RESOLUCIÓN CRA 712 DE 2015
(marzo 16)
Diario Oficial No. 49.466 de 27 de marzo de 2015
COMISIÓN DE REGULACIÓN DE AGUA POTABLE Y SANEAMIENTO BÁSICO
Por la cual se hace público el proyecto de Resolución 'por la cual se modifica, adiciona y aclara la Resolución CRA 688 de 2014', se da cumplimiento a lo previsto por el numeral 11.4 del artículo 11 del Decreto 2696 de 2004, y se inicia el proceso de discusión directa con los usuarios y agentes del sector.
LA COMISIÓN DE REGULACIÓN DE AGUA POTABLE Y SANEAMIENTO BÁSICO,
en ejercicio de sus facultades legales, en especial de las conferidas por las Leyes 142 de 1994 y 1450 de 2011, los Decretos 1524 de 1994, 2696 de 2004, 2882 y 2883 de 2007, y
CONSIDERANDO:
Que el artículo 2o de la Constitución Política de Colombia consagra como uno de los fines esenciales del Estado facilitar la participación de todos en las decisiones que los afectan;
Que el inciso 3o del artículo 78 ibídem establece que el Estado garantizará la participación de consumidores y usuarios en el estudio de las disposiciones que les conciernen;
Que la Corte Constitucional, mediante Sentencia C-150 de 2003, definió cuatro criterios guía para la participación ciudadana frente a las Comisiones de Regulación; a saber: (i) que los ciudadanos reciban la información correspondiente sobre el contenido proyectado de la futura regulación de manera oportuna; (ii) que puedan presentar propuestas; (iii) que las propuestas que presenten sean consideradas por la Comisión de Regulación competente en cada caso; y (iv) que la Comisión responda motivadamente las propuestas que se le formulen en relación con la regulación que por su especial trascendencia despertó el interés de los usuarios;
Que el Decreto 2696 de 2004 definió las reglas mínimas para garantizar la divulgación y participación en las actuaciones de las Comisiones de Regulación;
Que respecto de los proyectos regulatorios de carácter tarifario, en el numeral 11.1 del artículo 11 del Decreto 2696 de 2004, se estableció que antes de 12 meses de la fecha prevista para que termine la vigencia de las fórmulas tarifarias, se deberá poner en conocimiento de los prestadores y de los usuarios, las bases sobre las cuales se efectuará el estudio para determinar las fórmulas del período siguiente;
Que mediante el presente acto administrativo la Comisión de Regulación de Agua Potable y Saneamiento Básico (CRA), dando cumplimiento a lo establecido en el numeral 11.1 del artículo 11 del Decreto 2696 de 2004, hace público el proyecto de resolución “por la cual se modifica, adiciona y aclara la Resolución CRA 688 de 2014, se da cumplimiento a lo previsto por el numeral 11.4 del artículo 11 del Decreto 2696 de 2004, y se inicia el proceso de discusión directa con los usuarios y agentes del sector”.
Que de conformidad con lo estipulado en el numeral 11.3 del artículo 11 del Decreto 2696 de 2004, dichos eventos y discusiones constituyen elementos de juicio para la Comisión y, en consecuencia, no la comprometen;
Que en virtud de lo dispuesto en el numeral 11.4 del artículo 11 del Decreto 2696 de 2004, tres (3) meses antes de la fecha prevista para que inicie el período de vigencia de las fórmulas tarifarias, se deberán hacer públicos en la página web de la Comisión, los proyectos de metodologías y de fórmulas, los estudios respectivos y el texto del proyecto de resolución;
Que en aras de garantizar la transparencia de la información, el derecho de los prestadores y usuarios a participar en las decisiones regulatorias, la Comisión de Regulación de Agua Potable y Saneamiento Básico (CRA), dando cumplimiento al numeral 11.4 del artículo 11 del Decreto 2696 de 2004, presenta al público, a los agentes y a los terceros interesados, los estudios respectivos y el texto del proyecto de Resolución modificatoria de la Resolución CRA 688 de 2014 contentiva de la metodología tarifaria aplicable a las personas prestadoras de los servicios públicos domiciliarios de acueducto y alcantarillado con más de 5.000 suscriptores en el área urbana;
Que para garantizar la participación ciudadana de que trata la Constitución Política de 1991, la normatividad vigente y el citado pronunciamiento de la Corte Constitucional, se hace necesario poner a consideración de la ciudadanía en general, el presente proyecto de resolución, para que sea discutido, analizado y socializado, con el fin de que los interesados presenten observaciones o propuestas relacionadas con la modificación de la metodología tarifaria para los prestadores de los servicios públicos domiciliarios de acueducto y alcantarillado con más de 5.000 suscriptores en el área urbana;
Que en mérito de lo expuesto, la Comisión de Regulación de Agua Potable y Saneamiento Básico,
RESUELVE:
ARTÍCULO 1o. Hacer público el proyecto de resolución “por la cual se modifica, adiciona y aclara la Resolución CRA 688 de 2014”, en los siguientes términos:
La Comisión de Regulación de Agua Potable y Saneamiento Básico, en ejercicio de sus facultades legales, en especial de las conferidas por la Ley 142 de 1994, los Decretos 1524 de 1994, 2882 y 2883 de 2007 y,
CONSIDERANDO:
Que el artículo 334 de la Constitución Política de Colombia consagra que la dirección general de la economía estará a cargo del Estado, el cual intervendrá por mandato de la ley, entre otras actividades, en los servicios públicos y privados, para racionalizar la economía con el fin de conseguir el mejoramiento de la calidad de vida de los habitantes, la distribución equitativa de las oportunidades y los beneficios del desarrollo y la preservación de un ambiente sano;
Que el artículo 365 ibídem dispone que los servicios públicos son inherentes a la finalidad social del Estado y que es deber de este asegurar su prestación eficiente a todos los habitantes del territorio nacional;
Que el artículo 367 ídem determina que la ley fijará las competencias relativas a la prestación de los servicios públicos domiciliarios, su cobertura, calidad y financiación, el régimen tarifario y las entidades competentes para fijar las tarifas;
Que el artículo 370 de Constitución Política de Colombia prevé que corresponde al Presidente de la República señalar, con sujeción a la ley, las políticas generales de administración y control de eficiencia de los servicios públicos domiciliarios, y ejercer por medio de la Superintendencia de Servicios Públicos Domiciliarios, el control, la inspección y vigilancia de las entidades que los presten;
Que el artículo 68 de la Ley 142 de 1994 establece que el señalamiento de las políticas a que hace referencia el artículo 370 de la Constitución Política de Colombia, se podrá delegar en las Comisiones de Regulación;
Que en virtud de lo anterior, el Presidente de la República, mediante Decreto 1524 de 1994, delegó las funciones Presidenciales de señalar políticas generales de administración y control de eficiencia en los servicios públicos domiciliarios en las Comisiones de Regulación;
Que el artículo 73 de la Ley 142 de 1994 establece las funciones y facultades generales de las Comisiones de Regulación, y la misma norma dispone que estas Unidades Administrativas Especiales: “(...) tienen la función de regular los monopolios en la prestación de los servicios públicos, cuando la competencia no sea, de hecho, posible; y, en los demás casos, la de promover la competencia entre quienes presten servicios públicos, para que las operaciones de los monopolistas o de los competidores sean económicamente eficientes, no impliquen abuso de la posición dominante, y produzcan servicios de calidad. (...)”;
Que el régimen tarifario aplicable a los servicios públicos domiciliarios, de conformidad con el numeral 86.4 del artículo 86 ibídem, está compuesto por reglas relativas a procedimientos, metodologías, fórmulas, estructuras, estratos, facturación, opciones, valores y, en general, todos los aspectos que determinan el cobro de las tarifas;
Que el 24 de junio de 2014, fue expedida por la Comisión de Regulación de Agua Potable y Saneamiento Básico, la Resolución CRA 688 de 2014, la cual estableció la metodología tarifaria para las personas prestadoras de los servicios públicos domiciliarios de acueducto y alcantarillado con más de 5.000 suscriptores en el área urbana;
Que el acto administrativo en mención fue publicado el 31 de julio de 2014 en el Diario Oficial número 49229;
Que como consecuencia del proceso de socialización y capacitación efectuado por la Comisión de Regulación de Agua Potable y Saneamiento Básico respecto del nuevo marco tarifario contenido en la resolución referida, se recibieron observaciones y solicitudes de aclaración que fueron objeto de análisis por parte de esta Comisión, encontrando que se hace necesario modificar, adicionar y aclarar algunos aspectos de la Resolución CRA 688 de 2014;
Que adicionalmente, en la redacción del texto de la Resolución CRA 688 de 2014, se incurrió en errores de digitación que se hace necesario corregir;
Que en consideración a que es necesario modificar, adicionar y aclarar la Resolución CRA 688 de 2014 y someter a participación ciudadana el acto administrativo correspondiente, es preciso redefinir algunos aspectos tales como el año base de aplicación de la resolución y el año previo a la aplicación, redefinir los plazos para presentar la auto-declaración de inversiones a cargo de los prestadores y re-expresar a pesos de diciembre de 2014 los cálculos de los costos administrativos eficientes estándar y los costos operativos comparables eficientes estándar por suscriptor. Así mismo, es necesario modificar la fecha desde la cual inicia la aplicación de las tarifas y la vigencia de la fórmula tarifaria contenidas en la Resolución CRA 688 de 2014.
Que dentro de los aspectos que fueron objeto de observación por los usuarios, las entidades del sector y los prestadores de servicios públicos domiciliarios, se encuentra el alcance del ámbito de aplicación de la resolución, particularmente en aspectos relacionados con los sistemas de interconexión, los mercados regionales, las condiciones para la expedición de la certificación de viabilidad y disponibilidad del servicio previstas en el Decreto 3050 de 2013 en el área de prestación del servicio; el cálculo del DEA para áreas de prestación del servicio con un mismo sistema interconectado, la aplicación de los criterios de segmentación, los plazos y los criterios para calcular los costos administrativos;
Que en reuniones sostenidas con la Superintendencia de Servicios Públicos Domiciliarios, se evidenció la necesidad de aclarar la obligación de los prestadores de presentar la auto-declaración de inversiones, particularmente para facilitar el ejercicio de las acciones de inspección, vigilancia y control propias de dicha entidad;
Que adicionalmente se recibieron observaciones relacionadas con el alcance de la actividad del auditor externo de gestión y resultados, así como sobre la competencia de los jefes de control interno de las ESP públicas respecto de la evaluación de gestión de los prestadores de servicios públicos domiciliarios, aspecto que es necesario modificar;
Que por lo expuesto, la Comisión de Regulación de Agua Potable y Saneamiento Básico,
RESUELVE:
ARTÍCULO 1o. Modificar el artículo 1o de la Resolución CRA 688 de 2014, el cual quedará así:
“Artículo 1o. Ámbito de Aplicación. Esta resolución aplica a todas las personas prestadoras de los servicios públicos domiciliarios de acueducto y alcantarillado que a 31 de diciembre de 2013 atiendan más de 5.000 suscriptores en el área urbana de un municipio, más de 5.000 suscriptores en el área urbana de más de un municipio mediante un mismo sistema interconectado, o más de 5.000 suscriptores en el área urbana y rural de uno o más municipios mediante un mismo sistema interconectado.
Lo anterior, salvo las excepciones contenidas en la ley, particularmente las señaladas en el parágrafo 1o del artículo 87 de la Ley 142 de 1994. En todo caso, cuando en los contratos suscritos por las personas prestadoras de los servicios públicos domiciliarios de acueducto y alcantarillado para la prestación de estos servicios, se pacte la sujeción del mismo a la metodología tarifaria que expida la Comisión de Regulación de Agua Potable y Saneamiento Básico (CRA), se aplicará la resolución vigente, siempre y cuando las partes del mismo sean prestadores con más de 5.000 suscriptores en el área urbana.
