RESOLUCIÓN 82 DE 2002
(diciembre 17)
Diario Oficial No. 45.044 de 24 de diciembre de 2002
COMISIÓN DE REGULACIÓN DE ENERGÍA Y GAS
<NOTA DE VIGENCIA: Mediante la Resolución 97 de 2008, "se aprueban los principios generales y la metodología para el establecimiento de los cargos por uso de los Sistemas de Transmisión Regional y Distribución Local". Según el Concepto CREG 2279 de 2010, la presente Resolución fue sustituída por la Resolución CREG 097 de 2008>
Por la cual se aprueban los principios generales y la metodología para el establecimiento de los cargos por uso de los Sistemas de Transmisión Regional y Distribución Local.
LA COMISIÓN DE REGULACIÓN DE ENERGÍA Y GAS, liquidación y recaudo
en ejercicio de las atribuciones legales, en especial las conferidas por las Leyes 142 y 143 de 1994, y los Decretos 1524 y 2253 de 1994,
CONSIDERANDO:
Que de acuerdo con lo previsto en los artículos 23, literales c) y d), y 41 de la Ley 143 de 1994, es función de la Comisión de Regulación de Energía y Gas definir la metodología para el cálculo y fijar las tarifas por el acceso y uso de las redes eléctricas, así como el procedimiento para hacer efectivo su pago;
Que según lo previsto en la Ley 143 de 1994, artículo 6o., la actividad de distribución de energía eléctrica, se rige por los principios de eficiencia, calidad, continuidad, adaptabilidad, neutralidad, solidaridad y equidad;
Que la Ley 143 de 1994, artículo 39, establece que "los cargos asociados con el acceso y uso de las redes del sistema interconectado nacional cubrirán, en condiciones óptimas de gestión, los costos de inversión de las redes de interconexión, transmisión y distribución, según los diferentes niveles de tensión, incluido el costo de oportunid ad de capital, de administración, operación y mantenimiento, en condiciones adecuadas de calidad y confiabilidad, y de desarrollo sostenible. Estos cargos tendrán en cuenta criterios de viabilidad financiera";
Que la Ley 143 de 1994, artículo 45, dispuso que "los costos de distribución que servirán de base para la definición de tarifas a los usuarios regulados del servicio de electricidad, por parte de la Comisión de Regulación de Energía y Gas, tendrán en cuenta empresas eficientes de referencia según áreas de distribución comparables, teniendo en cuenta las características propias de la región, tomarán en cuenta los costos de inversión de las redes de distribución, incluido el costo de oportunidad de capital, y los costos de administración, operación y mantenimiento por unidad de potencia máxima suministrada. Además, tendrán en cuenta niveles de pérdidas de energía y potencia característicos de empresas eficientes compa-rables";
Que según lo dispuesto en los artículos 44 de la Ley 143 de 1994 y 87 de la Ley 142 del mismo año, el régimen tarifario para usuarios finales regulados de una misma empresa estará orientado por los criterios de eficiencia económica, suficiencia financiera, neutralidad, solidaridad y redistribución del ingreso, simplicidad y transparencia;
Que en virtud del principio de eficiencia económica definido por los artículos 44 de la Ley 143 de 1994 y 87 de la Ley 142 del mismo año, el régimen de tarifas procurará que éstas se aproximen a lo que serían los precios de un mercado competitivo, garantizándose una asignación eficiente de recursos en la economía;
Que según lo establecido en el artículo 87.1 de la Ley 142 de 1994, en virtud del principio de eficiencia económica, se deben tener en cuenta "los aumentos de productividad esperados, y que éstos deben distribuirse entre la empresa y los usuarios, tal como ocurriría en un mercado competitivo";
Que según lo dispuesto en el artículo 92 de la Ley 143 de 1994, las Comisiones pueden corregir en las fórmulas, "los índices de precios aplicables a los costos y gastos de la empresa con un factor que mida los aumentos de productividad que se esperan en ella, y permitir que la fórmula distribuya entre la empresa y el usuario los beneficios de tales aumentos";
Que en virtud del principio de suficiencia financiera definido en los artículos 44 de la Ley 143 de 1994 y 87 de la Ley 142 del mismo año, se debe garantizar a las empresas eficientes la recuperación de sus costos de inversión y sus gastos de administración, operación y mantenimiento, y permitir la remuneración del patrimonio de los accionistas en la misma forma en la que lo habría remunerado una empresa eficiente en un sector de riesgo comparable;
Que el artículo 87.7 de la Ley 142 de 1994, dispuso que "los criterios de eficiencia y suficiencia financiera tendrán prioridad en la definición del régimen tarifario", y que "si llegare a existir contradicción entre el criterio de eficiencia y el de suficiencia financiera, deberá tomarse en cuenta que, para una empresa eficiente, las tarifas económicamente eficientes se definirán tomando en cuenta la suficiencia financiera";
Que según lo previsto en el artículo 11 de la Ley 143 de 1994, bajo el régimen tarifario de Libertad Regulada le corresponde a la Comisión de Regulación de Energía y Gas fijar "los criterios y la metodología con arreglo a los cuales las empresas de electricidad podrán determinar o modificar los precios máximos para los servicios ofrecidos";
Que mediante la Resolución CREG-099 de 1997, la Comisión de Regula ción de Energía y Gas aprobó los principios generales y la metodología para el establecimiento de cargos por uso de los Sistemas de Transmisión Regional y/o Distribución Local, la cual se encuentra vigente;
Que el artículo 8o. de la Resolución CREG – 099 de 1997 establece que los cargos por uso de los Sistema de Transmisión Regional y/o Distribución Local, que apruebe la Comisión tendrán una vigencia de cinco (5) años, contados a partir del primero de enero de 1998;
Que el parágrafo 3o. del artículo 8o. de la Resolución CREG – 099 de 1997 dispone que antes de doce meses de la fecha prevista para que termine la vigencia de los cargos, la Comisión de Regulación de Energía y Gas pondrá en conocimiento de los transportadores las bases sobre las cuales efectuará el estudio para determinar los cargos del período siguiente;
Que el parágrafo 4o. del artículo 8o. de la Resolución CREG – 099 de 1997 prevé que vencido el período de vigencia de los cargos por uso que apruebe la Comisión, continuarán rigiendo hasta tanto la Comisión no apruebe los nuevos;
Que mediante la Resolución número 080 de 2000, la Comisión de Regulación de Energía y Gas sometió a consideración de los agentes, usuarios y terceros interesados, los principios generales conceptuales sobre la remuneración en distribución eléctrica, que permitirían establecer con posterioridad, la metodología para determinar los cargos en dicha actividad;
Que el artículo 2o. de la Resolución número 080 de 2000 fijó un plazo de (90) días calendario para que los agentes, usuarios y terceros interesados, enviaran a la Comisión comentarios, observaciones y sugerencias a los principios generales conceptuales contenidos en la misma Resolución;
Que la Comisión ha adelantado diversos estudios tendientes a identificar los gastos eficientes por concepto de administración, operación y mantenimiento de los activos del servicio, las pérdidas eficientes en los Sistemas de Transmisión Regional y de Distribución Local, los costos de reposición de los activos, el factor de productividad, los niveles de calidad, los servicios de soporte de voltaje, y la remuneración de los activos del Nivel de Tensión 1;
Que analizadas las conclusiones de los estudios adelantados, al igual que las observaciones presentadas a la Comisión, se encontró pertinente aceptar algunas, relacionadas con la metodología de cálculo de los cargos, los activos a remunerar, los gastos de administración, operación y mantenimiento de los activos en servicio y el cobro del transporte de energía reactiva en exceso;
Que la Comisión, mediante Resolución CREG 013 de 2002 estableció la metodología de cálculo y ajuste para la determinación de las tasas de descuento que se utilizarán en las fórmulas tarifarias de la actividad de distribución de energía eléctrica para el próximo período tarifario, para un escenario de regulación de precio máximo;
Que la Comisión mediante Resolución CREG – 046 de 2002 modificó el plazo establecido en el artículo 8o. de la Resolución CREG-099 de 1997, con el fin de que las empresas puedan presentar los estudios de cargos dando aplicación a la metodología que finalmente se apruebe para la definición de los Cargos por Uso del STR y/o SDL;
Que la Comisión de Regulación de Energía y Gas, en su Sesión número 202 del 29 de octubre de 2002, aprobó someter a consulta de los agentes, usuarios y terceros interesados, los principios generales y la metodología para el establecimiento de cargos por uso de los Sistemas de Transmisión Regional y Distribución Local, contenidos en la Resolución CREG 073 de 2002;
Que mediante la Resolución CREG-073 de 2002, la Comisión sometió nuevamente a consideración de las empresas, usuarios y demás interesados los principios generales y la metodología para el establecimiento de cargos por uso de los Sistemas de Transmisión Regional y Distribución Local;
Que se recibieron comentarios y observaciones a la Resolución CREG-073 de 2002, las cuales fueron presentadas por Central Hidroeléctrica de Caldas (Radicado CREG-9602 y 10725 de 2002), Electrocosta S.A. E.S.P.y Electricaribe S.A. E.S.P. (Radicados CREG-9377, 10665, 10666 y 10716 de 2002), Empresa Antioqueña de Energía S.A. E.S.P (Radicados CREG-9158 y 10642 de 2002), Electrificadora del Huila S.A. E.S.P. (Radicado CREG-10332 de 2002), Empresa de Energía del Quindío S.A. E.S.P. (Radicado CREG- 10337 de 2002), Empresas Públicas de Medellín S.A. E.S.P. (Radicados CREG-10566 y 10677 de 2002), Ruitoque S.A. E.S.P. (Radicado CREG-10615 de 2002), Interconexión Eléctrica S.A. E.S.P. –Mercado Mayorista- (Radicado CREG- 10622 y 11229 de 2002), Genercauca S.A. E.S.P. (Radicado CREG- 10647 de 2002), Centrales Eléctricas de Norte de Santander S.A. E.S.P. (Radicado CREG-10675 de 2002), Asociación Nacional de Industriales, ANDI; (Radicado CREG-10693 y 11151 de 2002), Comité Asesor de la Comercialización (Radicado CREG-10698 de 2002), TRANSELA S.A. E.S.P. (Radicado CREG-10710 de 2002), Empresa de Energía de Cundinamarca S.A. E.S.P. (Radicado CREG-10711 de 2002), Empresa de Energía del Pacífico (Radicado CREG-10714 de 2002), CODENSA S.A. E.S.P. (Radicado CREG- 10731 y 10836 de 2002), Empresa de Energía de Pereira S.A. E.S.P. (Radicado CREG-10754 de 2002), Electrificadora del Caquetá S.A. E.S.P. (Radicado CREG-10781 de 2002), Consejo Nacional de Operación (Radicado CREG-10842 de 2002), Contraloría General de la República (Radicado CREG-10976 de 2002), Comercializar S.A. E.S.P. (Radicado CREG-11002 de 2002), Electrificadora de Santander S.A. E.S.P. (Radicado CREG-11067 de 2002), ALSTOM T&D S.A. (Radicado CREG-11095 de 2002), IMCOMELEC-Metering (Radicado CREG-11109 de 2002), doctor Milton Fabián Morales García (Radicado CREG-11257 de 2002), Termocandelaria S.A. E.S.P. (Radicado CREG-11489 de 2002), Asociación Colombiana de Distribuidores de Energía Eléctrica (Radicado CREG-1605 de 2002);
Que la Comisión de Regulación de Energía y Gas analizó los comentarios y observaciones presentadas a la propuesta contenida en la Resolución CREG-073 de 2002, e introdujo los ajustes que estimó pertinentes;
Que según lo previsto en la Ley 142 de 1994, artículo 18, todas las personas jurídicas están facultadas para hacer inversiones en empresas de servicios públicos;
Que según lo dispuesto en el artículo 85 de la Ley 143 de 1994, las decisiones de inversión en distribución de energía eléctrica constituyen responsabilidad de aquellos que las acometan, quienes asumen en su integridad los riesgos inherentes a la ejecución y explotación de los proyectos;
Que la Ley 142 de 1994, artículo 87, estableció que "cuando las entidades públicas aporten bienes o derechos a las empresas de servicios públicos, podrán hacerlo con la condición de que su valor no se incluya en el cálculo de las tarifas que hayan de cobrarse a los usuarios de los estratos que pueden recibir subsidios, de acuerdo con la ley. Pero en el presupuesto de la entidad que autorice el aporte figurarán el valor de éste y, como un menor valor del bien o derecho respectivo, el monto del subsidio implícito en la prohibición de obtener los rendimientos q ue normalmente habría producido";
Que de acuerdo con lo previsto en la Ley 142 de 1994, artículo 99, "la parte de la tarifa que refleje los costos de administración, operación y mantenimiento a que dé lugar el suministro será cubierta siempre por el usuario; la que tenga el propósito de recuperar el valor de las inversiones hechas para prestar el servicio podrá ser cubierta por los subsidios, y siempre que no lo sean, la empresa de servicios públicos podrá tomar todas las medidas necesarias para que los usuarios las cubran. En ningún caso el subsidio será superior al 15% del costo medio del suministro para el estrato 3, al 40% del costo medio del suministro para el estrato 2, ni superior al 50% de éste para el estrato 1";
Que según lo establecido en la Ley 143 de 1994, artículo 18, "compete al Ministerio de Minas y Energía definir los planes de expansión de la generación y de la red de interconexión y fijar criterios para orientar el planeamiento de la transmisión y la distribución" y que "los planes de generación y de interconexión serán de referencia y buscarán orientar y racionalizar el esfuerzo del Estado y de los particulares para la satisfacción de la demanda Nacional de electricidad en concordancia con el Plan Nacional de Desarrollo y el Plan Energético Nacional";
Que, igualmente, el citado artículo 18 de la Ley 143 de 1994, estableció que "el Gobierno Nacional, tomará las medidas necesarias para garantizar la puesta en operación de aquellos proyectos previstos en el plan de expansión de referencia del sector eléctrico, que no hayan sido escogidos por otros inversionistas, de tal forma que satisfagan los requerimientos de infraestructura contemplados en dicho plan. El Gobierno Nacional asumirá los riesgos inherentes a la construcción y explotación de estos proyectos";
Que mediante el Decreto 1407 de 2002, el Gobierno Nacional dictó una directriz de política en cuanto a la transición de los períodos tarifarios, con el objeto de que los usuarios del servicio público domiciliario de energía eléctrica no se vean sometidos a un aumento súbito respecto de las tarifas que deban sufragar por la actividad de distribución, en el siguiente período tarifario;
Que el citado Decreto dispuso que la CREG "deberá efectuar una transición entre los dos períodos tarifarios, con el objeto de que los incrementos en las tarifas que deban producirse, se realicen en forma gradual", utilizando la mejor información disponible, para lo cual deberá expedir los actos administrativos que sean necesarios;
Que de conformidad con el Decreto citado, la Comisión de Regulación de Energía y Gas expidió la Resolución CREG –063 de 2002, mediante la cual se aprobó una transición en materia tarifaria, entre el actual y el siguiente período tarifario de la actividad de transporte en los Sistemas de Transmisión Regional y de Distribución Local del Sistema Interconectado Nacional;
Que de acuerdo con las evaluaciones internas de la CREG, se hace necesario modificar la Resolución CREG 063 de 2002, para adaptar la transición a los resultados que arrojará la aplicación de la metodología contenida en esta Resolución;
Que una vez realizada la consulta, recibidos los comentarios y analizados por parte de la Comisión, la CREG, en su Sesión número 205 del 17 de diciembre de 2002, aprobó los principios generales y la metodología para el establecimiento de cargos por uso de los Sistemas de Transmisión Regional y Distribución Local, contenidos en la presente Resolución,
RESUELVE:
ARTÍCULO 1o. DEFINICIONES. Para la interpretación y aplicación de esta Resolución, se tendrán en cuenta, además de las definiciones establecidas en las Leyes 142 y 143 de 1994 y en las resoluciones vigentes de la CREG, las siguientes:
Activos de Conexión al STN. Son los bienes que se requieren para que un generador, Operador de Red, usuario final, o varios de los anteriores, se conecten físicamente al Sistema de Transmisión Nacional. Cuando los Activos de Conexión sean utilizados para conectar un OR al STN, los mismos serán considerados en el cálculo de los cargos por uso de STR o SDL, en proporción a su utilización, frente a otros usuarios de los activos de conexión diferentes del OR.
Los Activos de Conexión al STN, se remunerarán a través de contratos entre el propietario y los usuarios respectivos del activo de conexión.
Activos de Conexión a un STR o a un SDL. Son los bienes que se requieren para que un generador, Operador de Red, usuario final, o varios de los anteriores, se conecten físicamente a un Sistema de Transmisión Regional o a un Sistema de Distribución Local.
Los Activos de Conexión a un STR o a un SDL se remunerarán a través de contratos entre el propietario y los usuarios de dichos activos, considerando lo expuesto en esta Resolución.
Activos del Nivel de Tensión 1. Son los activos de uso conformados por los transformadores de distribución secundaria con sus protecciones y equipos de maniobra, al igual que por las redes de transporte que operan a tensiones menores de 1 kV.
Activos de Uso del STN. Son aquellos activos de transmisión de electricidad que operan a tensiones iguales o superiores a 220 kV, y son remunerados mediante Cargos por Uso del STN.
Activos de Uso de STR y SDL. Son aquellos activos de transmisión de electricidad que operan a tensiones inferiores a 220 kV, se clasifican en Unidades Constructivas, no son Activos de Conexión, y son remunerados mediante Cargos por Uso de STR o SDL.
Activos no eléctricos. Son aquellos activos que no hacen parte de la infraestructura de transporte de los OR, pero que son requeridos para cumplir con su objeto social. Hacen parte de estos activos, entre otros, los siguientes: edificios (sedes administrativas, bodegas, talleres, etc.) maquinaria y equipos (grúas, vehículos, herramientas, etc) equipos de Cómputo, equipos de Comunicaciones, etc.
Autoproductor. Para efectos de la presente Resolución corresponden a los Autogeneradores y Cogeneradores, definidos según las Resoluciones CREG 084 de 1996 y CREG 085 de 1996 y la Resolución CREG 107 de 1998, o en aquellas que las adicionen, modifiquen o sustituyan.
Cargos Máximos por Niveles de Tensión 1, 2, 3. Son los cargos, expresados en $/kWh, calculados por el OR para cada Nivel de Tensión, que remuneran el uso de los Sistemas de Distribución Local por parte de los comercializadores a los OR.
Cargos de los STR. Son los cargos, expresados en $/kWh, que remunerar los activos de uso del Nivel de Tensión 4 y los activos de conexión al STN, de los OR.
Cargos por Uso. Son los cargos, expresados en $/kWh, acumulados para cada Nivel de Tensión, que remuneran los Activos de uso de los STR y SDL, y de Conexión de estos sistemas al STN, que los comercializadores facturan a los usuarios finales, y que se utilizan en el cálculo del Costo Unitario de Prestación del Servicio. Estos pueden ser cargos monomios o monomios horarios.
Cargo monomio. Cargo por unidad de energía, expresado en $/kWh, constante durante un mes, que remune ra el uso de los STR y de los SDL.
Cargo monomio horario. Cargo monomio por unidad de energía, expresado en $/kWh, constante para la misma hora durante un mes, que remunera el uso de los STR y de los SDL. Estos cargos se determinan a partir de la diferenciación a nivel horario de los cargos monomios, con base en las curvas de carga representativas de cada Nivel de Tensión del respectivo STR o SDL según lo establecido en el Anexo número 9.
Demanda comercial. Corresponde al valor de la demanda real del comercializador, afectada con las pérdidas en las redes de trasmisión regional o de distribución local y las pérdidas del STN.
Demanda del comercializador. Para efectos de la presente Resolución, se entenderá que la Demanda del comercializador en un Sistema de Transmisión Regional es igual a la Demanda Comercial del mismo en dicho sistema, menos su respectiva participación en las pérdidas del STN.
Metodología de Ingreso. Metodología de remuneración mediante la cual la Comisión establece, para cada Operador de Red, los ingresos que requiere para remunerar los activos de uso del Nivel de Tensión 4 y los activos de conexión al STN, y que sirven para calcular los cargos de los STR.
Metodología de Precio Máximo (Price Cap). Metodología de remuneración mediante la cual la Comisión aprueba, para cada Operador de Red, los cargos máximos por unidad de energía transportada en los niveles 1, 2 y 3 de su sistema.
Mercado de Comercialización. Conjunto de Usuarios Finales ubicados en un mismo municipio y conectados a un STR o SDL.
Niveles de Tensión. Los sistemas de Transmisión Regional y/o Distribución Local se clasifican por niveles, en función de la tensión nominal de operación, según la siguiente definición:
Nivel 4: Sistemas con tensión nominal mayor o igual a 57.5 kV y menor a 220 kV.
Nivel 3: Sistemas con tensión nominal mayor o igual a 30 kV y menor de 57.5 kV.
Nivel 2: Sistemas con tensión nominal mayor o igual a 1 kV y menor de 30 kV.
Nivel 1: Sistemas con tensión nominal menor a 1 kV.
Operador de Red de STR y SDL (OR). Persona encargada de la planeación de la expansión, las inversiones, la operación y el mantenimiento de todo o parte de un STR o SDL. Los activos pueden ser de su propiedad o de terceros. Para todos los propósitos son las empresas que tienen Cargos por Uso de los STR o SDL aprobados por la CREG. El OR siempre debe ser una Empresa de Servicios Públicos. La unidad mínima de un SDL para que un OR solicite Cargos de Uso corresponde a un Mercado de Comercialización.
Sistema de Distribución Local (SDL). Sistema de transporte de energía eléctrica compuesto por el conjunto de líneas y subestaciones, con sus equipos asociados, que operan a los niveles de tensión 3, 2 y 1 dedicados a la prestación del servicio en uno o varios Mercados de Comercialización.
Sistema de Transmisión Regional (STR). Sistema de transporte de energía eléctrica compuesto por los activos de conexión al STN y el conjunto de líneas y subestaciones, con sus equipos asociados, que operan en el Nivel de Tensión 4 y que están conectados eléctricamente entre sí a este Nivel de Tensión, o que han sido definidos como tales por la Comisión. Un STR puede pertenecer a uno o más Operadores de Red.
Sistema de Transmisión Nacional (STN). Es el sistema interconectado de transmisión de energía eléctrica compuesto por el conjunto de líneas, con sus correspondientes módulos de conexión, que operan a tensiones iguales o superiores a 220 kV.
Transformadores de Distribución Secundaria. Transformadores con voltaje secundario menor a 1 kV, que son utilizados para atender usuarios finales del Nivel de Tensión 1.
Usuarios de los STR o SDL. Son los Usuarios finales del servicio de energía eléctrica, Operadores de Red y Generadores conectados a estos sistemas.
Usuario Final. Persona natural o jurídica que se beneficia con la prestación de un servicio público, bien como propietario del inmueble en donde éste se presta, o como receptor directo del servicio. A este último usuario se le denomina también consumidor.
ARTÍCULO 2o. CRITERIOS GENERALES. La metodología que se aplicará para el cálculo de los cargos por uso de los STR o SDL tendrá en cuenta los siguientes criterios generales:
a) Los cargos de los Sistemas de Transmisión Regional o de los Sistemas de Distribución Local, diferentes al Nivel de Tensión 1, se determinarán a partir de los inventarios de los OR, de acuerdo con las Unidades Constructivas que se presentan en el Anexo 3. Los OR podrán presentar Unidades Constructivas especiales no contempladas en el Anexo 3, para lo cual deberán suministrar la información correspondiente, de acuerdo con las Circulares expedidas por la Comisión;
b) Los cargos de los Sistemas de Transmisión Regional se determinarán a partir de los activos de uso pertenecientes al Nivel de Tensión 4 y de las conexiones al STN de los OR. Los cargos máximos de los Sistemas de Distribución Local se determinarán a partir de los activos de uso pertenecientes a los niveles de tensión 3 y 2 y de las conexiones entre OR en dichos niveles. Los Cargos máximos del Nivel de Tensión 1 se determinarán a partir de los cargos aéreos (urbano y rural) y subterráneo que establezca la CREG;
c) Los usuarios de los STR o SDL pagarán un cargo por su uso (monomio o monomio horario), en función del Nivel de Tensión donde se encuentren conectados. Para el caso de los STR y a efecto de la liquidación y facturación de los cargos, el Liquidador y Administrador de Cuentas (LAC), aplicará únicamente cargos monomios.
Los usuarios que sean propietarios de activos del Nivel de Tensión 1 pagarán cargos del Nivel de Tensión 3 o 2, dependiendo del Nivel de Tensión donde esté conectado su transformador de distribución secundaria. Para este efecto, cuando el equipo de medida de un usuario propietario de activos del Nivel de Tensión 1 se encuentre instalado en dicho nivel, su consumo facturable deberá ser proyectado al Nivel de Tensión 2 ó 3, según sea el caso, con los factores para referir que se presentan en el Anexo número 10 de la presente Resolución;
d) Cuando se requiera la reposición de los activos del Nivel de Tensión 1, que no son de propiedad del OR a cuyo sistema se conectan, los propietarios de los mismos podrán reponerlos y continuarán pagando los cargos del Nivel de Tensión 3 ó 2, dependiendo del Nivel de Tensión donde esté conectado su transformador de distribución secundaria.
Si el propietario de tales activos no ejecuta la reposición, el OR podrá realizarla a solicitud del propietario, en cuyo caso, a partir del momento en que entren en operación los nuevo s activos, los usuarios respectivos deberán pagar cargos del Nivel de Tensión 1;
e) Los ingresos que remuneran los activos de uso pertenecientes al Nivel de Tensión 4 y las conexiones al STN de los OR podrán ser revisados a lo largo del período tarifario según lo dispuesto en esta resolución;
f) Cuando un Operador de Red se conecte al sistema de otro OR, en niveles de tensión iguales o inferiores al 3, se considerará al Operador que está tomando energía del sistema como un usuario del otro OR y, en tal caso, deberá pagar el cargo al Nivel de Tensión correspondiente (Anexo número 2);
g) El comercializador cobrará a sus usuarios los cargos por uso del Nivel de Tensión donde se conectan sus Activos de Conexión. No hay lugar a cobro de cargos por uso de STR o SDL a los usuarios que se encuentren conectados directamente al STN. Se entiende que un usuario está conectado directamente al STN cuando el equipo que está instalado entre su punto de conexión y el STN corresponde a activos de transformación con tensión primaria del STN y sus módulos asociados. En los demás casos se entiende que el usuario está conectado a un STR o SDL;
h) Los cargos por uso resultantes de aplicar la metodología contenida en esta Resolución remunerarán el uso de la infraestructura necesaria para llevar la energía eléctrica desde los puntos de conexión al STN, hasta el punto de conexión de los usuarios finales a los STR o SDL. Estos cargos por uso incluyen los costos de conexión al STN, pero no incluyen los costos de conexión del usuario al respectivo STR o SDL, ni las pérdidas de energía que se presentan en la prestación de este servicio;
i) Cuando un Operador de Red no sea propietario de la totalidad de los activos de uso que conforman el STR o SDL que opera deberá remunerar al respectivo propietario, de acuerdo con lo establecido en el Numeral 9 del anexo general de la Resolución CREG 070 de 1998, o aquella que la adicione, modifique o sustituya;
j) Los activos de los OR que alimentan los servicios auxiliares de subestaciones pertenecientes al STN y de generadores que participan en el mercado mayorista, hacen parte de los activos que se remuneran a través de cargos por uso;
k) Los Autoproductores que pretendan utilizar Activos de Uso de STR o SDL podrán contratar la disponibilidad de capacidad de respaldo de la red, con el OR del respectivo sistema al cual se conectan;
l) Los Comercializadores aplicarán cargos por uso de STR o SDL a la demanda asociada con la prestación del servicio de Alumbrado Público del Nivel de Tensión al cual se conecten la redes dedicadas exclusivamente a la prestación de este servicio. Cuando no existan redes exclusivas para el alumbrado público, el comercializador aplicará sobre las demandas respectivas cargos por uso del Nivel de Tensión 2, debido a que el cargo por uso del Nivel de Tensión 1 fue calculado sin considerar esta demanda. Si el alumbrado Público posee medida de energía en el Nivel de Tensión 1 y el transformador no es de propiedad del OR, dicha medida debe ser referida al Nivel de Tensión 2 utilizando los factores contenidos en el Anexo número 10. Si el transformador que conecta el Alumbrado Público al Nivel de Tensión 2 es exclusivo para Alumbrado Público, y es propiedad del OR, éste podrá cobrar cargos correspondientes al Nivel de Tensión 1;
m) Los activos eléctricos dedicados exclusivamente a la prestación del servicio de alumbrado público no hacen parte de los activos que se remuneran vía Cargos por uso de SDL;
n) La metodología definida en esta Resolución considera características técnicas del transporte de energía eléctrica a través de los STR y SDL, en zonas urbanas y rurales;
o) Los cargos máximos aprobados por parte de la Comisión estarán sujetos al régimen de libertad regulada.
ARTÍCULO 3o. INFORMACIÓN REQUERIDA PARA EL CÁLCULO DE LOS CARGOS DE LOS STR. Los Operadores de Red existentes a la fecha de entrada en vigencia de la presente Resolución, a más tardar el 31 de diciembre del año 2002, y los Operadores de Red de nuevos sistemas que se constituyan con posterioridad a la entrada en vigencia de la presente Resolución, previamente a la entrada en operación comercial, deberán someter a aprobación de la CREG la siguiente información:
i) El Costo Anual por el uso de los activos del Nivel de Tensión 4, el cual, deberá calcularse de conformidad con la metodología descrita en el Numeral 1 del Anexo número 1 de la presente Resolución.
ii) El Costo Anual de los Activos de Conexión al STN, el cual, deberá calcularse de conformidad con la metodología descrita en el Numeral 2 del Anexo número 1 de la presente Resolución.
iii) Diagrama unifilar de las redes del Nivel de Tensión 4.
ARTÍCULO 4o. CÁLCULO DE LOS CARGOS DE LOS STR. Los cargos de los STR serán calculados por el LAC a partir de los costos anuales aprobados por la CREG, de acuerdo con lo establecido en el artículo 3o.
ARTÍCULO 5o. CÁLCULO DE LOS CARGOS MÁXIMOS DE LOS SDL. Los Operadores de Red existentes a la fecha de entrada en vigencia de la presente Resolución, a más tardar el 31 de diciembre del año 2002, y los Operadores de Red de nuevos sistemas que se constituyan con posterioridad a la entrada en vigencia de la presente Resolución, previamente a la entrada en operación comercial, deberán someter a aprobación de la CREG los siguientes cargos máximos:
i) Cargos máximos de los niveles de tensión 3 y 2 para cada uno de los años del período tarifario. Estos cargos deberán ser calculados de conformidad con la metodología descrita en el numeral 2 del Anexo número 2 de la presente Resolución.
ii) Cargos Máximos del Nivel de Tensión 1. Estos cargos deberán ser calculados de conformidad con la metodología descrita en el Numeral 3 del Anexo número 2 de la presente Resolución.
PARÁGRAFO 1o. Cuando se conforme un nuevo SDL o STR, los Operadores de Red correspondientes deberán someter en forma previa, para la aprobación de la CREG, la información de que trata el artículo 3o. y el presente artículo para el nuevo sistema que va a operar. La red mínima que debe operar un OR para efectos de hacer una solicitud de aprobación de cargos a la Comisión es la que atiende los usuarios de al menos un Mercado de Comercialización. En caso de Operadores de Red de sistemas nuevos, que se constituyan con posterioridad a la fecha de entrada en vigencia de la presente Resolución, conjuntamente con la solicitud de aprobación de cargos por uso de STR o SDL, el OR respectivo deberá reportar el listado de municipios a atender.
PARÁGRAFO 2o. Un Operador de Red que entra a reemplazar a otro OR que opera una red existente, que ya tiene cargos aprobados para un STR o SDL, no requiere una nueva aprobación de cargos por parte de la Comisión.
PARÁGRAFO 3o. Cuando se trate de la unificación de cargos para SDL de dos o más OR, se a plicarán las normas vigentes para tal efecto.
ARTÍCULO 6o. ACTUALIZACIÓN DE LOS CARGOS DE LOS STR POR PUESTA EN SERVICIO DE NUEVOS ACTIVOS. Cuando entren en operación nuevos activos de uso del Nivel de Tensión 4 o de conexión al STN durante el período tarifario, el Costo Anual por el uso de los activos del Nivel de Tensión 4 o el Costo Anual de los Activos de Conexión al STN, podrán ser revisados por la Comisión, para lo cual se deberá cumplir lo siguiente:
1. Que los proyectos de Conexión al STN hayan sido aprobados por la UPME y se haya suscrito el respectivo contrato de conexión, con sujeción a la regulación vigente.
2. Que los proyectos relacionados con activos de uso del Nivel de Tensión 4, solicitados por un OR, hayan sido aprobados por la UPME de acuerdo con los criterios de expansión del Sistema Interconectado Nacional, adoptados por el Ministerio de Minas y Energía.
ARTÍCULO 7o. ACTUALIZACIÓN, LIQUIDACIÓN Y RECAUDO DE LOS CARGOS POR USO DE STR Y SDL. Los Cargos por uso de los STR y SDL, se actualizarán, liquidarán y recaudarán, así:
7.1. Cargos de los STR
Los Cargos de un STR serán actualizados, liquidados y facturados a los Comercializadores que atienden Usuarios Finales en los STR definidos según lo dispuesto en el artículo 10, por el Liquidador y Administrador de Cuentas del STN (LAC), siguiendo las disposiciones contenidas en el Numeral 1.1 del Anexo número 4, de la presente Resolución.
Los valores recaudados por el LAC serán distribuidos entre los Operadores de Red que conforman cada STR, siguiendo la metodología descrita en el numeral 1.2 del Anexo número 4, de la presente Resolución.
7.2. Cargos máximos de los SDL
Los Cargos máximos de un SDL serán actualizados, liquidados y facturados por los Operadores de Red, a los Comercializadores que atienden Usuarios Finales conectados a su sistema y a los Operadores de Red conectados a su sistema en los niveles de tensión 3 y 2, siguiendo las disposiciones contenidas en el numeral 2 del Anexo número 4, de la presente Resolución.
7.3. Cargos máximos del Nivel de Tensión 1
Los Cargos máximos del Nivel de Tensión 1 serán actualizados, liquidados y facturados por los Operadores de Red, a los Comercializadores que atienden Usuarios Finales conectados a su sistema, siguiendo las disposiciones contenidas en el numeral 3 del Anexo número 4, de la presente Resolución.
PARÁGRAFO. Cuando, durante la vigencia del período tarifario, la Comisión apruebe modificar la remuneración de un STR por la puesta en operación de nuevos activos de uso del Nivel de Tensión 4 o de conexión al STN, los nuevos Costos Anuales serán considerados en la liquidación y recaudo de los cargos de los STR respectivos, a partir del mes de enero del año siguiente a la entrada en vigencia de la respectiva Resolución, para lo cual se seguirá la metodología descrita en el numeral 1 del Anexo número 2 y numeral 1 del Anexo número 4 de la presente Resolución.
ARTÍCULO 8o. CARGOS POR USO, POR NIVELES DE TENSIÓN, QUE SE UTILIZARÁN EN EL CÁLCULO DEL COSTO UNITARIO DE PRESTACIÓN DEL SERVICIO. Los cargos por uso, por niveles de tensión, que serán utilizados para efectos de determinar el Costo Unitario de Prestación del Servicio, definido según lo dispuesto en la Resoluciones CREG 031 y 244 de 1997, y en aquellas que la modifiquen o sustituyan, serán determinados por cada Comercializador siguiendo las disposiciones del numera l 4 del Anexo número 4 de la presente Resolución.
ARTÍCULO 9o. CARGOS POR DISPONIBILIDAD DE CAPACIDAD DE RESPALDO DE LA RED APLICABLES A LOS AUTOPRODUCTORES. Los Autoproductores, cuya demanda máxima es superior o igual a 0.5 MVA, podrán solicitar al OR del sistema al cual se conectarían, a través del Comercializador que los representaría, la suscripción de un contrato de disponibilidad de Capacidad de respaldo de la red.
La tarifa por unidad de potencia que acuerden las partes no podrá ser superior a $6000/[kVA – Año] ($ colombianos de diciembre de 2001), independientemente del Nivel de Tensión al cual esté conectado el Autoproductor. La tarifa que se acuerde deberá actualizarse mensualmente con el Indice de Precios al Productor total Nacional (IPP).
Cuando el Autoproductor haga uso de la red, deberá pagar los cargos por uso monomios horarios del Nivel de Tensión donde está conectado al sistema del OR.
PARÁGRAFO 1o. Los Operadores de Red no estarán obligados a garantizar la disponibilidad de capacidad de respaldo de la red a los Autoproductores señalados en este Artículo, cuando estos no contraten la disponibilidad respectiva.
PARÁGRAFO 2o. Los Autoproductores, cuya demanda máxima es inferior a 0.5 MVA tienen derecho al respaldo de la red, y pagan únicamente los cargos por uso del respectivo sistema cuando demandan energía de este.
ARTÍCULO 10. CONFORMACIÓN DE LOS SISTEMAS DE TRANSMISIÓN REGIONAL. Los Sistemas de Transmisión Regional definidos en esta Resolución serán establecidos por la Comisión, a partir de la información que los Operadores de Red suministren dentro del proceso de aprobación de que trata el artículo 3o. de la presente Resolución.
PARÁGRAFO 1o. A solicitud de la totalidad de los OR que conformen dos Sistemas de Transmisión Regional, la Comisión podrá definir un Sistema de Transmisión Regional que integre los dos Sistemas, aun en el caso de que no presenten conexión eléctrica en el Nivel de Tensión 4, siempre y cuando dichos sistemas sean vecinos.
PARÁGRAFO 2o. Si durante el período tarifario se presentan nuevas conexiones entre los STR existentes, la Comisión procederá a redefinir los Sistemas de Transmisión Regionales. Los nuevos STR serán considerados, en la liquidación de los cargos por uso de STR, a partir del mes de enero del año siguiente a la entrada en vigencia de la respectiva Resolución. Por lo tanto los OR deberán informar a la CREG cuando esto suceda, para su respectiva aprobación.
ARTÍCULO 11. TRANSPORTE DE ENERGÍA REACTIVA. En caso de que la energía reactiva consumida por un Usuario, sea mayor al cincuenta por ciento (50%) de la energía activa (kWh) que le es entregada en cada período horario, el exceso sobre este límite, en cada periodo, se considerará como energía activa para efectos de liquidar mensualmente el cargo por uso del respectivo sistema, de acuerdo con lo contenido en el Anexo número 4 de esta Resolución.
El OR podrá conectar equipos de medida de energía reactiva para aquellos usuarios de Nivel de Tensión 1, no residenciales, o fronteras comerciales, a fin de establecer cobro de energía reactiva.
ARTÍCULO 12. CLASIFICACIÓN DE ACTIVOS DE CONEXIÓN Y ACTIVOS DE USO. Los activos que sean clasificados como Activos de Uso o de Conexión a los STR o SDL, al momento de solicitud de aprobación por parte del OR de los cargos, mantendrán esta calidad durante todo el período tarifario.
Los Activos de Conexión de los OR o de terceros, se remunerarán a través de contratos entre el propietario y los usuarios respectivos.
PARÁGRAFO 1o. Los OR no podrán exigir la remuneración durante el período tarifario, a través de cargos por conexión, de activos que haya reportado como Activos de Uso de STR o SDL.
PARÁGRAFO 2o. Los OR o los terceros propietarios de Activos de Conexión a los STR o SDL existentes a la fecha de entrada en vigencia de la presente Resolución, no podrán recibir ingresos superiores a los que hubieran obtenido si estos activos fueran remunerados vía Cargos de Uso de STR o SDL.
PARÁGRAFO 3o. Los OR o los terceros propietarios de Activos de Conexión que entren en operación con posterioridad a la fecha de entrada en vigencia de la presente Resolución, podrán acordar libremente, con los usuarios de los mismos, la remuneración de estos.
PARÁGRAFO 4o. Cuando un usuario solicite acceso a un Activo de Conexión existente, el propietario no podrá negarlo si la conexión solicitada es técnicamente factible. El propietario podrá solicitar al usuario la presentación de un estudio de conexión con el que se demuestre la viabilidad técnica y el no deterioro de la confiabilidad, por debajo de los límites regulatoriamente establecidos de esta, para lo cual se deberán seguir, en lo que aplique, las disposiciones contenidas en el Numeral 4, del Anexo de la Resolución CREG-070 de 1998, o aquellas que la adicionen, modifiquen o sustituyan.
En caso de que el propietario de los Activos de Conexión niegue la conexión del usuario aduciendo problemas técnicos, este podrá solicitar a la CREG la imposición de una servidumbre.
PARÁGRAFO 5o. Si un activo de un OR se utiliza para atender usuarios finales y, a su vez, a este se conectan uno o varios transportadores, una parte del activo se remunerará mediante cargos por uso y la otra mediante cargos de conexión. Los porcentajes de participación en el uso para remunerar el activo entre quienes lo utilizan, se determinan en proporción a las demandas máximas de cada una de las partes.
PARÁGRAFO 6o. Un Activo de Conexión se puede convertir en Activo de Uso, para el próximo período tarifario siempre que:
Este activo atienda a más de un usuario.
Exista consentimiento del propietario del Activo de Conexión para convertirlo en Activo de Uso.
El OR respectivo haga la solicitud a la CREG de incluirlo en la base de datos de activos de uso para el próximo período tarifario.
PARÁGRAFO 7o. Un Activo de Uso se convertirá en un Activo de Conexión, para el próximo período tarifario, siempre que sirva a un único Usuario.
ARTÍCULO 13. VIGENCIA DE LOS CARGOS. Los cargos por uso de los Sistemas de Transmisión Regional y Distribución Local que apruebe la Comisión estarán vigentes desde la fecha en que quede en firme la resolución que los apruebe y hasta 31 de diciembre del año 2007.
PARÁGRAFO 1o. Los Operadores de Red deberán someter a aprobación de la Comisión, a más tardar el día 31 de diciembre de 2002, con base en la metodología establecida en esta Resolución, el estudio de los cargos aplicables para el período de cinco (5) años, que culmina el 31 de diciembre de 2007. Si con posterioridad al 1o. de enero de 2003 se da una de las siguientes situaciones:
- Que un Operador de Red solicite a la Comisión aprobar cargos por uso para un nuevo STR o SDL,
- Que la Comisión, en aplicación del artículo 126 de la Ley 142 de 1994, modifique los cargos vigentes de un OR, o
- Que la Comisión haya fijado de oficio los cargos y posteriormente obtenga mejor información que le permita revisarlos.
Los nuevos cargos resultantes estarán vigentes por el lapso entre la aprobación y el 31 de diciembre del año 2007.
PARÁGRAFO 2o. Dentro de los cinco (5) días siguientes al envío de la información a la Comisión, cada Operador de Red deberá publicar en un diario de amplia circulación, en la zona donde presta el servicio, o en uno de circulación nacional, un resumen del estudio de cargos que presentó a la Comisión, con el fin de que los terceros interesados puedan presentar ante la Comisión observaciones sobre tales costos, dentro del mes siguiente a la fecha de publicación del aviso. Adicionalmente, deberá enviar a la Comisión copia del aviso de prensa respectivo. El resumen deberá contener como mínimo la información contenida en el Anexo número 6 de esta Resolución.
PARÁGRAFO 3o. Antes de doce meses de la fecha prevista para que termine la vigencia de las fórmulas tarifarias de distribución, la Comisión pondrá en conocimiento de las empresas de servicios públicos las bases sobre las cuales efectuará el estudio para determinar las fórmulas del período siguiente.
PARÁGRAFO 4o. En caso de considerarlo conveniente, la Comisión podrá mantener la metodología contenida en esta Resolución durante el siguiente período tarifario.
PARÁGRAFO 5o. Vencido el período de vigencia de los cargos por uso que apruebe la Comisión, estos continuarán rigiendo hasta que la Comisión apruebe los nuevos.
ARTÍCULO 14. PRUEBAS. Teniendo en cuenta que existen muchas variables para el repoe adecuado de la información, la CREG aplicará el mecanismo de verificaciones que se describe en el Anexo número 5 de la presente Resolución.
Sin perjuicio de lo anterior, si dentro del mes siguiente a la fecha en que el Operador de Red haga la publicación de que trata el parágrafo 2o. del artículo 13 de la presente Resolución, habiendo oído a los interesados intervinientes, existen diferencias de información o de apreciación sobre aspectos que requieran conocimientos especializados, o si se detectan inconsistencias respecto a la información reportada periódicamente a la Comisión, el Director Ejecutivo de la CREG podrá ordenar la práctica de las pruebas respectivas, de acuerdo con lo establecido por el artículo 108 de la Ley 142 de 1994.
ARTÍCULO 15. DECISIÓN SOBRE APROBACIÓN DE LOS CARGOS DE CADA OPERADOR DE RED. Una vez se analice la información presentada por los Operadores de Red, habiendo dado oportunidad de ser oídos a los interesados, y practicadas las pruebas a que hubiera lugar, de conformidad con la Ley, la Comisión procederá a aprobar los cargos máximos de que trata el artículo número 5 de la presente Resolución.
PARÁGRAFO. Aquellos Operadores de Red que no sometan a aprobación de la Comisión los cargos respectivos en los plazos previstos en esta Resolución podrán ser objeto de fijación de cargos por parte de la Comisión, con base en la mejor información de que esta disponga. Dichos cargos podrán ser revisados de oficio por la Comisión, durante la vigenci a del período tarifario, en la medida en que obtenga nueva información que lo amerite. Lo anterior sin perjuicio de las investigaciones y sanciones del caso por parte de la autoridad competente.
ARTÍCULO 16. RECURSOS. De acuerdo con lo previsto por el artículo 113 de la Ley 142 de 1994, contra la decisión mediante la cual la Comisión apruebe los cargos máximos de cada Operador de Red, procede el recurso de reposición, el cual podrá interponerse ante la Dirección Ejecutiva de la Comisión, dentro de los cinco (5) días hábiles siguientes a la fecha en que sea notificada o publicada, según el caso.
ARTÍCULO 17. TRANSICIÓN TARIFARIA. A los Operadores de Red que como resultado de la aplicación de la metodología tarifaria, aprobada en la presente resolución, se les aprueben cargos por uso de los STR y SDL, en los niveles de tensión, donde impliquen un aumento real respecto de los cargos por uso actuales de dichos niveles de tensión, superiores al 15%, deberán proponer una transición uniforme y gradual para alcanzar el cargo que resulte de la aplicación de esta metodología en dicho Nivel de Tensión, así: esta se ejecutará en un período que comprenderá entre doce (12) meses y treinta (30) meses, la ejecución de la transición deberá ser tal, que inicie a partir de la fecha en que quede en firme la Resolución que fije los respectivos cargos de cada empresa y que antes de terminar el período fijado se hayan compensado plenamente la disminución de ingresos debida a la gradualidad en la entrada de los nuevos cargos, con los ingresos adicionales entregados durante la parte final de la senda y los recibidos como resultado de la aplicación de la primera etapa de la transición contenida en la Resolución CREG 063 de 2002. Al finalizar la transición, el valor presente neto de los mayores y menores ingresos deberá ser cero.
Para efectos de aplicación de este artículo, se modifica lo establecido por la Resolución CREG 063 de 2002, así: i) la segunda etapa de la transición se ejecutará en un período que comprenderá entre mínimo 12 meses y máximo 30 meses, ii) los mayores ingresos recaudados por los OR durante la transición contenida en la Resolución CREG 063 de 2002 deberán ser considerados para ser compensados en la segunda etapa de la transición que se proponga para cada uno de los niveles de tensión, por parte del OR.
Para efectos de la estimación y actualización de los mayores o menores ingresos recibidos durante la primera y segunda etapa de la transición, se aplicarán las formulaciones y parámetros contenidos en la Resolución CREG 063 de 2002.
PARÁGRAFO 1o. Cuando los cargos en un determinado Nivel de Tensión se incrementen en un valor inferior al 15% se aplicará la segunda etapa de la transición, tal y como se encuentra prevista en la Resolución CREG 063 de 2002.
PARÁGRAFO 2o. Los OR propondrán la transición conjuntamente con la solicitud de aprobación de cargos por uso del STR y SDL, la cual debe ser aprobada por la CREG, conjuntamente con los cargos de cada OR.
ARTÍCULO 18. DEROGATORIAS. La presente Resolución deroga el numeral II del Anexo número 1 "METODOLOGIA PARA EL ESTABLECIMIENTO DE CARGOS DE CONEXION AL SISTEMA DE TRANSMISION NACIONAL", de la Resolución CREG 002 de 1994.
ARTÍCULO 19. VIGENCIA. Esta Resolución rige a partir de la fecha de su publicación en el Diario Oficial, y deroga aquellas disposiciones que le sean contrarias.
PUBLÍQUESE Y CÚMPLASE.
Dada en Bogotá, D. C., a 17 de diciembre de 2002.
El Ministro de Minas y Energía,
LUIS ERNESTO MEJÍA CASTRO,
Presidente.
El Director Ejecutivo,
JAIME ALBERTO BLANDÓN DÍAZ.
CALCULO DE COSTOS ANUALES.
1. Determinación de los costos anuales por el uso de los activos de los niveles de tensión 4, 3 y 2
Para cada uno de los niveles de tensión 4, 3 y 2 de los STR o SDL se determinará un costo anual por su uso, en pesos colombianos de diciembre de 2001, de acuerdo con la siguiente fórmula:
![]()
donde:
n: Nivel de Tensión 4, 3 ó 2
CAj,n: Costo anual por uso de los activos del Nivel de Tensión n, para el Operador de Red j.
CAAEj,n: Costo anual equivalente de los Activos de Uso en el Nivel de Tensión n, para el Operador de Red j.
CAANEj,n: Costo anual equivalente de los activos no eléctricos asignable al Nivel de Tensión n, para el Operador de Red j.
AOMj,n: Gastos anuales de Administración, Operación y Mantenimiento asignables al Nivel de Tensión n, para el Operador de Red j.
Cada uno de los componentes que conforman los costos anuales se determinará de conformidad con las siguientes disposiciones:
1.1 Costo Anual Equivalente de Activos de Uso (CAAEj,n):
El Costo Anual Equivalente de los Activos de Uso se determinará a partir de:
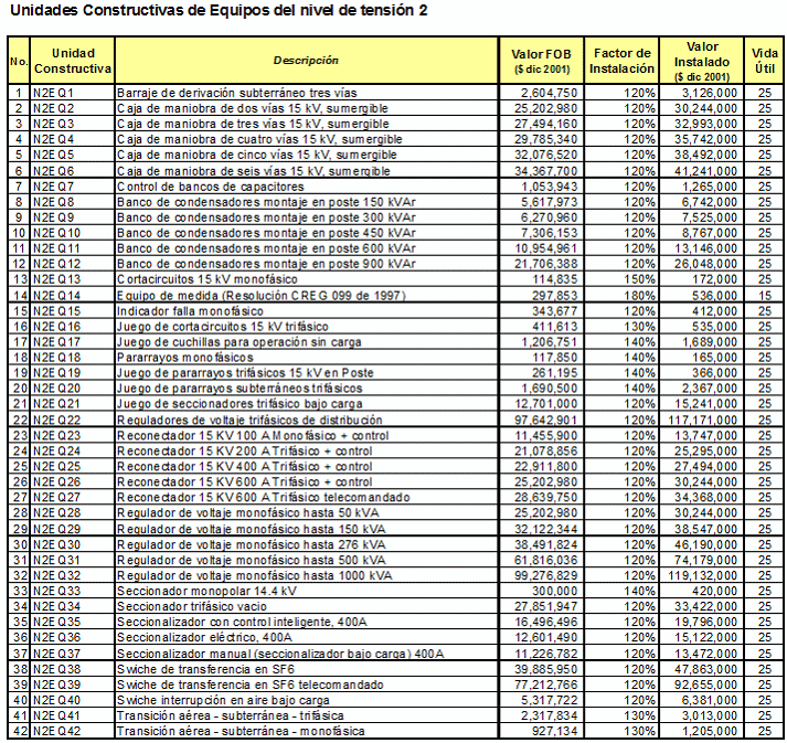
- Los inventarios de activos eléctricos que reporten los OR a la CREG con la solicitud de cargos, clasificados según el listado de unidades constructivas que se presentan en el Anexo número 3 de la presente Resolución y las Unidades Constructivas especiales sometidos a consideración de la Comisión, en cumplimiento de las Circulares CREG número 019, 025, 027, 029, 038 de 2002, o en aquellas que las adicionen, modifiquen o sustituyan.
- La valoración de las unidades constructivas reportadas, utilizando los costos de reposición a nuevo que se establecen en el Anexo número 3 de la presente Resolución.
- Las vidas útiles que se reconocen a cada una de las unidades constructivas, las cuales se presentan en el Anexo número 3 de la presente Resolución.
- El listado de terrenos asociados con cada subestación del OR, el cual debe ser reportado por el OR a la CREG, conjuntamente con la solicitud de aprobación de que tratan los artículos 3 y 5 de la presente Resolución, indicando para cada terreno su área (m2) y su valor catastral total ($ colombianos de diciembre de 2001).
Utilizando las siguientes expresiones:
a) Nivel de Tensión 4
El costo anual equivalente de los activos de uso para este nivel se determina así:
![]()
donde:
CALRj,4: Costo anual equivalente de activos de uso correspondientes a unidades constructivas de líneas radiales, del OR j en el Nivel de Tensión 4, el cual, se calcula según la expresión que se presenta más adelante.
CALNRj,4: Costo anual equivalente de activos de uso correspondientes a unidades constructivas diferentes de líneas radiales, del OR j en el Nivel de Tensión 4, el cual se calcula según las expresión que se presenta más adelante.
Las variables CALRj,4 y CALNRj,4 se determinan así:
Costo anual equivalente de activos de uso correspondientes a unidades constructivas de líneas radiales (CALRj,4):
![]()
NRj,4: Número total de unidades constructivas de líneas radiales, del Nivel de Tensión 4, reportadas por el OR j. No se deben considerar las unidades constructivas asociadas con líneas "normalmente abiertas".
CREi: Costo Unitario de Reposición a Nuevo Eficiente (luego de aplicar criterios de eficiencia contenidos en el numeral 1.1. del Anexo número 8), reconocido para la Unidad Constructiva i, reportada por el OR j. Esta variable se determina así:
![]()
donde:
CRi: Costo de Reposición a nuevo para la unidad constructiva i.
Fefi: Factor de Eficiencia correspondiente al tramo de línea radial al que pertenece la Unidad Constructiva i. Este factor se determina según lo dispuesto en el numeral 1.1. del Anexo número 8 de la presente Resolución.
r: Tasa de Descuento reconocida, en términos constantes y antes de impuestos, para remuneración por la Metodología de Ingreso Máximo. Su valor es 14.06%
Vi: Vida útil en años, reconocida para la unidad constructiva i.
Costo anual equivalente de activos de uso correspondientes a unidades constructivas diferentes de líneas radiales (CALNRj,4):

