de agua potable.
COPal: Costos Operativos Particulares del año base para el servicio público domiciliario de alcantarillado. Las personas prestadoras del primer segmento tendrán en cuenta para su cálculo los siguientes criterios:
- Costos de energía operativa.
- Costos de tratamiento de aguas residuales relacionados con costos de energía, insumos químicos, servicios personales y otros costos de operación y mantenimiento.
- Costos de contratos de interconexión.
1,0281: Tasa de capital de trabajo anual.
fc: Factor de indexación de costos en pesos de diciembre del año 2016, según lo establecido en el ARTÍCULO 7 de la presente resolución.
ASPac,al: Agua potable suministrada corregida por pérdidas eficientes en el año base, la cual se calcula con la siguiente fórmula:
![]()
Donde:
ASac: Agua potable suministrada en el año base (m3/año). Se calcula como:
![]()
APac: Agua producida en el año base (m3/año).
RCSAPac: Volumen recibido por contratos de suministro de agua potable e interconexión en el año base (m3/año).
ECSAPac: Volumen entregado por contratos de suministro de agua potable e interconexión en el año base (m3/año).
Nac,al: Número de suscriptores promedio mensual facturados del año base para cada uno de los servicios públicos domiciliarios. En el caso de facturación mensual, corresponde al promedio de los doce meses del año base. En el caso de facturación bimestral, corresponde al promedio de los seis bimestres del año base.
12: Corresponde al número de meses en un año.
IPUF*: Índice de pérdidas por suscriptor facturado estándar, que corresponde a seis (6) m3/suscriptor/mes.
PARÁGRAFO 1. Los Costos Operativos Particulares del año base para cada uno de los servicios públicos domiciliarios (COPac,al), que se incluyan en cada uno de los criterios detallados en el presente artículo, deberán estar soportados:
i) Estados financieros para el año base, independientemente de la forma como la persona prestadora lleve sus registros, ya sea siguiendo los parámetros de las Normas de Información Financiera (NIF), en cumplimiento de lo establecido en la Ley 1314 de 2009, “por la cual se regulan los principios y normas de contabilidad e información financiera y de aseguramiento de información aceptados en Colombia, se señalan las autoridades competentes, el procedimiento para su expedición y se determinan las entidades responsables de vigilar su cumplimiento”, y sus decretos reglamentarios, o con el Plan Único de Cuentas (PUC), según aplique, o
ii) Valor de las facturas que soporten dichos costos en el año base.
PARÁGRAFO 2. Las personas prestadoras del primer segmento que tengan menos de un (1) año de operación a la entrada en vigencia de la presente resolución, o no cuenten con la información del año base de acuerdo con lo establecido en el ARTÍCULO 7 de la presente resolución, para estimar el valor del Costo Medio de Operación Particular (CMOP), podrán proyectar los costos con los soportes que consideren pertinentes.
Los soportes de dichos costos deberán quedar a disposición de las entidades de vigilancia y control que las requieran, en ejercicio de sus funciones. Una vez cumpla un (1) año fiscal en operación, deberán calcular el Costo Medio de Operación Particular (CMOP), con dicha información y aplicarlo directamente. Para tal efecto, las personas prestadoras deberán cumplir con lo previsto en la Sección 5.1.1 de la Resolución CRA 151 de 2001, o la norma que la modifique, adicione, sustituya o derogue para el reporte de las variaciones tarifarias.
PARÁGRAFO 3. Las personas prestadoras del primer segmento que cuenten con los estados financieros del año 2016, pero que consideren que los mismos no reflejan la totalidad de los costos operativos particulares asumidos por la empresa, podrán calcularlos con el promedio de los costos registrados en los estados financieros y el promedio del agua suministrada afectada por pérdidas (ASPac,al) de los años 2015 y 2016, o 2016 y 2017. En todo caso, deberán expresar los costos en pesos de diciembre del año 2016.
PARÁGRAFO 4. <Ver modificaciones temporales en Notas de Vigencia> Cuando por la entrada en operación de un nuevo activo se generen Costos Operativos Particulares (COPac,al) no considerados en el cálculo de las tarifas, tales costos podrán ser incluidos de manera directa por el prestador, sin adelantar actuación administrativa alguna ante la Comisión de Regulación de Agua Potable y Saneamiento Básico (CRA). Para tal efecto, las personas prestadoras deberán cumplir con lo previsto en la Sección 5.1.1 de la Resolución CRA 151 de 2001, o la norma que la modifique, adicione, sustituya o derogue para el reporte de las variaciones tarifarias.
PARÁGRAFO 5. <Ver modificaciones temporales en Notas de Vigencia> Cada vez que en un período de doce (12) meses continuos, a partir de la fecha de aplicación de las tarifas derivadas de la presente resolución, se acumule un aumento o una disminución del 5% o más en pesos constantes en los costos operativos particulares, podrán ser ajustados por las personas prestadoras. Lo anterior, sin perjuicio del cumplimiento de las disposiciones contenidas en la Sección 5.1.1 de la Resolución CRA 151 de 2001, o la norma que la modifique, adicione o derogue en relación con el reporte de las variaciones tarifarias.
PARÁGRAFO 6. En el evento en que el número de suscriptores de acueducto (Nac) sea distinto al número de suscriptores de alcantarillado (Nal), con el fin de determinar el ASPal en la fórmula de cálculo establecida en el presente artículo, se deberá multiplicar la variable agua potable suministrada de acueducto (ASac) por la proporción entre el número de suscriptores de alcantarillado respecto al número de suscriptores de acueducto (Nal/Nac).
DEL COSTO MEDIO DE INVERSIÓN PARA LAS PERSONAS PRESTADORAS DEL PRIMER SEGMENTO.
ARTÍCULO 20. COSTO MEDIO DE INVERSIÓN PARA LAS PERSONAS PRESTADORAS DEL PRIMER SEGMENTO (CMIac,al). <Artículo integrado y unificado en el artículo 2.1.1.1.3.4.1 de la Resolución CRA 943 de 2021. Debe tenerse en cuenta lo dispuesto por el artículo 2.3.6.3.3.12 del Decreto 1077 de 2015> El Costo Medio de Inversión de los servicios públicos domiciliarios de acueducto y alcantarillado para las personas prestadoras del primer segmento, deberá ser calculado independientemente para cada servicio, con base en alguna de las siguientes alternativas:
- Alternativas 1. Las personas prestadoras del primer segmento que opten por esta alternativa deberán i) Determinar el valor de los activos de conformidad con lo dispuesto en el ARTICULO 21 de la presente resolución; ii) Proyectar un plan de inversiones a diez (10) años, contados a partir de la vigencia de la fórmula tarifaria establecida en la presente resolución, para para expansión, reposición y rehabilitación de los sistemas de acueducto o alcantarillado (en pesos de diciembre del año 2016); y, iii) Proyectar el volumen de agua potable suministrada en un periodo de diez (10) años, contados a partir de la vigencia de la fórmula establecida en la presente resolución, afectada por las pérdidas por suscriptor facturado estándar (6m3), teniendo en cuenta los avances en micromedición y crecimiento de la demanda, según las metas planteadas por el prestador.
Para ello deberán utilizar la siguiente fórmula:

Donde:
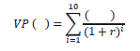
| Costo Medio de Inversión para cada uno de los servicios públicos domiciliarios de acueducto y alcantarillado expresado en pesos de diciembre del año 2016 por metro cúbico. | |
| Sumatoria del valor de los activos actuales anualizados (en pesos de diciembre del año 2016).Corresponde a la suma de cada uno de los activos j a remunerar afectado por el factor de anualidad del año base (fVAoj), según la siguiente fórmula. | |
| VP(PIi,ac,al): | Valor presente del plan de inversiones para expansión, reposición y rehabilitación de los sistemas de acueducto o alcantarillado para el año i (en pesos de diciembre del año 2016) que incluya cada una de las inversiones que considere llevar a cabo la persona prestadora de un período de diez (10) años. Las inversiones serán las definidas según lo establecido en el ARTÍCULO 22 de la presente resolución |
| Valor presente del agua potable suministrada corregida por pérdidas eficientes, la cual se estima con la siguiente fórmula: |
![]()
Donde:
| ASi,ac: | Agua potable suministrada en el año (m3/año). Se calcula como: |
![]()
| Agua potable en el año i (m3/año). | |
| Volumen recibido por contratos de suministro de agua potable e interconexión en el año i (m3/año). | |
| Volumen entregado por contratos de suministro de agua potable e interconexión en el año i (m3/año). | |
| Nia,cal: | Número de suscriptores promedio mensual facturados del año i para cada uno de los servicios públicos domiciliarios |
| 12: | Corresponde al número de meses en un año. |
| IPUF*: | Índice de pérdidas por suscriptor facturado estándar, que corresponde a seis (6) m3/suscriptor/mes. |
| VP(): | Aplicación de la función de valor presente, descontando los valores incluidos en el periodo de diez (10) años, utilizando para ello la siguiente fórmula: |
![]()
| r: | Tasa de descuento anual para el cálculo del CMI de 14.85% |
| i: | Es cada uno de los años que hacen parte del período de proyección. Corresponde a un valor entre uno (1) y diez (10). |
- Alternativa 2. Las personas prestadoras del primer segmento que opten por esta alternativa deberán: i) Determinar el valor de sus activos actuales y anualizarlos; ii) Proyectar un plan de inversiones a cinco (5) años, contados a partir de la vigencia de la fórmula tarifaria establecida en la presente resolución, para expansión, reposición y rehabilitación de los sistemas de acueducto o alcantarillado (en pesos de diciembre del año 2016) y anualizarlos, y iii) Establecer el volumen de agua potable suministrada en el año base afectado por el índice de pérdidas por suscriptor facturado estándar.
Para ello deberán utilizar la siguiente fórmula:
![]()
Donde:
| CMIac,al: | Costo Medio de Inversión para cada uno de los servicios públicos domiciliarios de acueducto y alcantarillado expresado en pesos de diciembre del año 2016 por metro cubico. |
| VAAac,al : | Sumatoria del valor de los activos actuales anualizados (en pesos de diciembre del año 2016). Corresponde a la suma de cada uno de los activos j a remunerar afectado por el factor de anualidad del año base (fVAoj), según la siguiente formula:![]() Donde VAj: Valor de los activos actuales j definidos según los criterios establecidos en el ARTÍCULO 21 de la presente resolución fVA0,j: Factor de anualidad del año base del valor de cada uno de los activos j, el cual se define en la tabla incluida en el ANEXO III de la presente resolución. j: Cada uno de los activos actuales afectos a la prestación del servicio (1,2,..., m). |
PIAac,al: | Sumatoria del plan de inversiones anualizado del año i para expansión, reposición y rehabilitación de los sistemas de acueducto o alcantarillado (en pesos de diciembre del año 2016) afectados por el factor de anualidad del año i (fVAi,n), según la siguiente fórmula: Donde: ![]() CIi,n: Costo de cada una de las inversiones n incluidas en el plan de inversiones, que considere llevar a cabo la persona prestadora en un período de cinco (5) años (en pesos de diciembre del año 2016). Las inversiones serán las definidas según lo establecido en el ARTÍCULO 22 de la presente resolución. fVAi,n: Factor de anualidad del año i para cada una de las inversiones n incluidas en el plan, el cual se define en la tabla incluida en el ANEXO III de la presente resolución. i:Cada uno de los cinco (5) años contados a partir de la entrada en vigencia de la fórmula tarifaria, establecida en la presente resolución en el ARTÍCULO 34 de la presente resolución. n: Cada una de las inversiones que se incluyen en el Plan de Inversiones (1,2,..., m). |
| ASPac,al. | Agua potable suministrada corregido por pérdidas eficientes en el año base, la cual se estima con la siguiente fórmula: Donde: APac: Agua potable suministrada en el año base (m3/año). RCSAPac: Volumen recibido por contratos de suministro de agua potable e interconexión en el año base (m3/año). ECSAPac:Volumen entregado por contratos de suministro de agua potable einterconexión en el año base (m3/año). Nac,al: Número de suscriptores promedio mensual facturados del año base para cada uno de los servicios públicos domiciliarios. En el caso de facturación mensual, corresponde al promedio de los doce meses del año base. En el caso de facturación bimestral, corresponde al promedio de los seis bimestres del año base. 12: Corresponde al número de meses en un año. IPUF*:Índice de pérdidas por suscriptor facturado estándar, que corresponde a seis (6) m3/suscriptor/mes. |
PARÁGRAFO 1. En el caso que las personas prestadoras calculen el Costo Medio de Inversión (CMIac,al) utilizando la Alternativa 1, deberán adjuntar al estudio de costos los criterios o estudios realizados para determinar el número de suscriptores para cada servicio (Ni,ac,al) y el agua potable suministrada (ASi,ac) proyectadas para el período de diez (10) años, los cuales deberán quedar a disposición de la Superintendencia de Servicios Públicos Domiciliarios - SSPD.
PARÁGRAFO 2. En el caso que las personas prestadoras que al calcular el Costo Medio de Inversión (CMIac,al), ya sea utilizando la Alternativa 1 o la Alternativa 2, no les sea posible determinar el valor de los activos actuales a partir de lo registrado en sus estados financieros o a partir de una valoración técnica, podrán optar por no incluir el valor de estos.
PARÁGRAFO 3. En el caso que las personas prestadoras al calcular el Costo Medio de Inversión (CMIac,al) opten por la Alternativa 2, podrán calcular el costo de cada una de las inversiones de acuerdo con lo definido en el ARTÍCULO 22, teniendo en cuenta el valor global del proyecto de inversión y utilizando como vida útil la del activo de mayor valor.
PARÁGRAFO 4. Las personas prestadoras que con un mismo sistema interconectado atiendan varias APS y opten por calcular los costos de prestación unificados para dicho sistema, deberán estimar el valor del Costo Medio de Inversión (CMI) con el costo del Plan de Inversiones del sistema interconectado que incluya las inversiones proyectadas para todas las APS que hagan parte de dicho sistema.
PARÁGRAFO 5. Las personas prestadoras del primer segmento deberán reportar a la Superintendencia de Servicios Públicos Domiciliarios - SSPD en la periodicidad y el formato que ella determine, la ejecución anual de las inversiones que se incluyan en el cálculo del Costo Medio de Inversión (CMI) de los servicios públicos domiciliarios de acueducto y alcantarillado, de que trata el presente artículo.
PARÁGRAFO 6. <Parágrafo adicionado por el artículo 5 de la Resolución 844 de 2018. El nuevo texto es el siguiente:> En el evento en que el número de suscriptores de acueducto (Ni,ac) sea distinto al número de suscriptores de alcantarillado (Ni,al), con el fin de determinar el (ASPi,al) en la fórmula de cálculo establecida en el presente artículo, se deberá multiplicar la variable agua potable suministrada de acueducto (ASaci) por la proporción entre el número de suscriptores de alcantarillado respecto al número de suscriptores de acueducto (Ni,al/Ni,ac).
PARÁGRAFO 7. <Parágrafo adicionado por el artículo 5 de la Resolución 844 de 2018. El nuevo texto es el siguiente:> Las personas prestadoras del primer segmento podrán aplicar un período de proyección mayor a 10 años para el cálculo de la variable VP(ASPi,ac,al) incluida en la Alternativa 1.
PARÁGRAFO 8. <Parágrafo adicionado por el artículo 5 de la Resolución 844 de 2018. El nuevo texto es el siguiente:> En los terrenos únicamente se reconocerá la rentabilidad sobre el valor de adquisición, actualizado en pesos de diciembre de 2016, sin incluir valorizaciones.
ARTÍCULO 21. CRITERIOS PARA LA DEFINICIÓN DE LOS ACTIVOS ACTUALES (VA). <Artículo integrado y unificado en el artículo 2.1.1.1.3.4.2 de la Resolución CRA 943 de 2021. Debe tenerse en cuenta lo dispuesto por el artículo 2.3.6.3.3.12 del Decreto 1077 de 2015> los activos actuales de los sistemas de acueducto y alcantarillado se definirán teniendo en cuenta los siguientes criterios:
- Deberán incluirse todos aquellos activos afectos a la prestación del servicio que se encuentren en uso al día anterior a la fecha de inicio de aplicación de las tarifas resultantes de la presente metodología tarifaria.
- No se tendrán en cuenta los activos aportados bajo la condición de que su valor no se incluya en el calculo de la tarifas que hayan de cobrarse a los usuarios, conforme lo estipula el articulo 87.9 de la Ley 142 de 1994 modificado por el articulo 143 de la Ley 1151 de 2007 y por el articulo 99 de la Ley 1450 de 2011. en todo caso, la persona prestadora deberá identificar dentro de los activos en uso que opera el valor de los activos aportados bajo condición.
- Se exceptúan del cálculo del VA los activos entregados por urbanizadores y constructores.
- El valor de los activos actuales de los sistemas de acueducto y alcantarillado se determinará de acuerdo con el valor registrado en los estados financieros, depreciado hasta el día anterior a la fecha de inicio de aplicación de las tarifas resultantes de la presente metodología tarifaria y ajustado por inflación a pesos de diciembre del año base, sin incluir valorizaciones.
- En el caso que no sea posible valorar los activos afectos a la prestación del servicio por medio de la información contable podrá determinarlos con una valoración técnica, teniendo en cuenta lo establecido en el ANEXO IV de la presente resolución.
- Las personas prestadoras que cuenten con una valoración de activos respecto de la cual la Comisión de Regulación de Agua Potable y Saneamiento Básico - CRA dispuso su aceptación mediante acto administrativo antes de la entrada en vigencia de la presente resolución, deberán tomarla para efectos de calcular el valor por cobrar de los activos actuales, ajustándola de la siguiente manera:
(i) Se deberá adicionar a la valoración, el valor de los activos que entraron en operación entre el año base de la valoración y el día anterior a la fecha de inicio de aplicación de las tarifas resultantes de la presente metodología tarifaria.
(ii) Se deberán restar las bajas de activos y las depreciaciones correspondientes a ese período, tanto de los activos existentes como de los activos incorporados, e indexar cada uno de los valores de los activos, de acuerdo a la fecha que corresponda, para llevar toda la valoración de activos a pesos de diciembre del año base.
- <Viñeta modificada por el artículo 6 de la Resolución 844 de 2018. El nuevo texto es el siguiente:> En los terrenos únicamente se reconocerá la rentabilidad sobre el valor de adquisición, actualizado en pesos de diciembre de 2016, sin incluir valorizaciones.
- No se podrá incluir dentro del valor de los activos actuales, activos relacionados con actividades no operativas, entendidas estas como todas aquellas que no guarden relación directa con la prestación de los servicios públicos domiciliarios de acueducto y alcantarillado.
- Solo se permitirá la inclusión del valor de los activos ambientales en los casos que determine la ley, esto es, en aquellos casos que sea responsabilidad de la persona prestadora de los servicios públicos domiciliarios de acueducto y alcantarillado y que no corresponda a la competencia de otra entidad.
ARTÍCULO 22. INVERSIONES PARA EXPANSIÓN, REPOSICIÓN Y REHABILITACIÓN DE LOS SISTEMAS DE ACUEDUCTO O ALCANTARILLADO. <Artículo integrado y unificado en el artículo 2.1.1.1.3.4.3 de la Resolución CRA 943 de 2021. Debe tenerse en cuenta lo dispuesto por el artículo 2.3.6.3.3.12 del Decreto 1077 de 2015> Las inversiones de los sistemas de acueducto o alcantarillado corresponderán a aquellas que serán realizadas por las personas prestadoras para mejorar la cobertura, calidad, continuidad y las necesarias para la reposición y rehabilitación de los sistemas. Estas deberán estar orientadas hacia alguna(s) de las dimensión(es) del servicio que a continuación se establecen y harán parte de la clasificación de activos del ANEXO II de la presente resolución:
| Dimensión del servicio | Objetivo del Proyecto | Indicador |
| Cobertura para los servicios de acueducto y de alcantarillado. | Proyectos en redes que incorporan nuevos suscriptores | Nuevos suscriptores |
| Calidad del agua para los servicios de acueducto y de alcantarillado. | Proyectos en plantas de tratamiento de agua potable o de aguas residuales que mejoran los niveles de calidad de agua | IRCA o Cumplimiento del PSMV |
| Continuidad para los servicios de acueducto y de alcantarillado. | Proyectos no incluidos en los grupos anteriores | Días sin servicio al año |
PARÁGRAFO 1. Para definir las inversiones proyectadas, las personas prestadoras deberán realizar un ejercicio de planeación identificando para cada una de ellas un objetivo claro, preciso y cuantificable en los términos de los indicadores mencionados por dimensión en el presente artículo. Las personas prestadoras deberán identificar el valor del indicador de cada una de las dimensiones a la entrada en vigencia de la presente resolución y el valor de los indicadores por dimensión en cada uno de los años del período tarifario con el fin de determinar los avances logrados con la ejecución de las inversiones realizadas.
PARÁGRAFO 2. Las personas prestadoras del servicio público domiciliario de acueducto pertenecientes al primer segmento que no cuenten con instrumentos de medición de caudal a la entrada de aplicación de la fórmula tarifaria conforme a lo definido en el ARTÍCULO 34 de la presente resolución, deberán incluir dentro de sus inversiones los costos asociados a la adquisición de instrumentos de medición de caudal a la salida de las plantas de tratamiento o a la salida de los tanques de almacenamiento, de conformidad con lo establecido en el artículo 73 de la Resolución 0330 del 8 de junio de 2017 del Ministerio de Vivienda, Ciudad y Territorio, en lo relacionado con la micromedición. Lo anterior sin perjuicio de las acciones de control y vigilancia ejercidas por la Superintendencia de Servicios Públicos Domiciliarios - SSPD.
PARÁGRAFO 3. Solo podrán incluirse las inversiones que estén dirigidas a la reducción de pérdidas técnicas.
PARÁGRAFO 4. En el caso de las inversiones ambientales solo se permitirá la inclusión de aquellas que determine la ley, esto es, las que sea responsabilidad de la persona prestadora de los servicios públicos domiciliarios de acueducto y alcantarillado y que no corresponda a la competencia de otra entidad. De igual forma, se permitirá la recuperación de las inversiones que sean responsabilidad de la persona prestadora por decisiones o mandatos de las autoridades judiciales. En todo caso, deberá quedar a disposición de la Superintendencia de Servicios Públicos Domiciliarios - SSPD el acto administrativo con el que la autoridad competente ordenó dichas inversiones.
ARTÍCULO 23. APORTES BAJO CONDICIÓN. <Artículo integrado y unificado en el artículo 2.1.1.1.3.4.4 de la Resolución CRA 943 de 2021. Debe tenerse en cuenta lo dispuesto por el artículo 2.3.6.3.3.12 del Decreto 1077 de 2015> Si durante el período tarifario las personas prestadoras reciben aportes bajo condición de los que trata el artículo 87.9 de la Ley 142 de 1994, modificado por el artículo 99 de la Ley 1450 de 2011 que reemplace un proyecto incluido en el plan de inversiones con el que cálculo el Costo Medio de Inversión de los servicios públicos domiciliarlos de acueducto y alcantarillado (CMIac,al), deberán sustituir dicha inversión por otra del mismo valor, teniendo en cuenta lo definido en el artículo 11 de la Resolución 0330 del 8 de junio de 2017 del Ministerio de Vivienda, Ciudad y Territorio.
En el caso de las personas prestadoras que les sea imposible reemplazar dicha inversión podrán descontar el valor total o parte del aporte, para lo cual deberán recalcular el Costo Medio de Inversión (CMIac,al), según la alternativa seleccionada. En este evento deberán devolver a los suscriptores los valores recaudados correspondientes al activo o porción de éste que no fue posible reemplazar, sin perjuicio de las acciones de vigilancia y control a que haya lugar por parte de la Superintendencia de Servicios Públicos Domiciliarios - SSPD.
PARÁGRAFO. Una vez aportado el activo y optado por alguna de las opciones anteriores, las personas prestadoras deberán informar dicha situación a la Superintendencia de Servicios Públicos Domiciliarios - SSPD y a la Comisión de Regulación de Agua Potable y Saneamiento Básico - CRA.
CÁLCULO DE LOS COSTOS ECONÓMICOS DE REFERENCIA PARA LAS PERSONAS PRESTADORAS DEL SEGUNDO SEGMENTO.
DE LAS METAS PARA LOS ESTÁNDARES DEL SERVICIO PARA LAS PERSONAS PRESTADORAS DEL SEGUNDO SEGMENTO.
ARTÍCULO 24. DETERMINACIÓN DE LAS METAS PARA LOS ESTÁNDARES DEL SERVICIO PARA LAS PERSONAS PRESTADORAS DEL SEGUNDO SEGMENTO. <Artículo integrado y unificado en el artículo 2.1.1.1.4.1.1 de la Resolución CRA 943 de 2021. Debe tenerse en cuenta lo dispuesto por el artículo 2.3.6.3.3.12 del Decreto 1077 de 2015> Las personas prestadoras del segundo segmento deberán establecer metas anuales para cumplir con los siguientes estándares:
| Nombre del Estándar | Estándar | Indicador | Meta |
| Micromedicion | 100% | Donde: Nac: Número de suscriptores facturados promedio en el año base para el servicio público de acueducto, corresponde al promedio de los doce meses del año base en el caso de facturación mensual, y al promedio de los seis bimestres del año base, en el caso de facturación bimestral. | El 70% de meta debe lograrse en el quinto (5°) año, y para el séptimo (7°) año debe ser el 100% |
| Nombre del Estándar | Estándar | Indicador | Meta |
| Continuidad para el servicio público de acueducto | Máximo 10 días sin servicio al año (97,26% de continuidad anual). | Donde: ICe: Índice de Continuidad en el año i (%). Tiempo en horas de afectación i: Corresponde al producto entre la sumatoria de las horas de afectación en el APS en días al año i por los suscriptores afectados en dicho año. Esto aplica para cualquier tipo de suspensión al usuario, incluyendo las suspensiones programadas, mantenimientos preventivos y fallas en el servicio. N- 1 *i,ac- Número de suscriptores promedio mensual facturados del año i para el servicio público domiciliario de acueducto. En el caso de facturación mensual, corresponde al promedio de los doce meses del año i. En el caso de facturación bimestral, corresponde al promedio de los seis bimestres del año i. | Para el quinto (5°) año deberán reducir el 35% de la diferencia entre la continuidad del prestador en la entrada en vigencia de la presente resolución y el valor del estándar. |
PARÁGRAFO 1. Para la determinación de las metas anuales, las personas prestadoras deberán identificar su situación en el año base definido en el ARTÍCULO 7o de la presente resolución y proyectar las metas a las que se compromete en cada uno de los años de vigencia de la fórmula tarifaria establecida en el ARTÍCULO 34 de la presente resolución hasta alcanzar la meta para cada estándar. En todo caso, las metas proyectadas no podrán ser inferiores a las existentes en el año base.
PARÁGRAFO 2. Las personas prestadoras del segundo segmento deberán cumplir con un valor del IRCA <=5% desde la entrada en vigencia de la presente resolución.
PARÁGRAFO 3. Las personas prestadoras del servicio público domiciliario de acueducto que a la entrada en vigencia de la presente resolución no cuenten con un nivel de micromedición del 100%, podrán realizar la medición de los consumos, de los suscriptores sin micromedición, mediante procedimientos alternativos y los consumos podrán ser estimados, mientras llegan a la meta establecida para dicho estándar.
PARÁGRAFO 4. Una vez finalizado el segundo año de aplicación de la fórmula tarifaria conforme a lo definido en el ARTÍCULO 34 de la presente resolución, las personas prestadoras del segundo segmento que no cuenten con instrumentos de medición de caudal a la salida de las plantas de tratamiento o a la salida de los tanques de almacenamiento, de conformidad con lo establecido en el artículo 73 de la Resolución 330 del 8 de junio de 2017 del Ministerio de Vivienda, Ciudad y Territorio o la que la modifique, adicione, sustituya o derogue, solo podrán cobrar el 60% del Costo Medio de Operación General del servicio público domiciliario de acueducto (CMOGac), hasta tanto cumplan con dicha obligación. Lo anterior sin perjuicio de las acciones de control y vigilancia ejercidas por la Superintendencia de Servicios Públicos Domiciliarios - SSPD.
PARÁGRAFO 5. Los planes y el cumplimiento de las metas señaladas en el presente artículo deberán ser reportados por las personas prestadoras en la forma Indicada por la Superintendencia de Servicios Públicos Domiciliarlos - SSPD, a través del Sistema Único de Información - SUI o el mecanismo definido por esa entidad.
PARÁGRAFO 6. Las metas del servicio proyectadas por las personas prestadoras deberán incluirse como parte del Contrato de Condiciones Uniformes.
DEL COSTO MEDIO DE ADMINISTRACIÓN PARA LAS PERSONAS PRESTADORAS DEL SEGUNDO SEGMENTO.
ARTÍCULO 25. COSTO MEDIO DE ADMINISTRACIÓN PARA LAS PERSONAS PRESTADORAS DEL SEGUNDO SEGMENTO (CMAac,al). <Artículo integrado y unificado en el artículo 2.1.1.1.4.2.1 de la Resolución CRA 943 de 2021. Debe tenerse en cuenta lo dispuesto por el artículo 2.3.6.3.3.12 del Decreto 1077 de 2015> <Artículo modificado por el artículo 7 de la Resolución 844 de 2018. El nuevo texto es el siguiente:> Las personas prestadoras del segundo segmento podrán calcular el CMA utilizando la fórmula establecida en el Capítulo II del Título III de la presente resolución o fijando un valor que se encuentre dentro del siguiente rango:
Costo Medio de Administración para las personas prestadoras del segundo segmento
(pesos de diciembre de 2016)
| Servicio público domiciliario | Valor mínimo ($/suscriptor/mes) | Valor máximo ($/suscriptor/mes) |
| Acueducto | $6.655 suscriptor/mes | $10.206 suscriptor/mes |
| Alcantarillado | $3.400 suscriptor/mes | $5.260 suscriptor/mes |
PARÁGRAFO. Para efectos de fijar el valor que se encuentre dentro del rango establecido en el presente artículo, se podrá emplear la información y soportes que la persona prestadora considere pertinentes.
DEL COSTO MEDIO DE OPERACIÓN PARA LAS PERSONAS PRESTADORAS DEL SEGUNDO SEGMENTO.
ARTÍCULO 26. COSTO MEDIO DE OPERACIÓN PARA LAS PERSONAS PRESTADORAS DEL SEGUNDO SEGMENTO (CMOac,al). <Artículo integrado y unificado en el artículo 2.1.1.1.4.3.1 de la Resolución CRA 943 de 2021. Debe tenerse en cuenta lo dispuesto por el artículo 2.3.6.3.3.12 del Decreto 1077 de 2015> El Costo Medio de Operación de los servicios públicos domiciliarios de acueducto y alcantarillado para las personas prestadoras del segundo segmento, será calculado con base en la siguiente fórmula:
![]()
Donde:
| CMOac,ai: | Costo Medio de Operación para cada uno de los servicios públicos domiciliarios de acueducto y alcantarillado (expresado en pesos de diciembre del año 2016 por metro cúbico). |
| CMOGac,al: | Costo Medio de Operación General para cada uno de los servicios públicos domiciliarios de acueducto y alcantarillado (expresado en pesos de diciembre del año 2016 por metro cúbico), según lo definido en el ARTÍCULO 27 de la presente resolución. |
| CMOPac,al: | Costo Medio de Operación Particular para cada uno de los servicios públicos domiciliarios de acueducto y alcantarillado (expresado en pesos de diciembre del año 2016 por metro cúbico), según lo definido en el ARTÍCULO 28 de la presente resolución. |
ARTÍCULO 27. COSTO MEDIO DE OPERACIÓN GENERAL PARA LAS PERSONAS PRESTADORAS DEL SEGUNDO SEGMENTO (CMOGac,al). <Artículo integrado y unificado en el artículo 2.1.1.1.4.3.2 de la Resolución CRA 943 de 2021. Debe tenerse en cuenta lo dispuesto por el artículo 2.3.6.3.3.12 del Decreto 1077 de 2015> <Artículo modificado por el artículo 8 de la Resolución 844 de 2018. El nuevo texto es el siguiente:>
Las personas prestadoras del segundo segmento podrán calcular el CMOG utilizando la fórmula establecida en el Capítulo III del Título III de la presente resolución o fijando un valor que se encuentre dentro del siguiente rango:

PARÁGRAFO. Para efectos de fijar el valor que se encuentre dentro del rango establecido en el presente artículo, se podrá emplear la información y soportes que la persona prestadora considere pertinentes.
ARTÍCULO 28. COSTO MEDIO DE OPERACIÓN PARTICULAR PARA LAS PERSONAS PRESTADORAS DEL SEGUNDO SEGMENTO (CMOPac,al). <Artículo integrado y unificado en el artículo 2.1.1.1.4.3.3 de la Resolución CRA 943 de 2021. Debe tenerse en cuenta lo dispuesto por el artículo 2.3.6.3.3.12 del Decreto 1077 de 2015> <Artículo modificado por el artículo 9 de la Resolución 844 de 2018. El nuevo texto es el siguiente:> El Costo Medio de Operación Particular para las personas prestadoras pertenecientes al segundo segmento será calculado con base en la siguiente fórmula

Donde:
CMOPac,al: Costo Medio de Operación Particular para cada uno de los servicios públicos domiciliarios de acueducto y alcantarillado (expresado en pesos de diciembre del año 2016 por metro cúbico).
COPac: Costos Operativos Particulares del año base para el servicio público domiciliario de acueducto. Las personas prestadoras del segundo segmento tendrán en cuenta para su cálculo los siguientes criterios:
- Costos de energía operativos.
- Costos para potabilización relacionados con costos de insumos químicos, servicios personales y otros costos de operación y mantenimiento.
- Costos de contratos de interconexión y suministro de agua potable.
COPal: Costos Operativos Particulares del año base para el servicio público domiciliario de alcantarillado, las personas prestadoras del segundo segmento tendrán en cuenta para su cálculo los siguientes criterios:
- Costos de energía operativa.
- Costos de tratamiento de aguas residuales relacionados con costos de energía, insumos químicos, servicios personales y otros costos de operación y mantenimiento.
Costos de contratos de interconexión.
1,0281: Tasa de capital de trabajo anual.
fc: Factor de indexación de costos en pesos de diciembre del año 2016, según lo establecido en el ARTÍCULO 7 de la presente resolución.
VFAac,al: Volumen Facturado del Año base para cada uno de los servicios públicos domiciliarios de acueducto y alcantarillado expresado en metros cúbicos. El volumen facturado para el servicio público domiciliario de alcantarillado corresponderá al volumen facturado del servicio público domiciliario de acueducto más el estimativo de la disposición de aguas residuales de aquellos usuarios que posean fuentes alternas o adicionales de abastecimiento de agua que viertan al alcantarillado.
PARÁGRAFO 1. Los Costos Operativos Particulares del año base para cada uno de los servicios públicos domiciliarios (COPac,al), que se incluyan en cada uno de los criterios detallados en el presente artículo, deberán estar soportados por:
i) Estados financieros para el año base, independientemente de la forma como la persona prestadora lleve sus registros, ya sea siguiendo los parámetros de las Normas de Información Financiera (NIF), en cumplimiento de lo establecido en la Ley 1314 de 2009, “por la cual se regulan los principios y normas de contabilidad e información financiera y de aseguramiento de información aceptados en Colombia, se señalan las autoridades competentes, el procedimiento para su expedición y se determinan las entidades responsables de vigilar su cumplimiento”, y sus decretos reglamentarios, o con el Plan Único de Cuentas (PUC), según aplique o,
ii) Valor de las facturas que soporten dichos costos en el año base.
PARÁGRAFO 2. Las personas prestadoras del segundo segmento que tengan menos de un (1) año de operación a la entrada en vigencia de la presente resolución, o no cuenten con la información del año base de acuerdo con lo establecido en el artículo 7 de la presente resolución, para estimar el valor del Costo Medio de Operación Particular (CMOP) podrán proyectar los costos con los soportes que consideren pertinentes.
Los soportes de dichos costos deberán quedar a disposición de las entidades de vigilancia y control que las requieran, en ejercicio de sus funciones. Una vez cumpla un (1) año fiscal en operación, deberán calcular el Costo Medio de Operación Particular (CMOP) con dicha información y aplicarlo directamente. Para tal efecto, las personas prestadoras deberán cumplir con lo previsto en la Sección 5.1.1 de la Resolución CRA 151 de 2001, o la norma que la modifique, adicione, sustituya o derogue para el reporte de las variaciones tarifarias.
PARÁGRAFO 3. <Ver modificaciones temporales en Notas de Vigencia> Cuando por la entrada en operación de un nuevo activo se generen Costos Operativos Particulares (COPac,al) no considerados en el cálculo de las tarifas, tales costos podrán ser incluidos de manera directa por el prestador, sin adelantar actuación administrativa alguna ante la Comisión de Regulación de Agua Potable y Saneamiento Básico (CRA). Para tal efecto, las personas prestadoras deberán cumplir con las disposiciones contenidas en la Sección 5.1.1 de la Resolución CRA 151 de 2001, o la norma que la modifique, adicione, sustituya o derogue para el reporte de las variaciones tarifarias.
PARÁGRAFO 4. <Ver modificaciones temporales en Notas de Vigencia> Cada vez que en un período de doce (12) meses continuos, a partir de la aplicación de las tarifas derivadas de la presente resolución, se acumule un aumento o una disminución del 5% o más en pesos constantes en los costos operativos particulares podrán ser ajustados por las personas prestadoras. Lo anterior, sin perjuicio del cumplimiento de las disposiciones contenidas en la Sección 5.1.1 de la Resolución CRA 151 de 2001 o la norma que la modifique, adicione o derogue en relación con el reporte de las variaciones tarifarias.
DEL COSTO MEDIO DE INVERSIÓN PARA LAS PERSONAS PRESTADORAS DEL SEGUNDO SEGMENTO.
ARTÍCULO 29. COSTO MEDIO DE INVERSIÓN PARA LAS PERSONAS PRESTADORAS DEL SEGUNDO SEGMENTO (CMIac,al). <Artículo integrado y unificado en el artículo 2.1.1.1.4.4.1 de la Resolución CRA 943 de 2021. Debe tenerse en cuenta lo dispuesto por el artículo 2.3.6.3.3.12 del Decreto 1077 de 2015> <Artículo modificado por el artículo 1 de la Resolución 834 de 2018. El nuevo texto es el siguiente:> Las personas prestadoras del segundo segmento que decidan calcular el CMI podrán utilizar la fórmula establecida para el primer segmento en el artículo 20 de la presente resolución o podrán aplicar la siguiente fórmula:

Donde:
| (CMIac,al): | Costo Medio de Inversión para cada uno de los servicios públicos domiciliarios de acueducto y alcantarillado expresado en pesos de diciembre del año 2016 por metro cúbico. |
| (CIi,ac,al): | Valor de las inversiones que identifica las personas prestadoras para un período de cinco (5) años encaminadas a mejorar la cobertura, calidad, continuidad y las necesarias para la reposición y rehabilitación de los sistemas. |
| 5,7037: | Factor de anualidad promedio de los activos. |
| VFAac,al: | Volumen Facturado del Año base para cada uno de los servicios públicos domiciliarios de acueducto y alcantarillado expresado en metros cúbicos. El volumen facturado para el servicio público domiciliario de alcantarillado corresponderá al volumen facturado del servicio público domiciliario de acueducto más el estimativo de la disposición de aguas residuales de aquellos usuarios que posean fuentes alternas o adicionales de abastecimiento de agua que viertan al alcantarillado. |
| i: | Cada uno de los cinco (5) años contados a partir de entrada en vigencia de la fórmula tarifaria, establecida en la presente resolución en el artículo 34 de la presente resolución. |
PARÁGRAFO 1. En todo caso las personas prestadoras del segundo segmento deberán reportar a la Superintendencia de Servicios Públicos Domiciliarios (SSPD) en la periodicidad y el formato que ella determine, la ejecución anual de las inversiones que se incluyan en el cálculo del Costo Medio de Inversión de los servicios públicos domiciliarios de acueducto y alcantarillado definido en el presente artículo.
PARÁGRAFO 2. Las personas prestadoras del servicio público domiciliario de acueducto pertenecientes al segundo segmento que no cuenten con instrumentos de medición de caudal a la entrada de aplicación de la fórmula tarifaria conforme a lo definido en el artículo 35 de la presente resolución, deberán incluir dentro de sus inversiones los costos asociados a la adquisición de instrumentos de medición de caudal a la salida de las plantas de tratamiento o a la salida de los tanques de almacenamiento, de conformidad con lo establecido en el artículo 73 de la Resolución 0330 del 8 de junio de 2017 del Ministerio de Vivienda, Ciudad y Territorio, en lo relacionado con la macromedición. Lo anterior sin perjuicio de las acciones de control y vigilancia ejercidas por la Superintendencia de Servicios Públicos Domiciliarios (SSPD”).
PARÁGRAFO 3. <Parágrafo adicionado por el artículo 10 de la Resolución 844 de 2018. El nuevo texto es el siguiente:> Si durante el período tarifario las personas prestadoras del segundo segmento reciben aportes bajo condición de los que trata el artículo 87.9 de la Ley 142 de 1994, modificado por el artículo 99 de la Ley 1450 de 2011 que reemplace un proyecto incluido en el plan de inversiones con el que calculó el Costo Medio de Inversión de los servicios públicos domiciliarios de acueducto y alcantarillado (CMIac,al), deberán sustituir dicha inversión por otra del mismo valor, teniendo en cuenta lo definido en el artículo 11 de la Resolución 0330 del 8 de junio de 2017 del Ministerio de Vivienda, Ciudad y Territorio, o la que la adicione, modifique o sustituya.
En el caso de las personas prestadoras que les sea imposible reemplazar dicha inversión podrán descontar el valor total o parte del aporte, para lo cual deberán recalcular el Costo Medio de Inversión (CMIac,al). En este evento deberán devolver a los suscriptores los valores recaudados correspondientes al activo o porción de este que no fue posible reemplazar, sin perjuicio de las acciones de vigilancia y control a que haya lugar por parte de la Superintendencia de Servicios Públicos Domiciliarios (SSPD).
Una vez aportado el activo y optado por alguna de las opciones anteriores, las personas prestadoras deberán informar dicha situación a la Superintendencia de Servicios Públicos Domiciliarios (SSPD) y a la Comisión de Regulación de Agua Potable y Saneamiento Básico (CRA).
PARÁGRAFO 4. <Parágrafo adicionado por el artículo 10 de la Resolución 844 de 2018. El nuevo texto es el siguiente:> En los terrenos únicamente se reconocerá la rentabilidad sobre el valor de adquisición, actualizado en pesos de diciembre de 2016, sin incluir valorizaciones.
DEL COSTO MEDIO GENERADO POR TASAS AMBIENTALES PARA LAS PERSONAS PRESTADORAS PERTENECIENTES AL PRIMER Y SEGUNDO SEGMENTO.
ARTÍCULO 30. COSTO MEDIO GENERADO POR TASAS DE USO PARA ACUEDUCTO (CMTac). <Artículo integrado y unificado en el artículo 2.1.1.1.4.5.1 de la Resolución CRA 943 de 2021. Debe tenerse en cuenta lo dispuesto por el artículo 2.3.6.3.3.12 del Decreto 1077 de 2015> El Costo Medio Generado por Tasas Ambientales para el servicio público domiciliario de acueducto en cada una de las APS que atiendan las personas prestadoras, se define con referencia a la tasa por utilización del agua establecida por la autoridad ambiental, o aquella que la modifique, adicione, sustituya o derogue con la siguiente fórmula:
![]()
Donde;
| CMTi,ac: | Costo Medio Generado por Tasas de Uso en el período i, para el servicio público domiciliario de acueducto, expresado en pesos por metro cúbico. |
| MPi,tac: | Monto a pagar en el período i, por tasas de uso para el servicio público domiciliario de acueducto de acuerdo con la normativa vigente. No se podrá incluir en las tarifas el cobro de más de una vigencia. |
| VFi,ac: | Volumen Facturado en el período i, del servicio público domiciliario de acueducto, expresado en metros cúbicos. |
| i: | Período de facturación de tasas ambientales correspondiente a la última vigencia cobrada por la autoridad ambiental. |
PARÁGRAFO 1. En caso que la persona prestadora utilice varias fuentes de abastecimiento (k), en virtud de concesiones otorgadas para prestar el servicio público domiciliario de acueducto, el MPi>tac corresponderá a la suma del valor a pagar por tasas de uso de cada una de las fuentes, de acuerdo con la siguiente expresión:

PARÁGRAFO 2. <Ver modificaciones temporales en Notas de Vigencia> Las personas prestadoras cuando presenten variaciones en el Costo Medio Generado por Tasas de Uso para acueducto (CMTac), generadas por cambios en los valores de las tasas por utilización de agua, deberán recalcular el valor de dicho costo y aplicarlas directamente. En todo caso, las personas prestadoras deberán cumplir con lo previsto en la Sección 5.1.1 de la Resolución CRA 151 de 2001, o la norma que la modifique, adicione, sustituya o derogue para el reporte de las variaciones tarifarias.
PARÁGRAFO 3. El valor del MPi,tac corresponderá al valor de la última vigencia cobrada por la autoridad ambiental. No se podrá incluir en las tarifas el cobro de más de una vigencia.
ARTÍCULO 31. COSTO MEDIO GENERADO POR TASAS RETRIBUTIVAS PARA ALCANTARILLADO (CMTal). <Artículo integrado y unificado en el artículo 2.1.1.1.4.5.2 de la Resolución CRA 943 de 2021. Debe tenerse en cuenta lo dispuesto por el artículo 2.3.6.3.3.12 del Decreto 1077 de 2015> El Costo Medio Generado por Tasas Ambientales para el servicio público domiciliario de alcantarillado en cada una de las APS que atiende la persona prestadora, se define con referencia a la tasa retributiva por la utilización directa o indirecta del agua como receptor de vertimientos puntuales, o aquella que la modifique, adicione, sustituya o derogue, y se determinará por separado para los suscriptores con caracterización de los vertimientos con base en la siguiente fórmula:

Donde;
| CMTv,ai,cj: | Costo Medio Generado por Tasas Retributivas para el servicio público domiciliario de alcantarillado para cada suscriptor con caracterización de vertimientos, expresado en pesos por metro cúbico. |
| MPv,cj: | Monto total a pagar establecido conforme al Decreto 2667 de 2012 o el que lo modifique, adicione, sustituya o derogue, para el suscriptor j con caracterización, correspondiente a la última actualización base de la declaración de la tasa.![]() Tmi: Tarifa mínima del parámetro i al momento de la presentación del estudio Fri. Factor regional del parámetro i. Para el cálculo del costo medio siempre será 1, que es el valor aplicable si la persona prestadora cumple la meta de carga contaminante establecida por la autoridad ambiental. Cij: carga contaminante del parámetro i vertido para el suscriptor j con caracterización. |
VFAv,cj: | Corresponde a los metros cúbicos (m3) facturados por la persona prestadora a los suscriptores del servicio público domiciliario de alcantarillado, para el suscriptor j con caracterización. El volumen facturado para el servicio público domiciliario de alcantarillado corresponderá al volumen facturado del servicio de acueducto más el estimativo de la disposición de aguas residuales de aquellos usuarios que posean fuentes alternas o adicionales de abastecimiento de agua que viertan al alcantarillado. |
| v: | Período de facturación de tasas ambientales correspondiente a la última vigencia cobrada por la autoridad ambiental. |
PARÁGRAFO 1. En aquellos casos en que no exista caracterización, se utilizará la información de cargas presuntivas y se aplicará la siguiente fórmula:

Donde:
| CMTv,al,sc: | Costo Medio Generado por Tasas Retributivas para el servicio público domiciliario de alcantarillado para los suscriptores sin caracterización de vertimientos, expresado en pesos por metro cúbico. |
| VFAv,sc | Corresponde a los metros cúbicos (m3) facturados por la persona prestadora por el servicio público domiciliario de alcantarillado, a los suscriptores sin caracterización. El volumen facturado para el servicio público domiciliario de alcantarillado corresponderá al volumen facturado del servicio de acueducto más el estimativo de la disposición de aguas residuales de aquellos usuarios que posean fuentes alternas o adicionales de abastecimiento de agua que viertan al alcantarillado. |
| MPV,SC: | Monto total a pagar establecido de conformidad con el Decreto 2667 de 2012 o el que lo modifique, adicione, sustituya o derogue, para los suscriptores sin caracterización, correspondiente a de la última vigencia cobrada por la autoridad ambiental.![]() Tmi. Tarifa mínima del parámetro i al momento de la presentación del estudio. Fri. Factor regional del parámetro i. Para el cálculo del costo medio siempre será 1, que es el valor aplicable si la persona prestadora cumple la meta global de carga contaminante establecida por la autoridad ambiental. Ci. Carga contaminante del parámetro i vertido para los suscriptores sin caracterización. n: Total de parámetros sujetos de cobro. |
| v: | Período de facturación de tasas ambientales correspondiente a la última vigencia cobrada por la autoridad ambiental. |
PARÁGRAFO 2. <Ver modificaciones temporales en Notas de Vigencia> Las personas prestadoras cuando presenten variaciones en el Costo Medio Generado por Tasas Retributivas para alcantarillado (CMTal), generadas por cambios en los valores de las tarifas mínimas o de la carga contaminante de los parámetros, deberán recalcular el valor de dicho costo y aplicarlas directamente. En todo caso, las personas prestadoras deberán cumplir con lo previsto en la Sección 5.1.1 de la Resolución CRA 151 de 2001, o la norma que la modifique, adicione, sustituya o derogue para el reporte de las variaciones tarifarias.
DE LOS COSTOS MEDIOS POR INVERSIONES AMBIENTALES ADICIONALES PARA LA PROTECCIÓN DE CUENCAS Y FUENTES DE AGUA PARA LAS PERSONAS PRESTADORAS PERTENECIENTES AL PRIMER Y SEGUNDO SEGMENTO.
ARTÍCULO 31.A. PERIODO DE APLICACIÓN DE LAS INVERSIONES AMBIENTALES ADICIONALES PARA LA PROTECCIÓN DE CUENCAS Y FUENTES DE AGUA. <Artículo integrado y unificado en el artículo 2.1.1.1.4.6.1 de la Resolución CRA 943 de 2021. Debe tenerse en cuenta lo dispuesto por el artículo 2.3.6.3.3.12 del Decreto 1077 de 2015> <Artículo modificado por el artículo 7 de la Resolución 923 de 2020. El nuevo texto es el siguiente:> Las personas prestadoras que decidan aplicar las inversiones ambientales adicionales para la protección de cuencas y fuentes de agua, deberán incluir en la tarifa del servicio público domiciliario de acueducto el costo al que hace referencia el presente Título, desde el primero (1) de julio de 2021 (año tarifario i=4).
Para los años tarifarios posteriores, la inclusión en tarifa de los costos a los que hace referencia el presente Título deberá hacerse, por una sola vez al año, desde el primero (1) de julio de cada año tarifario i.
PARÁGRAFO 1o. En todo caso las personas prestadoras deberán dar cumplimiento de las disposiciones contenidas en la Sección 5.1.1 de la Resolución CRA 151 de 2001, o la norma que la adicione, modifique o derogue.
PARÁGRAFO 2o. Para expresar los costos registrados en los estados financieros, en precios del año base, se deberá multiplicar los costos por el factor correspondiente a la relación del IPC de diciembre del año base y el IPC de junio del año i
ARTÍCULO 31.B. COSTO MEDIO DE ADMINISTRACIÓN POR INVERSIONES AMBIENTALES ADICIONALES PARA LA PROTECCIÓN DE CUENCAS Y FUENTES DE AGUA PARA EL AÑO i.
<Artículo integrado y unificado en el artículo 2.1.1.1.4.6.2 de la Resolución CRA 943 de 2021. Debe tenerse en cuenta lo dispuesto por el artículo 2.3.6.3.3.12 del Decreto 1077 de 2015> <Artículo adicionado por el artículo 15 de la Resolución 907 de 2019. El nuevo texto es el siguiente:> El costo medio de administración por inversiones ambientales adicionales para la protección de cuencas y fuentes de agua, para el año i, se calcula e incluye en la tarifa del servicio público domiciliario de acueducto con la siguiente fórmula:
![]()
Donde:
Costo medio de administración por inversiones ambientales adicionales para la protección de cuencas y fuentes de agua para el año i del servicio público domiciliario de acueducto, expresado en pesos de diciembre del año base ($/suscriptor/mes).
Costos de administración por inversiones ambientales adicionales para la protección de cuencas y fuentes de agua para el servicio público domiciliario de acueducto causados en el año i-1.
Número de suscriptores promedio mensual facturados del año base para cada uno de los servicios públicos domiciliarios. En el caso de facturación mensual, corresponde al promedio de los doce meses del año base. En el caso de facturación bimestral, corresponde al promedio de los seis bimestres del año base.
Año tarifario de conformidad con lo establecido en el artículo 31.A de la presente resolución.
PARÁGRAFO 1o. El
incluirá los gastos de comercialización relacionados con los ajustes del software de facturación para la implementación de las inversiones ambientales adicionales, así como los gastos relacionados con peticiones, quejas y recursos, capacitación y socialización.
PARÁGRAFO 2o. <Parágrafo modificado por el artículo 8 de la Resolución 923 de 2020. El nuevo texto es el siguiente:> Para calcular el CAPi-1,ac para el primer año tarifario de aplicación (i=4), las personas prestadoras del servicio público domiciliario de acueducto, incluirán los costos de administración por inversiones ambientales adicionales para la protección de cuencas y fuentes de agua del tercer (3) año tarifario (i=3), a partir del primero (1) de enero de 2021.
Para los años tarifarios posteriores, deberá calcular e incluir en la tarifa del servicio público domiciliario de acueducto el valor del CAPi-1,ac, con la información del año i-1.
PARÁGRAFO 3o. En ningún caso deberán incluirse en el
costos ya reconocidos en el CMA, CMO, CMI establecidos en el TÍTULO III y IV de la presente resolución.
PARÁGRAFO 4o. Los soportes de los costos de administración por inversiones ambientales adicionales para la protección de cuencas y fuentes de agua, deberán estar a disposición de la Superintendencia de Servicios Públicos Domiciliarios (SSPD) y ser reportados en el Sistema Único de Información-SUI, en las condiciones y plazos que defina dicha entidad.
ARTÍCULO 31.C. COSTO MEDIO VARIABLE POR INVERSIONES AMBIENTALES ADICIONALES PARA LA PROTECCIÓN DE CUENCAS Y FUENTES DE AGUA PARA EL AÑO I.
<Artículo integrado y unificado en el artículo 2.1.1.1.4.6.3 de la Resolución CRA 943 de 2021. Debe tenerse en cuenta lo dispuesto por el artículo 2.3.6.3.3.12 del Decreto 1077 de 2015> <Artículo adicionado por el artículo 15 de la Resolución 907 de 2019. El nuevo texto es el siguiente:> El costo medio variable por inversiones ambientales adicionales para la protección de cuencas y fuentes de aguapara el año i, se calcula e incluye en la tarifa del servicio público domiciliario de acueducto con la siguiente fórmula:
![]()
Costo medio variable por inversiones ambientales adicionales para la protección de cuencas y fuentes de agua para el año i, expresado en pesos de diciembre del año base/m3, para el servicio público domiciliario de acueducto.
Costo medio de operación por inversiones ambientales adicionales para la protección de cuencas y fuentes de agua para el año i, expresado en pesos de diciembre del año base/m3, para el servicio público domiciliario de acueducto.
Costo medio de inversión por inversiones ambientales adicionales para la protección de cuencas y fuentes de agua para el año i, expresado en pesos de diciembre del año base/m3, para el servicio público domiciliario de acueducto.
PARÁGRAFO. En ningún caso deberán incluirse en el
costos ya reconocidos en el CMA, CMO y CMI establecidos en los TÍTULOS III y IV de la presente resolución.
ARTÍCULO 31.D. COSTO MEDIO DE OPERACIÓN POR INVERSIONES AMBIENTALES ADICIONALES PARA LA PROTECCIÓN DE CUENCAS Y FUENTES DE AGUA PARA EL AÑO I.
<Artículo integrado y unificado en el artículo 2.1.1.1.4.6.4 de la Resolución CRA 943 de 2021. Debe tenerse en cuenta lo dispuesto por el artículo 2.3.6.3.3.12 del Decreto 1077 de 2015> <Artículo adicionado por el artículo 15 de la Resolución 907 de 2019. El nuevo texto es el siguiente:> El costo medio de operación por inversiones ambientales adicionales para la protección de cuencas y fuentes de agua, para el año i, se calcula e incluye en la tarifa del servicio público domiciliario de acueducto con la siguiente fórmula:
![]()
Costo medio de operación por inversiones ambientales adicionales para la protección de cuencas y fuentes de agua para el año i, expresado en pesos de diciembre del año base/m3, para el servicio público domiciliario de acueducto.
Costos operativos por inversiones ambientales adicionales para la protección de cuencas y fuentes de agua para el año i-1, relacionados con servicios personales, agroinsumos, mantenimiento de equipos y herramientas, honorarios, servicios públicos, órdenes y contratos por servicios, estudios y pago por servicios ambientales de regulación y calidad hídrica, para el servicio público domiciliario de acueducto.
1,0281: Tasa de capital de trabajo.
Agua potable suministrada corregida por pérdidas eficientes en el año base, la cual se estima con la siguiente fórmula:
![]()
Donde:
Agua potable suministrada en el año base (m3/año). Se calcula como:
![]()
Donde:
Agua producida en el año base (m3/año).
Volumen recibido por contratos de suministro de agua potable e interconexión en el año base (m3/año).
Volumen entregado por contratos de suministro de agua potable e interconexión en el año base (m3/año).
Número de suscriptores promedio mensual facturados del año base para el servicio público domiciliario de acueducto. En el caso de facturación mensual, corresponde al promedio de los doce meses del año base. En el caso de facturación bimestral, corresponde al promedio de los seis bimestres del año base.
12: Corresponde al número de meses en un año.
Índice de pérdidas por suscriptor facturado estándar, que corresponde a seis (6) m3/suscriptor/mes.
PARÁGRAFO 1o. <Parágrafo modificado por el artículo 9 de la Resolución 923 de 2020. El nuevo texto es el siguiente:> Para calcular el COAi-1,ac para el primer año tarifario de aplicación (i=4), las personas prestadoras del servicio público domiciliario de acueducto, incluirán los costos operativos por inversiones ambientales adicionales para la protección de cuencas y fuentes de agua del tercer (3) año tarifario (i=3), a partir del primero (1) de enero de 2021.
Para los años tarifarios posteriores, deberá calcular e incluir en la tarifa del servicio público domiciliario de acueducto el valor del COAi-1,ac con la información del año i-1.
PARÁGRAFO 2o. En ningún caso deberán incluirse en el
costos ya reconocidos en el CMA, CMO, CMI establecidos en los TÍTULOS III y IV de la presente resolución.
PARÁGRAFO 3o. Los soportes de los costos operativos por inversiones ambientales adicionales para la protección de cuencas y fuentes de agua deberán estar a disposición de la Superintendencia de Servicios Públicos Domiciliarios - SSPD y ser reportados en el Sistema Único de Información-SUI, en las condiciones y plazos que defina dicha entidad.
ARTÍCULO 31.E. COSTO MEDIO DE INVERSIÓN POR INVERSIONES AMBIENTALES ADICIONALES PARA LA PROTECCIÓN DE CUENCAS Y FUENTES DE AGUA PARA EL AÑO i.
<Artículo integrado y unificado en el artículo 2.1.1.1.4.6.5 de la Resolución CRA 943 de 2021. Debe tenerse en cuenta lo dispuesto por el artículo 2.3.6.3.3.12 del Decreto 1077 de 2015> <Artículo adicionado por el artículo 15 de la Resolución 907 de 2019. El nuevo texto es el siguiente:> El costo medio de inversión ambiental adicional para la protección de cuencas y fuentes de agua, para el año i, se calcula e incluye en la tarifa del servicio público domiciliario de acueducto de acuerdo con la siguiente fórmula:
![]()
Donde:
Costo medio de inversión por inversiones ambientales adicionales para la protección de cuencas y fuentes de agua para el año i, expresado en pesos de diciembre del año base/m3, para el servicio público domiciliario de acueducto.
Costo anual de inversiones ambientales adicionales para la protección de cuencas y fuentes de agua del activo v en el año i-1 (pesos de diciembre del año base) del servicio público domiciliario de acueducto, de acuerdo con el artículo 31.F. de la presente resolución.
Agua potable suministrada corregida por pérdidas eficientes en el año i, la cual se estima con la siguiente fórmula:
![]()
Donde:
Agua potable suministrada en el año i (m3/año). Se calcula como:
![]()
Dónde:
Agua producida en el año i (m3/año).
Volumen recibido por contratos de suministro de agua potable e interconexión en el año i (m3/año).
Volumen entregado por contratos de suministro de agua potable e interconexión en el año i (m3/año).
Número de suscriptores promedio mensual facturados para el año i para el servicio público domiciliario de acueducto. En el caso de facturación mensual, corresponde al promedio de los doce meses del año i. En el caso de facturación bimestral, corresponde al promedio de los seis bimestres del año i.
12: Corresponde al número de meses en un año.
Índice de pérdidas por suscriptor facturado estándar, que corresponde a seis (6) m3/suscriptor/mes.
Número total de los activos de las inversiones ambientales adicionales para la protección de cuencas y fuentes de agua.
Cada uno de los activos de las inversiones ambientales adicionales para la protección de cuencas y fuentes de agua. No se podrá incluir el pago por servicios ambientales de regulación y calidad hídrica.
Año tarifario de conformidad con lo establecido en el artículo 31.A de la presente resolución.
PARÁGRAFO. Las personas prestadoras que hayan optado por la alternativa 2 establecida en el artículo 20 de la presente resolución deberán utilizar como denominador el agua potable suministrada corregida por pérdidas eficientes en el año base
Las personas prestadoras que hayan optado por aplicar la metodología de cálculo de costos económicos de referencia del segundo segmento establecida en el TÍTULO IV de la presente resolución, deberán utilizar como denominador el volumen facturado del año base
de acuerdo con el artículo 29 de la presente resolución.
ARTÍCULO 31.F. COSTO ANUAL DE INVERSIONES AMBIENTALES ADICIONALES PARA LA PROTECCIÓN DE CUENCAS Y FUENTES DE AGUA DEL ACTIVO V EN EL AÑO i-1.
<Artículo integrado y unificado en el artículo 2.1.1.1.4.6.6 de la Resolución CRA 943 de 2021. Debe tenerse en cuenta lo dispuesto por el artículo 2.3.6.3.3.12 del Decreto 1077 de 2015> <Artículo adicionado por el artículo 15 de la Resolución 907 de 2019. El nuevo texto es el siguiente:> El costo anual de inversiones ambientales adicionales para la protección de cuencas y fuentes de agua, del activo v en el año i-1 para el servicio público domiciliario de acueducto, se calcula de acuerdo con la siguiente fórmula:
![]()
Donde:
Costo anual de Inversiones Ambientales Adicionales para la Protección de Cuencas y Fuentes de Agua del activo v en el año i-1 (pesos de diciembre del año base) del servicio público domiciliario de acueducto.
Valor del activo v al momento de su inclusión en el
para el servicio público domiciliario de acueducto (en pesos de diciembre del año base).
Factor de anualidad para cada uno de los activos v, incluidos en el
el cual corresponde al
de la tabla incluida en el ANEXO III de la presente resolución.
Cada uno de los activos de las inversiones ambientales adicionales para la protección de cuencas y fuentes de agua.
Año tarifario de conformidad con lo establecido en el artículo 31.A de la presente resolución.
PARÁGRAFO 1o. <Parágrafo modificado por el artículo 10 de la Resolución 923 de 2020. El nuevo texto es el siguiente:> Para estimar el valor del VAPi-1,v,ac, para el primer año tarifario de aplicación (i=4) de acuerdo con el artículo 31.F. de la presente resolución, se reconocerán los costos de los activos de las inversiones ambientales adicionales para la protección de cuencas y fuentes de agua del tercer (3) año tarifario (i=3), a partir del primero (1) de enero de 2021.
Para años tarifarios posteriores, se reconocerá el costo de los activos de las inversiones ambientales adicionales para la protección de cuencas y fuentes de agua en el año i-1
PARÁGRAFO 2o. En los terrenos únicamente se reconocerá la rentabilidad sobre el valor de adquisición sin incluir valorizaciones.
PARÁGRAFO 3o. Los activos de las inversiones ambientales adicionales para la protección de cuencas y fuentes de agua incluidos en el
serán clasificados de acuerdo con la agrupación definida en el artículo 31.G de la presente resolución.
PARÁGRAFO 4o. Los soportes de las inversiones ambientales adicionales para la protección de cuencas y fuentes de agua, deberán quedar a disposición de la Superintendencia de Servicios Públicos Domiciliarios (SSPD) y ser reportados en el Sistema Único de Información-SUI, en las condiciones y plazos que defina dicha entidad.
ARTÍCULO 31.G. CLASIFICACIÓN DE ACTIVOS POR TIPO DE INVERSIÓN AMBIENTAL ADICIONAL Y ASIGNACIÓN DE SU VIDA ÚTIL REGULADA. <Artículo integrado y unificado en el artículo 2.1.1.1.4.6.7 de la Resolución CRA 943 de 2021. Debe tenerse en cuenta lo dispuesto por el artículo 2.3.6.3.3.12 del Decreto 1077 de 2015> <Artículo adicionado por el artículo 15 de la Resolución 907 de 2019. El nuevo texto es el siguiente:> Los activos de las inversiones ambientales adicionales para la protección de cuencas y fuentes de agua corresponden a los descritos en la siguiente tabla y les corresponderá la siguiente vida útil regulada.

PARÁGRAFO. En caso de que la persona prestadora incluya activos relacionados con las inversiones ambientales adicionales para la protección de cuencas y fuentes de agua de que tratan los numerales a) al e) del artículo 3o de la Resolución 0874 de 2018, diferentes a los señalados en la tabla anterior, deberá contar con los soportes correspondientes para su inclusión.
Las vidas útiles de dichos activos deberán estar debidamente soportadas por lo menos con tres (3) cotizaciones de proveedores o por la vida útil definida para efectos contables. En el evento en que para un mismo activo exista una vida útil diferente por cada proveedor, se deberá escoger la de mayor plazo
Los anteriores soportes deberán estar a disposición de la Superintendencia de Servicios Públicos Domiciliarios (SSPD), ser reportados en el Sistema Único de Información (SUI), en las condiciones y plazos que defina dicha entidad e informados a la Comisión de Regulación de Agua Potable y Saneamiento Básico.
ARTÍCULO 31.H. CRITERIOS PARA DEFINIR LAS INVERSIONES AMBIENTALES ADICIONALES PARA LA PROTECCIÓN DE CUENCAS Y FUENTES DE AGUA. <Artículo integrado y unificado en el artículo 2.1.1.1.4.6.8 de la Resolución CRA 943 de 2021. Debe tenerse en cuenta lo dispuesto por el artículo 2.3.6.3.3.12 del Decreto 1077 de 2015> <Artículo adicionado por el artículo 15 de la Resolución 907 de 2019. El nuevo texto es el siguiente:> Las personas prestadoras del servicio público domiciliario de acueducto que decidan incorporar los costos de las inversiones ambientales adicionales para la protección de cuencas y fuentes de agua, de que trata el presente título, con el cumplimiento de los siguientes requisitos:
1. Identificar las áreas de intervención de las inversiones ambientales adicionales para la protección de cuencas y fuentes de agua requeridas, dependiendo del servicio hidrológico a intervenir en la cuenca hidrográfica aferente a los puntos de captación del sistema de acueducto.
2. Disponer de instrumentos de medición caudal a la salida de las plantas de tratamiento o a la salida de los tanques de almacenamiento de agua potable de acuerdo con plazos establecidos en el parágrafo 4o de los artículos 12 y 24 de la presente resolución.
Las áreas objeto de intervención de las inversiones ambientales adicionales para la protección de cuencas y fuentes de agua deberán corresponder a áreas de importancia estratégica para la conservación de recursos hídricos que surten de agua a los acueductos municipales, distritales o regionales.
3. En ningún caso, deberán incluirse inversiones ambientales para la protección de cuencas y fuentes de agua que hayan sido contempladas en desarrollo del parágrafo 4 del artículo 22 de la presente resolución.
4. En ningún caso podrán incluirse como inversiones ambientales adicionales aquellas financiadas en su totalidad por otra entidad.
5. En todo caso, las inversiones ambientales adicionales para la protección de cuencas y fuentes de agua corresponden a las definidas en los numerales a) al e) del artículo 3o de la Resolución 0874 de 2018 o la norma que la modifique, adicione o sustituya.
PARÁGRAFO 1o. Para efectos del cumplimiento del criterio definido en el numeral 1 del presente artículo, podrá utilizarse la información hidrológica o hidrogeológica contenida en los instrumentos de planificación ambiental del recurso hídrico y otras iniciativas de conservación de áreas de importancia estratégica para la conservación de recursos hídrico.
PARÁGRAFO 2o. Las inversiones ambientales adicionales para la protección de cuencas y fuentes de agua de que trata el presente título son optativas.
PARÁGRAFO 3o. Las inversiones ambientales adicionales para la protección de cuencas y fuentes de agua deben estar asociadas a los servicios hidrológicos de regulación del ciclo hidrológico y/o rendimiento hídrico.
ARTÍCULO 31.I. INDICADORES DE SEGUIMIENTO. <Artículo integrado y unificado en el artículo 2.1.1.1.4.6.9 de la Resolución CRA 943 de 2021. Debe tenerse en cuenta lo dispuesto por el artículo 2.3.6.3.3.12 del Decreto 1077 de 2015> <Artículo adicionado por el artículo 15 de la Resolución 907 de 2019. El nuevo texto es el siguiente:> Las personas prestadoras del servicio público domiciliario de acueducto que decidan incluir los costos de las inversiones ambientales adicionales para la protección de cuencas y fuentes de agua deberán reportar anualmente los siguientes indicadores:


Los indicadores de que trata el presente artículo deberán ser reportados a la Superintendencia de Servicios Públicos Domiciliarios (SSPD) en las condiciones y plazos que la misma defina.
ARTÍCULO 31.J. APORTES BAJO CONDICIÓN. <Artículo integrado y unificado en el artículo 2.1.1.1.4.6.10 de la Resolución CRA 943 de 2021. Debe tenerse en cuenta lo dispuesto por el artículo 2.3.6.3.3.12 del Decreto 1077 de 2015> <Artículo adicionado por el artículo 15 de la Resolución 907 de 2019. El nuevo texto es el siguiente:> Si durante el período tarifario las personas prestadoras del servicio público domiciliario de acueducto reciben aportes bajo condición de los que trata el artículo 87.9 de la Ley 142 de 1994, modificado por el artículo 99 de la Ley 1450 de 2011, relacionados con las inversiones ambientales adicionales establecidas en los numerales a) al e) del artículo 3 de la Resolución 0874 de 2018, o la norma que la adicione, modifique o derogue, sólo podrá incluir los costos de operación asociados en el
de que trata el artículo 31.D de la presente resolución.
ARTÍCULO 31.K. INFORMACIÓN A LA COMISIÓN DE REGULACIÓN DE AGUA POTABLE Y SANEAMIENTO BÁSICO SOBRE INVERSIONES AMBIENTALES ADICIONALES PARA LA PROTECCIÓN DE CUENCAS Y FUENTES DE AGUA. <Artículo integrado y unificado en el artículo 2.1.1.1.4.6.11 de la Resolución CRA 943 de 2021. Debe tenerse en cuenta lo dispuesto por el artículo 2.3.6.3.3.12 del Decreto 1077 de 2015> <Artículo adicionado por el artículo 15 de la Resolución 907 de 2019. El nuevo texto es el siguiente:> Las personas prestadoras del servicio público domiciliario de acueducto que decidan incluir las inversiones ambientales adicionales para la protección de cuencas y fuentes de agua, deberán enviar a la Comisión de Regulación de Agua Potable y Saneamiento Básico los soportes de los costos de administración, operación e inversión por dichas inversiones en que han incurrido, dentro del mes siguiente a su incorporación en la tarifa, para efectos de hacer seguimiento a la medida regulatoria contenida en el presente título, de acuerdo con lo dispuesto en el inciso final del artículo 73 de la Ley 142 de 1994.
ESQUEMAS DIFERENCIALES DE PRESTACIÓN DE LOS SERVICIOS PÚBLICOS DOMICILIARIOS DE ACUEDUCTO Y ALCANTARILLADO EN ZONAS RURALES.
ARTÍCULO 32. DETERMINACIÓN DE LAS METAS PARA LOS ESTÁNDARES DEL SERVICIO PARA ESQUEMAS DIFERENCIALES. <Artículo integrado y unificado en el artículo 2.1.1.1.5.1 de la Resolución CRA 943 de 2021. Debe tenerse en cuenta lo dispuesto por el artículo 2.3.6.3.3.12 del Decreto 1077 de 2015> <Artículo adicionado por el artículo 11 de la Resolución 844 de 2018. El nuevo texto es el siguiente:> Las personas prestadoras que adopten los esquemas diferenciales de prestación para los servicios públicos domiciliarios de acueducto y alcantarillado de que trata la Sección 2 del Capítulo 1 del Título 7, Parte 3, Libro 2, del Decreto 1077 de 2015, adicionado por el Decreto 1898 de 2016, deberán proyectar metas anuales para cumplir como mínimo con el siguiente estándar:
| Nombre del Estándar | Estándar | Indicador | Meta |
| Micromedición | 100% | Suscriptores con micromedidor instalado/ Nac Donde: Nac: Número de suscriptores facturados promedio en el año base para el servicio público de acueducto, corresponde al promedio de los doce meses del año base en el caso de facturación mensual, y al promedio de los seis bimestres del año base, en el caso de facturación bimestral. | Serán las metas que se proyecten en un período de diez (10) años, en el plan de gestión. |
PARÁGRAFO 1. Para la determinación de las metas anuales del estándar, las personas prestadoras deberán identificar su situación inicial en el Plan de Gestión de que trata el artículo 2.3.7.1.2.3 del Decreto 1077 de 2015, adicionado por el Decreto 1898 de 2016, y proyectar las metas a las que se compromete en un período de diez (10) años. En todo caso, las metas proyectadas no podrán ser inferiores a las de la situación inicial.
PARÁGRAFO 2. Las personas prestadoras del servicio público domiciliario de acueducto que adopten esquemas diferenciales, podrán realizar la medición de los consumos, de los suscriptores sin micromedición, con procedimientos alternativos y la facturación podrá efectuarse a partir de consumos estimados, mientras llega al 100% de la micromedición.
PARÁGRAFO 3. La persona prestadora del área rural que adopte el esquema diferencial y que al finalizar el tercer año de aplicación de la fórmula tarifaria establecida mediante la presente resolución, no cuente con instrumentos de medición de caudal, de conformidad con lo establecido en el artículo 73 de la Resolución 0330 del 8 de junio de 2017 del Ministerio de Vivienda, Ciudad y Territorio o la que la modifique, adicione, sustituya o derogue, solo podrán cobrar el 60% del Costo Medio de Operación General del servicio público domiciliario de acueducto (CMOGac), hasta tanto cumpla con dicha obligación. Lo anterior sin perjuicio de las acciones de control y vigilancia ejercidas por la Superintendencia de Servicios Públicos Domiciliarios (SSPD).
PARÁGRAFO 4. Las personas prestadoras del servicio público de acueducto que adopten esquemas diferenciales, deberán asegurar la disponibilidad del volumen correspondiente al consumo básico definido por la Comisión de Regulación de Agua Potable y Saneamiento Básico (CRA), de acuerdo con las metas anuales de suministro periódico que definan en el plan de gestión.
PARÁGRAFO 5. Las personas prestadoras del servicio público de acueducto que adopten esquemas diferenciales con distribución mediante pilas públicas, deberán cumplir los requisitos técnicos de las mismas que establezca el Reglamento Técnico para el Sector de Agua Potable y Saneamiento Básico, y garantizar la disponibilidad de agua de acuerdo con su capacidad operativa, según las metas anuales de suministro periódico y la progresividad que definan en el plan de gestión.
PARÁGRAFO 6. Los planes y el cumplimiento de las metas señaladas en el presente artículo deberán ser reportados por las personas prestadoras en los formatos diseñados para tal fin por la Superintendencia de Servicios Públicos Domiciliarios (SSPD), a través del Sistema Único de Información (SUI) o el mecanismo definido por dicha entidad.
PARÁGRAFO 7. Las metas del servicio proyectadas por las personas prestadoras deberán incluirse en el Contrato de Condiciones Uniformes.
ARTÍCULO 33. COSTOS ECONÓMICOS DE REFERENCIA PARA ESQUEMAS DIFERENCIALES. <Artículo integrado y unificado en el artículo 2.1.1.1.5.2 de la Resolución CRA 943 de 2021. Debe tenerse en cuenta lo dispuesto por el artículo 2.3.6.3.3.12 del Decreto 1077 de 2015> <Artículo adicionado por el artículo 11 de la Resolución 844 de 2018. El nuevo texto es el siguiente:> Las personas prestadoras de los servicios públicos domiciliarios de acueducto y alcantarillado que atiendan en una APS únicamente en el área rural y que adopten los esquemas diferenciales de acueducto y alcantarillado, deberán aplicar la metodología tarifaria establecida para el cálculo de los costos económicos de referencia para las personas prestadoras del segundo segmento determinada en el Titulo IV y V de la presente resolución.
PARÁGRAFO 1. El Costo Medio de Administración (CMAac,al) de los servicios públicos domiciliarios de acueducto y alcantarillado para las personas prestadoras que atiendan en una APS únicamente en el área rural y adopten esquemas diferenciales de prestación de acueducto y alcantarillado, será un valor que no debe superar el valor máximo del rango definido en el ARTÍCULO 25 de la presente resolución, sin afectar la suficiencia financiera del prestador y atendiendo al criterio de onerosidad en la prestación del servicio.
PARÁGRAFO 2. El valor del Costo Medio de Operación General (CMAac,al) de los servicios públicos domiciliarios de acueducto y alcantarillado para las personas prestadoras que atiendan en una APS únicamente en el área rural y adopten esquemas diferenciales de prestación de acueducto y alcantarillado, será un valor que no debe superar el valor máximo del rango definido en el ARTÍCULO 27 de la presente resolución, sin afectar la suficiencia financiera del prestador y atendiendo al criterio de onerosidad en la prestación del servicio.
PARÁGRAFO 3. Las personas prestadoras del servicio público domiciliario de acueducto que adopten los esquemas diferenciales y que para garantizar la calidad de agua suministrada implementen el uso de dispositivos o técnicas de tratamiento de agua a los que se refiere el numeral primero del artículo 2.3.7.1.2.2 del Decreto 1077 de 2015, adicionado por el Decreto 1898 de 2016, podrán incluir en el Costo Medio de Operación Particular del servicio público domiciliario de acueducto, los costos relacionados con la implementación de dichos dispositivos o técnicas, hasta el vencimiento del plazo definido en el plan de gestión para el cumplimiento de los estándares de calidad de agua potable establecidos en el Decreto 1575 de 2007 y su regulación, o aquellos que los modifiquen, adicionen o sustituyan.
Los costos operativos particulares que se deriven de la entrada en operación del sistema de tratamiento, podrán incluirse en el cálculo de las tarifas, a partir del momento en que dicho sistema esté en funcionamiento. Lo anterior, sin adelantar ninguna actuación administrativa ante la Comisión de Regulación de Agua Potable y Saneamiento Básico. Para tal efecto, las personas prestadoras deberán cumplir con lo previsto en la Sección 5.1.1 de la Resolución CRA 151 de 2001, o la norma que la modifique, adicione, sustituya o derogue.
PARÁGRAFO 4. Las personas prestadoras del servicio público domiciliario de acueducto que adopten los esquemas diferenciales podrán incluir en el cálculo del Costo Medio de Inversión (CMI) el valor de la inversión en los activos que hayan sido proyectados para un período de diez (10) años, para construir el sistema de tratamiento de agua potable, según las metas que proyecte en el plan de gestión del cual trata el artículo 2.3.7.1.2.3 del Decreto 1077 de 2015, adicionado por el Decreto 1898 de 2016.
DISPOSICIONES FINALES.
ARTÍCULO 34. INCORPORACIÓN DE LOS COSTOS DERIVADOS DE LAS AUDITORÍAS INTERNAS DE EFICIENCIA ENERGÉTICA. <Artículo integrado y unificado en el artículo 2.1.1.1.6.1 de la Resolución CRA 943 de 2021. Debe tenerse en cuenta lo dispuesto por el artículo 2.3.6.3.3.12 del Decreto 1077 de 2015> <Artículo modificado por el artículo 12 de la Resolución 844 de 2018. El nuevo texto es el siguiente:> Los ajustes en los costos de prestación del servicio derivados del desarrollo del artículo 238 de la Resolución 0330 de 8 de junio de 2017 del Ministerio de Vivienda, Ciudad y Territorio, o aquella que la modifique, adicione, sustituya o derogue, en lo relacionado con las auditorías internas de eficiencia energética en los sistemas de captación, tratamiento y distribución de agua, deberán ser incluidos directamente teniendo en cuenta su naturaleza.
Para tal efecto, las personas prestadoras deberán cumplir con lo previsto en la Sección 5.1.1 de la Resolución CRA 151 de 2001, o la norma que la modifique, adicione, sustituya o derogue para el reporte de las variaciones tarifarias y, así mismo, deberán remitir a la CRA y a la Superintendencia de Servicios Públicos Domiciliarios los soportes de tales costos que hayan generado las variaciones.
ARTÍCULO 35. REPORTE DE INFORMACIÓN. <Artículo integrado y unificado en el artículo 2.1.1.1.6.2 de la Resolución CRA 943 de 2021. Debe tenerse en cuenta lo dispuesto por el artículo 2.3.6.3.3.12 del Decreto 1077 de 2015> Las personas prestadoras deberán reportar la información requerida en la oportunidad y calidad establecidas en la presente resolución y en el esquema de reporte de información definido por la Superintendencia de Servicios Públicos Domiciliarios - SSPD. El incumplimiento a la presente disposición ocasionará las sanciones de ley.
ARTÍCULO 36. VIGENCIA DE LA FÓRMULA TARIFARIA. <Artículo integrado y unificado en el artículo 2.1.1.1.6.3 de la Resolución CRA 943 de 2021. Debe tenerse en cuenta lo dispuesto por el artículo 2.3.6.3.3.12 del Decreto 1077 de 2015> <Artículo modificado por el artículo 12 de la Resolución 844 de 2018. El nuevo texto es el siguiente:> La fórmula tarifaria general regirá por un período de cinco (5) años, contados a partir del primero (1) de julio de 2018. Una vez vencido dicho período, la fórmula seguirá rigiendo mientras la Comisión de Regulación de Agua Potable y Saneamiento Básico (CRA) no determine una nueva.
ARTÍCULO 37. APLICACIÓN DE LAS TARIFAS DERIVADAS DE LA PRESENTE RESOLUCIÓN. <Artículo integrado y unificado en el artículo 2.1.1.1.6.4 de la Resolución CRA 943 de 2021. Debe tenerse en cuenta lo dispuesto por el artículo 2.3.6.3.3.12 del Decreto 1077 de 2015> <Artículo modificado por el artículo 12 de la Resolución 844 de 2018. El nuevo texto es el siguiente:> Las tarifas resultantes de la aplicación de la metodología contenida en la presente resolución, comenzarán a aplicarse a más tardar el primero (1) de enero de 2019, fecha hasta la cual las personas prestadoras que se encuentren en operación, podrán seguir aplicando las últimas tarifas aprobadas por su entidad tarifaria local.
PARÁGRAFO 1. Las personas prestadoras que hayan iniciado la aplicación de las tarifas resultantes de la metodología tarifaria contenida en la presente resolución a partir del primero (1) de julio de 2018, podrán realizar las modificaciones de dichos estudios de costos, sin adelantar actuación administrativa alguna ante la Comisión de Regulación de Agua Potable y Saneamiento Básico (CRA), hasta el primero (1) de enero de 2019. Para tal efecto, deberán cumplir con lo previsto en la Sección 5.1.1 de la Resolución CRA 151 de 2001, o la norma que la modifique, adicione, sustituya o derogue.
PARÁGRAFO 2. Las personas prestadoras que entren en operación con posterioridad al primero (1) de julio de 2018, deberán aplicar la metodología tarifaria contenida en la presente resolución o en aquella que la modifique, adicione, sustituya o derogue.
PARÁGRAFO 3. En todo caso, para la determinación de las tarifas a aplicar a los suscriptores y/o usuarios, las personas prestadoras deberán dar cumplimiento a la metodología vigente para la determinación del equilibrio entre los subsidios y las contribuciones para los servicios públicos domiciliarios de acueducto y alcantarillado.
ARTÍCULO 37A. PROGRESIVIDAD EN LA APLICACIÓN DE LAS TARIFAS. <Artículo integrado y unificado en el artículo 2.1.1.1.6.5 de la Resolución CRA 943 de 2021. Debe tenerse en cuenta lo dispuesto por el artículo 2.3.6.3.3.12 del Decreto 1077 de 2015> <Artículo adicionado por el artículo 1 de la Resolución 881 de 2019. El nuevo texto es el siguiente:> La aplicación de las tarifas por parte de las personas prestadoras de los servicios públicos domiciliarios de acueducto y/o alcantarillado que se encuentren dentro del ámbito de aplicación de la presente resolución podrá efectuarse de forma progresiva en un plazo que no supere el período comprendido entre el primero (1) de agosto de 2019 y el treinta y uno (31) de julio de 2021, para lo cual se deben cumplir las siguientes condiciones:
1. Que se presenten incrementos en el cargo fijo y/o cargo por consumo, entre las tarifas resultantes de la aplicación de la metodología establecida en la presente resolución y las últimas tarifas facturadas, sin incluir el valor del Costo Medio generado por Tasas Ambientales y sin subsidios ni contribuciones. Las tarifas deberán estar expresadas en pesos del mes en el cual la entidad tarifaria local apruebe el plan de progresividad.
2. Haber incluido el plan de inversiones como parte del Costo Medio de Inversión en los estudios de costos y tarifas resultantes de la aplicación de la presente resolución.
3. Manifestar por escrito a la Superintendencia de Servicios Públicos Domiciliarios, antes del primero (1) de enero de 2020, la decisión de aplicar la progresividad. Dicha manifestación deberá ser suscrita por el representante legal de la persona prestadora adjuntando el plan de progresividad aprobado por la entidad tarifaria local, previo a su aplicación y cumpliendo lo establecido en el artículo 37B de la presente resolución.
4. El plan de progresividad iniciará su aplicación en el periodo de facturación siguiente a la manifestación de su adopción a la Superintendencia de Servicios Públicos Domiciliarios.
PARÁGRAFO 1o. La implementación de la progresividad no requiere que las personas prestadoras modifiquen su estudio de costos y tarifas, ni que adelanten actuación administrativa alguna ante la Comisión de Regulación de Agua Potable y Saneamiento Básico (CRA).
PARÁGRAFO 2o. La progresividad establecida en el presente artículo no es obligatoria.
ARTÍCULO 37B. PLAN DE PROGRESIVIDAD. <Artículo integrado y unificado en el artículo 2.1.1.1.6.6 de la Resolución CRA 943 de 2021. Debe tenerse en cuenta lo dispuesto por el artículo 2.3.6.3.3.12 del Decreto 1077 de 2015> <Artículo adicionado por el artículo 1 de la Resolución 881 de 2019. El nuevo texto es el siguiente:> El plan de progresividad deberá contener como mínimo lo siguiente:
1. El servicio y los componentes de la fórmula tarifaria establecidos en el artículo 8o de la presente resolución, a los cuales aplicará la progresividad.
2. El valor del cargo fijo y/o cargo por consumo, sin incluir el valor del Costo Medio generado por Tasas Ambientales (CMT), y sin subsidios ni contribuciones, correspondiente a las últimas tarifas facturadas a los suscriptores antes del inicio de la aplicación de la metodología contenida en la presente resolución, expresados en pesos del mes en el cual la entidad tarifaria local apruebe el plan de progresividad.
3. El número de ajustes para alcanzar las tarifas resultantes de la metodología establecida en la presente resolución para cada uno de los componentes de la fórmula tarifaria, objeto de la progresividad.
4. Los factores de progresividad calculados por la persona prestadora para el cargo fijo y/o el cargo por consumo.
5. La manifestación escrita por parte de la persona prestadora de los servicios públicos domiciliarios de acueducto y/o alcantarillado en la que informe que la aplicación del plan de progresividad no afectará el cumplimiento de los criterios señalados en el artículo 87 de la Ley 142 de 1994, de las metas y estándares de servicio, ni el monto de inversiones establecido como parte del Costo Medio de Inversión en los estudios de costos y tarifas resultantes de la aplicación de la presente resolución.
En todo caso las personas prestadoras deberán determinar por separado el cargo fijo y el cargo por consumo.
ARTÍCULO 37C. FACTOR DE PROGRESIVIDAD EN LA APLICACIÓN DE LAS TARIFAS. <Artículo integrado y unificado en el artículo 2.1.1.1.6.7 de la Resolución CRA 943 de 2021. Debe tenerse en cuenta lo dispuesto por el artículo 2.3.6.3.3.12 del Decreto 1077 de 2015> <Artículo adicionado por el artículo 1 de la Resolución 881 de 2019. El nuevo texto es el siguiente:> Los factores de progresividad para el cargo fijo y/o cargo por consumo, sin incluir el valor del Costo Medio generado por Tasas Ambientales (CMT) y sin subsidios ni contribuciones, serán calculados de la siguiente manera:
1. El factor de progresividad para el cargo fijo en cada uno de los servicios públicos domiciliarios de acueducto y/o alcantarillado
será el mismo para cada uno de los ajustes (n que defina la persona prestadora en el plan de progresividad y será calculado mediante la siguiente fórmula:

Donde:
Factor de progresividad para el cargo fijo en cada uno de los servicios públicos domiciliarios de acueducto y/o alcantarillado, redondeado a seis (6) decimales. La progresividad se aplicará solamente cuando este factor sea mayor a uno (1).
Cargo fijo para cada uno de los servicios públicos domiciliarios de acueducto y/o alcantarillado, según lo definido en el artículo 9o de la presente resolución, sin subsidios ni contribuciones, expresado en pesos del mes en el cual la entidad tarifaria local apruebe el plan de progresividad.
Último cargo fijo facturado para cada uno de los servicios públicos domiciliarios de acueducto y/o alcantarillado, sin subsidios ni contribuciones, expresado en pesos del mes en el cual la entidad tarifaria local apruebe el plan de progresividad.
Corresponde al número de ajustes para cumplir el plan de progresividad en el cargo fijo. El primer ajuste al cargo fijo deberá realizarse al inicio de la aplicación del plan de progresividad.
2. El factor de progresividad para el cargo por consumo para cada uno de los servicios públicos domiciliarios de acueducto y/o alcantarillado
será el mismo para cada uno de ajustes que defina la persona prestadora en el plan de progresividad y será calculado mediante la siguiente fórmula:

Donde:
Factor de progresividad para el cargo por consumo para cada uno de los servicios públicos domiciliarios de acueducto y/o alcantarillado, redondeado a seis (6) decimales. La progresividad se aplicará solamente cuando este factor sea mayor a uno (1).
Cargo por consumo para cada uno de los servicios públicos domiciliarios de acueducto y/o alcantarillado, según lo definido en el artículo 10 de la presente resolución, sin incluir el valor del Costo Medio de Tasas Ambientales, ni subsidios ni contribuciones, expresado en pesos del mes en el cual la entidad tarifaria local apruebe el plan de progresividad.
Último cargo por consumo para cada uno de los servicios públicos domiciliarios de acueducto y/o alcantarillado, sin incluir el valor del Costo Medio de Tasas Ambientales, ni subsidios ni contribuciones, expresado en pesos del mes en el cual la entidad tarifaria local apruebe el plan de progresividad.
Corresponde al número de ajustes para cumplir el plan de progresividad en el cargo por consumo.
El primer ajuste al cargo por consumo deberá realizarse al inicio de la aplicación del plan de progresividad.
PARÁGRAFO 1o. Cada uno de los factores de progresividad definidos en el plan de progresividad, para el cargo fijo y/o cargo por consumo, será el mismo durante la aplicación de dicho plan, y los incrementos serán aplicados de acuerdo con el periodo de facturación que tenga establecido la persona prestadora de los servicios, sin perjuicio de las actualizaciones tarifarias de carácter normativo.
PARÁGRAFO 2o. Las personas prestadoras de los servicios públicos domiciliarios de acueducto y/o alcantarillado que opten por la progresividad deberán informar a los suscriptores, previa a su aplicación, el plan de progresividad a implementar. Adicionalmente, deberán cumplir con lo previsto en el artículo 5.1.1.4 de la Sección 5.1.1 de la Resolución CRA 151 de 2001, o la norma que la modifique, adicione o sustituya para el reporte de las variaciones tarifarias.
ARTÍCULO 38. VIGENCIAS Y DEROGATORIAS. La presente resolución rige a partir de la fecha de su publicación en el Diario Oficial y deroga la Resolución CRA 287 de 2004, la Resolución CRA 312 de 2005, la Resolución CRA 346 de 2005, la Resolución CRA 367 de 2006, y los artículos 116 y 117 de la Resolución CRA 688 de 2014.
Dada en Bogotá D.C. a los veintiocho (28) días del mes de diciembre de 2017.
PUBLÍQUESE Y CÚMPLASE
JORGE ANDRÉS CARRILLO CARDOSO
Presidente
JAVIER MORENO MÉNDEZ
Director Ejecutivo
ACTUALIZACIÓN DE LOS COSTOS ECONÓMICOS DE REFERENCIA.
<Anexo integrado y unificado en el Anexo 6.2.1.1 de la Resolución CRA 943 de 2021. Debe tenerse en cuenta lo dispuesto por el artículo 2.3.6.3.3.12 del Decreto 1077 de 2015>
1. Actualización de los costos económicos de referencia al momento de iniciar la aplicación de la metodología tarifaria.
Para actualizar los costos económicos de referencia, al momento de iniciar la aplicación de la fórmula tarifaria definida en la presente resolución, las personas prestadoras deberán proceder de la siguiente manera:
![]()
Donde;
| Costo Económico de Referencia1: | Costo económico de referencia (CMA, CMOy CMI) actualizado con el último Índice de Precios al Consumidor (IPC) publicado por el DANE, con el cual la persona prestadora empezará a aplicar la metodología de cálculo establecida en la presente resolución. |
| Costo Económico de Referencia0: | Es el resultante de la aplicación de la presente metodología para cada uno de los componentes (CMA, CMO, CMI) de los servicios públicos domiciliarios de acueducto y alcantarillado, el cual está expresado a pesos de diciembre del año base. |
| IPC1: | Último reporte del Índice de Precios al Consumidor (IPC) publicado por el DANE del mes en el cual la persona prestadora empezará a aplicar la metodología tarifaria establecida en la presente resolución. |
| IPCdlc/2016: | Índice de Precios al Consumidor (IPC) reportado por el DANE del mes de diciembre del año 2016. El cual corresponde a 133,399773. |
Para la estimación del factor de actualización, se utilizará el índice IPC redondeado a seis (6) decimales, expresado de acuerdo con la base definida por el DANE vigente al momento de expedición de la presente resolución. El factor de actualización
obtenido deberá ser redondeado a cuatro (4) decimales y las operaciones resultantes de la fórmula de actualización de costos por componente (CMA, CMO, CMI) serán redondeadas a dos (2) decimales.
2. Actualización de los costos económicos de referencia durante la aplicación de la metodología tarifaria.
Una vez actualizado el costo económico de referencia de los servicios públicos domiciliarios de acueducto y alcantarillado, las personas prestadoras podrán aplicar un factor de actualización por IPC cada vez que el Índice de Precios al Consumidor (IPC), reportado por el DANE, acumule una variación de por lo menos tres por ciento. Las personas prestadoras deberán iniciar las acumulaciones del IPC desde la fecha de aplicación de la presente fórmula tarifaria, de conformidad con la siguiente fórmula:
![]()
Donde;
| Costo Económico de Referenciai: | Costo económico de referencia (CMA, CMO, CMÍ) actualizado para el período i de los servicios públicos domiciliarios de acueducto y alcantarillado, expresado en términos unitarios. |
| Costo Económico de Referenciai-1: | Es el estimado a partir de la última actualización efectuada por la persona prestadora. |
| IPCi. | Índice de Precios al Consumidor (IPC) reportado por el DANE del mes seleccionado por la persona prestadora, para efectos de realizar la actualización por IPC (mes final). |
| IPCi-1. | Índice de Precios al Consumidor (IPC) reportado por el DANE correspondiente al último mes en el cual se realizó la actualización por IPC o aquel que la persona prestadora seleccione como mes base para la actualización, el cual no podrá ser anterior al momento en el que se aplicó la última indexación. |
La aplicación del IPC se sujetará a lo establecido en el artículo 125 de la Ley 142 de 1994. Para la estimación del factor de actualización, se utilizará el índice IPC redondeado a seis (6) decimales, expresado de acuerdo con la base definida por el DANE vigente al momento de expedición de la presente resolución. El factor de actualización obtenido
deberá ser redondeado a cuatro (4) decimales y las operaciones resultantes de la fórmula de actualización de costos por componente (CMA, CMO, CMI) serán redondeadas a dos (2) decimales.
CLASIFICACIÓN DE LAS INVERSIONES POR GRUPO DE ACTIVOS Y VIDA ÚTIL.
<Anexo integrado y unificado en el Anexo 6.2.1.2 de la Resolución CRA 943 de 2021. Debe tenerse en cuenta lo dispuesto por el artículo 2.3.6.3.3.12 del Decreto 1077 de 2015>
<Anexo modificado por el artículo 13 de la Resolución 844 de 2018. El nuevo texto es el siguiente:>
Las vidas útiles que deben ser utilizadas por la persona prestadora para calcular la vida útil promedio de los activos, y de las inversiones que harán parte del Plan de Inversiones de los servicios públicos domiciliarios de acueducto y alcantarillado, serán las que se determinan en las tablas a continuación, clasificadas por subsistemas, actividad y tipo de activo, así:


En caso de que la persona prestadora incluya activos diferentes a los señalados en las tablas del presente Anexo, deberá adjuntar al estudio de costos la respectiva justificación. Si estas inversiones buscan disminuir la vulnerabilidad del sistema, la persona prestadora deberá soportarlo mediante el estudio de vulnerabilidad correspondiente. En todo caso, deberá quedar a disposición de la Superintendencia de Servicios Públicos Domiciliarios (SSPD) los soportes correspondientes a la inclusión de tales activos.
Las vidas útiles de otros activos deberán estar debidamente soportadas por al menos tres (3) fabricantes o la vida útil definida para efectos contables, estos soportes estarán a disposición de la Superintendencia de Servicios Públicos Domiciliarios (SSPD). En el evento en que para un mismo activo exista una vida útil diferente por cada proveedor, se deberá escoger la de mayor plazo.
DETERMINACIÓN DEL FACTOR DE ANUALIDAD.
<Anexo integrado y unificado en el Anexo 6.2.1.3 de la Resolución CRA 943 de 2021. Debe tenerse en cuenta lo dispuesto por el artículo 2.3.6.3.3.12 del Decreto 1077 de 2015>
<Anexo modificado por el artículo 14 de la Resolución 844 de 2018. El nuevo texto es el siguiente:>
Las personas prestadoras pertenecientes al primer segmento que escojan la Alternativa 2 como método para calcular su Costo Medio de Inversión (CMIac,al), definido en el ARTÍCULO 20 de la presente resolución, deberán tener en cuenta lo siguiente:
Factor de anualidad del año base fVA0 que se utiliza en el cálculo del VAAj,ac,al.
Este factor se identifica, estableciendo el período por remunerar (N) del activo, que corresponde a la diferencia entre la vida útil del activo, definida en ANEXO II de la presente resolución, y los años que lleva depreciándose, es decir:
Período por remunerar (N) = Años de vida útil del activo – Años que lleva el activo depreciándose
Una vez determinado el período por remunerar (N), el valor resultante deberá ubicarse en la columna del período por remunerar (N) y en la columna fVA0, de la tabla incluida en el presente anexo, y el respectivo factor seleccionado se aplicará al valor actual del activo. Esta operación se realiza para cada uno de los activos actuales de los sistemas de acueducto y alcantarillado.
- Factor de anualidad del año i (fVAi,n) que se utiliza en la estimación del PIAi,ac,al
Las personas prestadoras deberán tener presente la existencia de un factor de anualidad fVAi,n para cada uno de los años que comprende el presente periodo tarifario (i=1,2,…,5); por lo que a cada una de las inversiones incluidas en el plan de inversiones, se le deberá determinar su vida útil de acuerdo a lo establecido en el ANEXO II de la presente resolución, y el período en el cual se considera llevar a cabo dicha inversión.
En este caso el período por remunerar corresponde a los años de vida útil de la inversión, de esta forma, se debe buscar los años de vida útil de la inversión en la columna Período por remunerar (N) de la tabla incluida a continuación, así como el año en donde se planea realizar la inversión (i= 1, 2,…,5). De esta forma es como se determina el factor de anualidad para cada una de las inversiones que las personas prestadoras planean realizar en los servicios de acueducto y alcantarillado durante el período tarifario.


CRITERIOS A TENER EN CUENTA PARA DETERMINAR EL VALOR DE LOS ACTIVOS ACTUALES POR MEDIO DE UNA VALORACIÓN TÉCNICA.
<Anexo integrado y unificado en el Anexo 6.2.1.4 de la Resolución CRA 943 de 2021. Debe tenerse en cuenta lo dispuesto por el artículo 2.3.6.3.3.12 del Decreto 1077 de 2015>
De forma general, la metodología empleada para determinar el valor por cobrar de los activos actuales, deberá soportarse teniendo en cuenta la información que se define a continuación:
4.1. Identificación de los activos que hacen parte de los sistemas de acueducto y alcantarillado que aún no se han remunerado en su totalidad.
4.2. Cantidades de obra.
4.3. Análisis de precios unitarios y costos totales de los activos.
4.4. Definición de vidas útiles de los activos y aplicación del método de depreciación.
Así las cosas, a continuación, se relacionan los soportes que deben tener las personas prestadoras:
4.1. Identificación de los activos que hacen parte de los sistemas de acueducto y alcantarillado que aún no se han remunerado en su totalidad.
<Numeral integrado y unificado en el Anexo 6.2.1.4.1 de la Resolución CRA 943 de 2021. Debe tenerse en cuenta lo dispuesto por el artículo 2.3.6.3.3.12 del Decreto 1077 de 2015>
Las personas prestadoras deberán soportar su estudio con la siguiente información:
- Relación de activos que hacen parte del estudio, discriminados por componente.
- Definición de las características físicas y técnicas de cada activo, de acuerdo con lo siguiente:
| Servicio | Componente | Característica Técnica a Reportar | Precio Unitario |
| Acueducto | Captaciones | -Caudal de diseño (l/s) de cada captación -Tipo de captación | $ / m3/s |
| Aducciones | -Señalar el tipo de flujo (gravedad o bombeo). -Diámetro de tubería (mm). -Longitud de red (m) por cada diámetro y material * Para el caso de canales se debe reportar la longitud, dimensiones de la sección transversal y material. | $ / m de tubería, para cada diámetro. | |
| Desarenadores | - Caudal de diseño (l/s). | $ / m3/s | |
| Planta de tratamiento de agua potable | -Caudal de diseño (l/s). -Tipo de tratamiento. | $ / m3/s | |
| Conducciones | -Tipo de flujo (gravedad o bombeo). -Material de cada tubería. -Diámetro de tubería (mm). -Longitud de red (m) por cada diámetro y material. | $ / m de tubería, para cada diámetro. | |
| Tanques de Almacenamiento | -Capacidad de cada tanque (m3). -Material. -Tipo de tanque (enterrado, elevado, superficial, semi-enterrado). | $ / m3 de acuerdo con tipo de tanque | |
| Estaciones de bombeo | - Potencia instalada (kW) en cada una de las estaciones. | $ / kW instalado | |
| Red de Distribución | -Material de cada tubería. -Diámetro de tubería (mm). -Longitud de red (m) por cada diámetro y material. | $ / m de tubería, para cada diámetro. | |
| Alcantarillado | Red de alcantarillado | -Material de cada conducto. - Dimensiones de la sección transversal de los conductos (m) o diámetro de tuberías (mm). - Longitud de red (m) por cada conducto y material. * Para el caso de canales se debe reportar la longitud, dimensiones de la sección transversal y material. | $ / m de tubería, para cada diámetro. |
| Estación de bombeo de AR | - Potencia instalada (kW). | $ / kW instalado | |
| Desarenador | - Caudal de diseño (l/s). | $ / m3/s | |
| Servicio | Componente | Característica Técnica a Reportar | Precio Unitario |
| Planta de Tratamiento de Aguas Residuales | -Caudal de diseño (l/s). -Tipo de tratamiento. | $ / m3/s | |
| Colectores finales - post PTAR | -Material de cada tubería. -Diámetro de tubería (mm). -Longitud de red (m) por cada diámetro y material. * Para el caso de canales se debe reportar la longitud, dimensiones de la sección transversal y material. | $ / m de tubería, para cada diámetro. | |
- Definición de edades (año de construcción) y vidas útiles, las cuales deben estar acorde con lo establecido en el ANEXO II de la presente resolución y el método de depreciación lineal.
Adicionalmente, en caso de contar con información de planos, esquemas, modelos hidráulicos, mapas, fotografías, así como los presupuestos de obra y/o contratos de construcción, etc., que sirvan de soporte adicional, se deberán anexar en el estudio.
4.2. Cantidades de obra
<Numeral integrado y unificado en el Anexo 6.2.1.4.2 de la Resolución CRA 943 de 2021. Debe tenerse en cuenta lo dispuesto por el artículo 2.3.6.3.3.12 del Decreto 1077 de 2015>
Las personas prestadoras deberán tener a disposición las cantidades de obra de cada uno de los componentes de los sistemas de acueducto y de alcantarillado que aún no se han remunerado en su totalidad.
Respecto de las cantidades de obra para el componente de redes de los sistemas de acueducto y alcantarillado, se deberá presentar la longitud de red para cada diámetro y para cada material.
4.3. Análisis de precios unitarios y costos totales de activos
<Numeral integrado y unificado en el Anexo 6.2.1.4.3 de la Resolución CRA 943 de 2021. Debe tenerse en cuenta lo dispuesto por el artículo 2.3.6.3.3.12 del Decreto 1077 de 2015>
Las personas prestadoras deberán tener a disposición los análisis de precios unitarios de cada uno de los ítems que hacen parte del valor de cada activo. Así como las bases de datos o listas de precios que se hayan empleado para la construcción de los precios unitarios.
Ahora bien, respecto del costo total de cada activo las personas prestadoras deben comparar los costos totales por componente, reportados por la empresa en su estudio, con los costos máximos establecidos a partir de las funciones de costos por componente definidas por la Comisión de Regulación de Agua Potable y Saneamiento Básico - CRA.
- Revisión de costos totales por componente a partir de la comparación con los costos máximos definidos por la CRA.
Teniendo en cuenta lo anterior, se presentan los máximos costos establecidos por la Comisión para los diferentes componentes de los sistemas de acueducto y alcantarillado, los cuales deben ser empleados por parte de las personas prestadoras para verificar que sus costos totales se encuentren por debajo de los valores que se exponen en las siguientes tablas:
Costos máximos para activos de captación, tratamiento de agua potable y tratamiento de aguas residuales
(En miles de pesos de diciembre de 2016)


Costos máximos para activos de almacenamiento
(En miles de pesos de diciembre de 2016)

Costos máximos para activos de bombeo
(En miles de pesos de diciembre de 2016)

Costos máximos (por metro lineal) para activos de aducción, conducción y distribución de agua potable y recolección y transporte de las aguas residuales
(En miles de pesos de diciembre de 2016)


En aquellos casos en que se presenten costos de los activos por encima de los costos máximos definidos, las personas prestadoras deberán tener a disposición los soportes necesarios que justifiquen dicha situación. Los criterios específicos de la revisión que deben hacer las personas prestadoras son los siguientes:
- Las personas prestadoras deberán desagregar los costos totales de cada componente de los sistemas de acueducto y alcantarillado, a saber: captación, aducción, desarenadores, tratamiento de agua potable, bombeo, almacenamiento, conducción, distribución, recolección de aguas residuales y/o lluvias, y tratamiento de aguas residuales.
- Con base en las especificaciones técnicas de cada activo (caudal de diseño, volumen, potencia, etc.) se comparan individualmente los costos de los mismos, con los costos máximos por activo definidos en las tablas del presente Anexo. Por ejemplo, para el componente de almacenamiento, la persona prestadora debe comparar el valor de cada uno de los tanques que reporte contra los costos máximos definidos en este anexo, teniendo en cuenta en este caso particular, el volumen de almacenamiento de cada uno de los tanques.
- De igual forma, se compara el costo total de los activos de cada componente con los costos máximos definidos por la Comisión de Regulación de Agua Potable y Saneamiento Básico - CRA. Si el costo total de cada componente se encuentra por encima del costo máximo para el componente, las personas prestadoras deberán justificar y soportar técnica y económicamente las diferencias encontradas.
- Para el análisis de los casos específicos en los cuales los costos por componente se encuentran por encima del costo máximo definido por la Comisión de Regulación de Agua Potable y Saneamiento Básico - CRA, la persona prestadora debe efectuar una verificación de forma individual a los activos que hacen parte de cada componente, es decir, si una persona prestadora reporta un costo para el componente de almacenamiento que supera el costo máximo del componente, se debe efectuar una revisión individual de los activos (en este caso tanques), que hacen parte de la actividad y que presenten las mayores desviaciones.
- Para todos aquellos activos que no se encuentren definidos dentro de las tablas(1) las personas prestadoras deberán soportar los costos totales de los mismos con análisis de precios unitarios de cada uno de los ítems que hacen parte del costo del activo, haciendo particular énfasis en las actividades e insumos de mayor peso, como lo son, las excavaciones en $/m3, concreto en $/m3 y el acero en $/kg. Así mismo, la persona prestadora deberá mantener una descripción técnica detallada del activo para efectos de soportar la valoración de activos realizada.
4.4. Definición de vidas útiles y aplicación de un método de depreciación
<Numeral integrado y unificado en el Anexo 6.2.1.4.4 de la Resolución CRA 943 de 2021. Debe tenerse en cuenta lo dispuesto por el artículo 2.3.6.3.3.12 del Decreto 1077 de 2015>
La persona prestadora debe definir la vida útil de cada activo, para lo cual debe tener en cuenta lo establecido en el ANEXO II de la presente resolución.
La persona prestadora debe definir para cada activo su edad o fecha de construcción y su respectiva depreciación o demérito.
La persona prestadora debe aplicar el método de depreciación lineal para cada activo y el valor de activos calculado por la empresa en su estudio.
Para determinar el valor del VA, las personas prestadoras deberán establecer:
- El costo total de los activos de acuerdo con lo definido en el numeral 4.3. del presente anexo.
- El valor de la depreciación acumulada al día anterior a la fecha de inicio de aplicación de las tarifas resultantes de la presente metodología tarifaria, con base en las condiciones de vida útil y método <sic> depreciación utilizadas en la vigencia de la Resolución CRA 287 de 2004.
- La diferencia entre el costo total del activo y el valor de la depreciación acumulada.
5. Consideraciones
<Numeral integrado y unificado en el Anexo 6.2.1.4.5 de la Resolución CRA 943 de 2021. Debe tenerse en cuenta lo dispuesto por el artículo 2.3.6.3.3.12 del Decreto 1077 de 2015>
Sin perjuicio de las verificaciones a las que haya lugar por parte de la Superintendencia de Servicios Públicos Domiciliarios - SSPD en ejercicio de sus funciones, es importante reiterar a las personas prestadoras que deben soportar y sustentar técnica y financieramente los cálculos incluidos en el presente Anexo y del mismo modo verificar y validar cada uno de los pasos planteados anteriormente.
NOTAS AL FINAL:
1. Dársenas, canales, box-culvert, subestaciones eléctricas, laboratorios, válvulas, accesorios, hidrantes, talleres, equipos de telemetría y macromedición, pozos de inspección, cámaras, estaciones elevadoras, emisarios submarinos entre otros.