En los casos que una persona prestadora provea ambos servicios, deberá tener en cuenta aquel en el que tiene un mayor número de suscriptores para definir si aplica la presente resolución.”
ARTÍCULO 2o. Adicionar el artículo 3o de la Resolución CRA 688 de 2014, el cual quedará así:
“Artículo 3o. Definiciones. Para la aplicación de la presente resolución se tendrán en cuenta las siguientes definiciones, además de las consignadas en la normativa vigente:
(…).
Sistema interconectado: Infraestructura de acueducto y/o alcantarillado que se encuentra físicamente conectada entre sí para la prestación de estos servicios en un conjunto de municipios.
(…)”.
ARTÍCULO 3o. Modificar el artículo 4 y adicionar el parágrafo 2 de la Resolución CRA 688 de 2014, el cual quedará así:
“Artículo 4o. Aplicación de la metodología por segmento. Para efectos de la aplicación de lo establecido en la presente resolución, se tendrá en cuenta lo siguiente:
Primer segmento. Las personas prestadoras tendrán que aplicar la metodología establecida para el primer segmento cuando atienda:
-- Un APS con más de 100.000 suscriptores en el área urbana.
-- Más de un APS mediante un mismo sistema interconectado y que en conjunto sume más de 100.000 suscriptores.
-- Más del 10% de los suscriptores del área urbana de las siguientes ciudades capitales: Armenia, Manizales, Montería, Neiva, Pasto, Popayán, Santa Marta, Sincelejo, Tunja, Valledupar y Villavicencio. Si alguna de estas personas prestadoras atiende otras APS con el mismo sistema interconectado, dichas APS también pertenecerán a este segmento.
Segundo segmento. Las personas prestadoras tendrán que aplicar la metodología establecida para el segundo segmento, con excepción de las APS incluidas en el primer segmento, cuando atienda:
-- Un APS que tenga entre 5.001 y 100.000 suscriptores en el área urbana.
-- Más de un APS mediante un mismo sistema interconectado y que en conjunto sume entre 5.001 y 100.000 suscriptores.
PARÁGRAFO 1o. Las personas prestadoras con APS del segundo segmento podrán aplicar la metodología correspondiente al primer segmento, teniendo en cuenta lo establecido en el parágrafo 3 del artículo 104 de la presente resolución. Una vez la persona prestadora informe que elige esta opción, no podrá, en ningún caso, aplicar la metodología para el segundo segmento.
PARÁGRAFO 2o. En aquellos casos en que con un mismo sistema interconectado la persona prestadora atienda suscriptores del área urbana y del área rural, deberá agregarlos para determinar el segmento que le corresponde.”
ARTÍCULO 4o. Modificar el año base y los parágrafos 2, 4 y 5 del artículo 5o de la Resolución CRA 688 de 2014, el cual quedará así:
“Artículo 5o. Año base. Para efectos de la presente resolución, se considerará como año base el 2014 y las personas prestadoras deberán expresar los costos de referencia en pesos de diciembre de dicho año.
(…).
PARÁGRAFO 2o. En aquellos casos en que por la entrada en operación de un prestador, no existiera información para el año base, este deberá aplicar de forma integral la metodología establecida en la presente resolución, teniendo en cuenta que el año base se entenderá como el año anterior de aplicación de la metodología tarifaria a partir del cual inicia la proyección de sus costos. En todo caso, deberá expresar los costos de referencia en pesos de diciembre de 2014.
(…).
PARÁGRAFO 4o. Para expresar los costos administrativos y operativos del año 2013 en pesos de diciembre 2014, se tomarán los costos registrados en los estados financieros y se les aplicará un factor de 1,0387. Para expresar los costos administrativos y operativos del año 2014 en pesos de diciembre de 2014 se aplicará un factor de 1,0106.
PARÁGRAFO 5o. Para efectos de la aplicación de la presente resolución, se entiende como año 0 el año 2014. Para efectos del cálculo de los costos eficientes estándar, el valor base corresponde al promedio del año 2013 y del año 2014.”
ARTÍCULO 5o. Modificar el artículo 6 de la Resolución CRA 688 de 2014, el cual quedará así:
“Artículo 6o. Año previo a la aplicación del marco tarifario. El año 2015 se considera el periodo para realizar los estudios y acciones previas para la aplicación de la metodología tarifaria contenida en la presente resolución. Las metas deberán definirse a partir del mes de enero del año 2016.”
ARTÍCULO 6o. Modificar el artículo 7 y su parágrafo 3, y adicionar los parágrafos 4 y 5 de la Resolución CRA 688 de 2014, el cual quedará así:
“Artículo 7o. Área de Prestación del Servicio (APS). Las personas prestadoras deberán definir un Área de Prestación del Servicio (APS) en cada uno de los municipios que atiende, en concordancia con los Planes de Ordenamiento Territorial (POT) y con los Planes Maestros de Acueducto y Alcantarillado, y reportarla al municipio respectivo. En los casos en que la persona prestadora atiende más de un municipio, independiente de si lo hace mediante sistemas interconectados o no, definirá un APS por cada municipio. Dicha definición consistirá en la presentación de un mapa geo-referenciado en formato shape, el cual deberá presentarse en el sistema de referencia MAGNA-SIRGAS o el sistema de coordenadas oficial que se encuentre vigente, delimitando exactamente el área en la cual cada persona prestadora prestará los servicios públicos domiciliarios de acueducto y alcantarillado, y dentro de la cual se compromete a cumplir los estándares de servicio establecidos en la presente resolución, así como a dar cumplimiento al Decreto 3050 de 2013, siempre que se den las condiciones previstas en el mismo, o la norma que lo modifique, adicione, sustituya o derogue.
PARÁGRAFO 3o. Las personas prestadoras deberán articular el POIR y la infraestructura existente con las decisiones de uso de suelo contenidas en los planes de ordenamiento territorial y los instrumentos que los desarrollen y complementen.
PARÁGRAFO 4o. Las personas prestadoras deberán calcular los costos de referencia de que trata la presente resolución, para cada APS, salvo en aquellos casos en que opten por lo dispuesto en los parágrafos 3 y 4 del artículo 27 de la presente resolución.
PARÁGRAFO 5o. En el caso en el que se genere una variación menor o igual al 10% del valor presente del POIR del APS definido para el cálculo de las tarifas como efecto de una modificación en las normas urbanísticas o de lo establecido en el Decreto 3050 de 2013 o aquel que lo modifique, adicione, sustituya o derogue, este podrá ser ajustado por la persona prestadora. Para tal efecto, deberá cumplir con las disposiciones contenidas en la sección 5.1.1. de la Resolución CRA 151 de 2001, o la norma que la modifique, adicione, sustituya o derogue, para el reporte de las variaciones tarifarias, y así mismo deberá remitir a la Comisión de Regulación de Agua Potable y Saneamiento Básico y a la Superintendencia de Servicios Públicos Domiciliarios los soportes que hayan generado tal variación”.
ARTÍCULO 7o. Modificar la fórmula de las metas anuales de nuevos suscriptores prevista en el artículo 11 de la Resolución CRA 688 de 2014, el factor de crecimiento vegetativo de las viviendas en el APS y el parágrafo 1o, el cual quedará así:
“Artículo 11. Número de suscriptores residenciales por facturar al cierre del año i para acueducto y alcantarillado (): El número al cierre del año i se calcula como el número de suscriptores al cierre del año anterior más la meta de nuevos suscriptores residenciales por facturar del año proyectado (), determinados así:
“(…) Para lo anterior deberá considerar la siguiente expresión:

Donde:
| Número de suscriptores residenciales facturados al cierre del año base para cada servicio público domiciliario. | |
| Número de suscriptores residenciales por facturar con posibilidad de servicio en el año mc para el servicio público domiciliario de acueducto. | |
![]()
| VSS: | Viviendas sin servicio al momento de la declaración del APS de acuerdo con lo definido en el artículo 8o de la presente resolución. |
| VNF: | Viviendas no facturadas con conexión, identificadas por la persona prestadora, al momento de la declaración del APS. |
| fVR: | Factor de crecimiento vegetativo de las viviendas en el APS, para lo cual la persona prestadora podrá tomar como información de referencia las proyecciones de población elaboradas por el DANE, realizando las estimaciones correspondientes de acuerdo con su propio conocimiento y situación de crecimiento poblacional. |
| mc: | Año en que alcanza la meta de cobertura definida para cada segmento, de acuerdo con lo establecido en el artículo 9o de la presente resolución. |
| Número de suscriptores residenciales por facturar con posibilidad de servicio en el año mc para el servicio público domiciliario de alcantarillado, el cual será igual al del servicio público domiciliario de acueducto descontando las soluciones particulares de vertimientos. | |
PARÁGRAFO 1o. Para la proyección de los años siguientes al año en que la persona prestadora alcanza su meta de cobertura (año mc), se tomará como meta anual de suscriptores el únicamente crecimiento vegetativo (…)”.
ARTÍCULO 8o. Modificar el factor de crecimiento anual de los suscriptores no residenciales del servicio público domiciliario de acueducto en el año i, señalado en el artículo 12 de la Resolución CRA 688 de 2014, el cual quedará así:
“Artículo 12. Número de suscriptores no residenciales por facturar al cierre del año i para acueducto (): El número de suscriptores no residenciales por facturar al cierre de cada año de proyección para el servicio público domiciliario de acueducto se calcula de acuerdo con la siguiente fórmula:
“ (…).
| fNRi: | Factor de crecimiento anual de los suscriptores no residenciales del servicio público domiciliario de acueducto en el año i, el cual la persona prestadora podrá estimar con base en la tasa de crecimiento del PIB departamental calculada por el DANE, o en caso de tener estimación propia, podrá incorporarla dejando soporte suficiente del estudio realizado para revisión de la autoridad de vigilancia y control”. |
ARTÍCULO 9o. Modificar el parágrafo del artículo 22 de la Resolución CRA 688 de 2014, el cual quedará así:
“Artículo 22. Costo Medio de Administración (). El Costo Medio de Administración de los servicios públicos domiciliarios de acueducto y alcantarillado se define de la siguiente manera:
(…).
PARÁGRAFO. A partir del año seis (6) y mientras la CRA, no fije una nueva fórmula tarifaria, se aplicará la siguiente fórmula con base en los mismos valores proyectados:
![]()
Donde:
| CAT5,ac/al: | Costos administrativos totales en el año 5 (pesos de diciembre del año base/por mes) para cada servicio público domiciliario, según lo definido en el artículo 23 de la presente resolución. |
| N5,ac/al: | Número de suscriptores facturados promedio del año 5 para cada servicio público domiciliario, según lo definido en el artículo 10 de la presente resolución.” |
ARTÍCULO 10. Actualizar la tabla de costos administrativos eficientes estándar por suscriptor mensual del segundo segmento y adicionar los parágrafos 3o y 4o del artículo 26 de la Resolución CRA 688 de 2014, el cual quedará así:
“Artículo 26. Costos administrativos eficientes estándar por suscriptor mensual (). Los costos administrativos eficientes estándar por suscriptor mensual se determinan según el segmento que corresponda, así:
Primer segmento: (…)
Segundo segmento:
Los costos administrativos eficientes estándar por suscriptor mensual del segundo segmento para cada servicio público domiciliario son:
Costos administrativos eficientes estándar por suscriptor mensual para el segundo segmento (pesos de diciembre de 2014)
| $4.402 suscriptor/mes | |
| $2.522 suscriptor/mes |
(…).
PARÁGRAFO 3o. El PDEA de costos administrativos para aquellas personas prestadoras con APS del segundo segmento, que optaron por aplicar la metodología correspondiente al primer segmento dando cumplimiento a lo establecido en el parágrafo 3o del artículo 104 de la presente resolución, será estimado e informado por la CRA comparando individualmente y sin modificar los puntajes de la muestra de las APS pertenecientes al primer segmento, es decir, se calculará el PDEA pero no harán parte de la muestra. Lo anterior, para quienes cumplan los parámetros mínimos establecidos en el Anexo II de la presente resolución, de lo contrario, deberán tomar el menor resultante de las empresas que hagan parte de la muestra, hasta tanto cumplan con dichos parámetros.
