RESOLUCIÓN 51 DE 2009
(mayo 7)
Diario Oficial No. 47.362 de 27 de mayo de 2009
COMISIÓN DE REGULACIÓN DE ENERGÍA Y GAS
Por la cual se modifica el esquema de ofertas de precios, el Despacho Ideal y las reglas para determinar el precio de la Bolsa en el Mercado Energía Mayorista.
LA COMISIÓN DE REGULACIÓN DE ENERGÍA Y GAS,
en ejercicio de sus atribuciones legales, en especial las conferidas por las Leyes 142 y 143 de 1994 y en desarrollo de los Decretos 1524 y 2253 de 1994, y
CONSIDERANDO QUE:
Según la Ley 143 de 1994, artículo 4o, el Estado, en relación con el servicio de electricidad, tendrá como objetivos en el cumplimiento de sus funciones, los de abastecer la demanda de electricidad de la comunidad bajo criterios económicos y de viabilidad financiera, asegurando su cubrimiento en un marco de uso racional y eficiente de los diferentes recursos energéticos del país; asegurar una operación eficiente, segura y confiable en las actividades del sector; y mantener los niveles de calidad y seguridad establecidos.
La Ley 143 de 1994, artículo 20, definió como objetivo fundamental de la Regulación en el sector eléctrico, asegurar una adecuada prestación del servicio mediante el aprovechamiento eficiente de los diferentes recursos energéticos, en beneficio del usuario en términos de calidad, oportunidad y costo del servicio.
Para el cumplimiento del objetivo señalado, la Ley 143 de 1994, artículo 23, le atribuyó a la Comisión de Regulación de Energía y Gas, entre otras, la función de crear las condiciones para asegurar la disponibilidad de una oferta energética eficiente capaz de abastecer la demanda bajo criterios sociales, económicos, ambientales y de viabilidad financiera, promover y preservar la competencia.
Según la Ley 142 de 1994, artículo 74, son funciones y facultades especiales de la CREG, entre otras, las de regular el ejercicio de las actividades de los sectores de energía y gas combustible para asegurar la disponibilidad de una oferta energética eficiente; y propiciar la competencia en el sector de minas y energía.
La Ley 142 de 1994, artículo 74, también le asignó a la Comisión de Regulación de Energía y Gas, la función de expedir el Reglamento de Operación para regular el funcionamiento del Mercado Mayorista de energía.
Mediante la Resolución CREG-055 de 1994 se expidieron normas para regular la actividad de generación de energía eléctrica en el Sistema Interconectado Nacional.
A través de las Resoluciones CREG-024 de 1995 y CREG-025 de 1995 la Comisión expidió normas para regular el funcionamiento del Mercado Mayorista.
La Comisión, mediante las Resoluciones CREG-198 de 1997 y CREG-075 de 1999 estableció las reglas aplicables al servicio de AGC.
Mediante la Resolución CREG-112 de 1998, la Comisión reguló los aspectos comerciales aplicables a las Transacciones Internacionales de Energía como parte del Reglamento de Operación.
A través de la Resolución CREG-083 de 1999 se modificó, entre otras, las disposiciones para la coordinación de la operación del Sistema Interconectado Nacional en tiempo real.
Mediante la Resolución CREG-062 de 2000 fueron definidas las bases metodológicas para la identificación y clasificación de las restricciones y de las generaciones de seguridad en el Sistema Interconectado Nacional, y los criterios generales y procedimientos para la evaluación y definición de las mismas, como parte del Reglamento de Operación.
Mediante la Resolución CREG-063 de 2000 se establecieron los criterios para la asignación entre los agentes del SIN de los costos asociados con las Generaciones de Seguridad y se modifican las disposiciones vigentes en materia de reconciliaciones, como parte del Reglamento de Operación del SIN.
La Resolución CREG-064 de 2000 contiene las reglas comerciales aplicables al Servicio de Regulación Secundaria de Frecuencia, como parte del Reglamento de Operación del SIN.
Mediante la Resolución CREG-026 de 2001 la Comisión modificó las definiciones de oferta de precios, declaración disponibilidad, despacho programado y dispuso el manejo confidencial de esta la información relacionada con estos aspectos.
A través de la Resolución CREG-062 de 2001 fueron definidas la remuneración para las reconciliaciones positivas y negativas.
Las Resoluciones CREG-004 de 2003 y CREG-014 de 2004, modificadas por las Resoluciones CREG-032 y CREG-096 de 2008 contienen la regulación aplicable a las Transacciones Internacionales de Electricidad de Corto Plazo –TIE–.
La Comisión, a través de la Resolución CREG-023 de 2005, expidió disposiciones regulatorias aplicables a los Enlaces Internacionales, que complementaron lo dispuesto en la Resolución CREG-025 de 1995.
El artículo 89 de la Resolución CREG-071 de 2006 derogó la Resolución CREG-018 de 1998.
El artículo 2o de la Resolución CREG-077 de 2008 modificó el literal i) del artículo 2o de la Resolución CREG-063 de 2000.
La Comisión ha venido evaluando la subasta de corto plazo del Mercado de Energía Mayorista –MEM– y ha analizado las posibles alternativas para el manejo del riesgo de los costos de arranque-parada de las plantas y/o unidades térmicas, encontrando necesario adoptar normas para reducir dicho riesgo y promover la competencia en el Mercado, tal como se presenta en el Documento CREG-011 de 2009.
El profesor Peter Cramton, experto internacional en subastas, ha recomendado que en el caso colombiano se utilicen ofertas separadas por cada uno de los distintos tipos de costos. (Radicación CREG E-2009-000617).
Con la Resolución CREG-012 de 2009, la Comisión, en cumplimiento del Decreto 2696 de 2006, ordenó publicar un proyecto de resolución de carácter general, con la propuesta de modificar el esquema de ofertas de precios, el Despacho Ideal y las reglas para determinar el precio de la Bolsa en el Mercado Energía Mayorista, e invitó a los agentes, usuarios y a las Autoridades Locales Municipales y Departamentales competentes y a la Superintendencia de Servicios Públicos Domiciliarios, para que remitan sus observaciones o sugerencias sobre la propuesta, dentro de los quince (15) días calendario siguientes a la publicación de la presente resolución en la página web de la Comisión.
La mencionada Resolución CREG-012 de 2009, junto con el proyecto, fueron publicados en el Diario Oficial número 47.274 del 25 de febrero de 2009, y en la página web de la CREG el día 24 del mismo mes y año, con el Documento CREG-011 de 2009, denominado “DESPACHOS ECONOMICO, IDEAL Y PRECIO DE BOLSA – ANALISIS ALTERNATIVAS PARA EL MANEJO DE LOS PRECIOS DE ARRANQUE-PARADA DE LAS PLANTAS TERMICAS”.
Se recibieron comentarios de: MERILECTRICA, Radicado E-2009-001978, TERMOEMCALI, Radicado E-2009-002165, TERMOTASAJERO, Radicado E-2009-002166, CHEC, Radicado E-2009-002206, ESSA, Radicado E-2009-002126, GECELCA, Radicado E-2009-002131, XM, Radicado E-2009-002124, EPM, Radicado E-2009-002156, ISAGEN, Radicado E-2009-002111, AES CHIVOR, Radicado E-2009-002142, ACOLGEN, Radicado E-2009-002190, EPSA, Radicado E-2009-002198, EMGESA, Radicado E-2009-002167, y TERMOFLORES, Radicado E-2009-002314.
El profesor Peter Cramton presentó una evaluación de la propuesta publicada con la Resolución CREG-012 de 2009, y las propuestas sugeridas por los agentes en lo que respecta a la determinación del precio de bolsa. (Radicado CREG E-2009-003234).
Los análisis de los comentarios recibidos y los resultados de evaluaciones complementarias se encuentran en el Documento CREG-046 de 2009.
La Comisión de Regulación de Energía y Gas, en su Sesión número 408 del 7 de mayo de 2009, acordó expedir la reglamentación contenida en la presente resolución,
RESUELVE:
ARTÍCULO 1o. DEFINICIÓN DE PRECIO DE ARRANQUE-PARADA. Se adopta la siguiente definición que aplicará para los efectos de la presente resolución y de las demás normas pertinentes del Reglamento de Operación que regulan el funcionamiento del Mercado de Energía Mayorista:
Precio de Arranque-Parada. Es el valor, expresado en dólares de los Estados Unidos de Norte América, ofertado por un agente generador al Centro Nacional de Despacho por un arranque-parada de cada planta o unidad térmica que representa comercialmente en el Mercado de Energía Mayorista.