donde:
NNRj,4: Número total de unidades constructivas diferentes de unidades de líneas radiales, del Nivel de Tensión 4, reportados por el OR j. No se deben considerar las unidades constructivas asociadas con líneas "normalmente abiertas", o con activos que usualmente no son utilizados en la prestación del servicio.
CRi: Costo de Reposición a nuevo para la unidad constructiva i.
PUi: Fracción del costo de la Unidad Constructiva i, que es remunerada vía cargos por uso de los STR o SDL.
r: Tasa de Descuento reconocida, en términos constantes y antes de impuestos, para remuneración por la Metodología de Ingreso Máximo. Su valor es 14.06%.
Vi: Vida útil en años, reconocida para la unidad constructiva i.
CAETj,4: Costo Anual de Terrenos para el Nivel de Tensión 4 del OR j. Aplica exclusivamente a las Unidades Constructivas de Subestaciones, y se calcula según lo dispuesto en el literal d) de este numeral.
CASNj: Costo Anual de Unidades Constructivas que no se asocian con un Nivel de Tensión específico. Este costo se determina según lo establecido en el literal e) de este numeral.
Nsj: Número Total de Niveles de Tensión distintos al Nivel de Tensión 1 (máximo 3), para los cuales el OR j reporta activos de uso.
Dsj,4: Variable que toma los valores 1 ó 0. Su valor es 1 cuando el OR j reporta activos de uso para el Nivel de Tensión 4.
Euj,4: Energía útil del Nivel de Tensión 4 del Operador de Red j. Esta energía se estima según lo establecido en el numeral 2 del Anexo número 7 de la presente Resolución.
CME4: Cargo Máximo eficiente a reconocer para unidades constructivas diferentes de unidades de líneas radiales, del Nivel de Tensión 4. Este cargo se determina según lo dispuesto en el numeral 1.2 del Anexo número 8 de la presente Resolución.
b) Nivel de Tensión 3