PARÁGRAFO 4o. El PDEA de costos administrativos para aquellas personas prestadoras que atienden APS tanto del primer segmento como del segundo, y que optaron por aplicar en estas últimas la metodología correspondiente al primer segmento según lo establecido en el parágrafo 3o del artículo 104 de la presente resolución, será el correspondiente al obtenido con la información del APS del primer segmento. Lo anterior aplica para quienes cumplan los parámetros mínimos establecidos en el Anexo II de la presente resolución, de lo contrario, deberán tomar el menor resultante de las empresas que hagan parte de la muestra, hasta tanto cumplan con dichos parámetros. Dicho puntaje podrá ser aplicado al costo administrativo unificado, tal como lo establece los parágrafos 3o y 4o del artículo 27 de la presente resolución”.
ARTÍCULO 11. Modificar el literal d) y el parágrafo 3o, y adicionar el parágrafo 4 del artículo 27 de la Resolución CRA 688 de 2014, el cual quedará así:
“Artículo 27. Criterios para calcular los costos administrativos. Los costos administrativos se calculan teniendo en cuenta los siguientes criterios:
(…).
d) Deberán incluirse los gastos generales relacionados con el funcionamiento, incluyendo los gastos por contratos administrativos que realice la persona prestadora para desarrollar actividades de negocio relacionadas directamente con la prestación de los servicios públicos domiciliarios de acueducto y alcantarillado. No se podrán incluir gastos relacionados con implementos deportivos, organización de eventos, eventos culturales, sostenimiento de semovientes y relaciones públicas. Los gastos relacionados en este criterio corresponden a la cuenta 5111 – Generales del PUC.
(…).
PARÁGRAFO 3o. Las personas prestadoras que cuenten con diferentes sistemas no interconectados de acueducto y alcantarillado a las que les aplique la presente resolución, podrán agregar la información correspondiente a la totalidad de estas APS, para que el cálculo del Costo Medio de Administración sea realizado de forma unificada, teniendo en cuenta que:
1. El cálculo de los costos administrativos eficientes estándares descritos en el artículo 26 de la presente resolución, se determinará según el segmento al que corresponda el APS con el mayor número de suscriptores.
2. La proyección del número de suscriptores de que tratan los artículos 10, 11, 12 y 13 de la presente resolución, así como la proyección del ICTA establecido en el artículo 28 de la presente resolución, deberá realizarse por APS manteniendo las condiciones de la metodología del segmento que le corresponda.
PARÁGRAFO 4o. Las personas prestadoras que atiendan con un mismo sistema interconectado dos o más APS, podrán agregar la información correspondiente a la totalidad de estas para el cálculo del Costo Medio de Administración de los servicios públicos domiciliarios de acueducto y alcantarillado, sumando los costos administrativos y teniendo en cuenta que, la proyección del número de suscriptores de que tratan los artículos 10, 11, 12 y 13 de la presente resolución, así como la proyección del ICTA establecido en el artículo 28 de la presente resolución, deberá realizarse por APS.”
ARTÍCULO 12. Modificar el parágrafo del artículo 29 de la Resolución CRA 688 de 2014, el cual quedará así:
“Artículo 29. Costo Medio de Operación (). El Costo Medio de Operación de los servicios públicos domiciliarios de acueducto y alcantarillado se define de la siguiente manera:
(…).
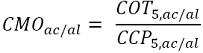
PARÁGRAFO. A partir del año seis (6) y mientras la CRA no fije una nueva fórmula tarifaria, se aplicará la siguiente fórmula con base en los mismos valores proyectados:

Donde:
| COT5,ac/al: | Costos operativos totales del año 5 (pesos de diciembre del año base) para cada servicio público domiciliario, según lo definido en el artículo 30 de la presente resolución. |
| CCP5,ac/al: | Consumo corregido por pérdidas en el año 5 para cada servicio público domiciliario (m3/año), según lo definido en el artículo 19 de la presente resolución.” |
ARTÍCULO 13. Actualizar la tabla de costos operativos comparables eficientes estándar por suscriptor mensual del segundo segmento y adicionar el parágrafo 3o del artículo 33 de la Resolución CRA 688 de 2014, el cual quedará así:
“Artículo 33. Costos operativos comparables eficientes estándar por suscriptor mensual (). Los costos operativos comparables eficientes estándar por suscriptor mensual se determinan según el segmento que corresponda, así:
Primer segmento: (…).
Segundo segmento:
Los costos operativos comparables eficientes estándar por suscriptor mensual del segundo segmento para cada servicio público domiciliario son:
Costos operativos comparables eficientes estándar por suscriptor mensual para el segundo segmento (pesos de diciembre de 2014)
| $10.654 suscriptor/mes | |
| $4.597 suscriptor/mes |
(…).
PARÁGRAFO 3o. El PDEA de costos operativos comparables para aquellas personas prestadoras que atienden APS del segundo segmento, que optaron por aplicar la metodología correspondiente al primer segmento, dando cumplimiento a lo establecido en el parágrafo 3o del artículo 104 de la presente resolución, será estimado e informado por la CRA comparando individualmente y sin modificar los puntajes de la muestra de las APS pertenecientes al primer segmento, es decir, se calculará el PDEA pero no harán parte de la muestra. Lo anterior, para quienes cumplan los parámetros mínimos establecidos en el Anexo II de la presente resolución, de lo contrario, deberán tomar el menor resultante de las empresas que hagan parte de la muestra, hasta tanto cumplan con dichos parámetros”.
ARTÍCULO 14. Modificar los literales c) y k), y adicionar el literal l) del artículo 34 de la Resolución CRA 688 de 2014, el cual quedará así:
“Artículo 34. Criterios para calcular los costos operativos comparables. Los costos operativos comparables se calculan teniendo en cuenta los siguientes criterios:
(…).
c) Solo podrán incluirse los costos relacionados con los pagos por contribuciones a Comités de Estratificación, que corresponden a la cuenta 753513 - Licencias, contribuciones y regalías del PUC.
(…).
k) Deberán incluir la remuneración de los activos operativos de propiedad de la persona prestadora, la cual se calculará con la siguiente fórmula:
![]()
Donde:
| RACTOPER: | Remuneración de los activos operativos de propiedad de la persona prestadora. |
| doper: | Depreciación anual de los activos operativos. Deberá incluirse la depreciación de activos operativos tales como muebles, enseres y equipo de oficina, equipo de comunicación y computación, equipos de transporte, tracción y elevación, equipo de comedor, cocina y hotelería y bienes adquiridos en leasing financiero, entre otras. Se deberán excluir las depreciaciones de los activos que se encuentren incluidos en el CMA o en el CMI. Los costos relacionados en este criterio corresponden a la cuenta 7515 – Depreciaciones del PUC. |
| FRC: | Factor de recuperación del capital, el cual corresponderá: |
Para el primer segmento: 27,93%
Para el segundo segmento: 28,27%
l) Deberán incluirse los costos de arrendamiento de los activos operativos afectos a la prestación del servicio que no sean de propiedad de la persona prestadora tales como terrenos, construcciones y edificaciones, maquinaria y equipo, equipo de oficina, equipo de computación y comunicación, equipo científico, flota y equipo de transporte y otros activos operativos. Se deberán excluir los arrendamientos de los activos que se encuentren incluidos en el CMA o en el CMI.
(…).
ARTÍCULO 15. Modificar el inciso primero del artículo 46 de la Resolución CRA 688 de 2014, en relación con la fórmula Base de Capital Regulada del Año Base y los parágrafos 4o, 5o y 6o, así:
“Artículo 46. Base de Capital Regulada del Año Base (). La base de capital regulada del año base para los servicios públicos domiciliarios de acueducto y alcantarillado se define de acuerdo con la siguiente expresión:
![]()
Donde:
| BCR0,j,ac/al: | Base de capital regulada del año base estimada al día anterior a la fecha de inicio de la aplicación de la metodología tarifaria (pesos de diciembre del año base) para cada servicio público domiciliario. |
| VI287,j,ac/al: | Valor de las inversiones por cobrar del plan de inversiones de la Resolución CRA 287 de 2004 (VPIRER) para cada servicio público domiciliario. Para su cálculo se seguirá el procedimiento previsto en el Anexo III de la presente resolución. |
| VIDif287,j,ac/al: | Valor por cobrar de los activos afectos a la prestación del servicio que se encuentran en funcionamiento en el año base, sin incluir las inversiones ejecutadas con base en los planes de inversión de la Resolución CRA 287 de 2004 (VPIRER) para cada servicio público domiciliario. Para su cálculo se seguirá lo dispuesto en el parágrafo 4 del presente artículo. |
Cada uno de los activos que hace parte de la BCR0.
(…).
PARÁGRAFO 4o. El valor por cobrar de los activos afectos a la prestación del servicio que se encuentran en funcionamiento en el año base (VIDif287,j,ac/al), se determinará de acuerdo con el valor registrado en los estados financieros, actualizado al día anterior a la fecha de inicio de aplicación de las tarifas resultantes de la presente metodología tarifaria, netos de depreciaciones, ajustado por inflación, sin incluir valorizaciones o con una valoración técnica, realizada según lo establecido en el ANEXO IV de la presente resolución. A partir de la fecha de aplicación de las tarifas resultantes de la presente resolución, el cálculo de la rentabilidad se realizará con base en la tasa de descuento, vidas útiles y método de depreciación lineal del presente marco tarifario.
PARÁGRAFO 5o. Las personas prestadoras que cuenten con una valoración de activos respecto de la cual la Comisión de Regulación de Agua Potable y Saneamiento Básico dispuso su aceptación mediante acto administrativo antes de la entrada en vigencia de las tarifas resultantes de la presente resolución, deberán tomarla para efectos de calcular el valor por cobrar de los activos afectos a la prestación del servicio, ajustándola de la siguiente manera:
i. Adicionar el valor de los activos que entraron en operación entre el año base de la valoración y la fecha de inicio de aplicación de la metodología tarifaria definida en la presente resolución, diferentes de las inversiones ejecutadas con base en la Resolución CRA 287 de 2004.
ii. Restar las bajas de activos y las depreciaciones correspondientes a ese período, tanto de los activos existentes como de los activos incorporados.
iii. Indexar cada uno de los valores de los activos, de acuerdo a la fecha que corresponda, para llevar toda la valoración de activos a pesos de diciembre del año base.
PARÁGRAFO 6o. Las personas prestadoras que atiendan con un mismo sistema interconectado dos o más APS, deberán calcular la BCR de forma unificada para los activos compartidos y de manera independiente por cada APS para los activos no compartidos”.
ARTÍCULO 16. Modificar el artículo 48 de la Resolución CRA 688 de 2014, el cual quedará así:
“Artículo 48. Depreciación del año i. La depreciación del año i corresponderá a las depreciaciones anuales por efectuar de los activos en operación, calculada con el método de depreciación lineal, de acuerdo con la siguiente fórmula:

Donde:
| diac/al: | Depreciación anual de los activos que hacen parte de la Base de Capital Regulada del año i (pesos de diciembre del año base) para cada servicio público domiciliario. |
| VAj,ac/al: | Valor total del activo j sin depreciación (pesos de diciembre del año base) para cada servicio público domiciliario. |
| j: | Corresponde a cada uno de los activos que se deprecian en el año i. |
| VUj,ac/al: | Vida útil del activo j (en años) para cada servicio público domiciliario, de acuerdo con lo establecido en el artículo 49 de la presente resolución. |
ARTÍCULO 17. Modificar el parágrafo 1o del artículo 49 de la Resolución CRA 688 de 2014, el cual quedará así:
“Artículo 49. Clasificación de activos e inversiones por grupo de activos y asignación de su vida útil regulada. Los activos e inversiones que conforman la BCR para los servicios públicos domiciliarios de acueducto y alcantarillado se clasifican de acuerdo con los grupos de la tabla que se presenta a continuación y les corresponderá la vida útil que tiene asignado dicho grupo de activos.
