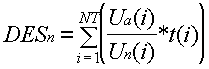
RESOLUCIÓN 70 DE 1998
(mayo 28)
Diario Oficial No. 43.318 de 10 de junio de 1998
COMISIÓN DE REGULACIÓN DE ENERGÍA Y GAS
Por la cual se establece el Reglamento de Distribución de Energía Eléctrica, como parte del Reglamento de Operación del Sistema Interconectado Nacional.
LA COMISIÓN DE REGULACIÓN DE ENERGÍA Y GAS
en ejercicio de sus atribuciones legales, en especial las conferidas por las Leyes 142 y 143 de 1994 y los decretos 1524 y 2253 de 1994 y,
CONSIDERANDO:
Que, de conformidad con el Artículo 23, Literal i, de la Ley 143 de 1994, corresponde a la Comisión de Regulación de Energía y Gas establecer el Reglamento de Operación para realizar el planeamiento y la coordinación de la operación del Sistema Interconectado Nacional;
Que la Comisión elaboró un proyecto de Reglamento de Distribución, el cual fue discutido ampliamente con las empresas y entidades del sector eléctrico colombiano;
Que el Consejo Nacional de Operación, en virtud de lo dispuesto en el referido Literal i del Artículo 23 de la Ley 143 de 1994, emitió concepto sobre el Reglamento que se adopta mediante la presente resolución;
Que el Artículo 28 de la Ley 142 de 1994, determina que todas las empresas tienen el derecho a construir, operar y modificar sus redes e instalaciones para prestar los servicios públicos;
Que las comisiones de regulación pueden exigir que haya posibilidad de interconexión y de homologación técnica de las redes, cuando sea indispensable para proteger a los usuarios, para garantizar la calidad del servicio o para promover la competencia;
Que la Ley 428 de 1998 establece formas de actuar de manera conjunta por parte de los usuarios, así como a las empresas, las cuales se hace útil y necesario incluir en el texto del presente reglamento;
Que el Artículo 86 de la Ley 142 de 1994, determina que el régimen tarifario en los servicios públicos está compuesto por reglas relativas a las prácticas tarifarias restrictivas de la libre competencia, y que implican abuso de posición dominante, así como por los procedimientos, metodologías, fórmulas, estructuras, estratos, facturación, opciones, valores y, en general, todos los aspectos que determinan el cobro de las tarifas;
Que el Artículo 87 de la Ley 142 de 1994 y el Artículo 6 de la Ley 143 de 1994, determinan el principio de neutralidad en la tarifa, y de la empresa frente a los usuarios;
Que de acuerdo con el Artículo 18 de la Ley 143 de 1994, le corresponde a la UPME elaborar y actualizar el Plan Energético Nacional y el Plan de Expansión del sector eléctrico en concordancia con el proyecto del Plan Nacional de Desarrollo;
Que de acuerdo al último inciso del Artículo 73 de la Ley 142 de 1994, la CREG puede solicitar toda la información que requiera, y es obligación de los agentes suministrarla en la forma y en el momento que la misma lo decida;
Que el Artículo 134 de la Ley 142 de 1994 establece que cualquier persona capaz de contratar que habite o utilice de modo permanente un inmueble, a cualquier título, tendrá derecho a recibir los servicios públicos domiciliarios al hacerse parte de un contrato de servicios públicos;
Que el Artículo 133 de la Ley 142 de 1994 determina aquellas conductas sobre las cuales se presume que existe posición dominante de la empresa frente al usuario;
Que el Artículo 137 de la misma Ley, establece las reparaciones a que tiene derecho el suscriptor o usuario, cuando se presente una falla en la prestación del servicio;
Que como mecanismo para evitar la posición dominante de la empresa frente al usuario, en lo que tiene que ver con una prestación ineficiente del servicio público y el derecho del usuario a reclamar por los perjuicios causados, la Comisión considera necesario crear mecanismos con base en las figuras jurídicas existentes, que garanticen el derecho de los usuarios;
Que de acuerdo con el Artículo 1714 del Código Civil la compensación se sucede cuando dos personas son deudoras una de otra;
Que de acuerdo con el Artículo 1715 del Código Civil, la compensación opera por el solo ministerio de la ley y aún sin conocimiento de los deudores;
Que de acuerdo con el Artículo 136 de la Ley 142 de 1994, es obligación de la empresa la prestación continua y de buena calidad del servicio público;
Que las empresas en la actualidad requieren de un proceso de transición, de manera que se adapten a los criterios de calidad, y confiabilidad a los hace referencia el presente Reglamento;
Que el Artículo 26 de la Ley 142 de 1994, determina que las personas que prestan los servicios públicos estarán sujetos a las normas generales sobre la planeación urbana, la circulación y el tránsito, el uso del espacio público, y la seguridad y tranquilidad ciudadanas;
Que la expedición de la presente Resolución no implica ni expresa ni tácitamente la derogatoria o modificación de la Resolución CREG 225 de 1998<sic, es 1997>;
Que es competencia del Ministerio de Minas y Energía, señalar los requisitos técnicos que deben cumplir las obras, equipos y procedimientos que utilicen las empresas de servicios públicos del sector, cuando la comisión respectiva haya resuelto por vía general que ese señalamiento es realmente necesario para garantizar la calidad del servicio, y que no implica restricción indebida a la competencia;
Que se hace necesario la expedición de normas que establezcan la responsabilidades y derechos tanto de las empresas de distribución de energía eléctrica, así como de los usuarios;
Que la Comisión de Regulación de Energía y Gas en su sesión del 28 de mayo de 1998 estudió y adoptó el Reglamento de Distribución de Energía Eléctrica;
RESUELVE:
ARTICULO 1o. Adoptar el Reglamento de Distribución de Energía Eléctrica contenido en el Anexo General de la presente Resolución, como parte del Reglamento de Operación del Sistema Interconectado Nacional.
ARTICULO 2o. La presente resolución rige a partir de la fecha de su publicación en el Diario Oficial y deroga las disposiciones que le sean contrarias.
PUBLÍQUESE Y CÚMPLASE
Dada en Santa Fe de Bogotá, D.C., el día 28 de Mayo de 1998
Ministro de Minas y Energía
ORLANDO CABRALES MARTÍNEZ
Presidente
JORGE PINTO NOLLA
Director Ejecutivo
REGLAMENTO DE DISTRIBUCIÓN DE ENERGÍA ELÉCTRICA.
CONTENIDO
INTRODUCCIÓN
1. DEFINICIONES
2. PRINCIPIOS Y ÁMBITO DE APLICACIÓN DEL REGLAMENTO
2.1 PRINCIPIOS Y ALCANCE DEL REGLAMENTO
2.2 ÁMBITO DE APLICACIÓN DEL REGLAMENTO
3. PLAN DE EXPANSIÓN
3.1 OBJETIVO
3.2 RESPONSABILIDAD POR LA EXPANSIÓN DE LOS STR'S Y/O SDL'S
3.3 CRITERIOS PARA DESARROLLAR LA PLANEACIÓN DE LA EXPANSIÓN DE LOS OR'S.
3.4 PROCEDIMIENTOS Y METODOLOGÍAS
4. CONDICIONES DE CONEXIÓN
4.1 OBJETIVO
4.2 CRITERIOS TÉCNICOS DE DISEÑO
4.3 ESPECIFICACIONES DE DISEÑO
4.4 PROCEDIMIENTO PARA LA CONEXIÓN DE CARGAS
4.5 PROCEDIMIENTO PARA LA CONEXIÓN DE GENERACIÓN
5. OPERACIÓN DE LOS SISTEMAS DE TRANSMISIÓN REGIONAL Y/O DE DISTRIBUCIÓN LOCAL
5.1 OBJETIVO
5.2 PLANEAMIENTO OPERATIVO
5.3 SUPERVISIÓN OPERATIVA
5.4 MANEJO OPERATIVO DE CARGA
5.5 INFORMACIÓN OPERACIONAL
6. CALIDAD DEL SERVICIO DE LOS SISTEMAS DE TRANSMISIÓN REGIONAL Y/O DE DISTRIBUCIÓN LOCAL
6.1 OBJETIVO
6.2 CALIDAD DE LA POTENCIA SUMINISTRADA
6.3 CALIDAD DEL SERVICIO PRESTADO
6.4 REGISTRO DE INTERRUPCIONES
6.5 VIGILANCIA DE LA CALIDAD
7. MEDIDA
7.1 OBJETIVO
7.2 FRONTERAS COMERCIALES
7.3 CARACTERÍSTICAS TÉCNICAS DE LOS EQUIPOS DE MEDIDA
7.4 ACCESO A LOS EQUIPOS DE MEDIDA
7.5 REGISTRO, PRUEBAS Y SELLADO DE LOS EQUIPOS DE MEDIDA
7.6 REVISIONES DE LOS EQUIPOS DE MEDIDA
8. ALUMBRADO PÚBLICO
8.1 OBJETIVO
8.2 NORMAS APLICABLES
9. PROPIEDAD DE ACTIVOS DE LOS SISTEMAS DE TRANSMISIÓN REGIONAL Y/O DISTRIBUCIÓN LOCAL
9.1 PROPIEDAD DE ACTIVOS DE LOS STR Y/O SDL
9.2 NUEVOS OR's
9.3 DERECHO A LA PROPIEDAD DE ACTIVOS DE UN STR Y/O SDL
9.4 VENTA DE ACTIVOS
10. MODIFICACIONES Y ACTUALIZACIONES DEL REGLAMENTO DE DISTRIBUCIÓN Y SOLUCIÓN CONTROVERSIAS
10.1 OBJETIVO
10.2 ACTUALIZACIÓN DEL REGLAMENTO DE DISTRIBUCIÓN
10.3 SOLUCIÓN DE CONTROVERSIAS Y SITUACIONES NO PREVISTAS
11. REQUISITOS TÉCNICOS DE GENERADORES Y AUTOGENERADORES A GRAN ESCALA QUE FUNCIONAN A PARTIR DE TECNOLOGÍA SOLAR FOTOVOLTAICA (SFV) O EÓLICA Y QUE ESTÁN CONECTADOS AL SDL, CON CAPACIDAD EFECTIVA NETA O POTENCIA DECLARADA MÁXIMA IGUAL O MAYOR A 5 MW.
11.1. REQUISITOS TÉCNICOS GENERALES
11.2. SERVICIOS QUE LAS PLANTAS OBJETO DE ESTE CAPÍTULO DEBEN PROVEER
11.3. REQUISITOS TÉCNICOS GENERALES DE LA OPERACIÓN DE LAS PLANTAS OBJETO DE ESTE CAPÍTULO
11.4. INFORMACIÓN Y PROCEDIMIENTO DE PUESTA EN SERVICIO DE UNA PLANTA EN EL SISTEMA QUE ES OBJETO DE ESTE CAPÍTULO.
11.5. CAPACIDAD DE OPERACIÓN EN ISLA
11.6. PRONÓSTICOS DE GENERACIÓN
11.7. RESERVA DE INFORMACIÓN
ANEXOS:
RD - 1 SISTEMA DE INFORMACIÓN DE LA RED DE DISTRIBUCIÓN
RD - 2 NORMAS OPERATIVAS PARA CONSIGNACIÓN DE CIRCUITOS
El presente Reglamento de Distribución regula la actividad de Transmisión Regional y/o Distribución Local de Energía Eléctrica, con base en los principios relacionados con la eficiencia, calidad y neutralidad, en cumplimiento del Artículo 23 de la Ley 143 de 1994.
De esta manera, aquí se definen y hacen operativos los criterios técnicos de calidad, confiabilidad y seguridad del servicio de energía eléctrica, se establecen procedimientos para la planeación, operación y expansión de los Sistemas de Transmisión Regional (STR's) y los Sistemas de Distribución Local (SDL's), y se definen normas para el diseño y ejecución del plan de inversiones y conexiones al sistema, entre otros. Adicionalmente, se definen y establecen criterios y procedimientos para la medición de los consumos, para la prestación del servicio de Alumbrado Público y para las remuneraciones asociadas con la propiedad de activos.
Cuando quiera que en la presente Resolución se haga referencia a la palabra Reglamento, o Resolución, se entenderá que se refiere a la misma palabra.
Esta Resolución hace parte integral del Reglamento de Operación y complementa el Código de Redes, en lo pertinente a la actividad de Transmisión Regional y/o Distribución Local.
Para los efectos del presente Reglamento se aplicarán las definiciones consagradas en las Leyes 142 y 143 de 1994, en sus disposiciones reglamentarias, y en especial las siguientes:
Activos de Conexión. Son aquellos activos que se requieren para que un Generador, un Usuario u otro Transmisor, se conecte físicamente al Sistema de Transmisión Nacional, a un Sistema de Transmisión Regional, o a un Sistema de Distribución Local.
Acometida. Derivación de la red local del servicio respectivo que llega hasta el registro de corte del inmueble. En edificios de propiedad horizontal o condominios y, en general, en las Unidades Inmobiliarias Cerradas de que trata la Ley 428 de 1998, la acometida llega hasta el registro de corte general.
Agentes del Sistema Interconectado Nacional (Agentes). Personas que realizan por lo menos una actividad del sector eléctrico (generación, transmisión, distribución, comercialización).
ANSI. American National Standars Institute.
ASME. American Society of Mechanical Engineers.
ASTM. American Society for Testing and Materials.
Autogenerador. Persona que produce energía eléctrica exclusivamente para atender sus propias necesidades. Por lo tanto, no usa la red pública para fines distintos al de obtener respaldo del SIN y puede o no, ser el propietario del sistema de generación.
Carga o Capacidad Instalada. Es la carga instalada o capacidad nominal que puede soportar el componente limitante de una instalación o sistema eléctrico.
Centro de Control. Se entiende como Centro de Control, el Centro Nacional de Despacho (CND), un Centro Regional de Despacho (CRD) o un Centro Local de Distribucón (CLD), según el caso.
Centro Nacional de Despacho (CND). Es la dependencia encargada de la planeación, supervisión y control de la operación integrada de los recursos de generación, interconexión y transmisión del Sistema Interconectado Nacional.
El Centro también está encargado de dar las instrucciones a los Centros Regionales de Despacho para coordinar las maniobras de las instalaciones con el fin de tener una operación segura, confiable y ceñida al Reglamento de Operación y a todos los acuerdos del Consejo Nacional de Operación.
Centro Regional de Despacho (CRD). Es un centro de supervisión y control de la operación de las redes, subestaciones y centrales de generación localizadas en una misma región, cuya función es la de coordinar la operación y maniobra de esas instalaciones con sujeción, en lo pertinente, a las instrucciones impartidas por el Centro Nacional de Despacho, en desarrollo de las previsiones contenidas en el Reglamento de Operación, con el fin de asegurar una operación segura y confiable del Sistema Interconectado Nacional.
CIE. Commission International d' Eclairage.
Circuito. Para propósitos de este Reglamento se define circuito a la red o tramo de red eléctrica monofásica, bifásica o trifásica que sale de una subestación, de un transformador de distribución o de otra red y suministra energía eléctrica a un área geográfica específica. Cuando un Circuito tenga varias secciones o tramos, para los efectos de este Reglamento, cada sección o tramo se considerará como un Circuito.
Clase de Precisión. Características metrológicas del grupo de instrumentos y transformadores de medida que satisfacen requisitos metrológicos destinados a mantener los errores y variaciones permitidas, dentro de los límites especificados.
Código de Redes. Conjunto de reglas, normas, estándares y procedimientos técnicos expedido por la Comisión de Regulación de Energía y Gas a los cuales deben someterse las empresas de servicios públicos del sector eléctrico y otras personas que usen el Sistema de Transmisión Nacional, de acuerdo con lo establecido en la Ley 143 de 1994.
Cogeneración. Proceso de producción combinada de energía eléctrica y energía térmica, que hace parte del proceso productivo cuya actividad principal no es la producción de energía eléctrica, destinadas ambas al consumo propio o de terceros y cuya utilización se efectúa en procesos industriales o comerciales.
Cogenerador. Persona que produce energía utilizando un proceso de cogeneración, y puede o no, ser el propietario del sistema de cogeneración.
Comercialización de Energía Eléctrica. Actividad consistente en la compra y venta de energía eléctrica en el mercado mayorista y su venta con destino a otras operaciones en dicho mercado o a los Usuarios finales.
Comercializador. Persona cuya actividad principal es la comercialización de energía eléctrica.
Consejo Nacional de Operación (CNO). Es el organismo encargado de acordar los aspectos técnicos para garantizar que la operación integrada del SIN sea segura, confiable y económica, y ser el órgano ejecutor del Reglamento de Operación y velar por su cumplimiento.
Consignación de Equipos. Es el procedimiento mediante el cual se autoriza el retiro de operación de un equipo, una instalación o parte de ella para mantenimiento.
Consignación Nacional. Es el nombre que se da al mantenimiento de los equipos del SIN, cuya indisponibilidad afecta los límites de intercambio de las áreas operativas, las generaciones mínimas de seguridad de las plantas térmicas e hidráulicas, disminuye la confiabilidad de la operación del SIN, o cuando limitan la atención de la demanda.
Distribuidor Local (DL). Persona que opera y transporta energía eléctrica en un Sistema de Distribución Local, o que ha constituido una empresa cuyo objeto incluye el desarrollo de dichas actividades; y la operará directamente o por interpuesta persona (Operador).
Equipo de Medida. En relación con un punto de conexión lo conforman todos los transformadores de medida, medidores y el cableado necesario para ese punto de conexión.
Eventos No Programados. Son aquellos que ocurren súbitamente y causan un efecto operacional en el Sistema del OR y pueden o no causar efectos en la operación del SIN.
Eventos Programados. Son aquellos eventos planeados por el OR que causan un efecto operacional en el Sistema del OR y pueden o no causar efectos en la operación del SIN.
Frontera Comercial. Se define como frontera comercial entre el OR, o el Comercializador y el Usuario los puntos de conexión del equipo de medida, a partir del cual este último se responsabiliza por los consumos, y riesgos operativos inherentes a su Red Interna.
Generador. Persona natural o jurídica que produce energía eléctrica, que tiene por lo menos una central o unidad generadora conectada al SIN.
ICEA. International Community Electrical Association
ICONTEC. Instituto Colombiano de Normas Técnicas.
IEC. International Electrotechnical Commission
IEEE. Institute of Electrical and Electronics Engineers.
Instalaciones Internas o Red Interna. Es el conjunto de redes, accesorios y equipos que integran el sistema de suministro de energía eléctrica al inmueble a partir del medidor. Para edificios de propiedad horizontal o condominios, y en general, para Unidades Inmobiliarias Cerradas, es aquel sistema de suministro de energía eléctrica al inmueble a partir del registro de corte general cuando lo hubiere.
Medidor. Es el aparato que mide la demanda máxima y los consumos de energía activa o reactiva o las dos. La medida de energía puede ser realizada en función del tiempo y puede o no incluir dispositivos de transmisión de datos.
Mercado Mayorista. Conjunto de sistemas de intercambio de información entre generadores y comercializadores de grandes bloques de energía eléctrica en el Sistema Interconectado Nacional, para realizar contratos de energía a largo plazo y en bolsa sobre cantidades y precios definidos, con sujeción al Reglamento de Operación y demás normas aplicables.
NEMA. National Electric Manufacturers Association.
NESC. National Electric Safety Code.
Niveles de Tensión. Los sistemas de Transmisión Regional y/o Distribución Local se clasifican por niveles, en función de la tensión nominal de operación, según la siguiente definición:
Nivel IV: Sistemas con tensión nominal mayor o igual a 62 kV
Nivel III: Sistemas con tensión nominal mayor o igual a 30 kV y menor de 62 kV
Nivel II: Sistemas con tensión nominal mayor o igual a 1 kV y menor de 30 kV
Nivel I: Sistemas con tensión nominal menor a 1 kV
NTC. Norma Técnica Colombiana.
Operador de Red de STR's y/o SDL's (OR). Es la persona encargada de la planeación de la expansión y de las inversiones, operación y mantenimiento de todo o parte de un STR o SDL; los activos pueden ser de su propiedad o de terceros. Para todos los propósitos son las empresas que tienen Cargos por Uso de los STR's y/o SDL's aprobados por la CREG. El OR siempre debe ser una Empresa de Servicios Públicos.
Planta Menor. Es toda planta y/o unidad de generación con capacidad efectiva inferior a 20 MW. Se excluyen de esta definición los Autogeneradores o Cogeneradores.
Punto de Conexión. Es el punto de conexión eléctrico en el cual el equipo de un usuario está conectado a un STR y/o SDL para propósito de transferir energía eléctrica entre las partes.
Punto de Medición. Es el punto de conexión eléctrico del circuito primario del transformador de corriente que está asociado al punto de conexión, o los bornes del medidor, en el caso del nivel de tensión I.
Red de Uso General. Redes Públicas que no forman parte de Acometidas o de Instalaciones Internas.
Red Pública. Aquella que utilizan dos o más personas naturales o jurídicas, independientemente de la propiedad de la red.
Reglamento de Operación. Conjunto de principios, criterios y procedimientos establecidos para realizar el planeamiento, la coordinación y la ejecución de la operación del SIN y para regular el funcionamiento del mercado mayorista de energía eléctrica. El reglamento de operación comprende varios documentos que se organizarán de acuerdo con los temas propios del funcionamiento del SIN.
Servicio de Alumbrado Público. Es el servicio público consistente en la iluminación de las vías públicas, parques públicos, y demás espacios de libre circulación que no se encuentren a cargo de ninguna persona natural o jurídica de derecho privado o público, diferente del municipio, con el objeto de proporcionar la visibilidad adecuada para el normal desarrollo de las actividades tanto vehiculares como peatonales. También se incluyen los sistemas de semaforización y relojes electrónicos instalados por el Municipio. Por vías públicas se entienden los senderos y caminos peatonales y vehiculares, calles y avenidas de tránsito comunitario o general.
Sistema de Distribución Local (SDL). Sistema de transmisión de energía eléctrica compuesto por redes de distribución municipales o distritales; conformado por el conjunto de líneas y subestaciones, con sus equipos asociados, que operan a tensiones menores de 220 kV que no pertenecen a un sistema de transmisión regional por estar dedicadas al servicio de un sistema de distribución municipal, distrital o local.
Sistema Interconectado Nacional (SIN). Es el sistema compuesto por los siguientes elementos conectados entre si: las plantas y equipos de generación, la red de interconexión nacional, las redes regionales e interregionales de transmisión, las redes de distribución, y las cargas eléctricas de los Usuarios.
Sistema de Transmisión Nacional (STN). Es el sistema interconectado de transmisión de energía eléctrica compuesto por el conjunto de líneas, con sus correspondientes módulos de conexión, que operan a tensiones iguales o superiores a 220 kV.
Sistema de Transmisión Regional (STR). Sistema interconectado de transmisión de energía eléctrica compuesto por redes regionales o interregionales de transmisión; Conformado por el conjunto de líneas y subestaciones con sus equipos asociados, que operan a tensiones menores de 220 kV y que no pertenecen a un sistema de distribución local.
SSPD. Superintendencia de Servicios Públicos Domiciliarios.
Transmisor Nacional (TN). Persona que opera y transporta energía eléctrica en el Sistema de Transmisión Nacional o que ha constituido una empresa cuyo objeto es el desarrollo de dichas actividades.
Transmisor Regional (TR). Persona que opera y transporta energía eléctrica en un Sistema de Transmisión Regional o que ha constituido una empresa cuyo objeto es el desarrollo de dichas actividades.
Unidades Inmobiliarias Cerradas. De acuerdo con la Ley 428 de 1998, son conjuntos de edificios, casas y demás construcciones integradas arquitectónica y funcionalmente, que comparten elementos estructurales y constructivos, áreas comunes de circulación, recreación, reunión, instalaciones técnicas, zonas verdes y de disfrute visual; cuyos propietarios participan proporcionalmente en el pago de las expensas comunes, tales como los servicios públicos comunitarios, vigilancia, mantenimiento y mejoras. El acceso a tales conjuntos inmobiliarios se encuentra restringido por un cerramiento y controles de ingreso.
Unidad Generadora. Puede ser un Generador, Planta Menor, Autogenerador o Cogenerador.
UPME. Unidad de Planeación Minero Energética.
Usuario. Persona que utilice o pretenda utilizar, o esté conectado o pretenda conectarse a un STR o SDL.
2. PRINCIPIOS Y ÁMBITO DE APLICACIÓN DEL REGLAMENTO.
2.1 PRINCIPIOS Y ALCANCE DEL REGLAMENTO.
El Reglamento de Distribución de Energía Eléctrica se desarrolla con base en los principios de eficiencia, calidad y neutralidad de la prestación del servicio de Energía Eléctrica establecidos por las Leyes 142 y 143 de 1994. En cumplimiento de tales principios, la presente Resolución establece criterios para la planeación, expansión y operación de los STR's y/o SDL's y determina los procedimientos que definen las relaciones entre los diferentes Usuarios de tales Sistemas y sus correspondientes operadores.