ARTÍCULO 2o. MODIFICACIÓN DEL LITERAL A) DEL ARTÍCULO 6o DE LA RESOLUCIÓN CREG-055 DE 1994, SOBRE OFERTAS DE PRECIO EN LA BOLSA DE ENERGÍA PARA PLANTAS TÉRMICAS. El literal a) del artículo 6o de la Resolución CREG-055 de 1994 quedará así:
“a) Para plantas termoeléctricas: el costo incremental del combustible, el costo incremental de administración, operación y mantenimiento y la eficiencia térmica de la planta”.
ARTÍCULO 3o. MODIFICACIÓN DE LA DEFINICIÓN DE “DESPACHO IDEAL”. La definición de Despacho Ideal contenida en los artículos 1o de la Resolución CREG-024 de 1995 y 3 de la Resolución CREG-004 de 2003, quedará así:
“Despacho Ideal. Es la programación de generación que se realiza a posteriori por el Sistema de Intercambios Comerciales (SIC), en la cual se atiende la demanda real con la disponibilidad real de las plantas de generación. Este despacho se realiza considerando las ofertas de precios en la Bolsa de Energía, las ofertas de Precios de Arranque-Parada, las ofertas de los enlaces internacionales y las características técnicas de las plantas o unidades para obtener la combinación de generación que resulte en mínimo costo para atender de demanda total del día, sin considerar la red de transporte”.
ARTÍCULO 4o. MODIFICACIÓN DEL “CÁLCULO DEL PRECIO EN LA BOLSA DE ENERGÍA”, CONTENIDO EN EL NUMERAL 1.1 DEL ANEXO A DE LA RESOLUCIÓN CREG-024 DE 1995. El aparte “Cálculo del Precio en la Bolsa de Energía” que hace parte del Numeral 1.1. del Anexo A de la Resolución CREG-024 de 1995 quedará así:
“1.1. Cálculo del Precio en la Bolsa de Energía
En este proceso se determina el precio para las diferentes transacciones que se realizan en la Bolsa de Energía; este precio horario en la Bolsa de Energía será igual al precio de oferta en Bolsa de la Planta con Máximo Precio de Oferta, en la hora respectiva, más el Valor Adicional (
I) previsto en el Anexo A-4 de la Resolución CREG-024 de 1995, modificado por el artículo 8o de la presente resolución, correspondiente a los recursos de generación requeridos para cubrir la demanda total en el despacho ideal. Dentro de este proceso las importaciones provenientes de las TIE, serán consideradas como un recurso con precio de oferta igual al Precio de Oferta del país exportador, en su Nodo Frontera para exportación, al cual se le deben adicionar los cargos asignados al transporte desde el Nodo frontera hasta el STN, si son del caso, el Costo Equivalente Real de Energía del Cargo por Confiabilidad y los cargos propios de los generadores en el mercado colombiano, asignándole además una disponibilidad comercial equivalente a la importación real”.
ARTÍCULO 5o. MODIFICACIÓN DEL NUMERAL 1.1.1.1 (“DETERMINACIÓN DEL DESPACHO IDEAL”) DEL ANEXO A DE LA RESOLUCIÓN CREG-024 DE 1995. El Numeral 1.1.1.1. del Anexo A de la Resolución CREG-024 de 1995 quedará así:
“1.1.1.1. Determinación del Despacho Ideal
El Despacho Ideal considerará las ofertas de precio en la Bolsa de Energía y de precio de arranque-parada de los generadores térmicos, las ofertas de precio en la Bolsa de Energía de los generadores hidráulicos y los Precios de oferta en el Nodo Frontera para exportación del país exportador. A estos últimos se les debe adicionar los cargos asignados al transporte desde el Nodo frontera hasta el STN, si son del caso; el Costo Equivalente Real de Energía del Cargo por Confiabilidad; y los cargos propios de los generadores en el mercado colombiano, necesarios para atender la demanda total para cada una de las horas del día en proceso. Para el caso de una importación, la disponibilidad comercial será considerada con un valor igual al de la importación real. Los precios considerados deberán tener en cuenta el resultado de la aplicación de la regla de desempate aplicada para el Despacho Programado.
El Despacho Ideal será uno para el día, comprenderá los 24 períodos horarios y se determinará por medio del Programa de Despacho Económico, el cual se ejecutará todos los días, con posterioridad a la operación real del sistema. Para cumplir con las características técnicas de las plantas o unidades térmicas, las condiciones iniciales del Despacho Ideal para el día t tendrán en cuenta las condiciones con las que finalizó el Despacho Ideal del día t-1; no tendrá en cuenta las restricciones en el Sistema Interconectado Nacional para atender la demanda total del sistema; y se efectuará con la disponibilidad comercial calculada en el SIC. El programa de despacho resultante, denominado Despacho Ideal, determinará los recursos disponibles de menor precio requeridos para atender la demanda total, sin considerar las restricciones del Sistema de Transmisión Nacional (STN), de los Sistemas de Transmisión Regional (STR) y la de los Sistemas de Distribución Local (SDL), existentes en la operación, y considerando las características técnicas de las unidades utilizadas en el despacho económico ejecutado para la operación real del sistema.
El Despacho Ideal será tal que:
![]()
Sujeto a:

Donde:
| i | Indexa a los Generadores |
| t | Indexa las Horas del Día |
| Q | Disponibilidad declarada |
| Pof | Oferta de Precio en la Bolsa de Energía |
| Par | Oferta de Precio de arranque-parada |
| D | Demanda”. |
ARTÍCULO 6o. MODIFICACIÓN DEL NUMERAL 1.1.4 (“PROCESO DE CÁLCULO DEL PRECIO EN LA BOLSA DE ENERGÍA”) DEL ANEXO A DE LA RESOLUCIÓN CREG-024 DE 1995. El Numeral 1.1.4. del Anexo A de la Resolución CREG-024 de 1995 quedará así:
“1.1.4. PROCESO DE CALCULO DEL PRECIO EN LA BOLSA DE ENERGIA (VER DESCRIPCION DETALLADA DEL PROCESO EN EL ANEXO A-4).
Las transacciones en la Bolsa de Energía tendrán un precio único para el mercado nacional (Demanda Total) y un precio único para el mercado internacional (Demanda No Doméstica), en cada período horario.
El cálculo del precio único se hará para el mercado nacional y el mercado internacional, de conformidad con lo establecido en el numeral 1.1.4.3 del Anexo A de la Resolución CREG-024 de 1995.
ARTÍCULO 7o. MODIFICACIÓN DEL NUMERAL 1.1.4.3 (“PRECIO HORARIO EN LA BOLSA DE ENERGÍA EN CONDICIONES NORMALES DE OPERACIÓN”) DEL ANEXO A DE LA RESOLUCIÓN CREG-024 DE 1995. El Numeral 1.1.4.3. del Anexo A de la Resolución CREG-024 de 1995 quedará así:
“1.1.4.3. Precio horario en la Bolsa de Energía en condiciones normales de operación.
Para determinar los Precios horarios en la Bolsa de Energía, cuando hay Demanda No Doméstica y cuando no hay Demanda No Doméstica, se procederá de acuerdo con lo definido en el Anexo A-4 de la Resolución CREG-024 de 1995”.
ARTÍCULO 8o. MODIFICACIÓN DEL ANEXO A-4 (“FUNCIÓN PRECIO EN LA BOLSA DE ENERGÍA”) DE LA RESOLUCIÓN CREG-024 DE 1995. El Anexo A-4 de la Resolución CREG-024 de 1995 quedará así:
“ANEXO A-4
FUNCION PRECIO EN LA BOLSA DE ENERGIA
FUNCION Precio en la Bolsa de Energía – SICPREC
Con esta función se calcularán los Precios en la Bolsa de Energía a partir del Despacho Ideal, estableciendo un precio único para cada mercado según la demanda que se atienda: Demanda Total y Demanda Total más Demanda No Doméstica, en cada período horario, sin considerar los precios de oferta de plantas inflexibles.