(…).
PARÁGRAFO 1o. Las vidas útiles de los equipos electromecánicos y otros activos serán incluidas por la persona prestadora dependiendo de cada caso. Estas vidas útiles deberán estar debidamente soportadas por al menos tres (3) fabricantes. Estos soportes estarán a disposición de la Superintendencia de Servicios Públicos Domiciliarios. En el evento en que para un mismo activo exista una vida útil diferente por cada proveedor, se deberá escoger la de mayor plazo. En el caso que no sea posible soportar la vida útil de algunos equipos electromecánicos de acuerdo con lo solicitado, la persona prestadora podrá optar por utilizar como vida útil, la definida para efectos contables (…)”.
ARTÍCULO 18. Adicionar el inciso 21 del artículo 50 de la Resolución CRA 688 de 2014, así:
“Artículo 50. Plan de Obras e Inversiones Regulado (POIR). El Plan de Obras e Inversiones Regulado (POIR) es el conjunto de proyectos que la persona prestadora considera necesario llevar a cabo para disminuir las diferencias frente a los estándares del servicio exigidos durante el período de análisis, en el APS de cada uno de los municipios que atiende. La persona prestadora deberá tener en cuenta en la definición de cada uno de los proyectos incluidos en el POIR los componentes técnicos, de gestión ambiental y gestión de riesgos.
(…)
En todo caso, los proyectos que se incluyan en el POIR corresponderán a aquellos que se financien exclusivamente vía tarifa.
En el evento que una entidad pública realice aportes de los que trata el artículo 87.9 de la Ley 142 de 1994, modificado por el artículo 99 de la Ley 1450 de 2011, la persona prestadora deberá descontarlo de la tarifa una vez entre en operación, de lo cual informará a la SSPD y a la CRA. En todo caso, las metas definidas en el artículo 107 de la presente resolución no se modificarán como consecuencia de aportes de este tipo.
(…)”.
ARTÍCULO 19. Modificar los incisos 2o y 3o del artículo 52 de la Resolución CRA 688 de 2014, el cual quedará así:
“Artículo 52. Criterios para definir los proyectos en el POIR. Para definir los proyectos que se incluirán en el POIR, las personas prestadoras deberán realizar un ejercicio de planeación, enfocándose en aquellas inversiones que permitan disminuir las diferencias frente a los estándares del servicio relacionados con las dimensiones de cobertura, calidad y continuidad. El conjunto de proyectos de cada grupo, definido en el artículo 50, debe disminuir las diferencias hasta alcanzar los estándares de servicio de cada dimensión, en concordancia con el artículo 9o de la presente resolución.
Los recursos recaudados a través del CMI que corresponden al POIR, deben enfocarse a financiar proyectos que permitan disminuir las diferencias frente a los estándares del servicio, dando prioridad a aquellos que logren en el menor tiempo, y a los menores costos posibles, mejoras en el cumplimiento de las metas proyectadas para cada dimensión. Para lo anterior, se deberá atender, entre otras, la reglamentación que sobre el orden de prioridades se encuentra definida en el Reglamento Técnico del Sector de Agua Potable y Saneamiento Básico RAS - 2000 o en la norma que lo modifique, adicione, sustituya o derogue.
Se deberán incluir dentro del POIR proyectos de expansión de abastecimiento con una anticipación suficiente para no afectar la continuidad del servicio de acueducto, antes de que la proyección del agua producida sea mayor a la capacidad existente (…)”.
ARTÍCULO 20. Modificar el inciso primero y el parágrafo 3, y adicionar los parágrafos 5o y 6o, del artículo 54 de la Resolución CRA 688 de 2014, así:
“Artículo 54. Costo Medio Generado por Tasas Ambientales para Acueducto (). El costo medio generado por tasas ambientales para el servicio público domiciliario de acueducto en el APS de cada uno de los municipios que atiende la persona prestadora, se define con referencia a la tasa por utilización del agua establecida por la autoridad ambiental, o aquella que la modifique, adicione, sustituya o derogue con la siguiente fórmula:
(…).
PARÁGRAFO 3o. El valor del corresponderá al valor de la última vigencia cobrada por la autoridad ambiental. No se podrá incluir en las tarifas el cobro de más de una vigencia.
(…).
PARÁGRAFO 5o. Las personas prestadoras beneficiarias en los contratos de suministro de agua potable, deberán incluir el valor correspondiente al costo generado por tasas ambientales para acueducto indicado por el proveedor () el cual se calcula con base en la siguiente fórmula:
![]()
Donde:
| COSTO_CSAPITA,ac: | Pagos por concepto de contratos de suministro de agua potable correspondiente al costo generado por tasas ambientales para acueducto. |
| COSTO_CSAPIacl: | Pago total por concepto de contratos de suministro de agua potable definido en el artículo 56 de la presente resolución. |
| PTA: | Porcentaje de tasas ambientales reportado por el proveedor de acuerdo con lo establecido en el artículo 57 de la presente resolución. |
PARÁGRAFO 6o. Las personas prestadoras proveedoras en los contratos de suministro de agua potable, deberán descontar el valor correspondiente al costo generado por tasas ambientales para acueducto por dichos contratos, pactados con base en lo establecido en la Resolución CRA 608 de 2012 o aquella que la modifique, adicione, sustituya o derogue.”
ARTÍCULO 21. Modificar el inciso primero y adicionar los parágrafos 3o y 4o, del artículo 55 de la Resolución CRA 688 de 2014, así:
“Artículo 55. Costo Medio Generado por Tasas Ambientales para Alcantarillado (). El costo medio generado por tasas ambientales para el servicio público de alcantarillado en el APS de cada uno de los municipios que atiende la persona prestadora, se define con referencia a la tasa retributiva por la utilización directa o indirecta del agua como receptor de vertimientos puntuales, o aquella que la modifique, adicione, sustituya o derogue, y se determinará por separado para los suscriptores con caracterización de los vertimientos con base en la siguiente fórmula:
(…).
PARÁGRAFO 3o. Las personas prestadoras beneficiarias en los contratos de interconexión de alcantarillado, que incluyan el acceso al subsistema de tratamiento y/o disposición final de aguas residuales, deberán adicionar el valor correspondiente al costo generado por tasas ambientales para alcantarillado indicado por el proveedor () el cual se calcula con base en la siguiente fórmula:
![]()
Donde:
| COSTO_CSAPITA,al: | Pagos por concepto de contratos de interconexión correspondiente al costo generado por tasas ambientales para alcantarillado. |
| COSTO_CSAPIal | Pago total por concepto de contratos de interconexión de alcantarillado definido en el artículo 56 de la presente resolución. |
| PTA: | Porcentaje de tasas ambientales reportado por el proveedor de acuerdo con lo establecido en el artículo 57 de la presente resolución. |
PARÁGRAFO 4o. Las personas prestadoras proveedoras en los contratos de interconexión de alcantarillado, que incluyan el acceso al subsistema de tratamiento y/o disposición final de aguas residuales, deberán descontar el valor correspondiente al costo generado por tasas ambientales para alcantarillado por dichos contratos, pactados con base en lo establecido en la Resolución CRA 608 de 2012 o aquella que la modifique, adicione, sustituya o derogue.”
ARTÍCULO 22. Modificar el parágrafo del artículo 61 de la Resolución CRA 688 de 2014, el cual quedará así:
“Artículo 61. Costo medio de operación hasta el subsistema de suministro de agua potable del sistema de acueducto (). El costo medio de operación hasta el subsistema de suministro se determina de acuerdo con la siguiente fórmula:
(…).
PARÁGRAFO. Para el cálculo del costo medio de operación comparable se deberá separar el costo de operación total asociado al subsistema de suministro en el año i (pesos de diciembre del año base) establecido en la fórmula como , entre costos comparables y particulares y aplicar en dicho cálculo el denominador establecido en el presente artículo”.
ARTÍCULO 23. Modificar el parágrafo del artículo 65 de la Resolución CRA 688 de 2014, el cual quedará así:
“ARTÍCULO 65. Costo medio de operación hasta el subsistema de transporte de agua potable del sistema de acueducto (). El costo medio de operación hasta el subsistema de transporte se determina de acuerdo con la siguiente fórmula:
(…).
PARÁGRAFO. Para el cálculo del costo medio de operación comparable del subsistema se deberá separar, el costo de operación total asociado al subsistema de transporte en el año i (pesos de diciembre del año base) establecido en la fórmula como entre costos comparables y particulares y aplicar en dicho cálculo el denominador establecido en el presente artículo”.
ARTÍCULO 24. Modificar el inciso 6 del artículo 85 de la Resolución CRA 688 de 2014, el cual quedará así:
“Artículo 85. Estructura. La formulación de los descuentos definidos en el presente título está basada en indicadores, a través de los cuales se estima el nivel de incumplimiento frente a las metas para alcanzar los estándares de calidad del servicio que aplican a los servicios públicos domiciliarios de acueducto y alcantarillado, desde la perspectiva de la gestión técnica y comercial.
(…).
Para los indicadores de continuidad y reclamos comerciales, la persona prestadora calculará los descuentos con información propia y el Auditor Externo de Gestión y Resultados o quien haga sus veces, verificará previamente dicha información (…)”.
ARTÍCULO 25. Modificar el artículo 86 de la Resolución CRA 688 de 2014, el cual quedará así:
“Artículo 86. Cálculo del Indicador de Calidad del Agua Potable (ICAP). La expresión que permite determinar este indicador es la siguiente:

Donde:
| p: | Corresponde a cada uno de los seis (6) meses continuos analizados dentro del semestre; y toma valores entre uno (1) y seis (6), donde el último mes es el mes actual de análisis m. |
| m: | Número del mes analizado dentro del semestre en estudio que varía entre 1 y 6. |
| ICAP: | Indicador de Calidad del Agua Potable basado en el promedio semestral de los valores mensuales del IRCA. |
| IRCAp: | Índice de riesgo de la calidad del agua para consumo humano (IRCA) por municipio y por persona prestadora del mes p, definido en los artículos 13 y 14 de la Resolución No. 2115 de 2007 o la norma que la modifique, adicione o derogue. Este índice corresponde al calculado mensualmente con muestras de vigilancia de la red de distribución, que las autoridades sanitarias correspondientes reportan al SIVICAP. |
PARÁGRAFO 1o. Cuando no sea posible determinar el indicador establecido en el presente artículo por falta de información o por deficiencia de la misma, el valor de incumplimiento establecido en el artículo 87 de la presente resolución y el descuento por suscriptor establecido en el ARTÍCULO 88 de la presente resolución, quedarán suspendidos hasta que la información reportada por la autoridad sanitaria en el SIVICAP sea suficiente para el cálculo del indicador de calidad del agua.
PARÁGRAFO 2o. El ICAP está expresado semestralmente y se calculará con la información que la autoridad sanitaria correspondiente reporte mensualmente en el SIVICAP”.
