DatosDATOS
BúsquedaBUSCAR
ÍndiceÍNDICE
MemoriaDESCARGAS
DesarrollosDESARROLLOS
ModificacionesMODIFICACIONES
ConcordanciasCONCORDANCIAS
NotificacionesNOTIFICACIONES
Actos de trámiteACTOS DE TRÁMITE
AbogacíaABOGACÍA
VideosVIDEOS

CONCEPTO 20250300102721 DE 2025

(septiembre 23)

<Fuente: Archivo interno entidad emisora>

COMISIÓN DE REGULACIÓN  DE AGUA POTABLE Y SANEAMIENTO BÁSICO

-CRA-

Bogotá, D.C.,

Señor

Asunto: Radicados CRA 2025-321-009236-2 del 20 de agosto de 2025 y CRA 2025-321-010865-2 de 10 de septiembre de 2025.

Respetado señor Rodríguez:

Acusamos recibo de las comunicaciones del asunto, mediante la cual solicita concepto “sobre si un prestador de tratamiento que no cuenta con báscula propia puede tercerizar el servicio de báscula para el pesaje de los residuos y con base en la información que provea este tercero incluir estos residuos para el cobro de la tarifa al usuario”.

Previo a dar respuesta es preciso señalar que conforme con el artículo 28 del Código de Procedimiento Administrativo y de lo Contencioso Administrativo[1], los conceptos emitidos constituyen orientaciones y puntos de vista de carácter general, no tienen carácter obligatorio ni vinculante, y no comprenden la solución directa de problemas específicos, ni el análisis de situaciones particulares. Adicionalmente, la presente respuesta se emite sin perjuicio de lo que sobre el particular consideren otras entidades en el marco de sus competencias.

Es preciso mencionar que el servicio público de aseo y sus actividades están definidas en el artículo 14.24 la Ley 142 de 1994[2], y el esquema operativo con sus condiciones técnicas son reglamentadas en el Decreto 1077 de 2015[3], el cual es modificado por el Decreto 1784 de 2017[4] y el Decreto 670 de 2025[5].

A continuación, se precisa que, en el marco del servicio público de aseo, "el aprovechamiento de residuos sólidos orgánicos" se define en el Decreto 1077 de 2015 modificado por el Decreto 670 de 2025 como la actividad de tratamiento, de la siguiente manera:

"88. Tratamiento en el marco del servicio público de aseo. Es la actividad complementaria del servicio público de aseo, en la cual se propende por la obtención de beneficios ambientales, sanitarios o económicos, al procesar los residuos sólidos a través de operaciones y procesos mediante los cuales se modifican las características físicas, biológicas o químicas para potencializar su uso. Incluye las técnicas de tratamiento mecánico, biológico y térmico. Dentro de los beneficios se consideran la separación de los residuos sólidos en sus componentes individuales para lograr la reincorporación de los materiales o recursos valorizados al ciclo económico y la reducción de la cantidad de residuos sólidos a disponer."

Así mismo, el Decreto 670 de 2025 define "el aprovechamiento en el marco del servicio público de aseo", de la siguiente manera:

“3. Aprovechamiento en marco del servicio público de aseo: Debe entenderse como la actividad complementaria servicio público de aseo que comprende recolección de residuos sólidos ordinarios aprovechables. transporte selectivo hasta la estación de clasificación y aprovechamiento, así como su clasificación y pesaje por parte de la persona prestadora”.

Por su parte, en el Título 2, Capítulo 2 de la Resolución CRA 943 de 2021[6], que compila la Resolución CRA 853 de 2018[7], define la metodología de costos y tarifas para el reconocimiento de los costos asociados a la prestación del servicio público y en ese sentido, contiene la manera de remunerar cada una de las actividades del servicio de aseo, incluyendo dentro de ellas, la correspondiente a la actividad de tratamiento.

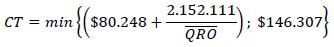
De tal forma que, el artículo 5.3.5.2.7.1. de la Resolución CRA 943 de 2021 define el Costo de tratamiento (CT) por tonelada como máximo el valor que se establece en la siguiente función (pesos de julio de 2018/toneladas):

(...)