LA FUNCION SICPREC REALIZA LOS SIGUIENTES PROCESOS:
Identificación de plantas inflexibles: En la declaración del día anterior al Despacho, cada generador notificará las inflexibilidades en la operación de sus unidades generadoras. Sin embargo, durante el proceso de ejecución de la programación, pueden aparecer inflexibilidades adicionales, las cuales pueden ocurrir porque una unidad puede estar programada en tal forma que es incapaz de cambiar su generación para suministrar demanda adicional incremental (variación positiva o negativa) al sistema y por lo tanto no entrará en el cálculo de los Precios en la Bolsa de Energía, excepto cuando la unidad esté programada en su disponibilidad declarada o comercial, según el caso, y la misma pueda tener una variación negativa.
Determinación del Precio en la Bolsa de Energía: Para determinar los Precios en la Bolsa de Energía se procederá en la siguiente forma:
1. Cuando hay Demanda No Doméstica
Cuando hay Demanda No Doméstica en cualquiera de los períodos horarios, se aplicarán las siguientes reglas:
a) Se tomará la generación del Despacho Ideal para la atención de la Demanda Total más la Demanda No Doméstica.
b) Con los resultados del literal a), para cada hora se ordenarán las plantas despachadas de acuerdo con las ofertas de precios a la Bolsa de Energía de menor a mayor.
c) El Máximo Precio Ofertado horario, MPO, para el mercado internacional (Demanda No Doméstica) y el mercado nacional (Demanda Total) se determinará de la siguiente forma:
-- Para el mercado que atiende Demanda Total más Demanda No Doméstica el MPOI corresponderá al precio ofertado a la Bolsa de Energía de la última planta requerida para atender la Demanda Total más la Demanda No Doméstica, que no sea inflexible, resultante del ordenamiento planteado en el literal b).
-- Para el mercado que atiende Demanda Total el MPON se determina con el ordenamiento de las plantas del literal b) y se tomará el precio ofertado por la última planta requerida para atender la Demanda Total, que no sea inflexible.
d) Se determinará un valor adicional (
I) nacional e internacional de la siguiente forma:
-- Para atención de la Demanda Total,
IN=0 si para todas las plantas térmicas j se cumple la condición.
![]()
Donde:


| IN,j | Estimación de ingresos de la planta térmica j por atender la Demanda Total. |
| PN,j | Estimación del valor de operación de la planta j por atender la Demanda Total. |
| GN,j,i | Generación ideal de la planta j en la hora i para atender Demanda Total. |
| MPON,i | Máximo Precio de Oferta para atender la Demanda Total en la hora i. |
| Pofj | Precio ofertado a la Bolsa de Energía por la planta j. |
| ParN,j,z | Precios de oferta de arranque-parada z de la planta j que no genera en el ideal para la Demanda no Doméstica en ninguna de las horas del día. |
| l | Número de arranques de la planta j. |
Si no se cumple la condición de la Ec. (1), se calculará el Valor Adicional para la Demanda Total (
IN) con las plantas térmicas que no cumplen la condición de la Ec. (1) aplicando la siguiente ecuación:
![]()
Donde:
| k | Número de plantas térmicas que no cumplen la condición de la Ec. (1) |
| DN,i | Demanda Total en la hora i. |
- Para atención de la Demanda No Doméstica,
II=0 si para todas las plantas térmicas j se cumple la condición:
![]()
Donde:


| IN+I,j | Estimación de ingresos de la planta térmica j por atender la Demanda Total más la Demanda no Doméstica. |
| PN+I,j | Estimación del valor de operación de la planta j por atender Demanda Total más Demanda no Doméstica. |
| GN,j,i | Generación ideal de la planta j en la hora i para atender Demanda Total. |
| MPON,i | Máximo Precio de Oferta para atender la Demanda Total en la hora i. |
| MPOI,i | Máximo Precio de Oferta para atender la Demanda Total más Demanda No Doméstica en la hora i. |
| GI,j,i | Generación ideal de la planta j en la hora i para atender Demanda no Doméstica. |
| Pofj | Precio ofertado a la Bolsa de Energía por la planta j. |
| ParI,j,z | Precios de oferta del arranque-parada z de la planta j que generan en el ideal en algún período para la Demanda no Doméstica. |
| l | Número de arranques de la planta j. |
Si no se cumple la condición de la Ec(2), se calculará el Valor adicional para la Demanda no Doméstica
con aquellas plantas térmicas que no cumplen la condición de la Ec. (2) aplicando la siguiente ecuación:

Donde:
| m | Número de plantas térmicas que no cumple la condición de la Ec (2). |
| DI,i | Demanda no Doméstica en la hora i. |
e. Se determinará el Precio de Bolsa para cada mercado, de la siguiente forma:
· Para atender Demanda Total, se aplicará la siguiente ecuación, para cada hora i:
![]()
· Para atender Demanda No Doméstica, se aplicará la siguiente ecuación, para cada hora i:
![]()
Donde:
| PBN,i | Precio en la Bolsa de Energía para la Demanda Total en la hora i. |
| PBI,i | Precio en la Bolsa de Energía para la Demanda no Doméstica en la hora i. |
| MPON,i | Máximo Precio Ofertado para la Demanda Total en la hora i. |
| MPOI,i | Máximo Precio Ofertado para Demanda no Doméstica en la hora i. |
| Valor adicional para la Demanda Total. | |
| Valor adicional para la Demanda no Doméstica. |
2. Cuando no hay Demanda No Doméstica
Cuando no hay Demanda no Doméstica en todos los períodos horarios, se aplicarán las siguientes reglas:
a. Se tomará la generación del Despacho Ideal para la atención de la Demanda Total.
b. Con los resultados del literal a., para cada hora se ordenarán las plantas despachadas de acuerdo con las ofertas de precios a la Bolsa de Energía de menor a mayor.
c. El Máximo Precio Ofertado horario, (MPON), con el ordenamiento de las plantas del punto b. se tomará el precio ofertado por la última planta requerida para atender la Demanda Total, que no sea inflexible.
d. Se determinará un valor adicional (
I) de la siguiente forma:
-
IN=0 si para todas las plantas térmicas j se cumple la condición
![]()
Donde:

| IN,j | Estimación de ingresos de la planta térmica j por atender la Demanda Total. |
| PN,j | Estimación del valor de operación de la planta j por atender la Demanda Total. |
| GN,j,i | Generación ideal de la planta j en la hora i para atender Demanda Total. |
| MPON,i | Máximo Precio de Oferta para atender la Demanda Total en la hora i. |
| Pofj | Precio ofertado a la Bolsa de Energía por la planta j. |
| ParN,j,z | Precios de oferta de arranque-parada z de la planta j. |
| l | Número de arranques de la planta j. |
Si no se cumple la condición de la Ec. (3), se calcula el Valor Adicional para la Demanda Total (
IN) con las plantas térmicas que no cumplen la condición de la Ec. (3) con la siguiente ecuación:

Donde:
| k | Número de plantas térmicas que no cumplen la condición de la Ec. (3) |
| DN,i | Demanda Total en la hora i. |
e. Se determina el Precio de Bolsa de la siguiente forma:
![]()
Donde:
| PBN,i | Precio en la Bolsa de Energía para la Demanda Total en la hora i. |
| MPON,i | Máximo Precio Ofertado para la Demanda Total en la hora i. |
| Valor adicional para la Demanda Total. |
La oferta de precios en la Bolsa de Energía se hará de acuerdo con la Resolución CREG-055 de 1994 (o demás normas que la modifiquen o sustituyan). Sin embargo, para verificar si las cotizaciones de los generadores siguen el criterio definido en la resolución mencionada, la Comisión tomará en cuenta que los precios ofertados serán flexibles e incluirán el efecto de la incertidumbre y las diferencias de percepción de riesgos de los generadores.”