ARTÍCULO 26. Modificar el artículo 89 de la Resolución CRA 688 de 2014, el cual quedará así:
“Artículo 89. Cálculo de los Indicadores de Continuidad (ICONm,l, ICONm,TOTAL y CICON). Estos indicadores únicamente aplicarán para el servicio público domiciliario de acueducto. Los indicadores de continuidad deben ser determinados de forma general para todo el sistema de la persona prestadora en el APS analizada y para cada una de las rutas de lectura. Para determinar los indicadores de continuidad, la persona prestadora deberá cargar en el SUI, con una periodicidad mensual, la información que se relaciona en la siguiente tabla:
Información base para el cálculo del indicador de continuidad con el cual se realizarán los descuentos
| A | B | C | D | E (E=D/C) | F | G | H (H=G-F) | I (I=D*H) | ||
| Afectación del servicio No. | Código Ruta de Lectura afectada | Suscriptores totales de la Ruta de Lectura afectada | Suscriptores afectados en la Ruta | % de suscriptores afectados en la Ruta | Inicio del Tiempo de afectación | Fin del Tiempo de afectación | Tiempo de afectación | Tiempo total de afectación | ||
| Fecha | Hora | Fecha | Hora | (d) | (d*suscriptores) | |||||
| 1 | ||||||||||
| 2 | ||||||||||
| l | TAp,q,l | |||||||||
| 3 | ||||||||||
| Q | ||||||||||
| nc | ||||||||||
| TAp,TOTAL | ||||||||||
Donde:
| p: | Corresponde a cada uno de los seis (6) meses continuos analizados dentro del semestre; y toma valores entre uno (1) y seis (6), donde el último mes es el mes actual de análisis . |
| m: | Número del mes analizado dentro del semestre en estudio que varía entre 1 y 6. |
| q: | Número de la afectación analizada por continuidad del servicio. |
Ruta de lectura afectada
| nc: | Número total de afectaciones en la continuidad del servicio por cualquier causa presentados en el mes p, en el APS analizada. |
| TAp,q,l: | Tiempo de afectación en la ruta de lectura perteneciente a la afectación número q, que se presentó durante el mes p. Este parámetro se obtiene de multiplicar el número de suscriptores afectados en cada ruta de lectura (Columna D en la tabla) por el tiempo que duró la afectación en días (Columna H en la tabla). |
| TAp,TOTAL: | Tiempo total de afectación del sistema, el cual se obtiene como la sumatoria de todos los TAp,q,l presentados durante el mes p en el APS analizada. |
Para efectos del presente capítulo, las denominadas rutas de lectura se entenderán como el conjunto de puntos de consumo asociados a cuentas internas, cuyos medidores son leídos de forma ordenada uniendo dos puntos geográficos extremos a través de calles, para tomar la lectura de los medidores y posteriormente determinar los consumos en el proceso de facturación de cada punto.
Las expresiones para que cada persona prestadora determine el índice de continuidad en el APS del municipio para cada uno de los seis (6) meses del semestre de análisis de forma discriminada por cada ruta de lectura y general para todo el sistema, son las siguientes:

Donde:
| ICONm,l: | Índice de continuidad para la ruta de lectura y el mes m. |
| ICONm,TOTAL: | Índice de continuidad general de todo el sistema de la persona prestadora en el APS analizada para el mes m. |
| TAp,RUTAl: | Tiempo de afectación mensual por continuidad del servicio para la misma ruta de lectura , durante el mes p. Este parámetro se calcula sumando todos los TAp,q,l de la misma ruta de lectura que pertenecen al mismo mes p, sin importar que correspondan a diferentes afectaciones. |
| TAp,TOTAL: | Tiempo total de afectación del sistema, el cual se obtiene por municipio y persona prestadora como la sumatoria de todos los TAp,q,l presentados durante el mes p. |
| NTUl: | Promedio durante el periodo de evaluación analizado, del número total de suscriptores de la ruta de lectura l. Al finalizar el semestre de análisis, este parámetro deberá corresponder al promedio del total de suscriptores de la ruta de lectura , durante dicho semestre. |
| NTUTOTAL: | Promedio durante el periodo de evaluación analizado, del número total de suscriptores del sistema en el APS analizada de la persona prestadora. Al finalizar el semestre de análisis, este parámetro deberá corresponder al promedio del total de suscriptores del sistema en el APS durante dicho semestre para el municipio analizado de la persona prestadora. |
| dcp: | Número de días calendario del mes p. |
| dfm: | Número de días de afectación por continuidad admisible por mes igual a 0,5 días. |
A partir del índice de continuidad general de todo el sistema en el APS analizada (ICONm,TOTAL) y con base en la meta de continuidad para el semestre de análisis, se determina el índice de cumplimiento de continuidad que se tomará para establecer el descuento del servicio público domiciliario de acueducto, mediante la siguiente expresión:
![]()
Donde:
| CICON: | Índice de cumplimiento de continuidad para el servicio público domiciliario de acueducto, teniendo en cuenta como referencia la meta del POIR para el semestre de análisis. El indicador que se debe tener en cuenta para establecer el descuento corresponde al calculado con el ICON6,TOTAL de cada semestre analizado. |
| MICON: | Meta de continuidad establecida para el semestre de análisis, la cual está dada en fracción y es igual a la meta de diciembre del año anterior establecida dentro del POIR. |
PARÁGRAFO 1o. En el evento que una persona prestadora cuente con suscriptores que no pertenezcan a ninguna ruta de lectura, para efectos de establecer el indicador de continuidad asociado a dichos suscriptores, estos se deberán identificar por la cuenta interna y por la dirección de entrega de facturas.
PARÁGRAFO 2o. El CICON está expresado sobre una base de cálculo semestral, no obstante, los parámetros con los cuales se calcula dicho indicador deberán ser reportados al SUI con una periodicidad mensual”.
ARTÍCULO 27. Modificar el artículo 92 de la Resolución CRA 688 de 2014, el cual quedará así:
“Artículo 92. Indicador de Reclamos Comerciales (IQRm y CIQR). Este indicador medirá el número de reclamos comerciales por exactitud en la facturación, resueltos a favor del suscriptor en segunda instancia, por cada 1.000 suscriptores durante el periodo de evaluación analizado. La expresión para determinar mensualmente este indicador es la siguiente:
![]()
Donde:
| p: | Corresponde a cada uno de los seis (6) meses continuos analizados dentro del semestre; y toma valores entre uno (1) y seis (6), donde el último mes es el mes actual de análisis . |
| m: | Número del mes analizado dentro del semestre en estudio que varía entre 1 y 6. |
| IQRm: | Índice de reclamos comerciales para el mes m, dado en número de reclamos comerciales por facturación resueltos a favor del suscriptor en segunda instancia por cada 1.000 suscriptores por m meses (al finalizar el semestre, dicho indicador se expresaría en número de reclamos comerciales por facturación resueltos a favor del suscriptor en segunda instancia por cada 1.000 suscriptores por semestre). |
| RCp: | Total de reclamos comerciales por exactitud en la facturación, resueltos a favor del suscriptor en segunda instancia, durante el mes p perteneciente al semestre de análisis, cuyo valor debe ser suministrado por cada persona prestadora y discriminado por municipio. |
| mf: | Factor de periodicidad en la facturación que equivale al número de meses dentro del ciclo de facturación. |
| NTU: | Promedio durante el periodo de evaluación analizado, del número total de suscriptores del sistema y en el APS analizada para el servicio público domiciliario de acueducto. Al finalizar el semestre de análisis, este parámetro deberá corresponder al promedio del total de suscriptores del sistema durante dicho semestre que pertenecen al APS analizada. |
Teniendo en cuenta el estándar de eficiencia y la gradualidad de disminución de la diferencia que sobre este estándar de servicio se establece en el artículo 9o de la presente resolución, se define el siguiente indicador de cumplimiento de la meta de reclamos comerciales que se tendrá en cuenta para el cálculo del descuento correspondiente:
![]()
Donde:
| CIQR: | Índice de cumplimiento de reclamos comerciales teniendo como referencia la meta establecida para el mes m de análisis. El indicador que se debe tener en cuenta para el cálculo del descuento corresponde al calculado con el IQR6 de cada semestre analizado. |
| MIQRm: | Índice de reclamos comerciales establecido como meta para el mes m del semestre de análisis, el cual se calcula de la siguiente forma: |
![]()
Donde:
| MIQRi: | Es la meta de reclamos comerciales establecida para el año analizado i, la cual está expresada en número de reclamos comerciales por cada 1.000 suscriptores por año. |
PARÁGRAFO. El IQR está expresado sobre una base de cálculo semestral, no obstante, la información correspondiente al RCp y al IQRm deberá ser reportada al SUI con una periodicidad mensual y discriminada por municipio”.
ARTÍCULO 28. Aclarar el último inciso del artículo 94 de la Resolución CRA 688 de 2014, el cual quedará así:
“Artículo 94. Descuento aplicable al suscriptor asociado a los reclamos comerciales (DIQRS,ac/al). El descuento aplicable al suscriptor final de cada servicio, asociado con el valor por incumplimiento de la persona prestadora con relación a la meta de reclamos comerciales, se define de la siguiente manera:
(…).
Los descuentos definidos en este artículo para cada servicio, únicamente podrán aplicarse a los suscriptores en el APS analizada que hayan presentado reclamaciones comerciales por exactitud en la facturación y que a su vez estas hayan sido resueltas a su favor, de acuerdo con el alcance de la decisión de la SSPD, durante el semestre de análisis”.
ARTÍCULO 29. Modificar el artículo 97 de la Resolución CRA 688 de 2014, el cual quedará así:
“Artículo 97. Verificación de los indicadores. Toda la información con la cual se calculan los indicadores asociados con la continuidad del servicio y los reclamos comerciales por exactitud en la facturación, incluyendo los cálculos correspondientes, deberá estar debidamente verificada por el Auditor Externo de Gestión de Resultados o quien haga sus veces. La persona prestadora únicamente podrá reportar esta información al SUI si el proceso de verificación ha finalizado satisfactoriamente”.
ARTÍCULO 30. Modificar el artículo 98 de la Resolución CRA 688 de 2014, el cual quedará así:
“Artículo 98. Verificación de la estimación de los descuentos. El Auditor Externo de Gestión de Resultados o quien haga sus veces, también verificará la estimación de los descuentos definidos en el presente título, lo cual incluye la verificación de la información con la cual se estiman los descuentos y los cálculos correspondientes. Dentro de este proceso de verificación se deben tener en cuenta los descuentos asociados con la calidad del agua potable, la continuidad del servicio y la reclamación comercial por exactitud en la facturación de los servicios públicos domiciliarios de acueducto y alcantarillado. La persona prestadora únicamente podrá reportar al SUI la información correspondiente a la estimación de los descuentos si su proceso de verificación ha finalizado satisfactoriamente”.
ARTÍCULO 31. Modificar el artículo 99 de la Resolución CRA 688 de 2014, el cual quedará así:
“Artículo 99. Certificación de la aplicación de los descuentos. Los descuentos definidos en el presente título podrán ser aplicados a los suscriptores afectados únicamente si su estimación se encuentra debidamente reportada en el SUI como lo establecen el artículo 97 y el artículo 98 de la presente resolución. El Auditor Externo de Gestión de Resultados o quien haga sus veces, igualmente certificará la correcta y efectiva aplicación de los descuentos a los suscriptores afectados”.
ARTÍCULO 32. Modificar el inciso primero del artículo 100 de la Resolución CRA 688 de 2014, el cual quedará así:
“Artículo 100. Reporte de la información de verificación. Las personas prestadoras deberán reportar mensualmente ante la Superintendencia de Servicios Públicos Domiciliarios en las condiciones y medios que esta establezca, toda la información producto del proceso de verificación establecido en el presente capítulo”.
ARTÍCULO 33. Modificar el artículo 104 de la Resolución CRA 688 de 2014, el cual quedará así:
“Artículo 104. Revisión de Información y Plazos. Las personas prestadoras de los servicios públicos domiciliarios de acueducto y alcantarillado deberán elaborar sus estudios de costos antes de la fecha prevista en el artículo 114 de la presente resolución.
(…)”.
Las personas prestadoras del segmento 2, que opten por aplicar la metodología establecida para el segmento 1 conforme con lo previsto en el artículo 4o de la Resolución CRA 688 de 2014, contarán con un mes adicional a partir de la publicación en el Diario Oficial de la presente resolución modificatoria de la Resolución CRA 688 de 2014, para enviar a la Comisión de Regulación de Agua Potable y Saneamiento Básico una comunicación informando tal decisión.