Dicha reglamentación se orienta a:
- Establecer criterios y procedimientos para la planeación, la expansión, la operación y el mantenimiento de los STR's y/o SDL's, de acuerdo con los diferentes niveles de tensión existentes en el país.
- Establecer los principios y procedimientos que definen las relaciones entre los diferentes Usuarios de los STR's y/o SDL's y sus correspondientes operadores.
- Definir criterios para el planeamiento y operación eficiente de los STR's y/o SDL's que faciliten la competencia en la Generación y Comercialización de electricidad.
- Establecer criterios para el diseño y ejecución del plan de inversiones de los OR's, con el fin de garantizar la confiabilidad, seguridad y economía de los STR's y/o SDL's.
- Establecer criterios y procedimientos para la ejecución y operación de las conexiones de los Usuarios de los STR's y/o SDL's.
- Establecer los criterios de calidad de la potencia y del servicio suministrado por los diferentes OR's, con el propósito de dar garantías mínimas en estos aspectos a los Usuarios conectados al STR y/o SDL del OR respectivo.
- Definir criterios generales relacionados con la medición de los consumos de energía eléctrica.
- Establecer las características técnicas de la prestación del servicio de Alumbrado Público.
- Definir criterios y remuneraciones para la propiedad de activos.
Además, este Reglamento contiene otras disposiciones para la coordinación operativa, así como los procedimientos para hacer las modificaciones que se deriven de la experiencia y aplicación de estas mismas reglas.
2.2 ÁMBITO DE APLICACIÓN DEL REGLAMENTO.
El Reglamento de Distribución de Energía Eléctrica se aplica a:
- Operadores de Red (OR's) en los STR's y/o SDL's.
- Comercializadores y Usuarios de los STR's y/o SDL's.
- Generadores, Plantas Menores, Cogeneradores y Autogeneradores conectados directamente a los STR's y/o SDL's.
- Responsables del servicio de Alumbrado Público.
El presente Reglamento se entiende que se aplica, cuando quiera que en las resoluciones expedidas por la CREG se refiera a "Código de Distribución". De la misma manera, en el presente Reglamento se aplicarán los principios de carácter constitucional, especialmente aquellos que se determinan en el artículo 365 y sucesivos de la Constitución Nacional, así como la disposiciones legales establecidas en las Leyes 142 y 143 de 1994 y demás normas que las reglamenten, modifiquen o sustituyan.
Las normas técnicas nacionales o en su defecto las internacionales que regulan los aspectos contenidos en esta Resolución, primarán sobre las normas internas de las empresas y serán de obligatorio cumplimiento como norma mínima. En caso que las normas específicas expuestas en este Reglamento cambien, se utilizarán aquellas que las modifiquen, sustituyan o complementen.
Los objetivos básicos de este capítulo son los siguientes:
- Fijar los criterios para asegurar la expansión y los niveles de cobertura de los STR's y/o SDL's.
- Establecer las obligaciones de los Operadores de Red (OR's), en lo relacionado con la expansión eficiente, económica y confiable de los STR's y/o SDL's.
- Precisar el alcance de las competencias de la Nación y las demás entidades territoriales, para celebrar contratos de concesión, en aquellos eventos en los cuales el OR no esté obligado a ejecutar la expansión de la red y la ampliación de la cobertura.
- Definir los procedimientos para el intercambio de información entre los OR's y entre estos y los Usuarios.
3.2 RESPONSABILIDAD POR LA EXPANSIÓN DE LOS STR'S Y/O SDL'S.
3.2.1 NIVELES DE COBERTURA Y PLANEACIÓN DE LA EXPANSIÓN DE LOS STR'S Y/O SDL'S.
De acuerdo con el Artículo 67.2 de la Ley 142 de 1994, le compete al Ministerio de Minas y Energía elaborar máximo cada cinco años un plan de expansión de la cobertura del servicio público de energía eléctrica, en el que se determinen las inversiones públicas que deben realizarse, y las privadas que deben estimularse.
De igual manera, con base en el numeral f del Artículo 3 de la Ley 143 de 1994, le corresponde al Estado alcanzar una cobertura en los servicios de electricidad a las diferentes regiones y sectores del país, que garantice la satisfacción de las necesidades básicas de los usuarios de los estratos 1, 2 y 3 y los de menores recursos del área rural, a través de los diversos agentes públicos y privados que presten el servicio.
En desarrollo del Artículo 18 de la Ley 143 y teniendo en cuenta lo establecido en el Literal c del Artículo 16 de la misma Ley, le corresponde a la UPME elaborar y actualizar el Plan Energético Nacional y el Plan de Expansión del sector eléctrico en concordancia con el proyecto del Plan Nacional de Desarrollo.
En el caso de los STR's y/o SDL's, el Plan de Expansión definido por la UPME deberá incorporar como criterio los niveles de cobertura previstos en el Plan Nacional de Desarrollo.
3.2.2 RESPONSABILIDAD DEL OR EN LA PLANEACIÓN DE SU SISTEMA.
El OR es responsable de elaborar el Plan de Expansión del Sistema que opera, de acuerdo con el Plan Estratégico, el Plan de Acción y el Plan Financiero de que trata la Resolución CREG 005 de 1996.
El Plan de Expansión del OR deberá incluir todos los proyectos que requiera su Sistema, considerando solicitudes efectuadas por terceros y que sean viables en el contexto de su Plan Financiero.
3.2.3 RESPONSABILIDAD POR LA EJECUCIÓN DE PROYECTOS INCLUIDOS EN EL PLAN DE EXPANSIÓN DEL OR.
El OR es el responsable por la ejecución del Plan de Expansión de la red que opera, definido de acuerdo con lo establecido en el numeral anterior, en relación con la construcción de nuevas líneas, subestaciones y equipos que tengan carácter de uso general.
Si el OR incumple con la ejecución de un proyecto previsto en su Plan de Inversión (Ver Artículo 2o de la Resolución CREG 005 de 1996), el proyecto correspondiente podrá ser desarrollado por el Usuario interesado o por un tercero, de acuerdo con lo establecido en el Capítulo 9 de la presente Resolución.
En caso de que los Planes de Expansión de los OR's, no satisfagan los niveles de cobertura definidos por la UPME para los distintos STR's y/o SDL's, pero exista algún tercero dispuesto a asumir la prestación de este servicio, éste podrá ejecutar las obras correspondientes que serán remuneradas de conformidad con lo dispuesto en el Capítulo 9 de la presente Resolución.
Del mismo modo, en caso de que los Planes de Expansión de los OR's, no satisfagan los niveles de cobertura definidos por la UPME para los distintos STR's y/o SDL's y sólo en aquellos eventos en los cuales como resultado de la libre iniciativa de los distintos agentes económicos, no exista algún tercero dispuesto a asumir la prestación de este servicio, se dará cumplimiento a lo dispuesto en el Artículo 56 de la Ley 143 de 1994, relacionado con contratos de concesión.
Así mismo y de acuerdo con el Artículo 57 de esta Ley, las competencias para otorgar los contratos de concesión mencionados serán las siguientes:
- En el caso de redes de transmisión entre regiones (STR's), le corresponde al Departamento.
- En el caso de redes de distribución de electricidad (SDL's), le corresponde al Municipio.
La CREG en resolución aparte, precisará el alcance de las competencias señaladas.
3.3 CRITERIOS PARA DESARROLLAR LA PLANEACIÓN DE LA EXPANSIÓN DE LOS OR'S.
En cumplimiento de los principios establecidos en el presente Reglamento de Distribución, la planeación debe ser desarrollada con base en los siguientes criterios:
- Atención de la Demanda. La planeación de la expansión deberá estar soportada en proyecciones de demanda cuya estimación se efectuará utilizando modelos técnico-económicos disponibles para tal efecto.
- Adaptabilidad. Los Planes de Expansión deberán incorporar los avances de la ciencia y de la tecnología que aporten mayor calidad y eficiencia en la prestación del servicio al menor costo económico.
- Flexibilidad del Plan de Expansión. El Plan de Expansión de un OR, en su ejecución, puede experimentar modificaciones. El OR podrá incluir obras no previstas y excluir aquellas que por la dinámica de la demanda, puedan ser pospuestas o eliminadas del Plan inicialmente aprobado por la UPME.
- Viabilidad Ambiental. Los Planes de Expansión deben cumplir con la normatividad ambiental vigente.
- Normas y Permisos. Las obras de expansión requeridas deben cumplir con las normas pertinentes previstas por las autoridades competentes y obtener los permisos correspondientes.
- Eficiencia Económica. Los Planes de Expansión e inversiones deberán considerar la minimización de costos.
- Calidad y Continuidad en el Suministro. Los planes de inversión deberán asegurar los indicadores de calidad que reglamenta la presente Resolución y garantizar la continuidad del servicio mediante proyectos de suplencia, ampliación, automatización de la operación, modernización e inventario de repuestos, entre otros.
- Coordinación con el SIN. Teniendo en cuenta que la operación y expansión de los STR's y/o SDL's deben ser coordinadas con el resto del Sistema Interconectado Nacional, el OR deberá planear su Sistema considerando los planes de expansión en transmisión y generación elaborados anualmente por la UPME.
Para el cumplimiento de los criterios definidos, el OR deberá mantener información técnica actualizada sobre el Sistema que opera. Los elementos requeridos como información básica se relacionan en los numerales 1.1 y 1.2 del Anexo RD-1 de la presente Resolución.
3.4 PROCEDIMIENTOS Y METODOLOGÍAS.
3.4.1 HORIZONTES DE PLANEACIÓN.
Cada OR debe utilizar los siguientes horizontes de planeación, en los cuales se establece la información requerida y el alcance para realizar las proyecciones de demanda y el Plan de Expansión correspondiente:
- Corto plazo: un (1) año.
Es un período de carácter operativo, durante el cual el OR simula la operación y el funcionamiento de su Sistema y además realiza el ajuste de las alternativas de expansión planteadas.
- Mediano plazo: cinco (5) años.
Es un período de carácter decisorio, donde el OR determina las obras necesarias para atender la expansión y crecimiento de la demanda en este lapso.
- Largo plazo: diez (10) años.
Es un período de carácter estratégico, en el cual el OR determina en forma global la expansión de su Sistema, según las tendencias de crecimiento de la demanda de sus Usuarios.
3.4.2 IDENTIFICACIÓN Y SELECCIÓN DE ALTERNATIVAS.
Para definir el Plan de Expansión, el OR deberá considerar varias alternativas siguiendo lineamientos técnicos y económicos que le permitan jerarquizarlas dentro del proceso de selección.
La selección del Plan deberá estar basada en evaluaciones técnicas, económicas y financiera. La alternativa seleccionada deberá ser la de mínimo costo, incluyendo inversiones, costos de operación y mantenimiento y pérdidas, y deberá ser la alternativa que cumpla con la calidad del servicio definida para el Sistema.
El OR debe mantener actualizado los inventarios de los activos de su Sistema. Así mismo, deberá mantener un registro actualizado de los costos unitarios de sus inversiones.
Toda esta información deberá estar disponible para ser suministrada a la CREG cuando ésta lo requiera. Así mismo, la CREG podrá solicitar información adicional.
Los OR's deberán llevar un registro claro y preciso del trazado de las Redes de sus Sistemas, utilizando preferiblemente planos digitalizados.
3.4.4 DIVULGACIÓN DEL PLAN DE EXPANSIÓN.
Los Usuarios tienen derecho a conocer los Planes de Expansión de los Sistemas de los OR's. Para tal efecto el OR deberá tener disponible esta información para quien la requiera.
Los objetivos básicos del presente capítulo son los siguientes:
- Proporcionar un conjunto de requisitos técnicos mínimos y de procedimientos para la planeación, diseño, construcción y puesta en servicio de las conexiones a la red, aplicable tanto a Usuarios existentes como futuros.
- Garantizar que las normas básicas para conexión a un STR y/o SDL sean las mismas para todos los Usuarios dentro del área de servicio del respectivo OR y para todos los OR's del país.
- Asegurar que todos los OR's y los Usuarios cumplan con las obligaciones, según lo dispuesto en este Reglamento y demás normas complementarias.
- Establecer las obligaciones del OR y de los Usuarios, para ejecutar los estudios necesarios con relación a las modificaciones y refuerzos requeridos para una nueva conexión, para modificar una existente y para suscribir contratos de conexión.
4.2 CRITERIOS TÉCNICOS DE DISEÑO.
Las normas técnicas exigidas por los OR's a sus Usuarios, no podrán contravenir las normas técnicas nacionales vigentes o en su defecto las normas técnicas internacionales. Así mismo, los OR's no podrán discriminar o exceptuar a ningún Usuario en el cumplimiento de dichas normas.
A continuación se fijan los principios y las normas que deben ser aplicados en el diseño de los STR's y/o SDL's por parte de los OR's y Usuarios, para su óptimo funcionamiento.
4.2.1 OBRAS DE INFRAESTRUCTURA.
El diseño de las obras civiles de infraestructura se deberá realizar bajo los criterios y las normas establecidas por las autoridades competentes.
4.2.2 DISTORSIÓN DE LAS ONDAS.
Para limitar los efectos de las distorsiones en la forma de las ondas de tensión y de corriente de los STR's y/o SDL's, el contenido de armónicos de los equipos de los Usuarios conectadas en los niveles de tensión I, II, III y IV deberán cumplir con lo establecido en la Norma IEEE 519/92 o aquella que la modifique o sustituya.
Las normas técnicas nacionales o en su defecto las internacionales que regulan esta materia, primarán sobre las normas internas de las empresas y serán de obligatorio cumplimiento como norma mínima.
4.2.3 NIVELES DE CORRIENTE DE FALLA.
La capacidad de corriente de falla nominal de los equipos que se vayan a conectar a un STR's y/o SDL's, deberá ser superior al nivel máximo de corriente de falla calculado en el punto de conexión.
Para cumplir estos cometidos, el OR y/o el Usuario según el caso, deberán intercambiar información sobre la proyección de los aumentos de los niveles de corriente de falla y sobre la relación X/R en los puntos de conexión al respectivo Sistema.
4.2.4 COMPENSACIÓN DE CONSUMOS DE ENERGÍA REACTIVA. <Artículo modificado por el artículo 1 de la Resolución 101-35 de 2024. El nuevo texto es el siguiente:>
Cuando se requiera la conexión de equipos tales como bancos de condensadores, reactores, filtros de armónicos o demás dispositivos que puedan ser utilizados para mejorar el factor de potencia conectados en los niveles de tensión II, III o IV, estas conexiones deberán ser aprobadas por los OR, a quienes se deberán suministrar las características técnicas de los dispositivos a conectar. Cuando el OR lo requiera, se le deberán también suministrar las características técnicas de las instalaciones internas del Usuario.
El factor de potencia inductivo o en atraso (coseno phi inductivo) de la instalación de un usuario deberá ser igual o superior a cero punto noventa (0.90). Este factor se determinará horariamente y cuando el medidor no cuente con registros horarios, se hará el cálculo para un periodo de facturación.
El factor de potencia capacitivo o en adelanto (coseno phi capacitivo) de un usuario deberá ser igual o superior a cero punto noventa (0.90) para usuarios de los niveles de tensión I y II, igual o superior a cero punto noventa y cinco (0.95) para usuarios en el nivel de tensión III e igual o superior a cero punto noventa y ocho (0.98) para usuarios en el nivel de tensión IV. Para determinar si el factor de potencia capacitivo cumple los anteriores límites se calculará la relación entre la suma aritmética de la energía reactiva durante un periodo de facturación (mensual, bimestral o trimestral) respecto de la cantidad de energía activa en el mismo periodo, independientemente del tipo de medidor utilizado.
Los límites de los factores de potencia se cumplirán de acuerdo con la equivalencia porcentual de energía reactiva respecto de la activa presentada en la siguiente tabla:
| Factor de Potencia | Energía Reactiva / Energía Activa |
| 0.9 | 50% |
| 0.95 | 33% |
| 0.98 | 20% |
Cuando se determine que alguno de los factores de potencia no cumple con estos límites, el operador de red podrá exigir al usuario respectivo que instale equipos apropiados para controlar y medir la energía reactiva. Para tal efecto, la exigencia podrá hacerse como consecuencia de la medición de los consumos, de una revisión de la instalación del usuario o en el momento de aprobar la conexión al servicio, esto último cuando se prevea el incumplimiento a partir de las condiciones de conexión presentadas. En todo caso la corrección o no del factor de potencia por parte del usuario no será causal de rechazo de la solicitud de conexión.
Durante los tres meses siguientes a la entrada en vigencia de la presente resolución el operador de red, a través de los comercializadores que atienden los usuarios conectados a sus redes, debe hacer divulgación de estas medidas y enviar información relativa a la aplicación de los estándares de los factores de potencia inductivo y capacitivo, incluyendo las consecuencias de exceder los límites establecidos, a todos aquellos usuarios que tengan medición de consumo de energía activa y reactiva en la factura de energía.
A partir de la fecha de entrada en vigencia de la presente resolución, la misma información deberá ser entregada a los usuarios que realicen cambio de comercializador, que efectúen proceso de conexión a un sistema o que tengan cambios en su medidor que ocasionen la medición de energía activa y reactiva.
4.3 ESPECIFICACIONES DE DISEÑO.
4.3.1 ESPECIFICACIÓN DE EQUIPOS, REDES AÉREAS Y SUBTERRÁNEAS.
Las especificaciones de materiales y herrajes para las redes aéreas y subterráneas deberán cumplir con las normas técnicas nacionales expedidas por las autoridades competentes. Estas últimas serán las únicas facultadas para efectuar las homologaciones a que hubiere lugar.
Las especificaciones de diseño de las redes deberán cumplir con las normas que hayan adoptado los OR's, siempre y cuando no contravengan lo dispuesto en este Reglamento, sean de conocimiento público y su aplicación no sea discriminatoria.
Las especificaciones de diseño, fabricación, prueba e instalación de equipos para los STR's y/o SDL's, incluyendo los requisitos de calidad, deberán cumplir con las partes aplicables de una cualquiera de las normas técnicas nacionales o en su defecto de las internacionales que regulan esta materia.
El equipo a ser instalado en el STR y/o SDL debe ser el apropiado para que opere dentro de la frecuencia y el rango de tensión establecidos para el SIN, así como para soportar las corrientes de falla en el punto de conexión. Adicionalmente, el dispositivo de protección deberá tener la capacidad de conducir e interrumpir la corriente de falla. Los OR's están en la obligación de suministrar los detalles técnicos del Sistema al cual se hará la conexión.
La puesta a tierra de los STR's y/o SDL's deberá ser diseñada siguiendo la metodología de cálculo de la Norma IEEE 80 y la Guía IEEE C6292.4 o aquellas que las modifiquen o sustituyan.
El valor de la resistencia de la puesta a tierra del STR y/o SDL, deberá ser establecido claramente por el OR de acuerdo con las características resistivas del terreno, de los tiempos de despeje de falla adoptados, y de los voltajes de contacto y de paso, los cuales no deben ser superiores a los valores indicados por el NESC y cada sistema de un Usuario deberá adaptarse a esta exigencia. Las especificaciones de los equipos asociados deberán ser aptas para soportar las tensiones y corrientes resultantes como consecuencia del método y valor de la resistencia de la puesta a tierra utilizados por el OR y el Usuario.
En el diseño de las puestas a tierra se deben evitar que se generen corrientes circulantes.
4.3.3 PROTECCIONES. <Numeral modificado por el artículo 21 de la Resolución 60 de 2019. El nuevo texto es el siguiente:> El Usuario en su conexión deberá disponer de esquemas de protecciones compatibles con las características de su carga que garantice la confiabilidad, seguridad, selectividad y rapidez de desconexión necesarias para mantener la estabilidad del Sistema. El Usuario deberá instalar los equipos requeridos de estado sólido, de tecnología análoga o digital que cumplan con la Norma IEC 255.
Para garantizar una adecuada coordinación y selectividad en la operación de las protecciones del STR y/o SDL que opera el OR, los sistemas de protección y los tiempos de operación de las protecciones del Usuario, deberán ser acordadas con el OR durante el proceso de aprobación de diseños y para la puesta en servicio y conexión, y pueden ser revisados periódicamente por el OR, con la participación del Usuario.
Para el diseño de la conexión al STR y/o SDL, el Usuario deberá tener en cuenta las características técnicas de las protecciones que el OR tiene en su Sistema, para las operaciones de conmutación secuencial o para la reconexión automática.
Cuando las características de la carga de un Usuario que se conectará al STR y/o SDL requiera equipos de protección de respaldo, el OR exigirá la instalación de los mismos. Dichos equipos deberán cumplir con las normas aplicables a las protecciones principales.
El Usuario no podrá instalar equipos para limitar la corriente de falla en el punto de frontera o en las instalaciones del mismo, a menos que sea autorizado por el OR. En caso de autorización, el Usuario deberá garantizar la operación satisfactoria de los equipos de protección de su Sistema.
Para el caso de las plantas eólicas y solares fotovoltaicas, conectadas al STR:
- Toda bahía de generación conectada en el STR deberá disponer de una protección tipo falla interruptor, la cual deberá ser implementada en un relé independiente de las protecciones propias del equipo protegido o podrá estar incluida como una función adicional en una protección diferencial de barras.
- Disponer de un mecanismo de corte visible en el punto de conexión del sistema de generación con el STR, con capacidad de maniobra y bloqueo manual verificable por parte del operador de red.
- Cuando se realiza la conexión de sistemas de generación mediante un transformador delta-estrella, con delta en el punto de conexión de generador con el OR, se deberá evaluar con el operador de red la conveniencia de implementar una protección de sobretensión de secuencia cero en el punto de conexión.
- La generación conectada al STR debe contar con sistemas de protección principal y respaldo, con capacidad para detectar fallas en el generador y en el punto de conexión con el STR, el cual deberá contar con un esquema de protección selectiva que coordine con la red existente.
- La bahía de conexión de todo generador conectado en el STR, deberá disponer de dos relés de protección principales y estar en capacidad para despejar las fallas en el elemento protegido en un tiempo menor a 150 milisegundos.
- Es responsabilidad del agente representante del recurso de generación garantizar que todos los equipos de su instalación se encuentren correctamente protegidos para satisfacer los requerimientos de calidad, confiabilidad y seguridad durante la operación del sistema eléctrico de potencia. Adicionalmente, en el punto de conexión, se deberán cumplir los siguientes requisitos.
- Disponer de funciones de protección de sobre y baja tensión ajustados según requerimientos operativos del sistema de potencia. Los criterios y ajuste de las funciones de protección de sobre y baja tensión serán definidos por el CND de acuerdo con las necesidades del SIN.
- Disponer de funciones de protección de sobre y baja frecuencia ajustados según requerimientos operativos del sistema de potencia.
4.3.4 DIMENSIONAMIENTO DEL DISEÑO.
El OR no podrá exigir especificaciones mayores a las requeridas para la conexión del Usuario.
En caso que el OR prevea que los Activos de Conexión del Usuario se puedan convertir en Redes de Uso General, deberá reconocer al Usuario los sobrecostos en que éste incurra por el sobredimensionamiento de sus Activos de Conexión.
4.4 PROCEDIMIENTO PARA LA CONEXIÓN DE CARGAS. <Ver Notas de Vigencia>
Esta sección establece los procedimientos que deberán seguir el Usuario y el OR para la aprobación de conexiones nuevas o modificaciones de las existentes.
4.4.1 SOLICITUD DE FACTIBILIDAD DEL SERVICIO Y PUNTOS DE CONEXIÓN. <Numeral subrogado por el 43 de la Resolución 75 de 2021, según lo ordenado en el artículo 58 Lit. e)>
4.4.2 SOLICITUD DE CONEXIÓN. <Numeral y subnumerales subrogados por los artículos 43 y 44 de la Resolución 75 de 2021, según lo ordenado en el artículo 58Lit. f)>
4.4.3 PLAZOS Y PROCEDIMIENTOS PARA LA APROBACIÓN O IMPROBACIÓN DE LAS SOLICITUDES DE CONEXIÓN POR PARTE DEL OR. <Numeral subrogado por los artículos 43 y 44 de la Resolución 75 de 2021, según lo ordenado en el artículo 58Lit. f)>
4.4.4 EJECUCIÓN DE LAS OBRAS DE CONEXIÓN. <Numeral subrogado por el artículo 45 de la Resolución 75 de 2021, según lo ordenado en el artículo 58 Lit. g)>
4.4.5 CONTRATO DE CONEXIÓN. <Numeral subrogado por el artículo 48 de la Resolución 75 de 2021, según lo ordenado en el artículo 58 Lit. h)>
4.4.6 PUESTA EN SERVICIO DE LA CONEXIÓN. <Numeral subrogado por los artículos 46 y 47 de la Resolución 75 de 2021, según lo ordenado en el artículo 58 Lit. i)>
4.5 PROCEDIMIENTO PARA LA CONEXIÓN DE GENERACIÓN. <Ver Notas de Vigencia>
En el caso de Generadores, Plantas Menores, Autogeneradores o Cogeneradores que proyecten conectarse directamente a un STR y/o SDL, el procedimiento para la conexión se rige en lo que aplique a lo dispuesto en las Resoluciones CREG 025 de 1995 y CREG 030 de 1996 y demás normas que las modifiquen o sustituyan.