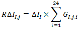
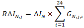
ARTÍCULO 9o. AJUSTES A LA LIQUIDACIÓN EN LA BOLSA DE ENERGÍA. <Artículo modificado por el artículo 4 de la Resolución 186 de 2009. El texto es el siguiente:>
1. Valores a cargo de los generadores que salieron despachados
El valor a cargo de cada generador j despachado en el Despacho Ideal, será el que resulta de aplicar la siguiente expresión:
· Cuando hay Demanda Internacional de Despacho Económico Coordinado y/o Demanda No Doméstica



- Cuando no hay Demanda Internacional de Despacho Económico Coordinado ni Demanda No Doméstica

Donde:
| R | Recaudo por Valor Adicional por atención de Demanda Internacional de Despacho Económico Coordinado a cargo del generador j |
| R | Recaudo por Valor Adicional por atención de Demanda Total Doméstica a cargo del generador j. |
| R | Recaudo por Valor Adicional por atención de Demanda No Doméstica a cargo del generador j |
| Valor adicional para la Demanda Total Doméstica. | |
| Valor adicional para la Demanda Internacional de Despacho Económico Coordinado y/o la Demanda No Doméstica. | |
| GN,j,i: | Generación de la planta j en la hora i para atender Demanda Total Doméstica. |
| GI,j,i: | Generación de la planta j en la hora i para atender Demanda Internacional de Despacho Económico Coordinado. |
| GK,j,i: | Generación de la planta j en la hora i para atender la Demanda No Doméstica. |
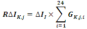
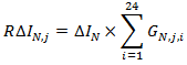
2. Valores a favor de los generadores despachados
El valor a favor de cada generador despachado en el Despachado Ideal será calculado con las siguientes expresiones, según el caso:
- Cuando hay Demanda Internacional de Despacho Económico Coordinado y/o Demanda No Doméstica y no se cumple la condición de la Ec(1) y/o de la Ec (2), del Anexo A 4 de la Resolución CREG 024 de 1995, se aplicará la siguiente expresión:
![]()
Si se cumplen las condiciones de las Ec (1) y (2),
![]()
Cuando no hay Demanda Internacional de Despacho Económico Coordinado y Demanda No Doméstica y no se cumple la condición de la Ec(3), del Anexo A 4 de la Resolución CREG 024 de 1995, modificado por esta Resolución se aplicará la siguiente expresión:
![]()
Si se cumple la condición de la Ec (3), ![]()
Donde:
| P | Valores a favor del generador j. |
| IN,j: | Estimación de ingresos de la planta térmica j por atender la Demanda Total Doméstica. |
| PN,j: | Estimación del valor de operación de la planta j por atender la Demanda Total Doméstica. |
| IN+I+K,j: | Estimación de ingresos de la planta térmica j por atender la Demanda Total Doméstica mas la Demanda Internacional de Despacho Económico Coordinado más la Demanda No Doméstica. |
| PN+I+K,j: | Estimación del valor de operación de la planta j por atender la Demanda Total Doméstica mas la Demanda Internacional de Despacho Económico Coordinado más la Demanda No Doméstica. |
Según se definen en el Anexo A 4 de la Resolución CREG 024 de 1995.
ARTÍCULO 10. MODIFICACIÓN DEL APARTE “OFERTA DE PRECIOS” DEL NUMERAL 3.1. DEL CÓDIGO DE OPERACIÓN DE LA RESOLUCIÓN CREG-025 DE 1995. El aparte “Oferta de Precios” del numeral 3.1 del anexo denominado Código de Operación de la Resolución CREG-025 de 1995 quedará así:
"3.1 Oferta de Precios y Precios de Arranque-Parada:
Para el envío de información de ofertas al CND, se usará la transmisión electrónica de datos que haya establecido el CND, como medio principal. El CND y el ASIC aplicarán la confidencialidad para el manejo de la información de ofertas suministradas por este medio por las empresas generadoras.
Como medio alterno, ante fallas o indisponibilidades en los sistemas de comunicaciones o de información, se empleará el envío de información de ofertas por fax.
Oferta de Precios
Para el Despacho Económico Horario, las empresas generadoras deben informar diariamente al CND antes de las 08:00 horas, una única oferta de precio a la Bolsa de Energía para las veinticuatro (24) horas (expresada en valores enteros de $/MWh) por cada recurso de generación, exceptuando las cadenas hidráulicas: Paraíso y Guaca; Troneras, Guadalupe 3 y Guadalupe 4; Alto Anchicayá y Bajo Anchicayá; que harán ofertas de precio en forma integral por cadena. También se exceptúan los enlaces Internacionales que participen en el Mercado de Energía Mayorista, los cuales podrán hacer ofertas horarias de precio.
Cuando un generador incumpla con lo establecido anteriormente, el CND supondrá como precio de oferta, el menor precio ofertado para cada una de las plantas y unidades según el caso.
Si a las 08:00 horas el CND no ha recibido ofertas de precio a la Bolsa de Energía de uno o más generadores, o ha recibido información incompleta o inconsistente, asumirá las ofertas de precios a la Bolsa de Energía que se presentaron para cada unidad y planta de generación, el día anterior, o la última oferta de precios a la Bolsa de Energía válida, aplicando los criterios establecidos en el presente Numeral.
Precios de Arranque-Parada
Las empresas generadoras con plantas y/o unidades térmicas ofertarán en el último día de los meses diciembre, marzo, junio y septiembre de cada año el precio de arranque-parada al CND, antes de las 8:00 horas, expresados en valores enteros de dólares de los Estados Unidos de Norteamérica (US$) por cada recurso de generación. Para pasar a pesos (Col$) el CND y el ASIC tomarán la TRM del día anterior a la realización del despacho, tomando los valores enteros en esta moneda.
Los precios de arranque-parada se podrán ofertar por tipo de combustible y configuración. Además, diariamente al mismo tiempo que hacen la oferta de precios a la Bolsa de energía deberán informar el combustible y la configuración con que se debe considerar cada recurso de generación en el despacho.
Cuando un generador no oferte los precios de arranque-parada en las condiciones aquí establecidas, el CND asumirá lo siguiente:
- Si no declaran la configuración para la primera vez, se tomará la primera configuración declarada según acuerdos del CN0 para el combustible más económico. Para las siguientes veces se tomará la última declarada.
- De acuerdo con el combustible declarado, según el punto anterior, si no ofertan precios de arranque-parada para la primera vez, se tomará el 80% de los costos reconocidos en la Resolución CREG-034 de 2001. Para las siguientes veces se tomará el último valor ofertado.
Cuando una planta nueva entre en operación comercial o una planta adicione otro combustible principal se podrán ofertar los precios de arranque-parada una vez inicie su operación comercial y continuarán ofertando los precios de arranque-parada en el último día de los meses diciembre, marzo, junio y septiembre de cada año.
PARÁGRAFO. La primera oferta de precios de arranque-parada se hará el día anterior al primer despacho a realizar aplicando la presente resolución y posteriormente se seguirá ofertando en el último día de los meses diciembre, marzo, junio y septiembre de cada año.”
ARTÍCULO 11. MODIFICACIÓN DEL NUMERAL 1 (“CÁLCULO DE LAS GENERACIONES DE SEGURIDAD”) DEL ANEXO 2 DE LA RESOLUCIÓN CREG-062 DE 2000. El numeral 1 del Anexo 2 de la Resolución CREG-062 del 2000 quedará así:
“1. Cálculo de las Generaciones de Seguridad
Diariamente el CND realizará el siguiente proceso, para determinar las Generaciones de Seguridad y los límites de intercambio que definen el Despacho Programado.
a) Información Requerida
Demanda
Pérdidas
Base de Datos de Evaluación de Restricciones Eléctricas
Base de Datos de Características Técnicas de Unidades y Plantas
Precios de Ofertas a la Bolsa de Energía
Precios de Arranque-Parada
Disponibilidades Declaradas
Generación de Menores
Regulación Primaria
Generación de Seguridad solicitada por Operadores de Red (Ver Literales a) y b) del siguiente Numeral)
Mantenimientos de Activos de Uso del STN, Conexión al STN y Activos de STR's a Nivel IV
b) Predespacho Ideal
El CND encontrará para las veinticuatro (24) horas del Despacho, sin tener en cuenta las inflexibilidades de las unidades y/o plantas de generación y sin considerar las Restricciones del SIN, un Predespacho Ideal tal que:
![]()
Sujeto a:

donde:
| i | Indexa a los Generadores |
| t | Indexa las Horas del Día |
| Pof | Precio de Oferta a la Bolsa de Energía |
| Par | Precio de arranque-parada |
| Q | Disponibilidad Declarada |
| D | Demanda |
c) Análisis de Restricciones Eléctricas y Requerimientos de Soporte de Tensión
El CND establecerá las Restricciones Eléctricas y Requerimientos de Soporte de Tensión, teniendo en cuentas la Generación de Seguridad solicitada por los OR´s, por seguridad, calidad y para soporte de tensión en sus Sistemas a niveles de voltaje inferiores al nivel IV (Ver Literales a y b) del siguiente Numeral) y la información disponible en la Base de Datos de Evaluación de Restricciones Eléctricas y Operativas.