Las personas prestadoras del segmento 2 que informaron su decisión dentro del término previsto en el parágrafo 1o del artículo 104 de la Resolución CRA 688 de 2014, no estarán obligadas a informar nuevamente.
ARTÍCULO 34. Aclarar el artículo 105 de la Resolución CRA 688 de 2014, el cual quedará así:
Artículo 105. Autodeclaración de inversiones de la Resolución CRA 287 de 2004. Las personas prestadoras deberán realizar la autodeclaración de las inversiones planeadas y ejecutadas incluidas en los Planes de Inversión de los estudios de costos establecidos con base en la Resolución CRA 287 de 2004, de conformidad con la metodología establecida en el Anexo III de la presente resolución.
PARÁGRAFO. Las inversiones que hayan sido planeadas por la persona prestadora en su Plan de Inversiones durante la vigencia de la Resolución CRA 287 de 2004, deberán ser ejecutadas en el plazo señalado en su estudio de costos.
ARTÍCULO 35. Modificar el artículo 108 de la Resolución CRA 688 de 2014, el cual quedará así:
“Artículo 108. Vigilancia y control de los indicadores. La vigilancia y el control sobre los indicadores de servicio y de eficiencia la realizará la Auditoría Externa de Gestión y Resultados o quien haga sus veces, de acuerdo con lo establecido en la ley y la normativa vigente”.
ARTÍCULO 36. Aclarar la fórmula base de capital regulada cero para el siguiente marco tarifario, contenida en el artículo 110 de la Resolución CRA 688 de 2014, la cual quedará así:
“Artículo 110. Base de capital regulada cero para el siguiente marco tarifario. La Base de Capital Regulada cero para el siguiente marco se determinará de acuerdo con la siguiente fórmula:
![]()
(…)”.
ARTÍCULO 37. Modificar el inciso 2o del artículo 112 de la Resolución CRA 688 de 2014, el cual quedará así:
“Artículo 112. Reporte de información. Las personas prestadoras deberán reportar la información requerida, en la oportunidad y calidad establecidas en la presente resolución y en el esquema de reporte de información definido por la Superintendencia de Servicios Públicos Domiciliarios. El incumplimiento a la presente disposición ocasionará las sanciones establecidas en la ley.
Además de lo anterior, las personas prestadoras deberán tener a disposición de la Comisión de Regulación de Agua Potable y Saneamiento Básico (CRA), de la Superintendencia de Servicios Públicos Domiciliarios (SSPD), y de la entidad pública que lo requiera en ejercicio de sus funciones, la información relacionada con la prestación de los servicios públicos domiciliarios de acueducto y alcantarillado, que se le solicite, de acuerdo con las competencias de cada entidad”.
ARTÍCULO 38. Modificar el artículo 113 de la Resolución CRA 688 de 2014, el cual quedará así:
“Artículo 113. Vigencia de la Fórmula Tarifaria. La fórmula tarifaria general regirá por un periodo de cinco años, contados a partir del primero (1o) de enero de 2016. Una vez vencido dicho periodo, la fórmula seguirá rigiendo mientras la Comisión de Regulación de Agua Potable y Saneamiento Básico no determine una nueva”.
ARTÍCULO 39. Modificar el inciso 1o del artículo 114 de la Resolución CRA 688 de 2014, el cual quedará así:
“Artículo 114. Aplicación de las tarifas derivadas de la presente resolución. Las tarifas resultantes de la presente resolución comenzarán a aplicarse a partir del primero (1o) de enero de 2016, fecha en que iniciará el cobro a los suscriptores de las tarifas de los servicios públicos domiciliarios de acueducto y alcantarillado”.
ARTÍCULO 40. Aclarar el artículo 115 de la Resolución CRA 688 de 2014, el cual quedará así:
“Artículo 115. Progresividad en la aplicación de las tarifas para el segundo segmento. En el evento en el cual las personas prestadoras pertenecientes al segundo segmento apliquen las tarifas resultantes de la metodología establecida en la presente resolución y estas sean superiores a las que se tienen actualmente, podrán optar por aplicarlas de manera progresiva, mediante un plan mensual cuyo plazo no supere dos años, contados desde el primero (1o) de enero de 2016. Dicho plan podrá ser revisado periódicamente por la Superintendencia de Servicios Públicos Domiciliarios. En todo caso, la persona prestadora deberá cumplir con las metas definidas en el artículo 106 de la presente resolución”.
ARTÍCULO 41. Aclarar el inciso 3o del artículo 118 de la Resolución CRA 688 de 2014, relativo al Costo Medio de Operación, al cual hace referencia el numeral 2 del artículo 9o de la Resolución CRA 608 de 2012, el cual quedará así:
“Artículo 118. Modificación del numeral 2 del artículo 9o de la Resolución CRA 608 de 2012. El numeral 2 del artículo 9 de la Resolución CRA 608 de 2012 quedará así:
(…).
Alternativamente, y hasta el momento en que comiencen a aplicarse las tarifas resultantes de la metodología tarifaria general expedida mediante la Resolución CRA 688 de 2014, el proveedor podrá adoptar, entre otras, alguna de las siguientes opciones: (…)”.
ARTÍCULO 42. Aclarar el inciso 3o del Costo Medio de Operación del literal a) del artículo 119 de la Resolución CRA 688 de 2014, el cual quedará así:
“Artículo 119. Modificación del literal a) del artículo 10 de la Resolución CRA 608 de 2012. El literal a) del artículo 10 de la Resolución CRA 608 de 2012 quedará así:
(…).
Alternativamente, y hasta el momento en que comiencen a aplicarse las tarifas resultantes de la metodología tarifaria general expedida mediante la Resolución CRA 688 de 2014, el proveedor podrá adoptar, entre otras, alguna de las siguientes opciones: (…)”.
ARTÍCULO 43. Aclarar el inciso 3o del Costo Medio de Operación del literal a) del artículo 120 de la Resolución CRA 688 de 2014, el cual quedará así:
“Artículo 120. Modificación del literal a) del artículo 11 de la Resolución CRA 608 de 2012. El literal a) del artículo 11 de la Resolución CRA 608 de 2012 quedará así:
(…).
Alternativamente, y hasta el momento en que comiencen a aplicarse las tarifas resultantes de la metodología tarifaria general expedida mediante la Resolución número 688 de 2014, el proveedor podrá adoptar, entre otras, alguna de las siguientes opciones: (…)”.
ARTÍCULO 44. Modificar el Anexo II de la Resolución CRA 688 de 2014, el cual quedará así:
“ANEXO II
METODOLOGÍA PARA DETERMINAR EL PUNTAJE DE EFICIENCIA COMPARATIVA (PDEA)
La metodología para determinar el Puntaje de Eficiencia Comparativa (PDEA) de los costos administrativos y operativos comparables será el Análisis de la Envolvente de Datos (DEA: Data Envelopment Analysis), el cual aplica en las APS pertenecientes al primer segmento y a las APS del segundo segmento que opten por aplicar la metodología del primer segmento, teniendo en cuenta lo definido en el artículo 4o de la presente resolución.
Para las APS del primer segmento, la Comisión de Regulación de Agua Potable y Saneamiento Básico establecerá una muestra, con aquellas que cumplan con los parámetros mínimos de inclusión y que, sus datos reportados muestren un comportamiento consistente en el tiempo (identificación de datos atípicos). Para ello, la CRA evaluará el reporte anual de las variables del modelo para costos administrativos y operativos comparables, realizado por parte de las personas prestadoras en la serie de tiempo 2010-2014.
Los puntajes se calcularán tomando el promedio de las variables del año base y del año inmediatamente anterior. Dicha muestra y el valor de las variables con cuales se calcularán los PDEA serán informados a las personas prestadoras mediante resolución, la cual surtirá el proceso de participación ciudadana.
Para las APS del segundo segmento que opten por aplicar la metodología del primer segmento, teniendo en cuenta lo definido en el artículo 4o de la presente resolución, la Comisión de Regulación de Agua Potable y Saneamiento Básico calculará los puntajes de aquellas que cumplan con los parámetros mínimos de inclusión, tomando el promedio de las variables del año base y del año inmediatamente anterior. Dichos puntajes serán determinados por comparación individual y sin modificar los puntajes de la muestra de las APS pertenecientes al primer segmento, por tanto su puntaje, será determinado una vez quede en firme la resolución del DEA de las APS del primer segmento. Por consiguiente, se podrá calcular el PDEA, pero no harán parte de la muestra.
El PDEA de costos administrativos para aquellas personas prestadoras con APS del primer segmento y con APS del segundo segmento que optaron por aplicar en estas últimas, la metodología correspondiente al primer segmento, dando cumplimiento a lo establecido en el parágrafo 3o del artículo 104 de la presente resolución, será el correspondiente al obtenido con la información de la APS del primer segmento. Dicho puntaje podrá ser aplicado al costo administrativo unificado, tal como lo establece el parágrafo 3o del artículo 27 de la presente resolución.
Las personas prestadoras que atiendan con un mismo sistema interconectado dos o más APS, deberán agregar la información necesaria para el cálculo del PDEA de costos operativos comparables.
1. Parámetros mínimos para la inclusión de DMUs en el modelo
Se evaluará la eficiencia de aquellas personas prestadoras del primer segmento definido en el artículo 4o de la presente resolución, que cumplan los siguientes parámetros en el año base:
-- Continuidad mayor al 95%. Se tomará del artículo 2.4.2.29 Formulario continuidad en la oferta del servicio de acueducto del Anexo de la Resolución número SSPD 2010300048765 de 14 de diciembre de 2010.
-- IRCA menor a 5%. Se tomará el reporte Registro IRCA consolidado anual por prestador que realizan las autoridades sanitarias departamentales al Instituto Nacional de Salud (INS), en función de sus actividades de inspección, vigilancia y control.
-- Micromedición efectiva mayor al 80%. Se tomará del artículo 2.3.7 Formato facturación acueducto del anexo de la Resolución número SSPD 2010300048765 de 14 de diciembre de 2010.
En el caso que se ofrezcan los servicios públicos domiciliarios de acueducto y alcantarillado por separado, y que tengan en común por lo menos el 60% de sus suscriptores, se aclara que se evaluarán los parámetros mínimos de inclusión de la persona prestadora que preste el servicio público domiciliario de acueducto, debido a que los parámetros de continuidad, IRCA y micromedición efectiva son aplicables exclusivamente para las personas prestadoras del servicio público domiciliario de acueducto.
Las personas prestadoras con APS del primer segmento o del segundo segmento que opten por aplicar la metodología del primero, y que no cumplan estos parámetros deberán tomar los menores costos administrativos y operativos eficientes por suscriptor (CAU* y COU*) calculado de la muestra, hasta tanto cumplan con los parámetros mínimos para calcular los PDEA. Dichos valores serán informados a las personas prestadoras mediante resolución.
En aquellos casos que, por entrada en operación de un prestador que deba aplicar la metodología del primer segmento y que cumple con todos los parámetros mínimos de inclusión, deberá estimar los PDEA para el cálculo de su respectivo CMA y CMO por comparación. En caso de no cumplir, deberá adoptar el menor costo administrativo y operativo eficiente por suscriptor (CAU* y COU*) calculado de la muestra, hasta tanto cumpla con los parámetros mínimos para calcular el PDEA.
En los casos en que las personas prestadoras no dispongan de la herramienta informática para realizar dicha estimación podrá solicitar a esta Comisión le sean calculados dichos puntajes mediante oficio que contenga solicitud expresa en tal sentido.
2. Identificación de las variables del modelo para costos administrativos
2.1. Insumo
Como insumo controlable por las personas prestadoras se definen los costos administrativos base, depurados con los criterios establecidos en el artículo 27 de la presente resolución. Estos costos serán expresados en pesos de diciembre del año base y se tomarán del artículo 2.2.1.3 Formato plan de contabilidad (acueducto) y artículo 3.2.1.3 Formato plan de contabilidad (alcantarillado) del Anexo de la Resolución número SSPD 2010300048765 de 14 de diciembre de 2010.