4.5.1 PROCEDIMIENTO PARA LAS SOLICITUDES DE CONEXIÓN. <Numeral subrogado por el Capítulo II de la Resolución 75 de 2021, según lo ordenado en el artículo 58 Lit. j)>
4.5.2 OTROS REQUISITOS PARA SOLICITAR LA APROBACIÓN DE UNA CONEXIÓN. <Numeral subrogado por el artículo 14 de la Resolución 75 de 2021, según lo ordenado en el artículo 58 Lit. k)>
4.5.3 PLAZOS Y PROCEDIMIENTOS PARA LA APROBACIÓN O IMPROBACIÓN DE LAS SOLICITUDES DE CONEXIÓN POR PARTE DEL OR. <Numeral subrogado por el Capítulo II de la Resolución 75 de 2021, según lo ordenado en el artículo 58 Lit. l)>
4.5.4 EJECUCIÓN DE LAS OBRAS DE CONEXIÓN. <Numeral subrogado por el Capítulo II de la Resolución 75 de 2021, según lo ordenado en el artículo 58 Lit. l)>
4.5.5 CONTRATO DE CONEXIÓN. <Numeral subrogado por el artículo 31 de la Resolución 75 de 2021, según lo ordenado en el artículo 58 Lit. m)>
4.5.6 PUESTA EN SERVICIO DE LA CONEXIÓN.
Para las pruebas de puesta en servicio de una estación generadora se aplicarán las siguientes normas: a) ANSI-IEEE 492, para hidrogeneradores, b) IEC-41, para turbinas hidráulicas, c) ASME PTC 23, para turbinas a gas, d) ASME para equipos mecánicos, e) API para instrumentación y f) ASTM para tuberías y materiales.
El OR exigirá al propietario de la conexión y/o la Unidad Generadora un programa de pruebas para la puesta en servicio, a fin de someterlo a su aprobación, de modo que estas puedan ser coordinadas con el STR y/o SDL o con el Sistema de Transmisión Nacional si es del caso.
El plan de pruebas deberá incluir como mínimo: equipo a probar, fecha prevista para la prueba, pruebas a realizar, normas que rigen la prueba, tipo de prueba, procedimiento, formato, equipos e instrumentos de prueba y criterios de aceptación de la prueba.
El OR deberá aprobar el equipo de prueba en cuanto a características técnicas, tipo y precisión. Los equipos para pruebas siempre deberán estar patronados con una fecha no superior a un (1) año.
Las pruebas, cuando sea del caso, deberán coordinarse con el Centro de Control respectivo.
Una vez efectuadas las pruebas sobre las Unidades Generadoras y su acción sobre los equipos de conexión de la unidad con el STR y/o SDL, el Generador, Planta Menor, Autogenerador y Cogenerador deberá enviar al OR, un reporte con los protocolos de las pruebas efectuadas a los equipos definidos durante el proceso de conexión y los resultados obtenidos en ellas, debidamente certificados por un ingeniero especialista con matrícula profesional vigente.
Durante la vida útil del proyecto, el OR con la debida sustentación podrá solicitar que se ejecuten pruebas en los equipos de los Usuarios.
4.5.6.2 COORDINACIÓN DE PROTECCIONES.
Tanto los Generadores, Plantas Menores, Autogeneradores o Cogeneradores como el OR están en la obligación de cumplir con las siguientes disposiciones, las cuales deberán ser consideradas durante la puesta en servicio y en la fase de operación:
El esquema de protecciones eléctricas asociado a las Unidades Generadoras conectadas directamente al STR y/o SDL, debe coordinarse con las protecciones del STR y/o SDL en la siguiente forma:
a) Las Protecciones de las Unidades de Generación conectadas directamente al STR y/o SDL, deben cumplir con los tiempos de despeje fijados para fallas en el respectivo Sistema.
b) El ajuste de la(s) protección(es) eléctricas o los valores de operación no deben ser cambiados sin la autorización expresa del OR.
c) Para la protección de la Unidad Generadora, será necesario coordinar cualquier política de recierre especificada por el OR.
d) Las protecciones eléctricas de una Unidad Generadora, deberán actuar cuando se presente sobrecargas de secuencia negativa.
e) La protecciones eléctricas de las Unidades Generadoras deberán estar ajustadas para situaciones de deslastre automático de carga por baja frecuencia y/o baja tensión.
f) Toda Unidad Generadora deberá poseer un equipo de protección que la desconecte de la red del OR, en el momento en que se produzca una apertura por maniobra automática o manual del interruptor del circuito del STR y/o SDL.
g) La Unidad Generadora deberá contar con un sistema de detección de tensión a fin de no permitir el cierre del interruptor de interconexión cuando el circuito del OR esté desenergizado.
h) <Literal adicionado por el artículo 22 de la Resolución 60 de 2019. El nuevo texto es el siguiente:> En caso de plantas eólicas y solares fotovoltaicas, conectadas al STR, se debe:
1. Deberán contar con un sistema de detección de tensión en el punto de conexión a fin de no permitir el cierre del interruptor de interconexión cuando el circuito del OR esté desenergizado.
2. Coordinar con el operador de red la conveniencia de habilitarse una protección anti-isla, en caso de requerirse esta protección, deberá ser de tipo Intertrip.
Los estudios y la coordinación de las protecciones eléctricas son responsabilidad del propietario de la Unidad Generadora que se conecte.
4.5.6.3 REQUISITOS PARA LA OPERACIÓN Y PUESTA EN SERVICIO.
Todas las Unidades Generadoras deben cumplir con las siguientes disposiciones:
a) La puesta en servicio de una Unidad Generadora no debe producir sobrecargas en los elementos de la red.
b) El operador de la Unidad Generadora será exclusivamente responsable por la sincronización de su Unidad o subestación de potencia en el momento de su entrada en operación. En todo caso cualquier sincronización deberá coordinarse con el Centro de Control respectivo.
c) Una Unidad de Generación debe operar dentro del rango de frecuencia del SIN y no debe deformar las ondas de tensión y corriente del STR y/o SDL.
d) El control de voltaje de la Unidad Generadora se hará en coordinación con el respectivo Centro de Control.
e) El proceso de entrada en operación de una Unidad Generadora deberá coordinarse con el Centro de Control correspondiente.
5. OPERACIÓN DE LOS SISTEMAS DE TRANSMISIÓN REGIONAL Y/O DISTRIBUCIÓN LOCAL.
Proporcionar las regulaciones necesarias para asegurar el funcionamiento seguro, confiable y económico del SIN en general y de los STR's y/o SDL's en particular. Tales regulaciones incluyen el planeamiento operativo y la adecuada coordinación entre los diferentes Agentes.
Para buscar la operación segura, confiable y económica del Sistema Interconectado Nacional, los OR's deben suministrar al Centro de Control respectivo la información prevista en el Código de Redes, de acuerdo con los horizontes de planeamiento operativo allí estipulados. Para tal fin, los OR's deben acogerse a los procedimientos que les sean aplicables y que estén contenidos en el Código de Redes.
Las Plantas Menores no despachadas centralmente, los Cogeneradores y los Autogeneradores deben suministrar al OR o al Centro de Control respectivo la información prevista en el Código de Redes en lo que aplique.
Los OR's están obligados a cumplir con las instrucciones operativas que emita el Centro de Control respectivo o el CND. Igualmente, están obligados a cumplir con la supervisión operativa en tiempo real que defina el CND y acatar aquellas pruebas que sea necesario realizar en su Sistema, ya sea que estas pruebas estén reglamentadas o que sean definidas por el Consejo Nacional de Operación.
Para garantizar lo anterior, los OR's permitirán que en sus equipos y predios se instalen los elementos necesarios para la supervisión, control y medida por parte de los respectivos Centros de Control.
Para asegurar que el STR y/o SDL sea operado en forma segura, confiable y económica, y cumpla con los estándares de calidad establecidos en la presente Resolución, los OR's podrán efectuar pruebas con el fin de supervisar tanto las cargas como las Unidades de Generación conectadas a sus Sistemas.
Los procedimientos para probar y supervisar, así como los estándares de Calidad se detallan en los capítulos 4 y 6 de este Reglamento.
5.4 MANEJO OPERATIVO DE CARGA.
5.4.1 EN CONDICIONES NORMALES DE OPERACIÓN
En condiciones normales de Operación el OR debe coordinar con el Centro de Control respectivo las maniobras en los equipos de su STR y/o SDL.
Las maniobras y los procedimientos que deberá aplicar el OR son los contemplados en los numerales 5.3 y 6.4 del Código de Operación (Código de Redes) y las demás normas que la modifiquen o complementen.
Los mantenimientos programados que requieran consignación de equipos se consideran dentro de las Condiciones Normales de Operación. Las normas operativas que deberán aplicar los OR's están establecidas en el Anexo RD-2 de la presente Resolución.
5.4.2. EN CONDICIONES DE CONTINGENCIA.
Cuando se presente un evento que afecte total o parcialmente el SIN, el OR deberá coordinar con el Centro de Control respectivo las maniobras correspondientes.
En estos casos, los procedimientos para la desconexión automática de carga son los previstos en el numeral 2.2.4 del Código de Redes y demás normas que la modifiquen o complementen.
Cuando las etapas de desconexión automática se agoten o existan problemas de baja tensión que comprometan la estabilidad del sistema de potencia, los OR's deberán efectuar, por instrucciones del Centro de Control respectivo, desconexiones manuales de carga, mediante esquemas que cada OR haya predeterminado de común acuerdo con los Comercializadores que operen utilizando sus redes.
La coordinación de restablecimiento del servicio se ajusta a lo dispuesto en el numeral 5.4 del Código de Redes y demás normas que la modifiquen o complementen.
5.4.3 EN CONDICIONES DE RACIONAMIENTO.
Ante situaciones de racionamiento de emergencia o programado, el OR se regirá en un todo por las disposiciones establecidas en el Estatuto de Racionamiento.
Así mismo, el OR deberá cumplir con la regulación que la CREG establezca en materia de Cortes de Suministro en el Mercado Mayorista de Electricidad.
La operación óptima del Sistema Interconectado Nacional requiere el intercambio de información entre los Agentes y los Centros de Control respectivos, tanto sobre los Eventos que se presenten en los diferentes Sistemas y puedan afectar la operación integrada de los recursos del SIN, como la información que se requiera para la coordinación operativa en Condiciones Normales de Operación. Así mismo, los Agentes deberán informar a los Usuarios que puedan verse afectados por la ocurrencia de dichos Eventos.
5.5.1 INFORMACIÓN SOBRE PROCEDIMIENTOS OPERATIVOS - MANUAL DE OPERACIÓN. <Numeral derogado por el artículo 58 Lit. n) de la Resolución 75 de 2021>
5.5.2 SISTEMA DE INFORMACIÓN TOPOLÓGICO.
Los OR's deberán mantener un Sistema de Información Topológico con la configuración detallada de su red, el cual debe permanecer actualizado. Preferiblemente el Sistema de Información Topológico deberá desarrollarse con tecnología digital.
5.5.3 INFORMACIÓN SOBRE OCURRENCIA DE EVENTOS.
5.5.3.1 REPORTES DE EVENTOS NO PROGRAMADOS.
El OR deberá efectuar reportes ante la ocurrencia de Eventos No Programados. El reporte debe contener como mínimo:
- Descripción del Evento
- Secuencia del Evento (horas, minutos, segundos y milisegundos).
- Demanda no Atendida
- Análisis de Protecciones
- Análisis del Evento
Condiciones de Prefalla
Análisis Eléctrico
- Conclusiones y Recomendaciones
Para Eventos en los niveles de tensión II, III o IV, como mínimo, el OR deberá remitir copia del reporte del Evento en un plazo no mayor a seis (6) horas al Centro de Control correspondiente.
5.5.3.2 REPORTE DE EVENTOS PROGRAMADOS.
Cuando un Evento Programado afecte a los Usuarios de un STR y/o SDL, el OR deberá informarlo por un medio de comunicación masivo con cuarenta y ocho (48) horas de anticipación a la ocurrencia del Evento, indicando la hora del inicio y la duración.
<Ver Notas de Vigencia> En todo caso, cuando los Eventos Programados afecten las cargas industriales, el tiempo de notificación no podrá ser inferior a setenta y dos (72) horas.
5.5.3.3 ESTADÍSTICAS DE EVENTOS.
Los reportes de los Eventos deberán ser almacenados en forma magnética durante un periodo no inferior a tres (3) años. La base de datos correspondiente deberá estar disponible en el momento que lo soliciten las autoridades competentes.
El OR deberá, antes de finalizar el primer trimestre de cada año, efectuar informes y diagnósticos anuales sobre su desempeño operativo. Estos diagnósticos e informes serán agregados por los Centros de Control respectivos y presentados al CND, quien publicará un informe anual sobre esta materia.
6. CALIDAD DEL SERVICIO DE LOS SISTEMAS DE TRANSMISIÓN REGIONAL Y/O DISTRIBUCIÓN LOCAL.
Los objetivos básicos son:
- Establecer criterios de calidad de la potencia y del servicio suministrado por los diferentes OR's, con el propósito de dar garantías mínimas en estos aspectos a los Usuarios conectados al STR y/o SDL.
- Definir indicadores mínimos de calidad del servicio que prestan los OR's.
- Establecer criterios de responsabilidad y compensación por la calidad del servicio prestado por los OR's.
El OR es el responsable por la calidad de la potencia y del servicio suministrado a los Usuarios conectados a su Sistema. De acuerdo con lo dispuesto en el Artículo 5o. de la Resolución CREG 108 de 1997: "Cuando la actividad de comercialización de electricidad o de gas por red de ductos, sea realizada por una empresa diferente de la que desarrolla la actividad de distribución, el contrato de servicios públicos será ofrecido por la empresa comercializadora. A su vez, las obligaciones que adquiera esta empresa con sus suscriptores o usuarios, en lo relacionado con la actividad de distribución, deberán estar respaldadas por parte de la empresa comercializadora, mediante contrato con la respectiva empresa distribuidora".
Todo Comercializador deberá discriminar en la factura por el servicio el nombre, dirección y teléfono del OR que atiende a sus respectivos Usuarios, con el fin de que el Usuario pueda efectuar las reclamaciones relacionadas con el servicio que presta el OR.
El término Calidad de la Potencia Suministrada se refiere a las perturbaciones y variaciones de estado estacionario de la tensión y corriente suministrada por el OR. El término Calidad del Servicio Prestado se refiere a los criterios de confiabilidad del servicio.
6.2 CALIDAD DE LA POTENCIA SUMINISTRADA.
La calidad de la potencia entregada por un OR, se relaciona con las desviaciones de los valores especificados para las variables de tensión y la forma de las ondas de tensión y corriente.
6.2.1 ESTÁNDARES DE CALIDAD DE LA POTENCIA SUMINISTRADA <Numeral 6.2.1 modificado por el artículo 2 de la Resolución 24 de 2005. El nuevo texto es el siguiente:>
Los siguientes fenómenos calificadores miden la Calidad de la Potencia (CPE) suministrada por un OR:
6.2.1.1 Desviaciones de la Frecuencia y magnitud de la Tensión estacionaria <Numeral modificado por el artículo 1 de la Resolución 153 de 2019. El nuevo texto es el siguiente:>
La frecuencia nominal del SIN y su rango de variación de operación son las establecidas en el Código de Operación incluido en el Código de Redes, adoptado con la Resolución CREG 025 de 1995 y aquellas que la modifiquen, complementen o sustituyan. La responsabilidad por el control de la frecuencia corresponde al Centro Nacional de Despacho (CND), y a los generadores.
Las tensiones en estado estacionario a 60 Hz no podrán ser inferiores al 90% de la tensión nominal ni ser superiores al 110% de esta, durante un periodo superior a un minuto.
6.2.1.1.1 Excepción temporal a los límites de variación de la tensión nominal en los STR. <Numeral adicionado por el artículo 1 de la Resolución 153 de 2019. El nuevo texto es el siguiente:>
Durante la operación del sistema se permitirá, por un plazo determinado, que la tensión en estado estacionario en barras de subestaciones del STR pueda estar por debajo del 90% de la tensión nominal, durante un periodo superior a un minuto, siempre que se cumplan las siguientes condiciones:
a) la tensión suministrada a los usuarios del servicio no podrá ser inferior al 90% de la tensión nominal, ni ser superior al 110%, condición que será verificada por el OR del área donde se ubican las subestaciones;
b) aplica en subestaciones del STR conectadas a líneas radiales, cuando los recursos de transporte y generación disponibles en el área no son suficientes para atender la demanda y mantener el nivel mínimo del 90% de la tensión nominal en las barras de esas subestaciones;
c) la anterior situación se presenta por retrasos en las obras de expansión o repotenciación de redes, requeridas para garantizar la operación segura del sistema y la calidad del servicio en el área donde están ubicadas esas subestaciones, y que ya están en ejecución.
6.2.1.1.2 Procedimiento para autorizar la excepción temporal. <Numeral adicionado por el artículo 1 de la Resolución 153 de 2019. El nuevo texto es el siguiente:>
Para aplicar la excepción temporal se seguirá el siguiente procedimiento:
a) el OR del área o el CND identificarán las situaciones donde se prevé aplicar la excepción a los límites de variación de tensión; identificada la situación, el OR deberá suministrar al CND los análisis e información que permitan concluir que durante la aplicación de la excepción se cumple con la condición del literal a) del numeral 6.2.1.1.1;
b) el CND, con la participación del OR, estudiará y elaborará una propuesta debidamente justificada, que presentará al Consejo Nacional de Operación (CNO), donde solicite aprobación para operar una o varias subestaciones del STR por debajo del límite mínimo de la tensión nominal, junto con la información del tiempo que se va a mantener la excepción, así como el límite inferior de variación de la tensión nominal que se permitirá en las barras del STR;
c) el CNO estudiará y aprobará mediante acuerdo la propuesta del CND, precisando el plazo permitido y condiciones para mantener la excepción; de considerarlo necesario para su estudio, el CNO podrá solicitar información adicional al OR o al CND;
d) en los literales anteriores, tanto el CND como el CNO deberán verificar que con la aplicación de la excepción no se afecta la operación segura y confiable del SIN;
e) además de la supervisión de los activos del STR, el CND deberá tener supervisión de la tensión en las barras de las subestaciones del SDL afectadas por la aplicación de la excepción; para implementar esta supervisión el CND tendrá un plazo de dos (2) meses, contados a partir de la aprobación del acuerdo del CNO;
f) el CND deberá llevar registro de la aplicación de la excepción y de las mediciones del nivel de tensión de las barras del STR y del SDL de las subestaciones afectadas.
El CND y el OR deberán acordar la forma de coordinar la supervisión y operación de los activos involucrados, de tal forma que se pueda dar cumplimiento a las condiciones de operación mencionadas. Durante cualquier semana de aplicación de la excepción, si el CND identifica que los niveles de tensión de barras del STR, o de barras del SDL fueron inferiores a los necesarios para cumplir con la condición del literal a) del numeral 6.2.1.1.1, deberá informar de esta situación a la Superintendencia de Servicios Públicos Domiciliarios, para lo de su competencia.
El plazo previsto para la aplicación de la excepción podrá modificarse cuando haya una situación justificada que lo amerite y no se haya puesto en operación una solución alternativa. Para esto, se seguirá el procedimiento establecido en este numeral y se deberá verificar que se mantiene el cumplimiento de las condiciones del numeral 6.2.1.1.1.
6.2.1.2 Distorsión Armónica de la Onda de Tensión
Es la distorsión periódica de las ondas de voltaje, modelable como el contenido adicional de ondas seniodales cuyas frecuencias son múltiplos de la frecuencia de suministro, acompañando la componente fundamental (componente cuya frecuencia es igual a la de suministro). Este fenómeno es el resultado de cargas no lineales en el STN, STR y/o SDL. Tanto los transportadores del Sistema de Transmisión Nacional, STN, como los Operadores de Red - OR-, deberán cumplir las exigencias establecidas en la siguiente tabla, basada en el Estándar IEEE 519 - [1992]:
TABLA 1
Límites máximos de DistorsiónTotal de Voltaje
Tensión delSistema THDV Máximo (%)
Niveles de tensión 1,2 y3 5.0
Nivel de Tensión 4 2.5
STN 1.5
Nota: Los niveles de tensión de la Tabla 1, corresponden a los definidos por la Resolución CREG 082 de 2002 o aquellas que la modifiquen, sustituyan o complementen.
6.2.2 PLAZOS PARA CORREGIR LAS DEFICIENCIAS EN LA CALIDAD DE LA POTENCIA SUMINISTRADA <Numeral modificado por el artículo 1 de la Resolución 16 de 2007. El nuevo texto es el siguiente:> El OR tendrá un plazo máximo de treinta (30) días hábiles a partir de la detección de la existencia de una deficiencia en la Calidad de la Potencia Suministrada, de acuerdo con lo establecido en el numeral 6.2.1 de la presente resolución, para identificar al usuario causante de la misma. Si vencido este plazo no lo ha identificado, el OR deberá proceder a corregir dicha deficiencia.
Cuando las deficiencias se deban a la carga de un usuario conectado al STR y/o SDL, el OR, una vez identifique a este usuario, tendrá un plazo máximo de 8 días hábiles para establecer conjuntamente con este último el plazo máximo razonable para la corrección de la deficiencia. Si transcurridos los 8 días el OR y el usuario no llegan a un acuerdo, o si una vez cumplido el plazo acordado para la corrección de la deficiencia, esta no ha sido corregida, el OR deberá desconectar el equipo causante de la deficiencia o en su defecto la carga del usuario respectivo, informando a la SSPD con dos (2) días hábiles de anticipación a la desconexión.
El OR debe garantizar que las deficiencias en la Calidad de la Potencia que se presenten en su Sistema durante el plazo previsto para su corrección, no ocasionen peligro para la seguridad de las personas, la vida animal y vegetal o la preservación del medio ambiente. De concluirse la inminencia de este peligro, a partir de razones objetivas claramente identificadas, el OR deberá proceder inmediatamente a la desconexión del equipo causante de la deficiencia o en su defecto de la carga del usuario respectivo.
En todo caso, los plazos mencionados no exonerarán al prestador del respectivo Servicio de su responsabilidad por los perjuicios que se causen por las deficiencias en la calidad de potencia suministrada en su STR y/o SDL. Cuando el OR deba indemnizar a un usuario de conformidad con lo dispuesto en el numeral 6.2.3, y dicho perjuicio tenga como origen una deficiencia en la Calidad de la Potencia Suministrada causada por la carga de un usuario conectado al respectivo STR y/o SDL, el OR podrá repetir contra este último, de acuerdo con las normas generales sobre responsabilidad civil.
Para efectos de determinar la fuente de las distorsiones o fluctuaciones, el OR podrá instalar los equipos que considere necesarios en la red o en las Fronteras y/o equipos de medición del usuario, para registrar variables como corrientes y tensiones, y podrá exigir el diseño de medidas remediales que técnicamente sigan las normas y buenas prácticas de ingeniería.
6.2.3 INSTRUMENTOS FINANCIEROS PARA GARANTIA DE CALIDAD DE LA POTENCIA SUMINISTRADA <Numeral modificado por el artículo 1 de la Resolución CREG-096 de 2000, el nuevo texto es el siguiente:>
El OR deberá constituir un instrumento financiero que ampare a los Usuarios conectados a su Sistema en los Niveles de Tensión II, III y IV, por daños y perjuicios que se causen por el incumplimiento de los estándares de la calidad de la potencia suministrada. El cubrimiento de tal instrumento será determinado de conformidad con lo establecido en el Artículo 137 de la Ley 142 de 1994.
Dicho instrumento deberá estar vigente antes de finalizar los seis (6) primeros meses de la entrada en vigencia de la presente Resolución. El valor o fondo del instrumento deberá ser igual, como mínimo, al cinco por ciento (5%) de los ingresos del OR del año inmediatamente anterior. Para nuevos OR's este valor será igual al cinco por ciento (5%) de los ingresos proyectados para el año respectivo.
La anterior disposición no exonera de la responsabilidad que tengan, de acuerdo con las normas vigentes, los OR's por los daños y perjuicios que le puedan causar a los Usuarios no amparados por este instrumento financiero.