donde:
Nj,3: Número total de Unidades Constructivas del Nivel de Tensión 3, reportadas por el OR j. No se deben considerar las unidades constructivas asociadas con líneas "normalmente abiertas", o con activos que usualmente no son utilizados en la prestación del servicio.
CRi: Costo de Reposición a nuevo para la unidad constructiva i.
PUi: Fracción del costo de la Unidad Constructiva i, que es remunerada vía cargos por uso de los STR o SDL.
r: Tasa de Descuento reconocida, en términos constantes y antes de impuestos, para remuneración por la Metodología de Precio Máximo. Su valor es 16.06%.
Vi: Vida útil en años, reconocida para la unidad constructiva i.
CAETj,3: Costo Anual de Terrenos para el Nivel de Tensión 3 del OR j. Aplica exclusivamente a las Unidades Constructivas de Subestaciones, y se calcula según lo dispuesto en el literal d de este numeral.
CASNj: Costo Anual de Unidades Constructivas que no se asocian con un Nivel de Tensión específico. Este costo se determina según lo establecido en el literal e) de este numeral.
Nsj: Número Total de Niveles de Tensión distintos al Nivel de Tensión 1 (máximo 3), para los cuales el OR j reporta activos de uso.
Dsj,3: Variable que toma los valores 1 ó 0. Su valor es 1 cuando el OR j reporta activos de uso para el Nivel de Tensión 3.
Euj,3: Energía útil del Nivel de Tensión 3 del Operador de Red j. Esta energía se estima según lo establecido en el numeral 2 del Anexo número 7 de la presente Resolución.
CME3: Cargo Máximo eficiente a reconocer para el Nivel de Tensión 3. Este cargo se determina según lo dispuesto en el numeral 2 del Anexo número 8 de la presente Resolución.
c) Nivel de Tensión 2
El costo anual de los activos de uso para el Nivel de Tensión 2 se determina así:
![]()
donde:
CAUj,2: Costo Anual Equivalente de Activos de uso correspondientes a Unidades Constructivas de líneas urbanas, del Nivel de Tensión 2, reportadas por el OR j.
CARj,2: Costo Anual Equivalente de Activos de uso correspondientes a Unidades Constructivas de líneas rurales, del Nivel de Tensión 2, reportadas por el OR j.
CAOj,2: Costo Anual Equivalente de Activos de uso correspondientes a Unidades Constructivas diferentes de líneas rurales y urbanas, del Nivel de Tensión 2, reportadas por el OR j.
Las variables anteriores se determinarán así:
Costo Anual Equivalente de Activos de uso correspondientes a Unidades Constructivas de líneas urbanas (CAUj,2):