Aunque se solicite el registro contable para efectos del cálculo de estos costos, se hacen necesarias algunas precisiones. Para ello, la SSPD enviará un archivo Excel (una vez se cumpla la fecha de cargue máximo de los planes contables del año 2014 en el SUI, la cual corresponde al 15 de abril del año 2015) con la información reportada por las personas prestadoras al SUI para el registro de ajustes en los costos (exclusiones y traslados).
2.2. Productos
Las variables que entran al modelo como productos recogen información del tamaño del mercado atendido por las personas prestadoras, es decir, la administración y el nivel de gestión de los servicios públicos domiciliarios de acueducto y alcantarillado a un número de suscriptores. La combinación de estas variables permite examinar las características de una persona prestadora con respecto a las otras. La información de estas variables, se tomará del artículo 2.3.7 Formato facturación acueducto y del artículo 3.3.6.1 Formato facturación alcantarillado del Anexo de la Resolución número SSPD 2010300048765 de 14 de diciembre de 2010.
-- Producto 1: Número de suscriptores de acueducto.
-- Producto 2: Número de suscriptores de alcantarillado.
-- Producto 3: Número de Suscriptores con micromedición efectiva.
-- Producto 4: Número de suscriptores de estratos 1 y 2.
-- Producto 5: Número de suscriptores industriales y comerciales.
3. Identificación de las variables del modelo para costos operativos comparables
3.1. Insumo
Como insumo controlable por las personas prestadoras se definen los costos operativos comparables base, depurados con los criterios establecidos en el artículo 34 de la presente resolución. Estos costos serán expresados en pesos de diciembre del año base y se tomarán del artículo 2.2.1.3 Formato plan de contabilidad (acueducto) y del artículo 3.2.1.3 Formato Plan de Contabilidad (alcantarillado) del anexo de la Resolución número SSPD 2010300048765 de 14 de diciembre de 2010.
Aunque se hace necesario solicitar el registro contable para efectos del cálculo de estos costos, se hacen necesarias algunas precisiones. Para ello, la SSPD enviará un archivo Excel (una vez se cumpla la fecha de cargue máximo de los planes contables del año 2014 en el SUI) con la información reportada por las personas prestadoras al SUI para el registro de ajustes en los costos (exclusiones, traslados y contratos de suministro de agua potable y/o interconexión de acueducto y alcantarillado).
3.2. Productos
Las variables que entran al modelo como productos recogen información de cantidad del producto “producción de volumen de agua potable” y de los “vertimientos al sistema de alcantarillado”, así como de la “calidad” del producto. La combinación de estas variables permite examinar las características de una persona prestadora con respecto a las otras. La información se tomará así:
-- Producto 1: m3 facturados de acueducto. Se tomará del artículo 2.3.7.7 Formulario información comercial acueducto del anexo de la Resolución número SSPD 2010300048765 de 14 de diciembre de 2010.
-- Producto 2: m3 vertidos al sistema de alcantarillado, facturados por la persona prestadora. Se tomará del artículo 2.3.6.7 Formulario información comercial alcantarillado del Anexo de la Resolución número SSPD 2010300048765 de 14 de diciembre de 2010.
-- Producto 3: Tamaño de redes. Se tomará del artículo 2.4.2.33 Formato redes sistema de acueducto y 3.4.1.33 Formato redes sistema de alcantarillado del Anexo de la Resolución número SSPD 2010300048765 de 14 de diciembre de 2010.
-- Producto 4: Calidad promedio del agua cruda. Se tomará del artículo 2.4.1.2 Formulario registro de fuentes, artículo 2.4.1.5 Formulario fuentes superficiales, artículo 2.4.1.6 Formulario registro de puntos de muestreo calidad fuentes superficiales, artículo 2.4.1.8 Formato muestreo calidad del agua fuentes superficiales, artículo 2.4.1.9 Formato muestreo calidad del agua fuentes Subterráneas, artículo 2.4.1.13 Formato muestreo calidad del agua fuentes embalses, artículo 2.4.1.17 Formato operación de pozos, artículo 2.4.2.1 Formulario registro de captaciones de agua fuentes superficiales y artículo 2.4.2.3 Formulario operación captación de agua fuentes superficiales del Anexo de la Resolución número SSPD 2010300048765 de 14 de diciembre de 2010.
4. Orientación del modelo
Conceptualmente, los costos administrativos y los costos operativos comparables son el insumo por medio del cual las personas prestadoras obtienen productos como los ya mencionados. Una versión reciente del software utilizado permite definir los insumos controlables o no controlables y los productos, sin necesidad de realizar ninguna inversión de las variables.
Se utilizará el modelo básico de Banker, Charnes y Cooper (BCC), que permite orientar la aproximación a la frontera a través de la minimización del insumo bajo retornos variables a escala.
5. Particularidades no captadas en el modelo ()
Es un porcentaje que se reconoce como un valor adicional del PDEA obtenido por las personas prestadoras hasta un máximo del 100% del total del PDEA obtenido. Dicho porcentaje será calculado e informado por la Comisión de Regulación de Agua Potable y Saneamiento Básico mediante resolución.
6. Reporte de información para personas prestadoras con sistemas no interconectados
Las personas prestadoras que cuenten con diferentes sistemas de acueducto y alcantarillado no interconectados podrán agregar la información para el cálculo del modelo, los costos administrativos de las APS sujetas al ámbito de aplicación de la presente resolución y deberán desagregarla para el caso del modelo de los costos operativos comparables. Para ello, se tomará del SUI el reporte de sistemas no interconectados del artículo 2.4.2.37 Formulario datos generales con el nombre del sistema no interconectado del Anexo de la Resolución número SSPD 2010300048765 de 14 de diciembre de 2010.
7. Plazos para el reporte de información
Las personas prestadoras de los servicios públicos domiciliarios de acueducto y alcantarillado con APS del primer segmento y aquellas con APS del segundo segmento que opten por aplicar la metodología del primer segmento, cuentan con un plazo de un (1) mes, contado a partir de la fecha de recibo del archivo Excel, para revisar la totalidad de la información cargada al SUI descrita anteriormente y para radicar en la SSPD el archivo de Excel del reporte de costos administrativos y operativos comparables para los años 2013 y 2014. Dicha información deberá ser remitida mediante comunicación suscrita por el representante legal de la empresa.
La información de costos relacionada en el Excel que sea radicada en la SSPD después de la fecha establecida, no será tenida en cuenta para efectos del cálculo del PDEA. En este caso, se tomarán para el cálculo de los PDEA los costos reportados en el SUI, sin perjuicio de posteriores requerimientos que pueda solicitar la SSPD para efectuar la aclaración en el marco de sus funciones de inspección, vigilancia y control.
La información del SUI se considera oficial para todos los efectos previstos en la ley. Las personas prestadoras podrán solicitar modificaciones a dicha información cumpliendo los requisitos establecidos en la Resolución SSPD 20121300035485 de 14 de noviembre de 2012.
8. Personas prestadoras con APS pertenecientes al primer segmento
1 Empresa de Acueducto, Alcantarillado y Aseo de Bogotá E.S.P.
2 Empresas Públicas de Medellín E.S.P.
3 Empresas Municipales de Cali E.I.C.E E.S.P.
4 Sociedad de Acueducto, Alcantarillado y Aseo de Barranquilla S. A. E.S.P.
5 Acueducto Metropolitano de Bucaramanga S. A. E.S.P.
6 Empresa Pública de Alcantarillado de Santander S. A. E.S.P.
7 Aguas de Cartagena S. A. E.S.P.
8 Aguas Kpital Cúcuta S. A. E.S.P.
9 Empresa de Acueducto y Alcantarillado de Pereira S. A. E.S.P
10 Empresa Ibaguereña de Acueducto y Alcantarillado S. A. E.S.P
11 Aguas de Manizales S. A. E.S.P.
12 Empresas Públicas de Neiva E.S.P.
13 Empresa de Acueducto y Alcantarillado de Villavicencio E.S.P.
14 Empresas Públicas de Armenia
15 Compañía del Acueducto y Alcantarillado Metropolitano de Santa Marta S. A. ESP.
16 Proactiva Aguas de Montería S. A. E.S.P.
17 Empresa de Obras Sanitarias de Pasto Empopasto S. A. E.S.P.
18 Acueducto y Alcantarillado de Popayán S. A. E.S.P
19 Aguas de la Sabana S. A. E.S.P.
20 Proactiva Aguas de Tunja S. A. E.S.P.
21 Empresa de Servicios Públicos de Valledupar S. A. Emdupar S. A. E.S.P.
22 Centroaguas S. A. E.S.P”.
ARTÍCULO 45. Modificar el Anexo III de la Resolución CRA 688 de 2014, el cual quedará así:
“ANEXO III
METODOLOGÍA PARA REALIZAR LA AUTODECLARACIÓN DE LAS INVERSIONES PLANEADAS Y EJECUTADAS INCLUIDAS EN LOS PLANES DE INVERSIÓN DE LOS ESTUDIOS DE COSTOS ESTABLECIDOS CON BASE EN LA RESOLUCIÓN CRA 287 DE 2004
Las personas prestadoras de los servicios públicos domiciliarios de acueducto y alcantarillado a las que les aplique la metodología definida en la presente resolución, deberán realizar una Autodeclaración de inversiones que dé cuenta de los Planes de Inversión incluidos en los estudios de costos de la Resolución CRA 287 de 2004, a partir de los cuales se generaron recursos durante la vigencia de las tarifas de dicha resolución. Como resultado de este ejercicio se calculará el monto de ingresos por recuperar, en función de las inversiones planeadas y ejecutadas al momento de entrar en aplicación las tarifas resultantes de la presente resolución.
Elementos de la Autodeclaración. Para efectuar la autodeclaración de las inversiones de las personas prestadoras de los servicios públicos domiciliarios de acueducto y alcantarillado, se deberán tener en cuenta los siguientes elementos:
a) Cálculo de los Ingresos Programados para Inversiones (IPI). Los ingresos programados para inversiones, derivados de la aplicación de la metodología de la Resolución CRA 287 de 2004 se calcularán con base en la siguiente fórmula:

Donde,
| IPIac,al: | Ingresos programados de inversiones de la metodología contenida en la Resolución CRA 287 de 2004 para cada uno de los servicios públicos domiciliarios de acueducto y alcantarillado. |
| VPIRERj: | Valor presente de las inversiones programadas en expansión, reposición y rehabilitación de los sistemas de acueducto y alcantarillado para la prestación del servicio de la actividad j del plan tarifario programado en los estudios de costos, según lo definido en el artículo 25 de la Resolución CRA 287 de 2004. |
| VPIFPRERj: | Valor presente de las inversiones programadas en expansión, reposición y rehabilitación de los sistemas de acueducto y alcantarillado para la prestación del servicio de la actividad j del plan tarifario programado en los estudios de costos, que se encuentren por fuera del plazo de ejecución de inversiones de la Resolución CRA 287 de 2004. |
| j: | Cada actividad de los servicios públicos domiciliarios de acueducto y alcantarillado. |
Las personas prestadoras que a 31 de diciembre de 2015 no hayan ejecutado el 100% del VPIRERj, utilizarán para el cálculo de los Ingresos Programados para Inversiones (IPI) un VPIRERjajustado, que corresponderá al Valor presente de las inversiones en operación a la fecha de aplicación de las tarifas resultantes de la aplicación de la presente resolución. En todo caso, las personas prestadoras deberán justificar ante la Superintendencia de Servicios Públicos Domiciliarios dichas diferencias en ejecución de inversiones, argumentando razones de improcedencia técnica o de mínimo costo, sin perjuicio de las acciones de control que en respuesta establezca esta.
Las obras programadas en el VPIRERj, de la Resolución CRA 287 de 2004, que a 31 de diciembre de 2015 no entraron en operación y se consideran necesarias para la prestación del servicio por parte de la persona prestadora deberán ser programadas en el POIR de la presente resolución.