Sin perjuicio de lo anterior, cuando quiera que un Usuario se vea perjudicado por una acción u omisión del OR, podrá interponer el reclamo ante la empresa, la cual deberá responder dentro de los quince (15) días hábiles siguientes a la fecha de su recibo, como lo ordena el Artículo 158 de la Ley 142 de 1994. Si pasado ese término el OR no ha dado respuesta a la reclamación del Usuario, se aplicará lo dispuesto en el citado Artículo 158 de la Ley 142 de 1994, y demás normas concordantes, en virtud del cual, salvo que se demuestre que el Usuario auspició la demora, se entenderá que la reclamación ha sido resuelta en forma favorable a él.
En caso que el OR responda negativamente a la reclamación del Usuario, deberá adjuntar las pruebas que demuestren que los perjuicios reclamados por el Usuario no se debieron al incumplimiento de los estándares de calidad de la potencia suministrada. Frente a la respuesta negativa del OR, el Usuario podrá ejercer las acciones que le otorga la Ley.
Cuando el OR reconozca el perjuicio causado al Usuario ó si el OR no da respuesta al Usuario dentro del término antes señalado, la compensación al Usuario en cualquiera de los dos casos deberá hacerse efectiva dentro de los veinte (20) días hábiles siguientes a la fecha de presentación del reclamo ante la empresa, y cubrirá, como mínimo, la reparación del equipo y/o aparatos afectados. Alternativamente, la compensación podrá consistir en el reemplazo, en condiciones similares, del equipo y/o aparatos afectados, en cuyo caso la compensación así entendida deberá realizarse en un término no superior a veinticinco (25) días hábiles contados a partir de la presentación del reclamo ante la empresa.
6.2.4 INFORMACIÓN SOBRE LA CALIDAD DE LA POTENCIA SUMINISTRADA
Todo OR debe contar con equipos que permitan monitorear los estándares de Calidad de la Potencia Suministrada. Así mismo, deberá mantener disponible en medio magnético la información que permita verificar el cumplimiento de dichos estándares.
6.3 CALIDAD DEL SERVICIO PRESTADO.
En esta sección se presentan los indicadores para la medición de la confiabilidad del servicio y se establecen definiciones únicas de esos indicadores.
6.3.1 CLASIFICACIÓN DE LAS INTERRUPCIONES DEL SERVICIO DE ENERGÍA
6.3.1.1 De acuerdo con la Duración de la Interrupción
<Numeral modificado por el artículo 2 de la Resolución CREG-096 de 2000, el nuevo texto es el siguiente:>
Teniendo en cuenta la duración de las interrupciones, éstas se clasifican así:
- Instantáneas: Son aquellas suspensiones del servicio cuya duración es inferior o igual a un (1) minuto.
- Transitorias: Son aquellas suspensiones del servicio cuya duración es superior a un (1) minuto y menor o igual a cinco (5) minutos.
- Temporales: Son aquellas suspensiones del servicio de energía cuya duración es mayor a cinco (5) minutos.
Para el cálculo de los indicadores que se definen más adelante no se tendrán en cuenta:
- Interrupciones por racionamiento de emergencia o programadas del sistema eléctrico nacional debidas a insuficiencia en la generación nacional o por otros Eventos en Generación y en el STN, siempre y cuando así hayan sido definidas por el CND de acuerdo con la regulación de la CREG. El CND mantendrá disponible para los OR's la información relacionada con los Eventos citados anteriormente, con el fin de que los OR's los excluyan del cálculo de los indicadores.
- Interrupciones debidas a las indisponibilidades permitidas de los Activos de Conexión al STN, de conformidad con la regulación vigente.
- Interrupciones con duración igual o inferior a tres (3) minutos. A partir del inicio del Año 3 del Período de Transición no se tendrán en cuenta las interrupciones con duración igual o inferior a un (1) minuto.
- Interrupciones por seguridad ciudadana y solicitadas por organismos de socorro o autoridades competentes.
- Suspensiones o cortes del servicio por incumplimiento del contrato de servicios públicos.
- Eventos Programados de activos pertenecientes al nivel de tensión 4, debidas a trabajos de expansión.
- Indisponibilidades originadas en Eventos de fuerza mayor. El OR afectado por el Evento de fuerza mayor, deberá declarar oficialmente ante la SSPD la ocurrencia del mismo y será responsable por tal declaración. Así mismo, si se prevé que el Evento tendrá una duración superior a los tres (3) días a partir de su ocurrencia, el OR tendrá que informar a los Usuarios antes de transcurridos dos (2) días de la ocurrencia del evento, mediante publicación en un diario que circule en la zona afectada, o en su defecto, en otro medio de comunicación masivo disponible en la región o área afectada.
- Durante el Período de Transición establecido en el numeral 6.3.3, las interrupciones que se presenten como consecuencia de la aplicación de un programa de limitación de suministro, de conformidad con las disposiciones regulatorias vigentes, siempre y cuando la respectiva empresa se encuentre intervenida por la Superintendencia de Servicios Públicos Domiciliarios, así: para las empresas que se encuentren intervenidas al 31 de diciembre de 2000, se excluirán estas interrupciones únicamente durante un plazo máximo de doce (12) meses a partir de la mencionada fecha; y para las intervenciones que se realicen con posterioridad al 31 de diciembre de 2000, se excluirán estas interrupciones únicamente durante un plazo máximo de doce (12) meses siguientes a la fecha en que se realice la intervención. Lo anterior, sin perjuicio del derecho de los Usuarios de reclamar ante el OR la indemnización de daños y perjuicios, de acuerdo con lo establecido en el Artículo 137 de la Ley 142 de 1994.
- 6.3.1.2 De acuerdo con el Origen
Teniendo en cuenta el origen de las interrupciones éstas se clasifican así:
- No Programadas: Son aquellas interrupciones que obedecen a Eventos No Programados.
- Programadas: Son aquellas interrupciones que obedecen a Eventos Programados.
Para el cálculo de los indicadores que se definen más adelante se tendrán en cuenta las Interrupciones aquí enunciadas.
6.3.2 INDICADORES DE CALIDAD DEL SERVICIO PRESTADO
Los indicadores de Calidad del Servicio Prestado, así como los Valores a Compensar establecidos en el numeral 6.3.4 de este Reglamento, se calcularán mensualmente. Los Indicadores son los siguientes:
6.3.2.1 Indicadores para el Período de Transición
<Numeral modificado por el artículo 2 de la Resolución CREG- 089 de 1999. El nuevo texto es el siguiente:>
Durante el Período de Transición establecido en el numeral 6.3.3, la Calidad del Servicio Prestado se medirá al nivel de Circuito con base en los siguientes Indicadores:
a) Indicador de Duración Equivalente de las Interrupciones del Servicio (DES)
a.1) Año 1 del Período de Transición
Es el tiempo total, medido sobre los últimos doce (12) meses, en que el servicio es interrumpido en un Circuito. Los OR deben calcular el Indicador DESc mensualmente para cada Circuito, de acuerdo con la siguiente expresión:

donde:
DESc: Sumatoria del Tiempo en horas de las interrupciones del servicio en un Circuito, durante los últimos doce (12) meses.
i: Interrupción i–ésima.
t(i): Tiempo en horas de la interrupción i–ésima.
NTI: Número Total de Interrupciones que ocurrieron en el Circuito durante los últimos doce (12) meses.
Los Usuarios tendrán derecho a reclamar por los indicadores DES reales que ellos puedan contabilizar. En caso de controversia entre el OR y los Usuarios, la carga de la prueba será a cargo del OR.
a.2) Años 2 y 3 del Período de Transición
<Literal modificado por el artículo 3 de la Resolución CREG-096 de 2000, el nuevo texto es el siguiente:>
Es el tiempo total en que el servicio es interrumpido en un Circuito. Los OR's deben calcular el Indicador DESc mensualmente para cada Circuito, de acuerdo con la siguiente expresión:
donde:
DESc: Sumatoria del Tiempo en horas de las interrupciones del servicio en un Circuito, acumuladas mes a mes durante el tiempo transcurrido en cada uno de los trimestres: 1 de enero - 31 de marzo, 1 de abril - 30 de junio, 1 de julio - 30 de septiembre y 1 de octubre - 31 de diciembre.
i: Interrupción i-ésima.
t(i): Tiempo en horas de la interrupción i-ésima.
NTI: Número Total de Interrupciones que ocurrieron en el Circuito, acumuladas mes a mes durante el tiempo transcurrido en cada uno de los trimestres: 1 de enero - 31 de marzo, 1 de abril - 30 de junio, 1 de julio - 30 de septiembre y 1 de octubre - 31 de diciembre.
Los Usuarios tendrán derecho a reclamar por los indicadores DES reales que ellos puedan contabilizar. En caso de controversia entre el OR y los Usuarios, la carga de la prueba en contrario, será a cargo del OR.
b) Indicador de Frecuencia Equivalente de las Interrupciones del Servicio (FES)
b.1) Año 1 del Período de Transición
Mide la confiabilidad de un STR y/o SDL como el número de interrupciones que presenta un Circuito durante los últimos doce (12) meses. Los OR deben calcular el Indicador FESc mensualmente para cada Circuito, de acuerdo con la siguiente expresión:
![]()
donde:
FESc: Sumatoria del número de veces que el servicio es interrumpido en un circuito, durante los últimos doce (12) meses.
Las otras variables mantienen el mismo significado que en la expresión anterior.
Los Usuarios tendrán derecho a reclamar por los indicadores FES reales que ellos puedan contabilizar. En caso de controversia entre el OR y los Usuarios, la carga de la prueba será a cargo del OR.
b.2) Años 2 y 3 del Período de Transición
<Literal modificado por el artículo 3 de la Resolución CREG-096 de 2000, el nuevo texto es el siguiente:>
Mide la confiabilidad de un STR y/o SDL como el número de interrupciones que presenta un Circuito. Los OR's deben calcular el Indicador FESc mensualmente para cada Circuito, de acuerdo con la siguiente expresión:
FESc=NTI
donde:
FESc: Sumatoria del número de veces que el servicio es interrumpido en un Circuito, acumuladas mes a mes durante el tiempo transcurrido en cada uno de los trimestres: 1 de enero - 31 de marzo, 1 de abril - 30 de junio, 1 de julio - 30 de septiembre y 1 de octubre - 31 de diciembre.
Las otras variables mantienen el mismo significado que en la expresión anterior.
Los Usuarios tendrán derecho a reclamar por los indicadores FES reales que ellos puedan contabilizar. En caso de controversia entre el OR y los Usuarios, la carga de la prueba en contrario, será a cargo del OR.
c) Indicadores de Seguimiento de la Calidad del Servicio Prestado
Los OR, para efectos estadísticos y de diagnóstico, realizarán un seguimiento de Calidad Media del Servicio Prestado por nivel de tensión, para los años 2 y 3 del Período de Transición, de acuerdo con las siguientes fórmulas:


donde:
DESn: Tiempo promedio por Usuario, en horas, de las interrupciones del servicio en el nivel de tensión n, durante el último mes.
FESn: Frecuencia promedio por Usuario, de las interrupciones del servicio en el nivel de tensión n, durante el último mes.
i: Interrupción i-ésima.
t(i): Tiempo en horas de la interrupción i-ésima.
NT: Número Total de Interrupciones que ocurrieron en el nivel de tensión n, durante el último mes.
Ua(i): Número Total de Usuarios afectados por la Interrupción i-ésima en el nivel de tensión n.
Un(i): Número Total de Usuarios en el nivel de tensión n, en el momento de la Interrupción i-ésima.
d) Indicadores DESc y FESc por defecto
<Literal modificado por el artículo 3 de la Resolución CREG-096 de 2000, el nuevo texto es el siguiente:>
Cuando el OR no calcule los indicadores establecidos en los literales a) y b) de este numeral, cuando el OR no realice los reportes de información relacionados con la Calidad del Servicio Prestado, en los formatos, términos y medios establecidos en esta Resolución ó cuando el Comercializador no publique en la factura de los Usuarios la información establecida en esta Resolución (bien sea por la no entrega del OR de la información, o por que el Comercializador no realiza la publicación), los indicadores DESc y FESc se calcularán mensualmente ó trimestralmente por defecto teniendo en cuenta las siguientes expresiones:
Año 1 del Período de Transición:
- El tiempo en horas de interrupción de cada Circuito para cada mes del año 1999 será igual a la doceava parte de la meta establecida en el numeral 6.3.3.1. multiplicada por un factor de 1.6.
- El tiempo en horas de interrupción de cada Circuito para cada mes del año 2000 será igual a la doceava parte de la meta establecida en el numeral 6.3.3.1. multiplicada por un factor de 3.2.
- El número de interrupciones de cada Circuito para cada mes del año 1999 será igual a la doceava parte de la meta establecida en el numeral 6.3.3.1. multiplicada por un factor de 1.6.
- El número de interrupciones de cada Circuito para cada mes del año 2000 será igual a la doceava parte de la meta establecida en el numeral 6.3.3.1. multiplicada por un factor de 3.2.
Años 2 y 3 del Período de Transición:
- Para cada trimestre (1 de enero - 31 de marzo, 1 de abril - 30 de junio, 1 de julio - 30 de septiembre y 1 de octubre - 31 de diciembre), se asumirá el indicador DESc por grupo, según la clasificación presentada en el numeral 6.3.3.1 de esta Resolución, así: Grupo 1: 24 horas, Grupo 2: 48 horas, Grupo 3: 78 horas y Grupo 4: 135 horas. Para cada mes del trimestre respectivo se asumirá el indicador DESc igual a un tercio de los valores establecidos.
- Para cada trimestre (1 de enero - 31 de marzo, 1 de abril - 30 de junio, 1 de julio - 30 de septiembre y 1 de octubre - 31 de diciembre), se asumirá el indicador FESc por grupo, según la clasificación presentada en el numeral 6.3.3.1 de esta Resolución, así: Grupo 1: 48 interrupciones, Grupo 2: 81 interrupciones, Grupo 3: 120 interrupciones y Grupo 4: 159 interrupciones. Para cada mes del trimestre respectivo se asumirá el indicador FESc igual a un tercio de los valores establecidos.
La aplicación de los indicadores por defecto no exoneran a las empresas, de las sanciones que deba aplicar la SSPD por el incumplimiento en la determinación de los indicadores DESc y FESc, en el reporte de información y/o en las publicaciones en las facturas de los Usuarios, de conformidad con las características y plazos establecidos en esta Resolución.
A partir de los reportes que envíen los Operadores de Red a los Comercializadores con copia a la SSPD y a la CREG, ésta última verificará, en el estudio para determinar los Cargos por Uso de los Sistemas de Transmisión Regional y/o Distribución Local de la siguiente vigencia tarifaria, la consistencia de la información con los inventarios que los OR's presenten ante la CREG para efectos de determinar los Cargos por Uso de los Sistemas de Transmisión Regional y/o Distribución Local.
Los Usuarios tendrán derecho a reclamar por los indicadores DES y FES reales que ellos puedan contabilizar. En caso de controversia entre el OR y los Usuarios, la carga de la prueba en contrario, será a cargo del OR.
6.3.2.2 Indicadores Período Siguiente a la Transición
<Numeral modificado por el artículo 4 de la Resolución CREG-096 de 2000, el nuevo texto es el siguiente:>
La CREG antes del 31 de diciembre del año 2001 establecerá el esquema de medición respectivo.
6.3.3 VALORES MÁXIMOS ADMISIBLES DE LOS INDICADORES Y PERÍODO DE TRANSICIÓN
<Numeral modificado y adicionado por el artículo 3 de la Resolución CREG- 089 de 1999. El nuevo texto es el siguiente:>
Los Valores Máximos Admisibles para los indicadores DESc y FESc son los siguientes:
6.3.3.1. Año 1 del Período de Transición
<Numeral adicionado por el artículo 3 de la Resolución CREG- 089 de 1999. El texto es el siguiente:>
AÑO 1
DESc FESc
GRUPO 1 30 60
GRUPO 2 60 100
GRUPO 3 96 150
GRUPO 4 168 200
Año 1: Período comprendido entre el 1o. de enero y el 31 de Diciembre del año 2000.
(1) Para efectos de calcular los indicadores DESc y FESc, únicamente será necesaria la medida, del alimentador primario, en la respectiva subestación. Los indicadores DESc y FESc para transformadores de distribución se podrán calcular como la suma de los tiempos en horas de interrupción y el número de interrupciones, determinados con base en los reportes de novedades de los mismos, más los indicadores DESc y FESc del alimentador primario al cual está conectado el respectivo transformador.
(2) Para efectos de definir los grupos establecidos en este numeral, estos se determinan con base en las siguientes reglas :
- Grupo 1, Circuitos ubicados en cabeceras municipales con una población superior o igual a 100.000 habitantes según último dato certificado por el DANE.
- Grupo 2, Circuitos ubicados en cabeceras municipales con una población menor a 100.000 habitantes y superior o igual a 50.000 habitantes según último dato certificado por el DANE.
- Grupo 3, Circuitos ubicados en cabeceras municipales con una población inferior a 50.000 habitantes según último dato certificado por el DANE.
- Grupo 4, Circuitos ubicados en suelo que no corresponde al área urbana del respectivo municipio o distrito.
(3) La ubicación física de la subestación determina el Grupo al cual pertenecen los Circuitos correspondientes a alimentadores primarios, que se encuentran conectados a la misma. Para transformadores de distribución, el Grupo a que pertenecen estos Circuitos estará determinado por la ubicación física del transformador de distribución.
(4) Las metas de indicadores DESc y FESc para el año 1, no aplican a los municipios que se vieron afectados por el terremoto del 25 de enero de 1999, de conformidad con los Decretos 195 y 223 de 1999.
6.3.3.2. Años 2 y 3 del Período de Transición
<Numeral modificado por el artículo 5 de la Resolución CREG-096 de 2000, el nuevo texto es el siguiente:>
Para efectos de calcular los indicadores DESc y FESc, únicamente será necesario el registro, mediante equipos adecuados de medida, a nivel de alimentador primario en la respectiva subestación. Los indicadores DESc y FESc para transformadores de distribución se podrán calcular como la suma de los tiempos en horas de interrupción y el número de interrupciones, determinados con base en los reportes de novedades que afecten los mismos, más los indicadores DESc y FESc del alimentador primario al cual está conectado el respectivo transformador.
Los Valores Máximos Admisibles anuales, para los indicadores de calidad del servicio, son:
| GRUPO (1) | AÑO 2 (2) | AÑO 3 (3) | ||
| DES (horas) | FES | DES (horas) | FES | |
| 1 | 19 | 38 | 11 | 26 |
| 2 | 29 | 58 | 19 | 44 |
| 3 | 39 | 68 | 29 | 51 |
| 4 | 61 | 84 | 39 | 58 |
(1) Tipo de Circuito:
Se sigue la misma clasificación presentada en el numeral 6.3.3.1. de la presente Resolución.
(2) Año 2 Período de Transición:
Indicador DES, en Horas - Año, y FES, en Interrupciones - Año, para el Período comprendido entre el 1o de Enero y el 31 de Diciembre del año 2001.
(3) Año 3 Período de Transición:
Indicador DES, en Horas - Años, y FES, en Interrupciones - Trimestre, para el Período comprendido entre el 1o de Enero y el 31 de Diciembre del año 2002.
(4) Las metas de indicadores DESc y FESc para el año 2, no aplican a los municipios que se vieron afectados por el terremoto del 25 de enero de 1999, de conformidad con los Decretos 195 y 223 de 1999.
Los Valores Máximos Admisibles para los indicadores DESc y FESc establecidos en este numeral, aplican a la totalidad de los Circuitos de los Sistemas de Transmisión Regional y/o Sistemas de Distribución Local de los OR's existentes y futuros.
A más tardar el 26 de diciembre de 2000, los Operadores de Red deberán informar a la CREG y a la SSPD, mediante comunicación escrita suscrita por el Representante Legal, los Valores Máximos Admisibles de los Indicadores de Calidad por Grupo, para cada uno de los Trimestres de los Años 2 y 3 del Período de Transición (1 de enero - 31 de marzo, 1 de abril - 30 de junio, 1 de julio - 30 de septiembre y 1 de octubre - 31 de diciembre). Estos Valores Máximos Trimestrales serán únicos por empresa, cada DESc trimestral deberá estar en horas, cada FESc trimestral deberá estar en número entero y las suma de los Valores trimestrales de cada año no podrán superar los Valores Máximos Admisibles Anuales establecidos en este numeral. Si vencido el plazo mencionado, un Operador de Red no reporta los Valores Máximos Admisibles Trimestrales ó reporta Valores que no cumplan con las condiciones aquí establecidas, se asumirán para su sistema, para los años 2 y 3 del Período de Transición, Valores Máximos Admisibles Trimestrales iguales a la cuarta parte de los Valores Anuales fijados por la CREG.
Los Valores Máximos Admisibles que se definan para cada trimestre de acuerdo con lo aquí establecido deberán ser publicados por el OR, con anterioridad al trimestre respectivo, en un diario ó medio de comunicación de amplia circulación en la zona donde él opera, previa aprobación por parte de la Dirección Ejecutiva de la CREG, la cual se emitirá a más tardar el día 27 de diciembre de 2000.
6.3.3.3. Período siguiente a la Transición
<Numeral modificado por el artículo 6 de la Resolución CREG-096 de 2000, el nuevo texto es el siguiente:>
Antes de diciembre 31 del año 2001, la CREG, en forma conjunta con el esquema de remuneración de la actividad de remuneración de la actividad de Transporte en los STR y SDL (tal como está establecido en el Artículo 8, Parágrafo 3, de la Resolución CREG 099 de 1997), establecerá el esquema de calidad de los Sistemas de Transmisión Regional y de los Sistemas de Distribución Local, aplicable al período tarifario posterior al 31 de diciembre del año 2002.
No obstante lo anterior, tanto para el Período de Transición como para el Período Definitivo, los Usuarios individuales tienen derecho a solicitar al OR límites de calidad inferiores a los aquí establecidos, siempre y cuando asuman los mayores costos eficientes que conlleve esa reducción. En este caso, el OR está en la obligación de ofrecer el nivel de calidad solicitado por el Usuario siempre y cuando sea técnicamente factible.
6.3.4 INCUMPLIMIENTO DE LOS INDICADORES DE CALIDAD DEL SERVICIO PRESTADO
De acuerdo con lo establecido en el Artículo 136 de la Ley 142 de 1994, existe falla en la prestación del servicio cuando se incumpla cualquiera de los Indicadores DES y FES. En este caso, dará lugar a la aplicación del Artículo 137 de la Ley 142 de 1994 mientras se estén incumpliendo los Valores Máximos Admisibles.
6.3.4.1 Período de Transición
<Numeral modificado por el artículo 4 de la Resolución CREG-089 de 1999. El nuevo texto es el siguiente:>
a) Año 1 del Período de Transición
El valor a compensar a los Usuarios afectados durante el año 1 del Período de Transición se determinará de acuerdo con las siguientes fórmulas:
Si [(DESc-HCDc) - VMDESc] £ 0, entonces VCDc = 0
Si no, VCDc = [ (DESc-HCDc) - VMDESc] x CR x DPc
donde:
VCDc: Valor a Compensar por el Incumplimiento del Indicador DES del circuito c.
DESc: Indicador DES registrado para el Circuito c.
HCDc: Horas efectivamente compensadas en el año 1 del Período de Transición por incumplimiento del Indicador DES en el Circuito c, durante los últimos doce (12) meses.
VMDESc: Valor Máximo Admisible para el Indicador DES de acuerdo con lo dispuesto en el Numeral 6.3.3.1. de esta resolución.
CR: Costo del Primer Escalón de la Función de Racionamiento (Definido por la UPME) actualizado al mes respectivo. Para el primer año del Período de Transición será igual a la componente correspondiente al costo de racionamiento para el estrato cuatro (4) del sector residencial, utilizada por la UPME en el cálculo del Costo del Primer Escalón de la Función de Racionamiento.
DPc: Demanda del Circuito c. Corresponde a la mayor Demanda Promedio Mensual en kW que se presentó en los últimos seis (6) meses. Para transformadores de distribución, mientras no se tenga medida, la Demanda será igual a la capacidad nominal (kW) del transformador. Si el OR cuenta con el vínculo Usuario-Transformador de distribución, la Demanda se podrá determinar con base en la medida de energía facturada a los respectivos Usuarios.
Se entenderá como Demanda Promedio Mensual en kW como el cociente entre la energía medida en el Circuito c en el mes respectivo y el número total de horas del mismo mes.
Si [ (FESc-HCFc) - VMFESc] £ 0, entonces VCFc = 0
Si no, VCFc = [ (FESc-HCFc) - VMFESc] x [DESc/FESc] x CR x DPc
donde:
VCFc: Valor a Compensar por el Incumplimiento del Indicador FES del Circuito c.
FESc: Indicador FES registrado para el Circuito c.
HCFc: Frecuencia de interrupciones efectivamente compensadas en el año 1 del Período de Transición por incumplimiento del Indicador FES en el Circuito c, durante los últimos doce (12) meses.