donde:
NLUj,2: Número total de Unidades Constructivas correspondientes a líneas urbanas del Nivel de Tensión 2, reportadas por el OR j. No se deben considerar las unidades constructivas asociadas con líneas "normalmente abiertas".
CRi: Costo de Reposición a nuevo para la unidad constructiva i.
r: Tasa de Descuento reconocida, en términos constantes y antes de impuestos, para remuneración por la Metodolo gía de Precio Máximo. Su valor es 16.06%.
Vi: Vida útil en años, reconocida para la unidad constructiva i.
Euuj,2: Energía útil urbana del Nivel de Tensión 2 del Operador de Red j. Esta energía se estima según lo establecido en el numeral 2 del Anexo número 7 de la presente Resolución.
CMEU2: Cargo Máximo eficiente a reconocer para activos de uso correspondientes a líneas urbanas del Nivel de Tensión 2. Este cargo se determina según lo dispuesto en el numeral 3 del Anexo número 8 de la presente Resolución.
Costo Anual Equivalente de Activos de uso correspondientes a Unidades Constructivas de líneas rurales (CARj,2):

donde:
NLRj,2: Número total de Unidades Constructivas correspondientes a líneas rurales del Nivel de Tensión 2, reportadas por el OR j. No se deben considerar las unidades constructivas asociadas con líneas "normalmente abiertas".
CRi: Costo de Reposición a nuevo para la unidad constructiva i.
r: Tasa de Descuento reconocida, en términos constantes y antes de impuestos, para remuneración por la Metodología de Precio Máximo. Su valor es 16.06%.
Vi: Vida útil en años, reconocida para la unidad constructiva i.
Eurj,2: Energía útil rural del Nivel de Tensión 2 del Operador de Red j. Esta energía se estima según lo establecido en el numeral 2 del Anexo número 7 de la presente Resolución.
CMER2: Cargo Máximo eficiente a reconocer para activos de uso correspondientes a líneas rurales del Nivel de Tensión 2. Este cargo se determina según lo dispuesto en el numeral 3 del Anexo número 8 de la presente Resolución.
Costo Anual Equivalente de Activos de uso correspondientes a Unidades Constructivas diferentes de líneas rurales y urbanas (CAOj,2):

