DatosDATOS
BúsquedaBUSCAR
ÍndiceÍNDICE
MemoriaDESCARGAS
DesarrollosDESARROLLOS
ModificacionesMODIFICACIONES
ConcordanciasCONCORDANCIAS
NotificacionesNOTIFICACIONES
Actos de trámiteACTOS DE TRÁMITE
AbogacíaABOGACÍA
VideosVIDEOS

CONCEPTO 20250300159211 DE 2025

(diciembre 30)

<Fuente: Archivo interno entidad emisora>

COMISIÓN DE REGULACIÓN DE AGUA POTABLE Y SANEAMIENTO BÁSICO -CRA-

Bogotá, D.C.,

Asunto: Radicado CRA 2025-321-018696-2 del 18 de noviembre de 2025.

Respetado señor XXXXX:

Acusamos recibo de la comunicación del asunto, mediante la cual solicita concepto sobre el periodo adicional a diez (10) años de la etapa de posclausura en los siguientes términos:

"Si la autoridad ambiental no ha determinado en la licencia ambiental un periodo específico para la posclausura, pero la empresa debe cumplir técnica y operacionalmente con lo establecido en la Resolución 0938 de 2019 del Ministerio de Vivienda, Ciudad y Territorio - MVCT, la cual determina que "para el cierre, clausura y posclausura deberá contemplarse un mínimo de 20 años, asociado al uso futuro del suelo que se haya considerado desde la etapa de diseño", para lo cual deben ejecutarse actividades de posclausura y recursos para tal fin por un periodo mínimo de 20 años, puede la empresa dar aplicación al Parágrafo 5 del artículo 5.3.2.2.6.1 de la Resolución CRA 943 de 2021, determinando un factor adicional a los (10) diez años de la etapa de posclausura del relleno sanitario y, por tanto, considerar que la variable  es igual a 10 años adicionales  para un total de 20 años de posclausura?"

Previo a dar respuesta es preciso señalar queconforme con el artículo 28 del Código de Procedimiento Administrativo y de lo Contencioso Administrativo[1], los conceptos emitidos constituyen orientaciones y puntos de vista de carácter general, no tienen carácter obligatorio ni vinculante, y no comprenden la solución directa de problemas específicos, ni el análisis de situaciones particulares.

Es preciso mencionar que el servicio público de aseo y sus actividades están definidas en el artículo 14.24 la Ley 142 de 1994[2], y la obligación de constituir y mantener una provisión, con el fin de garantizar los recursos económicos para llevar a cabo las actividades de cierre clausura, posclausura y posterior monitoreo de los rellenos sanitarios, para todas las personas prestadoras de la actividad de disposición final de residuos sólidos es reglamentada en el Decreto 1077 de 2015[3], en el artículo 2.3.2.3.17.

Por su parte, en el Título 2 Capítulo 2 de la Resolución CRA 943 de 2021[4], que compila la Resolución CRA 720 de 2015[5], define la metodología de costos y tarifas para el reconocimiento de los costos asociados a la prestación del servicio público y en ese sentido, contiene la fórmula definida para el cálculo de los recusos que se deben ser provisionados para las actividades de clausura y posclausura en un encargo fiduciario.

A continuación, se procede a dar respuesta al interrogante planteado:

(...) puede la empresa dar aplicación al Parágrafo 5 del artículo 5.3.2.2.6.1 de la Resolución CRA 943 de 2021, determinando un factor adicional a los (10) diez años de la etapa de posclausura del relleno sanitario y, por tanto, considerar que la variable  es igual a 10 años adicionales  para un total de 20 años de posclausura?

En lo referente a las disposiciones reglamentarias sobre la actividad de disposición final de residuos en rellenos sanitarios incluidas en la Resolución MVCT 938 de 2019[6], se tiene que las mismas aplican para el desarrollo de los proyectos de nuevos rellenos sanitarios o ampliación de los existentes.