VMFESc: Valor Máximo Admisible para el Indicador FES de acuerdo con lo dispuesto en el numeral 6.3.3.1. de esta resolución.
Las otras variables mantienen el mismo significado que en la expresión anterior.
Cuando para un mismo Circuito c, se incumplan de manera simultánea los Indicadores DESc y FESc, el OR compensará los dos (2) valores resultantes.
Para efectos de reconocer esta compensación por Circuito, el OR informará mensualmente a los Comercializadores que atienden a los Usuarios conectados al respectivo Circuito, el valor a compensar, detallando los Usuarios afectados y los valores de cada una de las variables de las fórmulas descritas anteriormente. El Comercializador respectivo reconocerá tales valores a cada uno de los Usuarios afectados que no presenten mora en sus pagos, en proporción a la energía consumida por los Usuarios en los últimos seis (6) meses, en la siguiente factura que se emita por el servicio, como un menor valor a pagar por parte de los respectivos Usuarios. El Comercializador descontará los valores compensados a los Usuarios del siguiente pago que tenga que hacerle al OR por el uso de su Sistema.
Aquellas empresas que no hayan identificado los Usuarios conectados al respectivo Circuito, inmediatamente se excedan los Valores Máximos Admisibles establecidos en el numeral 6.3.3.1. de esta resolución, deberán informar a la SSPD y a los Comercializadores los Circuitos que excedieron los Valores Máximos Admisibles y sus Indicadores DES y FES. A partir de ese momento el OR tendrá un plazo máximo de un (1) mes para informarles a los Comercializadores que atienden a los Usuarios conectados al respectivo Circuito, el valor a compensar, detallando los Usuarios afectados y los valores de cada una de las variables de las fórmulas descritas anteriormente.
Los OR deberán constituir un patrimonio autónomo en una sociedad fiduciaria debidamente registrada y autorizada por la Superintendencia Bancaria, en la cual depositarán mensualmente los recursos correspondientes a las compensaciones, siempre y cuando no exista identificación plena de los Usuarios conectados a un determinado Circuito.
La sociedad fiduciaria deberá separar contablemente los recursos por Circuito. De la misma manera deberá realizar inversiones de corto plazo fácilmente liquidables con los dineros recaudados, y enviará copia del respectivo reporte al OR y a la Superintendencia de Servicios Públicos Domiciliarios. Los costos de administración de los recursos provendrán directamente de los mismos, por lo que el OR no tendrá que asumir costos adicionales. Los rendimientos financieros serán de los Usuarios del respectivo Circuito.
Sin embargo, una vez se cumpla el plazo máximo de un (1) mes con que cuenta el OR para informarles a los Comercializadores lo aquí establecido, el OR pagará intereses moratorios por cada mes adicional a la máxima tasa moratoria, sobre los recursos depositados en el Patrimonio Autónomo.
Una vez exista una identificación plena de los Usuarios conectados a un determinado Circuito, para disponer de los recursos del patrimonio autónomo, el Comercializador respectivo reconocerá tales valores a cada uno de los Usuarios afectados que no presenten mora en sus pagos, en proporción a la energía consumida por los Usuarios en los últimos seis (6) meses, en la siguiente factura que se emita por el servicio, como un menor valor a pagar por parte de los respectivos Usuarios. Una vez entregadas las facturas a los Usuarios afectados, los Comercializadores deberán dirigir una comunicación suscrita por el Revisor Fiscal y el Representante Legal, la cual tendrá el alcance del artículo 43 de la ley 222 de 1996<sic, 1995>, en la cual determinen el monto total compensado a los Usuarios afectados por Circuito. El OR y los organismos de control y vigilancia podrán solicitar los documentos que respalden la solicitud, los cuales deberán estar a disposición. La Sociedad Fiduciaria girará los recursos correspondientes a los Comercializadores una vez se surta el trámite aquí previsto.
Los valores compensados a los Usuarios, los Indicadores de Calidad calculados y los Valores Máximos Admisibles, a nivel de Circuito o de Usuario según el caso, deberán ser discriminados por el Comercializador en la factura por el servicio.
Cada OR deberá enviar trimestralmente a la SSPD una relación de los valores compensados a los Comercializadores por este concepto, detallando en forma mensual los valores de cada una de las variables de las fórmulas descritas en este Numeral. Así mismo, los Comercializadores deberán enviar trimestralmente a la SSPD, estableciendo en forma mensual, una relación de los valores aplicados en las facturas de sus Usuarios.
Los informes a presentar que aquí se mencionan, deben considerar como mínimo, lo establecido en el numeral 1.5 del anexo RD-1.
Cuando quiera que el OR incumpla con las obligaciones aquí descritas, y por lo tanto se configure un incumplimiento de la ley y de la regulación expedida por la CREG, la Superintendencia de Servicios Públicos Domiciliarios deberá sancionar a la empresa de acuerdo con lo establecido en el artículo 81 de la Ley 142 de 1994, para lo cual deberá tener en cuenta la necesidad que tienen los Usuarios de recibir un servicio en las condiciones y de acuerdo con los parámetros de calidad a los que se refiere esta resolución.
Las sanciones que imponga la Superintendencia de Servicios Públicos Domiciliarios no serán obstáculo para que los Usuarios interpongan las acciones legales pertinentes para restando, entre otros, los temas esbozados en el literal a) de este Numeral.
b) Años 2 y 3 del Período de Transición <Literal "modificado" por el artículo 7 de la Resolución CREG-096 de 2000, el nuevo texto es el siguiente:>
Para efectos de hacer efectivas las compensaciones por la calidad del servicio, durante los años 2 y 3 del Período de Transición, se procederá así:
b.1. Dentro de los quince (15) primeros días calendario de cada mes el OR informará a cada uno de los Comercializadores que atienden Usuarios conectados a su STR y/o SDL, con copia a la SSPD y a la CREG, el listado de Usuarios del Comercializador indicando para cada uno de ellos:
- Número de Identificación del Usuario - NIU. El Operador de Red deberá asignar éste Número de Identificación, a cada uno de los Usuarios conectados a su sistema, independientemente del Comercializador que los atienda.
- Código del Circuito al que pertenece el Usuario, este código lo determina el OR y no podrá ser modificado sin previa autorización de la SSPD
- Número del Grupo del Circuito al que pertenece el Usuario
- Nivel de Tensión del Circuito al que pertenece el Usuario
- Indicadores DES y FES del Circuito al que pertenece el Usuario correspondientes al mes inmediatamente anterior, y las interrupciones no consideradas en el cálculo de los mismos de conformidad con lo establecido en el numeral 6.3.1.1. de esta Resolución.
La Dirección Ejecutiva de la CREG determinará períodicamente, mediante circular, el formato y medios autorizados para el reporte de esta información; sin embargo, el formato que inicialmente defina la Dirección Ejecutiva podrá modificarse posteriormente.
Sí cumplidos los quince (15) primeros días calendario de cada mes, el OR no ha reportado la información de calidad del mes anterior, siguiendo los formatos y medios aprobados por la Dirección Ejecutiva de la CREG, el Comercializador dará aplicación a los Indicadores por Defecto establecidos en el literal d, numeral 6.3.2.1, de esta Resolución. Igualmente, cuando el OR no reporte el Número del Grupo del Circuito al que pertenece el Usuario, se aplicarán al respectivo Circuito los Indicadores DESc y FESc por Defecto del Grupo 4, de conformidad con lo establecido en el literal d, numeral 6.3.2.1, de esta Resolución.
Si un Comercializador, diferente al Comercializador integrado verticalmente con el respectivo OR, ha registrado las interrupciones que experimentaron sus Usuarios y, después de descontar de estas interrupciones las que no se tienen en cuenta en el cálculo de los Indicadores de conformidad con el numeral 6.3.1.1. de esta Resolución reportadas por el OR, los indicadores DES y FES resultantes son superiores a los reportados por el Operador de Red, el Comercializador efectuará las compensaciones a sus Usuarios a partir de los indicadores DES y FES reportados por el OR y solicitará a éste la aclaración de las diferencias.
A partir del recibo de la comunicación del Comercializador, el OR cuenta con un plazo máximo para responder de quince (15) días hábiles. Si vencido este plazo el OR no responde, ó no soporta debidamente las diferencias ó si el OR responde debidamente sustentada la solicitud dentro del plazo señalado y existiesen valores a favor de los Usuarios; el Comercializador realizará los ajustes necesarios en la siguiente factura que emita al Usuario. A los pagos realizados con posterioridad a la solicitud deberán adicionarse los intereses correspondientes a la tasa bancaria corriente, certificada mensualmente por la Superintendencia Bancaria, sobre el valor de dicho pago.
Análogamente, si un Usuario reporta al Comercializador las interrupciones que percibió, y el Comercializador, después de descontar de dichas interrupciones las "Interrupciones no Consideradas" (numeral 6.3.1.1. de esta Resolución) reportadas por el OR, verifica que los indicadores DES y FES resultantes son superiores a los reportados por el Operador de Red, el Comercializador efectuará las compensaciones al Usuario a partir de los indicadores DES y FES reportados por el OR e informará al Usuario tal situación, quien, de conformidad con lo dispuesto en la Ley 142 de 1994, tendrá el derecho a presentar la reclamación respectiva al Comercializador.
Si la Reclamación se resuelve favorablemente al Usuario, el Comercializador realizará los ajustes necesarios en la siguiente factura que emita a éste. A los pagos realizados con posterioridad a la solicitud deberán adicionarse los intereses correspondientes a la tasa bancaria corriente, certificada mensualmente por la Superintendencia Bancaria, sobre el valor de dicho pago.
b.2. En la siguiente factura que emita el Comercializador a cada uno de sus Usuarios, con posterioridad al veinticincoavo (25) día calendario de cada mes, deberá hacer efectivas las compensaciones y presentar la siguiente información:
- Nombre, código y número de Grupo del Circuito al cual se encuentra conectado el Usuario
- Indicador DESc (Indicador de Duración Equivalente de las Interrupciones del Servicio) y FESc (Indicador de Frecuencia Equivalente de las Interrupciones del Servicio), del Circuito al cual se encuentra conectado el Usuario. Considerando que los indicadores de calidad se evalúan trimestralmente así: 1 de enero - 31 de marzo, 1 de abril - 30 de junio, 1 de julio - 30 de septiembre y 1 de octubre - 31 de diembre, los indicadores que se publiquen en la factura deberán corresponder al acumulado hasta el mes respectivo dentro del trimestre al que éste pertenece.
- Valor Máximo Admisible de los indicadores de Calidad del Servicio para el trimestre al que pertenece el mes que se reporta de acuerdo con lo dispuesto en el numeral 6.3.3.2. de esta Resolución.
- Valor a compensar al Usuario resultante de aplicar las disposiciones del literal b3. Complementariamente se deberá informar el valor de las variables CI y DPc utilizadas en el cálculo de la compensación.
- Nombre, Dirección y telefóno del Operador de Red del sistema al que se conecta el Usuario.
b3. El Comercializador para cada uno de sus Usuarios, dentro de los veinticinco (25) primeros días calendario del mes siguiente a la finalización de cada uno de los trimestres sobre los cuales se evalúan los indicadores de calidad del servicio, calculará el valor a compensar a cada uno de sus Usuarios de acuerdo con las siguientes fórmulas:
Para el indicador DES:
Si [DESc - VMDESc] £ 0, entonces VCDc = 0
Si no, VCDc = [DESc - VMDESc] x CI x DPc
donde:
VCDc: Valor a Compensar al Usuario por el Incumplimiento del Indicador DES en el Circuito c, al cual se encuentra conectado
DESc: Indicador DES del Circuito c reportado al Comercializador por el OR. Cuando el OR no reporte la información de calidad al Comercializador, en los formatos, términos y medios establecidos en esta Resolución o cuando el Comercializador no reporte en la factura la información de calidad, el Indicador DESc será igual al Indicador por Defecto respectivo, de conformidad con este numeral y el literal d, numeral 6.3.2.1 de esta Resolución.
VMDESc: Valor Máximo Admisible para el Indicador DES fijado por la CREG. Cuando el OR no informe el Grupo del Circuito al cual pertenece el Usuario, el Comercializador asumirá como Valor Máximo Admisible el correspondiente al Grupo uno (1).
CI: Costo Estimado de la Energía no Servida; el cual, es igual a 265.2 $/kWh, $ Colombianos del 30 de noviembre de 1997. Este valor se deberá actualizar al mes en el cual se efectúa la compensación utilizando el Indice de Precios al Consumidor nacional reportado por el DANE.
DPc: Demanda Promedio. Demanda Promedio (en kW) del Usuario durante los últimos doce (12) meses. Se entiende la Demanda Promedio del Usuario como el cociente entre la energía facturada (kWh) a éste durante los doce meses anteriores al momento de calcular la compensación y el número total de horas del año. Si el Usuario no ha sido atendido por el Comercializador durante la totalidad del último año, la energía facturada durante el período atendido por el Comercializador se debe dividir entre las horas correspondientes a la fracción del año durante la cual fue atendido.
Para el indicador FES:
Si [FESc - VMFESc] £ 0, entonces VCFc = 0
Si no, VCFc = [FESc - VMFESc] x [DESc/FESc] x CI x DPc
donde:
VCFc: Valor a Compensar al Usuario por el Incumplimiento del Indicador FES en el Circuito c, al cual se encuentra conectado ario
FESc: Indicador FES del Circuito c, reportado al Comercializador por el OR. Cuando el OR no reporte la información de calidad al Comercializador, en los formatos, términos y medios establecidos en esta Resolución o cuando el Comercializador no reporte en la factura la información de calidad, el Indicador FESc será igual al Indicador por Defecto respectivo, de conformidad con este numeral y el literal d, numeral 6.3.2.1 de esta Resolución.
VMFESc: Valor Máximo Admisible para el Indicador FES fijado por la CREG Cuando el OR no informe el Grupo del Circuito al cual pertenece el Usuario, el Comercializador asumirá como Valor Máximo Admisible el correspondiente al Grupo uno (1).
Las otras variables mantienen el mismo significado que en la expresión anterior.
El valor total a compensar a cada Usuario corresponde al mayor valor entre VCDc y VCFc.
El Comercializador hará efectivas las compensaciones, siguiendo las disposiciones contenidas en esta Resolución, como un menor valor a pagar por parte de los usuarios respectivos.
b.4. En cada pago por concepto de Cargos por Uso de STR y/o SDL que realice el Comercializador al OR, descontará los valores efectivamente compensados durante el período sobre el cual se están liquidando dichos cargos. En caso que los indicadores DESc y FESc sobre el cual se evaluaron las compensaciones incluyan interrupciones correspondientes a la aplicación de un programa de limitación de suministro al Comercializador, ó por la aplicación de los indicadores DESc y FESc por defecto debido al no reporte de la información de calidad en la factura, este no podrá descontar del pago por concepto de Cargos por Uso las compensaciones asociadas a dichas interrupciones.
Como soporte del valor a descontar, el Comercializador deberá informar al OR, con copia a la SSPD y a la CREG, los Usuarios que efectivamente recibieron compensación, detallando en cada caso lo siguiente:
- Nombre y Número de Identificación del Usuario (según Codificación del OR)
- Código del Circuito al cual se encuentra conectado el Usuario
- Valores Máximos Admisibles para los Indicadores DES y FES utilizados en el cálculo de las compensaciones respectivas
- Indicador DESc y FESc utilizado en el cálculo de la compensación (realizando la aclaración respectiva en el caso que se hayan aplicado los indicadores por defecto)
- Valor de la variable CI utilizada en el cálculo de la compensación al Usuario
- Valor de la variable DPc utilizada en el cálculo de la compensación al Usuario
- Valor total de la compensación efectivamente realizada al Usuario. En caso que los indicadores DESc y FESc incluyan interrupciones correspondientes a la aplicación de un programa de limitación de suministro al Comercializador, ó a la aplicación de los indicadores DESc y FESc por defecto debido al no reporte de la información de calidad en la factura, este deberá discriminar el valor de compensación que percibió el Usuario debido a esta situación
La Dirección Ejecutiva de la CREG determinará periódicamente, mediante circular, el formato y medios autorizados para el reporte de esta información; sin embargo, el formato que inicialmente defina la Dirección Ejecutiva podrá modificarse posteriormente mediante circular.
Cuando quiera que el OR o el Comercializador incumpla con las obligaciones aquí descritas, y se configure un incumplimiento de la Ley y de la regulación expedida por la CREG, la Superintendencia de Servicios Públicos Domiciliarios sancionará a la empresa de acuerdo con lo establecido en el Artículo 81 de la Ley 142 de 1994, para lo cual tendrá en cuenta además, la necesidad que tienen los Usuarios de recibir un servicio en las condiciones y de acuerdo con los parámetros de calidad a los que se refiere esta Resolución.
Las sanciones que imponga la Superintendencia de Servicios Públicos Domiciliarios no serán obstáculo para que los Usuarios interpongan las acciones legales pertinentes para restablecer los perjuicios causados por el incumplimiento y no cubiertos por la compensación. La Superintendencia de Servicios Públicos Domiciliarios inspeccionará y vigilará periódicamente a los OR's para verificar la consistencia de la información que reporte el OR.
La Comisión de Regulación de Energía y Gas podrá publicar en diarios de amplia circulación local o nacional, según el caso, los OR's y la información que no hubieren reportado de la manera como se determina en esta Resolución.
La compensación anterior no limita el derecho de los Usuarios de reclamar ante el OR la indemnización de daños y perjuicios, no cubiertos por la compensación, de acuerdo con lo dispuesto en el Artículo 137 de la Ley 142 de 1994.
Si en un año determinado, los valores compensados por el OR superan el veinte por ciento (20%) de sus ingresos por Cargos por Uso correspondientes al año inmediatamente anterior, la SSPD lo tendrá como una causal de intervención, de acuerdo con lo dispuesto por la Ley 142 de 1994 y demás normas aplicables.Cuando la SSPD tome posesión del OR por estos efectos, se suspenden las compensaciones de calidad por el término máximo de un (1) año, sin perjuicio del derecho de los Usuarios de reclamar ante el OR la indemnización de daños y perjuicios, de acuerdo con lo establecido en el Artículo 137 de la Ley 142 de 1994.
6.3.4.2 Período Siguiente a la Transición
<Numeral modificado por el artículo 8 de la Resolución CREG-096 de 2000, el nuevo texto es el siguiente:>
Antes de diciembre 31 del año 2001, la CREG, en forma conjunta con el esquema de remuneración de la actividad de remuneración de la actividad de Transporte en los STR y SDL (tal como está establecido en el Artículo 8, Parágrafo 3, de la Resolución CREG 099 de 1997), establecerá el esquema de calidad de los Sistemas de Transmisión Regional y de los Sistemas de Distribución Local, aplicable al período tarifario posterior al 31 de diciembre del año 2002.
6.3.4.3 Responsabilidad de los OR cuando están Conectados en Serie
<Numeral adicionado por el artículo 5 de la Resolución CREG- 089 de 1999. El texto es el suiguiente:>
a) Año 1 del Período de Transición.
El incumplimiento de los indicadores DES y FES a un usuario conectado a un STR y/o SDL, cuando en la cadena de prestación del servicio participan dos (2) o más OR, es responsabilidad de los Operadores de Red involucrados. Esta responsabilidad puede ser acordada entre las partes.
De no llegarse a un acuerdo, la responsabilidad de cada OR, en las compensaciones por incumplimiento de los indicadores DES y FES, será proporcional a su participación en cada indicador.
Para lo anterior, cada Operador de Red compensará directamente a los Usuarios y OR conectados directamente a su STR y/o SDL, y facturará al Operador de Red aguas arriba su participación en dichas compensaciones, de conformidad con lo dispuesto en este numeral.
b) Años 2 y 3 del período de transición.
<Literal modificado por el artículo 9 de la Resolución CREG-096 de 2000, el nuevo texto es el siguiente:>
Cuando el STR y/o SDL de un Operador de Red se conecte al sistema de otro OR, se dará aplicación a las siguientes reglas:
El incumplimiento de los indicadores DESc y FESc a un Usuario conectado a un STR y/o SDL, cuando en la cadena de prestación del servicio participan dos (2) o más OR's, la responsabilidad de cada OR, en las compensaciones por incumplimiento de los indicadores DES y FES, será proporcional a la participación de sus interrupciones en cada indicador.
Para lo anterior, cada Operador de Red compensará directamente a los Usuarios y OR's conectados directamente a su STR y/o SDL, y facturará al Operador de Red aguas arriba su participación en dichas compensaciones, de conformidad con lo dispuesto en este numeral.
6.3.5 CONDICIONES DURANTE EL PERÍODO DE TRANSICIÓN
<Numeral modificado por el artículo 10 de la Resolución CREG-096 de 2000, el nuevo texto es el siguiente:>
Para el cálculo de los Indicadores DES y FES por Circuito, los tiempos de duración y el número de interrupciones de cada Circuito, comenzarán a acumularse a partir del 1o de Enero del año 1999.
Sin perjuicio de lo dispuesto en el Artículo 137 de la Ley 142 de 1994, los OR's deberán compensar a los Usuarios por el incumplimiento de los Valores Máximos Admisibles, a partir del 1o de Enero del año 2000.
Para los años 2 y 3 del Período de Transición se aplicarán los indicadores DES y FES por Defecto descritos en el literal d) del numeral 6.3.2.1, y según el procedimiento descrito en el literal b) del numeral 6.3.4.1 de esta Resolución.
Los OR's deberán conservar registros de la información de calidad resportada en medio magnético y por un período no inferior a tres (3) años.
Para efectos de lo dispuesto en el Artículo 79.10 de la Ley 142 de 1994, anualmente la SSPD realizará una encuesta que permita identificar el grado de satisfacción de los Usuarios con el servicio prestado por los Operadores de Red a los cuales pertenecen, la cual, deberá ser representativa por tipo de Usuario, por grupos de calidad del servicio (urbano y rural), y por mercado de comercialización, entre otros. La CREG aprobará el diseño y la muestra de la encuesta mencionada.
La SSPD realizará informes para cada uno de los trimestres sobre los cuales se evalúa la calidad del servicio y anuales sobre el grado de satisfacción de los Usuarios, para cada uno de los OR's existentes. Dichos informes deberán ser enviados a la CREG y publicados en un diario de circulación local o nacional, según el caso, para conocimiento de los Usuarios.
6.4 REGISTRO DE INTERRUPCIONES.
Todas las interrupciones de Circuitos en niveles II, III y IV deberán ser registradas en las subestaciones del OR. Las interrupciones de transformadores de distribución y de Circuitos de nivel I se contabilizarán a partir del momento en que sea detectada por el OR, o que un Usuario afectado de aviso al OR respectivo. En caso de controversia entre el OR y los Usuarios, la carga de la prueba será a cargo del OR.
La vigilancia de la calidad la realizarán los propios Usuarios y la SSPD, cuando los Usuarios soliciten su intervención, o de oficio.
7.1 OBJETIVO. <Numeral derogado por el artículo 46 de la Resolución 38 de 2014>
7.2. FRONTERAS COMERCIALES. <Numeral derogado por el artículo 46 de la Resolución 38 de 2014>
7.3 CARACTERÍSTICAS TÉCNICAS DE LOS EQUIPOS DE MEDIDA. <Numeral derogado por el artículo 46 de la Resolución 38 de 2014>
7.4 ACCESO A LOS EQUIPOS DE MEDIDA. <Código de Medida derogado por el artículo 46 de la Resolución 38 de 2014>
7.5 REGISTRO, PRUEBAS Y SELLADO DE LOS EQUIPOS DE MEDIDA. <Código de Medida derogado por el artículo 46 de la Resolución 38 de 2014>
7.6 REVISIONES DE LOS EQUIPOS DE MEDIDA. <Código de Medida derogado por el artículo 46 de la Resolución 38 de 2014>
Establecer las características técnicas de la prestación del servicio de Alumbrado Público.
8.2 NORMAS APLICABLES. <Incisos 1 y 2 modificados por el artículo 1 de la Resolución CREG-101 de 2001. El nuevo texto es el siguiente:> En túneles deberá cumplir con una cualquiera de las siguientes normas: CIE-88, British Standard Code of Practice CP-1004 Part 7/71. Las instalaciones eléctricas y sus accesorios deben ser a prueba de agua y polvo, como mínimo una protección IP65-IK07.
Las instalaciones eléctricas y sus accesorios deben ser a prueba de agua y polvo, como mínimo una protección IP-655.
Las bombillas utilizadas en Alumbrado Público deberán reponerse cuando la emisión del flujo luminoso haya descendido al setenta por ciento (70%) de su valor inicial.
9. PROPIEDAD DE ACTIVOS DE LOS SISTEMAS DE TRANSMISIÓN REGIONAL Y/O DISTRIBUCIÓN LOCAL.
9.1 PROPIEDAD DE ACTIVOS DE LOS STR Y/O SDL.
Cuando una persona sea propietaria de Redes de Uso General dentro de un STR y/o SDL tendrá las siguientes opciones:
- Convertirse en un OR.