d) Análisis de Restricciones Operativas
El CND establecerá las Restricciones Operativas para garantizar la seguridad, confiabilidad y calidad del SIN, teniendo en cuenta los criterios de seguridad, confiabilidad y calidad, las restricciones y requerimientos de seguridad identificados en el literal c) anterior y la información disponible en la Base de Datos de Evaluación de Restricciones Eléctrica y Operativas.
e) Despacho Programado
El CND encontrará para las veinticuatro (24) horas del Despacho, un Despacho Programado considerando las características técnicas de las plantas y/o unidades de generación, las Restricciones del SIN identificadas en los literales anteriores y con los requerimientos de AGC según la reglamentación vigente, tal que:
![]()
Sujeto a:
![]()
Restricciones Eléctricas y soporte de tensión
Restricciones Operativas
donde:
| i | Indexa a los Generadores |
| t | Indexa las Horas del Día |
| Pof | Precio de Oferta |
| Par | Precio de arranque-parada |
| Q | Disponibilidad Declarada |
| D | demanda |
ARTÍCULO 12. MODIFICACIÓN DE LOS LITERALES D) E I) DEL ARTÍCULO 2o DE LA RESOLUCIÓN CREG-063 DE 2000. Los literales d) e i) del Artículo 2o de la Resolución CREG-063 de 2000 quedarán así:
“d) Los Costos Horarios de Reconciliación Positiva de una Generación de Seguridad, asociada con el cumplimiento del criterio de confiabilidad, se asignarán entre todos los comercializadores del SIN, a prorrata de su demanda comercial y a todos los enlaces internacionales a prorrata de la exportación.”
“i) Los Costos Horarios de Reconciliación Positiva, originadas en modificaciones al programa de generación solicitadas por el CND durante la operación, por razones diferentes a salidas forzadas de activos de los STR´s y/o SDL´s, se asignarán entre los comercializadores del SIN a prorrata de su demanda.
Si el Redespacho tiene su origen en salidas forzadas de activos de los STR's y/o SDL's, los Costos Horarios de Reconciliación Positiva correspondientes, se asignarán al agente causante de la generación respectiva.
Cuando exista más de un OR asociado con el requerimiento de esta generación forzada, el Costo Horario de Reconciliación Positiva se asignará en proporción a los ingresos por Cargos por Uso de Nivel IV de tensión, aprobados para los respectivos OR´s, aplicados a la demanda total de cada uno de ellos.”
ARTÍCULO 13. MODIFICACIÓN DEL NUMERAL 4 (“ASIGNACIÓN DE LA RESERVA DE REGULACIÓN”) DEL ANEXO CO-4 DE LA RESOLUCIÓN CREG-025 DE 1995. El numeral 4 del Anexo CO-4 de la Resolución CREG-025 de 1995 quedará así:
“4. ASIGNACION DE LA RESERVA DE REGULACIÓN
El CND distribuirá los requerimientos de reserva entre las plantas y/o unidades Elegibles, previo al despacho económico, teniendo en cuenta los siguientes criterios:
a) El precio a considerar para asignar la regulación entre las plantas y/o unidades Elegibles, es el mismo precio de oferta a la Bolsa de energía y los precios de arranque-parada que hayan efectuado los agentes para dichas plantas y/o unidades en la Bolsa.
b) La asignación de la reserva necesaria se hará por un proceso de optimización que minimice los precios para cubrir las necesidades del SIN en las 24 horas, tal que:
![]()
Sujeto a:
![]()
donde:
| i | Indexa a los generadores |
| t | Indexa las Horas del Día |
| Pof | Precio de Oferta |
| Par | Precio de arranque-parada |
| DAGC | Disponibilidad para regulación secundaria de frecuencia |
| RAGC | Reserva de regulación requerida |
c) En caso de oferta insuficiente para cubrir los requerimientos de reserva de regulación requerida, el CND acudiendo al esquema de “Coordinación de la Operación en Tiempo Real” (Numeral 5.2 del Código de Operación), designará a la o las plantas y/o unidades Elegibles hasta llenar los requerimientos de reserva, teniendo en cuenta la minimización de costos.
En este caso se verifica la disponibilidad actual y la última oferta para regulación de frecuencia, con el fin de establecer la disponibilidad para regulación que se considerará.
d) Si la utilización de una planta y/o unidad, no permite cumplir con las condiciones técnicas establecidas en el Numeral 2 del presente Anexo, en condiciones de oferta suficiente, se hará una optimización con los siguientes recursos y se le asignará el mínimo técnico de regulación (definido por el CNO), reasignándose los requerimientos de la reserva rodante restante, entre los primeros que minimizan los precios. Este proceso se realizará en forma iterativa hasta cubrir los requerimientos técnicos y de reserva.
e) Si durante la operación el CND detecta, que uno o varios de los recursos de regulación, no cumplen los niveles de calidad establecidos, podrá retirar temporalmente el recurso en cuestión del esquema de regulación, mientras se realizan los correctivos necesarios. El CND informará al CNO sobre las causas que motivaron la decisión de retiro temporal”.
ARTÍCULO 14. MODIFICACIÓN DEL NUMERAL 5.2 (“COORDINACIÓN DE LA OPERACIÓN EN TIEMPO REAL”) DEL CÓDIGO DE OPERACIÓN DE LA RESOLUCIÓN CREG-025 DE 1995. El numeral 5.2 de la Resolución CREG-025 de 1995, Código de Operación, quedará así:
“5.2. Coordinación de la operación en tiempo real
- El CND realizará la coordinación en tiempo real de la operación de los recursos de generación y transmisión del SIN, incluyendo las interconexiones internacionales. Para ello el CND coordinará la ejecución de las maniobras directamente o a través de los demás agentes del SIN.
- El CND realizará la supervisión de los Activos de Uso del STN y de Conexión al STN, de las interconexiones internacionales a nivel de tensión igual o superior al IV y de las unidades de generación del SIN despachadas centralmente, y las no despachadas centralmente que se requieran, según su criterio.
- Las empresas generadoras operarán sus unidades siguiendo el Despacho Económico horario o el Redespacho si se presentan modificaciones.
Cuando se presenta un desbalance entre la carga y la generación del sistema, el AGC corregirá la desviación de frecuencia dentro de su margen de regulación.
Posteriormente, el CND determinará si hay unidades o plantas que presentan desviaciones del programa. Si es así y éstas pueden volver al programa, el CND solicitará a las unidades o plantas ajustarse al mismo. Si con estas acciones el margen de regulación no se restablece, el CND solicitará variación en la generación de unidades o plantas para que asuman la desviación, de acuerdo con el orden que resultó en el proceso de optimización, si existe disponibilidad en estas plantas, la disponibilidad adicional se seleccionará de acuerdo con el precio ofertado a la Bolsa de Energía, iniciando con la de menor precio no despachada. La instrucción dada por el CND a los generadores contiene explícitamente la hora a partir de la cual se debe modificar la generación, la nueva generación en MW y la causa por la cual se modifica el programa de generación. La unidad o planta se señala como reguladora.”