donde:
NNLj,2: Número total de Unidades Constructivas correspondientes a activos de uso diferentes de líneas urbanas y rurales, del Nivel de Tensión 2, reportadas por el OR j. No se deben considerar las unidades constructivas asociadas con líneas "normalmente abiertas" o con activos que usualmente no son utilizados en la prestación del servicio
CRi: Costo de Reposición a nuevo para la unidad constructiva i.
PUi: Fracción del costo de la Unidad Constructiva i que es remunerada vía cargos por uso de los STR o SDL.
r: Tasa de Descuento reconocida, en términos constantes y antes de impuestos, para remuneración por la Metodología de Precio Máximo. Su valor es 16.06%.
Vi: Vida útil en años, reconocida para la unidad constructiva i.
CAETj,2: Costo Anual de Terrenos para el Nivel de Tensión 2 del OR j. Aplica exclusivamente a las Unidades Constructivas de Subestaciones, y se calcula según lo dispuesto en el literal d) de este numeral.
CASNj: Costo Anual de Unidades Constructivas que no se asocian con un Nivel de Tensión específico. Este costo se determina según lo establecido en el literal e) de este numeral.
Nsj: Número Total de Niveles de Tensión distintos al Nivel de Tensión 1 (máximo 3), para los cuales el OR j reporta activos de uso.
Dsj,2: Variable que toma los valores 1 ó 0. Su valor es 1 cuando el OR j reporta activos de uso para el Nivel de Tensión 2.
Euj,2: Energía útil del Nivel de Tensión 2 del Operador de Red j. Esta energía se estima según lo establecido en el numeral 2 del Anexo número 7 de la presente Resolución.
CMEO2: Cargo Máximo eficiente a reconocer para activos de uso diferentes a líneas urbanas y rurales, del Nivel de Tensión 2. Este cargo se determina según lo dispuesto en el numeral 3 del Anexo número 8 de la presente Resolución.
d) Costo Anual de Terrenos (CAETj,n)
Este costo se calcula para cada Nivel de Tensión de acuerdo con la siguiente expresión:
![]()
donde:
R: 0.076. Fracción del valor total de los terrenos que se reconoce anualmente sobre los mismos. Incluye el costo de adecuación.
NSj,n: Número total de Unidades Constructivas de subestaciones del Nivel de Tensión n, reportadas por el OR j, sobre las cuales se reconocen áreas de terrenos. No se deben considerar las unidades constructivas asociadas con líneas "normalmente abiertas" o con activos que usualmente no son utilizados en la prestación del servicio.
ATi: Area Típica reconocida a la Unidad Constructiva i (m2). Las Areas Típicas se presentan en el Anexo número 3 de la presente Resolución.
PUi: Fracción del costo de la Unidad Constructiva i que es remunerada vía cargos por uso de los STR o SDL.
VCTi: Valor Catastral del Terreno ($/m2 de diciembre de 2001) correspondiente a la subestación en la cual se encuentra la Unidad Constructiva i. Este valor se determina a partir de la información de área y valor catastral total del terreno en el que se encuentra ubicada cada subestación del OR j.
e) Costo Anual de Unidades Constructivas que no se asocian con un Nivel de Tensión específico (CASNj)
Este costo se determina según la siguiente expresión:
![]()
donde:
NSNj: Número total de Unidades Constructivas reportadas por el OR j, y que no están asociadas con un Nivel de Tensión específico.
CRi: Costo de Reposición a nuevo para la unidad constructiva i.
r: Tasa de Descuento reconocida, en términos constantes y antes de impuestos, para remuneración por la Metodología de Ingreso Máximo. Su valor es 14.06%.
Vi: Vida útil en años, reconocida para la unidad constructiva i.
1.2 Costo Anual Equivalente de Activos No Eléctricos (CAANEj,n):
Se determinará el Costo Anual Equivalente de los Activos No Eléctricos que se reconoce al Operador de Red, en cada nivel de tensión, de acuerdo con la siguiente expresión:
![]()
donde:
NE: Fracción del Costo Anual Equivalente de los Activos de Uso del Operador de Red, que se reconoce como Costo Anual Equivalente de Activos No Eléctricos. NE es igual a 0.041 para los niveles de tensión 4, 3 y 2.
CAAEj,n: Costo Anual Equivalente de Activos de Uso del Nivel de Tensión n para el OR j.
1.3 Gastos anuales de Administración, Operación y Mantenimiento (AOMj,n):
Los Gastos anuales por concepto de Administración, Operación y Mantenimiento que se reconocerán al Operador de Red j para el Nivel de Tensión n (AOMj,n), se estimarán de acuerdo con la siguiente expresión:
![]()
donde:
n: Niveles de tensión 4, 3 ó 2
NTj,n: Número total de unidades constructivas reportadas por el OR j, para el Nivel de Tensión n.
FAn: Fracción máxima del Costo de Reposición que se reconoce como gasto anual de administración, operación y mantenimiento en el Nivel de Tensión n, así:
Nivel de Tensión (n) FAn
4 0.02
3 0.02
2 0.04
FASi: Fracción adicional del Costo de Reposición de la Unidad Constructiva i, que se reconoce como gasto anual de administración, operación y mantenimiento para activos en zonas de contaminación salina. Su valor es 0.005
Para reconocer sobre una Unidad Constructiva el porcentaje adicional de AOM por contaminación salina, esta debe ubicarse dentro de las regiones en las cuales se reconoció dicha condición en el período tarifario 1997-2002.
CRi: Costo de Reposición a nuevo para la unidad constructiva i.
PUi: Fracción del costo de la Unidad Constructiva i que es remunerada vía cargos por uso de los STR o SDL.
NSNj: Número total de Unidades Constructivas reportadas por el OR j, que no están asociadas con un Nivel de Tensión específico.
Nsj: Número Total de Niveles de Tensión distintos al Nivel de Tensión 1 (máximo 3), para los cuales el OR j reporta activos de uso.
Dsj,n: Variable que toma los valores 1 ó 0. Su valor es 1 cuando el OR j reporta activos de uso para el Nivel de Tensión n.
2. Determinación de los costos anuales de los Activos de Conexión al STN del OR.
Los Costos Anuales de las Conexiones de un OR al STN (CACj), se determinarán de conformidad con la siguiente expresión:
![]()
donde:
CAACj: Costo Anual Equivalente Activos Eléctricos asociados con la conexión al STN del OR j.
CATCj: Costo Anual de Terrenos asociados con activos de conexión al STN del OR j.
CANECj: Costo Anual de Activos No Eléctricos asociados con activos de conexión al STN del OR j.
AOMCj: Gastos anuales por concepto de Administración, Operación y Mantenimiento, asociados con activos de conexión al STN, que se reconocen al Operador de Red j.
Cada una de las variables anteriormente mencionadas se calculan a partir de las siguientes expresiones:
Costo Anual Equivalente Activos Eléctricos asociados con la conexión al STN del OR j (CAACj):
![]()
donde:
NSTNj: Número total de Unidades Constructivas asociadas con activos de conexión al STN, reportadas por el OR j.
CRi: Costo de Reposición a nuevo para la unidad constructiva i.
PUi: Fracción del costo de la Unidad Constructiva i que es remunerada vía cargos por uso de los STR o SDL.
r: Tasa de Descuento reconocida, en términos constantes y antes de impuestos, para remuneración por la Metodología de Ingreso Máximo. Su valor es 14.06%.
Vi: Vida útil en años, reconocida para la unidad constructiva i.
Costo Anual de Terrenos asociados con activos de conexión al STN del OR j (CATCj):
![]()
donde:
R: 0.076. Fracción del valor total de los terrenos que se reconoce anualmente por los mismos. Incluye el costo de adecuación.
NSTNj: Número total de Unidades Constructivas asociadas con activos de conexión al STN reportadas por el OR j.
ATi: Area Típica reconocida a la Unidad Constructiva i (m2). Las Areas Típicas se presentan en el Anexo número 3 de la presente Resolución.
PUi: Fracción del costo de la Unidad Constructiva i que es remunerada vía cargos por uso de los STR o SDL.
VCTi: Valor Catastral del Terreno ($/m2 de diciembre de 2001) correspondiente a la subestación en la cual se encuentra la Unidad Constructiva i. Este valor se determina a partir de la información de área y valor catastral del terreno en el que se encuentra ubicada cada subestación del OR j.
Costo Anual de Activos No Eléctricos asociados con activos de conexión al STN del OR j (CANECj):
![]()
donde:
NE: Fracción del Costo Anual Equivalente de los Activos de conexión al STN del Operador de Red, que se reconoce como Costo Anual Equivalente de Activos No Eléctricos. NE es igual a 0.041
CAACj: Costo Anual Equivalente Activos Eléctricos asociados con la conexión al STN del OR j.
Gastos anuales por concepto de Administración, Operación y Mantenimiento, asociados con activos de conexión al STN (AOMCj):
![]()
donde:
NSTNj: Número total de Unidades Constructivas asociadas con activos de conexión al STN, reportadas por el OR j.
FACi: Fracción máxima del Costo de Reposición de la Unidad Constructiva i, que se reconoce como gasto anual de administración, operación y mantenimiento de Activos de Conexión al STN. Su valor es 0.02
FASi: Fracción adicional del Costo de Reposición de la Unidad Constructiva i, que se reconoce como gasto anual de administración, operación y mantenimiento para activos de conexión al STN en zonas de contaminación salina. Su valor es 0.005
Para reconocer sobre una Unidad Constructiva el porcentaje adicional de AOM por contaminación salina, esta debe ubicarse dentro de las regiones en las cuales se reconoció dicha condición en el período tarifario 1997-2002.
CRi: Costo de Reposición a nuevo para la unidad constructiva i.
PUi: Fracción del costo de la Unidad Constructiva i que es remunerada vía cargos por uso de los STR o SDL.
En el Anexo número 3 de esta Resolución se presenta el listado de Unidades Constructivas de Conexión al STN, sus Costos de Reposición a Nuevo y las Vidas Utiles Reconocidas a cada una de ellas.
El Ministro de Minas y Energía,
LUIS ERNESTO MEJÍA CASTRO,
Presidente.
El Director Ejecutivo,
JAIME ALBERTO BLANDÓN DÍAZ.
CALCULO DE CARGOS POR NIVEL DE TENSION.
1. Cálculo de Cargos de los STR.
Los Cargos de los STR serán calculados por el LAC, de acuerdo con la siguiente metodología:
a) Para cada uno de los años del período tarifario, el LAC estimará el Ingreso Anual para remunerar los activos de uso del Nivel de Tensión 4 y las conexiones al STN, de cada OR, así:
![]()
![]()
donde:
IAj,4,R,k: Ingreso Anual en el año k, para remunerar el uso de los activos del Nivel de Tensión 4 del Operador de Red j, perteneciente al STR R, actualizado al mes de diciembre del año k-1.
CA j,4: Costo Anual por uso de los activos del Nivel de Tensión 4, aprobado por la CREG para el OR j. Este valor estará referido a pesos colombianos de diciembre de 2001.
ICj,R,k: Ingreso Anual en el año k, para remunerar las conexiones al STN del Operador de Red j, perteneciente al STR R, actualizado al mes de diciembre del año k-1.
CACj: Costo Anual de Conexiones al STN, aprobado por la CREG para el Operador de Red j. Este valor estará referido a pesos colombianos de diciembre de 2001.
fp: Factor de Productividad Anual. Su valor será 0.0042.
a: Número de años transcurridos desde aquel en el que se aprobaron al Operador de Red j, el Costo Anual por uso de los activos del Nivel de Tensión 4 y el Costo Anual de Conexiones al STN. Por ejemplo, para aquellos OR que obtengan aprobación, por primera vez, en el año 2003, a es igual a cero (0) en ese año.
IPPk-1: Indice de Precios al Productor Total Nacional correspondiente al mes de diciembre del año k-1.
IPPo: Indice de Precios al Productor Total Nacional correspondiente al mes de diciembre de 2001.
b) Para cada uno de los STR, el LAC estimará el Ingreso Total Anual, así:
![]()
donde:
k: Año de cálculo del Ingreso Total Anual.
ITRR,k: Ingreso Total Anual para el Sistema de Transmisión Regional R, en el año k. Este ingreso está referido al mes de diciembre del año k-1.
TR: Número total de OR que conforman el STR R y que han obtenido aprobación, por parte de la CREG, del Costo Anual por uso de los activos del Nivel de Tensión 4 y del Costo Anual de Conexiones al STN.
c) Para cada uno de los STR, el LAC estimará el Cargo del Nivel de Tensión 4, de cada STR, así:

CD4,R,k: Cargo del Nivel de Tensión 4 ($/kWh), del Sistema de Transmisión Regional R, en el año k. Este cargo estará actualizado al mes de diciembre del año k-1.
ITRR,k: Ingreso Total Anual para la región R, en el año k, calculado según lo dispuesto en el literal b).
TR: Número total de OR que conforman la región R y que han obtenido aprobación, por parte de la CREG, del Costo Anual por uso de los activos del Nivel de Tensión 4 y del Costo Anual de Conexiones al STN.
DTCj,R,k-1: Demanda total de los comercializadores que atienden usuarios conectados al sistema del OR j, perteneciente al Sistema de Transmisión Regional R, durante el año anterior a k. Esta energía estará referida a 220 kV y no considerará la demanda de usuarios conectados directamente al STN. Para referir las demandas a 220 kV se utilizarán los factores contenidos en el numeral 2 del Anexo número 10 de esta Resolución.
El cálculo del Ingreso Anual y del cargo de un STR, se realizará a partir del momento en que al menos uno de los Operadores de Red que lo conforman, obtenga aprobación del Costo Anual por uso de los activos del Nivel de Tensión 4 y del Costo Anual de Conexiones al STN. Los Ingresos Anuales y los Cargos de un STR se actualizarán en la medida que se aprueben, por primera vez, los Costos Anuales mencionados a los demás OR que lo conforman, y entrarán a regir a partir del mes siguiente al de aprobación.
2. Cálculo de cargos máximos para los niveles de tensión 3 y 2
Los cargos máximos para los niveles de tensión 3 y 2 se determinarán, para cada uno de los años del período tarifario, a partir de:
Los Costos Anuales encontrados de acuerdo con la formulación contenida en el numeral 1 del Anexo No.1.
Las energías útiles de cada Nivel de Tensión estimadas, para cada año del período tarifario, según lo establecido en el numeral 2 del Anexo número 7 de la presente Resolución.
Los cargos máximos para los niveles de tensión 3 y 2 (CDj,3 y CDj,2 respectivamente) se calculan por medio de las siguientes expresiones:
a) Nivel de Tensión 3
![]()
donde:
CAj,3: Costo Anual para remunerar el uso de los activos del Nivel de Tensión 3 del Operador de Red j. Este valor estará referido a pesos colombianos de diciembre de 2001.
Euj,3: Energía útil del Nivel de Tensión 3 del Operador de Red j. Esta energía se estima según lo establecido en el numeral 2 del Anexo número 7 de la presente Resolución.
Oj,3: Pago anual por uso de SDL que el OR j hace a otro OR, por concepto de conexiones en el Nivel de Tensión 3, determinado de acuerdo con la siguiente expresión:
![]()
donde:
NC3j: Número de conexiones con otros OR, que inyectan energía en el Nivel de Tensión 3 del OR j.
CDj,l: Cargos Máximos ($/kWh) estimados para otros OR, o equivalentes del respectivo contrato de conexión, aplicables a la conexión l que tiene el OR j.
EIj,l: Energía que importó el OR j, a través de su conexión l con otro OR, reportada según lo dispuesto en el Anexo número 7.
b) Nivel de Tensión 2
<Formula corregida por el artículo 2 de la Resolución 27 de 2003. El nuevo texto es el siguiente:>