- Conservar su propiedad y ser remunerado por el OR que los use.
- Venderlos.
9.2.1 SOLICITUD DE CARGOS POR USO.
Todo nuevo OR, deberá presentar un estudio a la CREG en el cual se justifiquen los Cargos por Uso que pretende cobrar por la utilización de sus activos en el STR y/o SDL respectivo. Este estudio debe seguir la metodología establecida en la Resolución CREG 099 de 1997 o aquellas que la modifiquen o sustituyan.
9.2.2 APROBACION DE LOS CARGOS POR USO.
Analizado el estudio, la CREG aprobará los cargos del nuevo OR. Para el caso especial de OR's que tengan activos en varios STR's y/o SDL's localizados en diversas zonas geográficas no colindantes entre sí, deberán solicitar Cargos por Uso separados para cada uno de ellos.
9.2.3 DERECHO AL COBRO DE CARGOS POR USO DE LOS STR'S Y/O SDL'S.
Sin perjuicio de las facultades de imposición de servidumbres en cabeza de la CREG, un OR no podrá remunerarse mediante Cargos por Uso hasta tanto la CREG no le haya aprobado los cargos correspondientes. En todo caso, los Cargos por Uso siempre serán recaudados por los Comercializadores y pagados a los OR's respectivos de acuerdo con lo que haya aprobado la CREG.
9.2.4 CARGOS POR USO QUE SE DEBEN COBRAR A LOS USUARIOS DE UN STR Y/O SDL.
Los Cargos por Uso que se deben cobrar a los Usuarios conectados a un STR y/o SDL corresponden a los que apruebe o haya aprobado la CREG para el respectivo Sistema, independientemente del número de OR's que presten servicio en ese Sistema.
9.2.5 VIGENCIA DE LOS CARGOS POR USO.
De acuerdo con lo establecido en la Resolución CREG 099 de 1997, los Cargos por Uso que apruebe la CREG a los nuevos OR's empezarán a regir desde la fecha de entrada en vigencia de la Resolución CREG correspondiente y hasta el 31 de diciembre del año 2002. Vencido el período de vigencia de los Cargos por Uso que apruebe la CREG, continuarán rigiendo hasta tanto la CREG apruebe los nuevos.
9.3 DERECHO A LA PROPIEDAD DE ACTIVOS EN UN STR Y/O SDL.
De acuerdo con el Artículo 28 de la Ley 142 de 1994, cualquier persona, tiene el derecho a construir redes para prestar servicios públicos. Esta persona tiene el derecho a conservar la propiedad de estos activos sin que para ello tenga que constituirse en una Empresa de Servicios Públicos.
Quien construya redes con el fin de prestar servicios públicos debe cumplir con lo establecido en la presente Resolución y en las leyes 142 y 143 de 1994.
Cuando estos activos sean usados por un tercero para prestar el servicio de energía eléctrica, el propietario tiene derecho a que le sean remunerados por quien haga uso de ellos.
Igualmente, cuando una persona posea Activos de Conexión, los cuales, por cualquier razón se conviertan en Redes de Uso General de un STR y/o SDL, tiene derecho a recibir una remuneración por parte de quien los utiliza para prestar el servicio de energía eléctrica.
9.3.1 REMUNERACIÓN DE ACTIVOS DE TERCEROS. <Numeral derogado por el artículo 23 de la Resolución 97 de 2008>
9.3.2 REPOSICIÓN DE ACTIVOS DE TERCEROS.
Cuando sea necesario realizar la reposición de Redes de terceros que sean de Uso General, la obligación en primera instancia es del propietario correspondiente. Si éste no hace la reposición oportunamente, el OR que está remunerando dicho activo deberá realizarla. En este caso, el OR ajustará la remuneración al tercero, de acuerdo con la reposición efectuada.
9.4 VENTA DE ACTIVOS. <Numeral derogado por el artículo 23 de la Resolución 97 de 2008>
10. MODIFICACIONES Y ACTUALIZACIONES DEL REGLAMENTO DE DISTRIBUCIÓN Y SOLUCIÓN DE CONTROVERSIAS.
Definir los procedimientos generales para modificar y/o actualizar el Reglamento de Distribución, y para resolver situaciones imprevistas y controversias.
10.2 ACTUALIZACIÓN DEL REGLAMENTO DE DISTRIBUCIÓN.
De acuerdo con lo establecido en el Artículo 36 de la Ley 143 de 1994, corresponde al Consejo Nacional de Operación ser el órgano ejecutor del Reglamento de Operación, del cual forma parte la presente Resolución.
La Comisión de Regulación de Energía y Gas, modificará de oficio o por solicitud de terceros, las disposiciones aquí establecidas, en todo caso, previo concepto del Consejo Nacional de Operación.
10.3 SOLUCIÓN DE CONTROVERSIAS Y SITUACIONES NO PREVISTAS.
Cuando se presenten controversias sobre las disposiciones aquí establecidas, o situaciones no previstas, se seguirá el procedimiento establecido en el Anexo General de la Resolución CREG 025 de 1995, o demás normas que la modifiquen o sustituyan.
11.1. REQUISITOS TÉCNICOS GENERALES <Artículo adicionado por la Resolución 148 de 2021 - Anexo -. El nuevo texto es el siguiente:>
Para la conexión de plantas objeto de este capítulo, generadores y autogeneradores a gran escala con capacidad efectiva neta o potencia máxima declarada igual o mayor a 5 MW, se deberán tener en cuenta los siguientes aspectos:
a) Corriente de corto circuito.
Los equipos involucrados en la instalación de las plantas objeto de este capítulo deben cumplir con límites de capacidad de corriente de corto circuito en el punto de conexión al SDL.
Cuando un agente que represente una planta solicite conexión, los Operadores de Red (OR) deberán proporcionar toda la información necesaria, incluyendo las características técnicas de sus equipos, datos de la red, entre otras, involucradas en el proyecto, para realizar los análisis de corto circuito en el punto de conexión.
La información anterior será reportada a través del mecanismo previsto en el artículo 7 de la Resolución CREG 075 de 2021 o todas aquellas que la modifiquen o sustituyan.
Deberán seguirse las indicaciones que establezca el C.N.O en el acuerdo de protecciones y que tengan relación con la máxima capacidad de corto circuito.
b) Topologías de conexión.
El C.N.O deberá definir mediante Acuerdo las topologías de conexión indicativas que debe tener en cuenta el interesado. El interesado podrá proponer esquemas alternos a dichas topologías indicativas, pero deberá cumplir con los requisitos técnicos especificados en la presente resolución.
c) Coordinación de protecciones y puesta a tierra.
Las especificaciones de puesta a tierra deben permitir una adecuada coordinación de protecciones de la planta con el sistema de distribución, de acuerdo con lo que defina el C.N.O y cumplir los requerimientos técnicos del RETIE.
d) Servicios auxiliares.
Las plantas objeto de este capítulo deben contar con servicios auxiliares que tengan fuente propia de alimentación de energía para todos los equipos de protección, control y equipos de interrupción, alimentados con corriente alterna y directa, ante la ausencia de la fuente principal de alimentación. El tiempo de duración de esta energía y su capacidad, debe ser definida por el fabricante de la planta y deberá atender los requerimientos mínimos establecidos por el C.N.O.
e) El equipo de registro de eventos.
Las características técnicas y forma de acceso a información del equipo de registro de eventos serán definidos mediante acuerdo C.N.O.
f) Características técnicas de sincronización con el SDL.
Las plantas objeto de este capítulo deben contar con los sistemas y equipos de sincronización, de tal forma, que cumplan con lo exigido en el estudio de conexión, para lograr una correcta sincronización de la planta con el sistema a conectarse. El C.N.O. definirá las características correspondientes de sincronización.
11.2. SERVICIOS QUE LAS PLANTAS OBJETO DE ESTE CAPÍTULO DEBEN PROVEER <Artículo adicionado por la Resolución 148 de 2021 - Anexo -. El nuevo texto es el siguiente:>
Las plantas objeto de esta resolución deben proveer los servicios definidos en este numeral.
11.2.1. REGULACIÓN DE FRECUENCIA MEDIANTE UN CONTROL DE POTENCIA ACTIVA/FRECUENCIA. <Artículo adicionado por la Resolución 148 de 2021 - Anexo -. El nuevo texto es el siguiente:>
11.2.1.1. CARACTERÍSTICAS GENERALES <Artículo adicionado por la Resolución 148 de 2021 - Anexo -. El nuevo texto es el siguiente:>
Las plantas objeto de este capítulo:
a) Deben operar normalmente para un rango de frecuencia entre 57.5 Hz y 63 Hz.
b) Deben contar con un control de potencia activa/frecuencia que incluya una banda muerta y un estatismo permanente ajustable, permitiendo su participación en la regulación primaria de frecuencia del sistema, tanto para eventos de sobrefrecuencia como para eventos de subfrecuencia.
c) Para su puesta en servicio en el sistema, deben realizar pruebas de respuesta primaria ante eventos de sobrefrecuencia y subfrecuencia.
d) La funcionalidad de respuesta de regulación primaria ante eventos de subfrecuencia de las plantas objeto de esta resolución puede estar deshabilitada; no obstante, se deberá activar en el momento en que se active dicho mecanismo para las plantas SFV y eólicas conectadas al STN y STR conforme las reglas de la Resolución CREG 060 de 2019 o aquellas que la modifiquen o sustituyan.
11.2.1.2. CARACTERÍSTICAS DEL SISTEMA DE CONTROL DE LA PLANTA <Artículo adicionado por la Resolución 148 de 2021 - Anexo -. El nuevo texto es el siguiente:>
El sistema de control de las plantas objeto de esta resolución debe tener la capacidad de recibir al menos una consigna de potencia activa (modo local) conforme las reglas del numeral 11.3.1 del presente capitulo.
El control de potencia activa/frecuencia debe cumplir con los siguientes requerimientos:
a) Estabilidad: las señales de salida del control deben ser amortiguadas en el tiempo ante señales de entrada escalón, para todos los modos y condiciones operativas.
b) El estatismo debe ser configurable en un rango entre el 2 y el 6%.
c) La banda muerta debe ser configurable en un rango entre 0 y 120 mHz. Inicialmente se establece una banda muerta de 30 mHz.
d) El ajuste de la función de control de frecuencia debe ser informado por el agente antes de las pruebas de puesta en servicio.
e) Los parámetros de ganancia y constantes de tiempo deben ser ajustables para cumplir con criterios de estabilidad y velocidad de respuesta del SIN, teniendo en cuenta las características técnicas de las tecnologías disponibles. El CND definirá mediante estudio, análisis y seguimiento posoperativo, los parámetros de ganancia y constantes de tiempo para cumplir con criterios de estabilidad, velocidad de respuesta del SIN y los deberá informar a los agentes que representan las plantas objeto de este capítulo.
f) El CND dentro de los rangos establecidos, definirá el valor de estatismo y banda muerta de acuerdo con las necesidades del SIN. La función de control de frecuencia debe ser reajustada a solicitud del CND por criterios operativos. El CND deberá informar a los agentes que representan las plantas objeto de este capítulo de dichos cambios.
g) Cumplir con los siguientes parámetros: tiempo de respuesta inicial máximo (Tr) de 2 segundos y tiempo de establecimiento máximo (Te) de 15 segundos.
11.2.2. CONTROL DE TENSIÓN. <Artículo adicionado por la Resolución 148 de 2021 - Anexo -. El nuevo texto es el siguiente:>
Las plantas objeto de este capítulo deben poder aportar al control de la tensión de la red donde se conectan, en el rango operativo normal de su punto de conexión y según las consignas de operación definidas por el Centro de Control del operador de red.
El C.N.O debe identificar, evaluar y definir el esquema de control de tensión más adecuado a utilizar, conforme el nivel de tensión 1, 2 o 3 y tener en cuenta los siguientes lineamientos mínimos:
a) Los parámetros del control de tensión deberán ser configurables.
b) El control de tensión deberá contar al menos con alguno de los siguientes modos de control: tensión, potencia reactiva y/o factor de potencia. Lo anterior conforme la evaluación de control por nivel de tensión.
c) Se deberá identificar cuál consigna de variable de control es necesaria y por nivel de tensión. Para lo anterior, el control podrá tener la capacidad de recibir al menos una consigna de tensión, factor de potencia y/o potencia reactiva; las cuales podrán ser tanto de forma local como remota.
d) El control de tensión deberá disponer de un estatismo (V/Q) configurable.
e) El C.N.O deberá definir los tiempos de respuesta inicial y establecimiento que se deben cumplir, ante cualquier cambio en lazo abierto tipo escalón en la consigna de tensión, potencia reactiva o factor de potencia, de acuerdo con el tipo de consigna definida mediante Acuerdo por nivel de tensión.
f) El control de tensión que se aplique debe ajustarse de tal manera que sea estable.
g) El C.N.O. debe definir la configuración inicial del control por nivel de tensión y deberá especificar el proceso para el cambio en la configuración durante la operación.
h) En caso de requerirse una curva de operación de la potencia reactiva en función de la tensión u otras, deberán definirse por nivel de tensión 1, 2 y 3, siempre evaluando la necesidad de dicho control en el punto de conexión.
El C.N.O. deberá definir mediante Acuerdo los requisitos anteriores para el tipo de plantas objeto de esta resolución y diferenciados por nivel de tensión y de ser necesario por capacidad de la planta.
11.2.3. PRIORIZACIÓN DE LA INYECCIÓN RÁPIDA DE CORRIENTE REACTIVA <Artículo adicionado por la Resolución 148 de 2021 - Anexo -. El nuevo texto es el siguiente:>
El C.N.O. deberá evaluar para las plantas objeto de esta resolución, la necesidad de tener capacidad de respuesta de inyección rápida de corriente reactiva ante desviaciones de tensión que superen los límites de la banda muerta de tensión.
Para lo anterior, el C.N.O mediante Acuerdo debe establecer las condiciones del control y tener en cuenta los siguientes lineamientos:
a) Las características técnicas especificas se podrán diferenciar por nivel de tensión y/o por capacidad de la planta.
b) De no requerirse el servicio en algún nivel de tensión y/o para alguna capacidad de planta (capacidad efectiva neta o potencia máxima declarada), el Acuerdo debe ser claro en que no es un requisito aplicable.
c) Ante desviaciones de tensión que excedan los límites operativos normales de la tensión nominal en la planta de generación, el control debe priorizar la inyección rápida de corriente reactiva de forma que alcance un valor porcentual del valor final esperado en un tiempo en milisegundos con una tolerancia definida en valor porcentual. Los anteriores parámetros son definidos en el Acuerdo.
d) El aporte de potencia reactiva adicional se debe mantener siempre que la tensión esté fuera del rango normal de operación o supere la banda muerta de tensión.
e) El aporte de potencia reactiva adicional se limitará cuando se alcance el 100% de la corriente nominal del generador.
f) La curva característica es la siguiente:

Para la figura anterior, se deben tener en cuenta los siguientes criterios:
-
es el valor de la siguiente relación:
![]()
Donde:
es la variación de corriente reactiva respecto al valor de corriente reactiva que tenía antes del evento.
es la corriente nominal
es la variación de tensión respecto al valor de tensión que tenía antes del evento.
es la tensión nominal
valor de la pendiente de respuesta.
La banda muerta de tensión corresponde al rango de tensión de operación normal en el punto de conexión definido en el numeral 6.2.1.1 del Reglamento de Distribución, Resolución CREG 070 de 1998, o la que modifique o sustituya y en el cual no operará el control de respuesta rápida de corriente reactiva definido en este literal.
Ante eventos simultáneos de frecuencia y tensión, el C.N.O. deberá evaluar las consideraciones que se deben tener en cuenta, según el estado del sistema, para darle prioridad a la corrección de las variables de balance de frecuencia o tensión.
g) El Acuerdo debe definir el valor de la pendiente k de la funcionalidad en el punto de conexión por nivel de tensión. El representante de cada planta de generación debe determinar el valor de k a utilizar en cada inversor para cumplir con el valor de k definido en el Acuerdo en el punto de conexión.
h) Cada unidad de generación deberá tener una k parametrizable dentro de un rango definido en el Acuerdo C.N.O. Se debe tener en cuenta los valores de k máximos declarados por el representante de la planta.
i) Se debe mantener un aporte de potencia reactiva por un periodo de tiempo en milisegundos después de que la tensión entre a la banda muerta de tensión manteniendo un aporte adicional proporcional a la desviación de la tensión con respecto al valor de referencia (1 p.u). Dicho tiempo debe ser definido en el Acuerdo.
11.2.4. CARACTERÍSTICA DE DEPRESIONES DE TENSIÓN Y SOBRETENSIONES <Artículo adicionado por la Resolución 148 de 2021 - Anexo -. El nuevo texto es el siguiente:>
Cuando se presenten fallas simétricas o asimétricas, las plantas objeto de este capítulo deben poder operar dentro de los límites establecidos por las curvas de comportamiento de depresiones de tensión (LVRT, por sus siglas en ingles) y sobretensiones (HVRT, por sus siglas en ingles) que se muestran a continuación[1].

Adicional a lo anterior, estas plantas deben ser capaces de superar depresiones de tensión sucesivas así:
· Para plantas eólicas, si la energía disipada durante las depresiones de tensión es menor a la capacidad nominal del recurso de generación durante 2 segundos, contabilizada en una ventana móvil de 30 minutos. Estos rangos de tiempo podran ser reevaluados mediante Acuerdo C.N.O. debidamente justificado con documentación técnica.
· Para plantas SFV, deben soportar depresiones sucesivas separadas por 30 segundos entre depresión y depresión. Este rango de tiempo podrá ser reevaluado mediante Acuerdo C.N.O. debidamente justificado con documentación técnica.
La depresión de tensión se considera superada cuando la tensión de línea–línea es mayor a 0.85 p.u. Una vez superada la depresión de tensión, la fuente de generación debe recuperar el 90% de la potencia activa que estaba suministrando antes de la depresión en un tiempo no superior a 1 segundo. Este último comportamiento, podrá ser reevaluado mediante Acuerdo C.N.O. debidamente justificado con documentación técnica.
11.3. REQUISITOS TÉCNICOS GENERALES DE LA OPERACIÓN DE LAS PLANTAS OBJETO DE ESTE CAPÍTULO <Artículo adicionado por la Resolución 148 de 2021 - Anexo -. El nuevo texto es el siguiente:>
11.3.1. SUPERVISIÓN, COORDINACIÓN Y CONTROL DE LA OPERACIÓN <Artículo adicionado por la Resolución 148 de 2021 - Anexo -. El nuevo texto es el siguiente:>
La supervisión, coordinación y control de la operación estarán sujetas a lo establecido en este numeral.
a) Operación en tiempo real: control remoto y coordinación de la operación mediante consignas.
Se tendrán las siguientes reglas:
1. El Centro de Control del operador de red o el CND podrán enviar consignas de potencia activa a las plantas (modo local) objeto de este capítulo ante eventos de emergencia.
Las consignas que se definen en este numeral solo pueden ser enviadas ante condiciones de emergencia.
El CND debe definir el procedimiento de envío de consignas ante eventos de emergencia, casos en que aplica y su periodicidad. Dicho reglamento debe ser aprobado mediante Acuerdo C.N.O.
Para lo anterior, luego de que el CND presente la propuesta ante el C.N.O, este deberá definir mediante Acuerdo el reglamento ante consignas de emergencia.
Cuando existan consignas de emergencia por parte del Centro de Control del operador de red, este deberá informar al CND sobre la asignación de las mismas y su objeto, donde se identifique la causa. La forma como el Centro de Control del operador de red le informa al CND de dicha situación, será definida por el CND.
El CND y el Centro de Control del operador de red deberán llevar un registro histórico con la información anterior el cual deberá estar disponible para que la Superintendencia de Servicios Públicos Domiciliarios o la Superintendencia de Industria y Comercio puedan ejercer sus funciones de vigilancia.
2. En condiciones normales de operación, el Centro de Control del operador de red podrá enviar consignas locales y/o remotas para el control de tensión a las plantas objeto de este capítulo, según el control de tensión especificado mediante Acuerdo en el numeral 11.2.2 del presente anexo. Esto sin que las consignas puedan afectar el punto de operación de potencia activa de la(s) planta(s).
3. El CND podrá enviar consignas locales de potencia activa a plantas despachadas centralmente, para lo cual deberá coordinar con el respectivo Centro de Control del operador de red. La consigna se transmitirá a través del sistema de control del Centro de Control del operador de red.
El CND deberá definir los protocolos de comunicación y operación para llevar a cabo la operación de las plantas despachadas centralmente presentes en el SDL. Los protocolos deberán ser aprobados mediante Acuerdo C.N.O.
El CND debe definir el protocolo anterior y presentarlo en el C.N.O. Luego de que el CND presente la propuesta ante el C.N.O, el C.N.O deberá definir mediante Acuerdo el protocolo de comunicación y operación.
4. El CND podrá requerir cambios en potencia reactiva en alguna zona de influencia del Centro de Control del operador de red para lo cual informará y coordinará con el Centro de Control del operador de red para su implementación. La(s) consigna(s) locales y/o remotas de tensión, factor de potencia o potencia reactiva se realizará a través del sistema de control del Centro de Control del operador de red. Las consignas no puedan afectar el punto de operación de potencia activa de la(s) planta(s) en el momento del tiempo en que sucede(n) la(s) consigna(s).
Lo anterior según el control de tensión especificado mediante Acuerdo en el numeral 11.2.2 del presente anexo por nivel de tensión.
5. Los operadores de las plantas objeto de esta resolución serán responsables de la ejecución de las consignas.
b) Complemento de la operación para plantas despachadas centralmente
El CND debe definir con los Operadores de Red el modelo de red del SDL a considerar en su análisis energético y eléctrico, teniendo en cuenta la generación inmersa en las redes y si son redes radiales, enmalladas o de otro tipo.
Después de que se publique el despacho económico horario con el programa de generación de las plantas objeto de esta resolución conectadas en su red, el Operador de Red deberá validar la factibilidad del mismo considerando las condiciones de su sistema e informar al CND si encuentra alguna situación que impida el cumplimiento del programa de generación. El CND, luego del análisis, podrá programar ajustes en la operación si es del caso.
El CND deberá definir la forma, mecanismos y tiempos en que el OR informará de la situación antes enunciada.
En el diseño metodológico anterior, el CND debe tener en cuenta que se debe contar con toda la información necesaria, la cual deberá estar disponible para que la Superintendencia de Servicios Públicos Domiciliarios o la Superintendencia de Industria y Comercio puedan ejercer sus funciones de vigilancia.
El CND también deberá evaluar si en el mecanismo se incluyen plantas no despachadas centralmente y de qué forma podrá realizar ajustes en la operación.
La metodología diseñada debe incluir todo lo enunciado en este literal y tener en cuenta la Resolución CREG 080 de 2019, o aquellas que la modifiquen o sustituyan y debe ser enviada a la CREG para su publicación mediante Circular.
c) Supervisión remota de la operación.
Las plantas objeto de esta resolución, sean o no despachadas centralmente, deben contar con supervisión, la cual se deberá realizar desde el Centro de Control del operador de red, por medio de unidades terminales remotas (RTU) o equivalentes, o utilizando los protocolos de comunicación y supervisión que sean definidos por el CND para la aplicación del presente numeral y aprobados mediante Acuerdo C.N.O.
Igualmente, para plantas objeto de esta resolución, sean o no despachadas centralmente y por condiciones de seguridad y confiabilidad del sistema, también se podrá tener medición sincrofasorial o equivalentes, lo cual se podrá acordar con el agente que represente la planta. El CND debe presentar ante el C.N.O para aprobación mediante Acuerdo, los criterios de aplicación, requisitos técnicos y de comunicación para establecer medición sincrofasorial.
Para el caso de las plantas objeto de esta resolución y que sean despachadas centralmente, podrán contar con supervisión desde el CND, en caso de que este lo solicite, de manera directa por medio de sus unidades terminales remotas (RTU) o equivalente, de manera indirecta utilizando los protocolos de comunicación entre centros de control vigentes al momento de la integración o utilizando protocolos de comunicación sobre una red pública de datos que sean soportados por el centro de supervisión y control del CND, que hayan sido avalados previamente por el CND y que garanticen los criterios de seguridad y confiabilidad requeridos para la operación del sistema interconectado nacional.
Es obligatoria la transmisión de datos al Centro de Control del operador de red de la siguiente información cada 4 segundos o menos:
i. Valor de potencia activa y reactiva de las plantas generadoras;
ii. Tensión línea – línea y corriente de fase
iii. Estado de la función de control de frecuencia
iv. Valor consigna de control de tensión, factor de potencia o potencia reactiva (en caso aplique conforme el Acuerdo del CNO por nivel de tensión).
v. Modo del control de tensión
vi. Modo del control de frecuencia
También se deberá enviar una señal de estado de conexión de la planta: conectado a red y operando o no conectado a red.