ARTÍCULO 15. MODIFICACIÓN DEL ARTÍCULO 4 DE LA RESOLUCIÓN CREG-064 DE 2000. El artículo 4 de la Resolución CREG-064 de 2000 quedará así:
“ARTÍCULO 4o. Reconciliación del Servicio de Regulación Secundaria de Frecuencia. Las plantas y/o unidades de generación a las que se les haya asignado el Servicio de AGC serán objeto de reconciliación, con independencia de que su precio de oferta resulte o no en mérito. El esquema de Reconciliación aplicable a cada planta y/o unidad de generación con asignación de AGC, se establece a continuación:
Sean:
| H: | Holgura horaria requerida por el Sistema, establecida por el CND y expresada en MW. |
| HO: | Potencia asociada con la Holgura horaria asignada al Generador por el CND, de acuerdo con la reglamentación vigente para el Servicio de Regulación Secundaria de Frecuencia. Expresada en MW. |
| Gp: | Generación Programada para los generadores despachados centralmente. |
| Modificaciones a la Generación Programada, solicitadas por el CND durante la operación, para los generadores despachados centralmente. | |
| REC: | Reconciliación en la Bolsa. |
| PR: | Precio de Reconciliación. |
| Gr: | Generación Real de la planta y/o unidad de generación con AGC asignado. |
| Gi: | Generación Ideal de la planta y/o unidad de generación con AGC asignado. |
| Modificación al HO solicitadas por el CND durante la operación. Expresada en MW. | |
| %DA: | Porcentaje de Desviación Admisible establecido en la regulación vigente. |
Las plantas y/o unidades de generación que presten el Servicio de Regulación Secundaria de Frecuencia son objeto de Reconciliación por este Servicio. Para la aplicación de los conceptos anteriores se tendrán en cuenta los siguientes criterios y expresiones:
I. Plantas y/o Unidades de Generación que no prestaron efectivamente el Servicio de Regulación Secundaria de Frecuencia, aún cuando hayan tenido asignación de AGC:
Si Gr <(Gp +
) - (HO +
)
ACG = 0
REC = (Gr - Gi) x PR
![]()
Se aplicará el cobro por concepto de la Desviación respectiva.
II. Plantas y/o Unidades de Generación que prestaron efectivamente el Servicio de Regulación Secundaria de Frecuencia:
a) Si ![]()
![]()
![]()
![]()
Se aplicará el cobro por concepto de la Desviación respectiva medida con respecto a ![]()
b) ![]()
![]()
![]()
El término PR, contenido en las expresiones de los Literales a) y b) se calculará de la siguiente forma:
Para REC >= 0 y AGC:

Para REC < 0

dónde:
| Pit: | Precio de Bolsa Internacional en la t-ésima hora. |
| Pt: | Precio de Bolsa Nacional en la t-ésima hora. |
| Pot: | Precio de Oferta del Generador en la t-ésima hora. |
| Par: | Precio de arranque-parada del generador |
PARÁGRAFO 1o. La modificación durante la operación de la Holgura, (HO), se hará en proporción al tiempo efectivo de duración de cada Holgura (HO) dentro de la hora respectiva.
PARÁGRAFO 2o. A los ajustes Gp y HO se les aplicará la función redondeo para convertirlos a valores enteros.
PARÁGRAFO 3o. Teniendo en cuenta que la prestación del Servicio de AGC se efectúa a nivel de Unidad y que para el caso de las plantas de generación las Reconciliaciones se efectúan para toda la planta, para efectos de calcular las Reconciliaciones establecidas en el presente Artículo, se deberán agregar previamente los valores correspondientes a cada una de las Unidades que conforman la respectiva planta.
PARÁGRAFO 4o. Los conceptos de Gp y
aquí definidos se extienden para todos los efectos comerciales en el Mercado Mayorista.”
ARTÍCULO 16. MODIFICACIÓN DE LA DEFINICIÓN DE “PRECIO DE IMPORTACIÓN PARA LIQUIDACIÓN”. La definición de “Precio de Importación para Liquidación” del artículo 3 de la Resolución CREG-004 de 2003 quedará así:
“Precio de Importación para Liquidación: Precio que paga el mercado importador equivalente al precio de Bolsa del mercado menos el Costo Equivalente Real en Energía del Cargo por Confiabilidad (CERE), resultante de su despacho ideal, que incluye el Precio de Oferta en cada Nodo Frontera para Exportación de los otros países, incrementado por los cargos regulatoriamente reconocidos asociados con la generación y por el respectivo Costo Equivalente Real de Energía del Cargo por Confiabilidad.”
ARTÍCULO 17. MODIFICACIÓN DEL ARTÍCULO 5 DE LA RESOLUCIÓN CREG-004 DE 2003. El artículo 5 de la Resolución CREG-004 de 2003 quedará así:
“Artículo 5o. Determinación de la Curva Horaria de Precios de Oferta en cada Nodo Frontera para Exportación - Curva de Escalones PONEQx,i-. Para efecto de las Transacciones Internacionales de Electricidad de Corto Plazo –TIE- el CENTRO NACIONAL DE DESPACHO -CND-, estimará horariamente una curva escalonada de Precios de Oferta para cada Nodo Frontera para Exportación, Curva de escalones PONEQX,i, la cual reflejará un precio por cada valor QX, igual al precio de bolsa que se obtiene al ejecutar el proceso de optimización para cubrir la energía adicional, iniciando con un valor QX igual a la capacidad remanente del generador marginal, incrementando valores de QX hasta que cubra la capacidad máxima de exportación del enlace internacional. Cada escalón PONEQX,I de la curva deberá incluir la totalidad de costos y cargos asociados con la entrega de energía en dicho nodo frontera de exportación, como se definen en la presente Resolución.
Cada escalón PONEQxi de la Curva, se construye de la siguiente manera:
PONEQXi = Precio_Bolsa_e,QX, + Costo_Medio_Restricciones_e + Costo_Restricciones_del_Enlace_e,QX,i + Cargos_Uso_STN_e + Cargos_Uso_STR_e,i + Cargos_Conexión_Col_QX,i + Cargos_CND_ ASIC_e + Costo_Pérdidas_STN_e, Qx,i + Costo_Pérdidas_STR_e,Qx,i.
donde:
Precio_Bolsa_e,QX: Para la determinación del Precio_Bolsa_e,QX, el CENTRO NACIONAL DE DESPACHO -CND-, encontrará un Despacho Ideal para las veinticuatro (24) horas del Despacho, para la demanda total doméstica y para cada valor QX hasta la capacidad máxima de exportación, según lo establecido en la resolución CREG 024 de 1995, con condiciones estimadas por el CND para las variables a utilizar, así:
i) Demanda Total Doméstica más cada valor QX
ii) Características técnicas de los recursos de generación.
iii) Disponibilidad, precio de oferta y precios de arranque-parada declarados por los generadores térmicos, o aquellos precios y/o disponibilidades resultantes de las modificaciones a los mismos, establecidas en la regulación vigente.
El Precio_Bolsa_e,QX corresponderá al precio de Bolsa del anterior programa de despacho ideal, para cada QX incremental, expresado en $/kWh.
Costo_Medio_Restricciones_e: Costo estimado en $/kWh de la energía generada por restricciones del Sistema Interconectado Nacional, sin considerar las exportaciones a través de los enlaces internacionales, para cada período horario. Dichos costos incluirán además los previstos en la Resolución CREG 147 de 2001, “Por la cual se aprueba la remuneración de los activos que conforman la variante de línea entre la Subestación Guatapé y la Línea San Carlos – Ancón Sur del Sistema de Transmisión Nacional”, los cuales serán suministrados por el LAC.
Dichos costos se determinarán, de conformidad con el procedimiento que se describe en el Anexo 3o de la presente resolución.
Cargos_Uso_STN_e: Costo estimado en $/kWh de los cargos por uso del Sistema de Transmisión Nacional, informados por el Liquidador y Administrador de Cuentas -LAC- al CND; que corresponden al último valor calculado para el Cargo por Uso del STN.
Cargos_CND_ASIC_e,QX: Costo estimado en $/kWh de los servicios por CND y ASIC asociados con una demanda QX, informados por el ASIC al CND.
Cargos_Uso_STR_e,i: Costo en $/kWh estimado de los cargos por uso del Sistema de Transmisión Regional, informados por el Liquidador y Administrador de Cuentas -LAC- al CND; que corresponden al último valor calculado para el Cargo por Uso de STR, para el Enlace Internacional i.