Tanto el VPIRERj (o el VPIRER ajustado cuando aplique), como el VPIFPRERj se calcularán al año base utilizado por la persona prestadora para definir las tarifas establecidas en desarrollo de la Resolución CRA 287 de 2004.
Las personas prestadoras que calcularon su CMI de conformidad con lo establecido en los artículos 33 y 34 de la Resolución CRA 287 de 2004, para efectos del cálculo de los Ingresos Programados de Inversiones (IPI) deberán declarar el valor presente de las inversiones programadas en expansión, reposición y rehabilitación del sistema (VPIRERj) tanto para el servicio de acueducto como para el de alcantarillado.
b) Cálculo de los Ingresos Cobrados de Inversiones (ICI). Los ingresos por el cobro de inversiones a través de las tarifas durante la vigencia de la Resolución CRA 287 de 2004, para cada uno de los servicios públicos domiciliarios de acueducto y alcantarillado, se calcularán con base en la siguiente fórmula:

Donde:
| ICIac,al: | Ingresos por el cobro de inversiones a través de las tarifas durante la vigencia de la metodología de la Resolución CRA 287 de 2004. |
| VPIRERj: | Valor presente de las inversiones programadas en expansión, reposición y rehabilitación de los sistemas de acueducto y alcantarillado para la prestación del servicio, de la actividad j del plan tarifario programado en los estudios de costos, según lo definido en el artículo 25 de la Resolución CRA 287 de 2004. |
| VPQj: | Valor presente de los m3 facturados en cada año de la vigencia de la metodología de la Resolución CRA 287 de 2004. |
| VPDj,HVPD: | Valor presente de la demanda proyectada para cada actividad j, correspondiente a los m3 totales programados en los estudios de costos, según lo definido en el artículo 25 de la Resolución CRA 287 de 2004. |
| j: | Cada actividad de los servicios públicos domiciliarios de acueducto y alcantarillado. |
Tanto el VPIRERj, como el VPQj y el VPDj,HVPD se calcularán al año base utilizado por la persona prestadora para definir las tarifas establecidas en aplicación de la Resolución CRA 287 de 2004.
Las personas prestadoras que calcularon su CMI de conformidad con lo establecido en los artículos 33 y 34 de la Resolución CRA 287 de 2004, para efectos del cálculo de los Ingresos Cobrados de Inversiones (ICI), deberán aplicar la siguiente expresión:

Donde:
| ICIac,al: | Ingresos por el cobro de inversiones a través de las tarifas durante la vigencia de la metodología de la Resolución CRA 287 de 2004. |
| CMI: | Costo medio de inversión CMI para la vigencia de la metodología de la Resolución CRA 287 de 2004, calculado con base en lo establecido en los artículos 33 y 34 de la mencionada resolución. |
| FI: | Porcentaje del valor del CMI que fue destinado por la persona prestadora para realizar Inversiones en expansión, reposición y rehabilitación del sistema, durante la vigencia de la metodología de la Resolución CRA 287 de 2004. |
c) Cálculo de los Ingresos Netos de Inversiones por Cobrar (INIC). Los ingresos netos de inversiones por cobrar al cierre de la vigencia de la Resolución CRA 287 de 2004 se calcularán con base en la siguiente fórmula:
![]()
Donde:
| INICac,al: | Ingresos netos de inversiones por cobrar de la vigencia de la Resolución CRA 287 de 2004 para los servicios públicos domiciliarios de acueducto y alcantarillado. |
| IPIac,al: | Ingresos programados de inversiones de la metodología contenida en la Resolución CRA 287 de 2004 para cada uno de los servicios públicos domiciliarios de acueducto y alcantarillado. |
| ICIac,al: | Ingresos obtenidos por el cobro de inversiones durante la vigencia de la metodología de la Resolución CRA 287 de 2004. |
El cálculo de los ingresos netos de inversiones por cobrar (INIC) definido anteriormente, aplicará también para las personas prestadoras que calcularon su CMI de conformidad con lo establecido en los artículos 33 y 34 de la Resolución CRA 287 de 2004.
En los casos en que el ICIac,al sea mayor al IPIac,al el INICac,al, y en consecuencia el VI287,ac/al, serán negativos, reduciendo el valor de la BCR0, de conformidad con lo establecido en el siguiente inciso.
d) Valor de Inversiones de la Resolución CRA 287 de 2004 a incluir en la BCR0 Para los estudios de costos de la metodología tarifaria definida en la presente resolución, la persona prestadora deberá incluir en la un componente por cobrar proveniente del plan de inversiones de la Resolución CRA 287 de 2004, que será calculado con base en la siguiente fórmula:
![]()
Donde:
| VI287,ac/al: | Valor de inversiones por cobrar de la Resolución CRA 287 de 2004 a incluir en la , expresado en pesos de diciembre del año base de la presente resolución. |
| INIC ac,al: | Ingresos netos de inversiones por cobrar de la vigencia de la Resolución CRA 287 de 2004 para acueducto y alcantarillado. |
Corresponde a la tasa de descuento utilizada por la persona prestadora para calcular las tarifas establecidas con base en la Resolución CRA 287 de 2004.
Corresponde al número de años de aplicación de la persona prestadora de la Resolución CRA 287 de 2004.
Index: Corresponde a la indexación entre el año base de la presente resolución y el año base del estudio tarifario de la Resolución CRA 287 de 2004.
El cálculo del valor de Inversiones de la Resolución CRA 287 de 2004 a incluir en la definido anteriormente, aplicará también para las personas prestadoras que calcularon su CMI de conformidad con lo establecido en los artículos 33 y 34 de la Resolución CRA 287 de 2004.
3. Doble cobro de Inversiones. Ninguna de las inversiones incluidas en el plan hasta la fecha de corte de la vigencia de las tarifas resultantes de la Resolución CRA 287 de 2004 podrá ser incluida en el POIR del nuevo marco tarifario, así mismo las inversiones por cobrar de que trata el literal anterior no podrán incluirse doblemente.
4. Fuente de información. Para la realización de la Autodeclaración y la aplicación de lo definido en la presente resolución, la persona prestadora deberá tomar como fuente la información registrada en el Sistema Único de Información (SUI), en los siguientes formatos, los cuales formarán parte de los nuevos estudios de costos que realizará la persona prestadora:
a) La información de las inversiones programadas, replanteadas y ejecutadas para el servicio de acueducto, proyectos de inversión en infraestructura, actualizada a la fecha de corte de la entrada en vigencia de la metodología tarifaria definida en la presente resolución;
b) La información de las inversiones programadas, replanteada y ejecutadas para el servicio de alcantarillado, proyectos de inversión en infraestructura, actualizada a la fecha de corte de la entrada en vigencia de la metodología tarifaria definida en la presente resolución;
c) La información del valor presente de la inversión. Inversiones y metas por proyecto;
d) Los metros cúbicos facturados obtenidos del Sistema Único de Información (SUI);
e) Los resultados de los cálculos del presente anexo, que deberá hacer la persona prestadora en el formato que para ello defina la Superintendencia de Servicios Públicos Domiciliarios.
Si la persona prestadora no cuenta con la anterior información actualizada en el SUI no podrá aplicar la metodología tarifaria definida en la presente resolución hasta tanto no proceda a reportarla, lo anterior sin perjuicio de las acciones sancionatorias a que haya lugar por parte de la Superintendencia de Servicios Públicos Domiciliarios.
El plazo máximo para la aplicación de la Autodeclaración por parte de la persona prestadora, no podrá exceder el plazo máximo establecido para la aplicación de las tarifas resultantes de la presente resolución.
En el evento en que la persona prestadora dentro de su estudio de costos, cuente con un horizonte de planeación de sus inversiones que exceda el plazo de aplicación de las tarifas resultantes de la Resolución CRA 287 de 2004, podrá recalcular e incluir dentro del POIR del estudio de costos de la presente resolución, aquellos proyectos que se encuentren en los años de proyección de inversiones de la vigencia de las tarifas resultantes de esta última resolución.
5. Verificación de la información de la autodeclaración. Tanto la información soporte suministrada, así como los cálculos que realice la persona prestadora en desarrollo del presente Anexo, deberán ser debidamente verificados y certificados por el Auditor Externo de Gestión de Resultados o quien haga sus veces.
No obstante el reporte al SUI, la información deberá quedar a disposición de la Comisión de Regulación de Agua Potable y Saneamiento Básico y la Superintendencia de Servicios Públicos Domiciliarios”.
ARTÍCULO 46. Modificar el título, el segundo párrafo y el literal 2 del Anexo IV de la Resolución CRA 688 de 2014, para determinar el valor que será incluido en la Base de Capital Regulada del Año Base (), el cual quedará así:
“ANEXO IV
METODOLOGÍA APLICABLE PARA DETERMINAR EL VALOR POR COBRAR DE LAS INVERSIONES EJECUTADAS DIFERENTES A LA VIGENCIA DE LA RESOLUCIÓN CRA 287 DE 2004
(…).
De forma general, la metodología empleada para determinar el valor por cobrar de las inversiones realizadas por la persona prestadora, diferentes a las que hacían parte del VPIRER de la Resolución CRA 287 de 2004, que será incluido en la Base de Capital Regulada del Año Base (), deberá soportarse teniendo en cuenta la información que se define a continuación:
(…).
Para determinar el valor que será incluido en la Base de Capital Regulada del Año Base (BCR0), las personas prestadoras deberán establecer:
1. El costo total de los activos de acuerdo con lo definido en el numeral III del presente anexo;
2. El valor de la depreciación acumulada al día anterior a la fecha de inicio de la aplicación de las tarifas resultantes de la presente resolución, con base en las condiciones de vida útil y método de depreciación, utilizadas en la vigencia de las tarifas de la Resolución CRA 287 de 2004.
3. La diferencia entre el costo total del activo y el valor de la depreciación acumulada”.
Publíquese y cúmplase.
Dada en Bogotá, D. C., a… de… de 2015.
La Presidenta,
MARÍA CAROLINA CASTILLO AGUILAR.
El Director Ejecutivo,
JULIO CÉSAR AGUILERA WILCHES.
ARTÍCULO 2o. Iniciar el proceso de discusión directa con los usuarios, prestadores, gremios y demás agentes del sector e interesados. Para el efecto, establézcase un término de tres (3) meses, contados a partir de la fecha de publicación de la presente resolución en el Diario Oficial, para recibir las observaciones, reparos y/o sugerencias.
ARTÍCULO 3o. Invitar a las personas prestadoras de los servicios públicos domiciliarios de acueducto y alcantarillado, suscriptores y/o usuarios, a la Superintendencia de Servicios Públicos Domiciliarios, y a todos los interesados, en general, para que remitan observaciones, reparos y/o sugerencias a la propuesta consagrada en el artículo 1o de la presente Resolución, que también se hará pública en la página web www.cra.gov.co.
ARTÍCULO 4o. Recibir las observaciones, reparos y/o sugerencias, en las instalaciones de la CRA, ubicada en la Carrera 12 No 97-80, Piso 2o, Edificio 97 Punto Empresarial, de Bogotá, D. C., teléfono 487 38 20, en la línea nacional gratuita 01 8000 517 565, en el correo electrónico participacion@cra.gov.co o en el fax 489 76 50. La Subdirección de Regulación de la Comisión de Regulación de Agua Potable y Saneamiento Básico, en cabeza de su Subdirector de Regulación, recibirá las observaciones, reparos y/o sugerencias, y atenderán las solicitudes de información sobre el proyecto.
ARTÍCULO 5o. VIGENCIA. La presente resolución rige a partir de la fecha de su publicación en el Diario Oficial.
Publíquese y cúmplase.
Dada en Bogotá, D. C., a 16 de marzo de 2015.
La Presidenta,
MARÍA CAROLINA CASTILLO AGUILAR.
El Director Ejecutivo,
JULIO CÉSAR AGUILERA WILCHES.