Para las anteriores señales debe tenerse en cuenta lo siguiente:
a) Cuando la planta es despachada centralmente y en caso de que el CND no disponga de las mismas, las anteriores medidas deberán ser enviadas al Centro de Control del operador de red y este deberá enviarlas al CND discriminadas por generador. Para la forma y tiempo de envío del Centro de Control del operador de red al CND, este último determinará dichos requisitos. En caso de que el CND lo solicite, también se deberán enviar los anteriores estados y variables eléctricas para las plantas no despachadas centralmente.
b) Los datos telemedidos de tiempo real se deben enviar al Centro de Control del operador de red, con una periodicidad menor o igual a 4 segundos y con las unidades y cifras decimales definidas por el C.N.O. El agente debe asegurar la correcta sincronización de la estampa de tiempo de las señales enviadas al Centro de Control del operador de red; el error máximo permitido no podrá exceder +/- 200 ms.
En el caso de que los datos telemedidos sean enviados directamente al CND, aplica de igual forma lo definido anteriormente.
El CND podrá solicitar al Centro de Control del operador de red la información que requiera para propósitos de operación, sin sobrepasar lo establecido en esta resolución y lo establecido en la Resolución CREG 080 de 1999 o aquellas que la modifiquen o sustituyan.
Toda la información de supervisión definida aquí es diferente a los solicitados en el Código de Medida, Resolución CREG 038 de 2014.
El C.N.O. deberá definir mediante Acuerdo:
a. La metodología para el cálculo de la calidad, confiabilidad y disponibilidad para las medidas de las variables análogas y digitales de acuerdo con estándares internacionales. El Acuerdo debe considerar que las variables análogas son: Potencia Activa, Potencia Reactiva, Corriente y Voltaje.
b. Unidades y cifras decimales para los datos telemedidos de tiempo real.
11.3.2. MONITOREO DE VARIABLES METEOROLÓGICAS <Artículo adicionado por la Resolución 148 de 2021 - Anexo -. El nuevo texto es el siguiente:>
Para el caso de las plantas objeto de este capítulo, estas deben contar con sistemas de monitoreo de las variables meteorológicas en el sitio de la planta, con capacidad de almacenamiento de estos datos y tener la capacidad de reporte al CND.
El(Los) sistema(s) de medida, el almacenamiento, la resolución de las medidas y de reporte, todos con sus respectivos requisitos, se deben establecer mediante Acuerdo que defina el C.N.O. para tal fin.
En todo caso, para las plantas despachadas centralmente, las medidas y el reporte de las variables meteorológicas al CND deben tener al menos frecuencia diezminutal o una de mayor frecuencia, es decir, cincominutal, dosminutal y así sucesivamente; de acuerdo con el protocolo del C.N.O.
Las variables meteorológicas mínimas que se deben monitorear en las plantas eólicas son las siguientes:
| Variable | Unidad |
| Velocidad del viento | Metros por segundo [m/s] |
| Dirección del viento | Grados relativos al norte geográfico [grados] |
| Temperatura ambiente | Grados centígrados [°C] |
| Humedad relativa | Porcentaje [%] |
| Presión atmosférica | Hectopascales [hPa] |
Las variables meteorológicas mínimas que se deben monitorear en las plantas SFV son las siguientes:
| Variable | Unidad |
| Irradiación en el plano del panel fotovoltaico | Vatios por metro cuadrado [W/m2] |
| Temperatura posterior del panel fotovoltaico | Grados centígrados [°C] |
| Irradiación global horizontal | Vatios por metro cuadrado [W/m2] |
| Temperatura ambiente | Grados centígrados [°C] |
El CND hará seguimiento a la calidad y disponibilidad de los datos telemedidos que reciba de las plantas objeto de este capítulo. En caso de detectarse errores o problemas con las señales, el agente que representa la planta tiene la obligación de realizar las correcciones o los ajustes que se requieran, para garantizar la confiabilidad de la información.
El C.N.O. deberá definir mediante Acuerdo el protocolo de verificación de calidad, confiabilidad de la medición y el reporte al CND de las variables meteorológicas de que trata el presente numeral.
Al siguiente día de la operación, el CND pondrá a disposición del público la información de los datos meteorológicos de las plantas de generación de qué trata este numeral y que son reportados por las plantas al CND, con los nombres de las plantas de generación. La información publicada por el CND será el promedio diario de la variable meteorológica.
La información relacionada con el recurso solar o eólico será publicada en las mismas condiciones previstas para las plantas de generación hidráulicas, es decir, se realizará una publicación ex-post del promedio diario.
Toda la información que reporten los agentes al CND se realizará por medio electrónico y directamente al sistema de información correspondiente.
11.3.3. PROTECCIONES Y COORDINACIÓN DE PROTECCIONES <Artículo adicionado por la Resolución 148 de 2021 - Anexo -. El nuevo texto es el siguiente:>
Es responsabilidad del agente representante del recurso de generación garantizar que todos los equipos de su instalación se encuentren correctamente protegidos para satisfacer los requerimientos de calidad, confiabilidad y seguridad durante la operación del sistema eléctrico de potencia.
Las protecciones que deben cumplir las plantas objeto de este capítulo se deben definir mediante Acuerdo del C.N.O, el cual deberá tener en cuenta y evaluar la necesidad de como mínimo, entre otros, lo siguiente:
a) Esquemas de protección principal y de respaldo tanto para proteger la instalación del generador, sus equipos de conexión como para proteger su Punto de Conexión con el SDL.
b) Requisitos de los equipos de corte para sistemas de generación con base en reconectadores o interruptores de potencia.
c) Requisitos del sistema de detección de tensión en el punto de conexión a fin de no permitir el cierre del interruptor o reconectador de interconexión cuando el circuito del OR se encuentre desenergizado, con el fin de no energizar zonas fuera de servicio y no generar riesgos de daños o accidentes.
d) Definir los requisitos de protección anti-isla y el tipo de la misma.
e) Para los sistemas de generación con bajos aportes de corrientes de cortocircuito, definir los esquemas de protecciones basados en tensión, combinación tensión/corriente o impedancia para detectar y despejar fallas en la red a la cual se conectan.
f) Otros que el C.N.O en su evaluación encuentre convenientes.
11.3.4. MODELOS DE PLANTA <Artículo adicionado por la Resolución 148 de 2021 - Anexo -. El nuevo texto es el siguiente:>
Será responsabilidad de los agentes representantes entregar al CND, seis (6) meses antes de su entrada en operación, los modelos preliminares de la planta de generación y sus controles asociados para los estudios de simulación RMS en la herramienta utilizada por el CND. Estos modelos deben incluir los requisitos técnicos definidos en el presente capítulo, para el control de frecuencia y potencia activa y el control de tensión, así como permitir el ajuste de los parámetros que definen estas funcionalidades. Se debe tener en cuenta el Acuerdo del C.N.O sobre el tipo de control de tensión que se aplique.
Así mismo, en los treinta (30) días hábiles siguientes a la entrada en operación al SIN del proyecto, los agentes que representan las plantas de generación deben entregar los modelos de simulación RMS detallados en la herramienta de simulación que utiliza el CND, los cuales deben ser validados y parametrizables de acuerdo con los requerimientos técnicos definidos en el presente capitulo y conforme a la metodología de validación definida mediante Acuerdo por el C.N.O.
Los modelos se deben actualizar en los casos en que, en el análisis posoperativo realizado por el CND, se detecte que el modelo no esté de acuerdo con los criterios de calidad definidos por el C.N.O. Para dicha actualización se tendrá un plazo de seis (6) meses.
Una vez definidos los requisitos de los modelos de planta de qué trata este numeral, el C.N.O deberá definir, mediante Acuerdo, la metodología para la validación de los modelos.
Así mismo, luego de la expedición del Acuerdo para el control de tensión, el CND deberá publicar en su página web los requisitos que debe cumplir el modelo de planta.
Los modelos de planta también deberán ser entregados a los OR y los OR deberán entregar al CND los modelos referenciados al nodo más cercano asociado al lado de baja del transformador de conexión al STR o STN u otra forma de referenciación indicada por el CND, pero siempre teniendo en cuenta la metodología de modelación de red de qué trata el numeral 11.3.1 literal b) de este Capítulo. Para lo anterior, se debe considerar el valor mínimo y máximo de la impedancia de conexión equivalente de los generadores.
11.3.5. RAMPAS OPERATIVAS PARA ARRANQUE Y PARADA <Artículo adicionado por la Resolución 148 de 2021 - Anexo -. El nuevo texto es el siguiente:>
Las plantas objeto de este capítulo deben tener una rampa operativa para arranque y parada ajustable, de acuerdo con los siguientes lineamientos:
a) Este requerimiento de arranque y parada aplica siempre que esté disponible el recurso primario de generación.
b) El agente debe reportar la rampa máxima de la planta.
c) Este parámetro debe poder ajustarse dependiendo de las condiciones del sistema, considerando la rampa máxima reportada.
Inicialmente los representantes de las plantas deberán entregar la rampa especificada por el fabricante.
El CND definirá y publicará en su página web el valor de rampa a utilizar y a partir de qué momento se deberá exigir de acuerdo con algún criterio, como, por ejemplo, el grado de penetración de estas plantas en el SDL. También deberá informar, de los cambios que surjan, a los agentes que representan las plantas objeto de este capítulo y al Centro de Control del operador de red.
El CND podrá revaluar los valores considerados de rampas, de acuerdo con las condiciones operativas del SIN y las rampas máximas reportadas.
11.3.6. VELOCIDAD DE TOMA DE CARGA <Artículo adicionado por la Resolución 148 de 2021 - Anexo -. El nuevo texto es el siguiente:>
Los representantes de las plantas objeto de este capítulo deberán reportar al CND, con la entrega de los modelos, una curva donde se relacione la velocidad de toma de carga en función de la potencia de salida con la siguiente información: i) nombre de la planta; ii) tipo de planta; iii) empresa; iv) responsable de la información y v) fecha de envío.
El C.N.O en el mismo acuerdo donde define la metodología de validación de Modelos definirá las características y parámetros de la curva de que trata este numeral.
11.3.7. PRUEBAS <Artículo adicionado por la Resolución 148 de 2021 - Anexo -. El nuevo texto es el siguiente:>
Antes de entrar en operación en el sistema, las plantas objeto de este capítulo, deben realizar y remitir los resultados de las siguientes pruebas al OR, de acuerdo con los términos y plazos establecidos mediante Acuerdo C.N.O:
a) Pruebas del control de tensión que fue definido mediante Acuerdo por nivel de tensión y/o capacidad.
b) Pruebas de rampa operativa de arranque y parada. El C.N.O deberá definir mediante Acuerdo el contenido y el proceso de aceptación de certificados de laboratorio o fábrica de esta prueba. En todo caso, dichos certificados deberán estar avalados por entidades a nivel nacional o internacional, según el caso.
c) Pruebas de las características del control de potencia activa/frecuencia.
d) Pruebas a las características de operación ante depresiones de tensión y sobretensiones. El C.N.O definirá mediante Acuerdo el contenido y el proceso de aceptación de certificados de laboratorio o fábrica de esta prueba. En todo caso, dichos certificados deberán estar avalados por entidades a nivel nacional o internacional, según el caso.
e) Solo en caso de que se requiera la funcionalidad, pruebas a los requerimientos de priorización en la inyección rápida de corriente reactiva definido mediante Acuerdo por nivel de tensión y/o capacidad. El C.N.O definirá mediante Acuerdo el contenido y el proceso de aceptación de certificados de laboratorio o fábrica de esta prueba. En todo caso, dichos certificados deberán estar avalados por entidades a nivel nacional o internacional, según el caso.
f) Pruebas de cumplimiento de los requisitos en las protecciones
g) Pruebas de los sistemas de supervisión de variables eléctricas y meteorológicas.
Lo anterior, sin perjuicio de las pruebas de puesta en servicio propias que debe realizar una planta de generación para entrar en operación, las pruebas requeridas por el OR que entrega el punto de conexión y las demás pruebas establecidas en la regulación vigente.
La auditoría de las pruebas deberá ser un concepto especializado de una persona natural o jurídica, elegida por selección objetiva por el agente de una lista definida mediante Acuerdo del C.N.O. El agente representante de la planta es el responsable de contratar la auditoria para las pruebas.
El C.N.O deberá definir el procedimiento de las pruebas de que trata este numeral.
11.3.8. COORDINACIÓN DE MANTENIMIENTOS DE LAS PLANTAS OBJETO DE ESTE CAPÍTULO <Artículo adicionado por la Resolución 148 de 2021 - Anexo -. El nuevo texto es el siguiente:>
Las empresas propietarias u operadoras de plantas objeto de este capítulo y que sean despachadas centralmente, aplicaran las reglas para programación de mantenimientos de que trata el numeral 2.1.1.3 del Anexo Código de Operación de la Resolución CREG 025 de 1995, o todas aquellas que la modifiquen o sustituyan.
Las empresas propietarias u operadoras de plantas objeto de este capítulo y que sean no despachadas centralmente, deberán informar mediante correo electrónico al Centro de Control del operador de red respectivo de su programa de mantenimiento con una periodicidad de cada tres meses. En todo caso, el programa de mantenimientos es susceptible de cambio en cualquier momento y con aviso al Centro de Control del operador de red.
Cuando una planta culmine su programa de mantenimiento y se disponga a realizar la reconexión a red, debe informar mediante correo electrónico al Centro de Control del operador de red de dicha energización.
El Centro de Control del operador de red debe informar a las empresas propietarias u operadoras de plantas que se encuentren en su red de consignas programadas y que puedan impactar la operación de las mismas. Esto se debe realizar cada vez que el Centro de Control del operador de red lo encuentre conveniente y mediante correo electrónico.
11.4. INFORMACIÓN Y PROCEDIMIENTO DE PUESTA EN SERVICIO DE UNA PLANTA EN EL SISTEMA QUE ES OBJETO DE ESTE CAPÍTULO. <Artículo adicionado por la Resolución 148 de 2021 - Anexo -. El nuevo texto es el siguiente:>
El C.N.O teniendo en cuenta la regulación vigente, establecerá mediante Acuerdo la información a entregar y procedimiento (protocolo de pruebas e interacción con el Centro de Control del operador de red) que debe cumplir una planta objeto de este capítulo para su conexión a la red y estar lista para iniciar su operación. Esta etapa es posterior a la construcción de la planta.
11.5. CAPACIDAD DE OPERACIÓN EN ISLA <Artículo adicionado por la Resolución 148 de 2021 - Anexo -. El nuevo texto es el siguiente:>
Ante un evento que afecte el STN, STR o parte relevante del SDL y por solicitud del CND, el Centro de Control del operador de red podrá coordinar con el CND la operación temporal en isla de un generador o grupo de generadores que se encuentran en un área de un sistema o subsistema y que puedan atender la demanda asociada.
La operación en isla es voluntaria y para poder realizarlo se deben cumplir con los requisitos técnicos que se especifiquen en el Acuerdo C.N.O.
En este caso, el esquema de coordinación y operación en isla del generador o grupo de generadores será definido mediante Acuerdo del C.N.O. dentro de los ciento veinte (120) días calendario siguientes a la fecha de entrada en vigencia de la presente resolución.
En regulación aparte se definirán los aspectos comerciales de remuneración de energía correspondiente.
11.6. PRONÓSTICOS DE GENERACIÓN <Artículo adicionado por la Resolución 148 de 2021 - Anexo -. El nuevo texto es el siguiente:>
Los pronósticos de generación indicativos a cargo del CND para las plantas objeto de este capítulo se harán como se presenta en este numeral y serán usados en los estudios energéticos y eléctricos de corto plazo, coordinación de mantenimientos y soporte para determinar el balance carga/generación en tiempo real. Esta información no será publicada.
11.6.1. PRONÓSTICOS DE GENERACIÓN DE CORTO PLAZO <Artículo adicionado por la Resolución 148 de 2021 - Anexo -. El nuevo texto es el siguiente:>
El CND elaborará los pronósticos indicativos de producción de las plantas, con resolución horaria para la semana (lunes a domingo) siguiente a la de operación.
11.6.2. PRONÓSTICOS DE GENERACIÓN MUY CORTO PLAZO. <Artículo adicionado por la Resolución 148 de 2021 - Anexo -. El nuevo texto es el siguiente:>
a) El CND realizará pronósticos de generación, para las plantas a nivel horario y para las siguientes 40 horas, en el día de la operación.
b) El CND realizará pronósticos de generación para las plantas en una ventana móvil de 5 minutos para los siguientes 60 minutos durante el día de la operación.
11.7. RESERVA DE INFORMACIÓN <Artículo adicionado por la Resolución 148 de 2021 - Anexo -. El nuevo texto es el siguiente:>
El CND y el Centro de Control del operador de red deberán adoptar las medidas idóneas y necesarias para asegurar la reserva de la información que le sean suministrados por los agentes en cumplimiento de la regulación.
El CND y el Centro de Control del operador de red debe garantizar que la información entregada por los agentes solo será utilizada para los fines previstos en la ley y la regulación. El uso de esta información con otros propósitos se entenderá como incumplimiento a las mismas.
12. REQUISITOS TÉCNICOS DE GENERADORES Y AUTOGENERADORES A GRAN ESCALA QUE FUNCIONAN A PARTIR DE TECNOLOGÍA SOLAR FOTOVOLTAICA (SFV) O EÓLICA, Y QUE ESTÁN CONECTADOS AL SDL, CON CAPACIDAD EFECTIVA NETA O POTENCIA MÁXIMA DECLARADA IGUAL O MAYOR A 1 MW Y MENOR A 5 MW. <Numeral adicionado por el artículo 1 de la Resolución 101-11 de 2022. El nuevo texto es el siguiente:>
Los requisitos técnicos de este capítulo aplican en su totalidad para generadores que usen tecnología SFV y eólica, conectados al SDL, con capacidad efectiva neta igual o mayor a 1 MW y menor a 5 MW.
Solo en aspectos en que se indique, aplicará a los autogeneradores a gran escala conectados al SDL que usen tecnología SFV y eólica que tengan una potencia máxima declarada mayor a 1 MW y menor a 5 MW, conforme a lo previsto en la Resolución CREG 024 de 2015 o 174 de 2021, o todas aquellas que la modifiquen, adicionen o sustituyan.
Aquellos autogeneradores a gran escala que aplican el procedimiento de conexión y requisitos técnicos de que trata la Resolución CREG 174 de 2021, o aquellas que la modifiquen, adicionen o sustituyan, solo deben presentar al momento de entrada en operación, adicional a las pruebas solicitadas en dicha resolución, las pruebas de los sistemas de supervisión y el sistema de sincronización con el sistema, y no se podrá solicitar por parte del operador de red información sobre estos aspectos en el transcurso del proceso de solicitud o tramite de conexión de que trata la misma resolución. Se tendrán en cuenta las reglas de transición establecidas en el artículo 11 de la resolución que adiciona el capítulo Transitorio número 12 al Anexo General del Reglamento de Distribución para el momento en que deben realizarse las pruebas de los sistemas de supervisión y sistema de sincronización a red.
A continuación, se definen los requisitos técnicos y se especifica en cada caso si aplica a generador o autogenerador:
12.1 REQUISITOS TÉCNICOS GENERALES DE GENERADORES Y AUTOGENERADORES OBJETO DE ESTE CAPÍTULO. <Numeral adicionado por el artículo 1 de la Resolución 101-11 de 2022. El nuevo texto es el siguiente:>
Para la conexión de generadores y autogeneradores objeto de este capítulo se deberán tener en cuenta los siguientes aspectos:
a) Topologías de conexión.
El C.N.O. deberá definir, mediante Acuerdo, las topologías de conexión indicativas que debe tener en cuenta el interesado. El interesado podrá proponer esquemas alternos a dichas topologías indicativas, pero deberá cumplir con los requisitos técnicos especificados en el presente capítulo.
b) Coordinación de protecciones y puesta a tierra.
Las especificaciones de puesta a tierra deben permitir una adecuada coordinación de protecciones de la planta con el sistema de distribución, de acuerdo con lo que defina el C.N.O., y cumplir los requerimientos técnicos del RETIE.
Los autogeneradores a gran escala del ámbito de esta resolución deberán cumplir el Acuerdo de protecciones que establezca el C.N.O. y que se le encargó al mismo por medio de la Resolución CREG 174 de 2021, el cual no está considerado dentro de la regla de transición de que trata el artículo 11 de la resolución que adiciona el capítulo Transitorio número 12 al Anexo General del Reglamento de Distribución.
c) El equipo de registro de eventos.
Las características técnicas y forma de acceso a información del equipo de registro de eventos serán definidos por el C.N.O. en el Acuerdo de protecciones.
d) Características técnicas de sincronización con el SDL.
Se debe contar con sistemas y equipos de sincronización para lograr una correcta sincronización del generador o autogenerador con el sistema a conectarse. El C.N.O. definirá las características correspondientes de sincronización.
12.2 SERVICIOS QUE LOS GENERADORES OBJETO DE ESTE CAPÍTULO DEBEN PROVEER. <Numeral adicionado por el artículo 1 de la Resolución 101-11 de 2022. El nuevo texto es el siguiente:>
Los generadores con capacidad efectiva neta igual o mayor a 1 MW y menor a 5 MW deben proveer los servicios definidos en este numeral:
12.2.1 REGULACIÓN DE FRECUENCIA MEDIANTE UN CONTROL DE POTENCIA ACTIVA/FRECUENCIA. <Numeral adicionado por el artículo 1 de la Resolución 101-11 de 2022. El nuevo texto es el siguiente:>
12.2.1.1 Características Generales
Los generadores objeto de este capítulo:
a) Deben operar normalmente para un rango de frecuencia entre 57.5 Hz y 63 Hz.
b) Deben contar con un control de potencia activa/frecuencia que incluya una banda muerta y un estatismo permanente ajustable, permitiendo su participación en la regulación primaria de frecuencia del sistema para eventos de sobrefrecuencia.
c) Para ser declaradas en operación en el sistema, deben realizar pruebas de respuesta primaria ante eventos de sobrefrecuencia.
d) Para la operación, la respuesta ante eventos de sobrefrecuencia deberá estar deshabilitada. El CND determinará el momento en que se debe activar, de acuerdo con análisis del sistema y el grado de penetración de este tipo de generación.
12.2.1.2 Características del Control de la planta
El control de potencia activa/frecuencia debe cumplir con los siguientes requerimientos:
a) Estabilidad: las señales de salida del control deben ser amortiguadas en el tiempo ante señales de entrada escalón, para todos los modos y condiciones operativas.
b) El estatismo debe ser configurable en un rango entre el 2 y el 6%.
c) La banda muerta debe ser configurable en un rango entre 0 y 120 mHz. Inicialmente se establece una banda muerta de 30 mHz.
d) El ajuste de la función de control de frecuencia debe ser reportado por el agente antes de las pruebas de puesta en servicio.
e) Los parámetros de ganancia y constantes de tiempo deben ser ajustables para cumplir con criterios de estabilidad y velocidad de respuesta del SIN, teniendo en cuenta las características técnicas de las tecnologías disponibles. El CND definirá mediante estudio, análisis y seguimiento posoperativo, los parámetros de ganancia y constantes de tiempo para cumplir con criterios de estabilidad, velocidad de respuesta del SIN, y los deberá informar a los agentes que representan los generadores objeto de este capítulo.
f) El CND, dentro de los rangos establecidos, definirá el valor de estatismo y banda muerta de acuerdo con las necesidades del SIN. La función de control de frecuencia debe ser reajustada a solicitud del CND por criterios operativos. El CND deberá informar a los agentes que representan los generadores objeto de este capítulo de dichos cambios.
g) Cumplir con los siguientes parámetros: tiempo de respuesta inicial máximo (Tr) de 2 segundos, y tiempo de establecimiento máximo (Te) de 15 segundos.
12.2.2 CONTROL DE TENSIÓN PARA GENERADORES OBJETO DE ESTE CAPÍTULO. <Numeral adicionado por el artículo 1 de la Resolución 101-11 de 2022. El nuevo texto es el siguiente:>
Los generadores objeto de este capítulo deben poder aportar al control de la tensión en el rango operativo normal de su punto de conexión, y garantizando un rango operativo mínimo y máximo de factor de potencia.