donde:
CAj,2: Costo Anual para remunerar el uso de los activos eléctricos del Nivel de Tensión 2 del Operador de Red j. Este valor estará referido a pesos colombianos de diciembre de 2001.
Euj,2: Energía útil del Nivel de Tensión 2 del Operador de Red j. Esta energía se estima según lo establecido en el numeral 2 del Anexo número 7 de la presente Resolución.
Fej,3®2: Energía que fluye del Nivel de Tensión 3 al Nivel de Tensión 2, del OR j. Estas energías se determinan según lo establecido en el Anexo número 7 de la presente Resolución.
Fej,3S: Energía que sale del Nivel de Tensión 3 del OR j (sin considerar pérdidas). Esta energía se determina según lo establecido en el Anexo número 7 de la presente Resolución.
Oj,2: Pago anual por uso de SDL que el OR j hace a otro OR, por concepto de conexiones en el Nivel de Tensión 2, determinados de acuerdo con la siguiente expresión:
![]()
donde:
NC2j: Número de conexiones con otros OR, que inyectan energía en el Nivel de Tensión 2 del OR j.
CDj,l: Cargos Máximos ($/kWh) estimados para otros OR, o equivalentes del respectivo contrato de conexión, aplicables a la conexión l que tiene el OR j.
EIj,l: Energía que importó el OR j, a través de su conexión l con otro OR, reportada según lo dispuesto en el Anexo número 7.
3. Cálculo de cargos máximos del Nivel de Tensión 1
Para cada Operador de Red se establecen los siguientes cargos:
Redes Aéreas: - Cargo Máximo por concepto de Inversión (CDAIj,1),
- Cargo Máximo por concepto de gastos de Administración, Operación y Mantenimiento (CDAMj,1).
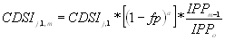
Redes Subterráneas: - Cargo Máximo por concepto de Inversión (CDSIj,1),
- Cargo Máximo por concepto de gastos de Administración, Operación y Mantenimiento (CDSMj,1).
Estos Cargos se determinan a partir de las siguientes expresiones:
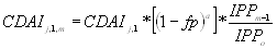
Cargo Máximo del Nivel de Tensión 1, por concepto de Inversión, para Redes Aéreas (CDAIj,1):
![]()
donde:
CMEIr: Cargo Máximo eficiente reconocido por concepto de Inversión para redes aéreas rurales. Su valor es 38.8750 $/kWh ($ colombianos de diciembre de 2001).
PDRj: Capacidad de transformación total instalada en transformadores de distribución de la zona rural (grupo 4 de calidad) del OR j, reportada a la CREG, a la fecha de solicitud de aprobación de cargos, en cumplimiento de las disposiciones vigentes en materia de calidad del servicio.
PDUj: Capacidad de transformación total instalada en transformadores de distribución de la zona urbana (grupos 1, 2 y 3 de calidad) del OR j, reportada a la CREG, a la fecha de solicitud de aprobación de cargos, en cumplimiento de las disposiciones vigentes en materia de calidad del servicio.
CMEIu: Cargo Máximo eficiente reconocido por concepto de Inversión para redes aéreas urbanas. Su valor es 15.6555 $/kWh ($ colombianos de diciembre de 2001).
Cargo Máximo del Nivel de Tensión 1, por concepto de gastos de Administración, Operación y Mantenimiento, para Redes Aéreas (CDAMj,1):
![]()
donde:
CMEMr: Cargo Máximo eficiente reconocido por concepto de gastos de Administración, Operación y Mantenimiento para redes rurales. Su valor es 5.3835 $/kWh ($ colombianos de diciembre de 2001).
CMEMu: Cargo Máximo eficiente reconocido por concepto de gastos de Administración, Operación y Mantenimiento para redes urbanas. Su valor es 0.3120 $/kWh ($ colombianos de diciembre de 2001).
Cargo Máximo del Nivel de Tensión 1, por concepto de Inversión, para Redes Subterráneas (CDSIj,1):
![]()
Cargo Máximo del Nivel de Tensión 1, por concepto de gastos de Administración, Operación y Mantenimiento, para Redes Subterráneas (CDSMj,1):
![]()
* $ colombianos de diciembre de 2001.
El Ministro de Minas y Energía,
LUIS ERNESTO MEJÍA CASTRO,
Presidente.
El Director Ejecutivo,
JAIME ALBERTO BLANDÓN DÍAZ.
LISTADO DE UNIDADES CONSTRUCTIVAS DE STR Y SDL
EN LOS NIVELES DE TENSION 4, 3 Y 2 Y DE LAS CONEXIONES
AL STN.
AREAS TIPICAS RECONOCIDAS A LAS UNIDADES CONSTRUCTIVAS
1. Listado de Unidades Constructivas de Conexiones al STN, y STR, SDL en los niveles de tensión 4, 3 y 2.
Las Unidades Constructivas establecidas por la Comisión contienen los equipos y accesorios que permiten a los OR cumplir con los niveles de calidad exigidos por la CREG. Cuando un OR no tenga los elementos completos de una Unidad Constructiva, deberá indicarlo en las observaciones del registro correspondiente en el reporte de información a la Base de Datos de la Comisión, y debe asumir los riesgos del pago de compensaciones a sus usuarios por fallas en la prestación del servicio, por este motivo. Sin embargo, se hace una excepción a esta regla para el caso de las líneas monofásicas del Nivel de Tensión 2 que no tengan neutro, las cuales se valorarán al 40% del valor establecido de la respectiva Unidad Constructiva.
Por otra parte, el valor que se reconocerá para el caso de líneas sobrepuestas del Nivel de Tensión 2 y 3, es el equivalente al 60% del valor de la Unidad Constructiva correspondiente.
Las Unidades Constructivas de Bahías de Conexión de Equipos de Compensación se asimilan a la Unidad Constructiva de Bahía de Línea para la respectiva configuración y Nivel de Tensión.
Solamente se debe considerar una Unidad Constructiva de Módulo Común por subestación, el cual corresponde al Nivel de Tensión más alto de la subestación.
En lo relacionado con las unidades constructivas correspondientes a Centros de Control, su Costo Anual Equivalente se distribuirá en igual proporción entre los Niveles de Tensión 4, 3 y 2.
Los transformadores de repuesto para conexión al STN que se remuneran dentro de contratos de conexión, podrán hacer parte de la base de activos para el cálculo de cargos por uso del Nivel de Tensión 4.
Adicionalmente a lo anterior, para la clasificación de los activos en las unidades constructivas se tendrá en cuenta lo siguiente:
- Son activos del Nivel de Tensión 4 las líneas con tensiones de operación que pertenecen a este Nivel de Tensión.
- Pertenecen al Nivel de Tensión 4 todas las unidades constructivas que sirven en forma exclusiva a este Nivel de Tensión, tales como: bahías de líneas, módulos comunes de subestación, los módulos de barraje, sistema de control de la subestación, módulos de compensación y las bahías de conexión correspondientes, bahías de maniobra, etc.
- Las bahías de transformación, distintas a las asociadas con los transformadores de conexión al STN, se asocian con el Nivel de Tensión del secundario del transformador.
- El costo de los transformadores tridevanados y de sus bahías asociadas, se repartirá de la siguiente manera:
![]()
![]()
donde:
CL: Costo del transformador tridevanados y de sus bahías de transformación, asignable al Nivel de Tensión L (baja tensión).
CT: Costo del transformador tridevanados y de sus bahías de transformación, asignable al Nivel de Tensión T (terciario).
CTRF: Costo del transformador tridevanados
PL: Potencia nominal del devanado de baja tensión (Nivel de Tensión L)
PT: Potencia nominal del devanado terciario
CB: Costo de la Bahía de Tranformación del lado de alta tensión del transformador tridevanados.
En las unidades constructivas asociadas a estos transformadores, reportadas a la CREG, se deberá indicar las bahías de transformación asociadas con cada transformador.
- Se considerarán como activos de conexión al STN las siguientes unidades constructivas: la Bahía de Transformador con tensión mayor o igual a 220 kV, el Transformador con una tensión primaria mayor o igual a 220 kV y, secundaria, cualquier tensión y la Bahía de Transformador del lado de baja.
<El Cuadro de Unidades Constructivas de equipos de subestación del Nivel de Tensión 2 del Anexo número 3 corregido mediante el artículo 2 de la Resolución 27 de 2003. Consultar Resolución 27 de 2003>
El texto original es el siguiente:











2. Áreas típicas reconocidas a las Unidades Constructivas



El Ministro de Minas y Energía,
LUIS ERNESTO MEJÍA CASTRO,
Presidente.
El Director Ejecutivo,
JAIME ALBERTO BLANDÓN DÍAZ.
ACTUALIZACION, LIQUIDACION Y RECAUDO DE LOS CARGOS
DE LOS STR Y DE LOS SDL.
1. ACTUALIZACION, LIQUIDACION Y RECAUDO DE LOS CARGOS DE STR, Y DISTRIBUCION DE LOS INGRESOS ENTRE LOS OR.
1.1 Actualización, liquidación y recaudo de los cargos de STR
El Ingreso Anual para remunerar los activos de Nivel de Tensión 4 y el Ingreso Anual para remunerar los activos de conexión al STN de los OR, en un Sistema de Transmisión Regional, serán recaudados por el Liquidador y Administrador de Cuentas del STN (LAC), mediante la aplicación mensual de los Cargos del Nivel de Tensión 4 de cada STR a los Comercializadores que tengan Demanda Comercial en los mismos, así:

donde:
LCi,m,k,R: Liquidación por concepto de Cargos del Nivel de Tensión 4, en el Sistema de Transmisión Regional R, que se realizará al comercializador i, por el consumo del mes m del año k.
m: Corresponde al mes calendario de prestación del servicio.
TR: Número total de OR que conforman la región R y que han obtenido aprobación, por parte de la CREG, del Costo Anual por uso de los activos del Nivel de Tensión 4 y del Costo Anual de Conexiones al STN.
DCi,j,m: Demanda del Comercializador i, en el Sistema del Operador de Red j, durante el mes de consumo m, referida al STN utilizando, cuando sea el caso, los factores de pérdidas definidos en el Anexo número 10 de la presente Resolución, sin considerar la demanda de usuarios conectados directamente al STN.
CD4,R,k: Cargo del Nivel de Tensión 4 ($/kWh), del Sistema de Transmisión Regional R, en el año k. Este cálculo se determina según lo establecido en el Anexo número 2 de la presente Resolución.
IPPm: Indice de Precios al Productor Total Nacional correspondiente al mes m.
IPPL: Indice de Precios al Productor Total Nacional correspondiente al mes de diciembre del año k-1.
La liquidación de los Cargos del Nivel de Tensión 4 se realizará en el mes inmediatamente posterior al de consumo, en cada Sistema de Transmisión Regional R, siguiendo el procedimiento que para el efecto expida la CREG en resolución aparte.
El esquema de Liquidación y Administración de Cuentas consiste en el cálculo y actualización de los cargos de los Sistemas de Transmisión Regional, la facturación y recaudo a los agentes comercializadores y la distribución de los ingresos a los Operadores de Red.
Para efectos de realizar las actividades de Liquidación y Administración de Cuentas, se establecerán, entre otras, las reglas técnicas y comerciales, la distribución de los ingresos y las garantías que los Comercializadores deben otorgar al Administrador del SIC para garantizar los pagos. Se incluirán además los plazos para la facturación y giro de recursos.
1.2 Distribución de los Ingresos para Remunerar Activos del Nivel de Tensión 4 y Conexiones al STN.
El LAC, mensualmente, distribuirá los ingresos recaudados por concepto de Cargos del Nivel de Tensión 4, entre los Operadores de Red que conforman cada Sistema de Transmisión Regional R, así:
![]()
donde:
IRDj,R,m,k: Ingresos que se asignarán al OR j, del Sistema de Transmisión Regional R en el mes m del año k.
RCm,,k,R: Monto total recaudado por el LAC en el mes m, del año k, por concepto de liquidación de Cargos del Nivel de Tensión 4 a los comercializadores del Sistema de Transmisión Regional R.
ITRj,k,R: Ingreso Total Anual para el OR j, del Sistema de Transmisión Regional R, en el año k, calculado según la metodología descrita en el numeral 1 del Anexo número 2 de la presente Resolución.
ITRk,R: Ingreso Total Anual para el Sistema de Transmisión Regional R, en el año k, calculado según la metodología descrita en el numeral 1 del Anexo número 2 de la presente Resolución.
Para la distribución de los Ingresos que se asignan a cada Operador de Red, se seguirá el procedimiento que expida la CREG en Resolución aparte.
2. ACTUALIZACION, LIQUIDACION Y RECAUDO DE LOS CARGOS MAXIMOS DE SDL
Actualización
Los Cargos Má ximos de los niveles de tensión 3 y 2, se actualizarán mensualmente de acuerdo con la siguiente expresión:
![]()
donde:
n: Nivel de Tensión 3 ó 2.
CDj,n,m,k: Cargo Máximo del Nivel de Tensión n, del OR j, correspondiente al mes m del año k.
CDj,n: Cargo Máximo del Nivel de tensión n en el año k, aprobado por la CREG al OR j. Este valor estará referido a pesos colombianos de diciembre de 2001.
fp: Factor de Productividad Anual. Su valor será 0.0042
a: Número de años transcurridos desde aquel en el que se aprobó por primera vez al Operador de Red j, su Cargo Máximo del Nivel de Tensión n. Por ejemplo, para aquellos OR que obtengan aprobación de Cargos Máximos Acumulados en el año 2003, a es igual a cero (0) para ese año.
IPPm-1: Indice de Precios al Productor Total Nacional correspondiente al mes m-1.
IPPo: Indice de Precios al Productor Total Nacional correspondiente al mes de diciembre de 2001.
Liquidación y Recaudo
Los Cargos Máximos de los niveles de tensión 3 y 2, serán liquidados y facturados por el OR a cada uno de los Comercializadores que atienden Usuarios Finales conectados a su sistema en los niveles de tensión 3 y 2, y a los OR que tomen energía de su sistema en los mismos niveles de tensión.
Estos cargos serán facturados por el OR a cada comercializador u OR, y pagados por los últimos, en los mismos plazos que se establezcan para la liquidación y recaudo de los cargos de STR. Estos plazos podrán ser modificados por acuerdo entre las partes.
3. LIQUIDACION Y RECAUDO DE LOS CARGOS MAXIMOS DEL NIVEL DE TENSION 1
Actualización
Los Cargos Máximos del Nivel de Tensión 1, se actualizarán mensualmente de acuerdo con la siguiente expresión:
![]()
![]()
![]()
![]()
donde:
CDAIj,1,m: Cargo Máximo del Nivel de Tensión 1, por concepto de Inversión, para redes aéreas del OR j en el mes m.
CDAIj,1: Cargo Máximo del Nivel de Tensión 1, por concepto de Inversión, aprobado por la CREG para redes aéreas del OR j.
CDAMj,1,m: Cargo Máximo del Nivel de Tensión 1, por concepto de gastos de Administración, Operación y Mantenimiento, para redes aéreas del OR j en el mes m.
CDAMj,1: Cargo Máximo del Nivel de Tensión 1, por concepto de gastos de Administración, Operación y Mantenimiento, aprobado por la CREG para redes aéreas del OR j.
CDSIj,1,m: Cargo Máximo del Nivel de Tensión 1, por concepto de Inversión, para redes subterráneas del OR j en el mes m.
CDSIj,1: Cargo Máximo del Nivel de Tensión 1, por concepto de Inversión, aprobado por la CREG para redes subterráneas del OR j.
CDSMj,1,m: Cargo Máximo del Nivel de Tensión 1, por concepto de gastos de Administración, Operación y Mantenimiento, aplicable a redes subterráneas del OR j en el mes m.
CDSMj,1: Cargo Máximo del Nivel de Tensión 1, por concepto de gastos de Administración, Operación y Mantenimiento, aprobado por la CREG para redes subterráneas del OR j.
fp: Factor de Productividad Anual. Su valor será 0.0042
a: Número de años transcurridos desde aquel en el que se aprobó por primera vez al Operador de Red j, el respectivo Cargo Máximo del Nivel de Tensión 1. Por ejemplo, para aquellos OR que obtengan aprobación de Cargos en el año 2003, a es igual a cero (0) para ese año.
IPPm-1: Indice de Precios al Productor Total Nacional correspondiente al mes m-1.
IPPo: Indice de Precios al Productor Total Nacional correspondiente al mes de diciembre de 2001.
Liquidación y Recaudo
Los Cargos Máximos del Nivel de Tensión 1, serán liquidados y facturados por el OR a cada uno los Comercializadores que atiendan Usuarios Finales, conectados a su sistema y que no son propietarios de los respectivos Activos de Nivel de Tensión 1.
En el caso de Activos de Nivel de Tensión 1 que no sean propiedad del OR, éste deberá reportar al Comercializador respectivo el listado de Usuarios Finales asociados con dichos Activos. El comercializador dejará de liquidar Cargos Máximos del Nivel de Tensión 1, que remuneran Inversión, a los usuarios respectivos, a partir del mes siguiente a la fecha de recepción de dicha información por parte del OR.
Cuando la propiedad de los Activos de Nivel de Tensión 1 sea compartida con el OR, en el sentido de que un tercero sea propietario del transformador o de la red secundaria, el Operador de Red deberá informar de tal situación al comercializador quien liquidará, a partir del mes siguiente a la recepción de dicha información, el 50% del respectivo cargo Máximo del Nivel de Tensión 1, que remunera Inversión, a los Usuarios Finales respectivos.
En cualquier caso, los cargos que remuneran gastos de administración, operación y mantenimiento continuarán siendo pagados por los usuarios, y trasladados al OR, teniendo en cuenta que éste último es responsable de dichas actividades sobre la totalidad de activos del Nivel de Tensión 1, independientemente de la propiedad.
Para todos los usuarios conectados a Nivel de Tensión 1 deberá suponerse que están conectados a redes aéreas, mientras el OR no pueda establecer lo contrario.
Si un Usuario conectado al Nivel de Tensión 1, está alimentado de una red secundaria que tiene una parte aérea y otra subterránea, el cargo que podrá cobrársele será el correspondiente a redes aéreas.
Los Cargos Máximos del Nivel d e Tensión 1 serán facturados por el OR a cada comercializador u OR, y pagados por estos últimos, en los mismos plazos que se establezcan para la liquidación y recaudo de los cargos por uso de STR. Estos plazos podrán ser modificados por acuerdo entre las partes.
4. CARGOS POR USO, POR NIVELES DE TENSION, QUE SE UTILIZAN EN EL CALCULO DEL COSTO UNITARIO DE PRESTACION DEL SERVICIO
Los Cargos por Uso a utilizar en el cálculo del costo unitario de prestación del servicio, para un mercado de comercialización asociado con el sistema del OR j, que a su vez hace parte del Sistema de Transmisión Regional R, se determinan de acuerdo con las siguientes expresiones:
a) Nivel de Tensión 4 (Dt4,m,k):
![]()
donde:
CD4,R,m,k: Cargo del Nivel de Tensión 4, del Sistema de Transmisión Regional R, actualizado al mes m del año k, así:

donde:
CD4,R,k: Cargo del Nivel de Tensión 4 ($/kWh), del Sistema de Transmisión Regional R, en el año k. Este cálculo se determina según lo establecido en el Anexo número 2 de la presente Resolución.
IPPm-1: Indice de Precios al Productor Total Nacional correspondiente al mes m-1.
IPPL: Indice de Precios al Productor Total Nacional correspondiente al mes diciembre del año k-1.
PR4,j,k: Factor para referir las medidas de energía del Nivel de Tensión 4 al STN, en el sistema del OR j, durante el año k.
b) Nivel de Tensión 3 (Dt3,m,k):
![]()
donde:
CDj,3,m,k: Cargo Máximo del Nivel de Tensión 3, correspondiente al mes m del año k, del OR j.
PR3,j,k: Factor para referir las medidas de energía del Nivel de Tensión 3 al STN, en el sistema del OR j, durante el año k.
c) Nivel de Tensión 2 (Dt2,m,k):
![]()
donde:
CDj,2,m,k: Cargo Máximo del Nivel de Tensión 2, correspondiente al mes m del año k, del OR j.
PR2,j,k: Factor para referir las medidas de energía del Nivel de Tensión 2 al STN, en el sistema del OR j, durante el año k.
d) Nivel de Tensión 1 (Dt1,m,k,l):
![]()
l: Nivel de Tensión al cual se conectan los Activos de Nivel de Tensión 1, que sirven a los usuarios para los cuales se está calculando el Costo Unitario. Puede tomar valores de 2 ó 3.
CDj,l,m,k: Cargo Máximo del Nivel de Tensión l, correspondiente al mes m del año k, del OR j.
CDIj,1,m: Cargo Máximo del Nivel de Tensión 1, que remunera inversión al OR j, para el mes m. Cuando el Operador de Red no sea dueño de la totalidad de los Activos del Nivel de Tensión 1, al cual se conectan Usuarios Finales, se aplicará lo dispuesto en el numeral 3 de este anexo.
CDMj,1,m: Cargo Máximo del Nivel de Tensión 1, que remunera gastos de administración, operación y mantenimiento al OR j, para el mes m (ver numeral 3 de este Anexo).
PR1,j,k: Factor para referir las medidas de energía del Nivel de Tensión 1 al STN, en el sistema del OR j, durante el año k.
PR1,l,j,k: Factor para referir las medidas de energía del Nivel de Tensión 1 al Nivel de Tensión l, del OR j, durante el año k. Este valor se presenta en el Anexo número 10 de la presente Resolución.
4. LIQUIDACION Y RECAUDO DE LOS COSTOS DE TRANSPORTE DE ENERGIA REACTIVA EN EXCESO
Los costos del transporte de la energía reactiva en exceso de que trata el artículo 11 de la presente resolución serán recaudados por el comercializador y entregados al OR que sirve al Usuario respectivo.
En el caso de los STR, los costos del transporte de la energía reactiva en exceso serán recaudados por el comercializador y entregados directamente al OR aplicando la misma tarifa con que liquida el LAC el ingreso del respectivo STR.
El Ministro de Minas y Energía,
LUIS ERNESTO MEJÍA CASTRO,
Presidente.
El Director Ejecutivo,
JAIME ALBERTO BLANDÓN DÍAZ.
VERIFICACION SOBRE LOS ACTIVOS REPORTADOS
POR LOS OPERADORES DE RED PARA DETERMINAR LOS CARGOS
POR USO DE LOS STR O SDL DE NIVELES DE TENSION 2, 3 Y 4.
A partir de la entrega de la información, por parte de los Operadores de Red, solicitada por la CREG mediante las Circulares CREG número 019, 025, 027, 029, 038 de 2002, o en aquellas que las adicionen, modifiquen o sustituyan, la Comisión adelantará una verificación de la calidad de la información reportada, de conformidad con la siguiente metodología.
Se podrán realizar, para cada OR, dos tipos de verificaciones, así:
1. Verificación Tipo 1
A partir de la información reportada por cada Operador de Red, la CREG determinará un tamaño de muestra para cada OR. El tamaño de la muestra deberá garantizar globalmente una confiabilidad mayor del 90% y un error relativo de muestreo menor del 5%.
En el desarrollo del trabajo de campo, se verificará la precisión de la información reportada a la CREG por el OR.
Se considerará que la información reportada es precisa, y por lo tanto se acepta la misma, cuando:
a) Los activos seleccionados para el trabajo de campo, no presentan ninguna inconsistencia, considerando la información reportada a la Comisión;
b) El Operador de Red explique adecuadamente las razones por las cuales la información no coincide exactamente con la levantada en campo, en caso de que se encuentre alguna inconsistencia en la información reportada para una unidad constructiva. Estas aclaraciones deberán ser efectuadas por el OR dentro de los cinco (5) días siguientes a la fecha en que sea informado de tal situación por parte de la CREG.
Se entiende que la información es inconsistente: i) cuando su georreferenciación no permita establecer la existencia del activo, ii) cuando lleve a clasificarlo en una Unidad Constructiva que no corresponde con la reportada.
Cuando se encuentre alguna inconsistencia en la información reportada, el OR podrá soportar ante la CREG las razones por las cuales la información presenta imprecisiones, dentro del plazo establecido en el literal b).
Cuando la suma del efecto de todos los errores no explicados por el OR, sobre el total de los activos, conduzca a una estimación de costos de activos superior al 0.5% del costo total de activos, estimado con las unidades constructivas correctas, se rechazará la información reportada.
Cuando a un OR le sea rechazada la información reportada, la Comisión informará de tal situación a la Superintendencia de Servicios Públicos Domiciliarios, para que adelante las acciones que correspondan según su competencia, y el OR deberá presentar nuevamente la información que respalda la aprobación de cargos por uso de STR o SDL, para lo cual deberá reportar la información de sus activos debidamente revisada, y solicitar a la Comisión la realización de la Verificación Tipo 2 que se describe en el numeral 2 del presente Anexo.
Los costos de la Verificación Tipo 1 serán asumidos por la CREG.
2. Verificación Tipo 2
Esta verificación se realizará sobre la información revisada por el OR respectivo y que ha sido reportada a la Comisión, cuando, como resultado de la aplicación de la Verificación Tipo 1, se rechazó la información reportada a la Comisión que respalda la aprobación de cargos.
En este caso se realizará el diseño de muestreo establecido para la Verificación Tipo 1. Sin embargo, se diseñará una muestra que garantice una confiabilidad global mayor del 95% y un error relativo de muestreo menor del 5%
Los criterios de aceptación y rechazo de la información serán los mismos definidos en la Auditoría Tipo 1.
Cuando en esta verificación se rechace la información reportada por un Operador de Red, la Comisión informará de tal situación a la Superintendencia de Servicios Públicos Domiciliarios, para que adelante las acciones que correspondan según su competencia, y el OR deberá presentar nuevamente la informació n que respalda la solicitud de cargos por uso de STR o SDL, para lo cual deberá reportar la información de sus activos debidamente revisada, y solicitar a la Comisión la realización de una verificación sobre el total de la información reportada.
A partir de la información obtenida de la verificación total la Comisión estimará los cargos para la empresa.
En este caso, los costos de las verificaciones parciales (Tipo 2) y totales que se requieran, serán asumidos por el respectivo Operador de Red y la CREG en partes iguales.
El Ministro de Minas y Energía,
LUIS ERNESTO MEJÍA CASTRO,
Presidente.
El Director Ejecutivo,
JAIME ALBERTO BLANDÓN DÍAZ.
RESUMEN DE INFORMACION PARA PUBLICACION
POR PARTE DE LOS OR.
Para efectos de la aplicación de las disposiciones contenidas en el Parágrafo 2o. del artículo 13 de la presente Resolución, los Operadores de Red deberán publicar como mínimo la siguiente información:
1. Costo Anual Equivalente de los niveles de tensión 4, 3 y 2 (millones de pesos colombianos de diciembre de 2001), presentados a la Comisión en la solicitud de aprobación de que trata el artículo número 5 de la presente Resolución.
2. Cargos Máximos para los niveles de tensión 3 y 2 que se presenta a la Comisión dentro del proceso de aprobación de que trata el artículo número 5 de la presente Resolución,
3. Listado de los municipios atendidos por el STR o SDL del OR, indicando para cada uno de ellos:
- Longitud total de líneas en cada Nivel de Tensión (km), que se clasifican como unidades constructivas urbanas. Este valor deberá dividirse en la longitud de redes propiedad del OR y la longitud propiedad de terceros.
- Longitud total de líneas en cada Nivel de Tensión (km), que se clasifican como unidades constructivas rurales. Este valor deberá dividirse en la longitud de redes propiedad del OR y la longitud propiedad de terceros.
- Número total de transformadores de distribución ubicados en la zona urbana (Grupos 1, 2 y 3 de calidad), por tamaño (kVA). Este valor deberá dividirse entre el numero de transformadores propiedad del OR y el número de transformadores propiedad de terceros.
- Número total de transformadores de distribución ubicados en la zona rural (Grupo 4 de calidad), por tamaño (kVA). Este valor deberá dividirse entre el número de transformadores propiedad del OR y el número de transformadores propiedad de terceros.
El Ministro de Minas y Energía,
LUIS ERNESTO MEJÍA CASTRO,
Presidente.
El Director Ejecutivo,
JAIME ALBERTO BLANDÓN DÍAZ.
REPORTES DE FLUJOS DE ENERGIA Y CALCULO
DE ENERGIA ÚTIL.
1. REPORTES DE FLUJOS DE ENERGIA
Los Operadores de Red, conjuntamente con la solicitud de aprobación de que tratan los artículos 3o. y 5o. de la presente Resolución, deberán enviar a la Comisión, siguiendo los formatos y procedimientos que ésta defina para tal efecto, los flujos de energía (kWh) de su sistema, correspondientes a l año calendario inmediatamente anterior a la fecha de solicitud.
La información a reportar para cada uno de los niveles de tensión es la siguiente:
- Flujo de energía desde los puntos de conexión al STN.
- Flujo de energía desde el sistema de otro Operador de Red. Si el OR cuenta con varias conexiones de este tipo, deberá informar la energía asociada a cada una de ellas, al igual que el nombre del respectivo OR al que se conecta.
- Flujo de energía hacia el sistema de otro Operador de Red. Si el OR cuenta con varias conexiones de este tipo, deberá informar la energía asociada a cada una de ellas, al igual que el nombre del respectivo OR al que se conecta.
- Flujo de energía inyectado al sistema del OR por generadores conectados directamente al mismo. Si el OR cuenta con varias conexiones de este tipo, deberá informar la energía asociada a cada una de ellas, al igual que el nombre de la respectiva planta de generación.
- Flujo de energía asociado con ventas a usuarios finales del servicio conectados al sistema del OR.
2. CALCULO DE ENERGIAS ÚTILES
A partir de la información reportada a la Comisión, en cumplimiento de lo dispuesto en el numeral anterior, se determinará el Flujo Eficiente de Energía del OR j, para cada uno de los años del período tarifario, considerando las pérdidas por Nivel de Tensión que se reconocen en cada año, de acuerdo con lo establecido en el Anexo número 10.
El Flujo Eficiente de Energía del OR j se determina: a) aplicando las pérdidas por Nivel de Tensión que se reconocen a las energías de entrada a cada Nivel(1), y b) con los flujos entre los niveles de tensión, ajustados de tal forma que se asegure el balance de energía de cada Nivel de Tensión.
Considerando los Flujos Eficientes de Energía del OR se determinan, para cada año del período tarifario, las energías útiles en cada Nivel de Tensión, así:
Energía Util del Nivel de Tensión 4 (Euj,4)
![]()
donde:
EEj,4: Energía anual de entrada al Nivel de Tensión 4 en el año k, del OR j.
P4,k: Nivel de pérdidas reconocido para el Nivel de Tensión 4 del año k. Este valor se presenta en el Anexo número 10 de la presente Resolución.
Energía Util del Nivel de Tensión 3 (E,3)
![]()
donde:
EEj,3: Energía anual de entrada al Nivel de Tensión 3 en el año k, del OR j.
P3,k: Nivel de pérdidas reconocido para el Nivel de Tensión 3 del año k. Este valor se presenta en el Anexo número 10 de la presente Resolución.
Energía Util del Nivel de Tensión 2 (Euj,2)
![]()
donde:
EEj,2: Energía anual de entrada al Nivel de Tensión 2 en el año k, del OR j.
P2,k: Nivel de pérdidas reconocido para el Nivel de Tensión 2 del año k. Este valor se presenta en el Anexo número 10 de la presente Resolución.
Energía Útil Rural del Nivel de Tensión 2 (Eurj,2):
![]()
donde:
Euj,2: Energía útil del OR j en el Nivel de Tensión 2 en el año k.
PDRj: Capacidad de transformación total instalada en transformadores de distribución de la zona rural (grupo 4 de calidad) del OR j, reportada a la CREG, a la fecha de solicitud de aprobación de cargos, en cumplimiento de las disposiciones vigentes en materia de calidad del servicio.
PDUj: Capacidad de transformación total instalada en transformadores de distribución de la zona urbana (grupos 1, 2 y 3 de calidad) del OR j, reportada a la CREG, a la fecha de solicitud de aprobación de cargos, en cumplimiento de las disposiciones vigentes en materia de calidad del servicio.
Energía Útil Urbana del Nivel de Tensión 2 (Euuj,2):
![]()
El Ministro de Minas y Energía,
LUIS ERNESTO MEJÍA CASTRO,
Presidente.
El Director Ejecutivo,
JAIME ALBERTO BLANDÓN DÍAZ.
METODOLOGIA PARA APLICAR CRITERIOS DE EFICIENCIA
EN EL USO DE ACTIVOS DE LOS NIVELES DE TENSION 4, 3, Y 2.
1. CRITERIO DE EFICIENCIA PARA ACTIVOS DEL NIVEL DE TENSION 4
1.1 Líneas Radiales
Cada OR que solicite cargos por Uso del Nivel de Tensión 4, deberá establecer el Costo Máximo Eficiente por unidad de energía a reconocer, para cada una de las Unidades Constructivas correspondientes a sus líneas radiales de este Nivel de Tensión, entendiendo por radial aquella línea en la que el flujo de potencia siempre tiene un sentido único.
A continuación se presentan las condiciones para aplicar el criterio de eficiencia
![]()
![]()
![]()
donde:
Pmax: Potencia máxima esperada para diez años.
![]()
donde:
P2001: Demanda máxima de potencia del tramo de línea, en MVA, para el año 2001, reportada por el OR. La cual deberá ser reportada por cada OR al momento de presentar la solicitud de aprobación de cargos.
L: Longitud del tramo de línea radial, en Km. Esta longitud corresponde a la del tramo de línea desde su inicio en un módulo de línea, hasta el punto en el que se instala transformación o aparezca una derivación de la misma, es decir, cada tramo debe transportar una potencia única.
Fefj,4: Factor de Eficiencia a aplicar sobre los costos de reposición a nuevo de cada Unidad Constructiva j que hace parte del tramo de línea radial de longitud L, en el Nivel de Tensión 4. El máximo Fefj,4 reconocido será 1.0
1.2 Otros Activos de uso correspondientes a unidades constructivas diferentes a líneas radiales
Para activos diferentes a líneas radiales se determina un Cargo Máximo eficiente a reconocer (CME4), el cual se calculará así:
a) Para cada uno de los Operadores de Red, se determina el Costo Medio de activos diferentes a líneas radiales del Nivel de Tensión (CMNRj,4), así:

donde:
NNRj,4: Número total de unidades constructivas diferentes a unidades de líneas radiales, del Nivel de Tensión 4, reportados por el OR j. No se deben considerar activos las unidades constructivas asociadas con líneas "normalmente abiertas", o con activos que usualmente no son utilizados en la prestación del servicio.
CRi: Costo de Reposición a nuevo para la unidad constructiva i.
PUi: Fracción del costo de la Unidad Constructiva i, que es remunerada vía cargos por uso de los STR o SDL.
r: Tasa de Descuento reconocida, en términos constantes y antes de impuestos, para remuneración por la Metodología de Ingreso Máximo. Su valor es 14.06%.
Vi: Vida útil en años, reconocida para la unidad constructiva i.
CAETj,4: Costo Anual de Terrenos para el Nivel de Tensión 4 del OR j. Aplica exclusivamente a las Unidades Constructivas de Subestaciones, y se calcula según lo dispuesto en el literal d. del numeral 1.1 del Anexo número 1.
CASNj: Costo Anual de Unidades Constructivas que no se asocian con un Nivel de Tensión específico. Este costo se determina según lo establecido en el literal e. del numeral 1.1 del Anexo número 1.
Nsj: Número Total de Niveles de Tensión distintos al Nivel de Tensión 1 (máximo 3), para los cuales el OR j reporta activos de uso.
Dsj,4: Variable que toma los valores 1 ó 0. Su valor es 1 cuando el OR j reporta activos de uso para el Nivel de Tensión 4.
Euj,4: Energía útil del Nivel de Tensión 4 del Operador de Red j.
b) Para los valores calculados según el literal anterior, se lleva a cabo una prueba de normalidad;
c) En caso de que la muestra sea normal, se establece el Cargo Máximo Eficiente a reconocer, considerando una probabilidad máxima de 57% de que el costo medio de cualquier OR sea inferior a este valor, así:
![]()
donde:
CME4: Cargo Máximo Eficiente para activos diferentes a líneas radiales en el Nivel de Tensión 4 ($/kWh colombianos del mes de diciembre de 2001).
CM4: Promedio de la totalidad de Costos Medios, calculados según lo dispuesto en el literal a).
ND: Número de desviaciones estándar. Para una probabilidad del 57% corresponde a 0.1764
DS4: Desviación Estándar de la totalidad de Costos Medios, calculados según lo dispuesto en el literal a);
d) En caso de que la muestra no sea normal, se normaliza utilizando la transformación Box-Cox, y se calcula el Cargo Máximo Eficiente a reconocer, así:
![]()
donde:
CME4: Cargo Máximo Eficiente para activos diferentes a líneas radiales en el Nivel de Tensión 4 ($/kWh colombianos del mes de diciembre de 2001).
l: Parámetro de la transformación.
CMET4: Cargo Máximo Eficiente Transformado para activos diferentes a líneas radiales en el Nivel de Tensión 4 ($/kWh colombianos del mes de diciembre de 2001).
Esta variable se calcula así:
![]()
donde:
CMT4: Promedio de la totalidad de Costos Medios (calculados según lo dispuesto en el literal a) Transformados.
ND: Número de desviaciones estándar. Para una probabilidad del 57% corresponde a 0.1764
DS4: Desviación Estándar de la totalidad de Costos Medios, (calculados según lo dispuesto en el literal a) Transformados.
2. CARGO MAXIMO EFICIENTE PARA EL NIVEL DE TENSION 3 (CME3)
El cargo máximo eficiente para el Nivel de Tensión 3 se calcul a de manera análoga al procedimiento descrito en el numeral 1.2 de este Anexo, pero utilizando los Costos Medios del Nivel de Tensión 3 de cada OR (CMNRj,3), estimados así:

donde:
NNRj,3: Número total de unidades constructivas del Nivel de Tensión 3, reportados por el OR j. No se deben considerar activos las unidades constructivas asociadas con líneas "normalmente abiertas", o con activos que usualmente no son utilizados en la prestación del servicio.
CRi: Costo de Reposición a nuevo para la unidad constructiva i.
PUi: Fracción del costo de la Unidad Constructiva i, que es remunerada vía cargos por uso de los STR o SDL.
r: Tasa de Descuento reconocida, en términos constantes y antes de impuestos, para remuneración por la Metodología de Ingreso Máximo. Su valor es 16.06%.
Vi: Vida útil en años, reconocida para la unidad constructiva i.
CAETj,3: Costo Anual de Terrenos para el Nivel de Tensión 3 del OR j. Aplica exclusivamente a las Unidades Constructivas de Subestaciones, y se calcula según lo dispuesto en el literal d. del numeral 1.1 del Anexo número 1.
CASNj: Costo Anual de Unidades Constructivas que no se asocian con un Nivel de Tensión específico. Este costo se determina según lo establecido en el literal e. del numeral 1.1 del Anexo número 1.
Nsj: Número Total de Niveles de Tensión distintos al Nivel de Tensión 1 (máximo 3), para los cuales el OR j reporta activos de uso.
Dsj,3: Variable que toma los valores 1 ó 0. Su valor es 1 cuando el OR j reporta activos de uso para el Nivel de Tensión 3.
Euj,3: Energía útil del Nivel de Tensión 3 del Operador de Red j.
3. CARGOS MAXIMOS EFICIENTES DEL NIVEL DE TENSION 2
Para este Nivel de Tensión se determinan los siguientes Cargos Máximos Eficientes:
3.1 Cargo Máximo Eficiente a reconocer para activos de uso correspondientes a líneas urbanas (CMEU2)
Este Cargo Máximo Eficiente se calcula de manera análoga al procedimiento descrito en el numeral 1.2 de este Anexo, pero utilizando los Costos Medios de líneas urbanas de Nivel de Tensión 2 de cada OR (CMUj,2), estimados así:

donde:
NLUj,2: Número total de Unidades Constructivas correspondientes a líneas urbanas del Nivel de Tensión 2, reportadas por el OR j. No se deben considerar las unidades constructivas asociadas con líneas "normalmente abiertas".
CRi: Costo de Reposición a nuevo para la unidad constructiva i.
r: Tasa de Descuento reconocida, en términos constantes y antes de impuestos, para remuneración por la Metodología de Precio Máximo. Su valor es 16.06%.
Vi: Vida útil en años, reconocida para la unidad constructiva i.
Euuj,2: Energía útil urbana del Nivel de Tensión 2 del Operador de Red j. Esta energía se estima según lo establecido en el numeral 2 del Anexo número 7 de la presente Resolución.
3.2 Cargo Máximo eficiente a reconocer para activos de uso correspondientes a líneas rurales (CMER2)
Este Cargo Máximo Eficiente se calcula de manera análoga al procedimiento descrito en el numeral 1.2 de este Anexo, pero utilizando los Costos Medios de líneas rurales de Nivel de Tensión 2 de cada OR (CMRj,2), estimados así:

donde:
NLRj,2: Número total de Unidades Constructivas correspondientes a líneas rurales del Nivel de Tensión 2, reportadas por el OR j. No se deben considerar las unidades constructivas asociadas con líneas "normalmente abiertas".
CRi: Costo de Reposición a nuevo para la unidad constructiva i.
r: Tasa de Descuento reconocida, en términos constantes y antes de impuestos, para remuneración por la Metodología de Precio Máximo. Su valor es 16.06%.
Vi: Vida útil en años, reconocida para la unidad constructiva i.
Eurj,2: Energía útil rural del Nivel de Tensión 2 del Operador de Red j. Esta energía se estima según lo establecido en el numeral 2 del Anexo número 7 de la presente Resolución.
3.3 Cargo Máximo eficiente a reconocer para activos de uso diferentes a líneas urbanas y rurales (CMEO2)
Este Cargo Máximo Eficiente se calcula de manera análoga al procedimiento descrito en el numeral 1.2 de este Anexo, pero utilizando los Costos Medios de activos diferentes a líneas urbanas y rurales de Nivel de Tensión 2 de cada OR (CMOj,2), estimados así:

donde:
NNLj,2: Número total de Unidades Constructivas correspondientes a activos de uso diferentes a líneas urbanas y rurales, del Nivel de Tensión 2, reportadas por el OR j. No se deben considerar las unidades constructivas asociadas con líneas "normalmente abiertas" o con activos que usualmente no son utilizados en la prestación del servicio
CRi: Costo de Reposición a nuevo para la unidad constructiva i.
r: Tasa de Descuento reconocida, en términos constantes y antes de impuestos, para remuneración por la Metodología de Precio Máximo. Su valor es 16.06%.
Vi: Vida útil en años, reconocida para la unidad constructiva i.
CAETj,2: Costo Anual de Terrenos para el Nivel de Tensión 2 del OR j. Aplica exclusivamente a las Unidades Constructivas de Subestaciones, y se calcula según lo dispuesto en el literal d. del numeral 1.1 del Anexo número 1.
CASNj: Costo Anual de Unidades Constructivas que no se asocian con un Nivel de Tensión específico. Este costo se determina según lo establecido en el literal e. del numeral 1.1 del Anexo número 1.
Nsj: Número Total de Niveles de Tensión distintos al Nivel de Tensión 1 (máximo 3), para los cuales el OR j reporta activos de uso.
Dsj,2: Variable que toma los valores 1 ó 0. Su valor es 1 cuando el OR j reporta activos de uso para el Nivel de Tensión 2.
Euj,2: Energía útil del Nivel de Tensión 2 del Operador de Red j. Esta energía se estima según lo establecido en el numeral 2 del Anexo número 7 de la presente Resolución.
El Ministro de Minas y Energía,
LUIS ERNESTO MEJÍA CASTRO,
Presidente.
El Director Ejecutivo,
JAIME ALBERTO BLANDÓN DÍAZ.
CALCULO DE CARGOS MONOMIOS HORARIOS A PARTIR
DEL CARGO MONOMIO ACUMULADO.
El procedimiento que se seguirá para determinar los cargos horarios es el siguiente:
1. Elaborar las curvas de carga típicas por Nivel de Tensión (4, 3, 2, 1).
Para obtener las curvas de carga típicas por Nivel de Tensión, los OR deben determinar el uso que los usuarios hacen de los sistemas eléctricos en cada uno de los niveles de tensión. La información requerida para elaborar estas curvas se puede obtener de las planillas de flujos horarios que se tengan registradas en las subestaciones. Para el caso del Nivel de Tensión 1, las curvas pueden realizarse por muestreo de carga en los transformadores de distribución. El método utilizado para elaborar este tipo de curvas es decisión de cada empresa, lo importante es que las curvas que finalmente obtengan, reflejen el uso real que los usuarios hacen de los sistemas eléctricos en cada Nivel de Tensión.
2. Determinar los períodos de carga máxima, media y mínima en función de la curva de carga típica que fue estimada para cada Nivel de Tensión.
Un criterio para determinar estos períodos de carga se basa en el porcentaje de carga que se presenta en el sistema en una hora particular, referida a la carga máxima de la curva de carga. Los porcentajes recomendados para establecer estos períodos son los siguientes:
Período de carga máxima: Horas en las cuales el porcentaje de carga es mayor al 85% de la potencia máxima.
Período de carga media: Horas en las cuales el porcentaje de carga es mayor al 48% y menor o igual al 85% de la potencia máxima.
Período de carga mínima: Las demás horas del día no contempladas en los períodos de carga máxima y media
El número de períodos horarios resultantes dependerá de la forma de la curva de carga. Una curva de carga plana, por ejemplo, no debe tener diferenciación de cargo por hora, porque claramente el uso que hace un usuario del sistema durante cualquier hora del día no causa un esfuerzo adicional al mismo.
3. Cálculo de cargos monomios horarios.
Los cargos monomios horarios para un Nivel de Tensión particular se calculan a partir del cargo monomio acumulado, calculado para ese Nivel de Tensión, con las siguientes consideraciones:
Para la condición inicial, los costos que recupera la empresa utilizando los cargos monomios horarios son iguales a los que recupera con el cargo monomio.
Por definición de la Comisión, los cargos monomios horarios son proporcionales a la potencia promedio de cada período de carga.
Sean Hx, Hd, y Hm el número de horas asociadas con cada uno de los períodos horarios, determinados por los OR, de acuerdo con el punto 2 del procedimiento establecido.
Sean Px, Pd y Pm la potencia resultante de promediar las potencias (Pi) asociadas con las horas asignadas a cada uno de los períodos de carga.
Sea Dn el cargo monomio ($/kWh) acumulado para un Nivel de Tensión.
Se requieren calcular los cargos monomios horarios Dx, Dd y Dm:
Considerando que la magnitud de la energía de la hora i-ésima es igual a la magnitud de la potencia de la hora i-ésima (Pi) por tratarse de potencias promedios referidas a períodos de una hora, la primera condición establece que:
(1)
La segunda condición, definida por la Comisión, establece que los cargos monomios horarios son proporcionales a la potencia promedio resultante, de acuerdo con las horas asignadas a cada período de carga, lo cual quiere decir que:
(2)
(3)
Los cargos monomios horarios Dx, Dd y Dm se obtienen resolviendo el sistema de tres ecuaciones con tres incógnitas planteado en las ecuaciones (1) a (3).
El Ministro de Minas y Energía,
LUIS ERNESTO MEJÍA CASTRO,
Presidente.
El Director Ejecutivo,
JAIME ALBERTO BLANDÓN DÍAZ.
PERDIDAS RECONOCIDAS POR NIVEL DE TENSION Y FACTORES
DE PERDIDAS PARA REFERIR AL STN.
1. Pérdidas reconocidas por Nivel de Tensión
A continuación se presentan los porcentajes de pérdidas a reconocer para cada año del período regulatorio, en cada Nivel de Tensión:

Los niveles de pérdidas en los niveles de tensión 1 y 2, aplicables a cada OR en cada uno de los años del período tarifario, se determinan así:
![]()
donde:
n: Niveles de Tensión 1 y 2.
Pn,k: Pérdidas a reconocer al OR j en el Nivel de Tensión n en el año k.
Prn,k: Pérdidas Rurales que se reconocen en el Nivel de Tensión n en el año k.
Pun,k: Pérdidas Urbanas que se reconocen en el Nivel de Tensión n en el año k.
PDRj: Capacidad de transformación total instalada en transformadores de distribución de la zona rural (grupo 4 de calidad) del OR j, reportada a la CREG, a la fecha de solicitud de aprobación de cargos, en cumplimiento de las disposiciones vigentes en materia de calidad del servicio.
PDUj: Capacidad de transformación total instalada en transformadores de distribución de la zona urbana (grupos 1, 2 y 3 de calidad) del OR j, reportada a la CREG, a la fecha de solicitud de aprobación de cargos, en cumplimiento de las disposiciones vigentes en materia de calidad del servicio.
2. Determinación de los factores para referir al STN
Los factores de cada Nivel de Tensión para referir las medidas de energía al STN, durante cada año del período tarifario, considerando las pérdidas de energía eficientes de los STR o SDL, se determinarán, para cada OR, siguiendo las siguientes expresiones:
Nivel de Tensión 4:
![]()
donde:
PR4,j,k: Factor para referir las medidas de energía del Nivel de Tensión 4 en el año k, del OR j, al STN.
P4,k: Pérdidas a reconocer en el Nivel de Tensión 4 en el año k.
Nivel de Tensión 3:
![]()
donde:
PR3,j,k: Factor para referir las medidas de energía del Nivel de Tensión 3 en el año k, del OR j, al STN.
Pn,k: Pérdidas a reconocer en el Nivel de Tensión n en el año k (donde n es 3 ó 4).
Nivel de Tensión 2:
![]()
donde:
PR2,j,k: Factor para referir las medidas de energía del Nivel de Tensión 2 en el año k, del OR j, al STN.
P2,j,k: Pérdidas a reconocer en el Nivel de Tensión 2 en el año k, del OR j.
Nivel de Tensión 1:
![]()
donde:
PR1,j,k: Factor para referir las medidas de energía del Nivel de Tensión 1 en el año k, del OR j, al STN.
Pn,j,k: Pérdidas a reconocer en el Nivel de Tensión n en el año k, del OR j (donde n es 1 ó 2).
Adicionalmente, para el Nivel de Tensión 1, se determinan los factores para referir las medidas de energía en este nivel a los niveles de tensión 3 y 2. Estos Factores son:
![]()
donde:
PR1,2,j,k: Factor para refe rir las medidas de energía del Nivel de Tensión 1 al Nivel de Tensión 2 en el año k, del OR j.
Y,
![]()
donde:
PR1,3,j,k: Factor para referir las medidas de energía del Nivel de Tensión 1 al Nivel de Tensión 3 en el año k, del OR j.
El Ministro de Minas y Energía,
LUIS ERNESTO MEJÍA CASTRO,
Presidente.
El Director Ejecutivo,
JAIME ALBERTO BLANDÓN DÍAZ.
1. Provenientes de la conexión al STN, de la conexión a otros OR y de la conexión de generadores, reportadas por el OR con la solicitud de aprobación de que tratan los Artículos 3o y 5o de la presente Resolución.