Costo_Restricciones_del_Enlace_e,QXi: Costo estimado en $/kWh de la energía generada por restricciones del SIN, asociada con la exportación a través del Enlace Internacional i, para la oferta de exportación QX, calculado conforme al procedimiento desarrollado en el Anexo 4o, considerando en forma independiente cada uno de los Enlaces Internacionales.
Cargos_Conexión_Col i,QX: Costo estimado en $/kWh, correspondiente al cargo de conexión establecido por la CREG, para el Enlace Internacional i, en el caso en que éste no sea remunerado por cargos por uso. Este cargo se aplicará solo si es del caso.
Costo_Pérdidas_STN_e,Qx,i: Costo estimado en $/kWh, correspondiente al promedio de las pérdidas de energía horarias del STN calculadas por el ASIC, asignadas al enlace i, en proporción a una demanda QX. Este costo será estimado por el ASIC con información histórica.
Costo_Pérdidas_STR_e,Qx,i: Costo estimado en $/kWh, correspondiente a las pérdidas de energía horarias del STR, resultantes de la aplicación del factor de pérdidas del Nivel de Tensión del Operador de Red al cual se conecte el enlace internacional para referir la exportación al nivel de tensión de 230 kV, según la regulación vigente, asignadas al enlace i, en proporción a una demanda QX. Este costo será estimado por el ASIC con información histórica.
PARÁGRAFO 1: El CND verificará que la curva de Precio de Oferta en el Nodo Frontera para Exportación sea monotónicamente creciente, y de no cumplirse esta condición, se tomará como Precio de Oferta en el Nodo Frontera para Exportación, el valor correspondiente al escalón inmediatamente anterior.
La curva de Precio de Oferta en el Nodo Frontera para Exportación deberá estar expresada en Dólares de los Estados Unidos de Norte América, por MWh, para tal fin el CENTRO NACIONAL DE DESPACHO -CND-, empleará la Tasa Representativa de Mercado – TCRM- del día inmediatamente anterior al cual se realiza el Despacho Programado, o la última TCRM vigente, publicada por la Superintendencia Bancaria.
PARÁGRAFO 2: Hasta junio 30 de 2003, el número máximo de incrementos de cantidades QX a considerar en la curva de Precio de Oferta del Nodo Frontera para Exportación, será igual a tres (3), donde el último incremento corresponderá al valor remanente para llegar a la capacidad máxima de exportación del sistema. A partir de julio 1 de 2003 y hasta finalizar el período de transición el número máximo de incrementos de cantidades QX será sin limitaciones. Sin perjuicio de lo anterior la CREG revisará durante el período de transición el número máximo de incrementos a considerar.
Para determinar la variable Precio_Bolsa_e,QX, el CND podrá usar el Predespacho ideal, según el anexo 2 de la Resolución CREG 062 de 2000, y a partir de la publicación de la presente Resolución, el proceso para la determinación del Precio_Bolsa_e,QX, podrá considerar las características técnicas de los recursos de generación”
ARTÍCULO 18. MODIFICACIÓN DEL ARTÍCULO 6 DE LA RESOLUCIÓN CREG-014 DE 2004. El artículo 6 de la Resolución CREG-014 de 2004 quedará así:
"Artículo 6o. Determinación del precio nodal de oferta para exportación en el redespacho. Con el fin de aplicar alguna de las causales de redespacho para exportación, establecidas en el Artículo 8o de la Resolución CREG 004 de 2003, el CND calculará el Precio Nodal de Oferta para Exportación en el Redespacho, aplicando el siguiente procedimiento:
1. Estimará horariamente un Precio de Oferta para cada Nodo Frontera para Exportación en el Redespacho, para la cantidad de exportación programada QX, PONERQx,i, aplicando la siguiente expresión:
“PONERQx,i = Precio_Bolsa_R_e,QX, + Costo_Medio_Restricciones_e + Costo_Restricciones_del_Enlace_R_e,QX,i + Cargos_Uso_STN_e + Cargos_Uso_STR_e,i + Cargos_Conexión_Col_QX,i + Cargos_CND_ ASIC_e, + Costo_Pérdidas_STN_e,Qx,i. + Costo_Pérdidas_STR_e,Qx,i
donde:
Precio_Bolsa_R_e,QX: Precio de Bolsa estimado de Redespacho, que corresponde al precio que se obtiene de un Predespacho ideal, para el valor QX programado, como se establece a continuación.
Para la determinación del Precio_Bolsa_R_e,QX, el CENTRO NACIONAL DE DESPACHO -CND-, encontrará un Predespacho Ideal para las veinticuatro (24) horas del Redespacho, para la demanda total doméstica y para el valor QX programado para ese período en el Redespacho, con condiciones estimadas por el CND para las variables a utilizar, así:
i) Demanda Total Doméstica más el valor QX programado
ii) Disponibilidad, precio de oferta y precios de arranque-parada declarados por los generadores térmicos, o aquellos precios y/o disponibilidades resultantes de las modificaciones a los mismos, establecidas en la regulación vigente.
Costo_Restricciones_del_Enlace_R_e,QX,i: Costo de la energía generada por restricciones del Sistema Interconectado Nacional, asociado con la exportación a través del Enlace Internacional i, para el valor programado QX en el redespacho, calculado conforme al procedimiento desarrollado en el Anexo 4o, considerando en forma independiente cada uno de los Enlaces Internacionales. El CND utilizará en el numeral 2 del Anexo 4 para efectos de obtener este costo, un Predespacho Ideal.
Se mantendrá el valor estimado de las restantes variables integrantes del PONEQx,i, definidas en el artículo 5o de la resolución CREG 004 de 2003, utilizadas para el proceso de Despacho Coordinado, realizado el día anterior al día de operación.
ARTÍCULO 19. MODIFICACIÓN DEL ANEXO 3 DE LA RESOLUCIÓN CREG-004 DE 2003. El anexo 3 de la Resolución CREG-004 de 2003, quedará así:
“ANEXO No. 3
Costo_Medio_Restricciones_e: Costo de la energía generada por restricciones del Sistema Interconectado Nacional, sin considerar las exportaciones a través de los enlaces internacionales, para cada período horario.
El Centro Nacional de Despacho –CND, determinará dichos costos de conformidad con el siguiente procedimiento:
1. Calculará un Despacho Ideal para la Demanda Total Doméstica estimada, y a partir de este Despacho se calculará el Precio_Bolsa_e.
2. Calculará un Despacho Programado considerando la Demanda Total Doméstica.
Para cada recurso j y para cada período k, se determina:
Si (Qprogj – Qidealj) > 0 entonces Preferencia_j = Máx (PRR j, Precio_Bolsa_e)
Si (Qprog j – Qideal j) < 0 entonces Preferencia_j = (Precio_Bolsa_e +(Pofj+(Parj/
Qprogj)))/2
donde:
PRRj: Promedio ponderado horario del precio de reconciliación positiva, informado por el ASIC al CND. Para cada generador hidráulico se tomará el periodo correspondiente a la última semana de liquidación para cada recurso, en la que se hayan aplicado dichos valores. Para cada generador térmico se tomarán las variables CSC, CTC, COM y OCV de la última semana de liquidación. Para la variable CAP, aplicada a la máxima disponibilidad declarada para el despacho programado, cuyo valor se distribuirá entre la generación de seguridad resultante del despacho programado. El PRRj a aplicar deberá ser el menor valor entre el calculado con este procedimiento y el Precio de Oferta incrementado por los precios de arranque-parada variabilizados con la generación programada para el recurso j en el despacho diario.
Preferencia_j: Precio de referencia para el recurso j en el período k
Precio_Bolsa_e: Precio marginal del Despacho Ideal, calculado en el paso 1.
El Costo_Medio_Restricciones_e para el período k corresponderá a:
![]()
Donde:
![]()
k: Período del Despacho Programado.
CostoRestricDomésticas_k: Costo de las Restricciones para el período k, para la demanda total doméstica, que incluye el valor mensual en pesos de remuneración de los activos que conforman la variante de línea entre la Subestación Guatapé y la Línea San Carlos-Ancón Sur del Sistema de Transmisión Nacional.
Qprogj: Generación del recurso j en el período k del Despacho Programado.
Qidealj: Generación del recurso j en el período k del Despacho Ideal.