El C.N.O. debe identificar el rango operativo mínimo y máximo de factor de potencia y evaluar las características del control de tensión más adecuado conforme el nivel de tensión 1, 2 o 3, y tener en cuenta los siguientes lineamientos mínimos:
a) Los parámetros del control de tensión deberán ser configurables.
b) El control de tensión deberá tener el modo de control factor de potencia.
c) No se deberá solicitar envío de consignas remotas para el control de tensión. No obstante, se puede acordar entre el representante del generador y operador de red.
d) El control de tensión deberá disponer de un estatismo (V/Q) configurable.
e) El control que se aplique debe ajustarse de tal manera que sea estable.
f) El C.N.O. debe definir la configuración inicial del control por nivel de tensión, y deberá especificar el proceso para el cambio en la configuración del rango del factor de potencia. Para lo anterior, el C.N.O. debe definir la forma y el tiempo de anticipación en que el Centro de Control del operador de red le informa al representante de la planta de generación del cambio requerido para operar en un nuevo rango de factor de potencia.
g) En el Acuerdo no se podrán solicitar curvas de operación fijas en el punto de conexión con la red, por ejemplo, de la potencia reactiva en función de la tensión u otras.
El C.N.O deberá definir mediante Acuerdo los requisitos anteriores para los generadores objeto de este capítulo, y diferenciados por nivel de tensión.
12.2.3 CARACTERÍSTICA DE DEPRESIONES DE TENSIÓN Y SOBRETENSIONES PARA GENERADORES OBJETO DE ESTE CAPÍTULO. <Numeral adicionado por el artículo 1 de la Resolución 101-11 de 2022. El nuevo texto es el siguiente:>
Cuando se presenten fallas simétricas o asimétricas, los generadores objeto de este capítulo deben poder operar dentro de los límites establecidos por las curvas de comportamiento de depresiones de tensión (LVRT, por sus siglas en ingles) y sobretensiones (HVRT, por sus siglas en ingles) que serán definidas mediante Acuerdo del C.N.O. Las curvas deben ser definidas por nivel de tensión y mediante análisis del sistema.
12.3 REQUISITOS TÉCNICOS GENERALES DE LA OPERACIÓN DE LOS GENERADORES Y AUTOGENERADORES OBJETO DE ESTE CAPÍTULO. <Numeral adicionado por el artículo 1 de la Resolución 101-11 de 2022. El nuevo texto es el siguiente:>
12.3.1 SUPERVISIÓN Y COORDINACIÓN DE LA OPERACIÓN. <Numeral adicionado por el artículo 1 de la Resolución 101-11 de 2022. El nuevo texto es el siguiente:>
La supervisión y coordinación de la operación serán como se establece en este numeral.
a) Operación en tiempo real: coordinación de la operación mediante consignas.
Se tendrán las siguientes reglas:
Para generadores y autogeneradores:
1. El Centro de Control del operador de red podrá enviar consignas de potencia activa a los generadores y autogeneradores (modo local) objeto de este capítulo ante eventos de emergencia.
Las consignas que se definen en este numeral solo pueden ser enviadas ante condiciones de emergencia.
El CND debe definir el procedimiento de envío de consignas ante eventos de emergencia, casos en que aplica y su periodicidad. Dicho reglamento debe ser aprobado mediante Acuerdo C.N.O.
Para lo anterior, luego de que el CND presente la propuesta ante el C.N.O., este deberá definir mediante Acuerdo el reglamento ante consignas de emergencia.
Cuando existan consignas de emergencia por parte del Centro de Control del operador de red, este deberá informar al CND sobre la asignación de las mismas y su objeto, donde se identifique la causa. La forma como el Centro de Control del operador de red le informa al CND de dicha situación, será definida por el CND.
El CND y el Centro de Control del operador de red deberán llevar un registro histórico con la información anterior, el cual deberá estar disponible para que la Superintendencia de Servicios Públicos Domiciliarios o la Superintendencia de Industria y Comercio puedan ejercer sus funciones de vigilancia.
Para generadores:
2. En operación normal, el Centro de Control del operador de red deberá seguir el procedimiento que se defina en el Acuerdo de que trata el numeral 12.2.2 del presente anexo en caso de requerirse ajustes al control de tensión para la modificación del rango de factor de potencia en el cual la planta se encuentre operando. Dichos ajustes no son en tiempo real y son solicitados con un periodo de anticipación.
La coordinación del control de tensión entre el operador de red y el generador no puede afectar el punto de operación de potencia activa del (de los) generador(es).
Los operadores de las plantas serán responsables del ajuste del control de tensión.
b) Supervisión remota de generadores y autogeneradores
Los generadores y autogeneradores objeto de este capítulo deben contar con supervisión que les permitan reportar los datos y señales especificados en este numeral. La supervisión se deberá realizar desde el Centro de Control del operador de red.
La supervisión se podrá realizar con las siguientes opciones:
i) Unidades terminales remotas (RTU) o equivalentes;
ii) Utilizando los protocolos de comunicación y supervisión que sean definidos por el CND para la aplicación del presente numeral y aprobados mediante Acuerdo C.N.O;
iii) Por medio de medición sincrofasorial, lo cual se podrá acordar con el agente que represente la planta y únicamente a solicitud de este último. Para esto, el CND debe presentar ante el C.N.O., para aprobación mediante Acuerdo, los criterios de aplicación, requisitos técnicos y de comunicación para establecer medición sincrofasorial;
iv) Mediante lo que se conoce como Dispositivos Electrónicos Inteligentes o por sus siglas en ingles IED - Intelligent Electronic Device, que permitan realizar la supervisión requerida. El C.N.O debe definir los requerimientos necesarios.
Para todo lo anterior, el C.N.O. debe definir los Acuerdos correspondientes y tener en cuenta opciones de comunicación acordadas con el operador de red que cumplan los requisitos de confiabilidad.
Es obligatoria la transmisión de datos al Centro de Control del operador de red de la siguiente información:
i. Valor de potencia activa y reactiva;
ii. Tensión línea – línea y corriente de fase
iii. Señal de estado de la función de control de frecuencia
iv. Señal de estado de conexión de la planta: conectado a red y operando o no conectado a red
La periodicidad del envío de los datos anteriores se puede acordar entre el operador de red y el agente generador o usuario autogenerador, sin que la periodicidad establecida sea superior a 5 minutos, es decir, se deben enviar cada 5 minutos o en una mayor periodicidad: cada 4 minutos, cada 3 minutos o en segundos. Además, para las señales de Estado de función de control de frecuencia y Estado de conexión de planta pueden ser definidos en el Acuerdo como señales en que se indique el momento en que la señal cambie de estado, sin necesidad de tener un reporte periódico.
El CND podrá solicitar al Centro de Control del operador de red la anterior información para propósitos de operación.
Para las anteriores medidas se debe tener en cuenta que los datos telemedidos se deben enviar al Centro de Control del operador de red conforme el Acuerdo definido por el C.N.O.
El C.N.O también deberá tener en cuenta en el Acuerdo:
a. La metodología para el cálculo de la calidad, confiabilidad y disponibilidad para las medidas de las variables análogas y digitales de acuerdo con estándares internacionales. El Acuerdo debe considerar que las variables análogas son: Potencia Activa, Potencia Reactiva, Corriente y Voltaje.
b. Unidades y cifras decimales para los datos telemedidos.
c. Sincronización de la estampa de tiempo de las señales y el error máximo permitido.
Toda la información de supervisión definida aquí es diferente a los solicitados en el Código de Medida, Resolución CREG 038 de 2014.
12.3.2 PROTECCIONES Y COORDINACIÓN DE PROTECCIONES PARA GENERADORES OBJETO DE ESTE CAPÍTULO. <Numeral adicionado por el artículo 1 de la Resolución 101-11 de 2022. El nuevo texto es el siguiente:>
Es responsabilidad del agente representante del generador garantizar que todos los equipos de su instalación se encuentren correctamente protegidos para satisfacer los requerimientos de calidad, confiabilidad y seguridad durante la operación del sistema eléctrico de potencia.
Las protecciones que deben cumplir las plantas de generación objeto de este capítulo se deben definir mediante Acuerdo del C.N.O.
12.3.3 MODELOS DE PLANTA PARA GENERADORES OBJETO DE ESTE CAPÍTULO. <Numeral adicionado por el artículo 1 de la Resolución 101-11 de 2022. El nuevo texto es el siguiente:>
Será responsabilidad de los agentes representantes de generadores objeto de este capítulo entregar al Centro de Control del operador de red, antes de su entrada en operación, los modelos de la planta de generación a partir de la información entregada por el fabricante.
Los modelos de planta del generador deberán ser entregados por los operadores de red al CND referenciados al nodo más cercano asociado al lado de baja del transformador de conexión al STR o STN, u otra forma de referenciación indicada por el CND. Para lo anterior, se debe considerar el valor mínimo y máximo de la impedancia de conexión equivalente de los generadores. Así mismo, el CND podrá definir, si lo considera necesario, e incluyendo en la discusión a los Operadores de Red, el modelo de red del SDL a considerar en su análisis energético y eléctrico, teniendo en cuenta la generación de que trata este capítulo, y si las redes son radiales, enmalladas o de otro tipo.
El CND deberá publicar en su página web una guía para la construcción y presentación de los modelos de planta teniendo en cuenta los requisitos establecidos en este capítulo. La guía deberá incluir algún procedimiento de validación y ajuste del modelo luego de la entrada en operación del generador, y debe ser aprobada mediante Acuerdo C.N.O.
12.3.4 RAMPAS OPERATIVAS PARA ARRANQUE Y PARADA PARA GENERADORES OBJETO DE ESTE CAPÍTULO. <Numeral adicionado por el artículo 1 de la Resolución 101-11 de 2022. El nuevo texto es el siguiente:>
Los generadores objeto de este capítulo deben tener una rampa operativa para arranque y parada ajustable, de acuerdo con los siguientes lineamientos:
a) Este requerimiento de arranque y parada aplica siempre que esté disponible el recurso primario de generación.
b) El agente debe reportar la rampa máxima de la planta.
c) Este parámetro debe poder ajustarse dependiendo de las condiciones del sistema, considerando la rampa máxima reportada.
Inicialmente los representantes de las plantas de generación deberán entregar la rampa especificada por el fabricante.
El CND definirá y publicará en su página web el valor de rampa a utilizar y a partir de qué momento se deberá exigir de acuerdo con algún criterio, como, por ejemplo, el grado de penetración de estas plantas en el SDL. También deberá informar, de los cambios que surjan, a los agentes que representan los generadores objeto de este capítulo y al Centro de Control del operador de red.
El CND podrá revaluar los valores considerados de rampas, de acuerdo con las condiciones operativas del SIN y las rampas máximas reportadas.
12.3.5 PRUEBAS PARA GENERADORES Y AUTOGENERADORES OBJETO DE ESTE CAPÍTULO. <Numeral adicionado por el artículo 1 de la Resolución 101-11 de 2022. El nuevo texto es el siguiente:>
Antes de entrar en operación en el sistema, los generadores y autogeneradores objeto de este capítulo, deben realizar y remitir los resultados de las siguientes pruebas al operador de red, de acuerdo con los términos y plazos establecidos mediante Acuerdo C.N.O así:
a. Para generadores:
i. Pruebas del control de tensión que fue definido mediante Acuerdo por nivel de tensión.
ii. Pruebas de rampa operativa de entrada y salida. El C.N.O. deberá definir mediante Acuerdo el contenido y el proceso de aceptación de certificados de laboratorio o fábrica de esta prueba. En todo caso, dichos certificados deberán estar avalados por entidades a nivel nacional o internacional, según el caso.
iii. Pruebas de las características del control de potencia activa/frecuencia.
iv. Pruebas a las características de operación ante depresiones de tensión y sobretensiones. El C.N.O. definirá mediante Acuerdo el contenido y el proceso de aceptación de certificados de laboratorio o fábrica de esta prueba. En todo caso, dichos certificados deberán estar avalados por entidades a nivel nacional o internacional, según el caso.
b. Para generadores y autogeneradores:
v. Pruebas de cumplimiento de los requisitos en las protecciones.
Para el caso de autogeneradores se aplica el Acuerdo de pruebas y protecciones indicado y encargado al C.N.O. en la Resolución CREG 174 de 2021 o aquellas que la modifiquen o sustituyan.
vi. Pruebas de los sistemas de supervisión de variables eléctricas.
vii. Pruebas al sistema de sincronización con red de que trata el literal d) numeral 12.1 del presente capitulo.
Lo anterior, sin perjuicio de las pruebas de puesta en servicio propias que debe realizar un generador o autogenerador para entrar en operación, y las pruebas requeridas por el operador de red que entrega el punto de conexión establecidas en la regulación vigente.
Para el autogenerador a gran escala que aplicó la derogada Resolución CREG 030 de 2018, o la Resolución CREG 174 de 2021 o aquellas que la modifiquen, adicionen o sustituyan, se deberán tener en cuenta únicamente las pruebas especificadas en la última citada resolución conforme el procedimiento de conexión correspondiente, e incluir las pruebas de supervisión y el sistema de sincronización con red, estas dos últimas siendo aplicadas conforme las reglas de transición establecidas en el artículo 11 de la resolución que adiciona el capítulo Transitorio número 12 al Anexo General del Reglamento de Distribución. Por tanto, los autogeneradores a gran escala deben solicitar al operador de red por medio del sistema de trámite en línea o del sistema de ventanilla única de que trata la Resolución CREG 174 de 2021, o aquellas que la modifiquen o sustituyan, las pruebas del sistema de supervisión y del sistema de sincronización con red antes de la finalización del citado periodo de transición, y teniendo en cuenta que se deberán aprobar las pruebas antes de la finalización del mismo periodo de transición.
La auditoría de las pruebas deberá ser un concepto especializado de una persona natural o jurídica, elegida por selección objetiva por el agente o usuario autogenerador de una lista definida mediante Acuerdo del C.N.O. El agente representante del generador o el usuario autogenerador es el responsable de contratar la auditoria para las pruebas.
El C.N.O. deberá definir el procedimiento de las pruebas de que trata este numeral.
12.3.6 COORDINACIÓN DE MANTENIMIENTOS DE LOS GENERADORES O AUTOGENERADORES OBJETO DE ESTE CAPÍTULO. <Numeral adicionado por el artículo 1 de la Resolución 101-11 de 2022. El nuevo texto es el siguiente:>
Las empresas propietarias u operadoras de plantas generadoras o usuarios autogeneradores objeto de este capítulo, deberán informar mediante correo electrónico al Centro de Control del operador de red respectivo de su programa de mantenimiento con una antelación de un mes. En todo caso, el programa de mantenimientos es susceptible de cambio en cualquier momento, y con aviso al Centro de Control del operador de red.
Cuando una planta de generación o un autogenerador culmine su programa de mantenimiento y se disponga a realizar la reconexión a red, debe informar mediante correo electrónico al Centro de Control del operador de red de dicha energización, y dar aviso previo de la reconexión al Centro de Control del operador por medio de llamada telefónica grabada.
El Centro de Control del operador de red debe informar a las empresas propietarias u operadoras de plantas generadoras o autogeneradores que se encuentren en su red sobre consignas programadas y que puedan impactar la operación de las mismas. Esto se debe realizar cada vez que el Centro de Control del operador de red lo encuentre conveniente y mediante correo electrónico.
12.4 INFORMACIÓN Y PROCEDIMIENTO DE PUESTA EN SERVICIO DE UN GENERADOR OBJETO DE ESTE CAPÍTULO. <Numeral adicionado por el artículo 1 de la Resolución 101-11 de 2022. El nuevo texto es el siguiente:>
El C.N.O., teniendo en cuenta la regulación vigente, establecerá mediante Acuerdo la información a entregar y el procedimiento (protocolo de pruebas e interacción con el Centro de Control del operador de red) que debe cumplir un generador objeto de este capítulo para su conexión a la red y estar listo para iniciar su operación. Esta etapa es posterior a la construcción de la planta.
12.5 RESERVA DE INFORMACIÓN. <Numeral adicionado por el artículo 1 de la Resolución 101-11 de 2022. El nuevo texto es el siguiente:>
El Centro de Control del operador de red deberá adoptar las medidas idóneas y necesarias para asegurar la reserva de la información que le sean suministrados por los agentes o usuarios autogeneradores en cumplimiento de la regulación.
El Centro de Control del operador de red debe garantizar que la información entregada por los agentes o usuarios autogeneradores solo será utilizada para los fines previstos en la ley y la regulación. El uso de esta información con otros propósitos se entenderá como incumplimiento a las mismas.
SISTEMA DE INFORMACIÓN DE LA RED DE DISTRIBUCIÓN.
1.1 INFORMACIÓN SOBRE CARACTERÍSTICAS DE LA RED.
Los OR's deben tener información que comprenda un Inventario detallado de los componentes de su red. Este Inventario debe incluir información sobre:
- Localización.
- Tipo de Generador (hidráulico, térmico).
- Tipo de Combustible.
- Propietario.
- Nivel de Tensión del Punto de Conexión.
- Capacidad Nominal.
- Capacidad Efectiva.
- Energía Firme.
- Fecha de Entrada en Servicio.
- Fecha de Pruebas.
1.1.2 SISTEMA DE TRANSMISIÓN REGIONAL.
En este caso, se tendrá información básica sobre:
1.1.2.1 LÍNEAS DE TRANSMISIÓN REGIONAL Y/O LOCAL.
- Nivel de Tensión.
- Longitud de la Línea de Transmisión Regional y/o Local.
- Subestaciones que interconecta.
- Número de Circuitos.
- Capacidad de Transporte en Operación Normal.
- Capacidad de Transporte en Emergencia.
- Diagrama Unifilar del Sistema de Transmisión Regional y/o Local.
- Tipo y Calibre de Conductores.
- Tipo de Estructura y Configuración.
- Número y Tipo de Cable de Guarda.
- Líneas con las que comparte estructuras.
- Datos Eléctricos (Resistencia, Capacitancia e Inductancia).
- Fecha de Puesta en Operación.
1.1.2.2 SUBESTACIONES DE TRANSMISIÓN REGIONAL.
- Localización.
- Tipo (Convencional o Encapsulada).
- Capacidad Total.
- Posibilidades de Ampliación.
- Niveles de Tensión.
- Configuración de Barrajes.
- Número de Unidades de Transformación.
- Descripción de Equipos de Patio.
- Descripción de Tableros de Control, Protección y Medida.
- Descripción de los Transformadores de Potencia.
- Descripción de Equipos de Compensación.
- Servicios Auxiliares (Tipo, Capacidad y Consumo).
- Equipo de Comunicación, Tipo y sus Características.
- Diagrama Unifilar de la Subestación.
- Características del Sistema de Puesta a Tierra.
- Fecha de Puesta en Operación.
1.1.2.3 SUBESTACIONES DE DISTRIBUCIÓN LOCAL.
- Localización.
- Tipo (Interior, Exterior, Encapsulada, Móvil)
- Capacidad Total.
- Posibilidades de Ampliación.
- Niveles de Tensión.
- Configuración de Barrajes.
- Número de Unidades de Transformación.
- Descripción de Equipos de Patio.
- Descripción de Tableros de Control, Protección y Medida.
- Descripción de los Transformadores de Potencia.
- Descripción de Equipos de Compensación.
- Servicios Auxiliares (Tipo, Capacidad y Consumo).
- Diagrama Unifilar de la Subestación.
- Características del Sistema de Puesta a Tierra.
- Fecha de Puesta en Operación.
1.1.2.4 LÍNEAS DE DISTRIBUCIÓN PRIMARIA Y SECUNDARIA AÉREAS.
- Nivel de Tensión.
- Longitud.
- Número de Circuitos.
- Capacidad de Transporte.
- Tipo de Estructura.
- Subestación a la cual está conectada.
- Distancia Media entre Estructuras.
- Configuración (No. Hilos, Cable de Guarda, Disposición.
- Tipo, Material y Calibres de Conductor por Tramo.
- Equipo Conectado (Localización y Características).
- Sistema de Neutro (Aterrizado, Flotante).
- Fecha de Puesta en Operación.
1.1.2.5 LÍNEAS DE DISTRIBUCIÓN PRIMARIA Y SECUNDARIA SUBTERRÁNEAS.
- Nivel de Tensión.
- Longitud.
- Número de Circuitos.
- Capacidad de Transporte.
- Subestación a la cual está conectada.
- Tipo, Material y Calibres de Cables por Tramo.
- Características de la Canalización.
- Distancia entre Cámaras.
- Fecha de Puesta en Operación.
1.2 INFORMACIÓN PARA EL PLAN DE EXPANSIÓN.
1.2.1 INFORMACIÓN PARA PROYECCIÓN DE DEMANDA.
- Composición de los Usuarios Existentes (Residencial, Comercial, Industrial).
- Plan de Desarrollo Urbano y Rural.
- Consumos Promedios de los Usuarios Existentes.
- Consumos Potenciales Identificados.
- Variables Demográficas.
- Variables Económicas.
- Pérdidas Estimadas de Energía.
- Otras, según la Metodología de Proyección.
1.2.2 INFORMACIÓN ADICIONAL PARA EL PLAN DE EXPANSIÓN.
- Indicadores de Calidad.
- Niveles de Cargabilidad de los Componentes del Sistema.
- Costos Unitarios de los Componentes del Sistema.
- Restricciones Operativas.
- Estado de la Red.
- Diagramas Unifilares.
- Otras que se consideren necesarias para un óptimo Plan de Expansión.
1.3 INFORMACIÓN SOBRE CONEXIONES DE CARGA. <Numeral subrogado por los artículos 43 y 44 de la Resolución 75 de 2021, según lo ordenado en el artículo 58 Lit. f)>
1.4 INFORMACIÓN SOBRE CONEXIONES DE GENERADORES. <Numeral subrogado por los artículos 43 y 44 de la Resolución 75 de 2021, según lo ordenado en el artículo 58 Lit. f)>
1.5 INFORMACIÓN SOBRE CALIDAD DEL SERVICIO.
Los OR's deberán tener disponible la siguiente información para: Los Comercializadores que operen en la zona de influencia del STR y/o SDL respectivo, los Usuarios conectados al STR y/o SDL respectivo, los Organismos de Control y Vigilancia y demás autoridades competentes:
a) Período de Transición:
- Codificación de Circuito.
- Fecha y hora en que se inició la interrupción.
- Número de transformadores afectados por la interrupción y capacidad instalada de los mismos.
- Fecha y hora en que se restableció el servicio.
- Causa de la interrupción.
- Número de usuarios afectados por la interrupción del servicio.
- Demanda no atendida.
- Todas las Variables Independientes de los DES, FES y Valores a Compensar.
b) Período Definitivo:
- Codificación de Circuito y Usuario.
- Fecha y hora en que se inició la interrupción.
- Número de transformadores afectados por la interrupción y capacidad instalada de los mismos.
- Fecha y hora en que se restableció el servicio.
- Causa de la interrupción.
- Número de usuarios afectados por la interrupción del servicio.
- Demanda no atendida.
- Todas las Variables Independientes de los DES, FES y Valores a Compensar.
Ministro de Minas y Energía
ORLANDO CABRALES MARTÍNEZ
Presidente
JORGE PINTO NOLLA
Director Ejecutivo
NORMAS OPERATIVAS PARA CONSIGNACIÓN DE CIRCUITOS.
La consignación es el trámite mediante el cual la operación de un Circuito se restringe según instrucciones dadas por una persona, quien se denomina consignatario. La consignación sólo tendrá vigencia durante la ejecución de una actividad o por razones de seguridad expresa y dará al consignatario exclusividad en la operación de los Circuitos a su cargo.
Se da cuando se ordena la apertura de un Circuito que estará a cargo de un sólo consignatario. La solicitud de la maniobra la realiza el consignatario. La orden de apertura del Circuito se dará desde el Centro de Control respectivo.
Si el consignatario inicial del Circuito, por cualquier motivo, tiene que ser sustituido o se presenta la consignación agregada, debe llamar por radio al centro de operaciones donde tiene la consignación identificándose plenamente e identificando al nuevo consignatario; quien a su vez confirmará el recibo de ésta.El operador del Centro de Control respectivo registrará por escrito este cambio y aceptará solicitudes emitidas por este nuevo consignatario únicamente. Todas aquellas que provengan de otras personas o del Centro de Control respectivo o del anterior consignatario serán rechazadas.
Si se están efectuando trabajos en un Circuito energizado y por emergencia del sistema se requiere abrir dicho Circuito para deslastrar carga, el permiso para esta maniobra debe ser tomado por el operario del Centro de Control respectivo e informar al personal que esté efectuando dichas labores.
- El control de las consignaciones se efectuará en el Centro de Control respectivo.
- Cuando algún Circuito se abre al operar sus protecciones y no posee una consignación especial, será consignado exclusivamente al Centro de Control respectivo quien podrá efectuar el traslado de esta a la cuadrilla de daños que efectúe la reparación o al inspector de zona. Si se tiene una consignación en un Circuito desenergizado, se coordinará con el consignatario antes de proceder a efectuar cualquier maniobra de energización.
- Solamente en casos de emergencia los operadores de las subestaciones tomarán la decisión de abrir Circuitos, e informarán inmediatamente al Centro de Control respectivo.
Ministro de Minas y Energía
ORLANDO CABRALES MARTÍNEZ
Presidente
JORGE PINTO NOLLA
Director Ejecutivo