Donde:

Costo máximo a reconocer por tonelada, por vida útil de 30 años, en la planta de tratamiento (pesos de julio de 2018/tonelada).
Función que exige escoger el menor de los dos valores separados por punto y coma.
Promedio mensual de residuos orgánicos biodegradables que se reciben en la planta de tratamiento, de acuerdo con lo definido en el artículo 5.3.5.2.1.4. de la presente resolución (toneladas/mes).

Parágrafo 1. La persona prestadora de la actividad de tratamiento que no esté cumpliendo con la obligación de contar con báscula de pesaje en la planta de tratamiento, el valor de CT definido en este artículo será igual a cero (0). (Subrayado fuera de texto).

Parágrafo 2. Los residuos sólidos que serán objeto de tratamiento deberán ser recolectados y transportados por rutas de recolección selectiva, en concordancia con lo establecido en el artículo 2.3.2.2.2.3.26 del Decreto 1077 de 2015.”

De otra parte, el artículo 5.3.5.9.6. de la Resolución CRA 943 de 2021 que trata sobre el incumplimiento de la obligación de contar con Bascula de pesaje, aunque la redacción está enfocada en disposición final, el parágrafo 4 extiende la obligación al tratamiento, evidenciando la intención regulatoria de que toda actividad que involucre cobro por toneladas procesadas cuente con báscula propia en operación, definiendo el plazo máximo de instalación de la báscula por cada segmento así:

Segmento
Tiempo máximo para instalación de la báscula
Primer segmento1 año a partir de la vigencia de la fórmula tarifaria.
Segundo segmento
Tercer segmento
Esquema de prestación en zonas de difícil acceso2 años a partir del inicio de la vigencia de la fórmula tarifaria.
Esquema de prestación regional en donde todas las APS se encuentran en municipios con hasta 5.000 suscriptores en área urbana

“La persona prestadora que opera el relleno sanitario sin bascula, deberá anexar a su Plan, la cotización para la compra, instalación y puesta en operación de la báscula de pesaje y el cronograma con las fechas en las que realizará las siguientes actividades:

i. Acta de inicio del contrato de suministro e instalación de la báscula.

ii. Fecha de entrega de la bascula en el sitio.

iii. Fecha de entrega de la bascula en operación.

Parágrafo 1. La persona prestadora de la actividad de disposición final que no cuente con báscula de pesaje en el relleno sanitario y no incluya en su estudio de costos y tarifas el Plan de compra, instalación y puesta en marcha de la misma, con la estructura definida en este artículo, no podrá cobrar el costo de disposición final en la tarifa del servicio público de aseo, hasta tanto cumpla con esta obligación.

Parágrafo 2. En caso que la persona prestadora incumpla con el cronograma del Plan de compra, instalación y puesta en marcha de la báscula de pesaje, no podrá continuar cobrando los costos de disposición final y de tratamiento de lixiviados en la tarifa del servicio público de aseo hasta tanto el relleno sanitario cuente con báscula de pesaje en operación.

Parágrafo 3. Vencido el tiempo máximo para instalación de la báscula, definido para cada segmento o para cada esquema de prestación, la persona prestadora de la actividad de disposición final que no haya instalado y puesto en operación la báscula de pesaje en el relleno sanitario, no podrá cobrar el costo de disposición final.

Parágrafo 4. El Plan de compra, instalación y puesta en marcha de la báscula de pesaje, junto con su cronograma y demás documentos soporte establecidos en el presente artículo, deberán ser reportados el Sistema Único de Información

SUI en los términos que defina para tal fin la Superintendencia de Servicios Públicos Domiciliarios, quien como entidad de vigilancia y control realizará la supervisión del cumplimiento de las obligaciones aquí definidas para las personas prestadoras de la actividad de disposición final y tratamiento." (Subrayado fuera de texto).

Del análisis técnico regulatorio se concluye:

El modelo de costos adoptado en la Resolución CRA 853 de 2018 remunera expresamente los costos asociados a la adquisición, instalación, operación y mantenimiento de la báscula, en tanto herramienta de control directo de los residuos que ingresan a la actividad.

En consecuencia, la propiedad y operación de la báscula debe corresponder al prestador de la actividad de tratamiento, en cumplimiento de los principios de eficiencia, suficiencia financiera y transparencia tarifaria.