Preferenciaj: Precio de referencia del recurso j en el período k, calculado en el paso 2.
DemandaTotalDoméstica_k: Demanda total doméstica pronosticada en el período k.
Parj: Precios de arranque-parada del recurso j
t: 1, …, 24”
ARTÍCULO 20. MODIFICACIÓN DEL NUMERAL A DEL ANEXO 4 DE LA RESOLUCIÓN CREG-004 DE 2003. El numeral A del Anexo 4 de la Resolución CREG-004 de 2003 quedará así:
“A. El Costo de Restricciones del Enlace se determinará para cada período horario y para la cantidad Qmax, igual a la capacidad máxima de exportación del enlace internacional i, y para una cantidad Qmedio, igual a la mitad de la capacidad máxima de exportación del enlace i en el periodo k, de conformidad con el siguiente procedimiento:
1. Se realiza un Despacho Programado considerando la Demanda Total Doméstica.
2. Para las cantidades Qmax y Qmedio, se calcula un Despacho Ideal.
3. Para las cantidades Qmax y Qmedio, se calcula un despacho programado, tomando como referencia el Despacho Programado Preliminar para la demanda total doméstica.
4. Para cada recurso j, período k y para las cantidades Qmax y Qmedio, a exportar por cada enlace i, se determina:
i. Si (Qprog_j_i_QX - Qideal_j_i_QX) > 0
Entonces, Preferencia = Máx (PRRj, Precio_Bolsa_QX)
![]()
ii. Si (Qprog_j_i_QX - Qideal_j_i_QX) < 0
Entonces, Preferencia_j_i_QX = 
Donde:
QX: Corresponde a las cantidades Qmax y Qmedio
PRRj: Promedio ponderado horario del precio de reconciliación positiva, informado por el ASIC al CND. Para cada generador hidráulico se tomará el periodo correspondiente a la última semana de liquidación para cada recurso, en la que se hayan aplicado dichos valores. Para cada generador térmico se tomarán las variables CSC, CTC, COM y OCV de la última semana de liquidación. Para la variable CAP, aplicada a la máxima disponibilidad declarada para el despacho programado, cuyo valor se distribuirá entre la generación de seguridad resultante del despacho programado. El PRRj a aplicar deberá ser el menor valor entre el calculado con este procedimiento y el Precio de Oferta incrementado por los precios de arranque-parada variabilizados con la generación programada para el recurso j en el despacho diario.
Preferencia_j_i_QX: Precio de referencia para el recurso j para una cantidad de exportación QX por el enlace i.
Precio_Bolsa_ QX: Precio marginal del Despacho Ideal para una cantidad de exportación QX.
Qprog_j_i_QX: Generación del recurso j del Despacho Programado para una exportación QX por el enlace i en el período k.
Qideal_j_i_QX: Generación del recurso j del Despacho Ideal para una exportación QX por el enlace i en el período k.
Parj: Precios de arranque-parada del recurso j
t: 1, …, 24
5. Para cada Despacho Programado calculado en el Paso 3, considerando los Precios de Referencia calculados en el Paso 4, y para cada enlace i, se calcula:
![]()

Donde:
n: Número de recursos de generación necesarios para atender la Demanda Total Doméstica más la Exportación QX por el enlace i.
QX: Corresponde con las cantidades Qmax y Qmedio
k: Período del Despacho Programado.
CostoResticDomésticas_k: Costo de las Restricciones para el período k, para la demanda total doméstica, calculado con el procedimiento descrito para Costo_Medio_Restricciones_k (Anexo 3).
CostoRestic_i_QX_k: Costo de las Restricciones considerando una TIE de exportación QX por el enlace i.
Qprogj_i_QX: Generación del recurso j en el período k del Despacho Programado para una TIE de exportación QX.
Qidealj_i_QX: Generación del recurso j en el período k del Despacho Ideal para una TIE de exportación QX.
Preferencia_j_i_QX: Precio de referencia para el recurso j para una cantidad de exportación QX por el enlace i.
Costo_Restricciones_del_Enlace_e,QXi:
ARTÍCULO 21. MODIFICACIÓN DEL ANEXO 5 DE LA RESOLUCIÓN CREG-004 DE 2003. El Anexo 5 de la Resolución CREG-004 de 2003 quedará así:
“ANEXO No. 5
Cálculo correspondiente a la responsabilidad por AGC:

donde:
| j: | Generador despachado en el Despacho Programado |
| n: | Número total de generadores despachados para prestar el servicio de regulación secundaria de frecuencia. |
| m: | Número total de generadores despachados en el Despacho Programado |
| k: | Período horario del Despacho Programado |
| t: | 1, …, 24 |
| AGC: | Costo unitario del servicio de AGC |
| HO: | Holgura asignada al generador j |
| Qj: | Generación programada para el recurso j en el Despacho Programado |
| Pofj: | Precio de Oferta del recurso j en la hora k |
| Parj: | Precio de arranque-parada de la planta j |
ARTÍCULO 22. MODIFICACIÓN DE LA FÓRMULA DE PRECIO DE RECONCILIACIÓN POSITIVA DEL GENERADOR TÉRMICO. La fórmula de Precio de Reconciliación del Artículo 1 de la Resolución CREG-034 de 2001, quedará así:
“El Precio de Reconciliación Positiva de un Generador Térmico será igual a:
![]()
donde:
| CAP | = | Costo de Arranque-Parada reconocido asociado con la Generación de Seguridad fuera de mérito. Igual a cero si la planta se arranca en el despacho ideal |
| GSA | = | MW´s totales de Generación de Seguridad fuera de mérito durante el día, asociada con dicho Arranque. |
| Par | = | Precio ofertado de arranque-parada. Si el arranque se ha considerado en el despacho ideal este valor es cero. |
ARTÍCULO 23. MODIFICACIÓN DE LA FÓRMULA DE PRECIO DE RECONCILIACIÓN NEGATIVA. La fórmula de Precio de Reconciliación Negativa del Artículo 3 de la Resolución CREG-034 de 2001, quedará así:
“ARTÍCULO 3o. Precio de Reconciliación Negativa. Para efectos de establecer el Precio de Reconciliación Negativa, el ASIC aplicará el siguiente procedimiento:
El Precio de Reconciliación Negativa de un Generador será igual a:
![]()
donde
| Pof | = | Precio ofertado |
| MPON | = | Máximo Precio Ofertado para la Demanda Total” |
ARTÍCULO 24. RESULTADOS DE DESPACHOS. Los resultados del Despacho Económico y del Despacho Ideal, serán los calculados por el CND y el ASIC, respectivamente.
Las liquidaciones de la Bolsa de energía tendrán carácter independiente por mes. Por tal razón, de requerirse algún ajuste al Despacho Ideal por reclamaciones, se considerarán exclusivamente las liquidaciones que resulten de los despachos ideales del mes correspondiente a la fecha de la reclamación.
ARTÍCULO 25. AUDITORÍAS. Antes de la fecha de inicio de aplicación de la presente Resolución, el CND y el ASIC harán auditorías con firmas de reconocido prestigio a los programas de despacho y al proceso de liquidación para verificar que se ajustan a lo definido en los artículos 5, 8, 9, 10, 11 y 13 de la presente resolución. El informe de resultados de la auditoría será presentado al CNO y a la CREG.
ARTÍCULO 26. NATURALEZA DE LAS NORMAS CONTENIDAS EN ESTA RESOLUCIÓN. Las normas contenidas en esta Resolución hacen parte del Reglamento de Operación que rige el funcionamiento del Mercado de Energía Mayorista, conforme a lo establecido en el literal c) del numeral 74.1 de la ley 142 de 1994.
ARTÍCULO 27. VIGENCIA. Esta resolución rige a partir de la fecha de su publicación en el Diario Oficial y su aplicación iniciará para el despacho del 1o de agosto de 2009. A partir de esta última fecha derogará las disposiciones que le sean contrarias.
Publíquese y cúmplase.
Dada en Bogotá, D. C., a 7 de mayo de 2009.
El Presidente,
MANUEL MAIGUASHCA OLANO,
Viceministro de Minas y Energía, Delegado del Ministro de Minas y Energía.
El Director Ejecutivo,
HERNÁN MOLINA VALENCIA.