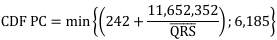
En este contexto, a nivel tarifario, de conformidad con lo establecido en el artículo 5.3.2.2.6.1. de la Resolución CRA 943 de 2021, para los rellenos sanitarios incluidos en su ámbito de aplicación y que estuvieran operando al momento de la expedición de la Resolución MVCT 938 de 2019, el tiempo mínimo de posclausura corresponde a 10 años y el cálculo del costo de posclausura debe realizarse aplicando la siguiente fórmula:

Donde:

Costo máximo a reconocer por tonelada, por período de la etapa de posclausura de diez (10) años, en el sitio de disposición final (pesos de diciembre de 2014/tonelada).
Promedio mensual de residuos sólidos que se reciben en el sitio de disposición final, de acuerdo con lo definido en el artículo 5.3.2.1.4. de la presente resolución. En el caso de personas prestadoras que inicien actividades con posterioridad a la entrada en vigencia de la fórmula tarifaria, podrán utilizar períodos inferiores hasta acumular seis (6) meses.

Ahora bien, teniendo en cuenta que los recursos para la etapa de posclausura se
provisionan durante la vida útil del relleno sanitario, el costo de posclausura, calculado con la fórmula anterior, deberá ser cobrado y guardo hasta el cierre de la última celda de disposición incluida en el diseño de dicho relleno sanitario.

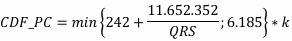
En el caso de los proyectos de nuevos rellenos sanitarios o ampliación de los existentes, que se desarrollen después de la expedición de la Resolución MVCT 938 de 2019, los mismos deben ser diseñados con periodo de posclausura de 20 años y de manera armónica la Licencia Ambiental que se otrogue a dichos proyectos corresponderá a la totalidad del periodo de duración del proyecto. Para estos casos en los que la etapa de posclausura es mayor a 10 años, el costo de posclausura deberá ser calculado mediante la siguiente fórmula, definida en el parágro 5 del mismo artículo:

Donde:

 Factor que involucra el costo adicional por una duración superior a diez (10) años de la etapa de posclausura del relleno sanitario, según la exigencia de la autoridad ambiental.

: Periodo adicional a diez (10) años de la posclausura del relleno sanitario, que ha sido aprobado por la autoridad ambiental.

El costo de posclausura, calculado con la fórmula anterior, deberá ser cobrado una vez entre en operación el nuevo relleno sanitario o las nuevas celdas que amplíen rellenos sanitarios existentes.

No obstante lo anterior, se aclara que los plazos de periodo de posclausura únicamente está relacionados con el cálculo del Costo de Disposición Final para el periodo de poscluasura (CDF PC), la fórmula para el cálculo del Costo de Disposición Final para el periodo de Vida útil (CDF VU) no involucra dicha variable.

En caso de requerir información adicional y/o asesoría en materia tarifaria, le sugerimos comunicarse con la Subdirección de Regulación al teléfono en Bogotá: (601) 487 38 20 o a la línea gratuita nacional: 01 8000 517 565 y uno de nuestros asesores le atenderá sus inquietudes.

Cordial saludo,

HERMES DARÍO CRUZ GÓMEZ

Subdirector de Regulación (E)

<NOTAS DE PIE DE PÁGINA>.

1. Sustituido por el artículo 1o de la Ley 1755 de 2015.

2. "Por la cual se establece el régimen de los servicios públicos domiciliarios y se dictan otras disposiciones"

3. "Por medio del cual se expide el Decreto Único Reglamentario del Sector Vivienda, Ciudad y Territorio."

4. "Por la cual se compila la regulación general de los servicios públicos de acueducto, alcantarillado y aseo, y se derogan unas disposiciones".

5. "Por la cual se establece el régimen de regulación tarifaria al que deben someterse las personas prestadoras del servicio público de aseo que atiendan en municipios de más de 5.000 suscriptores en áreas urbanas, la metodología que deben utilizar para el cálculo de las tarifas del servicio público de aseo y se dictan otras disposiciones".

6. "Por el cual se reglamenta el Decreto 1784 del 2 de noviembre de 2017 en lo relativo a las actividades complementarias de tratamiento y disposición final de residuos sólidos en el servicio público de aseo"

×