La eventual tercerización del servicio de pesaje pudo aceptarse antes del cumplimiento del término de dos años de transición que otorgaba la Resolución CRA 853 de 2018 de manera transitoria y condicionada, siempre y cuando:

i) El prestador cuente con un plan de compra, instalación y puesta en marcha de la báscula, con cronograma definido, reportado y validado ante la Superintendencia de Servicios Públicos Domiciliarios en el SUI.

ii) El contrato con el tercero garantice la trazabilidad, confiabilidad y verificación de la información de pesaje, asegurando que no se genere doble cobro al usuario por costos ya reconocidos en la tarifa.

Teniendo en cuenta que el plazo otorgado por la norma ya se cumplió, el cobro de la tarifa con base en la información de un tercero carece de sustento regulatorio, puesto que el reconocimiento tarifario de los costos de báscula corresponde al prestador de tratamiento y no a un tercero.

Conforme a lo expuesto, el prestador de la actividad de tratamiento debe contar con báscula propia para efectos de control y remuneración tarifaria, en cumplimiento de lo previsto en la Resolución CRA 853 de 2018 compilada en la Resolución CRA 943 de 2021.

La tercerización del servicio de báscula fue una medida temporal y excepcional, bajo estricto cumplimiento de un plan de adquisición e instalación de la báscula, reportado al SUI y sujeto a verificación por parte de la Superintendencia de Servicios Públicos Domiciliarios. En ningún caso la tercerización puede convertirse en sustituto permanente de la obligación de contar con báscula propia, dado que ello afectaría la transparencia y la correspondencia entre los costos reconocidos y la infraestructura propia del prestador.

En mérito de lo expuesto, se concluye que la tercerización del servicio de báscula no constituye una alternativa regulatoria válida de manera permanente, siendo únicamente admisible en forma transitoria bajo las condiciones previamente señaladas.

No obstante, se debe tener en cuenta la restricción tarifaria mencionada en el punto anterior, ya que la metodología vigente establece que el reconocimiento de los costos en la tarifa debe estar sujeto a los lineamientos regulatorios definidos para cada actividad dentro del servicio público de aseo.

En caso de requerir información adicional y/o asesoría en materia tarifaria, le sugerimos comunicarse con la Subdirección de Regulación al teléfono en Bogotá: (1) 487 38 20 o a la línea gratuita nacional: 01 8000 517 565 y uno de nuestros asesores le atenderá sus inquietudes.

Cordial saludo,

JAMES A COPETE RIOS

Subdirector de Regulación

NOTAS DE PIE DE PÁGINA

1. Sustituido por el artículo 1 de la Ley 1755 de 2015 2 “Por medio de la cual se regula el derecho fundamental de petición y se sustituye un título del Código de Procedimiento Administrativo y de los Contencioso Administrativo”.

2. "Por la cual se establece el régimen de los,servicios públicos domiciliarios y se dictan otras disposiciones”

3. "Por medio del cual se expide el Decreto Único Reglamentario del Sector Vivienda, Ciudad y Territorio. ”

4. "Por el cual se modifica y adiciona el Decreto 1077 de 2015 en lo relativo con las actividades complementarias de tratamiento. y disposición final de residuos, sólidos en el servicio público de aseo. ”

5. "Por el cual se adiciona el Capítulo 8 del Título 2, de la Parte 3, del libro 2 del Decreto 1077 de 2015, se reglamenta el artículo 227 de la Ley 2294 de 2023 referente al Programa Basura Cero, y por el cual se efectúan adiciones a los artículos 2.2.2.3.2.3 y 2.2.2.3.7.1 del capítulo 3, Título 2, Parte 2, Libro 2 del decreto 1076 de 2015 y se dictan otras disposiciones”

6. "Por la cual se compila la regulación general de los servicios públicos de acueducto, alcantarillado y aseo, y se derogan unas disposiciones”.

7. "Por la cual se establece el régimen de regulación tarifaria al que deben someterse las personas prestadoras del servicio público de aseo que atiendan en municipios de hasta 5.000 suscriptores y se dictan otras disposiciones”.

×